Did you know ? |
You can build your own database from previous requests. |
|
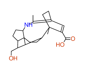
Request from: wolfgang.robien@univie.ac.at Compound: 3-HYDROXY-17-ACETAMIDO-ANDROST-4-EN-6-ONE_COMPOUND-8 Project: MOLECULES,18,7436[2013]CSEARCH-NUMBER:UWIR009013-20141115 |
![]() |
|
Compound: 3-HYDROXY-17-ACETAMIDO-ANDROST-4-EN-6-ONE_COMPOUND-8 Project: MOLECULES,18,7436[2013]CSEARCH-NUMBER:UWIR009013-20141115 |
|



| Carbon number | Chemical Shift Value | Multiplicity from Structure | Multiplicity from Experiment |
| 1 | 36.30 | T | - |
| 2 | 33.70 | T | - |
| 3 | 68.50 | D | - |
| 4 | 119.90 | D | - |
| 5 | 169.90 | S | - |
| 6 | 199.30 | S | - |
| 7 | 40.90 | T | - |
| 8 | 36.50 | D | - |
| 9 | 53.70 | D | - |
| 10 | 39.00 | S | - |
| 11 | 18.30 | Q | - |
| 12 | 20.60 | T | - |
| 13 | 34.30 | T | - |
| 14 | 42.90 | S | - |
| 15 | 12.10 | Q | - |
| 16 | 51.70 | D | - |
| 17 | 23.60 | T | - |
| 18 | 28.60 | T | - |
| 19 | 58.60 | D | - |
| 20 | 170.00 | S | - |
| 21 | 23.50 | Q | - |


| Checking lines & multiplicity | Carbons/Lines | Singlet | Dublet | Triplet | Quartet | Odd | Even | None |
| From structure | 21 | 5 | 6 | 7 | 3 | 12 | 9 | 0 |
| From spectrum | 21 | 5 | 6 | 7 | 3 | 12 | 9 | 0 |

1 36.299999 -1000.0000 0.0000000
2 33.700001 -1000.0000 0.0000000
3 68.500000 -1000.0000 0.0000000
4 119.90000 -1000.0000 0.0000000
5 169.89999 -1000.0000 0.0000000
6 199.30000 -1000.0000 0.0000000
7 40.900002 -1000.0000 0.0000000
8 36.500000 -1000.0000 0.0000000
9 53.700001 -1000.0000 0.0000000
10 39.000000 -1000.0000 0.0000000
11 18.299999 -1000.0000 0.0000000
12 20.600000 -1000.0000 0.0000000
13 34.299999 -1000.0000 0.0000000
14 42.900002 -1000.0000 0.0000000
15 12.100000 -1000.0000 0.0000000
16 51.700001 -1000.0000 0.0000000
17 23.600000 -1000.0000 0.0000000
18 28.600000 -1000.0000 0.0000000
19 58.599998 -1000.0000 0.0000000
20 170.00000 -1000.0000 0.0000000
21 23.500000 -1000.0000 0.0000000
1 36.299999 -1000.0000 36.299999
2 33.700001 -1000.0000 33.700001
3 68.500000 -1000.0000 68.500000
4 119.90000 -1000.0000 119.90000
5 169.89999 -1000.0000 169.89999
6 199.30000 -1000.0000 199.30000
7 40.900002 -1000.0000 40.900002
8 36.500000 -1000.0000 36.500000
9 53.700001 -1000.0000 53.700001
10 39.000000 -1000.0000 39.000000
11 18.299999 -1000.0000 18.299999
12 20.600000 -1000.0000 20.600000
13 34.299999 -1000.0000 34.299999
14 42.900002 -1000.0000 42.900002
15 12.100000 -1000.0000 12.100000
16 51.700001 -1000.0000 51.700001
17 23.600000 -1000.0000 23.600000
18 28.600000 -1000.0000 28.600000
19 58.599998 -1000.0000 58.599998
20 170.00000 -1000.0000 170.00000
21 23.500000 -1000.0000 23.500000
1 36.299999 gives 36.30
2 33.700001 gives 33.70
3 68.500000 gives 68.50
4 119.90000 gives 119.90
5 169.89999 gives 169.90
6 199.30000 gives 199.30
7 40.900002 gives 40.90
8 36.500000 gives 36.50
9 53.700001 gives 53.70
10 39.000000 gives 39.00
11 18.299999 gives 18.30
12 20.600000 gives 20.60
13 34.299999 gives 34.30
14 42.900002 gives 42.90
15 12.100000 gives 12.10
16 51.700001 gives 51.70
17 23.600000 gives 23.60
18 28.600000 gives 28.60
19 58.599998 gives 58.60
20 170.00000 gives 170.00
21 23.500000 gives 23.50

| Carbon Number | Neural Network Prediction |
HOSE-Code Prediction |
Preferred Value from both Predictions |
Experimental values |
Difference (Exp-Pred/ppm) |
Assignment | Prediction Quality |
|---|---|---|---|---|---|---|---|
| 1 | 35.5 | 34.8 | 35.0 | 36.3 | 1.3 | Assigned by author Check assignment - maybe 33.70 ? |
|
| 2 | 30.3 | 28.8 | 29.2 | 33.7 | 4.5 | Assigned by author Check assignment - maybe 28.60 ? |
|
| 3 | 67.8 | 67.7 | 67.7 | 68.5 | 0.8 | Assigned by author | |
| 4 | 139.5 | 133.9 | 136.7 | 119.9 | 16.8 | Assigned by author |
Large Difference between NET & HOSE Only reference material with low similarity |
| 5 | 143.1 | 146.9 | 145.0 | 169.9 | 24.9 | Assigned by author | |
| 6 | 200.5 | 200.9 | 200.8 | 199.3 | 1.5 | Assigned by author | |
| 7 | 42.6 | 45.7 | 45.1 | 40.9 | 4.2 | Assigned by author | Only very few similar structures |
| 8 | 32.1 | 34.9 | 34.2 | 36.5 | 2.3 | Assigned by author Check assignment - maybe 34.30 ? |
|
| 9 | 50.5 | 51.1 | 51.0 | 53.7 | 2.7 | Assigned by author Check assignment - maybe 51.70 ? |
Only very few similar structures |
| 10 | 35.5 | 38.3 | 37.7 | 39.0 | 1.3 | Assigned by author | Only very few similar structures |
| 11 | 20.2 | 20.4 | 20.4 | 18.3 | 2.1 | Assigned by author Check assignment - maybe 20.60 ? |
|
| 12 | 21.5 | 21.2 | 21.2 | 20.6 | 0.6 | Assigned by author Check assignment - maybe 18.30 ? |
|
| 13 | 36.1 | 37.1 | 36.8 | 34.3 | 2.5 | Assigned by author Check assignment - maybe 36.50 ? |
Only very few similar structures |
| 14 | 44.1 | 43.9 | 44.0 | 42.9 | 1.1 | Assigned by author | |
| 15 | 10.5 | 11.9 | 11.6 | 12.1 | 0.5 | Assigned by author | |
| 16 | 53.2 | 55.6 | 54.4 | 51.7 | 2.7 | Assigned by author Check assignment - maybe 53.70 ? |
Only reference material with low similarity |
| 17 | 23.8 | 23.6 | 23.6 | 23.6 | 0.0 | Assigned by author | |
| 18 | 28.8 | 27.6 | 27.9 | 28.6 | 0.7 | Assigned by author Check assignment - maybe 36.30 ? |
|
| 19 | 60.5 | 59.8 | 60.1 | 58.6 | 1.5 | Assigned by author | |
| 20 | 172.0 | 169.7 | 170.8 | 170.0 | 0.8 | Assigned by author | Only very few similar structures |
| 21 | 22.8 | 23.1 | 23.0 | 23.5 | 0.5 | Assigned by author |







| HOSE | NET | NET&HOSE | NONE |









| ||
![]() |
![]() |
|
![]()
Compound: 3-HYDROXY-17-ACETAMIDO-ANDROST-4-EN-6-ONE_COMPOUND-8 |
|
| Experimental values | ||||
![]() | ||||
| Predicted values | ||||
![]() | ||||
| Matching map | ||||
![]() | ||||
| Deviation per position ( Average is 3.5ppm ) | ||||
![]() | ||||
![]() | ||||
| ||||
![]() | ||||
| Overall Similarity Index is 4.3 0.0 is a "perfect match", up to approximately 3.0 it is "reasonable", above 5.0 it is more or less "unbelievable" |
| ||
![]() |
![]() |
|
| |
![]() | |
4765 Requests have been launched by wolfgang.robien@univie.ac.at | |||||
Year |
Accept |
Minor Revision |
Major Revision |
Reject | Only Prediction |
| 2014 | 7 | 18 | 21 | 48 | |
| 2015 | 165 | 2339 | 741 | 302 | 124 |
| 2016 | 33 | 235 | 126 | 104 | 56 |
| 2017 | 1 | 55 | 141 | 54 | 1 |
| 2018 | 35 | 30 | 13 | 12 | |
| 2019 | 8 | 7 | 3 | 2 | |
| 2020 | 3 | 3 | 8 | 28 | |
| 2021 | 3 | 3 | 3 | 16 | 17 |
| Carbon | Experimental shift value |
NN-Value | Difference to experimental value |
HOSE-Value | Difference to experimental value |
Best-Value | Difference to experimental value |
Total Deviation |
| 1 | 36.30 | 35.47 | 0.83 | 34.80 | 1.50 | 34.97 | 1.33 | 3.67 |
| 2 | 33.70 | 30.35 | 3.35 | 28.80 | 4.90 | 29.19 | 4.51 | 12.76 |
| 3 | 68.50 | 67.82 | 0.68 | 67.70 | 0.80 | 67.73 | 0.77 | 2.25 |
| 4 | 119.90 | 139.51 | 19.61 | 133.88 | 13.98 | 136.69 | 16.79 | 50.37 |
| 5 | 169.90 | 143.13 | 26.77 | 146.88 | 23.02 | 145.01 | 24.89 | 74.68 |
| 6 | 199.30 | 200.54 | 1.24 | 200.87 | 1.57 | 200.80 | 1.50 | 4.31 |
| 7 | 40.90 | 42.62 | 1.72 | 45.70 | 4.80 | 45.08 | 4.18 | 10.70 |
| 8 | 36.50 | 32.09 | 4.41 | 34.88 | 1.62 | 34.18 | 2.32 | 8.34 |
| 9 | 53.70 | 50.52 | 3.18 | 51.10 | 2.60 | 50.98 | 2.72 | 8.49 |
| 10 | 39.00 | 35.55 | 3.45 | 38.30 | 0.70 | 37.75 | 1.25 | 5.40 |
| 11 | 18.30 | 20.16 | 1.86 | 20.39 | 2.09 | 20.39 | 2.09 | 6.04 |
| 12 | 20.60 | 21.48 | 0.88 | 21.16 | 0.56 | 21.24 | 0.64 | 2.08 |
| 13 | 34.30 | 36.11 | 1.81 | 37.07 | 2.77 | 36.83 | 2.53 | 7.12 |
| 14 | 42.90 | 44.12 | 1.22 | 43.93 | 1.03 | 43.98 | 1.08 | 3.33 |
| 15 | 12.10 | 10.51 | 1.59 | 11.92 | 0.18 | 11.64 | 0.46 | 2.24 |
| 16 | 51.70 | 53.18 | 1.48 | 55.61 | 3.91 | 54.39 | 2.69 | 8.08 |
| 17 | 23.60 | 23.78 | 0.18 | 23.58 | 0.02 | 23.63 | 0.03 | 0.23 |
| 18 | 28.60 | 28.84 | 0.24 | 27.58 | 1.02 | 27.89 | 0.71 | 1.96 |
| 19 | 58.60 | 60.45 | 1.85 | 59.84 | 1.24 | 60.15 | 1.55 | 4.64 |
| 20 | 170.00 | 172.02 | 2.02 | 169.65 | 0.35 | 170.84 | 0.84 | 3.20 |
| 21 | 23.50 | 22.77 | 0.73 | 23.12 | 0.38 | 23.05 | 0.45 | 1.57 |
| 3.77 | 3.29 | 3.49 | 10.55 |


|
| |
|
Structure Proposal # 1 HYKPWJCOGBHMRP Deviation = 1.44ppm
Search WEB for skeleton |
|
![]()
|
|
|
Structure Proposal # 2 QIGKGUOGTKWXBN Deviation = 1.49ppm
Search WEB for skeleton CSEARCH ![]() |
|
![]()
|
|
|
Structure Proposal # 3 WRRLKTNELJRTHU Deviation = 1.57ppm
Search WEB for skeleton |
|
![]()
|
|
|
Structure Proposal # 4 QQNNNPONBBLNKG Deviation = 1.61ppm
Search WEB for skeleton |
|
![]()
|
|
|
Structure Proposal # 5 QQJNVSWSSJGXID Deviation = 1.65ppm
Search WEB for skeleton respect to your proposal |
|
![]()
|
|
|
Structure Proposal # 6 RRIIBCMLZFAWPF Deviation = 1.71ppm
Search WEB for skeleton respect to your proposal |
|
![]()
|
|
|
Structure Proposal # 7 FVOVUHBTZRUNTJ Deviation = 1.76ppm
Search WEB for skeleton |
|
![]()
|
|
|
Structure Proposal # 8 MMPJJQFRSLZVEQ Deviation = 1.88ppm
Search WEB for skeleton respect to your proposal |
|
![]()
|
|
|
Structure Proposal # 9 PCQFBFOJICRMAF Deviation = 1.97ppm
Search WEB for skeleton |
|
![]()
|
|
|
Structure Proposal # 10 FAIKRAMMKGGNCL Deviation = 2.01ppm
Search WEB for skeleton |
|
![]()
|
|
|
Structure Proposal # 11 KFHFTOSCIXDLGC Deviation = 2.01ppm
Search WEB for skeleton |
|
![]()
|
|
|
Structure Proposal # 12 FNQPJURIJDGGER Deviation = 2.02ppm
Search WEB for skeleton respect to your proposal |
|
![]()
|
|
|
Structure Proposal # 13 XYEJHNVHWTUTCS Deviation = 2.04ppm
Search WEB for skeleton |
|
![]()
|
|
|
Structure Proposal # 14 NVKOPAJDRCHZPT Deviation = 2.07ppm
Search WEB for skeleton |
|
![]()
|
|
|
Structure Proposal # 15 BSMWVMSSRPIPBT Deviation = 2.08ppm
Search WEB for skeleton |
|
![]()
|
|
|
Structure Proposal # 16 TXBBWGCZZYIHFW Deviation = 2.09ppm
Search WEB for skeleton respect to your proposal |
|
![]()
|
|
|
Structure Proposal # 17 QEDRNWQMLGNLKD Deviation = 2.13ppm
Search WEB for skeleton |
|
![]()
|
|
|
Structure Proposal # 18 KSOUTTRTSUGWEE Deviation = 2.15ppm
Search WEB for skeleton respect to your proposal |
|
![]()
|
|
|
Structure Proposal # 19 LLLBIBFOBKEKLR Deviation = 2.16ppm
Search WEB for skeleton |
|
![]()
|
|
|
Structure Proposal # 20 FIQOMGGJDNMCHZ Deviation = 2.20ppm
Search WEB for skeleton |
|
![]()
|
|
|
Structure Proposal # 21 ZZBWXMQTCNZGSF Deviation = 2.21ppm
Search WEB for skeleton respect to your proposal |
|
![]()
|
|
|
Structure Proposal # 22 LBTSBCXCURJVTP Deviation = 2.30ppm
Search WEB for skeleton respect to your proposal |
|
![]()
|
|
|
Structure Proposal # 23 CKVOSTGQGCPAHT Deviation = 2.30ppm
Search WEB for skeleton |
|
![]()
|
|
|
Structure Proposal # 24 HXTHKEYPYQHGJF Deviation = 2.33ppm
Search WEB for skeleton |
|
![]()
|
|
|
Structure Proposal # 25 FBFOXFZRODVFSB Deviation = 2.33ppm
Search WEB for skeleton |
|
![]()
|
|
|
Structure Proposal # 26 XDOBBRLJYFFNBM Deviation = 2.37ppm
Search WEB for skeleton |
|
![]()
|
|
|
Structure Proposal # 27 WEJHUFKKHQTAFW Deviation = 2.38ppm
Search WEB for skeleton respect to your proposal |
|
![]()
|
|
|
Structure Proposal # 28 XFYWEWASLWLUHI Deviation = 2.40ppm
Search WEB for skeleton |
|
![]()
|
|
|
Structure Proposal # 29 QGGFEXPCVVPYKR Deviation = 2.40ppm
Search WEB for skeleton |
|
![]()
|
|
|
Structure Proposal # 30 CCMRXSKBSYRROB Deviation = 2.42ppm
Search WEB for skeleton |
|
![]()
|
|
|
Structure Proposal # 31 OASCHRZDCPDUOK Deviation = 2.42ppm
Search WEB for skeleton respect to your proposal |
|
![]()
|
|
|
Structure Proposal # 32 BDBIDDMHOQQPET Deviation = 2.42ppm
Search WEB for skeleton respect to your proposal |
|
![]()
|
|
|
Structure Proposal # 33 TYBUVLPGZGOFRZ Deviation = 2.43ppm
Search WEB for skeleton |
|
![]()
|
|
|
Structure Proposal # 34 XIRPFQJFDANJBP Deviation = 2.43ppm
Search WEB for skeleton |
|
![]()
|
|
|
Structure Proposal # 35 LUAANCDXONKVPA Deviation = 2.44ppm
Search WEB for skeleton respect to your proposal |
|
![]()
|
|
|
Structure Proposal # 36 RTOQRKSOFFMKQO Deviation = 2.45ppm
Search WEB for skeleton |
|
![]()
|
|
|
Structure Proposal # 37 ADBMVMTYNGYUQP Deviation = 2.48ppm
Search WEB for skeleton respect to your proposal |
|
![]()
|
|
|
Structure Proposal # 38 PYMOQYGDEAULQF Deviation = 2.49ppm
Search WEB for skeleton |
|
![]()
|
|
|
Structure Proposal # 39 IXQPDUOQZQVZNX Deviation = 2.50ppm
Search WEB for skeleton respect to your proposal |
|
![]()
|
|
|
Structure Proposal # 40 VRUZXVRKFUKIJI Deviation = 2.52ppm
Search WEB for skeleton respect to your proposal |
|
![]()
|
|
|
Structure Proposal # 41 BSQJUANBRGYIOH Deviation = 2.53ppm
Search WEB for skeleton respect to your proposal |
|
![]()
|
|
|
Structure Proposal # 42 NKTYEHUEUFULIQ Deviation = 2.54ppm
Search WEB for skeleton respect to your proposal |
|
![]()
|
|
|
Structure Proposal # 43 IEJGRDFMAMONAD Deviation = 2.55ppm
Search WEB for skeleton |
|
![]()
|
|
|
Structure Proposal # 44 VZLFYUIDUHAFBU Deviation = 2.58ppm
Search WEB for skeleton respect to your proposal |
|
![]()
|
|
|
Structure Proposal # 45 LUNURQSMYRSSNP Deviation = 2.58ppm
Search WEB for skeleton |
|
![]()
|
|
|
Structure Proposal # 46 HKEFCVRTHAUGGP Deviation = 2.64ppm
Search WEB for skeleton |
|
![]()
|
|
|
Structure Proposal # 47 WKVWLECWNOHEOV Deviation = 2.65ppm
Search WEB for skeleton |
|
![]()
|
|
|
Structure Proposal # 48 OLRSVYAWHKXIBQ Deviation = 2.72ppm
Search WEB for skeleton respect to your proposal |
|
![]()
|
|
|
Structure Proposal # 49 CDIVYTHIFILGQV Deviation = 2.72ppm
Search WEB for skeleton respect to your proposal |
|
![]()
|
|
|
Structure Proposal # 50 VNXLJAHRGAUSTD Deviation = 2.73ppm
Search WEB for skeleton |
|
![]()
|
|
|
Structure Proposal # 51 XPBZQPAOFVKYED Deviation = 2.74ppm
Search WEB for skeleton |
|
![]()
|
|
|
Structure Proposal # 52 JWKPRABUKWSZNT Deviation = 2.75ppm
Search WEB for skeleton |
|
![]()
|
|
|
Structure Proposal # 53 VWGFESMNLXSGJO Deviation = 2.76ppm
Search WEB for skeleton respect to your proposal |
|
![]()
|
|
|
Structure Proposal # 54 NEJXSKJKTWLHNV Deviation = 2.76ppm
Search WEB for skeleton |
|
![]()
|
|
|
Structure Proposal # 55 WXKFJSTVDKIDSG Deviation = 2.77ppm
Search WEB for skeleton respect to your proposal |
|
![]()
|
|
|
Structure Proposal # 56 NEKAVYZJWVCXJZ Deviation = 2.78ppm
Search WEB for skeleton |
|
![]()
|
|
|
Structure Proposal # 57 LHAILNMSAMKYHS Deviation = 2.79ppm
Search WEB for skeleton |
|
![]()
|
|
|
Structure Proposal # 58 IMYHDBNTYPNAQN Deviation = 2.80ppm
Search WEB for skeleton respect to your proposal |
|
![]()
|
|
|
Structure Proposal # 59 HWCRUECRWSDFDD Deviation = 2.81ppm
Search WEB for skeleton |
|
![]()
|
|
|
Structure Proposal # 60 RFVQGSHHMJFNKK Deviation = 2.82ppm
Search WEB for skeleton respect to your proposal |
|
![]()
|
|
|
Structure Proposal # 61 BMZWEQJTGPGHQE Deviation = 2.83ppm
Search WEB for skeleton respect to your proposal |
|
![]()
|
|
|
Structure Proposal # 62 BFUSGKVKDNVEFY Deviation = 2.84ppm
Search WEB for skeleton respect to your proposal |
|
![]()
|
|
|
Structure Proposal # 63 ZGRSGBIMBFIKRI Deviation = 2.85ppm
Search WEB for skeleton |
|
![]()
|
|
|
Structure Proposal # 64 MMFWTSABYPWSOH Deviation = 2.88ppm
Search WEB for skeleton |
|
![]()
|
|
|
Structure Proposal # 65 NCFDGAYXBJAYST Deviation = 2.89ppm
Search WEB for skeleton |
|
![]()
|
|
|
Structure Proposal # 66 QRLALFAIRIJCAZ Deviation = 2.90ppm
Search WEB for skeleton respect to your proposal |
|
![]()
|
|
|
Structure Proposal # 67 JVUASORLGJKFLX Deviation = 2.93ppm
Search WEB for skeleton |
|
![]()
|
|
|
Structure Proposal # 68 UCIFTMJFRDCTDX Deviation = 2.94ppm
Search WEB for skeleton |
|
![]()
|
|
|
Structure Proposal # 69 HAHJZPSPJKICTH Deviation = 2.96ppm
Search WEB for skeleton |
|
![]()
|
|
|
Structure Proposal # 70 ZKJJJPBNXCBJOU Deviation = 2.96ppm
Search WEB for skeleton |
|
![]()
|
|
|
Structure Proposal # 71 LBJTUTNEQQVKDZ Deviation = 2.98ppm
Search WEB for skeleton respect to your proposal |
|
![]()
|
|
|
Structure Proposal # 72 ZDUNIWMQZBNJAI Deviation = 3.00ppm
Search WEB for skeleton |
|
![]()
|
|
|
Structure Proposal # 73 BDFOAJCJZDHHBW Deviation = 3.01ppm
Search WEB for skeleton |
|
![]()
|
|
|
Structure Proposal # 74 YIHGIZUDYRWPKF Deviation = 3.01ppm
Search WEB for skeleton |
|
![]()
|
|
|
Structure Proposal # 75 MWMPYPDKIIMMFF Deviation = 3.03ppm
Search WEB for skeleton respect to your proposal |
|
![]()
|
|
|
Structure Proposal # 76 TVBOHQAKMPOJQA Deviation = 3.03ppm
Search WEB for skeleton |
|
![]()
|
|
|
Structure Proposal # 77 SKVQBNYZYLGQAT Deviation = 3.03ppm
Search WEB for skeleton |
|
![]()
|
|
|
Structure Proposal # 78 ALTYTRRDMKTIAL Deviation = 3.04ppm
Search WEB for skeleton |
|
![]()
|
|
|
Structure Proposal # 79 RIZQQXHWKVOVIJ Deviation = 3.05ppm
Search WEB for skeleton |
|
![]()
|
|
|
Structure Proposal # 80 BWBQFKAVTVXUOY Deviation = 3.05ppm
Search WEB for skeleton |
|
![]()
|
|
|
Structure Proposal # 81 QLIVAKDXWPHOOM Deviation = 3.06ppm
Search WEB for skeleton respect to your proposal |
|
![]()
|
|
|
Structure Proposal # 82 CUTBQECFKFEDLF Deviation = 3.06ppm
Search WEB for skeleton respect to your proposal |
|
![]()
|
|
|
Structure Proposal # 83 MWSJVWMCQSKBID Deviation = 3.06ppm
Search WEB for skeleton respect to your proposal |
|
![]()
|
|
|
Structure Proposal # 84 DZOJVLQVCSHXLV Deviation = 3.07ppm
Search WEB for skeleton |
|
![]()
|
|
|
Structure Proposal # 85 RNGFRHPWIKWHHF Deviation = 3.08ppm
Search WEB for skeleton |
|
![]()
|
|
|
Structure Proposal # 86 MRPDZSAXGPCCFM Deviation = 3.08ppm
Search WEB for skeleton respect to your proposal |
|
![]()
|
|
|
Structure Proposal # 87 UFINHBLZOPDCRG Deviation = 3.08ppm
Search WEB for skeleton |
|
![]()
|
|
|
Structure Proposal # 88 ZUWKEOVGZNCZSO Deviation = 3.10ppm
Search WEB for skeleton |
|
![]()
|
|
|
Structure Proposal # 89 UEHIYQYWDORJIF Deviation = 3.10ppm
Search WEB for skeleton respect to your proposal |
|
![]()
|
|
|
Structure Proposal # 90 CIZHQZJWJDMGJU Deviation = 3.12ppm
Search WEB for skeleton |
|
![]()
|
|
|
Structure Proposal # 91 GIMJISIWCFGHHR Deviation = 3.14ppm
Search WEB for skeleton |
|
![]()
|
|
|
Structure Proposal # 92 ONGDIVQSAQJRAS Deviation = 3.14ppm
Search WEB for skeleton |
|
![]()
|
|
|
Structure Proposal # 93 OAAGMRWDOAOXFH Deviation = 3.15ppm
Search WEB for skeleton |
|
![]()
|
|
|
Structure Proposal # 94 FJQPVZVVAZORAW Deviation = 3.16ppm
Search WEB for skeleton |
|
![]()
|
|
|
Structure Proposal # 95 NMLMNPHRALVKFD Deviation = 3.18ppm
Search WEB for skeleton |
|
![]()
|
|
|
Structure Proposal # 96 PJKPIYXPZDALBZ Deviation = 3.19ppm
Search WEB for skeleton |
|
![]()
|
|
|
Structure Proposal # 97 QWXGCYPGYIZWGW Deviation = 3.20ppm
Search WEB for skeleton |
|
![]()
|
|
|
Structure Proposal # 98 BTQAOKXCCPQNBW Deviation = 3.21ppm
Search WEB for skeleton respect to your proposal |
|
![]()
|
|
|
Structure Proposal # 99 YNIQLQMRWDSFPA Deviation = 3.22ppm
Search WEB for skeleton |
|
![]()
|
|
|
Structure Proposal # 100 UCFJVJWJAGDXBA Deviation = 3.22ppm
Search WEB for skeleton |
|
![]()
|
|
|
Structure Proposal # 101 IDDOVEWYIZZVAC Deviation = 3.23ppm
Search WEB for skeleton respect to your proposal |
|
![]()
|
|
|
Structure Proposal # 102 OPWFHKXJLGMPBB Deviation = 3.25ppm
Search WEB for skeleton respect to your proposal |
|
![]()
|
|
|
Structure Proposal # 103 JYGOMAGUWIFVBN Deviation = 3.25ppm
Search WEB for skeleton |
|
![]()
|
|
|
Structure Proposal # 104 QRVLVETVIBCZCB Deviation = 3.25ppm
Search WEB for skeleton respect to your proposal |
|
![]()
|
|
|
Structure Proposal # 105 QKABHQRUSOSWSC Deviation = 3.26ppm
Search WEB for skeleton |
|
![]()
|
|
|
Structure Proposal # 106 XPXLARVSBIDQGP Deviation = 3.26ppm
Search WEB for skeleton respect to your proposal |
|
![]()
|
|
|
Structure Proposal # 107 KFIHOLDPSXVNKS Deviation = 3.27ppm
Search WEB for skeleton respect to your proposal |
|
![]()
|
|
|
Structure Proposal # 108 FWSRXRBRUMTSAC Deviation = 3.27ppm
Search WEB for skeleton |
|
![]()
|
|
|
Structure Proposal # 109 NTVWQMCUBFWEBN Deviation = 3.28ppm
Search WEB for skeleton |
|
![]()
|
|
|
Structure Proposal # 110 MXFPXMSPVMFRND Deviation = 3.29ppm
Search WEB for skeleton |
|
![]()
|
|
|
Structure Proposal # 111 BIPDRTZOLMWVLK Deviation = 3.30ppm
Search WEB for skeleton |
|
![]()
|
|
|
Structure Proposal # 112 ISICNVILHDLQFD Deviation = 3.31ppm
Search WEB for skeleton respect to your proposal |
|
![]()
|
|
|
Structure Proposal # 113 ZUXKYRUXJWNKJX Deviation = 3.31ppm
Search WEB for skeleton |
|
![]()
|
|
|
Structure Proposal # 114 AASCDIXRSLZVPS Deviation = 3.31ppm
Search WEB for skeleton respect to your proposal |
|
![]()
|
|
|
Structure Proposal # 115 AHGOUWZZMDQKDK Deviation = 3.32ppm
Search WEB for skeleton |
|
![]()
|
|
|
Structure Proposal # 116 BFDVSHCKBIJXKK Deviation = 3.32ppm
Search WEB for skeleton |
|
![]()
|
|
|
Structure Proposal # 117 JNMZRTDVSJNGHJ Deviation = 3.35ppm
Search WEB for skeleton respect to your proposal |
|
![]()
|
|
|
Structure Proposal # 118 DLONYVFEGCYIKX Deviation = 3.35ppm
Search WEB for skeleton respect to your proposal |
|
![]()
|
|
|
Structure Proposal # 119 ZYIZKJJWTOVZHQ Deviation = 3.37ppm
Search WEB for skeleton |
|
![]()
|
|
|
Structure Proposal # 120 CNQBNRFZZZAQEE Deviation = 3.38ppm
Search WEB for skeleton |
|
![]()
|
|
|
Structure Proposal # 121 ZKJNDFFUKZIEOU Deviation = 3.38ppm
Search WEB for skeleton respect to your proposal |
|
![]()
|
|
|
Structure Proposal # 122 SSIBQZAODSGDAJ Deviation = 3.39ppm
Search WEB for skeleton respect to your proposal |
|
![]()
|
|
|
Structure Proposal # 123 YXHNYXJCILXHNV Deviation = 3.39ppm
Search WEB for skeleton |
|
![]()
|
|
|
Structure Proposal # 124 NEJJUTICKZNGRJ Deviation = 3.41ppm
Search WEB for skeleton |
|
![]()
|
|
|
Structure Proposal # 125 ULWLNTKWVRRQBF Deviation = 3.41ppm
Search WEB for skeleton respect to your proposal |
|
![]()
|
|
|
Structure Proposal # 126 IFXBZVUCBYQQTQ Deviation = 3.42ppm
Search WEB for skeleton respect to your proposal |
|
![]()
|
|
|
Structure Proposal # 127 CBSBYYXPFZUERA Deviation = 3.42ppm
Search WEB for skeleton respect to your proposal |
|
![]()
|
|
|
Structure Proposal # 128 BUYADAKDGHXKKD Deviation = 3.43ppm
Search WEB for skeleton respect to your proposal |
|
![]()
|
|
|
Structure Proposal # 129 IHYLBVPSLHUCRH Deviation = 3.44ppm
Search WEB for skeleton respect to your proposal |
|
![]()
|
|
|
Structure Proposal # 130 JVOXQHSIPYFDJR Deviation = 3.44ppm
Search WEB for skeleton respect to your proposal |
|
![]()
|
|
|
Structure Proposal # 131 JYDDFFAZJURVRA Deviation = 3.45ppm
Search WEB for skeleton |
|
![]()
|
|
|
Structure Proposal # 132 NOLBNNZUKXIRLD Deviation = 3.45ppm
Search WEB for skeleton |
|
![]()
|
|
|
Structure Proposal # 133 KQBQOCBYXTVIMH Deviation = 3.46ppm
Search WEB for skeleton respect to your proposal |
|
![]()
|
|
|
Structure Proposal # 134 RUIWNWSQUZWINB Deviation = 3.46ppm
Search WEB for skeleton |
|
![]()
|
|
|
Structure Proposal # 135 WVFFBEQNHXEXRH Deviation = 3.46ppm
Search WEB for skeleton |
|
![]()
|
|
|
Structure Proposal # 136 QCMNAZFIJDJSLK Deviation = 3.46ppm
Search WEB for skeleton |
|
![]()
|
|
|
Structure Proposal # 137 IWPIGOIWSULKDK Deviation = 3.46ppm
Search WEB for skeleton respect to your proposal |
|
![]()
|
|
|
Structure Proposal # 138 WVTYVUYJRVMKGB Deviation = 3.48ppm
Search WEB for skeleton |
|
![]()
|
|
|
Structure Proposal # 139 PPBPPAVQQVBLAL Deviation = 3.49ppm
Search WEB for skeleton respect to your proposal |
|
![]()
|
|
|
Structure Proposal # 140 YJYHUZIZBMUUOZ Deviation = 3.49ppm
Search WEB for skeleton respect to your proposal |
|
![]()
|
|
|
Structure Proposal # 141 GARCDUMONDTLCZ Deviation = 3.50ppm
Search WEB for skeleton |
|
![]()
|
|
|
Structure Proposal # 142 DGKAQFZIUAMHLY Deviation = 3.51ppm
Search WEB for skeleton respect to your proposal |
|
![]()
|
|
|
Structure Proposal # 143 NDFFORMNXVAKQU Deviation = 3.51ppm
Search WEB for skeleton respect to your proposal |
|
![]()
|
|
|
Structure Proposal # 144 BBHRHOUIKNAQEN Deviation = 3.52ppm
Search WEB for skeleton respect to your proposal |
|
![]()
|
|
|
Structure Proposal # 145 YCQAIDLRUGVCJO Deviation = 3.52ppm
Search WEB for skeleton |
|
![]()
|
|
|
Structure Proposal # 146 VXQDKERVNOEANG Deviation = 3.52ppm
Search WEB for skeleton |
|
![]()
|
|
|
Structure Proposal # 147 IEGFOYAFITWFGR Deviation = 3.52ppm
Search WEB for skeleton respect to your proposal |
|
![]()
|
|
|
Structure Proposal # 148 DZJDPVHEMDTHPI Deviation = 3.56ppm
Search WEB for skeleton |
|
![]()
|
|
|
Structure Proposal # 149 BSXYURKDGIAKRU Deviation = 3.57ppm
Search WEB for skeleton respect to your proposal |
|
![]()
|
|
|
Structure Proposal # 150 RNGFQADZJYBRBF Deviation = 3.57ppm
Search WEB for skeleton respect to your proposal |
|
![]()
|
|
|
Structure Proposal # 151 SUMIXGHCVUTJQB Deviation = 3.58ppm
Search WEB for skeleton |
|
![]()
|
|
|
Structure Proposal # 152 QQUMQIWQXGCSJU Deviation = 3.58ppm
Search WEB for skeleton respect to your proposal |
|
![]()
|
|
|
Structure Proposal # 153 RJLSJZJJJYPYOX Deviation = 3.58ppm
Search WEB for skeleton |
|
![]()
|
|
|
Structure Proposal # 154 WWZDQEBAVCROKC Deviation = 3.58ppm
