Automatic Evaluation Report from CSEARCH
created on 2021-03-10 at 12:30:31
based on 340,554 reference spectra




Did you know ?

Every webpage created by the CSEARCH-Robot-Referee is marked with a
digital fingerprint - editing of these webpages is therefore prohibited !
The chance to manipulate such a page successfully is like isolating
one, single molecule out of one Peta-MOL of substance !






Request from: molecules.discard@robien.at

Compound: KSR1_3_-[3R-ACETOXY-5,5-DIMETHYLCYCLOPENT-1-ENE]-4_-O-METHYLSCUTELLAREIN-7-O-[

Project: MOLECULES,12,328[2007]CSEARCH-NUMBER:UWLU057560-20110822



Database Number of Entries Owner of Database


Please cite the CSEARCH-Robot-Referee as:

N. Haider, W. Robien; https://c13nmr.at/c13robot/robot.php


 CSEARCH 
74,997 (A) CSEARCH-Data / Wolfgang Robien
 CSEARCH 
56,549 (B) CSEARCH-Data / Wolfgang Robien
 CSEARCH 
28,196 (C) CSEARCH-Data / Wolfgang Robien
 CSEARCH 
33,587 (D) CSEARCH-Data / Wolfgang Robien
 CSEARCH 
39,132 (E) CSEARCH-Data / Wolfgang Robien + NMR-Database University of Mainz
 CSEARCH 
26,196 (F) CSEARCH-Data / Wolfgang Robien
 CSEARCH 
50,594 (I) Upcoming CSEARCH-Data / Wolfgang Robien
 CSEARCH 
31,307 (L) NMRShiftDB-Data / Version February 2012

CSEARCH-Version: 9.4.0
Robot-Referee: 2017:06:10





Request from: molecules.discard@robien.at

Compound: KSR1_3_-[3R-ACETOXY-5,5-DIMETHYLCYCLOPENT-1-ENE]-4_-O-METHYLSCUTELLAREIN-7-O-[

Project: MOLECULES,12,328[2007]CSEARCH-NUMBER:UWLU057560-20110822

Recommendation given here

Details of Prediction given here



Summary of Supplied Data

Understanding the Color Coding Scheme







The NMR-Spectrum for this compound is available in commercial & non-commercial databases
All Spectra from NMRPREDICT, SPECINFO, NMRShiftDB, MESTRENOVA and
CSEARCH (including spectra not yet released) were screened




Structure Proposal

Structural diagram

Molecular formula is: C45H56O23     Molecular weight is: 964.94 amu

INCHIKEY is: PBHBQGSNOJXIOU-HRPYLVAVBJ



Numbering Scheme derived from the drawing sequence used during the calculation

Structural diagram


The marked carbons have been fully assigned

Structural diagram


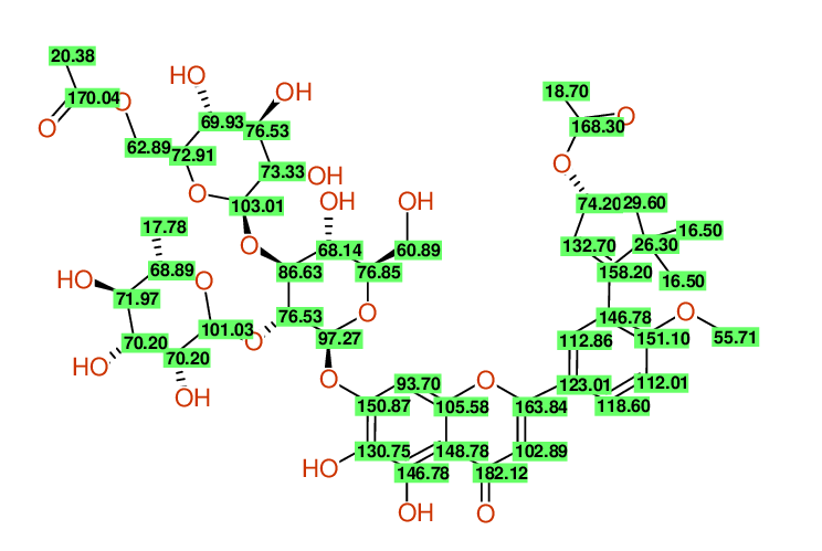
Carbon number Chemical Shift Value Multiplicity from Structure Multiplicity from Experiment

