Automatic Evaluation Report from CSEARCH
created on 2021-03-10 at 07:37:30
based on 340,554 reference spectra




Did you know ?

Your query structure is automatically matched against the PUBCHEM-collection,
at the moment containing nearly 100 millions of chemical structures.






Request from: molecules.discard@robien.at

Compound: N,N-DIISOPROPYLAMINO-O-PROPYL-2-[1-METHYL-2-OXOPROPYLIDENE]-PHOSPHONOHYDRAZIDO-

Project: MOLECULES,12,2193[2007]CSEARCH-NUMBER:UWLU057449-20110822



Database Number of Entries Owner of Database


Please cite the CSEARCH-Robot-Referee as:

N. Haider, W. Robien; https://c13nmr.at/c13robot/robot.php


 CSEARCH 
74,997 (A) CSEARCH-Data / Wolfgang Robien
 CSEARCH 
56,549 (B) CSEARCH-Data / Wolfgang Robien
 CSEARCH 
28,196 (C) CSEARCH-Data / Wolfgang Robien
 CSEARCH 
33,587 (D) CSEARCH-Data / Wolfgang Robien
 CSEARCH 
39,132 (E) CSEARCH-Data / Wolfgang Robien + NMR-Database University of Mainz
 CSEARCH 
26,196 (F) CSEARCH-Data / Wolfgang Robien
 CSEARCH 
50,594 (I) Upcoming CSEARCH-Data / Wolfgang Robien
 CSEARCH 
31,307 (L) NMRShiftDB-Data / Version February 2012

CSEARCH-Version: 9.4.0
Robot-Referee: 2017:06:10





Request from: molecules.discard@robien.at

Compound: N,N-DIISOPROPYLAMINO-O-PROPYL-2-[1-METHYL-2-OXOPROPYLIDENE]-PHOSPHONOHYDRAZIDO-

Project: MOLECULES,12,2193[2007]CSEARCH-NUMBER:UWLU057449-20110822

Recommendation given here

Details of Prediction given here



Summary of Supplied Data

Understanding the Color Coding Scheme







The NMR-Spectrum for this compound is available in commercial & non-commercial databases
All Spectra from NMRPREDICT, SPECINFO, NMRShiftDB, MESTRENOVA and
CSEARCH (including spectra not yet released) were screened




Structure Proposal

Structural diagram

Molecular formula is: C13H29N4O3P     Molecular weight is: 320.38 amu

INCHIKEY is: CZVSNURTOUUGSJ-QUMQEAAQBQ



Numbering Scheme derived from the drawing sequence used during the calculation

Structural diagram


The marked carbons have been fully assigned

Structural diagram


Carbon number Chemical Shift Value Multiplicity from Structure Multiplicity from Experiment

2 19.01 T -
3 46.91 T -
4 148.66 S -
5 157.16 S -
8 15.45 D -
11 15.45 D -




The marked carbons have been fully assigned

Structural diagram


The marked carbons have no lines assigned

Structural diagram


Graphical summary of the Chemical Shift Data

Spectrum






Searching external databases





The NMR-Spectrum for this compound is available in commercial & non-commercial databases
All Spectra from NMRPREDICT, SPECINFO, NMRShiftDB, MESTRENOVA and
CSEARCH (including spectra not yet released) were screened


138,167,628 Compounds searched in PUBCHEM - nothing found


4,400,967 Compounds searched in Emolecules - nothing found


Search the Internet for this compound ( Skeleton only )
Search the Internet for this compound ( Skeleton + Stereochemistry )


Search CHEMSPIDER for this compound ( Skeleton only )
Search CHEMSPIDER for this compound ( Skeleton + Stereochemistry )


Search the Internet for the molecular formula C13H29N4O3P


Search CHEMSPIDER for the molecular formula C13H29N4O3P



(Description)






Basic Evaluation: Checking Multiplicities




Checking lines & multiplicity Carbons/Lines Singlet Dublet Triplet Quartet Odd Even None

From structure 13 2 2 2 7 4 9 0
From spectrum 6 2 2 2 0 4 2 0


Overall impression on compatibility of multiplicity from structure and experiment