Search WEB for skeleton |
|
![]()
|
|
|
Structure Proposal # 155 USIRMMJUCCEKEQ Deviation = 3.59ppm
Search WEB for skeleton |
|
![]()
|
|
|
Structure Proposal # 156 OBDOAZSXBKFPDI Deviation = 3.59ppm
Search WEB for skeleton |
|
![]()
|
|
|
Structure Proposal # 157 JOMWDAQGTKYUGO Deviation = 3.59ppm
Search WEB for skeleton |
|
![]()
|
|
|
Structure Proposal # 158 BMEZNWMKZNXKOD Deviation = 3.60ppm
Search WEB for skeleton |
|
![]()
|
|
|
Structure Proposal # 159 COXIEUIYKMBXIV Deviation = 3.61ppm
Search WEB for skeleton respect to your proposal |
|
![]()
|
|
|
Structure Proposal # 160 ZGAMROQKHTYYCL Deviation = 3.61ppm
Search WEB for skeleton |
|
![]()
|
|
|
Structure Proposal # 161 YUCWOKJEVQUDQC Deviation = 3.61ppm
Search WEB for skeleton |
|
![]()
|
|
|
Structure Proposal # 162 ZNUOEWQGWQWSSW Deviation = 3.62ppm
Search WEB for skeleton |
|
![]()
|
|
|
Structure Proposal # 163 WBNJKWCRIIWNCD Deviation = 3.62ppm
Search WEB for skeleton |
|
![]()
|
|
|
Structure Proposal # 164 IYHPLTCAOAPWJC Deviation = 3.64ppm
Search WEB for skeleton |
|
![]()
|
|
|
Structure Proposal # 165 GRZSDOGFRXWVGN Deviation = 3.65ppm
Search WEB for skeleton respect to your proposal |
|
![]()
|
|
|
Structure Proposal # 166 YOMRJCILOABRKG Deviation = 3.67ppm
Search WEB for skeleton respect to your proposal |
|
![]()
|
|
|
Structure Proposal # 167 UEEAWTXSPZGZHM Deviation = 3.67ppm
Search WEB for skeleton |
|
![]()
|
|
|
Structure Proposal # 168 PIMODEAJFQPMRG Deviation = 3.68ppm
Search WEB for skeleton |
|
![]()
|
|
|
Structure Proposal # 169 RZZGFBOQVOKQOJ Deviation = 3.69ppm
Search WEB for skeleton |
|
![]()
|
|
|
Structure Proposal # 170 QIQMTBUOBGPQTN Deviation = 3.69ppm
Search WEB for skeleton |
|
![]()
|
|
|
Structure Proposal # 171 XVYDWLPRXVEKOI Deviation = 3.70ppm
Search WEB for skeleton |
|
![]()
|
|
|
Structure Proposal # 172 NVQHTBNIQSYIMA Deviation = 3.70ppm
Search WEB for skeleton respect to your proposal |
|
![]()
|
|
|
Structure Proposal # 173 KWJXBBPTOPWLTD Deviation = 3.71ppm
Search WEB for skeleton |
|
![]()
|
|
|
Structure Proposal # 174 GJSTXZVDPVVVRV Deviation = 3.71ppm
Search WEB for skeleton |
|
![]()
|
|
|
Structure Proposal # 175 QZWIRVHTBMCPFN Deviation = 3.73ppm
Search WEB for skeleton |
|
![]()
|
|
|
Structure Proposal # 176 TUQNFCQQVICZIS Deviation = 3.73ppm
Search WEB for skeleton |
|
![]()
|
|
|
Structure Proposal # 177 YCBDULSESGTTLW Deviation = 3.73ppm
Search WEB for skeleton respect to your proposal |
|
![]()
|
|
|
Structure Proposal # 178 YUZREUAATGXZMS Deviation = 3.74ppm
Search WEB for skeleton |
|
![]()
|
|
|
Structure Proposal # 179 HTXZUXAKCFLLTA Deviation = 3.75ppm
Search WEB for skeleton |
|
![]()
|
|
|
Structure Proposal # 180 XIDNVLPVHSHIKX Deviation = 3.75ppm
Search WEB for skeleton |
|
![]()
|
|
|
Structure Proposal # 181 NQJPEQCZQIEWHQ Deviation = 3.79ppm
Search WEB for skeleton respect to your proposal |
|
![]()
|
|
|
Structure Proposal # 182 DCUMTMOIJNFXHY Deviation = 3.79ppm
Search WEB for skeleton |
|
![]()
|
|
|
Structure Proposal # 183 KJRYYRCCQSIHOO Deviation = 3.80ppm
Search WEB for skeleton |
|
![]()
|
|
|
Structure Proposal # 184 OCLCJQNSGGLKHV Deviation = 3.80ppm
Search WEB for skeleton |
|
![]()
|
|
|
Structure Proposal # 185 PENLYNQFQJABDC Deviation = 3.81ppm
Search WEB for skeleton |
|
![]()
|
|
|
Structure Proposal # 186 ZMWAJQYSZSCBTJ Deviation = 3.81ppm
Search WEB for skeleton |
|
![]()
|
|
|
Structure Proposal # 187 QNCXLIGRYKAHCU Deviation = 3.82ppm
Search WEB for skeleton respect to your proposal |
|
![]()
|
|
|
Structure Proposal # 188 HEWHQWRBXOGETM Deviation = 3.82ppm
Search WEB for skeleton respect to your proposal |
|
![]()
|
|
|
Structure Proposal # 189 YUFNCNCUZPHYHV Deviation = 3.82ppm
Search WEB for skeleton |
|
![]()
|
|
|
Structure Proposal # 190 KADMLHCZBYANAX Deviation = 3.84ppm
Search WEB for skeleton respect to your proposal |
|
![]()
|
|
|
Structure Proposal # 191 DABGTTRZITZFDD Deviation = 3.84ppm
Search WEB for skeleton |
|
![]()
|
|
|
Structure Proposal # 192 HLBBJEPPQYGIRI Deviation = 3.84ppm
Search WEB for skeleton |
|
![]()
|
|
|
Structure Proposal # 193 SCJLJAQRIMLUKW Deviation = 3.84ppm
Search WEB for skeleton |
|
![]()
|
|
|
Structure Proposal # 194 ZQCGOLUDDMENDO Deviation = 3.84ppm
Search WEB for skeleton respect to your proposal |
|
![]()
|
|
|
Structure Proposal # 195 XVUULBFMIJUOFY Deviation = 3.85ppm
Search WEB for skeleton |
|
![]()
|
|
|
Structure Proposal # 196 HCNPPYAASKWLLB Deviation = 3.86ppm
Search WEB for skeleton |
|
![]()
|
|
|
Structure Proposal # 197 KZZWNYOICPZHEB Deviation = 3.86ppm
Search WEB for skeleton |
|
![]()
|
|
|
Structure Proposal # 198 RWDFRMUWTLIJQK Deviation = 3.86ppm
Search WEB for skeleton |
|
![]()
|
|
|
Structure Proposal # 199 JMETVCHPLBETIK Deviation = 3.87ppm
Search WEB for skeleton respect to your proposal |
|
![]()
|
|
|
Structure Proposal # 200 FORFZDQISKIMBK Deviation = 3.87ppm
Search WEB for skeleton |
|
![]()
|
|
|
Structure Proposal # 201 ZTQADNQKZCMLBN Deviation = 3.87ppm
Search WEB for skeleton |
|
![]()
|
|
|
Structure Proposal # 202 YTEKDVJFDISKNJ Deviation = 3.87ppm
Search WEB for skeleton |
|
![]()
|
|
|
Structure Proposal # 203 YSAQXRKZCBBZTQ Deviation = 3.87ppm
Search WEB for skeleton respect to your proposal |
|
![]()
|
|
|
Structure Proposal # 204 RKQRQUAVBCVTLT Deviation = 3.88ppm
Search WEB for skeleton |
|
![]()
|
|
|
Structure Proposal # 205 ZIBWGRPNUIGVMK Deviation = 3.89ppm
Search WEB for skeleton |
|
![]()
|
|
|
Structure Proposal # 206 LDSPVMRBAVTWOG Deviation = 3.90ppm
Search WEB for skeleton |
|
![]()
|
|
|
Structure Proposal # 207 UYLWXYNOPAHYLR Deviation = 3.90ppm
Search WEB for skeleton |
|
![]()
|
|
|
Structure Proposal # 208 VEICBXBYLNUBMQ Deviation = 3.90ppm
Search WEB for skeleton |
|
![]()
|
|
|
Structure Proposal # 209 IDWBKRBBUBUFRX Deviation = 3.91ppm
Search WEB for skeleton respect to your proposal |
|
![]()
|
|
|
Structure Proposal # 210 GNELPJMOPBAYJM Deviation = 3.91ppm
Search WEB for skeleton |
|
![]()
|
|
|
Structure Proposal # 211 AUIZZGJFIWRYND Deviation = 3.91ppm
Search WEB for skeleton |
|
![]()
|
|
|
Structure Proposal # 212 CEVQNJIYDWOHCX Deviation = 3.93ppm
Search WEB for skeleton |
|
![]()
|
|
|
Structure Proposal # 213 PRLFTZWODWNNSM Deviation = 3.93ppm
Search WEB for skeleton |
|
![]()
|
|
|
Structure Proposal # 214 YSYBECXDZVLZJV Deviation = 3.94ppm
Search WEB for skeleton |
|
![]()
|
|
|
Structure Proposal # 215 QCUSLBSNWSYWIW Deviation = 3.94ppm
Search WEB for skeleton |
|
![]()
|
|
|
Structure Proposal # 216 IODQTUXMKANATN Deviation = 3.94ppm
Search WEB for skeleton |
|
![]()
|
|
|
Structure Proposal # 217 LHPKCAKEXQMRIE Deviation = 3.94ppm
Search WEB for skeleton respect to your proposal |
|
![]()
|
|
|
Structure Proposal # 218 KMKNQVBLIAZDHO Deviation = 3.94ppm
Search WEB for skeleton respect to your proposal |
|
![]()
|
|
|
Structure Proposal # 219 DXMFRJANGHCZIV Deviation = 3.95ppm
Search WEB for skeleton |
|
![]()
|
|
|
Structure Proposal # 220 FGOVJQJUHBWOIZ Deviation = 3.95ppm
Search WEB for skeleton |
|
![]()
|
|
|
Structure Proposal # 221 CXWXFZHCCMBTSR Deviation = 3.97ppm
Search WEB for skeleton respect to your proposal |
|
![]()
|
|
|
Structure Proposal # 222 ZMHXYZFLEPRFGB Deviation = 3.99ppm
Search WEB for skeleton |
|
![]()
|
|
|
Structure Proposal # 223 NAVDLFNOLYIXPH Deviation = 4.01ppm
Search WEB for skeleton |
|
![]()
|
|
|
Structure Proposal # 224 ZQYYAFLXFMAWMB Deviation = 4.01ppm
Search WEB for skeleton respect to your proposal |
|
![]()
|
|
|
Structure Proposal # 225 NKZWHDHPQHBARF Deviation = 4.01ppm
Search WEB for skeleton |
|
![]()
|
|
|
Structure Proposal # 226 PWJDTKZXDQLBAI Deviation = 4.02ppm
Search WEB for skeleton |
|
![]()
|
|
|
Structure Proposal # 227 GPRPSWYQEKILGK Deviation = 4.03ppm
Search WEB for skeleton |
|
![]()
|
|
|
Structure Proposal # 228 DMCUGGSCBIHGED Deviation = 4.03ppm
Search WEB for skeleton respect to your proposal |
|
![]()
|
|
|
Structure Proposal # 229 JDIWRYWBEOUESN Deviation = 4.03ppm
Search WEB for skeleton |
|
![]()
|
|
|
Structure Proposal # 230 PHFOWOYKRMOFCF Deviation = 4.03ppm
Search WEB for skeleton |
|
![]()
|
|
|
Structure Proposal # 231 RXRYYDUTHHKTDY Deviation = 4.04ppm
Search WEB for skeleton respect to your proposal |
|
![]()
|
|
|
Structure Proposal # 232 CPEZCYKIFCKKHL Deviation = 4.05ppm
Search WEB for skeleton |
|
![]()
|
|
|
Structure Proposal # 233 RWRJRZHKYLQHMJ Deviation = 4.06ppm
Search WEB for skeleton |
|
![]()
|
|
|
Structure Proposal # 234 WQPPCRJLPMJWED Deviation = 4.06ppm
Search WEB for skeleton |
|
![]()
|
|
|
Structure Proposal # 235 IOXUNGRQBGXZAV Deviation = 4.06ppm
Search WEB for skeleton |
|
![]()
|
|
|
Structure Proposal # 236 VOJICJJWBPAVMJ Deviation = 4.07ppm
Search WEB for skeleton |
|
![]()
|
|
|
Structure Proposal # 237 QIILASZUVSGSHR Deviation = 4.07ppm
Search WEB for skeleton |
|
![]()
|
|
|
Structure Proposal # 238 QEHQODZYKYQIQC Deviation = 4.07ppm
Search WEB for skeleton |
|
![]()
|
|
|
Structure Proposal # 239 HSARCRZVRJDDMT Deviation = 4.08ppm
Search WEB for skeleton respect to your proposal |
|
![]()
|
|
|
Structure Proposal # 240 OIXSZPGRQGJXOS Deviation = 4.08ppm
Search WEB for skeleton |
|
![]()
|
|
|
Structure Proposal # 241 OVUJZBSYRYWZQX Deviation = 4.09ppm
Search WEB for skeleton |
|
![]()
|
|
|
Structure Proposal # 242 YCTDRTGHUNECPC Deviation = 4.09ppm
Search WEB for skeleton respect to your proposal |
|
![]()
|
|
|
Structure Proposal # 243 DSKZPUVBXLYWMR Deviation = 4.10ppm
Search WEB for skeleton respect to your proposal |
|
![]()
|
|
|
Structure Proposal # 244 YDQBFDKCIRUIPZ Deviation = 4.10ppm
Search WEB for skeleton |
|
![]()
|
|
|
Structure Proposal # 245 KHMWFEVHKAQMOJ Deviation = 4.11ppm
Search WEB for skeleton |
|
![]()
|
|
|
Structure Proposal # 246 REWFIDBFNKIIBW Deviation = 4.11ppm
Search WEB for skeleton |
|
![]()
|
|
|
Structure Proposal # 247 NOKZFARBYQGECD Deviation = 4.11ppm
Search WEB for skeleton |
|
![]()
|
|
|
Structure Proposal # 248 CEQPYPAZIVIJPZ Deviation = 4.11ppm
Search WEB for skeleton |
|
![]()
|
|
|
Structure Proposal # 249 AMJBVGMEDZMHAU Deviation = 4.12ppm
Search WEB for skeleton |
|
![]()
|
|
|
Structure Proposal # 250 JEOMPQXFUIKGEC Deviation = 4.13ppm
Search WEB for skeleton respect to your proposal |
|
![]()
|
|
|
Structure Proposal # 251 XQQIMJCURFTNIZ Deviation = 4.13ppm
Search WEB for skeleton |
|
![]()
|
|
|
Structure Proposal # 252 MAQZABDQXMRZDL Deviation = 4.13ppm
Search WEB for skeleton |
|
![]()
|
|
|
Structure Proposal # 253 ASRMFZRDCVFIJN Deviation = 4.13ppm
Search WEB for skeleton |
|
![]()
|
|
|
Structure Proposal # 254 DVPBYNRYPPGNOF Deviation = 4.14ppm
Search WEB for skeleton |
|
![]()
|
|
|
Structure Proposal # 255 OXVVGJWNWPYESA Deviation = 4.14ppm
Search WEB for skeleton respect to your proposal |
|
![]()
|
|
|
Structure Proposal # 256 KCEOZYDTPQSGFU Deviation = 4.15ppm
Search WEB for skeleton |
|
![]()
|
|
|
Structure Proposal # 257 QLNXSWUSBCOWKZ Deviation = 4.15ppm
Search WEB for skeleton |
|
![]()
|
|
|
Structure Proposal # 258 JUBABJOFLQPTLV Deviation = 4.16ppm
Search WEB for skeleton respect to your proposal |
|
![]()
|
|
|
Structure Proposal # 259 XKBXVMDUCIEPFG Deviation = 4.17ppm
Search WEB for skeleton |
|
![]()
|
|
|
Structure Proposal # 260 GDODIVLWQMADCG Deviation = 4.17ppm
Search WEB for skeleton |
|
![]()
|
|
|
Structure Proposal # 261 KGCIMKNKVUKBKD Deviation = 4.18ppm
Search WEB for skeleton |
|
![]()
|
|
|
Structure Proposal # 262 RYTSUTZOXNVHJW Deviation = 4.18ppm
Search WEB for skeleton respect to your proposal |
|
![]()
|
|
|
Structure Proposal # 263 ZXNKLJJTSQKAIZ Deviation = 4.20ppm
Search WEB for skeleton |
|
![]()
|
|
|
Structure Proposal # 264 QMLKIKYYXZAVCY Deviation = 4.20ppm
Search WEB for skeleton |
|
![]()
|
|
|
Structure Proposal # 265 UXPZOKDWPOJKLA Deviation = 4.21ppm
Search WEB for skeleton |
|
![]()
|
|
|
Structure Proposal # 266 OESLJJRRYUYULF Deviation = 4.21ppm
Search WEB for skeleton |
|
![]()
|
|
|
Structure Proposal # 267 IUFBRMFCRVZMRA Deviation = 4.22ppm
Search WEB for skeleton |
|
![]()
|
|
|
Structure Proposal # 268 HISKVONYEQYFDS Deviation = 4.23ppm
Search WEB for skeleton respect to your proposal |
|
![]()
|
|
|
Structure Proposal # 269 CMRNGAJUZNPQLE Deviation = 4.23ppm
Search WEB for skeleton |
|
![]()
|
|
|
Structure Proposal # 270 IDWFVIBIXQYFNW Deviation = 4.24ppm
Search WEB for skeleton |
|
![]()
|
|
|
Structure Proposal # 271 PMNKHAGVISKRNC Deviation = 4.24ppm
Search WEB for skeleton |
|
![]()
|
|
|
Structure Proposal # 272 CATLQXWATFIQSE Deviation = 4.25ppm
Search WEB for skeleton respect to your proposal |
|
![]()
|
|
|
Structure Proposal # 273 OCHUBCMAGQNRPH Deviation = 4.25ppm
Search WEB for skeleton |
|
![]()
|
|
|
Structure Proposal # 274 LXSZPCLEDWMFHY Deviation = 4.26ppm
Search WEB for skeleton |
|
![]()
|
|
|
Structure Proposal # 275 PRMZPZNZUYZOGP Deviation = 4.26ppm
Search WEB for skeleton |
|
![]()
|
|
|
Structure Proposal # 276 ZHQQBTOAFRCCAE Deviation = 4.28ppm
Search WEB for skeleton |
|
![]()
|
|
|
Structure Proposal # 277 ASYIREYRLMMXIR Deviation = 4.28ppm
Search WEB for skeleton |
|
![]()
|
|
|
Structure Proposal # 278 LEHAHQHCQPDXFU Deviation = 4.28ppm
Search WEB for skeleton |
|
![]()
|
|
|
Structure Proposal # 279 RXKNELQFIRKQMW Deviation = 4.29ppm
Search WEB for skeleton respect to your proposal |
|
![]()
|
|
|
Structure Proposal # 280 ZBSJINMFNLPYMK Deviation = 4.29ppm
Search WEB for skeleton |
|
![]()
|
|
|
Structure Proposal # 281 HYGFDAITXIDCQT Deviation = 4.29ppm
Search WEB for skeleton |
|
![]()
|
|
|
Structure Proposal # 282 CGJWIEVZKDSTGL Deviation = 4.30ppm
Search WEB for skeleton respect to your proposal |
|
![]()
|
|
|
Structure Proposal # 283 IBMFMGSYOWOSHM Deviation = 4.31ppm
Search WEB for skeleton |
|
![]()
|
|
|
Structure Proposal # 284 ZVGKADURZYNIAV Deviation = 4.31ppm
Search WEB for skeleton respect to your proposal |
|
![]()
|
|
|
Structure Proposal # 285 BOWXDTZZYSMIAC Deviation = 4.31ppm
Search WEB for skeleton |
|
![]()
|
|
|
Structure Proposal # 286 JUHCNSQFRHHRRP Deviation = 4.31ppm
Search WEB for skeleton |
|
![]()
|
|
|
Structure Proposal # 287 YCKUVQZBBRQRSV Deviation = 4.31ppm
Search WEB for skeleton |
|
![]()
|
|
|
Structure Proposal # 288 WAXFXFZZUKXBNL Deviation = 4.32ppm
Search WEB for skeleton respect to your proposal |
|
![]()
|
|
|
Structure Proposal # 289 XVUWWNQCVLCBNN Deviation = 4.33ppm
Search WEB for skeleton |
|
![]()
|
|
|
Structure Proposal # 290 UMGOOVDBUAWXNB Deviation = 4.33ppm
Search WEB for skeleton |
|
![]()
|
|
|
Structure Proposal # 291 QCVLFTWAAIQDJR Deviation = 4.33ppm
Search WEB for skeleton |
|
![]()
|
|
|
Structure Proposal # 292 OOLAWZDZOXPUJW Deviation = 4.34ppm
Search WEB for skeleton |
|
![]()
|
|
|
Structure Proposal # 293 ZTSPVQHWXRVVTP Deviation = 4.34ppm
Search WEB for skeleton respect to your proposal |
|
![]()
|
|
|
Structure Proposal # 294 AWMWEYMRJDFQQG Deviation = 4.35ppm
Search WEB for skeleton |
|
![]()
|
|
|
Structure Proposal # 295 GMTMYSSGLVKSLA Deviation = 4.36ppm
Search WEB for skeleton |
|
![]()
|
|
|
Structure Proposal # 296 VIBFWKRHBBZTCK Deviation = 4.36ppm
Search WEB for skeleton |
|
![]()
|
|
|
Structure Proposal # 297 PRAPJYUCFNGBEX Deviation = 4.37ppm
Search WEB for skeleton respect to your proposal |
|
![]()
|
|
|
Structure Proposal # 298 CIWYCWFMAGKDCF Deviation = 4.37ppm
Search WEB for skeleton respect to your proposal |
|
![]()
|
|
|
Structure Proposal # 299 QLPIMLKPCDOGJZ Deviation = 4.38ppm
Search WEB for skeleton |
|
![]()
|
|
|
Structure Proposal # 300 BBCBJYFPXHPRBR Deviation = 4.38ppm
Search WEB for skeleton |
|
![]()
|
|
|
Structure Proposal # 301 OGNUEXWJGLZBLP Deviation = 4.39ppm
Search WEB for skeleton |
|
![]()
|
|
|
Structure Proposal # 302 NAVHPKMZYWQUEB Deviation = 4.39ppm
Search WEB for skeleton respect to your proposal |
|
![]()
|
|
|
Structure Proposal # 303 WKKYKJWDJRPDSL Deviation = 4.39ppm
Search WEB for skeleton |
|
![]()
|
|
|
Structure Proposal # 304 XAXYEJFUSUVEFA Deviation = 4.41ppm
Search WEB for skeleton |
|
![]()
|
|
|
Structure Proposal # 305 LXKCRCRHWBVNHH Deviation = 4.41ppm
Search WEB for skeleton |
|
![]()
|
|
|
Structure Proposal # 306 FRQLCPFBMNESBZ Deviation = 4.41ppm
Search WEB for skeleton respect to your proposal |
|
![]()
|
|
|
Structure Proposal # 307 FKQUSUODQZJMAS Deviation = 4.42ppm
Search WEB for skeleton |
|
![]()
|
|
|
Structure Proposal # 308 PTLXEKOKYMJGQX Deviation = 4.42ppm
Search WEB for skeleton respect to your proposal |
|
![]()
|
|
|
Structure Proposal # 309 FMCZGXULYZZNPC Deviation = 4.42ppm
Search WEB for skeleton respect to your proposal |
|
![]()
|
|
|
Structure Proposal # 310 HHJINXVSAYGBRK Deviation = 4.43ppm
Search WEB for skeleton |
|
![]()
|
|
|
Structure Proposal # 311 DFRQLMJOYGAENN Deviation = 4.44ppm
Search WEB for skeleton |
|
![]()
|
|
|
Structure Proposal # 312 JHVWILZFQFHVKK Deviation = 4.44ppm
Search WEB for skeleton |
|
![]()
|
|
|
Structure Proposal # 313 RSDFNQFWVPXGFW Deviation = 4.44ppm
Search WEB for skeleton respect to your proposal |
|
![]()
|
|
|
Structure Proposal # 314 UMGWSMWAJBMZOU Deviation = 4.44ppm
Search WEB for skeleton |
|
![]()
|
|
|
Structure Proposal # 315 LPEQFDIJWAYCPC Deviation = 4.44ppm
Search WEB for skeleton |
|
![]()
|
|
|
Structure Proposal # 316 BSCGDHVYBXQDPO Deviation = 4.47ppm
Search WEB for skeleton |
|
![]()
|
|
|
Structure Proposal # 317 WYGZPUYHIWIBFR Deviation = 4.47ppm
Search WEB for skeleton respect to your proposal |
|
![]()
|
|
|
Structure Proposal # 318 FTCFPMBPALDAHU Deviation = 4.47ppm
Search WEB for skeleton |
|
![]()
|
|
|
Structure Proposal # 319 NSQKIZJLQCPMDN Deviation = 4.47ppm
Search WEB for skeleton respect to your proposal |
|
![]()
|
|
|
Structure Proposal # 320 RMBBSNXNFSAWLK Deviation = 4.47ppm
Search WEB for skeleton respect to your proposal |
|
![]()
|
|
|
Structure Proposal # 321 ONJOJAVKXJGFIQ Deviation = 4.49ppm
Search WEB for skeleton respect to your proposal |
|
![]()
|
|
|
Structure Proposal # 322 OLVIQXZMAXJWQQ Deviation = 4.49ppm
Search WEB for skeleton respect to your proposal |
|
![]()
|
|
|
Structure Proposal # 323 INBVUBDTKDNYCP Deviation = 4.49ppm
Search WEB for skeleton |
|
![]()
|
|
|
Structure Proposal # 324 VWVLAUWKBRLMSB Deviation = 4.49ppm
Search WEB for skeleton |
|
![]()
|
|
|
Structure Proposal # 325 GBUOYELAEUUPSR Deviation = 4.49ppm
Search WEB for skeleton |
|
![]()
|
|
|
Structure Proposal # 326 TYVRFEGNXSXHHF Deviation = 4.50ppm
Search WEB for skeleton |
|
![]()
|
|
|
Structure Proposal # 327 HBTKMIUNAWIFSK Deviation = 4.50ppm
Search WEB for skeleton respect to your proposal |
|
![]()
|
|
|
Structure Proposal # 328 AKVDDOIZQHFIAG Deviation = 4.51ppm
Search WEB for skeleton |
|
![]()
|
|
|
Structure Proposal # 329 YBKYPMGLFUZMBF Deviation = 4.51ppm
Search WEB for skeleton respect to your proposal |
|
![]()
|
|
|
Structure Proposal # 330 MIVNMWUNRYFFNU Deviation = 4.52ppm
Search WEB for skeleton |
|
![]()
|
|
|
Structure Proposal # 331 RDRYEDWWOMRJBM Deviation = 4.52ppm
Search WEB for skeleton |
|
![]()
|
|
|
Structure Proposal # 332 KSKAXWWFHHEMMM Deviation = 4.52ppm
Search WEB for skeleton |
|
![]()
|
|
|
Structure Proposal # 333 ZVSGUAPIWLWNDQ Deviation = 4.54ppm
Search WEB for skeleton respect to your proposal |
|
![]()
|
|
|
Structure Proposal # 334 DVDUUCMNTIMPCW Deviation = 4.54ppm
Search WEB for skeleton |
|
![]()
|
|
|
Structure Proposal # 335 NNYJEGDWYPEMAU Deviation = 4.54ppm
Search WEB for skeleton |
|
![]()
|
|
|
Structure Proposal # 336 DVYUHILFTLTKOV Deviation = 4.55ppm
Search WEB for skeleton respect to your proposal |
|
![]()
|
|
|
Structure Proposal # 337 HRZFPIHTYBSLHK Deviation = 4.55ppm
Search WEB for skeleton |
|
![]()
|
|
|
Structure Proposal # 338 XKXSQQWHUONQSB Deviation = 4.56ppm
Search WEB for skeleton |
|
![]()
|
|
|
Structure Proposal # 339 KJTUWGVSNOKTEB Deviation = 4.56ppm
Search WEB for skeleton respect to your proposal |
|
![]()
|
|
|
Structure Proposal # 340 RHQKCGCYNXMXAG Deviation = 4.56ppm
Search WEB for skeleton respect to your proposal |
|
![]()
|
|
|
Structure Proposal # 341 RUAWPNBGIJHEFB Deviation = 4.56ppm
Search WEB for skeleton |
|
![]()
|
|
|
Structure Proposal # 342 QNBPIBYDTYVZAX Deviation = 4.56ppm
Search WEB for skeleton respect to your proposal |
|
![]()
|
|
|
Structure Proposal # 343 JUPKUKFASTUQLF Deviation = 4.56ppm
Search WEB for skeleton respect to your proposal |
|
![]()
|
|
|
Structure Proposal # 344 AMRWZMHOCLCTHA Deviation = 4.57ppm
Search WEB for skeleton |
|
![]()
|
|
|
Structure Proposal # 345 GIABUHFIZVSVOF Deviation = 4.58ppm
Search WEB for skeleton respect to your proposal |
|
![]()
|
|
|
Structure Proposal # 346 LZXXSZSSKAXZMX Deviation = 4.58ppm
Search WEB for skeleton |
|
![]()
|
|
|
Structure Proposal # 347 WBQJWFYAYIVLIZ Deviation = 4.58ppm
Search WEB for skeleton |
|
![]()
|
|
|
Structure Proposal # 348 DJTQOFVWOCFLPM Deviation = 4.58ppm
Search WEB for skeleton respect to your proposal |
|
![]()
|
|
|
Structure Proposal # 349 DHZLCNRZAUEHHH Deviation = 4.59ppm
Search WEB for skeleton |
|
![]()
|
|
|
Structure Proposal # 350 PFDQDBVDAQICRM Deviation = 4.59ppm
Search WEB for skeleton respect to your proposal |
|
![]()
|
|
|
Structure Proposal # 351 RDMPJKJALDQCTF Deviation = 4.60ppm
Search WEB for skeleton |
|
![]()
|
|
|
Structure Proposal # 352 DGJWTIOTWXCJJU Deviation = 4.60ppm
Search WEB for skeleton |
|
![]()
|
|
|
Structure Proposal # 353 VNJJEBCPOANBFY Deviation = 4.60ppm
Search WEB for skeleton |
|
![]()
|
|
|
Structure Proposal # 354 LEWPXTRVHNZBIT Deviation = 4.61ppm
Search WEB for skeleton |
|
![]()
|
|
|
Structure Proposal # 355 IRAADQAAFLECJO Deviation = 4.61ppm
Search WEB for skeleton respect to your proposal |
|
![]()
|
|
|
Structure Proposal # 356 FNQMWUSSEHFUNW Deviation = 4.61ppm
Search WEB for skeleton |
|
![]()
|
|
|
Structure Proposal # 357 CFFIAIGIADBNOB Deviation = 4.61ppm
Search WEB for skeleton |
|
![]()
|
|
|
Structure Proposal # 358 CIZZEBKKRFLQJD Deviation = 4.62ppm
Search WEB for skeleton respect to your proposal |
|
![]()
|
|
|
Structure Proposal # 359 UGKMMIGGIAVZDV Deviation = 4.62ppm
Search WEB for skeleton |
|
![]()
|
|
|
Structure Proposal # 360 KUXFLUFSEDPDFW Deviation = 4.62ppm
Search WEB for skeleton |
|
![]()
|
|
|
Structure Proposal # 361 XFYGTQRINUFIKK Deviation = 4.63ppm
Search WEB for skeleton |
|
![]()
|
|
|
Structure Proposal # 362 WJWGWCIZVFYVKS Deviation = 4.63ppm
Search WEB for skeleton |
|
![]()
|
|
|
Structure Proposal # 363 IYUBNPDUFQURAF Deviation = 4.63ppm
Search WEB for skeleton |
|
![]()
|
|
|
Structure Proposal # 364 UCVIWKHYZYRIKC Deviation = 4.63ppm
Search WEB for skeleton |
|
![]()
|
|
|
Structure Proposal # 365 CAZKWIKIBGNWAC Deviation = 4.64ppm
Search WEB for skeleton |
|
![]()
|
|
|
Structure Proposal # 366 CWMQKILNULPOBT Deviation = 4.64ppm
Search WEB for skeleton respect to your proposal |
|
![]()
|
|
|
Structure Proposal # 367 UPUKICHPSNKGLB Deviation = 4.64ppm
Search WEB for skeleton |
|
![]()
|
|
|
Structure Proposal # 368 KKPWKBQBOPEVBJ Deviation = 4.64ppm
Search WEB for skeleton |
|
![]()
|
|
|
Structure Proposal # 369 OMZSQAFJZHSELC Deviation = 4.65ppm
Search WEB for skeleton respect to your proposal |
|
![]()
|
|
|
Structure Proposal # 370 XLYVQQMHAOJECE Deviation = 4.66ppm
Search WEB for skeleton |
|
![]()
|
|
|
Structure Proposal # 371 MIAKWBFMPWIKFN Deviation = 4.66ppm
Search WEB for skeleton respect to your proposal |
|
![]()
|
|
|
Structure Proposal # 372 YMVCMULHGNCGFM Deviation = 4.67ppm
Search WEB for skeleton respect to your proposal |
|
![]()
|
|
|
Structure Proposal # 373 FWWKNRPJBQXUTO Deviation = 4.67ppm
Search WEB for skeleton |
|
![]()
|
|
|
Structure Proposal # 374 SPDRTCOLRLQEDA Deviation = 4.67ppm
Search WEB for skeleton |
|
![]()
|
|
|
Structure Proposal # 375 GFXPGKYVHQWXOY Deviation = 4.69ppm
Search WEB for skeleton |
|
![]()
|
|
|
Structure Proposal # 376 XIGALOCJCLCXAP Deviation = 4.70ppm
Search WEB for skeleton respect to your proposal |
|
![]()
|
|
|
Structure Proposal # 377 GUMCFWZQIQMYAX Deviation = 4.70ppm
Search WEB for skeleton |
|
![]()
|
|
|
Structure Proposal # 378 GLFHSXHYSNANDO Deviation = 4.70ppm
Search WEB for skeleton respect to your proposal |
|
![]()
|
|
|
Structure Proposal # 379 RZLJTAXMMWNZHI Deviation = 4.70ppm
Search WEB for skeleton |
|
![]()
|
|
|
Structure Proposal # 380 ZTGFYLRCDOQDIA Deviation = 4.71ppm
Search WEB for skeleton |
|
![]()
|
|
|
Structure Proposal # 381 GNPNXWBCIGFIGP Deviation = 4.71ppm
Search WEB for skeleton |
|
![]()
|
|
|
Structure Proposal # 382 JDMBVDXYXLQZET Deviation = 4.71ppm
Search WEB for skeleton |
|
![]()
|
|
|
Structure Proposal # 383 UPONCCJYPGDEIJ Deviation = 4.71ppm
Search WEB for skeleton |
|
![]()
|
|
|
Structure Proposal # 384 TYEHHGDVJVDYRE Deviation = 4.72ppm
Search WEB for skeleton |
|
![]()
|
|
|
Structure Proposal # 385 QLZAGLWWVLAIKF Deviation = 4.72ppm
Search WEB for skeleton respect to your proposal |
|
![]()
|
|
|