1 123.01 S -
2 112.86 D -
3 146.78 S -
4 151.10 S -
5 112.01 D -
6 118.60 D -
7 55.71 Q -
8 158.20 S -
9 132.70 D -
10 74.20 D -
11 29.60 T -
12 26.30 S -
13 16.50 Q -
14 16.50 Q -
15 168.30 S -
16 18.70 Q -
17 163.84 S -
18 102.89 D -
19 182.12 S -
20 148.78 S -
21 146.78 S -
22 130.75 S -
23 150.87 S -
24 93.70 D -
25 105.58 S -
26 97.27 D -
27 76.53 D -
28 86.63 D -
29 68.14 D -
30 76.85 D -
31 60.89 T -
32 103.01 D -
33 73.33 D -
34 76.53 D -
35 69.93 D -
36 72.91 D -
37 62.89 T -
38 170.04 S -
39 20.38 Q -
40 101.03 D -
41 70.20 D -
42 70.20 D -
43 71.97 D -
44 68.89 D -
45 17.78 Q -




The marked carbons have been fully assigned

Structural diagram


Graphical summary of the Chemical Shift Data

Spectrum






Searching external databases





The NMR-Spectrum for this compound is available in commercial & non-commercial databases
All Spectra from NMRPREDICT, SPECINFO, NMRShiftDB, MESTRENOVA and
CSEARCH (including spectra not yet released) were screened


138,167,628 Compounds searched in PUBCHEM - nothing found


4,400,967 Compounds searched in Emolecules - nothing found


Search the Internet for this compound ( Skeleton only )
Search the Internet for this compound ( Skeleton + Stereochemistry )


Search CHEMSPIDER for this compound ( Skeleton only )
Search CHEMSPIDER for this compound ( Skeleton + Stereochemistry )


Search the Internet for the molecular formula C45H56O23


Search CHEMSPIDER for the molecular formula C45H56O23



(Description)






Performing Symmetry Analysis





Eventually Symmetry Error: Same shiftvalue - Different environment

Structural diagram





Basic Evaluation: Checking Multiplicities




Checking lines & multiplicity Carbons/Lines Singlet Dublet Triplet Quartet Odd Even None

From structure 45 14 22 3 6 17 28 0
From spectrum 45 14 22 3 6 17 28 0


Overall impression on compatibility of multiplicity from structure and experiment