Quality bar






Evaluation based on Spectrum Prediction






6 line(s) given for 13 carbon positions






Numbering Scheme

Structural diagram



Carbon Number Neural Network
Prediction
HOSE-Code
Prediction
Preferred Value
from both Predictions
Experimental
values
Difference
(Exp-Pred/ppm)
Assignment Prediction Quality
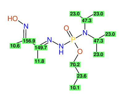
1 10.6 10.1 10.1 Chemical shift not available
2 24.0 23.6 23.6 19.0 4.6 Assigned by author Only very few similar structures
3 68.0 70.2 70.2 46.9 23.3 Assigned by author Only reference material with low similarity
Only very few similar structures
4 155.2 149.7 149.7 148.7 1.1 Assigned by author Only reference material with low similarity
Only very few similar structures
5 158.2 156.9 156.9 157.2 0.3 Assigned by author
6 13.4 10.6 10.6 Chemical shift not available
7 15.7 11.8 11.8 Chemical shift not available
8 45.0 47.3 47.3 15.4 31.8 Assigned by author Only reference material with low similarity
9 22.9 23.0 23.0 Chemical shift not available
10 22.9 23.0 23.0 Chemical shift not available
11 45.0 47.3 47.3 15.4 31.8 Assigned by author Only reference material with low similarity
12 22.9 23.0 23.0 Chemical shift not available
13 22.9 23.0 23.0 Chemical shift not available
  Absolute  
Signed
   15.45ppm   (6)   
   -15.45ppm   (6)   
   15.49ppm   (6)   
   -15.40ppm   (6)   
   15.49ppm   (6)   
   -15.40ppm   (6)   



Average deviation to experimental values
( Number of shift pairs used )

Structure representation by reference data over 2.7 shells on average



Visualization of the differences between predicted and experimental values

Spectrum


Quality of the Spectrum Prediction

Quality bar



Experimental Chemical Shift Values as given

Structural diagram


Experimental Chemical Shift Values using Symmetry

Structural diagram


Preferred Chemical Shift Values from both predictions

Structural diagram


Carbons with massive contribution from stereochemistry

Structural diagram


Comparison of Prediction Techniques

Spectrum


Contribution of the methods

HOSE NET NET&HOSE NONE
Structural diagram


Similarity between predicted and experimental data based on positions

Quality bar



Matching map of predicted versus experimental data

Structural diagram


Differences between predicted and experimental data in ppm

Structural diagram


Comparison of Experimental versus Predicted Chemical Shift Values

Spectrum


Overall deviation between predicted and experimental data is 15.5ppm

Quality bar



Spectrum
Spectrum
Spectrum


  Your assignment  
 Difference to predicted values 
Highlighting
Highlighting








Nothing found when searching CSEARCH for identical structures

(Description)











No alternative structure found when searching CSEARCH for identical spectra

(Description)












Overall Impression


Reject
Quality bar



Reject; severe incompatibility detected




Compound: N,N-DIISOPROPYLAMINO-O-PROPYL-2-[1-METHYL-2-OXOPROPYLIDENE]-PHOSPHONOHYDRAZIDO-

Project: MOLECULES,12,2193[2007]CSEARCH-NUMBER:UWLU057449-20110822


Reject


The CSEARCH Robot Referee recommends: Reject; severe incompatibility detected

  • Less than 50% of the carbons assigned
  • 7 Lines duplicated during symmetry analysis
  • Number of carbons and number of lines inconsistent
  • 7 Lines are missing for assignment
  • Deviation between experimental and predicted data is 15.5ppm
  • 1 Experimental shift value differs more than 10ppm from prediction
  • 2 Experimental shift values differ more than 25ppm from prediction
  • 3 Carbon positions ( out of 13 ) have a severe assignment problem
  • Spectrum prediction - minor inconsistencies found


Experimental values
Highlighting
Symmetry considerations
Highlighting
Predicted values
Highlighting
Matching map
Highlighting
Deviation per position ( Average is 15.5ppm )
Highlighting
Carbons having strong stereochemical effects
Highlighting
Contribution of methods
HOSE NET NET&HOSE NONE
Highlighting
Overall Similarity Index is 17.0
0.0 is a "perfect match", up to approximately 3.0 it is "reasonable",
above 5.0 it is more or less "unbelievable"

  Your assignment  
 Difference to predicted values 
Highlighting
Highlighting


The NMR-Spectrum for this compound is available in commercial & non-commercial databases
All Spectra from NMRPREDICT, SPECINFO, NMRShiftDB, MESTRENOVA and
CSEARCH (including spectra not yet released) were screened


138,167,628 Compounds searched in PUBCHEM - nothing found


4,400,967 Compounds searched in Emolecules - nothing found


Search the Internet for this compound ( Skeleton only )
Search the Internet for this compound ( Skeleton + Stereochemistry )


Search CHEMSPIDER for this compound ( Skeleton only )
Search CHEMSPIDER for this compound ( Skeleton + Stereochemistry )


Search the Internet for the molecular formula C13H29N4O3P


Search CHEMSPIDER for the molecular formula C13H29N4O3P



(Description)



Your Total Usage of the CSEARCH-Robot-Referee




   9 Requests have been launched by molecules.discard@robien.at   


  Year  


  Accept  


  Minor Revision  


  Major Revision  


  Reject  


  Only Prediction  

2021 2 1 6





Top




Page has been automatically written by CSEARCH
CPU-Usage: Evaluation needed 8.289 seconds
Wolfgang.Robien(at)univie.ac.at