Structure Proposal # 386 HYAYWDCDUPUIKX Deviation = 4.72ppm
Search WEB for skeleton respect to your proposal |
|
![]()
|
|
|
Structure Proposal # 387 BJCUEPPKDJBXAV Deviation = 4.73ppm
Search WEB for skeleton |
|
![]()
|
|
|
Structure Proposal # 388 JDHCGZJEOIYERX Deviation = 4.73ppm
Search WEB for skeleton |
|
![]()
|
|
|
Structure Proposal # 389 VYJUVQLJMWIWJZ Deviation = 4.74ppm
Search WEB for skeleton |
|
![]()
|
|
|
Structure Proposal # 390 DHDZVIHOBXCPDW Deviation = 4.74ppm
Search WEB for skeleton |
|
![]()
|
|
|
Structure Proposal # 391 ASJGYCKFSVRYNX Deviation = 4.75ppm
Search WEB for skeleton |
|
![]()
|
|
|
Structure Proposal # 392 GLFAVCOKKSUKKP Deviation = 4.75ppm
Search WEB for skeleton |
|
![]()
|
|
|
Structure Proposal # 393 JYDKHAMKXOTDMU Deviation = 4.76ppm
Search WEB for skeleton respect to your proposal |
|
![]()
|
|
|
Structure Proposal # 394 NBPYXUUGIFXDTH Deviation = 4.76ppm
Search WEB for skeleton |
|
![]()
|
|
|
Structure Proposal # 395 COXXZTVAFYGEMB Deviation = 4.76ppm
Search WEB for skeleton |
|
![]()
|
|
|
Structure Proposal # 396 MDZODUAABNFHEK Deviation = 4.78ppm
Search WEB for skeleton |
|
![]()
|
|
|
Structure Proposal # 397 XVHDYPSMPPNGPK Deviation = 4.78ppm
Search WEB for skeleton |
|
![]()
|
|
|
Structure Proposal # 398 GSXZNLBMNILRIO Deviation = 4.78ppm
Search WEB for skeleton |
|
![]()
|
|
|
Structure Proposal # 399 FTDKWZUIALGQFG Deviation = 4.78ppm
Search WEB for skeleton |
|
![]()
|
|
|
Structure Proposal # 400 JYAVKTNDSDDKQR Deviation = 4.80ppm
Search WEB for skeleton |
|
![]()
|
|
|
Structure Proposal # 401 OELCANAFUOWAIC Deviation = 4.81ppm
Search WEB for skeleton |
|
![]()
|
|
|
Structure Proposal # 402 SQMPQTRBAPYQGS Deviation = 4.81ppm
Search WEB for skeleton respect to your proposal |
|
![]()
|
|
|
Structure Proposal # 403 SDDNHPZHLBDDDG Deviation = 4.81ppm
Search WEB for skeleton respect to your proposal |
|
![]()
|
|
|
Structure Proposal # 404 HDVSGRYZAGSYFY Deviation = 4.81ppm
Search WEB for skeleton |
|
![]()
|
|
|
Structure Proposal # 405 BFLUIEYZAJCDJI Deviation = 4.83ppm
Search WEB for skeleton |
|
![]()
|
|
|
Structure Proposal # 406 XBSHGBXHIFYINL Deviation = 4.83ppm
Search WEB for skeleton |
|
![]()
|
|
|
Structure Proposal # 407 JRJKKXQWMXBVNQ Deviation = 4.85ppm
Search WEB for skeleton |
|
![]()
|
|
|
Structure Proposal # 408 CJLMJEVQHJDYST Deviation = 4.86ppm
Search WEB for skeleton |
|
![]()
|
|
|
Structure Proposal # 409 UIYSRRCCXPDSLK Deviation = 4.86ppm
Search WEB for skeleton respect to your proposal |
|
![]()
|
|
|
Structure Proposal # 410 WLGBILUSGJSLIT Deviation = 4.86ppm
Search WEB for skeleton |
|
![]()
|
|
|
Structure Proposal # 411 ARELKMZVQKVTGF Deviation = 4.87ppm
Search WEB for skeleton |
|
![]()
|
|
|
Structure Proposal # 412 URXFZUVTTGAZLV Deviation = 4.87ppm
Search WEB for skeleton respect to your proposal |
|
![]()
|
|
|
Structure Proposal # 413 RNRIEISFFMULFK Deviation = 4.88ppm
Search WEB for skeleton |
|
![]()
|
|
|
Structure Proposal # 414 GGTCQJOZQGYYLJ Deviation = 4.88ppm
Search WEB for skeleton respect to your proposal |
|
![]()
|
|
|
Structure Proposal # 415 SXCUIJFNVHRLEU Deviation = 4.89ppm
Search WEB for skeleton |
|
![]()
|
|
|
Structure Proposal # 416 WCQINTMRGOZYBX Deviation = 4.89ppm
Search WEB for skeleton respect to your proposal |
|
![]()
|
|
|
Structure Proposal # 417 UTLBDLZSTSNTJP Deviation = 4.90ppm
Search WEB for skeleton |
|
![]()
|
|
|
Structure Proposal # 418 JIKRBHOEULFQPZ Deviation = 4.90ppm
Search WEB for skeleton |
|
![]()
|
|
|
Structure Proposal # 419 PGZFBHQQHSEFKK Deviation = 4.90ppm
Search WEB for skeleton |
|
![]()
|
|
|
Structure Proposal # 420 VNCQNEJPHILZEE Deviation = 4.90ppm
Search WEB for skeleton respect to your proposal |
|
![]()
|
|
|
Structure Proposal # 421 GIJKBIPHDWFGCP Deviation = 4.91ppm
Search WEB for skeleton |
|
![]()
|
|
|
Structure Proposal # 422 FIRNUEYDHOHTCR Deviation = 4.92ppm
Search WEB for skeleton |
|
![]()
|
|
|
Structure Proposal # 423 GNLPDPPDTZLDIA Deviation = 4.92ppm
Search WEB for skeleton |
|
![]()
|
|
|
Structure Proposal # 424 IWORVAFRUFWLNU Deviation = 4.93ppm
Search WEB for skeleton |
|
![]()
|
|
|
Structure Proposal # 425 FHCBHCFTZKJHLI Deviation = 4.93ppm
Search WEB for skeleton |
|
![]()
|
|
|
Structure Proposal # 426 MUZKFKAARROBLE Deviation = 4.93ppm
Search WEB for skeleton respect to your proposal |
|
![]()
|
|
|
Structure Proposal # 427 XCRKRZCKNNKTEV Deviation = 4.93ppm
Search WEB for skeleton respect to your proposal |
|
![]()
|
|
|
Structure Proposal # 428 DZBKYSMZHWAOGD Deviation = 4.94ppm
Search WEB for skeleton |
|
![]()
|
|
|
Structure Proposal # 429 VTIMIYWSQIIEPM Deviation = 4.94ppm
Search WEB for skeleton |
|
![]()
|
|
|
Structure Proposal # 430 ORDFPIRMFSNBEN Deviation = 4.94ppm
Search WEB for skeleton |
|
![]()
|
|
|
Structure Proposal # 431 VABAVLRLBDREAO Deviation = 4.95ppm
Search WEB for skeleton |
|
![]()
|
|
|
Structure Proposal # 432 AQMDBPQXAXWONJ Deviation = 4.95ppm
Search WEB for skeleton respect to your proposal |
|
![]()
|
|
|
Structure Proposal # 433 WFDDTXSFJCKOPZ Deviation = 4.96ppm
Search WEB for skeleton |
|
![]()
|
|
|
Structure Proposal # 434 NNIVWSRYPYBECS Deviation = 4.96ppm
Search WEB for skeleton respect to your proposal |
|
![]()
|
|
|
Structure Proposal # 435 NPZALAVMHKSTTR Deviation = 4.96ppm
Search WEB for skeleton |
|
![]()
|
|
|
Structure Proposal # 436 QLJFZHPTOSBJBU Deviation = 4.96ppm
Search WEB for skeleton |
|
![]()
|
|
|
Structure Proposal # 437 BENNLDKDXZYFBA Deviation = 4.97ppm
Search WEB for skeleton |
|
![]()
|
|
|
Structure Proposal # 438 KKTBCYPLIZDXND Deviation = 4.97ppm
Search WEB for skeleton |
|
![]()
|
|
|
Structure Proposal # 439 NOVHYGFPLKZQGU Deviation = 4.97ppm
Search WEB for skeleton respect to your proposal |
|
![]()
|
|
|
Structure Proposal # 440 HCPMZQUSRKQHET Deviation = 4.98ppm
Search WEB for skeleton |
|
![]()
|
|
|
Structure Proposal # 441 AHMGHZTVWUDOFJ Deviation = 4.98ppm
Search WEB for skeleton |
|
![]()
|
|
|
Structure Proposal # 442 DFVKOHRFOSXHLG Deviation = 4.98ppm
Search WEB for skeleton |
|
![]()
|
|
|
Structure Proposal # 443 ZKQDMFVUMLEPNE Deviation = 4.98ppm
Search WEB for skeleton |
|
![]()
|
|
|
Structure Proposal # 444 IANXPDILGAWIMI Deviation = 4.98ppm
Search WEB for skeleton respect to your proposal |
|
![]()
|
|
|
Structure Proposal # 445 QZCFLQOXRBMNSY Deviation = 4.99ppm
Search WEB for skeleton |
|
![]()
|
|
|
Structure Proposal # 446 NEUGXBQBXBENHH Deviation = 4.99ppm
Search WEB for skeleton |
|
![]()
|
|
|
Structure Proposal # 447 HEIDVPFZBLSXTA Deviation = 5.00ppm
Search WEB for skeleton |
|
![]()
|
|
|
Structure Proposal # 448 RFFWEISTVNJFJR Deviation = 5.00ppm
Search WEB for skeleton |
|
![]()
|
|
|
Structure Proposal # 449 YNMCZVPXCPSQLW Deviation = 5.01ppm
Search WEB for skeleton |
|
![]()
|
|
|
Structure Proposal # 450 OZHMLBQEWTYWDN Deviation = 5.01ppm
Search WEB for skeleton respect to your proposal |
|
![]()
|
|
|
Structure Proposal # 451 SRGZBAQYKUJKPD Deviation = 5.01ppm
Search WEB for skeleton |
|
![]()
|
|
|
Structure Proposal # 452 CAUXEUDAULUIBX Deviation = 5.01ppm
Search WEB for skeleton |
|
![]()
|
|
|
Structure Proposal # 453 DIAZQANDDIVNMF Deviation = 5.01ppm
Search WEB for skeleton |
|
![]()
|
|
|
Structure Proposal # 454 DUKQSFOXYRCXFP Deviation = 5.01ppm
Search WEB for skeleton |
|
![]()
|
|
|
Structure Proposal # 455 MOEHXBUZRGAOBZ Deviation = 5.01ppm
Search WEB for skeleton |
|
![]()
|
|
|
Structure Proposal # 456 NOQNXQVLMQTLBN Deviation = 5.02ppm
Search WEB for skeleton |
|
![]()
|
|
|
Structure Proposal # 457 RACZLYWRZOPWLF Deviation = 5.02ppm
Search WEB for skeleton respect to your proposal |
|
![]()
|
|
|
Structure Proposal # 458 IOXQBQGYXILLCN Deviation = 5.02ppm
Search WEB for skeleton |
|
![]()
|
|
|
Structure Proposal # 459 CLNRVMFWHOFFQN Deviation = 5.02ppm
Search WEB for skeleton respect to your proposal |
|
![]()
|
|
|
Structure Proposal # 460 BSVBDHOPSQFHBP Deviation = 5.02ppm
Search WEB for skeleton |
|
![]()
|
|
|
Structure Proposal # 461 MLUJYXFNFNCILL Deviation = 5.03ppm
Search WEB for skeleton respect to your proposal |
|
![]()
|
|
|
Structure Proposal # 462 UJRPEVBLQRNIQU Deviation = 5.03ppm
Search WEB for skeleton |
|
![]()
|
|
|
Structure Proposal # 463 MVCDHQKLEXBINL Deviation = 5.04ppm
Search WEB for skeleton |
|
![]()
|
|
|
Structure Proposal # 464 IKOLQOHRPIMDTF Deviation = 5.04ppm
Search WEB for skeleton |
|
![]()
|
|
|
Structure Proposal # 465 XGSUCABUTSQSKM Deviation = 5.04ppm
Search WEB for skeleton respect to your proposal |
|
![]()
|
|
|
Structure Proposal # 466 JSQAWEXBDLEUSV Deviation = 5.04ppm
Search WEB for skeleton |
|
![]()
|
|
|
Structure Proposal # 467 JFBUYXDCURKPMG Deviation = 5.05ppm
Search WEB for skeleton |
|
![]()
|
|
|
Structure Proposal # 468 JTZDQLUPQCLBSU Deviation = 5.05ppm
Search WEB for skeleton |
|
![]()
|
|
|
Structure Proposal # 469 LWAPUYCXZRPPPW Deviation = 5.05ppm
Search WEB for skeleton |
|
![]()
|
|
|
Structure Proposal # 470 KEZZHJSJMVPMMA Deviation = 5.05ppm
Search WEB for skeleton |
|
![]()
|
|
|
Structure Proposal # 471 HINCFZIRWRYZEB Deviation = 5.05ppm
Search WEB for skeleton |
|
![]()
|
|
|
Structure Proposal # 472 BKZKHNQUVXJFLQ Deviation = 5.05ppm
Search WEB for skeleton |
|
![]()
|
|
|
Structure Proposal # 473 SJXWMFNUVVIRIX Deviation = 5.05ppm
Search WEB for skeleton respect to your proposal |
|
![]()
|
|
|
Structure Proposal # 474 YPODAEUTTBNOCG Deviation = 5.06ppm
Search WEB for skeleton |
|
![]()
|
|
|
Structure Proposal # 475 KEFVWHWQVYEQNQ Deviation = 5.06ppm
Search WEB for skeleton |
|
![]()
|
|
|
Structure Proposal # 476 HJNLPTFHXRGEJA Deviation = 5.06ppm
Search WEB for skeleton |
|
![]()
|
|
|
Structure Proposal # 477 RCNPQGXQCMIIJD Deviation = 5.06ppm
Search WEB for skeleton respect to your proposal |
|
![]()
|
|
|
Structure Proposal # 478 SSPOSKLXJDCWSI Deviation = 5.06ppm
Search WEB for skeleton |
|
![]()
|
|
|
Structure Proposal # 479 HTBKWWHRMNZRJO Deviation = 5.07ppm
Search WEB for skeleton respect to your proposal |
|
![]()
|
|
|
Structure Proposal # 480 GYKNDXBZERKPSM Deviation = 5.07ppm
Search WEB for skeleton |
|
![]()
|
|
|
Structure Proposal # 481 GCBBURMXVKNEDG Deviation = 5.08ppm
Search WEB for skeleton |
|
![]()
|
|
|
Structure Proposal # 482 XMNJKAXOPJDZAU Deviation = 5.08ppm
Search WEB for skeleton |
|
![]()
|
|
|
Structure Proposal # 483 UNWKZOFBLNWAIV Deviation = 5.09ppm
Search WEB for skeleton |
|
![]()
|
|
|
Structure Proposal # 484 QSBWHWCYYVVFPA Deviation = 5.09ppm
Search WEB for skeleton |
|
![]()
|
|
|
Structure Proposal # 485 QJDFWVZWAKRSBR Deviation = 5.09ppm
Search WEB for skeleton respect to your proposal |
|
![]()
|
|
|
Structure Proposal # 486 PVZCPHZCVOMUCX Deviation = 5.09ppm
Search WEB for skeleton respect to your proposal |
|
![]()
|
|
|
Structure Proposal # 487 VAYLVOZOYWEYSJ Deviation = 5.09ppm
Search WEB for skeleton respect to your proposal |
|
![]()
|
|
|
Structure Proposal # 488 NDVDDEGVZBWKFK Deviation = 5.09ppm
Search WEB for skeleton |
|
![]()
|
|
|
Structure Proposal # 489 RLUALNCJEBUYDC Deviation = 5.10ppm
Search WEB for skeleton |
|
![]()
|
|
|
Structure Proposal # 490 KWXZBBRCSCFCJY Deviation = 5.10ppm
Search WEB for skeleton respect to your proposal |
|
![]()
|
|
|
Structure Proposal # 491 FYKIEKIRVCHNNL Deviation = 5.11ppm
Search WEB for skeleton |
|
![]()
|
|
|
Structure Proposal # 492 HJOSAJXQTBAIER Deviation = 5.11ppm
Search WEB for skeleton |
|
![]()
|
|
|
Structure Proposal # 493 LQNBUTHJDFEZPD Deviation = 5.11ppm
Search WEB for skeleton |
|
![]()
|
|
|
Structure Proposal # 494 ITAWSNZXMNIPTF Deviation = 5.11ppm
Search WEB for skeleton |
|
![]()
|
|
|
Structure Proposal # 495 CIYDUQSCIJWSRE Deviation = 5.12ppm
Search WEB for skeleton |
|
![]()
|
|
|
Structure Proposal # 496 BCSTUQNUXFVDDP Deviation = 5.12ppm
Search WEB for skeleton |
|
![]()
|
|
|
Structure Proposal # 497 AKDIQSDSKOTRRV Deviation = 5.12ppm
Search WEB for skeleton |
|
![]()
|
|
|
Structure Proposal # 498 AMMBIKZBXWBSRN Deviation = 5.13ppm
Search WEB for skeleton |
|
![]()
|
|
|
Structure Proposal # 499 GWIYTWWCOGASIN Deviation = 5.13ppm
Search WEB for skeleton |
|
![]()
|
|
|
Structure Proposal # 500 RRXRQRQVXXZJFX Deviation = 5.13ppm
Search WEB for skeleton |
|
![]()
|
|
|
Structure Proposal # 501 OZTSUCBWMCFODB Deviation = 5.14ppm
Search WEB for skeleton |
|
![]()
|
|
|
Structure Proposal # 502 QHEVNDXSMLJCMD Deviation = 5.14ppm
Search WEB for skeleton |
|
![]()
|
|
|
Structure Proposal # 503 CMRQLQXQBMZTLR Deviation = 5.14ppm
Search WEB for skeleton |
|
![]()
|
|
|
Structure Proposal # 504 SHPFCZWXXSGGBT Deviation = 5.14ppm
Search WEB for skeleton Compound from PUBCHEM |
|
![]()
|
|
|
Structure Proposal # 505 JFXVKEKDFAKSDO Deviation = 5.14ppm
Search WEB for skeleton |
|
![]()
|
|
|
Structure Proposal # 506 SMFZIJAQBVUUSB Deviation = 5.14ppm
Search WEB for skeleton |
|
![]()
|
|
|
Structure Proposal # 507 HZXSRQLUXPQBFM Deviation = 5.14ppm
Search WEB for skeleton |
|
![]()
|
|
|
Structure Proposal # 508 BLBLOQDERUCVAG Deviation = 5.15ppm
Search WEB for skeleton |
|
![]()
|
|
|
Structure Proposal # 509 ROYLLMDRHYPDMW Deviation = 5.16ppm
Search WEB for skeleton |
|
![]()
|
|
|
Structure Proposal # 510 CXBKFLYGKMIXCR Deviation = 5.16ppm
Search WEB for skeleton respect to your proposal |
|
![]()
|
|
|
Structure Proposal # 511 DVHBLBRTSBSUQR Deviation = 5.16ppm
Search WEB for skeleton respect to your proposal |
|
![]()
|
|
|
Structure Proposal # 512 KRPNSJRPAMFKHG Deviation = 5.17ppm
Search WEB for skeleton respect to your proposal |
|
![]()
|
|
|
Structure Proposal # 513 WFMNBBWDWUTVBK Deviation = 5.17ppm
Search WEB for skeleton respect to your proposal |
|
![]()
|
|
|
Structure Proposal # 514 HWUYDDMRCGODKV Deviation = 5.18ppm
Search WEB for skeleton |
|
![]()
|
|
|
Structure Proposal # 515 OBTVDMTUANGCJB Deviation = 5.18ppm
Search WEB for skeleton |
|
![]()
|
|
|
Structure Proposal # 516 PWRDTRUWCAUJHV Deviation = 5.18ppm
Search WEB for skeleton |
|
![]()
|
|
|
Structure Proposal # 517 ROAPJZRPDMTCNF Deviation = 5.20ppm
Search WEB for skeleton CSEARCH ![]() |
|
![]()
|
|
|
Structure Proposal # 518 XIHODCNKIHHVLN Deviation = 5.20ppm
Search WEB for skeleton |
|
![]()
|
|
|
Structure Proposal # 519 IORSUSGWNSAGGR Deviation = 5.20ppm
Search WEB for skeleton |
|
![]()
|
|
|
Structure Proposal # 520 XRBWKIUZWIJZIV Deviation = 5.20ppm
Search WEB for skeleton |
|
![]()
|
|
|
Structure Proposal # 521 UASOAAFCOXNAAE Deviation = 5.21ppm
Search WEB for skeleton |
|
![]()
|
|
|
Structure Proposal # 522 FHOGSRKSOFKJGA Deviation = 5.21ppm
Search WEB for skeleton |
|
![]()
|
|
|
Structure Proposal # 523 KZQANDTYFBDRSU Deviation = 5.21ppm
Search WEB for skeleton |
|
![]()
|
|
|
Structure Proposal # 524 ZHSJBDNMIGRIAR Deviation = 5.22ppm
Search WEB for skeleton |
|
![]()
|
|
|
Structure Proposal # 525 AUESZXAHGSKBPC Deviation = 5.22ppm
Search WEB for skeleton respect to your proposal |
|
![]()
|
|
|
Structure Proposal # 526 ZSOSZDDYEFRQMW Deviation = 5.23ppm
Search WEB for skeleton |
|
![]()
|
|
|
Structure Proposal # 527 CYABEZFGWBUFAF Deviation = 5.23ppm
Search WEB for skeleton respect to your proposal |
|
![]()
|
|
|
Structure Proposal # 528 TWZOIGQPINKGGU Deviation = 5.23ppm
Search WEB for skeleton |
|
![]()
|
|
|
Structure Proposal # 529 WOJPQOVPZOLNIM Deviation = 5.23ppm
Search WEB for skeleton respect to your proposal |
|
![]()
|
|
|
Structure Proposal # 530 DRJRCMUUJNQSTA Deviation = 5.24ppm
Search WEB for skeleton |
|
![]()
|
|
|
Structure Proposal # 531 RLUJOFWRWIWLMZ Deviation = 5.24ppm
Search WEB for skeleton |
|
![]()
|
|
|
Structure Proposal # 532 RLVXGAWMAOPTJD Deviation = 5.25ppm
Search WEB for skeleton |
|
![]()
|
|
|
Structure Proposal # 533 CTDKLBCNWACUNF Deviation = 5.25ppm
Search WEB for skeleton respect to your proposal |
|
![]()
|
|
|
Structure Proposal # 534 ZLLRVMYFGMYDFI Deviation = 5.25ppm
Search WEB for skeleton |
|
![]()
|
|
|
Structure Proposal # 535 JWVRWLYOQLEMHW Deviation = 5.25ppm
Search WEB for skeleton |
|
![]()
|
|
|
Structure Proposal # 536 YCRJOWYZWUGFOA Deviation = 5.25ppm
Search WEB for skeleton |
|
![]()
|
|
|
Structure Proposal # 537 YVRFAEFDAJWLSI Deviation = 5.26ppm
Search WEB for skeleton |
|
![]()
|
|
|
Structure Proposal # 538 UASAGTNDVQPMPO Deviation = 5.26ppm
Search WEB for skeleton |
|
![]()
|
|
|
Structure Proposal # 539 YVVHLCBEQXAVPK Deviation = 5.26ppm
Search WEB for skeleton |
|
![]()
|
|
|
Structure Proposal # 540 SXMSUVXVPZZVTF Deviation = 5.27ppm
Search WEB for skeleton |
|
![]()
|
|
|
Structure Proposal # 541 OLCGDSJOXDCATM Deviation = 5.27ppm
Search WEB for skeleton |
|
![]()
|
|
|
Structure Proposal # 542 KGHKCKGHCMXHAC Deviation = 5.27ppm
Search WEB for skeleton respect to your proposal |
|
![]()
|
|
|
Structure Proposal # 543 RLLPTPQXXAMGBV Deviation = 5.28ppm
Search WEB for skeleton |
|
![]()
|
|
|
Structure Proposal # 544 HHDPDXCGUYXONF Deviation = 5.29ppm
Search WEB for skeleton respect to your proposal |
|
![]()
|
|
|
Structure Proposal # 545 WWBDEYDNJDPCCY Deviation = 5.29ppm
Search WEB for skeleton |
|
![]()
|
|
|
Structure Proposal # 546 ZKLGVVJYIAFBIO Deviation = 5.29ppm
Search WEB for skeleton respect to your proposal |
|
![]()
|
|
|
Structure Proposal # 547 IFYDQPHSPFUOKF Deviation = 5.30ppm
Search WEB for skeleton respect to your proposal |
|
![]()
|
|
|
Structure Proposal # 548 BAAMQFIJCHMJGI Deviation = 5.30ppm
Search WEB for skeleton respect to your proposal |
|
![]()
|
|
|
Structure Proposal # 549 IHXWKZSWSBHQLN Deviation = 5.31ppm
Search WEB for skeleton |
|
![]()
|
|
|
Structure Proposal # 550 OZPPKXJERVKWGA Deviation = 5.31ppm
Search WEB for skeleton respect to your proposal |
|
![]()
|
|
|
Structure Proposal # 551 HBXGGBMRURMYKD Deviation = 5.32ppm
Search WEB for skeleton |
|
![]()
|
|
|
Structure Proposal # 552 HUIMXMWULQRLNK Deviation = 5.32ppm
Search WEB for skeleton respect to your proposal |
|
![]()
|
|
|
Structure Proposal # 553 RDVZESXNBTWDFU Deviation = 5.32ppm
Search WEB for skeleton |
|
![]()
|
|
|
Structure Proposal # 554 YNBNQXXVHYABSX Deviation = 5.32ppm
Search WEB for skeleton |
|
![]()
|
|
|
Structure Proposal # 555 AVWLNHWCRKGOSF Deviation = 5.32ppm
Search WEB for skeleton |
|
![]()
|
|
|
Structure Proposal # 556 ZJNCGYDEFAZZGK Deviation = 5.33ppm
Search WEB for skeleton Compound from PUBCHEM |
|
![]()
|
|
|
Structure Proposal # 557 QCBLPKLXUFCZLW Deviation = 5.33ppm
Search WEB for skeleton respect to your proposal |
|
![]()
|
|
|
Structure Proposal # 558 KGKJAJYZCKOWCO Deviation = 5.33ppm
Search WEB for skeleton respect to your proposal |
|
![]()
|
|
|
Structure Proposal # 559 SPEVYOAIMHCRGJ Deviation = 5.33ppm
Search WEB for skeleton |
|
![]()
|
|
|
Structure Proposal # 560 TUPIKKCZVITCDS Deviation = 5.34ppm
Search WEB for skeleton respect to your proposal |
|
![]()
|
|
|
Structure Proposal # 561 AWAFHJXTXOSOJY Deviation = 5.34ppm
Search WEB for skeleton respect to your proposal |
|
![]()
|
|
|
Structure Proposal # 562 WCYNFWNUNSRDRQ Deviation = 5.34ppm
Search WEB for skeleton |
|
![]()
|
|
|
Structure Proposal # 563 HFINEUVGWUMJAS Deviation = 5.35ppm
Search WEB for skeleton |
|
![]()
|
|
|
Structure Proposal # 564 XNFRQBUVDAYRFP Deviation = 5.36ppm
Search WEB for skeleton |
|
![]()
|
|
|
Structure Proposal # 565 VYLDKAVOPVIZOL Deviation = 5.36ppm
Search WEB for skeleton respect to your proposal |
|
![]()
|
|
|
Structure Proposal # 566 VFUZGGRVBPLUNF Deviation = 5.36ppm
Search WEB for skeleton respect to your proposal |
|
![]()
|
|
|
Structure Proposal # 567 YYYCNHLGVBHIRD Deviation = 5.37ppm
Search WEB for skeleton |
|
![]()
|
|
|
Structure Proposal # 568 NMBYPUFKYJTQJH Deviation = 5.37ppm
Search WEB for skeleton |
|
![]()
|
|
|
Structure Proposal # 569 ODUXJDWGPQIFIA Deviation = 5.37ppm
Search WEB for skeleton |
|
![]()
|
|
|
Structure Proposal # 570 ZYQSZNQLQUOKNR Deviation = 5.37ppm
Search WEB for skeleton |
|
![]()
|
|
|
Structure Proposal # 571 NZAQYBPLOZCQAY Deviation = 5.37ppm
Search WEB for skeleton respect to your proposal |
|
![]()
|
|
|
Structure Proposal # 572 WWLUGCWLOJOIMK Deviation = 5.37ppm
Search WEB for skeleton |
|
![]()
|
|
|
Structure Proposal # 573 DUNBNLTVMZDITM Deviation = 5.37ppm
Search WEB for skeleton |
|
![]()
|
|
|
Structure Proposal # 574 OMNDZESKJFEFHR Deviation = 5.38ppm
Search WEB for skeleton |
|
![]()
|
|
|
Structure Proposal # 575 DGFMSIXVVCIJIA Deviation = 5.38ppm
Search WEB for skeleton |
|
![]()
|
|
|
Structure Proposal # 576 ZBCVOAQOJYWXIY Deviation = 5.39ppm
Search WEB for skeleton |
|
![]()
|
|
|
Structure Proposal # 577 LBACMVUDQMRSLI Deviation = 5.40ppm
Search WEB for skeleton |
|
![]()
|
|
|
Structure Proposal # 578 UGNABHDPLQXDPN Deviation = 5.40ppm
Search WEB for skeleton |
|
![]()
|
|
|
Structure Proposal # 579 UCLVHXYXEVDTIE Deviation = 5.41ppm
Search WEB for skeleton respect to your proposal |
|
![]()
|
|
|
Structure Proposal # 580 ZNIKXTPHUKZUEE Deviation = 5.41ppm
Search WEB for skeleton |
|
![]()
|
|
|
Structure Proposal # 581 NRFIVGJBMMKPCT Deviation = 5.41ppm
Search WEB for skeleton |
|
![]()
|
|
|
Structure Proposal # 582 TXNVUVSTSNNQDD Deviation = 5.42ppm
Search WEB for skeleton |
|
![]()
|
|
|
Structure Proposal # 583 KOVIGCCITHYWKR Deviation = 5.43ppm
Search WEB for skeleton |
|
![]()
|
|
|
Structure Proposal # 584 BDDAQFRXCBLOGR Deviation = 5.43ppm
Search WEB for skeleton |
|
![]()
|
|
|
Structure Proposal # 585 SRDVPVXVCBMTIQ Deviation = 5.44ppm
Search WEB for skeleton |
|
![]()
|
|
|
Structure Proposal # 586 ANASUEABIZYCMM Deviation = 5.44ppm
Search WEB for skeleton |
|
![]()
|
|
|
Structure Proposal # 587 WIQZEHRLNZJUTK Deviation = 5.44ppm
Search WEB for skeleton |
|
![]()
|
|
|
Structure Proposal # 588 QVZDGPOYOSRDKL Deviation = 5.45ppm
Search WEB for skeleton |
|
![]()
|
|
|
Structure Proposal # 589 MNVNSXUZLVCPTA Deviation = 5.45ppm
Search WEB for skeleton |
|
![]()
|
|
|
Structure Proposal # 590 LFWHQYYBVGJFIP Deviation = 5.45ppm
Search WEB for skeleton |
|
![]()
|
|
|
Structure Proposal # 591 MSVBKKIYPIFHJG Deviation = 5.45ppm
Search WEB for skeleton |
|
![]()
|
|
|
Structure Proposal # 592 BQQIFLKWFOIUMG Deviation = 5.45ppm
Search WEB for skeleton respect to your proposal |
|
![]()
|
|
|
Structure Proposal # 593 VQYUYHXQHXJMOA Deviation = 5.45ppm
Search WEB for skeleton respect to your proposal |
|
![]()
|
|
|
Structure Proposal # 594 MFCLDYZZBRRNAU Deviation = 5.45ppm
Search WEB for skeleton |
|
![]()
|
|
|
Structure Proposal # 595 OKRKRAQUVZNECY Deviation = 5.46ppm
Search WEB for skeleton |
|
![]()
|
|
|
Structure Proposal # 596 MLBWFSODYJICFY Deviation = 5.47ppm
Search WEB for skeleton |
|
![]()
|
|
|
Structure Proposal # 597 BZXJYCUGQSIYCE Deviation = 5.47ppm
Search WEB for skeleton |
|
![]()
|
|
|
Structure Proposal # 598 NDCDQADNPVZYEV Deviation = 5.48ppm
Search WEB for skeleton |
|
![]()
|
|
|
Structure Proposal # 599 PTLYIAPPDFSGOL Deviation = 5.48ppm
Search WEB for skeleton |
|
![]()
|
|
|
Structure Proposal # 600 MWMCHCQNRGKSED Deviation = 5.48ppm
Search WEB for skeleton |
|
![]()
|
|
|
Structure Proposal # 601 PNNDSRRNOFPEMC Deviation = 5.49ppm
Search WEB for skeleton |
|
![]()
|
|
|
Structure Proposal # 602 NIBBSHAUFXVCIC Deviation = 5.50ppm
Search WEB for skeleton |
|
![]()
|
|
|
Structure Proposal # 603 AIAHBEUFNKYHRT Deviation = 5.50ppm
Search WEB for skeleton |
|
![]()
|
|
|
Structure Proposal # 604 KLTYBHWBCISGET Deviation = 5.50ppm
Search WEB for skeleton |
|
![]()
|
|
|
Structure Proposal # 605 IEVJIWRQHRZCFU Deviation = 5.50ppm
Search WEB for skeleton respect to your proposal |
|
![]()
|
|
|
Structure Proposal # 606 CJILJDILZQSPED Deviation = 5.50ppm
Search WEB for skeleton |
|
![]()
|
|
|
Structure Proposal # 607 ZOOXQSRZWXNZNI Deviation = 5.51ppm
Search WEB for skeleton |
|
![]()
|
|
|
Structure Proposal # 608 LKGLVVOXAJEKJE Deviation = 5.51ppm
Search WEB for skeleton |
|
![]()
|
|
|
Structure Proposal # 609 PJKMQANODGJMBU Deviation = 5.51ppm
Search WEB for skeleton respect to your proposal |
|
![]()
|
|
|
Structure Proposal # 610 DKLOSJRGPCTXOE Deviation = 5.51ppm
Search WEB for skeleton respect to your proposal |
|
![]()
|
|
|
Structure Proposal # 611 MDXAUQLEGWZTMX Deviation = 5.52ppm
Search WEB for skeleton respect to your proposal |
|
![]()
|
|
|
Structure Proposal # 612 QEUIAASSPXUOMF Deviation = 5.52ppm
Search WEB for skeleton |
|
![]()
|
|
|
Structure Proposal # 613 PVQGMENWCXKNBA Deviation = 5.53ppm
Search WEB for skeleton |
|
![]()
|
|
|
Structure Proposal # 614 PMICAGRJCQRYNL Deviation = 5.53ppm
Search WEB for skeleton respect to your proposal |
|
![]()
|
|
|
Structure Proposal # 615 PMGWJYPZCHUMAK Deviation = 5.53ppm
Search WEB for skeleton respect to your proposal |
|
![]()
|
|
|
Structure Proposal # 616 ODXLRXQNXAMFJO Deviation = 5.54ppm
Search WEB for skeleton |
|
![]()
|
|
|
Structure Proposal # 617 NETDGVDBGOCEDD Deviation = 5.54ppm
Search WEB for skeleton |
|
![]()
|
|
|
Structure Proposal # 618 ZOTJZNNHHAVOAN Deviation = 5.54ppm
Search WEB for skeleton |