Quality bar






Evaluation based on Spectrum Prediction







Numbering Scheme

Structural diagram



Carbon Number Neural Network
Prediction
HOSE-Code
Prediction
Preferred Value
from both Predictions
Experimental
values
Difference
(Exp-Pred/ppm)
Assignment Prediction Quality
1 124.6 122.3 123.4 123.0 0.4 Assigned by author
2 127.0 130.7 128.9 112.9 16.0 Assigned by author
Check assignment - maybe 146.78 ?
Only reference material with low similarity
3 130.4 127.8 130.4 146.8 16.3 Assigned by author
Check assignment - maybe 132.70 ?
Only reference material with low similarity
4 159.8 156.3 158.1 151.1 7.0 Assigned by author
Check assignment - maybe 158.20 ?
Only reference material with low similarity
5 112.1 111.9 112.0 112.0 0.0 Assigned by author
6 124.7 128.5 127.7 118.6 9.1 Assigned by author
Check assignment - maybe 112.86 ?
7 56.8 55.9 56.1 55.7 0.4 Assigned by author
8 149.6 119.9 149.6 158.2 8.6 Assigned by author
Check assignment - maybe 151.10 ?
Large Difference between NET & HOSE
Only reference material with low similarity
9 124.1 139.3 124.1 132.7 8.6 Assigned by author
Check assignment - maybe 118.60 ?
Large Difference between NET & HOSE
Only reference material with low similarity
10 74.1 78.9 76.5 74.2 2.3 Assigned by author
Check assignment - maybe 76.53 ?
Only reference material with low similarity
11 47.1 29.7 47.1 29.6 17.5 Assigned by author
Check assignment - maybe 16.50 ?
Large Difference between NET & HOSE
Only reference material with low similarity
12 44.3 45.5 44.3 26.3 18.0 Assigned by author
Check assignment - maybe 29.60 ?
Only reference material with low similarity
Only very few similar structures
13 26.9 26.5 26.7 16.5 10.2 Assigned by author
Check assignment - maybe 26.30 ?
Only reference material with low similarity
14 26.9 26.5 26.7 16.5 10.2 Assigned by author
Check assignment - maybe 26.30 ?
Only reference material with low similarity
15 170.4 170.3 170.3 168.3 2.0 Assigned by author
Check assignment - maybe 170.04 ?
16 21.3 21.3 21.3 18.7 2.6 Assigned by author
17 164.6 163.6 163.8 163.8 0.1 Assigned by author
18 103.7 103.3 103.4 102.9 0.5 Assigned by author
Check assignment - maybe 103.01 ?
19 182.0 182.5 182.5 182.1 0.4 Assigned by author
20 105.6 106.2 106.2 148.8 42.6 Assigned by author
Check assignment - maybe 105.58 ?
21 149.9 147.1 147.1 146.8 0.3 Assigned by author
22 134.5 130.8 130.8 130.8 0.1 Assigned by author
23 152.1 150.9 150.9 150.9 0.1 Assigned by author
24 96.3 94.4 94.4 93.7 0.7 Assigned by author
25 152.3 149.0 149.0 105.6 43.4 Assigned by author
Check assignment - maybe 148.78 ?
Inconsistent assignments in reference material
26 100.3 97.3 97.3 97.3 0.0 Assigned by author Only very few similar structures
27 78.2 76.5 76.5 76.5 0.0 Assigned by author
28 85.1 86.6 86.6 86.6 0.0 Assigned by author
29 71.3 69.4 69.4 68.1 1.3 Assigned by author
Check assignment - maybe 68.89 ?
30 77.8 76.8 76.8 76.8 0.0 Assigned by author
31 62.2 62.0 62.0 60.9 1.1 Assigned by author
Check assignment - maybe 62.89 ?
32 104.9 104.1 104.1 103.0 1.1 Assigned by author
Check assignment - maybe 102.89 ?
33 75.0 75.0 75.0 73.3 1.7 Assigned by author
Check assignment - maybe 74.20 ?
34 77.8 77.5 77.5 76.5 1.0 Assigned by author
Check assignment - maybe 68.14 ?
35 71.7 71.2 71.2 69.9 1.2 Assigned by author
Check assignment - maybe 70.20 ?
36 76.2 75.2 75.2 72.9 2.3 Assigned by author
Check assignment - maybe 70.20 ?
Inconsistent assignments in reference material
37 63.1 64.1 64.1 62.9 1.2 Assigned by author
Check assignment - maybe 60.89 ?
38 171.6 171.5 171.5 170.0 1.5 Assigned by author
Check assignment - maybe 168.30 ?
39 20.7 20.7 20.7 20.4 0.3 Assigned by author
40 102.2 101.9 101.9 101.0 0.8 Assigned by author
41 72.2 71.7 71.7 70.2 1.5 Assigned by author
Check assignment - maybe 72.91 ?
42 72.3 71.9 71.9 70.2 1.7 Assigned by author
Check assignment - maybe 71.97 ?
43 73.7 73.4 73.4 72.0 1.5 Assigned by author
Check assignment - maybe 73.33 ?
44 70.0 69.8 69.8 68.9 0.9 Assigned by author
Check assignment - maybe 69.93 ?
45 18.2 18.0 18.0 17.8 0.2 Assigned by author
  Absolute  
Signed
   5.79ppm   (45)  
   -2.30ppm   (45)  
   5.64ppm   (45)  
   -1.15ppm   (45)  
   5.25ppm   (45)  
   -1.87ppm   (45)  