|
![]()
|
|
|
Structure Proposal # 619 HXPVFCNZEIZDHJ Deviation = 5.54ppm
Search WEB for skeleton respect to your proposal |
|
![]()
|
|
|
Structure Proposal # 620 COPFNGDXQNTJTH Deviation = 5.54ppm
Search WEB for skeleton respect to your proposal |
|
![]()
|
|
|
Structure Proposal # 621 PUYIFSFNBJYIOI Deviation = 5.55ppm
Search WEB for skeleton respect to your proposal |
|
![]()
|
|
|
Structure Proposal # 622 QLRQNSFQJQTAFP Deviation = 5.56ppm
Search WEB for skeleton |
|
![]()
|
|
|
Structure Proposal # 623 WXJRGBJMODOQFP Deviation = 5.56ppm
Search WEB for skeleton |
|
![]()
|
|
|
Structure Proposal # 624 WWCHMARUZLNMBL Deviation = 5.56ppm
Search WEB for skeleton |
|
![]()
|
|
|
Structure Proposal # 625 HCRUITRKFFXNFI Deviation = 5.56ppm
Search WEB for skeleton |
|
![]()
|
|
|
Structure Proposal # 626 JJXXORWOCQSETH Deviation = 5.57ppm
Search WEB for skeleton |
|
![]()
|
|
|
Structure Proposal # 627 QSWCBPIPXSXRMK Deviation = 5.57ppm
Search WEB for skeleton |
|
![]()
|
|
|
Structure Proposal # 628 XDGDSKAQPHZEGK Deviation = 5.57ppm
Search WEB for skeleton |
|
![]()
|
|
|
Structure Proposal # 629 DQRCBLSYWLPTLV Deviation = 5.57ppm
Search WEB for skeleton respect to your proposal |
|
![]()
|
|
|
Structure Proposal # 630 YVEHFDZIRKEWFP Deviation = 5.58ppm
Search WEB for skeleton |
|
![]()
|
|
|
Structure Proposal # 631 ARPRRAKDVLYGJZ Deviation = 5.58ppm
Search WEB for skeleton |
|
![]()
|
|
|
Structure Proposal # 632 RHFNBGMNUWEUKU Deviation = 5.58ppm
Search WEB for skeleton |
|
![]()
|
|
|
Structure Proposal # 633 FHOVPWRNSUDBPA Deviation = 5.59ppm
Search WEB for skeleton |
|
![]()
|
|
|
Structure Proposal # 634 JIXJAZIXBWOLHK Deviation = 5.59ppm
Search WEB for skeleton |
|
![]()
|
|
|
Structure Proposal # 635 YJGDOZKLCHCDPP Deviation = 5.60ppm
Search WEB for skeleton |
|
![]()
|
|
|
Structure Proposal # 636 PKZPPHSKDSGUID Deviation = 5.60ppm
Search WEB for skeleton |
|
![]()
|
|
|
Structure Proposal # 637 YCGQVHBGVXHTHO Deviation = 5.60ppm
Search WEB for skeleton |
|
![]()
|
|
|
Structure Proposal # 638 FVXPSKAKTAGXDI Deviation = 5.60ppm
Search WEB for skeleton |
|
![]()
|
|
|
Structure Proposal # 639 KXACHYJANZHLQQ Deviation = 5.60ppm
Search WEB for skeleton |
|
![]()
|
|
|
Structure Proposal # 640 ISLSGQPVDIFNRS Deviation = 5.61ppm
Search WEB for skeleton respect to your proposal |
|
![]()
|
|
|
Structure Proposal # 641 KLFMUHBJZSVHGZ Deviation = 5.61ppm
Search WEB for skeleton respect to your proposal |
|
![]()
|
|
|
Structure Proposal # 642 BMJWLZKHNHYOMH Deviation = 5.61ppm
Search WEB for skeleton |
|
![]()
|
|
|
Structure Proposal # 643 UZFJMTCTUMGUTP Deviation = 5.62ppm
Search WEB for skeleton |
|
![]()
|
|
|
Structure Proposal # 644 KAGPYESELUCJDE Deviation = 5.62ppm
Search WEB for skeleton |
|
![]()
|
|
|
Structure Proposal # 645 VEEBWZDNKQMDQM Deviation = 5.62ppm
Search WEB for skeleton |
|
![]()
|
|
|
Structure Proposal # 646 JYYGLKZPZJHSFV Deviation = 5.62ppm
Search WEB for skeleton |
|
![]()
|
|
|
Structure Proposal # 647 OUSZWVKZRDADNH Deviation = 5.62ppm
Search WEB for skeleton |
|
![]()
|
|
|
Structure Proposal # 648 HLXJDLGKCCJVLI Deviation = 5.62ppm
Search WEB for skeleton |
|
![]()
|
|
|
Structure Proposal # 649 YZSCYHKZRKPGDR Deviation = 5.62ppm
Search WEB for skeleton respect to your proposal |
|
![]()
|
|
|
Structure Proposal # 650 RTVRPLWPIZPNER Deviation = 5.63ppm
Search WEB for skeleton |
|
![]()
|
|
|
Structure Proposal # 651 DAOZOCIZVFCIKB Deviation = 5.63ppm
Search WEB for skeleton |
|
![]()
|
|
|
Structure Proposal # 652 CPPZBHAWQNJPEB Deviation = 5.64ppm
Search WEB for skeleton |
|
![]()
|
|
|
Structure Proposal # 653 KFTLUBBUOKMCFS Deviation = 5.64ppm
Search WEB for skeleton |
|
![]()
|
|
|
Structure Proposal # 654 RKMVAMMEOXIJJR Deviation = 5.64ppm
Search WEB for skeleton |
|
![]()
|
|
|
Structure Proposal # 655 MMGOCYRCGZPKCB Deviation = 5.64ppm
Search WEB for skeleton |
|
![]()
|
|
|
Structure Proposal # 656 ZCTRZCDKFPCITB Deviation = 5.64ppm
Search WEB for skeleton |
|
![]()
|
|
|
Structure Proposal # 657 XSODYVDGDGZQCY Deviation = 5.64ppm
Search WEB for skeleton |
|
![]()
|
|
|
Structure Proposal # 658 XMMZBPALUTVYML Deviation = 5.65ppm
Search WEB for skeleton respect to your proposal |
|
![]()
|
|
|
Structure Proposal # 659 JWJCYVWZFBSGJT Deviation = 5.66ppm
Search WEB for skeleton respect to your proposal |
|
![]()
|
|
|
Structure Proposal # 660 HUKJLVCIOIYWLZ Deviation = 5.66ppm
Search WEB for skeleton |
|
![]()
|
|
|
Structure Proposal # 661 IRYNZYHLUIKVTR Deviation = 5.66ppm
Search WEB for skeleton |
|
![]()
|
|
|
Structure Proposal # 662 XOOHWHJVWWVYME Deviation = 5.67ppm
Search WEB for skeleton |
|
![]()
|
|
|
Structure Proposal # 663 JHCFTCDJOQNFOX Deviation = 5.68ppm
Search WEB for skeleton respect to your proposal |
|
![]()
|
|
|
Structure Proposal # 664 RQWWJVAQJSLRKC Deviation = 5.68ppm
Search WEB for skeleton |
|
![]()
|
|
|
Structure Proposal # 665 PNYRQXSOPNZOIE Deviation = 5.68ppm
Search WEB for skeleton |
|
![]()
|
|
|
Structure Proposal # 666 LAPCQTRUGDBQEH Deviation = 5.68ppm
Search WEB for skeleton |
|
![]()
|
|
|
Structure Proposal # 667 NNUHIVBPPKHLEZ Deviation = 5.69ppm
Search WEB for skeleton respect to your proposal |
|
![]()
|
|
|
Structure Proposal # 668 ALMNPTYQOUWUTM Deviation = 5.69ppm
Search WEB for skeleton |
|
![]()
|
|
|
Structure Proposal # 669 DBWAKHYXOFHVCB Deviation = 5.70ppm
Search WEB for skeleton |
|
![]()
|
|
|
Structure Proposal # 670 JFGSUNQHKFWBEG Deviation = 5.70ppm
Search WEB for skeleton respect to your proposal |
|
![]()
|
|
|
Structure Proposal # 671 VLPUSUIENYFLQW Deviation = 5.70ppm
Search WEB for skeleton |
|
![]()
|
|
|
Structure Proposal # 672 DFTLTDGZMOBUNX Deviation = 5.71ppm
Search WEB for skeleton respect to your proposal |
|
![]()
|
|
|
Structure Proposal # 673 SNHAIKMAOYIESU Deviation = 5.71ppm
Search WEB for skeleton |
|
![]()
|
|
|
Structure Proposal # 674 OZIJYQOWGORANN Deviation = 5.71ppm
Search WEB for skeleton |
|
![]()
|
|
|
Structure Proposal # 675 OAMBGPQRLMAAFR Deviation = 5.71ppm
Search WEB for skeleton |
|
![]()
|
|
|
Structure Proposal # 676 QSWGICJQUJVYGC Deviation = 5.71ppm
Search WEB for skeleton |
|
![]()
|
|
|
Structure Proposal # 677 KWEHFWVIDNYUDB Deviation = 5.72ppm
Search WEB for skeleton respect to your proposal |
|
![]()
|
|
|
Structure Proposal # 678 DOIGMTMAUTZYGV Deviation = 5.72ppm
Search WEB for skeleton respect to your proposal |
|
![]()
|
|
|
Structure Proposal # 679 LPUSFSOLGQFUOZ Deviation = 5.72ppm
Search WEB for skeleton |
|
![]()
|
|
|
Structure Proposal # 680 UTPBDBJLOIOCCI Deviation = 5.72ppm
Search WEB for skeleton respect to your proposal |
|
![]()
|
|
|
Structure Proposal # 681 OUFUPWTWYRJCDV Deviation = 5.73ppm
Search WEB for skeleton respect to your proposal |
|
![]()
|
|
|
Structure Proposal # 682 YACQMAXBSYTMIH Deviation = 5.73ppm
Search WEB for skeleton respect to your proposal |
|
![]()
|
|
|
Structure Proposal # 683 KWRUALWXUJWUED Deviation = 5.75ppm
Search WEB for skeleton |
|
![]()
|
|
|
Structure Proposal # 684 HMNREVVQZUYNOU Deviation = 5.76ppm
Search WEB for skeleton |
|
![]()
|
|
|
Structure Proposal # 685 MTOVZUCWWIWDCS Deviation = 5.76ppm
Search WEB for skeleton |
|
![]()
|
|
|
Structure Proposal # 686 WIUANZYHBBKWCD Deviation = 5.76ppm
Search WEB for skeleton |
|
![]()
|
|
|
Structure Proposal # 687 HGPBJNOSEJLTOI Deviation = 5.76ppm
Search WEB for skeleton |
|
![]()
|
|
|
Structure Proposal # 688 FZFFAARSWRQYNR Deviation = 5.76ppm
Search WEB for skeleton |
|
![]()
|
|
|
Structure Proposal # 689 VZUZVGZWOFOQFZ Deviation = 5.77ppm
Search WEB for skeleton |
|
![]()
|
|
|
Structure Proposal # 690 FQOAFZWRTVZVQK Deviation = 5.78ppm
Search WEB for skeleton respect to your proposal |
|
![]()
|
|
|
Structure Proposal # 691 DMKIDIWVFHTLSO Deviation = 5.78ppm
Search WEB for skeleton |
|
![]()
|
|
|
Structure Proposal # 692 QFSHJHHDONJAJW Deviation = 5.80ppm
Search WEB for skeleton |
|
![]()
|
|
|
Structure Proposal # 693 LHRUNMBDNBCRIG Deviation = 5.81ppm
Search WEB for skeleton |
|
![]()
|
|
|
Structure Proposal # 694 NOUBECFCQNEEAP Deviation = 5.81ppm
Search WEB for skeleton |
|
![]()
|
|
|
Structure Proposal # 695 PTCXPHKEIDCVPX Deviation = 5.81ppm
Search WEB for skeleton respect to your proposal |
|
![]()
|
|
|
Structure Proposal # 696 VWJAACMXMSUGAX Deviation = 5.82ppm
Search WEB for skeleton |
|
![]()
|
|
|
Structure Proposal # 697 SUSVWCMIRBGNRY Deviation = 5.83ppm
Search WEB for skeleton respect to your proposal |
|
![]()
|
|
|
Structure Proposal # 698 WVBTZWNERNMQGA Deviation = 5.83ppm
Search WEB for skeleton |
|
![]()
|
|
|
Structure Proposal # 699 LGEPRAPJDHWSKX Deviation = 5.83ppm
Search WEB for skeleton |
|
![]()
|
|
|
Structure Proposal # 700 YPLZGCZHDBIYMU Deviation = 5.83ppm
Search WEB for skeleton |
|
![]()
|
|
|
Structure Proposal # 701 SJJVMJPIQDYJCQ Deviation = 5.84ppm
Search WEB for skeleton |
|
![]()
|
|
|
Structure Proposal # 702 IHCZBUKDTIPBCR Deviation = 5.84ppm
Search WEB for skeleton respect to your proposal |
|
![]()
|
|
|
Structure Proposal # 703 NFWQDFSQRBSOHP Deviation = 5.84ppm
Search WEB for skeleton respect to your proposal |
|
![]()
|
|
|
Structure Proposal # 704 ZJRGZQNPBGECPJ Deviation = 5.84ppm
Search WEB for skeleton |
|
![]()
|
|
|
Structure Proposal # 705 MYYSRVLWDKCEHR Deviation = 5.84ppm
Search WEB for skeleton respect to your proposal |
|
![]()
|
|
|
Structure Proposal # 706 LNZXXZCDFWUEDL Deviation = 5.85ppm
Search WEB for skeleton |
|
![]()
|
|
|
Structure Proposal # 707 FLXZCHXQKPLPDQ Deviation = 5.85ppm
Search WEB for skeleton |
|
![]()
|
|
|
Structure Proposal # 708 AAAMHIAOXSVPNA Deviation = 5.86ppm
Search WEB for skeleton respect to your proposal |
|
![]()
|
|
|
Structure Proposal # 709 SXUNEVWXOQOUFB Deviation = 5.86ppm
Search WEB for skeleton |
|
![]()
|
|
|
Structure Proposal # 710 DHJYDSKEQCIZGP Deviation = 5.86ppm
Search WEB for skeleton respect to your proposal |
|
![]()
|
|
|
Structure Proposal # 711 NPERLGOYAFPJLC Deviation = 5.86ppm
Search WEB for skeleton respect to your proposal |
|
![]()
|
|
|
Structure Proposal # 712 PEBMHMDVSMKTHT Deviation = 5.87ppm
Search WEB for skeleton |
|
![]()
|
|
|
Structure Proposal # 713 VQNUYCGNTQWOET Deviation = 5.87ppm
Search WEB for skeleton |
|
![]()
|
|
|
Structure Proposal # 714 FYVQPDSJBPMCIC Deviation = 5.87ppm
Search WEB for skeleton |
|
![]()
|
|
|
Structure Proposal # 715 YEVQJCSKVYWKLL Deviation = 5.88ppm
Search WEB for skeleton |
|
![]()
|
|
|
Structure Proposal # 716 DSYSXKQZTRVREL Deviation = 5.88ppm
Search WEB for skeleton respect to your proposal |
|
![]()
|
|
|
Structure Proposal # 717 IJXIJZGSYJHBPL Deviation = 5.88ppm
Search WEB for skeleton |
|
![]()
|
|
|
Structure Proposal # 718 XRUHCAGOODMYJX Deviation = 5.88ppm
Search WEB for skeleton |
|
![]()
|
|
|
Structure Proposal # 719 SHKZRHXPXXOGSL Deviation = 5.88ppm
Search WEB for skeleton |
|
![]()
|
|
|
Structure Proposal # 720 VIKFIDHVCBUGIQ Deviation = 5.88ppm
Search WEB for skeleton |
|
![]()
|
|
|
Structure Proposal # 721 OMHQNOXMYDXZPM Deviation = 5.89ppm
Search WEB for skeleton |
|
![]()
|
|
|
Structure Proposal # 722 GJZCNIFFQHYAAM Deviation = 5.89ppm
Search WEB for skeleton |
|
![]()
|
|
|
Structure Proposal # 723 WCTDNKBGHLKSQM Deviation = 5.90ppm
Search WEB for skeleton |
|
![]()
|
|
|
Structure Proposal # 724 PASOJKWNZVYAJI Deviation = 5.90ppm
Search WEB for skeleton |
|
![]()
|
|
|
Structure Proposal # 725 QTYXIKJYAXHPOJ Deviation = 5.90ppm
Search WEB for skeleton |
|
![]()
|
|
|
Structure Proposal # 726 YASLPRFJMQAYKG Deviation = 5.90ppm
Search WEB for skeleton |
|
![]()
|
|
|
Structure Proposal # 727 AHSVVAIXLFYDEA Deviation = 5.91ppm
Search WEB for skeleton respect to your proposal |
|
![]()
|
|
|
Structure Proposal # 728 GGDVPQGNPWHBOU Deviation = 5.91ppm
Search WEB for skeleton |
|
![]()
|
|
|
Structure Proposal # 729 JUNLHILRCSGKQT Deviation = 5.91ppm
Search WEB for skeleton |
|
![]()
|
|
|
Structure Proposal # 730 QLMOKSCUXILCAP Deviation = 5.91ppm
Search WEB for skeleton respect to your proposal |
|
![]()
|
|
|
Structure Proposal # 731 YLOZJZNNBVGIRE Deviation = 5.91ppm
Search WEB for skeleton |
|
![]()
|
|
|
Structure Proposal # 732 OLLKYNVEXLLBIL Deviation = 5.92ppm
Search WEB for skeleton respect to your proposal |
|
![]()
|
|
|
Structure Proposal # 733 SDZCBEUDDQAXRA Deviation = 5.92ppm
Search WEB for skeleton respect to your proposal |
|
![]()
|
|
|
Structure Proposal # 734 NHTJXVMAOUOFFB Deviation = 5.92ppm
Search WEB for skeleton |
|
![]()
|
|
|
Structure Proposal # 735 PAISRUSSXLYSTO Deviation = 5.93ppm
Search WEB for skeleton |
|
![]()
|
|
|
Structure Proposal # 736 DTGNFTAGNVDEFB Deviation = 5.93ppm
Search WEB for skeleton |
|
![]()
|
|
|
Structure Proposal # 737 AGZYGXILYKFZCC Deviation = 5.93ppm
Search WEB for skeleton |
|
![]()
|
|
|
Structure Proposal # 738 UGMSHGPINGUFKY Deviation = 5.93ppm
Search WEB for skeleton respect to your proposal |
|
![]()
|
|
|
Structure Proposal # 739 KYLGQSIOWNOAKW Deviation = 5.94ppm
Search WEB for skeleton |
|
![]()
|
|
|
Structure Proposal # 740 LZARGFMEXINISQ Deviation = 5.94ppm
Search WEB for skeleton respect to your proposal |
|
![]()
|
|
|
Structure Proposal # 741 ZTSQNWUEBCGYQS Deviation = 5.94ppm
Search WEB for skeleton |
|
![]()
|
|
|
Structure Proposal # 742 FXHGANABAICGEN Deviation = 5.94ppm
Search WEB for skeleton |
|
![]()
|
|
|
Structure Proposal # 743 GISDIDNTCITYOT Deviation = 5.95ppm
Search WEB for skeleton |
|
![]()
|
|
|
Structure Proposal # 744 CSKGXJGRLMMZCB Deviation = 5.95ppm
Search WEB for skeleton respect to your proposal |
|
![]()
|
|
|
Structure Proposal # 745 IPRVECUQVUELIM Deviation = 5.95ppm
Search WEB for skeleton |
|
![]()
|
|
|
Structure Proposal # 746 WVOQWAHPQSOXQS Deviation = 5.95ppm
Search WEB for skeleton |
|
![]()
|
|
|
Structure Proposal # 747 DEPACQYNDNRFMC Deviation = 5.96ppm
Search WEB for skeleton |
|
![]()
|
|
|
Structure Proposal # 748 OXLONZMWHWMXPL Deviation = 5.96ppm
Search WEB for skeleton |
|
![]()
|
|
|
Structure Proposal # 749 QUUYNPSERUFWHD Deviation = 5.96ppm
Search WEB for skeleton |
|
![]()
|
|
|
Structure Proposal # 750 VECBGXQWIGISES Deviation = 5.97ppm
Search WEB for skeleton |
|
![]()
|
|
|
Structure Proposal # 751 HMJPVTPFBMNLLL Deviation = 5.97ppm
Search WEB for skeleton respect to your proposal |
|
![]()
|
|
|
Structure Proposal # 752 ASTHLFWNEMOTID Deviation = 5.97ppm
Search WEB for skeleton respect to your proposal |
|
![]()
|
|
|
Structure Proposal # 753 SSGCRKVEXAXPFI Deviation = 5.98ppm
Search WEB for skeleton |
|
![]()
|
|
|
Structure Proposal # 754 HCKRFQYDASKPKY Deviation = 5.98ppm
Search WEB for skeleton respect to your proposal |
|
![]()
|
|
|
Structure Proposal # 755 NDBRNAFHLPZHRI Deviation = 5.98ppm
Search WEB for skeleton |
|
![]()
|
|
|
Structure Proposal # 756 CPWUEYJDONATPP Deviation = 5.98ppm
Search WEB for skeleton |
|
![]()
|
|
|
Structure Proposal # 757 OZVFWTHBXGSLKE Deviation = 5.99ppm
Search WEB for skeleton respect to your proposal |
|
![]()
|
|
|
Structure Proposal # 758 UEBMEZKKHSYEPI Deviation = 5.99ppm
Search WEB for skeleton respect to your proposal |
|
![]()
|
|
|
Structure Proposal # 759 UINPHTDPPBVYAR Deviation = 5.99ppm
Search WEB for skeleton |
|
![]()
|
|
|
Structure Proposal # 760 CKNWNPKBSUZGRI Deviation = 5.99ppm
Search WEB for skeleton |
|
![]()
|
|
|
Structure Proposal # 761 CDNYXOWCQMJFCB Deviation = 5.99ppm
Search WEB for skeleton |
|
![]()
|
|
|
Structure Proposal # 762 ZGCWGMJQTMITIO Deviation = 5.99ppm
Search WEB for skeleton |
|
![]()
|
|
|
Structure Proposal # 763 SHXKIGKEAVGKEM Deviation = 5.99ppm
Search WEB for skeleton |
|
![]()
|
|
|
Structure Proposal # 764 IXLHQOJZSPJDDL Deviation = 5.99ppm
Search WEB for skeleton |
|
![]()
|
|
|
Structure Proposal # 765 NSBHEXZZGRZIAM Deviation = 5.99ppm
Search WEB for skeleton |
|
![]()
|
|
|
Structure Proposal # 766 WDCVOXOBGRGBKP Deviation = 6.00ppm
Search WEB for skeleton |
|
![]()
|
|
|
Structure Proposal # 767 AZQAMALGPHCRAB Deviation = 6.00ppm
Search WEB for skeleton |
|
![]()
|
|
|
Structure Proposal # 768 WJQMCCSHBWXDLV Deviation = 6.00ppm
Search WEB for skeleton |
|
![]()
|
|
|
Structure Proposal # 769 UPSYFWGCCXERFX Deviation = 6.00ppm
Search WEB for skeleton |
|
![]()
|
|
|
Structure Proposal # 770 GRLQELOLIQYILW Deviation = 6.01ppm
Search WEB for skeleton |
|
![]()
|
|
|
Structure Proposal # 771 RWYZZHZZQKHHNR Deviation = 6.01ppm
Search WEB for skeleton respect to your proposal |
|
![]()
|
|
|
Structure Proposal # 772 AQLSZJMZYRVEST Deviation = 6.01ppm
Search WEB for skeleton |
|
![]()
|
|
|
Structure Proposal # 773 OUZOMINOKNQZNI Deviation = 6.02ppm
Search WEB for skeleton respect to your proposal |
|
![]()
|
|
|
Structure Proposal # 774 OEFBFVQYOUVBES Deviation = 6.03ppm
Search WEB for skeleton |
|
![]()
|
|
|
Structure Proposal # 775 LHLOCUAJOUPLTQ Deviation = 6.03ppm
Search WEB for skeleton |
|
![]()
|
|
|
Structure Proposal # 776 SPSDUCMZYIAOBA Deviation = 6.03ppm
Search WEB for skeleton |
|
![]()
|
|
|
Structure Proposal # 777 GEFASAGNEIOWLK Deviation = 6.03ppm
Search WEB for skeleton |
|
![]()
|
|
|
Structure Proposal # 778 ZIUNBZVFYMHJMS Deviation = 6.04ppm
Search WEB for skeleton |
|
![]()
|
|
|
Structure Proposal # 779 RIRWNIFXBBWPOB Deviation = 6.04ppm
Search WEB for skeleton respect to your proposal |
|
![]()
|
|
|
Structure Proposal # 780 NVUZYPJSYFRLKH Deviation = 6.04ppm
Search WEB for skeleton respect to your proposal |
|
![]()
|
|
|
Structure Proposal # 781 ZMKHEYALTZKTIC Deviation = 6.04ppm
Search WEB for skeleton |
|
![]()
|
|
|
Structure Proposal # 782 GYHWIYMKRGPXLG Deviation = 6.04ppm
Search WEB for skeleton |
|
![]()
|
|
|
Structure Proposal # 783 NFVOSQSHIQLQFD Deviation = 6.05ppm
Search WEB for skeleton |
|
![]()
|
|
|
Structure Proposal # 784 SIEWTWFTBFCOCY Deviation = 6.06ppm
Search WEB for skeleton |
|
![]()
|
|
|
Structure Proposal # 785 KPMOARMTJCLOLV Deviation = 6.06ppm
Search WEB for skeleton |
|
![]()
|
|
|
Structure Proposal # 786 OMLVUDBKKRFOLY Deviation = 6.06ppm
Search WEB for skeleton |
|
![]()
|
|
|
Structure Proposal # 787 MYEGQPZITYIVMZ Deviation = 6.07ppm
Search WEB for skeleton |
|
![]()
|
|
|
Structure Proposal # 788 HTYWPKMJMUPCSZ Deviation = 6.07ppm
Search WEB for skeleton respect to your proposal |
|
![]()
|
|
|
Structure Proposal # 789 YNFWSTDKTVMTTH Deviation = 6.07ppm
Search WEB for skeleton |
|
![]()
|
|
|
Structure Proposal # 790 XZQGTSABZIEDPA Deviation = 6.07ppm
Search WEB for skeleton |
|
![]()
|
|
|
Structure Proposal # 791 CNIPPCSLRWHGJL Deviation = 6.07ppm
Search WEB for skeleton |
|
![]()
|
|
|
Structure Proposal # 792 YOZHBJHDFNPDJL Deviation = 6.08ppm
Search WEB for skeleton respect to your proposal |
|
![]()
|
|
|
Structure Proposal # 793 OAXOVZGDQUWOLF Deviation = 6.08ppm
Search WEB for skeleton |
|
![]()
|
|
|
Structure Proposal # 794 LUQKQHSYIXDXJU Deviation = 6.08ppm
Search WEB for skeleton |
|
![]()
|
|
|
Structure Proposal # 795 LBRTURBJCTUFLM Deviation = 6.08ppm
Search WEB for skeleton respect to your proposal |
|
![]()
|
|
|
Structure Proposal # 796 UHRFLIKPFASQEK Deviation = 6.08ppm
Search WEB for skeleton |
|
![]()
|
|
|
Structure Proposal # 797 CQNALCOORMHACS Deviation = 6.09ppm
Search WEB for skeleton respect to your proposal |
|
![]()
|
|
|
Structure Proposal # 798 CBGNVOFHIVVFSB Deviation = 6.09ppm
Search WEB for skeleton respect to your proposal |
|
![]()
|
|
|
Structure Proposal # 799 WTMHUSBSDWZUSS Deviation = 6.09ppm
Search WEB for skeleton |
|
![]()
|
|
|
Structure Proposal # 800 XDDVZGIXNHNJJD Deviation = 6.10ppm
Search WEB for skeleton |
|
![]()
|
|
|
Structure Proposal # 801 LPCJLQKBRFSFFH Deviation = 6.10ppm
Search WEB for skeleton |
|
![]()
|
|
|
Structure Proposal # 802 QZEMCPHVOOVDOW Deviation = 6.10ppm
Search WEB for skeleton respect to your proposal |
|
![]()
|
|
|
Structure Proposal # 803 RUVNJYSTRQFTMR Deviation = 6.10ppm
Search WEB for skeleton |
|
![]()
|
|
|
Structure Proposal # 804 SRVMQFHDQAXDFX Deviation = 6.10ppm
Search WEB for skeleton respect to your proposal |
|
![]()
|
|
|
Structure Proposal # 805 DCIOLMWZQLXEKZ Deviation = 6.10ppm
Search WEB for skeleton |
|
![]()
|
|
|
Structure Proposal # 806 MYJGMSJQRZCTND Deviation = 6.10ppm
Search WEB for skeleton |
|
![]()
|
|
|
Structure Proposal # 807 JNNNYFNTHOTRBJ Deviation = 6.11ppm
Search WEB for skeleton respect to your proposal |
|
![]()
|
|
|
Structure Proposal # 808 CJQPEPGSMQMLJD Deviation = 6.11ppm
Search WEB for skeleton respect to your proposal |
|
![]()
|
|
|
Structure Proposal # 809 SPJAQUJTMQEHLG Deviation = 6.12ppm
Search WEB for skeleton respect to your proposal |
|
![]()
|
|
|
Structure Proposal # 810 KOTWGCFHDXYAGN Deviation = 6.12ppm
Search WEB for skeleton |
|
![]()
|
|
|
Structure Proposal # 811 PQMBEGJRMGDTNJ Deviation = 6.12ppm
Search WEB for skeleton |
|
![]()
|
|
|
Structure Proposal # 812 LYNPBVZWLXLDTH Deviation = 6.12ppm
Search WEB for skeleton respect to your proposal |
|
![]()
|
|
|
Structure Proposal # 813 UQQQPJGGIOMPBY Deviation = 6.12ppm
Search WEB for skeleton |
|
![]()
|
|
|
Structure Proposal # 814 YQRMUTDGDOZVMH Deviation = 6.12ppm
Search WEB for skeleton respect to your proposal |
|
![]()
|
|
|
Structure Proposal # 815 ZBQQKAKZAVDAJR Deviation = 6.13ppm
Search WEB for skeleton |
|
![]()
|
|
|
Structure Proposal # 816 OGHOPCBEBGSHPH Deviation = 6.13ppm
Search WEB for skeleton |
|
![]()
|
|
|
Structure Proposal # 817 VNDFGFDGGVDNSJ Deviation = 6.13ppm
Search WEB for skeleton |
|
![]()
|
|
|
Structure Proposal # 818 UXGCYXZPHMHZIT Deviation = 6.14ppm
Search WEB for skeleton respect to your proposal |
|
![]()
|
|
|
Structure Proposal # 819 BFIVJNRIWOYPSE Deviation = 6.14ppm
Search WEB for skeleton respect to your proposal |
|
![]()
|
|
|
Structure Proposal # 820 JNMDHFJRLZSBBI Deviation = 6.14ppm
Search WEB for skeleton respect to your proposal |
|
![]()
|
|
|
Structure Proposal # 821 SJWVNJPKZWOBRJ Deviation = 6.14ppm
Search WEB for skeleton respect to your proposal |
|
![]()
|
|
|
Structure Proposal # 822 SCYDUOPYUSJGGT Deviation = 6.14ppm
Search WEB for skeleton respect to your proposal |
|
![]()
|
|
|
Structure Proposal # 823 DPEZFLZQEMCBEH Deviation = 6.15ppm
Search WEB for skeleton respect to your proposal |
|
![]()
|
|
|
Structure Proposal # 824 IHDLHBUSICBIRE Deviation = 6.15ppm
Search WEB for skeleton respect to your proposal |
|
![]()
|
|
|
Structure Proposal # 825 JHUPXJVOWMHMEI Deviation = 6.15ppm
Search WEB for skeleton |
|
![]()
|
|
|
Structure Proposal # 826 CRERLHIFVDJAOJ Deviation = 6.15ppm
Search WEB for skeleton |
|
![]()
|
|
|
Structure Proposal # 827 KPVHSAXJFNOOSU Deviation = 6.15ppm
Search WEB for skeleton |
|
![]()
|
|
|
Structure Proposal # 828 WKPJNAZYXODDSG Deviation = 6.15ppm
Search WEB for skeleton respect to your proposal |
|
![]()
|
|
|
Structure Proposal # 829 KXJQMOXATWMZFZ Deviation = 6.15ppm
Search WEB for skeleton |
|
![]()
|
|
|
Structure Proposal # 830 QXOIRKOZFBBTTC Deviation = 6.16ppm
Search WEB for skeleton |
|
![]()
|
|
|
Structure Proposal # 831 RZPQWWFSHOVYQZ Deviation = 6.16ppm
Search WEB for skeleton |
|
![]()
|
|
|
Structure Proposal # 832 NDIXLOAGJUPVBT Deviation = 6.16ppm
Search WEB for skeleton respect to your proposal |
|
![]()
|
|
|
Structure Proposal # 833 OTMSWRPDHXFJLZ Deviation = 6.16ppm
Search WEB for skeleton |
|
![]()
|
|
|
Structure Proposal # 834 MSMQRWKUQOVVRI Deviation = 6.16ppm
Search WEB for skeleton respect to your proposal |
|
![]()
|
|
|
Structure Proposal # 835 NZBGLRFXMWZOHA Deviation = 6.17ppm
Search WEB for skeleton respect to your proposal |
|
![]()
|
|
|
Structure Proposal # 836 VUCJVJDJRSWBMQ Deviation = 6.17ppm
Search WEB for skeleton |
|
![]()
|
|
|
Structure Proposal # 837 UKTJPKYCEXOJPF Deviation = 6.17ppm
Search WEB for skeleton |
|
![]()
|
|
|
Structure Proposal # 838 UQCRTZNSBIWLJA Deviation = 6.17ppm
Search WEB for skeleton |
|
![]()
|
|
|
Structure Proposal # 839 XRXLWTHEQLYQGX Deviation = 6.17ppm
Search WEB for skeleton |
|
![]()
|
|
|
Structure Proposal # 840 JOOXVCOCGSGLTK Deviation = 6.17ppm
Search WEB for skeleton |
|
![]()
|
|
|
Structure Proposal # 841 GHDOALHFNPCQSO Deviation = 6.17ppm
Search WEB for skeleton respect to your proposal |
|
![]()
|
|
|
Structure Proposal # 842 ZDGNXPBNHSKVGY Deviation = 6.18ppm
Search WEB for skeleton |
|
![]()
|
|
|
Structure Proposal # 843 JKCSZBRDNUKLFX Deviation = 6.18ppm
Search WEB for skeleton respect to your proposal |
|
![]()
|
|
|
Structure Proposal # 844 MLZGNRAIGBHDAF Deviation = 6.18ppm
Search WEB for skeleton |
|
![]()
|
|
|
Structure Proposal # 845 KNMXEXCVLPIDGO Deviation = 6.19ppm
Search WEB for skeleton |
|
![]()
|
|
|
Structure Proposal # 846 IJNXJCIFYVDTIK Deviation = 6.19ppm
Search WEB for skeleton |
|
![]()
|
|
|
Structure Proposal # 847 OZGIIBDVFRLFBI Deviation = 6.19ppm
Search WEB for skeleton respect to your proposal |
|
![]()
|
|
|
Structure Proposal # 848 DJBCMTVOVJGRHW Deviation = 6.20ppm
Search WEB for skeleton |
|
![]()
|
|
|
Structure Proposal # 849 HVXSUGGZHMQQNC Deviation = 6.20ppm
Search WEB for skeleton |
|
![]()
|
|
|
Structure Proposal # 850 VEUYYXWKBZIMEO Deviation = 6.20ppm
Search WEB for skeleton |
|
![]()
|
|
|
Structure Proposal # 851 UFOWZFJQPMBNPS Deviation = 6.20ppm
Search WEB for skeleton |
|
![]()
|
|
|
Structure Proposal # 852 QPXADLRQJSOOCL Deviation = 6.20ppm
Search WEB for skeleton |
|
![]()
|
|
|
Structure Proposal # 853 DNVRRYILWQAZDK Deviation = 6.20ppm
Search WEB for skeleton respect to your proposal |
|
![]()
|
|
|
Structure Proposal # 854 NEJNTQMIQFVGKQ Deviation = 6.21ppm
Search WEB for skeleton respect to your proposal |
|
![]()
|
|
|
Structure Proposal # 855 FABPBAGODJSMHX Deviation = 6.21ppm
Search WEB for skeleton |
|
![]()
|
|
|
Structure Proposal # 856 VIXVDTJFHLYNRZ Deviation = 6.21ppm
Search WEB for skeleton respect to your proposal |
|
![]()
|
|
|
Structure Proposal # 857 GQVSBHLNOHXGKU Deviation = 6.21ppm
Search WEB for skeleton |
|
![]()
|
|
|
Structure Proposal # 858 BVZPKJXEFURQFM Deviation = 6.21ppm
Search WEB for skeleton respect to your proposal |
|
![]()
|
|
|
Structure Proposal # 859 BWMNSFGQDSYABJ Deviation = 6.21ppm
Search WEB for skeleton respect to your proposal |
|
![]()
|
|
|
Structure Proposal # 860 WHRYUDGOGYNCCS Deviation = 6.21ppm
Search WEB for skeleton |
|
![]()
|
|
|
Structure Proposal # 861 DMGAIMUMBLTJSL Deviation = 6.21ppm
Search WEB for skeleton |
|
![]()
|
|
|
Structure Proposal # 862 SSGYFFQIRDPGPQ Deviation = 6.22ppm
Search WEB for skeleton respect to your proposal |
|
![]()
|
|
|
Structure Proposal # 863 IEZAPDOPCLRXPH Deviation = 6.22ppm
Search WEB for skeleton |
|
![]()
|
|
|
Structure Proposal # 864 LACXORXMHQWMBV Deviation = 6.22ppm
Search WEB for skeleton respect to your proposal |
|
![]()
|
|
|
Structure Proposal # 865 YQJLHKSLACSOFM Deviation = 6.22ppm
Search WEB for skeleton |
|
![]()
|
|
|
Structure Proposal # 866 BTAIZNYOGUCSMI Deviation = 6.22ppm
Search WEB for skeleton respect to your proposal |
|
![]()
|
|
|
Structure Proposal # 867 IPCYHBQDNSETPO Deviation = 6.22ppm
Search WEB for skeleton respect to your proposal |
|
![]()
|
|
|
Structure Proposal # 868 ZBCOPSONFMEUDX Deviation = 6.23ppm
Search WEB for skeleton |
|
![]()
|
|
|
Structure Proposal # 869 PMUVFCSXTVMISL Deviation = 6.23ppm
Search WEB for skeleton |
|
![]()
|
|
|
Structure Proposal # 870 FUOZXWCAVGKIRF Deviation = 6.23ppm
Search WEB for skeleton respect to your proposal |
|
![]()
|
|
|
Structure Proposal # 871 HUGJGVOQCCIJNF Deviation = 6.24ppm
Search WEB for skeleton respect to your proposal |
|
![]()
|
|
|
Structure Proposal # 872 RSVUTXRXMKWLCQ Deviation = 6.24ppm
Search WEB for skeleton |
|
![]()
|
|
|
Structure Proposal # 873 ZQEOOLFENZUFTR Deviation = 6.24ppm
Search WEB for skeleton respect to your proposal |
|
![]()
|
|
|
Structure Proposal # 874 LDBUFOIFXAKZKU Deviation = 6.24ppm
Search WEB for skeleton respect to your proposal |
|
![]()
|
|
|
Structure Proposal # 875 OCUMRFOLZQEONU Deviation = 6.24ppm
Search WEB for skeleton respect to your proposal |
|
![]()
|
|
|
Structure Proposal # 876 MQIXCPQDJCDMJE Deviation = 6.24ppm
Search WEB for skeleton |
|
![]()
|
|
|
Structure Proposal # 877 XZSYCWYRBZZXAC Deviation = 6.24ppm
Search WEB for skeleton |
|
![]()
|
|
|
Structure Proposal # 878 RDDGRFGQYYRFHT Deviation = 6.24ppm
Search WEB for skeleton respect to your proposal |
|
![]()
|
|
|
Structure Proposal # 879 MIAOVBMTFXYOBY Deviation = 6.25ppm
Search WEB for skeleton |
|
![]()
|
|
|
Structure Proposal # 880 QFTBZMOSMNVXBZ Deviation = 6.25ppm
Search WEB for skeleton respect to your proposal |
|
![]()
|
|
|
Structure Proposal # 881 ZBYITZFGXMOHHY Deviation = 6.25ppm
Search WEB for skeleton |
|
![]()
|
|
|
Structure Proposal # 882 OTORJEXLXSZPEQ Deviation = 6.26ppm
Search WEB for skeleton |
|
![]()
|
|
|
Structure Proposal # 883 IQDADHGTJHQSIL Deviation = 6.26ppm
Search WEB for skeleton |
|
![]()
|
|
|
Structure Proposal # 884 ILUICMUECOZCLT Deviation = 6.26ppm
Search WEB for skeleton respect to your proposal |
|
![]()
|
|
|
Structure Proposal # 885 ZYVRLZVLOSAVLF Deviation = 6.26ppm
Search WEB for skeleton |
|
![]()
|
|
|
Structure Proposal # 886 XTXLMKCGFUPNIX Deviation = 6.27ppm
Search WEB for skeleton |
|
![]()
|
|
|
Structure Proposal # 887 JLZKKHQTRWCOTP Deviation = 6.27ppm
Search WEB for skeleton respect to your proposal |
|
![]()
|
|
|
Structure Proposal # 888 NMUHQNOFWTWRGH Deviation = 6.27ppm
Search WEB for skeleton respect to your proposal |
|
![]()
|
|
|
Structure Proposal # 889 KTCYDQAJEKMJLX Deviation = 6.27ppm
Search WEB for skeleton |
|
![]()
|
|
|
Structure Proposal # 890 CPAYRDWAIMQJPZ Deviation = 6.27ppm
Search WEB for skeleton respect to your proposal |
|
![]()
|
|
|
Structure Proposal # 891 NDRMZMCLDSVWQC Deviation = 6.27ppm
Search WEB for skeleton Compound from PUBCHEM |
|
![]()
|
|
|
Structure Proposal # 892 SSXPQWGEQSWHFV Deviation = 6.27ppm
Search WEB for skeleton |
|
![]()
|
|
|
Structure Proposal # 893 XDBSGFXICOVNKQ Deviation = 6.28ppm
Search WEB for skeleton |
|
![]()
|
|
|
Structure Proposal # 894 KYXUBRLTBBDYDG Deviation = 6.28ppm
Search WEB for skeleton |
|
![]()
|
|
|
Structure Proposal # 895 NAFWSKNQKZMUTJ Deviation = 6.28ppm
Search WEB for skeleton |
|
![]()
|
|
|
Structure Proposal # 896 CKLADKFCGSVWOY Deviation = 6.28ppm
Search WEB for skeleton |
|
![]()
|
|
|
Structure Proposal # 897 NGJRLXLEWNXGDN Deviation = 6.28ppm
Search WEB for skeleton respect to your proposal |
|
![]()
|
|
|
Structure Proposal # 898 WDTWOPPGLRLTED Deviation = 6.28ppm
Search WEB for skeleton |
|
![]()
|
|
|
Structure Proposal # 899 QMDPBDLBVVUEOK Deviation = 6.28ppm
Search WEB for skeleton respect to your proposal |
|
![]()
|
|
|
Structure Proposal # 900 RZTPBDKGWRGJFN Deviation = 6.29ppm
Search WEB for skeleton |
|
![]()
|
|
|
Structure Proposal # 901 AGOIDKVVKFZYMS Deviation = 6.29ppm
Search WEB for skeleton |
|
![]()
|
|
|
Structure Proposal # 902 UAPHXDPOTMUDIL Deviation = 6.30ppm
Search WEB for skeleton |
|
![]()
|
|
|
Structure Proposal # 903 ITAREWNOZWCTSF Deviation = 6.30ppm
Search WEB for skeleton |
|
![]()
|
|
|
Structure Proposal # 904 JINCWKNYUWFZNZ Deviation = 6.30ppm
Search WEB for skeleton respect to your proposal |
|
![]()
|
|
|
Structure Proposal # 905 YTLZOXQUWWCDPX Deviation = 6.30ppm
Search WEB for skeleton |
|
![]()
|
|
|
Structure Proposal # 906 QJTKCJLOAXJGKI Deviation = 6.30ppm
Search WEB for skeleton respect to your proposal |
|
![]()
|
|
|
Structure Proposal # 907 DHGIPZMKGPMZQG Deviation = 6.31ppm
Search WEB for skeleton |
|
![]()
|
|
|
Structure Proposal # 908 HJZGTPAKPULTRZ Deviation = 6.31ppm
Search WEB for skeleton |
|
![]()
|
|
|
Structure Proposal # 909 SGRPPURZCMHVBU Deviation = 6.31ppm
Search WEB for skeleton respect to your proposal |
|
![]()
|
|
|
Structure Proposal # 910 PKXGEVQBAPRTBO Deviation = 6.31ppm
Search WEB for skeleton |
|
![]()
|
|
|
Structure Proposal # 911 GXWGBCFNTQJBQD Deviation = 6.31ppm
Search WEB for skeleton respect to your proposal |
|
![]()
|
|
|
Structure Proposal # 912 PEVUUCRVEOBSBF Deviation = 6.32ppm
Search WEB for skeleton |
|
![]()
|
|
|
Structure Proposal # 913 SBZYFOFMMLPZEE Deviation = 6.32ppm
Search WEB for skeleton |
|
![]()
|
|
|
Structure Proposal # 914 OKQYISRYPRRJJX Deviation = 6.32ppm
Search WEB for skeleton |
|
![]()
|
|
|
Structure Proposal # 915 DWVZDXITIBEGIG Deviation = 6.32ppm
Search WEB for skeleton respect to your proposal |
|
![]()
|
|
|
Structure Proposal # 916 CFGZZIYMLPBLCC Deviation = 6.33ppm
Search WEB for skeleton respect to your proposal |
|
![]()
|
|
|
Structure Proposal # 917 RVWSTUUGAFDIQK Deviation = 6.33ppm
Search WEB for skeleton |
|
![]()
|
|
|
Structure Proposal # 918 ITLJSTOMBUKHMA Deviation = 6.34ppm
Search WEB for skeleton |
|
![]()
|
|
|
Structure Proposal # 919 UJTHIDBJWMYQJO Deviation = 6.34ppm
Search WEB for skeleton respect to your proposal |
|
![]()
|
|
|
Structure Proposal # 920 USRZOUFVYFEYJK Deviation = 6.34ppm
Search WEB for skeleton respect to your proposal |
|
![]()
|
|
|
Structure Proposal # 921 MZOQNTDMYIOXOA Deviation = 6.34ppm
Search WEB for skeleton respect to your proposal |
|
![]()
|
|
|
Structure Proposal # 922 KDZBJNUJNIJQRB Deviation = 6.34ppm
Search WEB for skeleton |
|
![]()
|
|
|
Structure Proposal # 923 TZAKYCJGDPNZGZ Deviation = 6.34ppm
Search WEB for skeleton |
|
![]()
|
|
|
Structure Proposal # 924 BUDHNLPTQVFOFC Deviation = 6.35ppm
Search WEB for skeleton respect to your proposal |
|
![]()
|
|
|
Structure Proposal # 925 BNRXVCVBQWUCHV Deviation = 6.35ppm
Search WEB for skeleton respect to your proposal |
|
![]()
|
|
|
Structure Proposal # 926 CCHVNRXCJZUVHU Deviation = 6.35ppm
Search WEB for skeleton |
|
![]()
|
|
|
Structure Proposal # 927 QTAGRBJRGAXPIC Deviation = 6.35ppm
Search WEB for skeleton |
|
![]()
|
|
|
Structure Proposal # 928 CZSUHFSKGWDRIW Deviation = 6.35ppm
Search WEB for skeleton |
|
![]()
|
|
|
Structure Proposal # 929 WISSAIUHVWBHRB Deviation = 6.36ppm
Search WEB for skeleton respect to your proposal |
|
![]()
|
|
|
Structure Proposal # 930 BTWNZSTTYVFGOZ Deviation = 6.36ppm
Search WEB for skeleton |
|
![]()
|
|
|
Structure Proposal # 931 LMJFGUGLRXNCDZ Deviation = 6.36ppm
Search WEB for skeleton respect to your proposal |
|
![]()
|
|
|
Structure Proposal # 932 JEULTKHBWMJCFM Deviation = 6.36ppm
Search WEB for skeleton |
|
![]()
|
|
|
Structure Proposal # 933 KEGARLNMYJELHD Deviation = 6.36ppm
Search WEB for skeleton |
|
![]()
|
|
|
Structure Proposal # 934 PUJIMSSAHWERAX Deviation = 6.36ppm
Search WEB for skeleton respect to your proposal |
|
![]()
|
|
|
Structure Proposal # 935 SWLDWNKICKVFCH Deviation = 6.37ppm
Search WEB for skeleton respect to your proposal |
|
![]()
|
|
|
Structure Proposal # 936 SIVHTODVSMAEGX Deviation = 6.37ppm
Search WEB for skeleton respect to your proposal |
|
![]()
|
|
|
Structure Proposal # 937 MCZVXAAPNDTCMR Deviation = 6.37ppm
Search WEB for skeleton |
|
![]()
|
|
|
Structure Proposal # 938 QYVRVPHHIPTJOF Deviation = 6.37ppm
Search WEB for skeleton respect to your proposal |
|
![]()
|
|
|
Structure Proposal # 939 KWRLVURDIGIZCL Deviation = 6.38ppm
Search WEB for skeleton |
|
![]()
|
|
|
Structure Proposal # 940 MSVLUESRWQDSIF Deviation = 6.38ppm
Search WEB for skeleton |
|
![]()
|
|
|
Structure Proposal # 941 DKOKBTLHCCYZOH Deviation = 6.38ppm
Search WEB for skeleton |
|
![]()
|
|
|
Structure Proposal # 942 VVJSTAAVXFBPCU Deviation = 6.39ppm
Search WEB for skeleton respect to your proposal |
|
![]()
|
|
|
Structure Proposal # 943 KLDJIHDZWYFBMK Deviation = 6.39ppm
Search WEB for skeleton respect to your proposal |
|
![]()
|
|
|
Structure Proposal # 944 HWTQRTDEGHGFFS Deviation = 6.39ppm
Search WEB for skeleton |
|
![]()
|
|
|
Structure Proposal # 945 QIUDXXVLDQNMSL Deviation = 6.39ppm
Search WEB for skeleton |
|
![]()
|
|
|
Structure Proposal # 946 AIEIQIQTTICNPW Deviation = 6.39ppm
Search WEB for skeleton |
|
![]()
|
|
|
Structure Proposal # 947 ZTTWXMITPSKZDA Deviation = 6.40ppm
Search WEB for skeleton respect to your proposal |
|
![]()
|
|
|
Structure Proposal # 948 URNFHCQUNYLOJQ Deviation = 6.40ppm
Search WEB for skeleton |
|
![]()
|
|
|
Structure Proposal # 949 PPJDFDAGTMINMY Deviation = 6.40ppm
Search WEB for skeleton |
|
![]()
|
|
|
Structure Proposal # 950 WQZSFQINVZFFQO Deviation = 6.40ppm
Search WEB for skeleton respect to your proposal |
|
![]()
|
|
|
Structure Proposal # 951 FNTNHFLKKQCVTM Deviation = 6.41ppm
Search WEB for skeleton |
|
![]()
|
|
|
Structure Proposal # 952 XFCMSWPRPMAHOM Deviation = 6.41ppm
Search WEB for skeleton respect to your proposal |
|
![]()
|
|
|
Structure Proposal # 953 PAVSLYIQBKTGKI Deviation = 6.41ppm
Search WEB for skeleton |
|
![]()
|
|
|
Structure Proposal # 954 CUMOEEUXNFCCIN Deviation = 6.41ppm
Search WEB for skeleton |
|
![]()
|
|
|
Structure Proposal # 955 RIKVDXRJTRRSEP Deviation = 6.41ppm
Search WEB for skeleton respect to your proposal |
|
![]()
|
|
|
Structure Proposal # 956 MAENPPYKBOZKND Deviation = 6.41ppm
Search WEB for skeleton respect to your proposal |
|
![]()
|
|
|
Structure Proposal # 957 JEYSJBXOPPULET Deviation = 6.41ppm
Search WEB for skeleton respect to your proposal |
|
![]()
|
|
|
Structure Proposal # 958 UKKYFNKDNQUSEG Deviation = 6.42ppm
Search WEB for skeleton respect to your proposal |
|
![]()
|
|
|
Structure Proposal # 959 MKGAQRSRASADTM Deviation = 6.42ppm
Search WEB for skeleton |
|
![]()
|
|
|
Structure Proposal # 960 HYROAISIGFNOFE Deviation = 6.42ppm
Search WEB for skeleton respect to your proposal |
|
![]()
|
|
|
Structure Proposal # 961 NDBWRMTWXWLGIN Deviation = 6.42ppm
Search WEB for skeleton |
|
![]()
|
|
|
Structure Proposal # 962 CTZXZXQXNUOILB Deviation = 6.42ppm
Search WEB for skeleton |
|
![]()
|
|
|
Structure Proposal # 963 NHBOGGBRQYTJKS Deviation = 6.43ppm
Search WEB for skeleton |
|
![]()
|
|
|
Structure Proposal # 964 ZNBAHDUMSLQOMH Deviation = 6.43ppm
Search WEB for skeleton respect to your proposal |
|
![]()
|
|
|
Structure Proposal # 965 UMRHXIQGQZVLHU Deviation = 6.43ppm
Search WEB for skeleton respect to your proposal |
|
![]()
|
|
|
Structure Proposal # 966 PXKSYYQWVJBSJS Deviation = 6.44ppm
Search WEB for skeleton |
|
![]()
|
|
|
Structure Proposal # 967 MOOWVIGQGZQYEW Deviation = 6.44ppm
Search WEB for skeleton |
|
![]()
|
|
|
Structure Proposal # 968 JSDNWRNJYMQFJD Deviation = 6.44ppm
Search WEB for skeleton |
|
![]()
|
|
|
Structure Proposal # 969 WLLLZIPVJFHUSP Deviation = 6.45ppm
Search WEB for skeleton |
|
![]()
|
|
|
Structure Proposal # 970 XOLHTDYNNMFIQI Deviation = 6.45ppm
Search WEB for skeleton respect to your proposal |
|
![]()
|
|
|
Structure Proposal # 971 RNWISLNPPQMUSM Deviation = 6.45ppm
Search WEB for skeleton respect to your proposal |
|
![]()
|
|
|
Structure Proposal # 972 VVKWBWIVVRJDKM Deviation = 6.45ppm
Search WEB for skeleton |
|
![]()
|
|
|
Structure Proposal # 973 BOXGINDVNOMIBA Deviation = 6.45ppm
Search WEB for skeleton |
|
![]()
|
|
|
Structure Proposal # 974 QQICMOYWFMTOOJ Deviation = 6.45ppm
Search WEB for skeleton |
|
![]()
|
|
|
Structure Proposal # 975 VFORXLMSPDXUCX Deviation = 6.45ppm
Search WEB for skeleton respect to your proposal |
|
![]()
|
|
|
Structure Proposal # 976 XWKTZSIPVQVTAU Deviation = 6.45ppm
Search WEB for skeleton respect to your proposal |
|
![]()
|
|
|
Structure Proposal # 977 HLWGPXUGZQEPEQ Deviation = 6.45ppm
Search WEB for skeleton |
|
![]()
|
|
|
Structure Proposal # 978 CVZGQHVGKMZTIV Deviation = 6.46ppm
Search WEB for skeleton respect to your proposal |
|
![]()
|
|
|
Structure Proposal # 979 BAMMVLWWEWLGOT Deviation = 6.46ppm
Search WEB for skeleton respect to your proposal |
|
![]()
|
|
|
Structure Proposal # 980 RXJFDTBJMXTHON Deviation = 6.46ppm
Search WEB for skeleton |
|
![]()
|
|
|
Structure Proposal # 981 KNSOYSVWJIFXCM Deviation = 6.46ppm
Search WEB for skeleton |
|
![]()
|
|
|
Structure Proposal # 982 QQLFURJIYWVEHB Deviation = 6.46ppm
Search WEB for skeleton respect to your proposal |
|
![]()
|
|
|
Structure Proposal # 983 IYMBRUSCRDQNEW Deviation = 6.46ppm
Search WEB for skeleton |
|
![]()
|
|
|
Structure Proposal # 984 ZRCIDLCRAHNURF Deviation = 6.46ppm
Search WEB for skeleton |
|
![]()
|
|
|
Structure Proposal # 985 QZZFIDULVKAFHK Deviation = 6.47ppm
Search WEB for skeleton |
|
![]()
|
|
|
Structure Proposal # 986 AYBOSJRLBZVQJW Deviation = 6.47ppm
Search WEB for skeleton |
|
![]()
|
|
|
Structure Proposal # 987 ZIMXXNLZUJNLLY Deviation = 6.47ppm
Search WEB for skeleton respect to your proposal |
|
![]()
|
|
|
Structure Proposal # 988 ZOMIQAGUKWDCCH Deviation = 6.48ppm
Search WEB for skeleton respect to your proposal |
|
![]()
|
|
|
Structure Proposal # 989 LOXXHDIFRUOUIQ Deviation = 6.48ppm
Search WEB for skeleton |
|
![]()
|
|
|
Structure Proposal # 990 HOJRGHOJDZAJBQ Deviation = 6.49ppm
Search WEB for skeleton respect to your proposal |
|
![]()
|
|
|
Structure Proposal # 991 TZCJUMNAIRTBKP Deviation = 6.49ppm
Search WEB for skeleton |
|
![]()
|
|
|
Structure Proposal # 992 KPAQUELBCGCANI Deviation = 6.49ppm
Search WEB for skeleton |
|
![]()
|
|
|
Structure Proposal # 993 NEEHMIBBKCWHOS Deviation = 6.50ppm
Search WEB for skeleton |
|
![]()
|
|
|
Structure Proposal # 994 MUJPUQSPQBIIOC Deviation = 6.50ppm
Search WEB for skeleton |
|
![]()
|
|
|
Structure Proposal # 995 AAUWCDQBALWJML Deviation = 6.51ppm
Search WEB for skeleton respect to your proposal |
|
![]()
|
|
|
Structure Proposal # 996 NMCNNIRZXZOCOE Deviation = 6.51ppm
Search WEB for skeleton |
|
![]()
|
|
|
Structure Proposal # 997 CNBCHYVADFLGJV Deviation = 6.51ppm
Search WEB for skeleton respect to your proposal |
|
![]()
|
|
|
Structure Proposal # 998 IETRAUOWIJELIK Deviation = 6.52ppm
Search WEB for skeleton |
|
![]()
|
|
|
Structure Proposal # 999 YMVNKLDBNKWGIA Deviation = 6.52ppm
Search WEB for skeleton |
|
![]()
|
|
|
Structure Proposal # 1000 NEXFBSJZHDDFMZ Deviation = 6.52ppm
Search WEB for skeleton |
|
![]()
|
|
|
Structure Proposal # 1001 YKRBQJPASQMBJU Deviation = 6.52ppm
Search WEB for skeleton |
|
![]()
|
|
|
Structure Proposal # 1002 MWVAUYJIYBOBIO Deviation = 6.53ppm
Search WEB for skeleton |
|
![]()
|
|
|
Structure Proposal # 1003 POYAHLGXEPQZEM Deviation = 6.53ppm
Search WEB for skeleton respect to your proposal |
|
![]()
|
|
|
Structure Proposal # 1004 YACOGKYGXLRZSF Deviation = 6.53ppm
Search WEB for skeleton respect to your proposal |
|
![]()
|
|
|
Structure Proposal # 1005 MUTMHOZCKORIFO Deviation = 6.53ppm
Search WEB for skeleton respect to your proposal |
|
![]()
|
|
|
Structure Proposal # 1006 UHPKUNNAVAJBBS Deviation = 6.53ppm
Search WEB for skeleton respect to your proposal |
|
![]()
|
|
|
Structure Proposal # 1007 RVOMWAIEZNVFSZ Deviation = 6.54ppm
Search WEB for skeleton |
|
![]()
|
|
|
Structure Proposal # 1008 HKCAGEIEKPWUQV Deviation = 6.54ppm
Search WEB for skeleton |
|
![]()
|
|
|
Structure Proposal # 1009 WZODRGICDLWQQZ Deviation = 6.54ppm
Search WEB for skeleton respect to your proposal |
|
![]()
|
|
|
Structure Proposal # 1010 OOXPNNMHENZWBS Deviation = 6.54ppm
Search WEB for skeleton |
|
![]()
|
|
|
Structure Proposal # 1011 WPPWSDZTPYQQHN Deviation = 6.54ppm
Search WEB for skeleton |
|
![]()
|
|
|
Structure Proposal # 1012 NMDZYQLGLABZRP Deviation = 6.54ppm
Search WEB for skeleton |
|
![]()
|
|
|
Structure Proposal # 1013 PZOCSIZMFXGRNW Deviation = 6.54ppm
Search WEB for skeleton respect to your proposal |
|
![]()
|
|
|
Structure Proposal # 1014 XFLUBKCKUHMUOH Deviation = 6.54ppm
Search WEB for skeleton |
|
![]()
|
|
|
Structure Proposal # 1015 DMWBFVYHFXOHAC Deviation = 6.55ppm
Search WEB for skeleton respect to your proposal |
|
![]()
|
|
|
Structure Proposal # 1016 MTXIWASUCKYCNL Deviation = 6.55ppm
Search WEB for skeleton |
|
![]()
|
|
|
Structure Proposal # 1017 BLHSJQULPVSHFH Deviation = 6.55ppm
Search WEB for skeleton |
|
![]()
|
|
|
Structure Proposal # 1018 DTUKSWNNUWQPDB Deviation = 6.55ppm
Search WEB for skeleton respect to your proposal |
|
![]()
|
|
|
Structure Proposal # 1019 XTGYYXQIRYKQBU Deviation = 6.56ppm
Search WEB for skeleton respect to your proposal |
|
![]()
|
|
|
Structure Proposal # 1020 IRTNNROVDCKKEM Deviation = 6.56ppm
Search WEB for skeleton |
|
![]()
|
|
|
Structure Proposal # 1021 KEXQGHAXGRNWDN Deviation = 6.56ppm
Search WEB for skeleton respect to your proposal |
|
![]()
|
|
|
Structure Proposal # 1022 HHRPHCGPPXIGOA Deviation = 6.56ppm
Search WEB for skeleton |
|
![]()
|
|
|
Structure Proposal # 1023 WBBDTIHLNHXFRH Deviation = 6.56ppm
Search WEB for skeleton respect to your proposal |
|
![]()
|
|
|
Structure Proposal # 1024 ZPAOWEAJOMDYFA Deviation = 6.56ppm
Search WEB for skeleton |
|
![]()
|
|
|
Structure Proposal # 1025 ZITMBXXVDAKIQE Deviation = 6.57ppm
Search WEB for skeleton respect to your proposal |
|
![]()
|
|
|
Structure Proposal # 1026 DPKIULJHZVLNQH Deviation = 6.57ppm
Search WEB for skeleton respect to your proposal |
|
![]()
|
|
|
Structure Proposal # 1027 KHPCKZJQBAJOCR Deviation = 6.57ppm
Search WEB for skeleton |
|
![]()
|
|
|
Structure Proposal # 1028 QMOXWCICFOUMEF Deviation = 6.57ppm
Search WEB for skeleton |
|
![]()
|
|
|
Structure Proposal # 1029 HZYWZPGNOSTMKS Deviation = 6.58ppm
Search WEB for skeleton respect to your proposal |
|
![]()
|
|
|
Structure Proposal # 1030 LHEQWRRMSZFOQB Deviation = 6.58ppm
Search WEB for skeleton respect to your proposal |
|
![]()
|
|
|
Structure Proposal # 1031 PRCPTXYHXFFOMU Deviation = 6.58ppm
Search WEB for skeleton |
|
![]()
|
|
|
Structure Proposal # 1032 YBYBHKQCTWIIGH Deviation = 6.58ppm
Search WEB for skeleton respect to your proposal |
|
![]()
|
|
|
Structure Proposal # 1033 YWXMRXVJQLLBRA Deviation = 6.58ppm
Search WEB for skeleton respect to your proposal |
|
![]()
|
|
|
Structure Proposal # 1034 LMUWCFRRFZACHJ Deviation = 6.58ppm
Search WEB for skeleton respect to your proposal |
|
![]()
|
|
|
Structure Proposal # 1035 QTZDHLZKJCLJPO Deviation = 6.60ppm
Search WEB for skeleton |
|
![]()
|
|
|
Structure Proposal # 1036 KXEDHXKBWQHIIR Deviation = 6.60ppm
Search WEB for skeleton respect to your proposal |
|
![]()
|
|
|
Structure Proposal # 1037 VJXDXFSHUZULMJ Deviation = 6.60ppm
Search WEB for skeleton |
|
![]()
|
|
|
Structure Proposal # 1038 MVVLJIDQEKGJTJ Deviation = 6.60ppm
Search WEB for skeleton |
|
![]()
|
|
|
Structure Proposal # 1039 XFZZWHPONHUJBA Deviation = 6.60ppm
Search WEB for skeleton respect to your proposal |
|
![]()
|
|
|
Structure Proposal # 1040 FPYCGEGZPBHVJN Deviation = 6.60ppm
Search WEB for skeleton respect to your proposal |
|
![]()
|
|
|
Structure Proposal # 1041 PJFNYASBBRBEKL Deviation = 6.61ppm
Search WEB for skeleton respect to your proposal |
|
![]()
|
|
|
Structure Proposal # 1042 LHJZZLQOSVHQMR Deviation = 6.61ppm
Search WEB for skeleton |
|
![]()
|
|
|
Structure Proposal # 1043 XQNCNUJIMZZFCW Deviation = 6.62ppm
Search WEB for skeleton |
|
![]()
|
|
|
Structure Proposal # 1044 FSYLZOOKROHXTE Deviation = 6.62ppm
Search WEB for skeleton |
|
![]()
|
|
|
Structure Proposal # 1045 JBTQUTJKJOKDQG Deviation = 6.62ppm
Search WEB for skeleton |
|
![]()
|
|
|
Structure Proposal # 1046 ZMGBVXYXUBDJLY Deviation = 6.63ppm
Search WEB for skeleton |
|
![]()
|
|
|
Structure Proposal # 1047 RVYFFCWEACPNDK Deviation = 6.63ppm
Search WEB for skeleton respect to your proposal |
|
![]()
|
|
|
Structure Proposal # 1048 NOSHQCMPVNONAE Deviation = 6.63ppm
Search WEB for skeleton respect to your proposal |
|
![]()
|
|
|
Structure Proposal # 1049 NQLAUQNZWVIZBO Deviation = 6.63ppm
Search WEB for skeleton |
|
![]()
|
|
|
Structure Proposal # 1050 RXSHNHZCNVQXAX Deviation = 6.63ppm
Search WEB for skeleton respect to your proposal |
|
![]()
|
|
|
Structure Proposal # 1051 WYFJMCUILRSOBW Deviation = 6.63ppm
Search WEB for skeleton |
|
![]()
|
|
|
Structure Proposal # 1052 FHYITKCXTVGHDT Deviation = 6.64ppm
Search WEB for skeleton |
|
![]()
|
|
|
Structure Proposal # 1053 WXQDVAATNBWLOO Deviation = 6.64ppm
Search WEB for skeleton respect to your proposal |
|
![]()
|
|
|
Structure Proposal # 1054 ZXCRNBMWOLTOHF Deviation = 6.64ppm
Search WEB for skeleton |
|
![]()
|
|
|
Structure Proposal # 1055 QQHUJYOGGZRQFW Deviation = 6.64ppm
Search WEB for skeleton |
|
![]()
|
|
|
Structure Proposal # 1056 HRKSXTWOVVGMBB Deviation = 6.64ppm
Search WEB for skeleton |
|
![]()
|
|
|
Structure Proposal # 1057 PJBUVSDJWQCZNZ Deviation = 6.65ppm
Search WEB for skeleton |
|
![]()
|
|
|
Structure Proposal # 1058 CKDPDGVTUPYOBH Deviation = 6.66ppm
Search WEB for skeleton respect to your proposal |
|
![]()
|
|
|
Structure Proposal # 1059 VGBXJLSVQRHBBF Deviation = 6.66ppm
Search WEB for skeleton respect to your proposal |
|
![]()
|
|
|
Structure Proposal # 1060 IPHDMVPBEZRYAM Deviation = 6.67ppm
Search WEB for skeleton |
|
![]()
|
|
|
Structure Proposal # 1061 BPZZYGGCRMAOGC Deviation = 6.67ppm
Search WEB for skeleton respect to your proposal |
|
![]()
|
|
|
Structure Proposal # 1062 KJVCZAUGVWAMQP Deviation = 6.67ppm
Search WEB for skeleton |
|
![]()
|
|
|
Structure Proposal # 1063 HKJAVIYCYOBSKB Deviation = 6.67ppm
Search WEB for skeleton |
|
![]()
|
|
|
Structure Proposal # 1064 DVXYWNMUYLXSAF Deviation = 6.67ppm
Search WEB for skeleton |
|
![]()
|
|
|
Structure Proposal # 1065 YHTBOBDOUMGXOJ Deviation = 6.67ppm
Search WEB for skeleton respect to your proposal |
|
![]()
|
|
|
Structure Proposal # 1066 IMUNCXOKTYCDNL Deviation = 6.67ppm
Search WEB for skeleton respect to your proposal |
|
![]()
|
|
|
Structure Proposal # 1067 RQXMWOYLDGGWSQ Deviation = 6.68ppm
Search WEB for skeleton |
|
![]()
|
|
|
Structure Proposal # 1068 LRDDAZPVEILARG Deviation = 6.68ppm
Search WEB for skeleton respect to your proposal |
|
![]()
|
|
|
Structure Proposal # 1069 LXZCENTXSRNFLL Deviation = 6.68ppm
Search WEB for skeleton |
|
![]()
|
|
|
Structure Proposal # 1070 ZCJRBUUSDSAIET Deviation = 6.68ppm
Search WEB for skeleton respect to your proposal |
|
![]()
|
|
|
Structure Proposal # 1071 JHFVESMMYNUJAE Deviation = 6.69ppm
Search WEB for skeleton respect to your proposal |