   2.73ppm   (45)  
   -1.87ppm   (45)  
Average deviation to experimental values
( Number of shift pairs used )

Structure representation by reference data over 4.0 shells on average



Visualization of the differences between predicted and experimental values

Spectrum


Quality of the Spectrum Prediction

Quality bar



Experimental Chemical Shift Values as given

Structural diagram


Experimental Chemical Shift Values using Symmetry

Structural diagram


Preferred Chemical Shift Values from both predictions

Structural diagram


Carbons with massive contribution from stereochemistry

Structural diagram


Comparison of Prediction Techniques

Spectrum


Contribution of the methods

HOSE NET NET&HOSE NONE
Structural diagram


Similarity between predicted and experimental data based on positions

Quality bar



Matching map of predicted versus experimental data

Structural diagram


Differences between predicted and experimental data in ppm

Structural diagram


Comparison of Experimental versus Predicted Chemical Shift Values

Spectrum


Overall deviation between predicted and experimental data is 5.3ppm

Quality bar



Spectrum
Spectrum
Spectrum


  Your assignment  
 Difference to predicted values 
Highlighting
Highlighting








Nothing found when searching CSEARCH for identical structures

(Description)











No alternative structure found when searching CSEARCH for identical spectra

(Description)












Overall Impression


Major revision
Quality bar



Major revision necessary; high probability for errors




Compound: KSR1_3_-[3R-ACETOXY-5,5-DIMETHYLCYCLOPENT-1-ENE]-4_-O-METHYLSCUTELLAREIN-7-O-[

Project: MOLECULES,12,328[2007]CSEARCH-NUMBER:UWLU057560-20110822


Major revision


The CSEARCH Robot Referee recommends: Major revision necessary; high probability for errors

  • NN-Prediction and HOSE-Code prediction differs significantly at 3 carbon positions
  • Deviation between experimental and predicted data is 5.3ppm
  • Assignment can be probably improved at 28 positions
  • 6 Experimental shift values differ more than 10ppm from prediction
  • 2 Experimental shift values differ more than 25ppm from prediction
  • 12 Carbon positions ( out of 45 ) have a severe assignment problem
  • Spectrum prediction - minor inconsistencies found
  • 6 Carbon(s) might have a symmetry-problem


Experimental values
Highlighting
Predicted values
Highlighting
Matching map
Highlighting
Deviation per position ( Average is 5.3ppm )
Highlighting
Carbons having strong stereochemical effects
Highlighting
Contribution of methods
HOSE NET NET&HOSE NONE
Highlighting
Overall Similarity Index is 4.3
0.0 is a "perfect match", up to approximately 3.0 it is "reasonable",
above 5.0 it is more or less "unbelievable"

  Your assignment  
 Difference to predicted values 
Highlighting
Highlighting


The NMR-Spectrum for this compound is available in commercial & non-commercial databases
All Spectra from NMRPREDICT, SPECINFO, NMRShiftDB, MESTRENOVA and
CSEARCH (including spectra not yet released) were screened


138,167,628 Compounds searched in PUBCHEM - nothing found


4,400,967 Compounds searched in Emolecules - nothing found


Search the Internet for this compound ( Skeleton only )
Search the Internet for this compound ( Skeleton + Stereochemistry )


Search CHEMSPIDER for this compound ( Skeleton only )
Search CHEMSPIDER for this compound ( Skeleton + Stereochemistry )


Search the Internet for the molecular formula C45H56O23


Search CHEMSPIDER for the molecular formula C45H56O23



(Description)



Your Total Usage of the CSEARCH-Robot-Referee




   10 Requests have been launched by molecules.discard@robien.at   


  Year  


  Accept  


  Minor Revision  


  Major Revision  


  Reject  


  Only Prediction  

2021 2 1 7





Top




Page has been automatically written by CSEARCH
CPU-Usage: Evaluation needed 10.640 seconds
Wolfgang.Robien(at)univie.ac.at