|
![]()
|
|
|
Structure Proposal # 1072 QZZRQVHRKFNTRI Deviation = 6.69ppm
Search WEB for skeleton respect to your proposal |
|
![]()
|
|
|
Structure Proposal # 1073 CZJVKJDFVFENLO Deviation = 6.69ppm
Search WEB for skeleton |
|
![]()
|
|
|
Structure Proposal # 1074 BBCGILGXMZQDFU Deviation = 6.69ppm
Search WEB for skeleton respect to your proposal |
|
![]()
|
|
|
Structure Proposal # 1075 RYLPLZYEBPQFAY Deviation = 6.69ppm
Search WEB for skeleton respect to your proposal |
|
![]()
|
|
|
Structure Proposal # 1076 SIHPMOVYUKWFGS Deviation = 6.69ppm
Search WEB for skeleton |
|
![]()
|
|
|
Structure Proposal # 1077 XOYPRJREIZUMDM Deviation = 6.70ppm
Search WEB for skeleton |
|
![]()
|
|
|
Structure Proposal # 1078 XWNCPZVYAIYMDL Deviation = 6.70ppm
Search WEB for skeleton |
|
![]()
|
|
|
Structure Proposal # 1079 AYLZLXTWMWPDRW Deviation = 6.71ppm
Search WEB for skeleton respect to your proposal |
|
![]()
|
|
|
Structure Proposal # 1080 ZKNOLNKXZZILIN Deviation = 6.71ppm
Search WEB for skeleton respect to your proposal |
|
![]()
|
|
|
Structure Proposal # 1081 ARMAJQFHLKMXFY Deviation = 6.71ppm
Search WEB for skeleton respect to your proposal |
|
![]()
|
|
|
Structure Proposal # 1082 SINAQSLFBMNSQA Deviation = 6.71ppm
Search WEB for skeleton respect to your proposal |
|
![]()
|
|
|
Structure Proposal # 1083 YNIAMKWKMNJQLC Deviation = 6.71ppm
Search WEB for skeleton respect to your proposal |
|
![]()
|
|
|
Structure Proposal # 1084 FXTGRTNETDWFJR Deviation = 6.71ppm
Search WEB for skeleton respect to your proposal |
|
![]()
|
|
|
Structure Proposal # 1085 BRDWNSUJHVLADM Deviation = 6.72ppm
Search WEB for skeleton respect to your proposal |
|
![]()
|
|
|
Structure Proposal # 1086 GTTAFXDLSIZXNY Deviation = 6.72ppm
Search WEB for skeleton |
|
![]()
|
|
|
Structure Proposal # 1087 FQELCXFBXKJRML Deviation = 6.72ppm
Search WEB for skeleton |
|
![]()
|
|
|
Structure Proposal # 1088 BLWRDTHLORYYDY Deviation = 6.73ppm
Search WEB for skeleton respect to your proposal |
|
![]()
|
|
|
Structure Proposal # 1089 ZHLBSAVBROYZMO Deviation = 6.74ppm
Search WEB for skeleton |
|
![]()
|
|
|
Structure Proposal # 1090 YRQGUNDWJPCYAI Deviation = 6.74ppm
Search WEB for skeleton |
|
![]()
|
|
|
Structure Proposal # 1091 WVOUPPFJAOSKRJ Deviation = 6.74ppm
Search WEB for skeleton respect to your proposal |
|
![]()
|
|
|
Structure Proposal # 1092 GLECKFBPSKPZOI Deviation = 6.74ppm
Search WEB for skeleton respect to your proposal |
|
![]()
|
|
|
Structure Proposal # 1093 MWZGVWPXBIKVPC Deviation = 6.74ppm
Search WEB for skeleton |
|
![]()
|
|
|
Structure Proposal # 1094 DLDSXWFRGVLNAZ Deviation = 6.75ppm
Search WEB for skeleton |
|
![]()
|
|
|
Structure Proposal # 1095 ZMSLJLXDCBVUSL Deviation = 6.75ppm
Search WEB for skeleton |
|
![]()
|
|
|
Structure Proposal # 1096 KFPCQIPFNOGPGF Deviation = 6.75ppm
Search WEB for skeleton |
|
![]()
|
|
|
Structure Proposal # 1097 VOMGXUJXQBDIFM Deviation = 6.75ppm
Search WEB for skeleton respect to your proposal |
|
![]()
|
|
|
Structure Proposal # 1098 NUYAFNJYLJROED Deviation = 6.75ppm
Search WEB for skeleton respect to your proposal |
|
![]()
|
|
|
Structure Proposal # 1099 VCHJWGVEVUFOMS Deviation = 6.75ppm
Search WEB for skeleton respect to your proposal |
|
![]()
|
|
|
Structure Proposal # 1100 WMRFZWWHNMFSCJ Deviation = 6.75ppm
Search WEB for skeleton |
|
![]()
|
|
|
Structure Proposal # 1101 JLSBMCYHEFPDAC Deviation = 6.75ppm
Search WEB for skeleton respect to your proposal |
|
![]()
|
|
|
Structure Proposal # 1102 XZYVRZCNYBEJBC Deviation = 6.76ppm
Search WEB for skeleton respect to your proposal |
|
![]()
|
|
|
Structure Proposal # 1103 GSNCYPBOTPJHQJ Deviation = 6.76ppm
Search WEB for skeleton respect to your proposal |
|
![]()
|
|
|
Structure Proposal # 1104 FEQKWHZXQPLBIO Deviation = 6.76ppm
Search WEB for skeleton respect to your proposal |
|
![]()
|
|
|
Structure Proposal # 1105 WBRCXEPIBJZAPO Deviation = 6.76ppm
Search WEB for skeleton |
|
![]()
|
|
|
Structure Proposal # 1106 UBNHTSWOQRLBPM Deviation = 6.77ppm
Search WEB for skeleton |
|
![]()
|
|
|
Structure Proposal # 1107 FAGBHWSGYGJSDI Deviation = 6.77ppm
Search WEB for skeleton |
|
![]()
|
|
|
Structure Proposal # 1108 XIKYFMYUPZIZKU Deviation = 6.77ppm
Search WEB for skeleton |
|
![]()
|
|
|
Structure Proposal # 1109 QGAJGCROHFGODG Deviation = 6.77ppm
Search WEB for skeleton respect to your proposal |
|
![]()
|
|
|
Structure Proposal # 1110 CJVGPVWBOAIARN Deviation = 6.77ppm
Search WEB for skeleton |
|
![]()
|
|
|
Structure Proposal # 1111 DVLHDKYPJTVYKB Deviation = 6.77ppm
Search WEB for skeleton |
|
![]()
|
|
|
Structure Proposal # 1112 UQPUCJFGFDIZIS Deviation = 6.77ppm
Search WEB for skeleton respect to your proposal |
|
![]()
|
|
|
Structure Proposal # 1113 VVVXONUQGSNFMU Deviation = 6.78ppm
Search WEB for skeleton respect to your proposal |
|
![]()
|
|
|
Structure Proposal # 1114 MTQGCLAPPDBWGP Deviation = 6.78ppm
Search WEB for skeleton respect to your proposal |
|
![]()
|
|
|
Structure Proposal # 1115 IXLCYCLCCOQZIL Deviation = 6.79ppm
Search WEB for skeleton respect to your proposal |
|
![]()
|
|
|
Structure Proposal # 1116 MKFCRWSYBHTXHK Deviation = 6.79ppm
Search WEB for skeleton |
|
![]()
|
|
|
Structure Proposal # 1117 JSLFBYNBDXAUBJ Deviation = 6.79ppm
Search WEB for skeleton respect to your proposal |
|
![]()
|
|
|
Structure Proposal # 1118 VCJJQZUMPOSBNG Deviation = 6.79ppm
Search WEB for skeleton |
|
![]()
|
|
|
Structure Proposal # 1119 XKOLJTTYSAZAOH Deviation = 6.79ppm
Search WEB for skeleton |
|
![]()
|
|
|
Structure Proposal # 1120 NCGLJMGSQHPJEH Deviation = 6.79ppm
Search WEB for skeleton respect to your proposal |
|
![]()
|
|
|
Structure Proposal # 1121 WCTHCPIKQQEGSA Deviation = 6.79ppm
Search WEB for skeleton respect to your proposal |
|
![]()
|
|
|
Structure Proposal # 1122 PQJANMBSKIQODN Deviation = 6.79ppm
Search WEB for skeleton |
|
![]()
|
|
|
Structure Proposal # 1123 GWLBYZVHGCDLAK Deviation = 6.79ppm
Search WEB for skeleton respect to your proposal |
|
![]()
|
|
|
Structure Proposal # 1124 WITJMEFYRXJFAJ Deviation = 6.80ppm
Search WEB for skeleton respect to your proposal |
|
![]()
|
|
|
Structure Proposal # 1125 MQTFXWJPMMTXMC Deviation = 6.80ppm
Search WEB for skeleton |
|
![]()
|
|
|
Structure Proposal # 1126 VUEKLHSTDJKDMW Deviation = 6.80ppm
Search WEB for skeleton respect to your proposal |
|
![]()
|
|
|
Structure Proposal # 1127 ZIBPMFSSXPTVPK Deviation = 6.81ppm
Search WEB for skeleton respect to your proposal |
|
![]()
|
|
|
Structure Proposal # 1128 JKWRRRXNNVCFQH Deviation = 6.81ppm
Search WEB for skeleton respect to your proposal |
|
![]()
|
|
|
Structure Proposal # 1129 YMBYEUFEANCEES Deviation = 6.81ppm
Search WEB for skeleton |
|
![]()
|
|
|
Structure Proposal # 1130 MFVLWQSEDDHCIQ Deviation = 6.81ppm
Search WEB for skeleton respect to your proposal |
|
![]()
|
|
|
Structure Proposal # 1131 MHAOQRHKZUYFFI Deviation = 6.82ppm
Search WEB for skeleton respect to your proposal |
|
![]()
|
|
|
Structure Proposal # 1132 CXBLNEPUCIPFDL Deviation = 6.83ppm
Search WEB for skeleton |
|
![]()
|
|
|
Structure Proposal # 1133 SWYPGZOGGWORHT Deviation = 6.83ppm
Search WEB for skeleton respect to your proposal |
|
![]()
|
|
|
Structure Proposal # 1134 RQRGVKVEPQJBQF Deviation = 6.84ppm
Search WEB for skeleton |
|
![]()
|
|
|
Structure Proposal # 1135 BXZRCKPXXXEMKB Deviation = 6.84ppm
Search WEB for skeleton respect to your proposal |
|
![]()
|
|
|
Structure Proposal # 1136 FYEQVPGLZXQRLD Deviation = 6.84ppm
Search WEB for skeleton |
|
![]()
|
|
|
Structure Proposal # 1137 ZZRGQGAUFNNEIG Deviation = 6.84ppm
Search WEB for skeleton |
|
![]()
|
|
|
Structure Proposal # 1138 SSGXBBZAXWPHRD Deviation = 6.84ppm
Search WEB for skeleton respect to your proposal |
|
![]()
|
|
|
Structure Proposal # 1139 UJKUJNSIRHJVAZ Deviation = 6.84ppm
Search WEB for skeleton |
|
![]()
|
|
|
Structure Proposal # 1140 DTIUQAFUFMGYNG Deviation = 6.85ppm
Search WEB for skeleton |
|
![]()
|
|
|
Structure Proposal # 1141 QREZIEQTHCMVJW Deviation = 6.85ppm
Search WEB for skeleton respect to your proposal |
|
![]()
|
|
|
Structure Proposal # 1142 SRWRRHVBNSGPMS Deviation = 6.85ppm
Search WEB for skeleton |
|
![]()
|
|
|
Structure Proposal # 1143 YHRDEOJYZVNJGB Deviation = 6.85ppm
Search WEB for skeleton |
|
![]()
|
|
|
Structure Proposal # 1144 JEFACDCWAMDHAP Deviation = 6.85ppm
Search WEB for skeleton respect to your proposal |
|
![]()
|
|
|
Structure Proposal # 1145 KJQNZVZHIODAHQ Deviation = 6.86ppm
Search WEB for skeleton respect to your proposal |
|
![]()
|
|
|
Structure Proposal # 1146 FKAPIPFIFRUNOG Deviation = 6.86ppm
Search WEB for skeleton respect to your proposal |
|
![]()
|
|
|
Structure Proposal # 1147 CQJSMRBAEQHYCD Deviation = 6.86ppm
Search WEB for skeleton respect to your proposal |
|
![]()
|
|
|
Structure Proposal # 1148 KULKLEZJMAPXSK Deviation = 6.87ppm
Search WEB for skeleton respect to your proposal |
|
![]()
|
|
|
Structure Proposal # 1149 IYNQZCCVARMZRA Deviation = 6.87ppm
Search WEB for skeleton |
|
![]()
|
|
|
Structure Proposal # 1150 ZMNGPWUIXDXUDT Deviation = 6.87ppm
Search WEB for skeleton respect to your proposal |
|
![]()
|
|
|
Structure Proposal # 1151 ZYOJYVXAMIEULU Deviation = 6.87ppm
Search WEB for skeleton respect to your proposal |
|
![]()
|
|
|
Structure Proposal # 1152 CQMSKBBVVXLOSS Deviation = 6.87ppm
Search WEB for skeleton |
|
![]()
|
|
|
Structure Proposal # 1153 GKUBPFRQCPVTRY Deviation = 6.88ppm
Search WEB for skeleton respect to your proposal |
|
![]()
|
|
|
Structure Proposal # 1154 DVAHOGXZYSPFCK Deviation = 6.88ppm
Search WEB for skeleton respect to your proposal |
|
![]()
|
|
|
Structure Proposal # 1155 LEGPTIZZGLKFSQ Deviation = 6.88ppm
Search WEB for skeleton respect to your proposal |
|
![]()
|
|
|
Structure Proposal # 1156 AMUPWXLJMOKVKF Deviation = 6.89ppm
Search WEB for skeleton |
|
![]()
|
|
|
Structure Proposal # 1157 ORLQQORHXMCEEJ Deviation = 6.89ppm
Search WEB for skeleton respect to your proposal |
|
![]()
|
|
|
Structure Proposal # 1158 MRZAEKPVRKNDIU Deviation = 6.89ppm
Search WEB for skeleton respect to your proposal |
|
![]()
|
|
|
Structure Proposal # 1159 XWDMUYWYLGLEKK Deviation = 6.89ppm
Search WEB for skeleton |
|
![]()
|
|
|
Structure Proposal # 1160 MGSYQDYFLXUSQL Deviation = 6.90ppm
Search WEB for skeleton respect to your proposal |
|
![]()
|
|
|
Structure Proposal # 1161 CEYFAOWZIIDTNO Deviation = 6.90ppm
Search WEB for skeleton |
|
![]()
|
|
|
Structure Proposal # 1162 ALHRNNRCDDODKW Deviation = 6.90ppm
Search WEB for skeleton |
|
![]()
|
|
|
Structure Proposal # 1163 CYPIYCHPYBHJDI Deviation = 6.90ppm
Search WEB for skeleton |
|
![]()
|
|
|
Structure Proposal # 1164 BLBRAKSUKGUPST Deviation = 6.90ppm
Search WEB for skeleton respect to your proposal |
|
![]()
|
|
|
Structure Proposal # 1165 NCIQFOKEQUCXPO Deviation = 6.91ppm
Search WEB for skeleton respect to your proposal |
|
![]()
|
|
|
Structure Proposal # 1166 KFACUEYXYUFSLS Deviation = 6.91ppm
Search WEB for skeleton respect to your proposal |
|
![]()
|
|
|
Structure Proposal # 1167 QBSOBXURVTTZKV Deviation = 6.92ppm
Search WEB for skeleton respect to your proposal |
|
![]()
|
|
|
Structure Proposal # 1168 GCIKLRDUJRQWSH Deviation = 6.92ppm
Search WEB for skeleton |
|
![]()
|
|
|
Structure Proposal # 1169 AWJQUXXYNWGGTR Deviation = 6.92ppm
Search WEB for skeleton |
|
![]()
|
|
|
Structure Proposal # 1170 STXCAPWAXKQCOX Deviation = 6.92ppm
Search WEB for skeleton |
|
![]()
|
|
|
Structure Proposal # 1171 RNJGZBFRJHTOJA Deviation = 6.93ppm
Search WEB for skeleton |
|
![]()
|
|
|
Structure Proposal # 1172 JABVDAJXJAZQQQ Deviation = 6.93ppm
Search WEB for skeleton respect to your proposal |
|
![]()
|
|
|
Structure Proposal # 1173 ATHFXEPTZBSOMS Deviation = 6.93ppm
Search WEB for skeleton |
|
![]()
|
|
|
Structure Proposal # 1174 FNUNJEUUXBFQGD Deviation = 6.93ppm
Search WEB for skeleton |
|
![]()
|
|
|
Structure Proposal # 1175 MQKOJVKSECRKGN Deviation = 6.93ppm
Search WEB for skeleton |
|
![]()
|
|
|
Structure Proposal # 1176 JAQWFEAFMPTNDA Deviation = 6.94ppm
Search WEB for skeleton |
|
![]()
|
|
|
Structure Proposal # 1177 ZDIQNMWTOOEYPN Deviation = 6.94ppm
Search WEB for skeleton |
|
![]()
|
|
|
Structure Proposal # 1178 INHIKEOYHBJJIU Deviation = 6.95ppm
Search WEB for skeleton respect to your proposal |
|
![]()
|
|
|
Structure Proposal # 1179 LZJBGVMUXHVIAP Deviation = 6.95ppm
Search WEB for skeleton |
|
![]()
|
|
|
Structure Proposal # 1180 YWZMANHEPQKAOV Deviation = 6.95ppm
Search WEB for skeleton respect to your proposal |
|
![]()
|
|
|
Structure Proposal # 1181 JJRPDTFITAFYDR Deviation = 6.96ppm
Search WEB for skeleton respect to your proposal |
|
![]()
|
|
|
Structure Proposal # 1182 NCGLTIMLSVFZOD Deviation = 6.96ppm
Search WEB for skeleton |
|
![]()
|
|
|
Structure Proposal # 1183 AGYIZHNKFMITLB Deviation = 6.96ppm
Search WEB for skeleton respect to your proposal |
|
![]()
|
|
|
Structure Proposal # 1184 OHDFYGCJBVSOGY Deviation = 6.96ppm
Search WEB for skeleton |
|
![]()
|
|
|
Structure Proposal # 1185 QQLBXBFPAZKHCD Deviation = 6.96ppm
Search WEB for skeleton respect to your proposal |
|
![]()
|
|
|
Structure Proposal # 1186 FXYCRVNRFKKJBZ Deviation = 6.96ppm
Search WEB for skeleton respect to your proposal |
|
![]()
|
|
|
Structure Proposal # 1187 LVAQOARHOAGCAO Deviation = 6.97ppm
Search WEB for skeleton |
|
![]()
|
|
|
Structure Proposal # 1188 WAURMVYRHDKPLM Deviation = 6.97ppm
Search WEB for skeleton |
|
![]()
|
|
|
Structure Proposal # 1189 GTCQLGNDZBRWOY Deviation = 6.98ppm
Search WEB for skeleton respect to your proposal |
|
![]()
|
|
|
Structure Proposal # 1190 RULQTXSLGHEUET Deviation = 6.98ppm
Search WEB for skeleton respect to your proposal |
|
![]()
|
|
|
Structure Proposal # 1191 QBIDRRMWNSSSAW Deviation = 6.99ppm
Search WEB for skeleton |
|
![]()
|
|
|
Structure Proposal # 1192 PEMPWVDBGVLGSW Deviation = 6.99ppm
Search WEB for skeleton |
|
![]()
|
|
|
Structure Proposal # 1193 AFQDXAOGZCHOOW Deviation = 7.00ppm
Search WEB for skeleton respect to your proposal |
|
![]()
|
|
|
Structure Proposal # 1194 ICKZCECFGLZRGQ Deviation = 7.00ppm
Search WEB for skeleton respect to your proposal |
|
![]()
|
|
|
Structure Proposal # 1195 XYIHLBLEQCTFQC Deviation = 7.00ppm
Search WEB for skeleton |
|
![]()
|
|
|
Structure Proposal # 1196 VURQDMKXLHWOPO Deviation = 7.00ppm
Search WEB for skeleton respect to your proposal |
|
![]()
|
|
|
Structure Proposal # 1197 JOYDOCVVAKIBJM Deviation = 7.01ppm
Search WEB for skeleton respect to your proposal |
|
![]()
|
|
|
Structure Proposal # 1198 QPZQYKKKFXKYPR Deviation = 7.02ppm
Search WEB for skeleton respect to your proposal |
|
![]()
|
|
|
Structure Proposal # 1199 NOCOSBOYTFTVAW Deviation = 7.02ppm
Search WEB for skeleton respect to your proposal |
|
![]()
|
|
|
Structure Proposal # 1200 JSXWKBPGXPGFJA Deviation = 7.03ppm
Search WEB for skeleton respect to your proposal |
|
![]()
|
|
|
Structure Proposal # 1201 ICHIKOIWVACRAS Deviation = 7.03ppm
Search WEB for skeleton respect to your proposal |
|
![]()
|
|
|
Structure Proposal # 1202 HAHKLXLSKRVAFT Deviation = 7.03ppm
Search WEB for skeleton |
|
![]()
|
|
|
Structure Proposal # 1203 SWFSCYXOXUEVJL Deviation = 7.03ppm
Search WEB for skeleton |
|
![]()
|
|
|
Structure Proposal # 1204 XGALCIZADFYQSJ Deviation = 7.04ppm
Search WEB for skeleton respect to your proposal |
|
![]()
|
|
|
Structure Proposal # 1205 RZBABQLRGRTKGM Deviation = 7.04ppm
Search WEB for skeleton |
|
![]()
|
|
|
Structure Proposal # 1206 KFVVFIDUSXVMGW Deviation = 7.04ppm
Search WEB for skeleton |
|
![]()
|
|
|
Structure Proposal # 1207 WXRQREGGNDKXAL Deviation = 7.04ppm
Search WEB for skeleton respect to your proposal |
|
![]()
|
|
|
Structure Proposal # 1208 ZCEUBASRNVAWOV Deviation = 7.05ppm
Search WEB for skeleton respect to your proposal |
|
![]()
|
|
|
Structure Proposal # 1209 GFQATSSINNERFD Deviation = 7.05ppm
Search WEB for skeleton respect to your proposal |
|
![]()
|
|
|
Structure Proposal # 1210 NRMGLBLDAZZNMJ Deviation = 7.05ppm
Search WEB for skeleton respect to your proposal |
|
![]()
|
|
|
Structure Proposal # 1211 JDACEFJXIRIWJC Deviation = 7.05ppm
Search WEB for skeleton |
|
![]()
|
|
|
Structure Proposal # 1212 XESXFUDDIKDMCH Deviation = 7.06ppm
Search WEB for skeleton |
|
![]()
|
|
|
Structure Proposal # 1213 GJUDPOGNNWARNI Deviation = 7.06ppm
Search WEB for skeleton respect to your proposal |
|
![]()
|
|
|
Structure Proposal # 1214 UCBNZGHYQYXZGF Deviation = 7.07ppm
Search WEB for skeleton respect to your proposal |
|
![]()
|
|
|
Structure Proposal # 1215 YODOEXIPFQNREN Deviation = 7.07ppm
Search WEB for skeleton respect to your proposal |
|
![]()
|
|
|
Structure Proposal # 1216 CDJOFBYWERCWFE Deviation = 7.08ppm
Search WEB for skeleton respect to your proposal |
|
![]()
|
|
|
Structure Proposal # 1217 XMAVICADDXXRPS Deviation = 7.08ppm
Search WEB for skeleton |
|
![]()
|
|
|
Structure Proposal # 1218 PSKAKLFYJYQILW Deviation = 7.09ppm
Search WEB for skeleton |
|
![]()
|
|
|
Structure Proposal # 1219 ZIBWADAOUFTPDS Deviation = 7.09ppm
Search WEB for skeleton respect to your proposal |
|
![]()
|
|
|
Structure Proposal # 1220 GGYJGDRJSXBNGF Deviation = 7.09ppm
Search WEB for skeleton |
|
![]()
|
|
|
Structure Proposal # 1221 FLSQQPPWJKKVEI Deviation = 7.09ppm
Search WEB for skeleton |
|
![]()
|
|
|
Structure Proposal # 1222 CCWYUQMYBDFPGV Deviation = 7.10ppm
Search WEB for skeleton respect to your proposal |
|
![]()
|
|
|
Structure Proposal # 1223 CGEGROZKJRFCSP Deviation = 7.11ppm
Search WEB for skeleton |
|
![]()
|
|
|
Structure Proposal # 1224 YLJSLMZWVIZGMP Deviation = 7.11ppm
Search WEB for skeleton respect to your proposal |
|
![]()
|
|
|
Structure Proposal # 1225 UEBCDOFYKNOGEE Deviation = 7.12ppm
Search WEB for skeleton respect to your proposal |
|
![]()
|
|
|
Structure Proposal # 1226 QSUJKCCIPHMKMO Deviation = 7.13ppm
Search WEB for skeleton |
|
![]()
|
|
|
Structure Proposal # 1227 SKQKMDDKUFOGSW Deviation = 7.13ppm
Search WEB for skeleton |
|
![]()
|
|
|
Structure Proposal # 1228 OHXMXDIQOITRPF Deviation = 7.13ppm
Search WEB for skeleton respect to your proposal |
|
![]()
|
|
|
Structure Proposal # 1229 VPYWGEBYWFMYOI Deviation = 7.13ppm
Search WEB for skeleton respect to your proposal |
|
![]()
|
|
|
Structure Proposal # 1230 KVGMGRRXMQYPPI Deviation = 7.13ppm
Search WEB for skeleton respect to your proposal |
|
![]()
|
|
|
Structure Proposal # 1231 MYBIMINZZDNEDA Deviation = 7.13ppm
Search WEB for skeleton respect to your proposal |
|
![]()
|
|
|
Structure Proposal # 1232 LJHXKBMLHIZVTO Deviation = 7.14ppm
Search WEB for skeleton respect to your proposal |
|
![]()
|
|
|
Structure Proposal # 1233 ZUUZOMKSPSJAGL Deviation = 7.14ppm
Search WEB for skeleton |
|
![]()
|
|
|
Structure Proposal # 1234 ROMDLIKUZYGVLL Deviation = 7.14ppm
Search WEB for skeleton |
|
![]()
|
|
|
Structure Proposal # 1235 WFNJEHBWJXAMOE Deviation = 7.14ppm
Search WEB for skeleton respect to your proposal |
|
![]()
|
|
|
Structure Proposal # 1236 LCZIEJJLGKMZEO Deviation = 7.15ppm
Search WEB for skeleton respect to your proposal |
|
![]()
|
|
|
Structure Proposal # 1237 KMTVOXBTFOSARY Deviation = 7.15ppm
Search WEB for skeleton |
|
![]()
|
|
|
Structure Proposal # 1238 LTTVGCCZQIXUOQ Deviation = 7.15ppm
Search WEB for skeleton respect to your proposal |
|
![]()
|
|
|
Structure Proposal # 1239 AEBWXKIDRNLQJO Deviation = 7.15ppm
Search WEB for skeleton respect to your proposal |
|
![]()
|
|
|
Structure Proposal # 1240 CRLDBQURNOFAQG Deviation = 7.15ppm
Search WEB for skeleton respect to your proposal |
|
![]()
|
|
|
Structure Proposal # 1241 DCFXHZXVIAKUDH Deviation = 7.15ppm
Search WEB for skeleton |
|
![]()
|
|
|
Structure Proposal # 1242 MNFZDHAKWDHOPP Deviation = 7.15ppm
Search WEB for skeleton respect to your proposal |
|
![]()
|
|
|
Structure Proposal # 1243 YHJCISREYCRAAP Deviation = 7.15ppm
Search WEB for skeleton respect to your proposal |
|
![]()
|
|
|
Structure Proposal # 1244 RHZISLWWFJCXMK Deviation = 7.15ppm
Search WEB for skeleton respect to your proposal |
|
![]()
|
|
|
Structure Proposal # 1245 CXIQFYVPCPLJHQ Deviation = 7.16ppm
Search WEB for skeleton |
|
![]()
|
|
|
Structure Proposal # 1246 KKBVBNODYHQPSH Deviation = 7.16ppm
Search WEB for skeleton |
|
![]()
|
|
|
Structure Proposal # 1247 VMZSPPZNSBXDCD Deviation = 7.16ppm
Search WEB for skeleton |
|
![]()
|
|
|
Structure Proposal # 1248 MYDZIJKQXYTCQR Deviation = 7.16ppm
Search WEB for skeleton respect to your proposal |
|
![]()
|
|
|
Structure Proposal # 1249 JKQKHYMAWYLWBI Deviation = 7.16ppm
Search WEB for skeleton |
|
![]()
|
|
|
Structure Proposal # 1250 SDOSGOOCILTYOD Deviation = 7.17ppm
Search WEB for skeleton respect to your proposal |
|
![]()
|
|
|
Structure Proposal # 1251 UGWAQJMZENZXSZ Deviation = 7.17ppm
Search WEB for skeleton respect to your proposal |
|
![]()
|
|
|
Structure Proposal # 1252 LKDUVSNQVYLVPT Deviation = 7.18ppm
Search WEB for skeleton |
|
![]()
|
|
|
Structure Proposal # 1253 FLDSXBUBARUPAE Deviation = 7.18ppm
Search WEB for skeleton respect to your proposal |
|
![]()
|
|
|
Structure Proposal # 1254 GLIXEGBKNYFSJT Deviation = 7.18ppm
Search WEB for skeleton |
|
![]()
|
|
|
Structure Proposal # 1255 JJZWDCYXPNEFGS Deviation = 7.18ppm
Search WEB for skeleton |
|
![]()
|
|
|
Structure Proposal # 1256 VWEUXYSPJXXIFV Deviation = 7.19ppm
Search WEB for skeleton respect to your proposal |
|
![]()
|
|
|
Structure Proposal # 1257 FXQBIQZWUGHNJD Deviation = 7.20ppm
Search WEB for skeleton |
|
![]()
|
|
|
Structure Proposal # 1258 HYPVEBSEVWKXID Deviation = 7.20ppm
Search WEB for skeleton |
|
![]()
|
|
|
Structure Proposal # 1259 BUIKEQSHDLHMEH Deviation = 7.20ppm
Search WEB for skeleton |
|
![]()
|
|
|
Structure Proposal # 1260 GPUPFCKETSOPKK Deviation = 7.20ppm
Search WEB for skeleton respect to your proposal |
|
![]()
|
|
|
Structure Proposal # 1261 ZUPMVPKAIUKIQX Deviation = 7.20ppm
Search WEB for skeleton |
|
![]()
|
|
|
Structure Proposal # 1262 GTBPPSJEUHGQFH Deviation = 7.22ppm
Search WEB for skeleton |
|
![]()
|
|
|
Structure Proposal # 1263 ABWUWPGDCPOEKO Deviation = 7.22ppm
Search WEB for skeleton respect to your proposal |
|
![]()
|
|
|
Structure Proposal # 1264 FHDMXPIYRYZFRT Deviation = 7.23ppm
Search WEB for skeleton |
|
![]()
|
|
|
Structure Proposal # 1265 ZNKMYWNZGIBBFL Deviation = 7.23ppm
Search WEB for skeleton respect to your proposal |
|
![]()
|
|
|
Structure Proposal # 1266 APEKQFGCOBPCAY Deviation = 7.24ppm
Search WEB for skeleton respect to your proposal |
|
![]()
|
|
|
Structure Proposal # 1267 XEINEFFUWZCZIS Deviation = 7.24ppm
Search WEB for skeleton |
|
![]()
|
|
|
Structure Proposal # 1268 OKCOETPNMLUZGX Deviation = 7.24ppm
Search WEB for skeleton |
|
![]()
|
|
|
Structure Proposal # 1269 RLEPWFPFRCQJGC Deviation = 7.25ppm
Search WEB for skeleton |
|
![]()
|
|
|
Structure Proposal # 1270 VYLMYZSMNQGQAP Deviation = 7.25ppm
Search WEB for skeleton |
|
![]()
|
|
|
Structure Proposal # 1271 OBACYMWISVAKEH Deviation = 7.25ppm
Search WEB for skeleton respect to your proposal |
|
![]()
|
|
|
Structure Proposal # 1272 ORCHKHGFZQYINY Deviation = 7.26ppm
Search WEB for skeleton |
|
![]()
|
|
|
Structure Proposal # 1273 GGFQNTQILGWMMS Deviation = 7.26ppm
Search WEB for skeleton respect to your proposal |
|
![]()
|
|
|
Structure Proposal # 1274 OAECSUIPEFWKPK Deviation = 7.26ppm
Search WEB for skeleton |
|
![]()
|
|
|
Structure Proposal # 1275 MZVSIGVLSBOPID Deviation = 7.28ppm
Search WEB for skeleton respect to your proposal |
|
![]()
|
|
|
Structure Proposal # 1276 PPJYMRDLDUMDAZ Deviation = 7.29ppm
Search WEB for skeleton |
|
![]()
|
|
|
Structure Proposal # 1277 AIDQGDUEZVENCL Deviation = 7.30ppm
Search WEB for skeleton respect to your proposal |
|
![]()
|
|
|
Structure Proposal # 1278 LERASALFMKJSDX Deviation = 7.30ppm
Search WEB for skeleton respect to your proposal |
|
![]()
|
|
|
Structure Proposal # 1279 FBYMKOJEBAYCOA Deviation = 7.31ppm
Search WEB for skeleton respect to your proposal |
|
![]()
|
|
|
Structure Proposal # 1280 NFZLVQJTQGGESQ Deviation = 7.31ppm
Search WEB for skeleton |
|
![]()
|
|
|
Structure Proposal # 1281 YBJYTWITJJXUEH Deviation = 7.33ppm
Search WEB for skeleton respect to your proposal |
|
![]()
|
|
|
Structure Proposal # 1282 LOEPTAKDLPPYBQ Deviation = 7.33ppm
Search WEB for skeleton |
|
![]()
|
|
|
Structure Proposal # 1283 WFCSRZIUBCPKSB Deviation = 7.33ppm
Search WEB for skeleton respect to your proposal |
|
![]()
|
|
|
Structure Proposal # 1284 ZVXNEKHEVNZZJN Deviation = 7.33ppm
Search WEB for skeleton respect to your proposal |
|
![]()
|
|
|
Structure Proposal # 1285 LGECQQLWQDVXNS Deviation = 7.33ppm
Search WEB for skeleton respect to your proposal |
|
![]()
|
|
|
Structure Proposal # 1286 LESDCGLLDJFIOG Deviation = 7.34ppm
Search WEB for skeleton |
|
![]()
|
|
|
Structure Proposal # 1287 XHCUVYSAFCRIOD Deviation = 7.34ppm
Search WEB for skeleton |
|
![]()
|
|
|
Structure Proposal # 1288 GIQGNNQANRVFQS Deviation = 7.34ppm
Search WEB for skeleton respect to your proposal |
|
![]()
|
|
|
Structure Proposal # 1289 BSKNFJGAWMVESU Deviation = 7.34ppm
Search WEB for skeleton |
|
![]()
|
|
|
Structure Proposal # 1290 NWTOIFPZIRXVNE Deviation = 7.35ppm
Search WEB for skeleton respect to your proposal |
|
![]()
|
|
|
Structure Proposal # 1291 XUUWTMBVLWQCDO Deviation = 7.35ppm
Search WEB for skeleton |
|
![]()
|
|
|
Structure Proposal # 1292 NNGXFFPLXNAIGA Deviation = 7.35ppm
Search WEB for skeleton |
|
![]()
|
|
|
Structure Proposal # 1293 GZOVOHNAPZXBMI Deviation = 7.35ppm
Search WEB for skeleton respect to your proposal |
|
![]()
|
|
|
Structure Proposal # 1294 HZZHUYHPCXGSFT Deviation = 7.37ppm
Search WEB for skeleton |
|
![]()
|
|
|
Structure Proposal # 1295 AZFZWZXQVMDPFC Deviation = 7.38ppm
Search WEB for skeleton |
|
![]()
|
|
|
Structure Proposal # 1296 IMUDHVIIGSNMBD Deviation = 7.38ppm
Search WEB for skeleton |
|
![]()
|
|
|
Structure Proposal # 1297 VNPRKKWWJOEBLB Deviation = 7.38ppm
Search WEB for skeleton respect to your proposal |
|
![]()
|
|
|
Structure Proposal # 1298 ZGVBYEHSPWZIPD Deviation = 7.38ppm
Search WEB for skeleton |
|
![]()
|
|
|
Structure Proposal # 1299 KPJJXEDXMRLVRY Deviation = 7.38ppm
Search WEB for skeleton |
|
![]()
|
|
|
Structure Proposal # 1300 NMEKYJKCIKOJTI Deviation = 7.38ppm
Search WEB for skeleton respect to your proposal |
|
![]()
|
|
|
Structure Proposal # 1301 OBDHECPWNUGWMK Deviation = 7.39ppm
Search WEB for skeleton respect to your proposal |
|
![]()
|
|
|
Structure Proposal # 1302 LOQGSDXVCQLGNT Deviation = 7.39ppm
Search WEB for skeleton respect to your proposal |
|
![]()
|
|
|
Structure Proposal # 1303 ZKDNTVLGIJGKNE Deviation = 7.40ppm
Search WEB for skeleton |
|
![]()
|
|
|
Structure Proposal # 1304 ZWLVLVSZWBMMJR Deviation = 7.41ppm
Search WEB for skeleton |
|
![]()
|
|
|
Structure Proposal # 1305 SOAPDUZYLMQAMW Deviation = 7.41ppm
Search WEB for skeleton respect to your proposal |
|
![]()
|
|
|
Structure Proposal # 1306 JXRJUYUKKHYKHU Deviation = 7.41ppm
Search WEB for skeleton respect to your proposal |
|
![]()
|
|
|
Structure Proposal # 1307 POVIWPSTGNUGPL Deviation = 7.41ppm
Search WEB for skeleton |
|
![]()
|
|
|
Structure Proposal # 1308 TZNWXGMRNUWRIH Deviation = 7.42ppm
Search WEB for skeleton |
|
![]()
|
|
|
Structure Proposal # 1309 UXMBYZGIYCXUDJ Deviation = 7.43ppm
Search WEB for skeleton |
|
![]()
|
|
|
Structure Proposal # 1310 PJGQPGWRVPLPSG Deviation = 7.44ppm
Search WEB for skeleton |
|
![]()
|
|
|
Structure Proposal # 1311 ANICZIYDZFOMJT Deviation = 7.44ppm
Search WEB for skeleton |
|
![]()
|
|
|
Structure Proposal # 1312 HRYDHGGNTDMKIR Deviation = 7.45ppm
Search WEB for skeleton |
|
![]()
|
|
|
Structure Proposal # 1313 RPMWGHOETZHPNS Deviation = 7.45ppm
Search WEB for skeleton respect to your proposal |
|
![]()
|
|
|
Structure Proposal # 1314 RZUVLLJITMXMIB Deviation = 7.46ppm
Search WEB for skeleton respect to your proposal |
|
![]()
|
|
|
Structure Proposal # 1315 MCCLMRVMWVQPFB Deviation = 7.46ppm
Search WEB for skeleton respect to your proposal |
|
![]()
|
|
|
Structure Proposal # 1316 DEMKTAROUIFQCN Deviation = 7.47ppm
Search WEB for skeleton respect to your proposal |
|
![]()
|
|
|
Structure Proposal # 1317 QEPQQDWLXLJUJA Deviation = 7.47ppm
Search WEB for skeleton respect to your proposal |
|
![]()
|
|
|
Structure Proposal # 1318 GSHYTGNUXKEFEN Deviation = 7.47ppm
Search WEB for skeleton respect to your proposal |
|
![]()
|
|
|
Structure Proposal # 1319 SXIRGAKZNQOUQM Deviation = 7.47ppm
Search WEB for skeleton respect to your proposal |
|
![]()
|
|
|
Structure Proposal # 1320 UGRVRHOPLCAMOW Deviation = 7.48ppm
Search WEB for skeleton |
|
![]()
|
|
|
Structure Proposal # 1321 OFRNTKMQTAMAMH Deviation = 7.48ppm
Search WEB for skeleton respect to your proposal |
|
![]()
|
|
|
Structure Proposal # 1322 BDSITWLWYNTTMF Deviation = 7.48ppm
Search WEB for skeleton |
|
![]()
|
|
|
Structure Proposal # 1323 DUTKNCBHWIVBFD Deviation = 7.49ppm
Search WEB for skeleton respect to your proposal |
|
![]()
|
|
|
Structure Proposal # 1324 PWLGTHQGTBZPTE Deviation = 7.50ppm
Search WEB for skeleton |
|
![]()
|
|
|
Structure Proposal # 1325 WOQFVLGJDPHJGX Deviation = 7.50ppm
Search WEB for skeleton respect to your proposal |
|
![]()
|
|
|
Structure Proposal # 1326 VSYOGRNMJSDXIQ Deviation = 7.50ppm
Search WEB for skeleton respect to your proposal |
|
![]()
|
|
|
Structure Proposal # 1327 QZBAMHVBEOFPKJ Deviation = 7.51ppm
Search WEB for skeleton respect to your proposal |
|
![]()
|
|
|
Structure Proposal # 1328 TYEIZLNYASZCGR Deviation = 7.52ppm
Search WEB for skeleton respect to your proposal |
|
![]()
|
|
|
Structure Proposal # 1329 YIBNWSLUVOHQBP Deviation = 7.52ppm
Search WEB for skeleton respect to your proposal |
|
![]()
|
|
|
Structure Proposal # 1330 XLCGKPCSMUITNI Deviation = 7.52ppm
Search WEB for skeleton |
|
![]()
|
|
|
Structure Proposal # 1331 MGWKLWWFWWGYEX Deviation = 7.53ppm
Search WEB for skeleton |
|
![]()
|
|
|
Structure Proposal # 1332 ACYAFMUSHJUNCQ Deviation = 7.53ppm
Search WEB for skeleton respect to your proposal |
|
![]()
|
|
|
Structure Proposal # 1333 XXGLKSPYODJQDF Deviation = 7.54ppm
Search WEB for skeleton |
|
![]()
|
|
|
Structure Proposal # 1334 WSKJHSFELIRZFN Deviation = 7.54ppm
Search WEB for skeleton respect to your proposal |
|
![]()
|
|
|
Structure Proposal # 1335 JCJLKACWLISPJM Deviation = 7.55ppm
Search WEB for skeleton |
|
![]()
|
|
|
Structure Proposal # 1336 ILQKOJUYAZALGW Deviation = 7.55ppm
Search WEB for skeleton |
|
![]()
|
|
|
Structure Proposal # 1337 FRDASPUIXZIXRM Deviation = 7.56ppm
Search WEB for skeleton |
|
![]()
|
|
|
Structure Proposal # 1338 GKBDKXJTJHVUSI Deviation = 7.56ppm
Search WEB for skeleton |
|
![]()
|
|
|
Structure Proposal # 1339 PWQKFXHFPVYKOH Deviation = 7.57ppm
Search WEB for skeleton respect to your proposal |
|
![]()
|
|
|
Structure Proposal # 1340 OMWWDENMFMDFDM Deviation = 7.57ppm
Search WEB for skeleton respect to your proposal |
|
![]()
|
|
|
Structure Proposal # 1341 GPVFUCUZSFRCBD Deviation = 7.58ppm
Search WEB for skeleton |
|
![]()
|
|
|
Structure Proposal # 1342 ABIAATPVFDIKDX Deviation = 7.58ppm
Search WEB for skeleton respect to your proposal |
|
![]()
|
|
|
Structure Proposal # 1343 QMMSOVMZCHUTGN Deviation = 7.58ppm
Search WEB for skeleton respect to your proposal |
|
![]()
|
|
|
Structure Proposal # 1344 SFWZAHOPZPAWEO Deviation = 7.61ppm
Search WEB for skeleton respect to your proposal |
|
![]()
|
|
|
Structure Proposal # 1345 GXOXBPYHENRAJU Deviation = 7.61ppm
Search WEB for skeleton |
|
![]()
|
|
|
Structure Proposal # 1346 GPKMIPLLDLXHDA Deviation = 7.62ppm
Search WEB for skeleton respect to your proposal |
|
![]()
|
|
|
Structure Proposal # 1347 KPZPBESPGDPGRD Deviation = 7.62ppm
Search WEB for skeleton respect to your proposal |
|
![]()
|
|
|
Structure Proposal # 1348 YXSFOAUVXKLBOD Deviation = 7.62ppm
Search WEB for skeleton respect to your proposal |
|
![]()
|
|
|
Structure Proposal # 1349 DXZHJBPKZNWPIJ Deviation = 7.62ppm
Search WEB for skeleton respect to your proposal |
|
![]()
|
|
|
Structure Proposal # 1350 NDHCMBBZKUPYDT Deviation = 7.62ppm
Search WEB for skeleton |
|
![]()
|
|
|
Structure Proposal # 1351 XEEOFHNLVIUBFL Deviation = 7.63ppm
Search WEB for skeleton respect to your proposal |
|
![]()
|
|
|
Structure Proposal # 1352 GTDHLMYCGPVHJT Deviation = 7.63ppm
Search WEB for skeleton respect to your proposal |
|
![]()
|
|
|
Structure Proposal # 1353 PPQGKFYRXPLOKA Deviation = 7.63ppm
Search WEB for skeleton |
|
![]()
|
|
|
Structure Proposal # 1354 GDLGSRZQXGBQNZ Deviation = 7.63ppm
Search WEB for skeleton |
|
![]()
|
|
|
Structure Proposal # 1355 GSWSIRFCEVSJPV Deviation = 7.64ppm
Search WEB for skeleton respect to your proposal |
|
![]()
|
|
|
Structure Proposal # 1356 NOTRDPFOXAZXGG Deviation = 7.64ppm
Search WEB for skeleton |
|
![]()
|
|
|
Structure Proposal # 1357 VDGYYQAQKVWUBS Deviation = 7.64ppm
Search WEB for skeleton respect to your proposal |
|
![]()
|
|
|
Structure Proposal # 1358 BQUPFEAEDOCWSF Deviation = 7.65ppm
Search WEB for skeleton respect to your proposal |
|
![]()
|
|
|
Structure Proposal # 1359 ZFTCBMKYBUYNRJ Deviation = 7.65ppm
Search WEB for skeleton respect to your proposal |
|
![]()
|
|
|
Structure Proposal # 1360 KIWZAQJFNHZOJN Deviation = 7.65ppm
Search WEB for skeleton respect to your proposal |
|
![]()
|
|
|
Structure Proposal # 1361 CWBFHGYEEJKMNS Deviation = 7.66ppm
Search WEB for skeleton |
|
![]()
|
|
|
Structure Proposal # 1362 LHQZZSCDBZPLJD Deviation = 7.66ppm
Search WEB for skeleton respect to your proposal |
|
![]()
|
|
|
Structure Proposal # 1363 IWRPZUSOIKBFGC Deviation = 7.66ppm
Search WEB for skeleton |
|
![]()
|
|
|
Structure Proposal # 1364 IUYTZLOWHAKSPG Deviation = 7.67ppm
Search WEB for skeleton respect to your proposal |
|
![]()
|
|
|
Structure Proposal # 1365 PUWWISQCHJMJRT Deviation = 7.68ppm
Search WEB for skeleton |
|
![]()
|
|
|
Structure Proposal # 1366 UKXYBJIRTNUJJH Deviation = 7.68ppm
Search WEB for skeleton respect to your proposal |
|
![]()
|
|
|
Structure Proposal # 1367 KWDLSMABSFWPFX Deviation = 7.68ppm
Search WEB for skeleton respect to your proposal |
|
![]()
|
|
|
Structure Proposal # 1368 WIBLXZNWKRVBQO Deviation = 7.69ppm
Search WEB for skeleton |
|
![]()
|
|
|
Structure Proposal # 1369 KCGOPGIGPRDXMC Deviation = 7.69ppm
Search WEB for skeleton respect to your proposal |
|
![]()
|
|
|
Structure Proposal # 1370 YCBHMIFTPDSBBU Deviation = 7.69ppm
Search WEB for skeleton respect to your proposal |
|
![]()
|
|
|
Structure Proposal # 1371 LWDGSXOHMCWAJV Deviation = 7.70ppm
Search WEB for skeleton |
|
![]()
|
|
|
Structure Proposal # 1372 CSINEDDWXRNAIJ Deviation = 7.71ppm
Search WEB for skeleton respect to your proposal |
|
![]()
|
|
|
Structure Proposal # 1373 SEOFKYIHTCFTER Deviation = 7.71ppm
Search WEB for skeleton respect to your proposal |
|
![]()
|
|
|
Structure Proposal # 1374 LQVFXFDZVSGROZ Deviation = 7.72ppm
Search WEB for skeleton respect to your proposal |
|
![]()
|
|
|
Structure Proposal # 1375 PSXZRYMUIILTDU Deviation = 7.73ppm
Search WEB for skeleton respect to your proposal |
|
![]()
|
|
|
Structure Proposal # 1376 UATIBHDCRPZMKF Deviation = 7.74ppm
Search WEB for skeleton |
|
![]()
|
|
|
Structure Proposal # 1377 WUHJNWVEPOPCPW Deviation = 7.74ppm
Search WEB for skeleton |
|
![]()
|
|
|
Structure Proposal # 1378 WWDLINWLQFIDKG Deviation = 7.75ppm
Search WEB for skeleton respect to your proposal |
|
![]()
|
|
|
Structure Proposal # 1379 VNYHZSZPZYPDLZ Deviation = 7.75ppm
Search WEB for skeleton respect to your proposal |
|
![]()
|
|
|
Structure Proposal # 1380 VDFSWBRIWGTZJU Deviation = 7.75ppm
Search WEB for skeleton respect to your proposal |
|
![]()
|
|
|
Structure Proposal # 1381 VZCQJESETBERLH Deviation = 7.75ppm
Search WEB for skeleton |
|
![]()
|
|
|
Structure Proposal # 1382 DZYGDUDZHDYWJH Deviation = 7.75ppm
Search WEB for skeleton respect to your proposal |
|
![]()
|
|
|
Structure Proposal # 1383 JUDBBQXSBCQULH Deviation = 7.75ppm
Search WEB for skeleton respect to your proposal |
|
![]()
|
|
|
Structure Proposal # 1384 MSCWFLPFAPPPHW Deviation = 7.76ppm
Search WEB for skeleton |
|
![]()
|
|
|
Structure Proposal # 1385 ACFYJAHHRJGZOF Deviation = 7.76ppm
Search WEB for skeleton |
|
![]()
|
|
|
Structure Proposal # 1386 YFBPAJTVEPEGNJ Deviation = 7.77ppm
Search WEB for skeleton |
|
![]()
|
|
|
Structure Proposal # 1387 YDRZVDBUMRAPCL Deviation = 7.77ppm
Search WEB for skeleton |
|
![]()
|
|
|
Structure Proposal # 1388 LNPUYWBEHWVCOC Deviation = 7.78ppm
Search WEB for skeleton respect to your proposal |
|
![]()
|
|
|
Structure Proposal # 1389 JVGOQRDLBRKWNP Deviation = 7.79ppm
Search WEB for skeleton respect to your proposal |
|
![]()
|
|
|
Structure Proposal # 1390 KMIMYEHGBHSFLM Deviation = 7.80ppm
Search WEB for skeleton respect to your proposal |
|
![]()
|
|
|
Structure Proposal # 1391 CNFYKMWGKJFGMN Deviation = 7.80ppm
Search WEB for skeleton respect to your proposal |
|
![]()
|
|
|
Structure Proposal # 1392 CGVRVCZYCMFUGV Deviation = 7.81ppm
Search WEB for skeleton |
|
![]()
|
|
|
Structure Proposal # 1393 DQBJTBBKKBKHHN Deviation = 7.82ppm
Search WEB for skeleton respect to your proposal |
|
![]()
|
|
|
Structure Proposal # 1394 CNDNWPLYFRPZFO Deviation = 7.82ppm
Search WEB for skeleton |
|
![]()
|
|
|
Structure Proposal # 1395 QQSYRSHPORRKGY Deviation = 7.82ppm
Search WEB for skeleton respect to your proposal |
|
![]()
|
|
|
Structure Proposal # 1396 ASWVEJJXGKHPHZ Deviation = 7.82ppm
Search WEB for skeleton respect to your proposal |
|
![]()
|
|
|
Structure Proposal # 1397 WFBNZUOVVPVBAI Deviation = 7.83ppm
Search WEB for skeleton |
|
![]()
|
|
|
Structure Proposal # 1398 IEZSNCMRKLEWCT Deviation = 7.85ppm
Search WEB for skeleton respect to your proposal |
|
![]()
|
|
|
Structure Proposal # 1399 PBCQJYMZUGWGBZ Deviation = 7.85ppm
Search WEB for skeleton respect to your proposal |
|
![]()
|
|
|
Structure Proposal # 1400 CAFWUEIARLMVCF Deviation = 7.85ppm
Search WEB for skeleton |
|
![]()
|
|
|
Structure Proposal # 1401 LPWKHACMSMMBHW Deviation = 7.87ppm
Search WEB for skeleton |
|
![]()
|
|
|
Structure Proposal # 1402 RLUZPBCBIKDJQO Deviation = 7.88ppm
Search WEB for skeleton |
|
![]()
|
|
|
Structure Proposal # 1403 CFYOIKVSWBYANX Deviation = 7.88ppm
Search WEB for skeleton |
|
![]()
|
|
|
Structure Proposal # 1404 VJRBTBULVAFRRS Deviation = 7.89ppm
Search WEB for skeleton respect to your proposal |
|
![]()
|
|
|
Structure Proposal # 1405 IULBCSNEPWIEBU Deviation = 7.89ppm
Search WEB for skeleton |
|
![]()
|
|
|
Structure Proposal # 1406 WTOLTHKRGWYGME Deviation = 7.91ppm
Search WEB for skeleton respect to your proposal |
|
![]()
|
|
|
Structure Proposal # 1407 SKQDVWRZQDLDOE Deviation = 7.91ppm
Search WEB for skeleton |
|
![]()
|
|
|
Structure Proposal # 1408 XGKWIZYCJBFHGG Deviation = 7.91ppm
Search WEB for skeleton |
|
![]()
|
|
|
Structure Proposal # 1409 INHRMDFPCCLWAI Deviation = 7.91ppm
Search WEB for skeleton |
|
![]()
|
|
|
Structure Proposal # 1410 VJBTUQJFFWOKFV Deviation = 7.92ppm
Search WEB for skeleton respect to your proposal |
|
![]()
|
|
|
Structure Proposal # 1411 MRFFFWBODOTLBN Deviation = 7.93ppm
Search WEB for skeleton |
|
![]()
|
|
|
Structure Proposal # 1412 XEXYMKZRUPYHQB Deviation = 7.94ppm
Search WEB for skeleton |
|
![]()
|
|
|
Structure Proposal # 1413 MZSJKCFQIWKNBG Deviation = 7.95ppm
Search WEB for skeleton |
|
![]()
|
|
|
Structure Proposal # 1414 RGDHSNVATBKANL Deviation = 7.95ppm
Search WEB for skeleton |
|
![]()
|
|
|
Structure Proposal # 1415 WUSQYVVRVDDNKL Deviation = 7.95ppm
Search WEB for skeleton respect to your proposal |
|
![]()
|
|
|
Structure Proposal # 1416 ILTMAZZRZGJRNP Deviation = 7.95ppm
Search WEB for skeleton |
|
![]()
|
|
|
Structure Proposal # 1417 BIPXXABEBHHUPZ Deviation = 7.96ppm
Search WEB for skeleton respect to your proposal |
|
![]()
|
|
|
Structure Proposal # 1418 ROOGNSUFMSGUNH Deviation = 7.97ppm
Search WEB for skeleton |
|
![]()
|
|
|
Structure Proposal # 1419 VXQPBHNGJORSES Deviation = 7.97ppm
Search WEB for skeleton |
|
![]()
|
|
|
Structure Proposal # 1420 PHFSENCUMYFIHP Deviation = 7.98ppm
Search WEB for skeleton |
|
![]()
|
|
|
Structure Proposal # 1421 LLEFWPSSFORPSQ Deviation = 7.99ppm
Search WEB for skeleton respect to your proposal |
|
![]()
|
|
|
Structure Proposal # 1422 ZGACKMFQABYTDH Deviation = 8.00ppm
Search WEB for skeleton |
|
![]()
|
|
|
Structure Proposal # 1423 VIBLZRUEROPQDV Deviation = 8.00ppm
Search WEB for skeleton |
|
![]()
|
|
|
Structure Proposal # 1424 DGIYCSFJYZQOFQ Deviation = 8.00ppm
Search WEB for skeleton respect to your proposal |
|
![]()
|
|
|
Structure Proposal # 1425 OKYAUWMGLYDVSA Deviation = 8.01ppm
Search WEB for skeleton |
|
![]()
|
|
|
Structure Proposal # 1426 WYFBVWIDTKFFFO Deviation = 8.01ppm
Search WEB for skeleton respect to your proposal |
|
![]()
|
|
|
Structure Proposal # 1427 NZGZDQQEZANSEI Deviation = 8.04ppm
Search WEB for skeleton |
|
![]()
|
|
|
Structure Proposal # 1428 BQTJHZFOMCVYJY Deviation = 8.04ppm
Search WEB for skeleton |
|
![]()
|
|
|
Structure Proposal # 1429 IFHVWZLZFPVYTR Deviation = 8.05ppm
Search WEB for skeleton |
|
![]()
|
|
|
Structure Proposal # 1430 KVRMWEFXQXQZNT Deviation = 8.05ppm
Search WEB for skeleton respect to your proposal |
|
![]()
|
|
|
Structure Proposal # 1431 PNVHLLHTDPTRTI Deviation = 8.06ppm
Search WEB for skeleton |
|
![]()
|
|
|
Structure Proposal # 1432 IHABWQJUCUNNDG Deviation = 8.07ppm
Search WEB for skeleton respect to your proposal |
|
![]()
|
|
|
Structure Proposal # 1433 FRAAIIOVBNSAHO Deviation = 8.07ppm
Search WEB for skeleton respect to your proposal |
|
![]()
|
|
|
Structure Proposal # 1434 NXJJNCGBZGCRCF Deviation = 8.07ppm
Search WEB for skeleton |
|
![]()
|
|
|
Structure Proposal # 1435 YCXXLZFSLUKRKV Deviation = 8.07ppm
Search WEB for skeleton |
|
![]()
|
|
|
Structure Proposal # 1436 DBQKEPGXJCTJNY Deviation = 8.09ppm
Search WEB for skeleton respect to your proposal |
|
![]()
|
|
|
Structure Proposal # 1437 HXNARYTZDHNULV Deviation = 8.10ppm
Search WEB for skeleton respect to your proposal |
|
![]()
|
|
|
Structure Proposal # 1438 CNDPCEBJIWGILJ Deviation = 8.10ppm
Search WEB for skeleton respect to your proposal |
|
![]()
|
|
|
Structure Proposal # 1439 SWZAQQNLOUURMQ Deviation = 8.11ppm
Search WEB for skeleton respect to your proposal |
|
![]()
|
|
|
Structure Proposal # 1440 NGSSAAIWSHCYNP Deviation = 8.12ppm
Search WEB for skeleton respect to your proposal |
|
![]()
|
|
|
Structure Proposal # 1441 FZPZXJHBHPZJIV Deviation = 8.12ppm
Search WEB for skeleton |
|
![]()
|
|
|
Structure Proposal # 1442 FYBOATIQSJCUOW Deviation = 8.13ppm
Search WEB for skeleton respect to your proposal |
|
![]()
|
|
|
Structure Proposal # 1443 KUCBXEGMWHPESA Deviation = 8.15ppm
Search WEB for skeleton |
|
![]()
|
|
|
Structure Proposal # 1444 SFLKUMXUXIJOHI Deviation = 8.15ppm
Search WEB for skeleton respect to your proposal |
|
![]()
|
|
|
Structure Proposal # 1445 JQCOQOULSARJFT Deviation = 8.16ppm
Search WEB for skeleton respect to your proposal |
|
![]()
|
|
|
Structure Proposal # 1446 NGDSUNGMBXISTR Deviation = 8.16ppm
Search WEB for skeleton respect to your proposal |
|
![]()
|
|
|
Structure Proposal # 1447 NMTCZYQYSPEKQB Deviation = 8.16ppm
Search WEB for skeleton |
|
![]()
|
|
|
Structure Proposal # 1448 DSEPYSZXCCFMMM Deviation = 8.16ppm
Search WEB for skeleton |
|
![]()
|
|
|
Structure Proposal # 1449 UYNVRALMIZLVRW Deviation = 8.16ppm
Search WEB for skeleton respect to your proposal |
|
![]()
|
|
|
Structure Proposal # 1450 APOCTKPUDXIOSW Deviation = 8.18ppm
Search WEB for skeleton |
|
![]()
|
|
|
Structure Proposal # 1451 PGELDDRQOXFACH Deviation = 8.18ppm
Search WEB for skeleton respect to your proposal |
|
![]()
|
|
|
Structure Proposal # 1452 LDNCJMMDHBUFER Deviation = 8.18ppm
Search WEB for skeleton respect to your proposal |
|
![]()
|
|
|
Structure Proposal # 1453 XKPZKWMQSPLIHX Deviation = 8.18ppm
Search WEB for skeleton |
|
![]()
|
|
|
Structure Proposal # 1454 LKMXUIOMHLTODE Deviation = 8.19ppm
Search WEB for skeleton |
|
![]()
|
|
|
Structure Proposal # 1455 MVEJCHXTMIYXND Deviation = 8.20ppm
Search WEB for skeleton |
|
![]()
|
|
|
Structure Proposal # 1456 QSTJXWANWNJVHG Deviation = 8.21ppm
Search WEB for skeleton respect to your proposal |
|
![]()
|
|
|
Structure Proposal # 1457 XFGCUACNFFZSMZ Deviation = 8.22ppm
Search WEB for skeleton |
|
![]()
|
|
|
Structure Proposal # 1458 CCAXATNKAPMPRN Deviation = 8.22ppm
Search WEB for skeleton |
|
![]()
|
|
|
Structure Proposal # 1459 PCJLNBZBNOQNDN Deviation = 8.23ppm
Search WEB for skeleton respect to your proposal |
|
![]()
|
|
|
Structure Proposal # 1460 AJZKJVVSVJPPSS Deviation = 8.23ppm
Search WEB for skeleton respect to your proposal |
|
![]()
|
|
|
Structure Proposal # 1461 SEOFFGDXEKCELK Deviation = 8.25ppm
Search WEB for skeleton respect to your proposal |
|
![]()
|
|
|
Structure Proposal # 1462 AALVCMHHJNUEKS Deviation = 8.25ppm
Search WEB for skeleton |
|
![]()
|
|
|
Structure Proposal # 1463 OPDBQZIYHCSUFF Deviation = 8.25ppm
Search WEB for skeleton |
|
![]()
|
|
|
Structure Proposal # 1464 MHAZRIPKSIZCGQ Deviation = 8.25ppm
Search WEB for skeleton respect to your proposal |
|
![]()
|
|
|
Structure Proposal # 1465 SLHMFBFVBKWGSB Deviation = 8.26ppm
Search WEB for skeleton respect to your proposal |
|
![]()
|
|
|
Structure Proposal # 1466 CZWICSIDGWVWPZ Deviation = 8.28ppm
Search WEB for skeleton respect to your proposal |
|
![]()
|
|
|
Structure Proposal # 1467 GWNBVBXXTVZYLT Deviation = 8.28ppm
Search WEB for skeleton |
|
![]()
|
|
|
Structure Proposal # 1468 MIUNGTQKYMMTSH Deviation = 8.29ppm
Search WEB for skeleton |
|
![]()
|
|
|
Structure Proposal # 1469 IRRFPLJTSIVBIO Deviation = 8.29ppm
Search WEB for skeleton |
|
![]()
|
|
|
Structure Proposal # 1470 QNWIMLYUQQEBKD Deviation = 8.29ppm
Search WEB for skeleton |
|
![]()
|
|
|
Structure Proposal # 1471 CDLMBMZDLYVXFH Deviation = 8.29ppm
Search WEB for skeleton respect to your proposal |
|
![]()
|
|
|
Structure Proposal # 1472 HMCIHHDSBIGCIS Deviation = 8.30ppm
Search WEB for skeleton |
|
![]()
|
|
|
Structure Proposal # 1473 RSLWQMBGXFPEEI Deviation = 8.31ppm
Search WEB for skeleton |
|
![]()
|
|
|
Structure Proposal # 1474 YQGYQOVNQQHTIW Deviation = 8.34ppm
Search WEB for skeleton respect to your proposal |
|
![]()
|
|
|
Structure Proposal # 1475 FHHJAXLWYXXPPA Deviation = 8.34ppm
Search WEB for skeleton |
|
![]()
|
|
|
Structure Proposal # 1476 OMVCOPYTRAFCLF Deviation = 8.35ppm
Search WEB for skeleton respect to your proposal |
|
![]()
|
|
|
Structure Proposal # 1477 VFSQFJGGUUQVRU Deviation = 8.36ppm
Search WEB for skeleton respect to your proposal |
|
![]()
|
|
|
Structure Proposal # 1478 ONLRWSQHONTJSB Deviation = 8.36ppm
Search WEB for skeleton |
|
![]()
|
|
|
Structure Proposal # 1479 WLAKJPRSKIFJNV Deviation = 8.37ppm
Search WEB for skeleton |
|
![]()
|
|
|
Structure Proposal # 1480 VJNAAGBJQULPDB Deviation = 8.37ppm
Search WEB for skeleton respect to your proposal |
|
![]()
|
|
|
Structure Proposal # 1481 JQMAZEQKPMXYAG Deviation = 8.39ppm
Search WEB for skeleton |
|
![]()
|
|
|
Structure Proposal # 1482 BIBUQSDVXWTSCU Deviation = 8.39ppm
Search WEB for skeleton |
|
![]()
|
|
|
Structure Proposal # 1483 PMNYAVZYRYDOGE Deviation = 8.39ppm
Search WEB for skeleton |
|
![]()
|
|
|
Structure Proposal # 1484 IAAXIESTIXMMTM Deviation = 8.39ppm
Search WEB for skeleton |
|
![]()
|
|
|
Structure Proposal # 1485 UMUZRBJNMVKACM Deviation = 8.41ppm
Search WEB for skeleton respect to your proposal |
|
![]()
|
|
|
Structure Proposal # 1486 JAUUTPNRFIZNQA Deviation = 8.42ppm
Search WEB for skeleton respect to your proposal |
|
![]()
|
|
|
Structure Proposal # 1487 DNUNGLXVOXEXDC Deviation = 8.42ppm
Search WEB for skeleton respect to your proposal |
|
![]()
|
|
|
Structure Proposal # 1488 BQYVPSCXGSRERH Deviation = 8.42ppm
Search WEB for skeleton respect to your proposal |
|
![]()
|
|
|
Structure Proposal # 1489 UAAWXZYGEYFJNY Deviation = 8.42ppm
Search WEB for skeleton respect to your proposal |
|
![]()
|
|
|
Structure Proposal # 1490 DGQRQJLBNKMZNC Deviation = 8.42ppm
Search WEB for skeleton respect to your proposal |
|
![]()
|
|
|
Structure Proposal # 1491 BIBCRGAKDITBIX Deviation = 8.43ppm
Search WEB for skeleton |
|
![]()
|
|
|
Structure Proposal # 1492 FKPGDFNQVHVOHU Deviation = 8.44ppm
Search WEB for skeleton |
|
![]()
|
|
|
Structure Proposal # 1493 BGFGCCDOBRSQPA Deviation = 8.45ppm
Search WEB for skeleton respect to your proposal |
|
![]()
|
|
|
Structure Proposal # 1494 ZBRZSAYVRZQLEL Deviation = 8.45ppm
Search WEB for skeleton |
|
![]()
|
|
|
Structure Proposal # 1495 MTWSZGICPPUBLX Deviation = 8.45ppm
Search WEB for skeleton |
|
![]()
|
|
|
Structure Proposal # 1496 FBUCNKOIJHXZRV Deviation = 8.45ppm
Search WEB for skeleton |
|
![]()
|
|
|
Structure Proposal # 1497 KLAZHIWFZPJNJC Deviation = 8.46ppm
Search WEB for skeleton respect to your proposal |
|
![]()
|
|
|
Structure Proposal # 1498 BDUAMPXYFKBMGL Deviation = 8.46ppm
Search WEB for skeleton |
|
![]()
|
|
|
Structure Proposal # 1499 HIYYJNMJJMIJTM Deviation = 8.47ppm
Search WEB for skeleton |
|
![]()
|
|
|
Structure Proposal # 1500 LTWOCPQGTBQPNW Deviation = 8.47ppm
Search WEB for skeleton |
|
![]()
|
|
|
Structure Proposal # 1501 STRLBFQWXDWWDQ Deviation = 8.48ppm
Search WEB for skeleton respect to your proposal |
|
![]()
|
|
|
Structure Proposal # 1502 WRPQDXBIRGJRDL Deviation = 8.48ppm
Search WEB for skeleton |
|
![]()
|
|
|
Structure Proposal # 1503 QGTAYXFRAGYSTK Deviation = 8.50ppm
Search WEB for skeleton respect to your proposal |
|
![]()
|
|
|
Structure Proposal # 1504 ZGEVYQNDKZUCQB Deviation = 8.51ppm
Search WEB for skeleton |
|
![]()
|
|
|
Structure Proposal # 1505 RBBNGWPLPRDAIP Deviation = 8.52ppm
Search WEB for skeleton respect to your proposal |
|
![]()
|
|
|
Structure Proposal # 1506 ROFWGECSYCIHGK Deviation = 8.52ppm
Search WEB for skeleton |
|
![]()
|
|
|
Structure Proposal # 1507 UVFVSMHKQKVQED Deviation = 8.53ppm
Search WEB for skeleton respect to your proposal |
|
![]()
|
|
|
Structure Proposal # 1508 GBMNNSZLGXZJOI Deviation = 8.54ppm
Search WEB for skeleton respect to your proposal |
|
![]()
|
|
|
Structure Proposal # 1509 UWHNMKQAMCGQME Deviation = 8.54ppm
Search WEB for skeleton respect to your proposal |
|
![]()
|
|
|
Structure Proposal # 1510 ROFZTRXMBIXIIW Deviation = 8.54ppm
Search WEB for skeleton |
|
![]()
|
|
|
Structure Proposal # 1511 ILLZSFHTPCOYDG Deviation = 8.56ppm
Search WEB for skeleton respect to your proposal |
|
![]()
|
|
|
Structure Proposal # 1512 HEAYEDABHMFTEZ Deviation = 8.57ppm
Search WEB for skeleton |
|
![]()
|
|
|
Structure Proposal # 1513 CKYTVYOPHQAIAL Deviation = 8.57ppm
Search WEB for skeleton respect to your proposal |
|
![]()
|
|
|
Structure Proposal # 1514 QTKXYKUIZUCJKV Deviation = 8.59ppm
Search WEB for skeleton respect to your proposal |
|
![]()
|
|
|
Structure Proposal # 1515 HHDOSOYVZXCDHP Deviation = 8.60ppm
Search WEB for skeleton |
|
![]()
|
|
|
Structure Proposal # 1516 RZHPJGYOVBMGEX Deviation = 8.60ppm
Search WEB for skeleton respect to your proposal |
|
![]()
|
|
|
Structure Proposal # 1517 LUPFWISHVGWAHL Deviation = 8.61ppm
Search WEB for skeleton |
|
![]()
|
|
|
Structure Proposal # 1518 LDWQDDNLEKFCGS Deviation = 8.62ppm
Search WEB for skeleton respect to your proposal |
|
![]()
|
|
|
Structure Proposal # 1519 AOPCILGZBKXVLJ Deviation = 8.63ppm
Search WEB for skeleton respect to your proposal |
|
![]()
|
|
|
Structure Proposal # 1520 YTZWIELZHHFZIC Deviation = 8.68ppm
Search WEB for skeleton respect to your proposal |
|
![]()
|
|
|
Structure Proposal # 1521 RFYPUMBTDZUQOC Deviation = 8.68ppm
Search WEB for skeleton |
|
![]()
|
|
|
Structure Proposal # 1522 QVTRWMOVYKEYDU Deviation = 8.68ppm
Search WEB for skeleton respect to your proposal |
|
![]()
|
|
|
Structure Proposal # 1523 IXWHKGVRBBWLML Deviation = 8.71ppm
Search WEB for skeleton respect to your proposal |
|
![]()
|
|
|
Structure Proposal # 1524 XUHOKOYVQFIPDE Deviation = 8.71ppm
Search WEB for skeleton |
|
![]()
|
|
|
Structure Proposal # 1525 MIPAFHSOKQWULI Deviation = 8.71ppm
Search WEB for skeleton respect to your proposal |
|
![]()
|
|
|
Structure Proposal # 1526 AFDQRWJRFYMBNI Deviation = 8.74ppm
Search WEB for skeleton respect to your proposal |
|
![]()
|
|
|
Structure Proposal # 1527 FYNDSRLJPSHIHD Deviation = 8.76ppm
Search WEB for skeleton respect to your proposal |
|
![]()
|
|
|
Structure Proposal # 1528 SJLIKBZSRGDEOG Deviation = 8.76ppm
Search WEB for skeleton |
|
![]()
|
|
|
Structure Proposal # 1529 OEXHTGSCNYUDEQ Deviation = 8.77ppm
Search WEB for skeleton respect to your proposal |
|
![]()
|
|
|
Structure Proposal # 1530 NIVZFIIMAJNOLH Deviation = 8.77ppm
Search WEB for skeleton respect to your proposal |
|
![]()
|
|
|
Structure Proposal # 1531 MKDINACWQMLDHV Deviation = 8.78ppm
Search WEB for skeleton respect to your proposal |
|
![]()
|
|
|
Structure Proposal # 1532 WEOUZWIFDHHLGK Deviation = 8.79ppm
Search WEB for skeleton respect to your proposal |
|
![]()
|
|
|
Structure Proposal # 1533 MVVQHCBCJKKZHZ Deviation = 8.80ppm
Search WEB for skeleton respect to your proposal |
|
![]()
|
|
|
Structure Proposal # 1534 KJSPRTYBEGCKJS Deviation = 8.80ppm
Search WEB for skeleton respect to your proposal |
|
![]()
|
|
|
Structure Proposal # 1535 XCQHUUZWAVJJPL Deviation = 8.81ppm
Search WEB for skeleton respect to your proposal |
|
![]()
|
|
|
Structure Proposal # 1536 KPOVWAWGDOJXMU Deviation = 8.81ppm
Search WEB for skeleton |
|
![]()
|
|
|
Structure Proposal # 1537 SDOIXFCBXGXTPJ Deviation = 8.85ppm
Search WEB for skeleton |
|
![]()
|
|
|
Structure Proposal # 1538 MHCSYTBSNAYNRL Deviation = 8.87ppm
Search WEB for skeleton respect to your proposal |
|
![]()
|
|
|
Structure Proposal # 1539 GKVPATJONROWIT Deviation = 8.90ppm
Search WEB for skeleton |
|
![]()
|
|
|
Structure Proposal # 1540 QFRJWQGNPFNVHI Deviation = 8.92ppm
Search WEB for skeleton |
|
![]()
|
|
|
Structure Proposal # 1541 MTCROVPOMVBDSW Deviation = 8.93ppm
Search WEB for skeleton respect to your proposal |
|
![]()
|
|
|
Structure Proposal # 1542 UIOIGGLGOQGPGN Deviation = 8.93ppm
Search WEB for skeleton |
|
![]()
|
|
|
Structure Proposal # 1543 PHTLRRUTPQCFRK Deviation = 8.94ppm
Search WEB for skeleton respect to your proposal |
|
![]()
|
|
|
Structure Proposal # 1544 KSTYORAYUIEOPU Deviation = 8.96ppm
Search WEB for skeleton respect to your proposal |
|
![]()
|
|
|
Structure Proposal # 1545 DVXPIOKUASZLFI Deviation = 9.00ppm
Search WEB for skeleton respect to your proposal |
|
![]()
|
|
|
Structure Proposal # 1546 PTQKCAOOUQHMEA Deviation = 9.03ppm
Search WEB for skeleton respect to your proposal |
|
![]()
|
|
|
Structure Proposal # 1547 DYZGRNUSTFTBCY Deviation = 9.04ppm
Search WEB for skeleton respect to your proposal |
|
![]()
|
|
|
Structure Proposal # 1548 WMUSAHXPLJFHSP Deviation = 9.06ppm
Search WEB for skeleton respect to your proposal |
|
![]()
|
|
|
Structure Proposal # 1549 KJECHXLQTBRSKG Deviation = 9.10ppm
Search WEB for skeleton respect to your proposal |
|
![]()
|
|
|
Structure Proposal # 1550 UYBMHMSSBHIGOX Deviation = 9.22ppm
Search WEB for skeleton |
|
![]()
|
|
|
Structure Proposal # 1551 AIDSNFXDWBNARU Deviation = 9.28ppm
Search WEB for skeleton respect to your proposal |
|
![]()
|
|
|
Structure Proposal # 1552 DSAWMZFDYGUARC Deviation = 9.29ppm
Search WEB for skeleton respect to your proposal |
|
![]()
|
|
|
Structure Proposal # 1553 CSENBLZEMJSEHC Deviation = 9.29ppm
Search WEB for skeleton respect to your proposal |
|
![]()
|
|
|
Structure Proposal # 1554 JLBBTUKCOCRUJV Deviation = 9.34ppm
Search WEB for skeleton respect to your proposal |
|
![]()
|
|
|
Structure Proposal # 1555 MUNODWSJWOLZNX Deviation = 9.34ppm
Search WEB for skeleton respect to your proposal |
|
![]()
|
|
|
Structure Proposal # 1556 SAADQXOUDUZUTC Deviation = 9.36ppm
Search WEB for skeleton respect to your proposal |
|
![]()
|
|
|
Structure Proposal # 1557 ZVTJEXRIRRAHPL Deviation = 9.37ppm
Search WEB for skeleton |
|
![]()
|
|
|
Structure Proposal # 1558 APWQXRYFQJAGNL Deviation = 9.38ppm
Search WEB for skeleton respect to your proposal |
|
![]()
|
|
|
Structure Proposal # 1559 ANVKLSPNDIEYJB Deviation = 9.39ppm
Search WEB for skeleton respect to your proposal |
|
![]()
|
|
|
Structure Proposal # 1560 OFZBPKQXUBLCJJ Deviation = 9.51ppm
Search WEB for skeleton respect to your proposal |
|
![]()
|
|
|
Structure Proposal # 1561 SYEJPNVHFHWMPX Deviation = 9.55ppm
Search WEB for skeleton respect to your proposal |
|
![]()
|
|
|
Structure Proposal # 1562 UQYJEMSOANBGAM Deviation = 9.59ppm
Search WEB for skeleton |
|
![]()
|
|
|
Structure Proposal # 1563 BYRQQXOGHLQXQA Deviation = 9.64ppm
Search WEB for skeleton respect to your proposal |
|
![]()
|
|
|
Structure Proposal # 1564 HITXKIMGJNAGFV Deviation = 9.65ppm
Search WEB for skeleton respect to your proposal |
|
![]()
|
|
|
Structure Proposal # 1565 AXGFSLQMHYQRGP Deviation = 9.66ppm
Search WEB for skeleton |
|
![]()
|
|
|
Structure Proposal # 1566 HUTMNKADWVJWCC Deviation = 9.74ppm
Search WEB for skeleton |
|
![]()
|
|
|
Structure Proposal # 1567 NMUTZELLHRYIOC Deviation = 9.75ppm
Search WEB for skeleton |
|
![]()
|
|
|
Structure Proposal # 1568 LRSWHDRPXKFZOB Deviation = 9.80ppm
Search WEB for skeleton |
|
![]()
|
|
|
Structure Proposal # 1569 URKSZTZMEWWHDL Deviation = 9.82ppm
Search WEB for skeleton |
|
![]()
|
|
|
Structure Proposal # 1570 HMKMLPHFFRCPIK Deviation = 9.87ppm
Search WEB for skeleton respect to your proposal |
|
![]()
|
|
|
Structure Proposal # 1571 HHSASRXTABFABS Deviation = 9.92ppm
Search WEB for skeleton |
|
![]()
|
|
|
Structure Proposal # 1572 NPXCMIZRFQYBKZ Deviation = 9.94ppm
Search WEB for skeleton respect to your proposal |
|
![]()
|
|
|
Structure Proposal # 1573 CPFIOHYUUIIMPD Deviation = 9.97ppm
Search WEB for skeleton |
|
![]()
|
|
|
Structure Proposal # 1574 TWIUNZMIBARZBL Deviation = 9.98ppm
Search WEB for skeleton respect to your proposal |
|
![]()
|
|
|
Structure Proposal # 1575 OHYGXLHJQRANLG Deviation = 10.00ppm
Search WEB for skeleton |
|
![]()
|
|
|
Structure Proposal # 1576 IVSLUJBYKSWSAQ Deviation = 10.08ppm
Search WEB for skeleton respect to your proposal |
|
![]()
|
|
|
Structure Proposal # 1577 PNTOKVOVTATJRJ Deviation = 10.14ppm
Search WEB for skeleton |
|
![]()
|
|
|
Structure Proposal # 1578 QDXLGCPPJJWQSD Deviation = 10.18ppm
Search WEB for skeleton respect to your proposal |
|
![]()
|
|
|
Structure Proposal # 1579 VPWOOZAJCNLPDG Deviation = 10.29ppm
Search WEB for skeleton respect to your proposal |
|
![]()
|
|
|
Structure Proposal # 1580 IWOYCLARYDNNJQ Deviation = 10.59ppm
Search WEB for skeleton respect to your proposal |
|
![]()
|
|
|
Structure Proposal # 1581 KKSACCIWDPXGGV Deviation = 10.72ppm
Search WEB for skeleton respect to your proposal |
|
![]()
|
|
|
Structure Proposal # 1582 RXOHVXSBRUGVAX Deviation = 10.84ppm
Search WEB for skeleton |
|
![]()
|
|
|
Structure Proposal # 1583 VHHPLTVVQXFVFY Deviation = 10.92ppm
Search WEB for skeleton |
|
![]()
|
|
|
Structure Proposal # 1584 LJFUNJGWMCAJSX Deviation = 11.53ppm
Search WEB for skeleton |
|
![]()
|
|
|
Structure Proposal # 1585 NKRUNFSNJWKIAK Deviation = 13.13ppm
Search WEB for skeleton |
|
![]()
|
|
|
Structure Proposal # 1586 NAFIFZZVEJYJJZ Deviation = 14.20ppm
Search WEB for skeleton |
|
![]()
|
|
|
Structure Proposal # 1587 LSNKELPMSMDTJW Deviation = 15.41ppm
Search WEB for skeleton |
|
![]()
|
|
|
Structure Proposal # 1588 HNKROZYNJPPQMH Deviation = 15.92ppm
Search WEB for skeleton |
|
![]()
|
|
|
Structure Proposal # 1589 KGUHWQOFBQJFLY Deviation = 16.70ppm
Search WEB for skeleton |
|
![]()
|
|
|
Structure Proposal # 1590 KOKNXFJNTUMPLB Deviation = 16.88ppm
Search WEB for skeleton |
|
![]()
|
|
|
Structure Proposal # 1591 ZICPYWCWOCTMAW Deviation = 17.02ppm
Search WEB for skeleton |
|
![]()
|
|
|
Structure Proposal # 1592 OCGAPVMPEUBCCG Deviation = 17.21ppm
Search WEB for skeleton |
|
![]()
|
|
|
Proposal # 1 Similarity: 1.44ppm HYKPWJCOGBHMRP
|
Proposal # 2 Similarity: 1.49ppm QIGKGUOGTKWXBN
|
Proposal # 3 Similarity: 1.57ppm WRRLKTNELJRTHU
|
|
Proposal # 4 Similarity: 1.61ppm QQNNNPONBBLNKG
|
Proposal # 5 Similarity: 1.76ppm FVOVUHBTZRUNTJ
|
Proposal # 6 Similarity: 1.97ppm PCQFBFOJICRMAF
|
|
Proposal # 7 Similarity: 2.01ppm FAIKRAMMKGGNCL
|
Proposal # 8 Similarity: 2.01ppm KFHFTOSCIXDLGC
|
Proposal # 9 Similarity: 2.04ppm XYEJHNVHWTUTCS
|
|
Proposal # 10 Similarity: 2.07ppm NVKOPAJDRCHZPT
|
Proposal # 11 Similarity: 2.08ppm BSMWVMSSRPIPBT
|
Proposal # 12 Similarity: 2.13ppm QEDRNWQMLGNLKD
|
|
Proposal # 13 Similarity: 2.16ppm LLLBIBFOBKEKLR
|
Proposal # 14 Similarity: 2.20ppm FIQOMGGJDNMCHZ
|
Proposal # 15 Similarity: 2.30ppm CKVOSTGQGCPAHT
|
|
Proposal # 16 Similarity: 2.33ppm HXTHKEYPYQHGJF
|
Proposal # 17 Similarity: 2.33ppm FBFOXFZRODVFSB
|
Proposal # 18 Similarity: 2.37ppm XDOBBRLJYFFNBM
|
|
Proposal # 19 Similarity: 2.40ppm XFYWEWASLWLUHI
|
Proposal # 20 Similarity: 2.40ppm QGGFEXPCVVPYKR
|
Proposal # 21 Similarity: 2.42ppm CCMRXSKBSYRROB
|
|
Proposal # 22 Similarity: 2.43ppm TYBUVLPGZGOFRZ
|
Proposal # 23 Similarity: 2.43ppm XIRPFQJFDANJBP
|
Proposal # 24 Similarity: 2.45ppm RTOQRKSOFFMKQO
|
|
Proposal # 25 Similarity: 2.49ppm PYMOQYGDEAULQF
|
Proposal # 26 Similarity: 2.55ppm IEJGRDFMAMONAD
|
Proposal # 27 Similarity: 2.58ppm LUNURQSMYRSSNP
|
|
Proposal # 28 Similarity: 2.64ppm HKEFCVRTHAUGGP
|
Proposal # 29 Similarity: 2.65ppm WKVWLECWNOHEOV
|
Proposal # 30 Similarity: 2.73ppm VNXLJAHRGAUSTD
|
|
Proposal # 31 Similarity: 2.74ppm XPBZQPAOFVKYED
|
Proposal # 32 Similarity: 2.75ppm JWKPRABUKWSZNT
|
Proposal # 33 Similarity: 2.76ppm NEJXSKJKTWLHNV
|
|
Proposal # 34 Similarity: 2.78ppm NEKAVYZJWVCXJZ
|
Proposal # 35 Similarity: 2.79ppm LHAILNMSAMKYHS
|
Proposal # 36 Similarity: 2.81ppm HWCRUECRWSDFDD
|
|
Proposal # 37 Similarity: 2.85ppm ZGRSGBIMBFIKRI
|
Proposal # 38 Similarity: 2.88ppm MMFWTSABYPWSOH
|
Proposal # 39 Similarity: 2.89ppm NCFDGAYXBJAYST
|
|
Proposal # 40 Similarity: 2.93ppm JVUASORLGJKFLX
|
Proposal # 41 Similarity: 2.94ppm UCIFTMJFRDCTDX
|
Proposal # 42 Similarity: 2.96ppm HAHJZPSPJKICTH
|
|
Proposal # 43 Similarity: 2.96ppm ZKJJJPBNXCBJOU
|
Proposal # 44 Similarity: 3.00ppm ZDUNIWMQZBNJAI
|
Proposal # 45 Similarity: 3.01ppm BDFOAJCJZDHHBW
|
|
Proposal # 46 Similarity: 3.01ppm YIHGIZUDYRWPKF
|
Proposal # 47 Similarity: 3.03ppm TVBOHQAKMPOJQA
|
Proposal # 48 Similarity: 3.03ppm SKVQBNYZYLGQAT
|
|
Proposal # 49 Similarity: 3.04ppm ALTYTRRDMKTIAL
|
Proposal # 50 Similarity: 3.05ppm RIZQQXHWKVOVIJ
|
Proposal # 51 Similarity: 3.05ppm BWBQFKAVTVXUOY
|
|
Proposal # 52 Similarity: 3.07ppm DZOJVLQVCSHXLV
|
Proposal # 53 Similarity: 3.08ppm RNGFRHPWIKWHHF
|
Proposal # 54 Similarity: 3.08ppm UFINHBLZOPDCRG
|
|
Proposal # 55 Similarity: 3.10ppm ZUWKEOVGZNCZSO
|
Proposal # 56 Similarity: 3.12ppm CIZHQZJWJDMGJU
|
Proposal # 57 Similarity: 3.14ppm GIMJISIWCFGHHR
|
|
Proposal # 58 Similarity: 3.14ppm ONGDIVQSAQJRAS
|
Proposal # 59 Similarity: 3.15ppm OAAGMRWDOAOXFH
|
Proposal # 60 Similarity: 3.16ppm FJQPVZVVAZORAW
|
|
Proposal # 61 Similarity: 3.18ppm NMLMNPHRALVKFD
|
Proposal # 62 Similarity: 3.19ppm PJKPIYXPZDALBZ
|
Proposal # 63 Similarity: 3.20ppm QWXGCYPGYIZWGW
|
|
Proposal # 64 Similarity: 3.22ppm YNIQLQMRWDSFPA
|
Proposal # 65 Similarity: 3.22ppm UCFJVJWJAGDXBA
|
Proposal # 66 Similarity: 3.25ppm JYGOMAGUWIFVBN
|
|
Proposal # 67 Similarity: 3.26ppm QKABHQRUSOSWSC
|
Proposal # 68 Similarity: 3.27ppm FWSRXRBRUMTSAC
|
Proposal # 69 Similarity: 3.28ppm NTVWQMCUBFWEBN
|
|
Proposal # 70 Similarity: 3.29ppm MXFPXMSPVMFRND
|
Proposal # 71 Similarity: 3.30ppm BIPDRTZOLMWVLK
|
Proposal # 72 Similarity: 3.31ppm ZUXKYRUXJWNKJX
|
|
Proposal # 73 Similarity: 3.32ppm AHGOUWZZMDQKDK
|
Proposal # 74 Similarity: 3.32ppm BFDVSHCKBIJXKK
|
Proposal # 75 Similarity: 3.37ppm ZYIZKJJWTOVZHQ
|
|
Proposal # 76 Similarity: 3.38ppm CNQBNRFZZZAQEE
|
Proposal # 77 Similarity: 3.39ppm YXHNYXJCILXHNV
|
Proposal # 78 Similarity: 3.41ppm NEJJUTICKZNGRJ
|
|
Proposal # 79 Similarity: 3.45ppm JYDDFFAZJURVRA
|
Proposal # 80 Similarity: 3.45ppm NOLBNNZUKXIRLD
|
Proposal # 81 Similarity: 3.46ppm RUIWNWSQUZWINB
|
|
Proposal # 82 Similarity: 3.46ppm WVFFBEQNHXEXRH
|
Proposal # 83 Similarity: 3.46ppm QCMNAZFIJDJSLK
|
Proposal # 84 Similarity: 3.48ppm WVTYVUYJRVMKGB
|
|
Proposal # 85 Similarity: 3.50ppm GARCDUMONDTLCZ
|
Proposal # 86 Similarity: 3.52ppm YCQAIDLRUGVCJO
|
Proposal # 87 Similarity: 3.52ppm VXQDKERVNOEANG
|
|
Proposal # 88 Similarity: 3.56ppm DZJDPVHEMDTHPI
|
Proposal # 89 Similarity: 3.58ppm SUMIXGHCVUTJQB
|
Proposal # 90 Similarity: 3.58ppm RJLSJZJJJYPYOX
|
|
Proposal # 91 Similarity: 3.58ppm WWZDQEBAVCROKC
|
Proposal # 92 Similarity: 3.59ppm USIRMMJUCCEKEQ
|
Proposal # 93 Similarity: 3.59ppm OBDOAZSXBKFPDI
|
|
Proposal # 94 Similarity: 3.59ppm JOMWDAQGTKYUGO
|
Proposal # 95 Similarity: 3.60ppm BMEZNWMKZNXKOD
|
Proposal # 96 Similarity: 3.61ppm ZGAMROQKHTYYCL
|
|
Proposal # 97 Similarity: 3.61ppm YUCWOKJEVQUDQC
|
Proposal # 98 Similarity: 3.62ppm ZNUOEWQGWQWSSW
|
Proposal # 99 Similarity: 3.62ppm WBNJKWCRIIWNCD
|
|
Proposal # 100 Similarity: 3.64ppm IYHPLTCAOAPWJC
|
Proposal # 101 Similarity: 3.67ppm UEEAWTXSPZGZHM
|
Proposal # 102 Similarity: 3.68ppm PIMODEAJFQPMRG
|
|
Proposal # 103 Similarity: 3.69ppm RZZGFBOQVOKQOJ
|
Proposal # 104 Similarity: 3.69ppm QIQMTBUOBGPQTN
|
Proposal # 105 Similarity: 3.70ppm XVYDWLPRXVEKOI
|
|
Proposal # 106 Similarity: 3.71ppm KWJXBBPTOPWLTD
|
Proposal # 107 Similarity: 3.71ppm GJSTXZVDPVVVRV
|
Proposal # 108 Similarity: 3.73ppm QZWIRVHTBMCPFN
|
|
Proposal # 109 Similarity: 3.73ppm TUQNFCQQVICZIS
|
Proposal # 110 Similarity: 3.74ppm YUZREUAATGXZMS
|
Proposal # 111 Similarity: 3.75ppm HTXZUXAKCFLLTA
|
|
Proposal # 112 Similarity: 3.75ppm XIDNVLPVHSHIKX
|
Proposal # 113 Similarity: 3.79ppm DCUMTMOIJNFXHY
|
Proposal # 114 Similarity: 3.80ppm KJRYYRCCQSIHOO
|
|
Proposal # 115 Similarity: 3.80ppm OCLCJQNSGGLKHV
|
Proposal # 116 Similarity: 3.81ppm PENLYNQFQJABDC
|
Proposal # 117 Similarity: 3.81ppm ZMWAJQYSZSCBTJ
|
|
Proposal # 118 Similarity: 3.82ppm YUFNCNCUZPHYHV
|
Proposal # 119 Similarity: 3.84ppm DABGTTRZITZFDD
|
Proposal # 120 Similarity: 3.84ppm HLBBJEPPQYGIRI
|
|
Proposal # 121 Similarity: 3.84ppm SCJLJAQRIMLUKW
|
Proposal # 122 Similarity: 3.85ppm XVUULBFMIJUOFY
|
Proposal # 123 Similarity: 3.86ppm HCNPPYAASKWLLB
|
|
Proposal # 124 Similarity: 3.86ppm KZZWNYOICPZHEB
|
Proposal # 125 Similarity: 3.86ppm RWDFRMUWTLIJQK
|
Proposal # 126 Similarity: 3.87ppm FORFZDQISKIMBK
|
|
Proposal # 127 Similarity: 3.87ppm ZTQADNQKZCMLBN
|
Proposal # 128 Similarity: 3.87ppm YTEKDVJFDISKNJ
|
Proposal # 129 Similarity: 3.88ppm RKQRQUAVBCVTLT
|
|
Proposal # 130 Similarity: 3.89ppm ZIBWGRPNUIGVMK
|
Proposal # 131 Similarity: 3.90ppm LDSPVMRBAVTWOG
|
Proposal # 132 Similarity: 3.90ppm UYLWXYNOPAHYLR
|
|
Proposal # 133 Similarity: 3.90ppm VEICBXBYLNUBMQ
|
Proposal # 134 Similarity: 3.91ppm GNELPJMOPBAYJM
|
Proposal # 135 Similarity: 3.91ppm AUIZZGJFIWRYND
|
|
Proposal # 136 Similarity: 3.93ppm CEVQNJIYDWOHCX
|
Proposal # 137 Similarity: 3.93ppm PRLFTZWODWNNSM
|
Proposal # 138 Similarity: 3.94ppm YSYBECXDZVLZJV
|
|
Proposal # 139 Similarity: 3.94ppm QCUSLBSNWSYWIW
|
Proposal # 140 Similarity: 3.94ppm IODQTUXMKANATN
|
Proposal # 141 Similarity: 3.95ppm DXMFRJANGHCZIV
|
|
Proposal # 142 Similarity: 3.95ppm FGOVJQJUHBWOIZ
|
Proposal # 143 Similarity: 3.99ppm ZMHXYZFLEPRFGB
|
Proposal # 144 Similarity: 4.01ppm NAVDLFNOLYIXPH
|
|
Proposal # 145 Similarity: 4.01ppm NKZWHDHPQHBARF
|
Proposal # 146 Similarity: 4.02ppm PWJDTKZXDQLBAI
|
Proposal # 147 Similarity: 4.03ppm GPRPSWYQEKILGK
|
|
Proposal # 148 Similarity: 4.03ppm JDIWRYWBEOUESN
|
Proposal # 149 Similarity: 4.03ppm PHFOWOYKRMOFCF
|
Proposal # 150 Similarity: 4.05ppm CPEZCYKIFCKKHL
|
|
Proposal # 151 Similarity: 4.06ppm RWRJRZHKYLQHMJ
|
Proposal # 152 Similarity: 4.06ppm WQPPCRJLPMJWED
|
Proposal # 153 Similarity: 4.06ppm IOXUNGRQBGXZAV
|
|
Proposal # 154 Similarity: 4.07ppm VOJICJJWBPAVMJ
|
Proposal # 155 Similarity: 4.07ppm QIILASZUVSGSHR
|
Proposal # 156 Similarity: 4.07ppm QEHQODZYKYQIQC
|
|
Proposal # 157 Similarity: 4.08ppm OIXSZPGRQGJXOS
|
Proposal # 158 Similarity: 4.09ppm OVUJZBSYRYWZQX
|
Proposal # 159 Similarity: 4.10ppm YDQBFDKCIRUIPZ
|
|
Proposal # 160 Similarity: 4.11ppm KHMWFEVHKAQMOJ
|
Proposal # 161 Similarity: 4.11ppm REWFIDBFNKIIBW
|
Proposal # 162 Similarity: 4.11ppm NOKZFARBYQGECD
|
|
Proposal # 163 Similarity: 4.11ppm CEQPYPAZIVIJPZ
|
Proposal # 164 Similarity: 4.12ppm AMJBVGMEDZMHAU
|
Proposal # 165 Similarity: 4.13ppm XQQIMJCURFTNIZ
|
|
Proposal # 166 Similarity: 4.13ppm MAQZABDQXMRZDL
|
Proposal # 167 Similarity: 4.13ppm ASRMFZRDCVFIJN
|
Proposal # 168 Similarity: 4.14ppm DVPBYNRYPPGNOF
|
|
Proposal # 169 Similarity: 4.15ppm KCEOZYDTPQSGFU
|
Proposal # 170 Similarity: 4.15ppm QLNXSWUSBCOWKZ
|
Proposal # 171 Similarity: 4.17ppm XKBXVMDUCIEPFG
|
|
Proposal # 172 Similarity: 4.17ppm GDODIVLWQMADCG
|
Proposal # 173 Similarity: 4.18ppm KGCIMKNKVUKBKD
|
Proposal # 174 Similarity: 4.20ppm ZXNKLJJTSQKAIZ
|
|
Proposal # 175 Similarity: 4.20ppm QMLKIKYYXZAVCY
|
Proposal # 176 Similarity: 4.21ppm UXPZOKDWPOJKLA
|
Proposal # 177 Similarity: 4.21ppm OESLJJRRYUYULF
|
|
Proposal # 178 Similarity: 4.22ppm IUFBRMFCRVZMRA
|
Proposal # 179 Similarity: 4.23ppm CMRNGAJUZNPQLE
|
Proposal # 180 Similarity: 4.24ppm IDWFVIBIXQYFNW
|
|
Proposal # 181 Similarity: 4.24ppm PMNKHAGVISKRNC
|
Proposal # 182 Similarity: 4.25ppm OCHUBCMAGQNRPH
|
Proposal # 183 Similarity: 4.26ppm LXSZPCLEDWMFHY
|
|
Proposal # 184 Similarity: 4.26ppm PRMZPZNZUYZOGP
|
Proposal # 185 Similarity: 4.28ppm ZHQQBTOAFRCCAE
|
Proposal # 186 Similarity: 4.28ppm ASYIREYRLMMXIR
|
|
Proposal # 187 Similarity: 4.28ppm LEHAHQHCQPDXFU
|
Proposal # 188 Similarity: 4.29ppm ZBSJINMFNLPYMK
|
Proposal # 189 Similarity: 4.29ppm HYGFDAITXIDCQT
|
|
Proposal # 190 Similarity: 4.31ppm IBMFMGSYOWOSHM
|
Proposal # 191 Similarity: 4.31ppm BOWXDTZZYSMIAC
|
Proposal # 192 Similarity: 4.31ppm JUHCNSQFRHHRRP
|
|
Proposal # 193 Similarity: 4.31ppm YCKUVQZBBRQRSV
|
Proposal # 194 Similarity: 4.33ppm XVUWWNQCVLCBNN
|
Proposal # 195 Similarity: 4.33ppm UMGOOVDBUAWXNB
|
|
Proposal # 196 Similarity: 4.33ppm QCVLFTWAAIQDJR
|
Proposal # 197 Similarity: 4.34ppm OOLAWZDZOXPUJW
|
Proposal # 198 Similarity: 4.35ppm AWMWEYMRJDFQQG
|
|
Proposal # 199 Similarity: 4.36ppm GMTMYSSGLVKSLA
|
Proposal # 200 Similarity: 4.36ppm VIBFWKRHBBZTCK
|
Proposal # 201 Similarity: 4.38ppm QLPIMLKPCDOGJZ
|
|
Proposal # 202 Similarity: 4.38ppm BBCBJYFPXHPRBR
|
Proposal # 203 Similarity: 4.39ppm OGNUEXWJGLZBLP
|
Proposal # 204 Similarity: 4.39ppm WKKYKJWDJRPDSL
|
|
Proposal # 205 Similarity: 4.41ppm XAXYEJFUSUVEFA
|
Proposal # 206 Similarity: 4.41ppm LXKCRCRHWBVNHH
|
Proposal # 207 Similarity: 4.42ppm FKQUSUODQZJMAS
|
|
Proposal # 208 Similarity: 4.43ppm HHJINXVSAYGBRK
|
Proposal # 209 Similarity: 4.44ppm DFRQLMJOYGAENN
|
Proposal # 210 Similarity: 4.44ppm JHVWILZFQFHVKK
|
|
Proposal # 211 Similarity: 4.44ppm UMGWSMWAJBMZOU
|
Proposal # 212 Similarity: 4.44ppm LPEQFDIJWAYCPC
|
Proposal # 213 Similarity: 4.47ppm BSCGDHVYBXQDPO
|
|
Proposal # 214 Similarity: 4.47ppm FTCFPMBPALDAHU
|
Proposal # 215 Similarity: 4.49ppm INBVUBDTKDNYCP
|
Proposal # 216 Similarity: 4.49ppm VWVLAUWKBRLMSB
|
|
Proposal # 217 Similarity: 4.49ppm GBUOYELAEUUPSR
|
Proposal # 218 Similarity: 4.50ppm TYVRFEGNXSXHHF
|
Proposal # 219 Similarity: 4.51ppm AKVDDOIZQHFIAG
|
|
Proposal # 220 Similarity: 4.52ppm MIVNMWUNRYFFNU
|
Proposal # 221 Similarity: 4.52ppm RDRYEDWWOMRJBM
|
Proposal # 222 Similarity: 4.52ppm KSKAXWWFHHEMMM
|
|
Proposal # 223 Similarity: 4.54ppm DVDUUCMNTIMPCW
|
Proposal # 224 Similarity: 4.54ppm NNYJEGDWYPEMAU
|
Proposal # 225 Similarity: 4.55ppm HRZFPIHTYBSLHK
|
|
Proposal # 226 Similarity: 4.56ppm XKXSQQWHUONQSB
|
Proposal # 227 Similarity: 4.56ppm RUAWPNBGIJHEFB
|
Proposal # 228 Similarity: 4.57ppm AMRWZMHOCLCTHA
|
|
Proposal # 229 Similarity: 4.58ppm LZXXSZSSKAXZMX
|
Proposal # 230 Similarity: 4.58ppm WBQJWFYAYIVLIZ
|
Proposal # 231 Similarity: 4.59ppm DHZLCNRZAUEHHH
|
|
Proposal # 232 Similarity: 4.60ppm RDMPJKJALDQCTF
|
Proposal # 233 Similarity: 4.60ppm DGJWTIOTWXCJJU
|
Proposal # 234 Similarity: 4.60ppm VNJJEBCPOANBFY
|
|
Proposal # 235 Similarity: 4.61ppm LEWPXTRVHNZBIT
|
Proposal # 236 Similarity: 4.61ppm FNQMWUSSEHFUNW
|
Proposal # 237 Similarity: 4.61ppm CFFIAIGIADBNOB
|
|
Proposal # 238 Similarity: 4.62ppm UGKMMIGGIAVZDV
|
Proposal # 239 Similarity: 4.62ppm KUXFLUFSEDPDFW
|
Proposal # 240 Similarity: 4.63ppm XFYGTQRINUFIKK
|
|
Proposal # 241 Similarity: 4.63ppm WJWGWCIZVFYVKS
|
Proposal # 242 Similarity: 4.63ppm IYUBNPDUFQURAF
|
Proposal # 243 Similarity: 4.63ppm UCVIWKHYZYRIKC
|
|
Proposal # 244 Similarity: 4.64ppm CAZKWIKIBGNWAC
|
Proposal # 245 Similarity: 4.64ppm UPUKICHPSNKGLB
|
Proposal # 246 Similarity: 4.64ppm KKPWKBQBOPEVBJ
|
|
Proposal # 247 Similarity: 4.66ppm XLYVQQMHAOJECE
|
Proposal # 248 Similarity: 4.67ppm FWWKNRPJBQXUTO
|
Proposal # 249 Similarity: 4.67ppm SPDRTCOLRLQEDA
|
|
Proposal # 250 Similarity: 4.69ppm GFXPGKYVHQWXOY
|
Proposal # 251 Similarity: 4.70ppm GUMCFWZQIQMYAX
|
Proposal # 252 Similarity: 4.70ppm RZLJTAXMMWNZHI
|
|
Proposal # 253 Similarity: 4.71ppm ZTGFYLRCDOQDIA
|
Proposal # 254 Similarity: 4.71ppm GNPNXWBCIGFIGP
|
Proposal # 255 Similarity: 4.71ppm JDMBVDXYXLQZET
|
|
Proposal # 256 Similarity: 4.71ppm UPONCCJYPGDEIJ
|
Proposal # 257 Similarity: 4.72ppm TYEHHGDVJVDYRE
|
Proposal # 258 Similarity: 4.73ppm BJCUEPPKDJBXAV
|
|
Proposal # 259 Similarity: 4.73ppm JDHCGZJEOIYERX
|
Proposal # 260 Similarity: 4.74ppm VYJUVQLJMWIWJZ
|
Proposal # 261 Similarity: 4.74ppm DHDZVIHOBXCPDW
|
|
Proposal # 262 Similarity: 4.75ppm ASJGYCKFSVRYNX
|
Proposal # 263 Similarity: 4.75ppm GLFAVCOKKSUKKP
|
Proposal # 264 Similarity: 4.76ppm NBPYXUUGIFXDTH
|
|
Proposal # 265 Similarity: 4.76ppm COXXZTVAFYGEMB
|
Proposal # 266 Similarity: 4.78ppm MDZODUAABNFHEK
|
Proposal # 267 Similarity: 4.78ppm XVHDYPSMPPNGPK
|
|
Proposal # 268 Similarity: 4.78ppm GSXZNLBMNILRIO
|
Proposal # 269 Similarity: 4.78ppm FTDKWZUIALGQFG
|
Proposal # 270 Similarity: 4.80ppm JYAVKTNDSDDKQR
|
|
Proposal # 271 Similarity: 4.81ppm OELCANAFUOWAIC
|
Proposal # 272 Similarity: 4.81ppm HDVSGRYZAGSYFY
|
Proposal # 273 Similarity: 4.83ppm BFLUIEYZAJCDJI
|
|
Proposal # 274 Similarity: 4.83ppm XBSHGBXHIFYINL
|
Proposal # 275 Similarity: 4.85ppm JRJKKXQWMXBVNQ
|
Proposal # 276 Similarity: 4.86ppm CJLMJEVQHJDYST
|
|
Proposal # 277 Similarity: 4.86ppm WLGBILUSGJSLIT
|
Proposal # 278 Similarity: 4.87ppm ARELKMZVQKVTGF
|
Proposal # 279 Similarity: 4.88ppm RNRIEISFFMULFK
|
|
Proposal # 280 Similarity: 4.89ppm SXCUIJFNVHRLEU
|
Proposal # 281 Similarity: 4.90ppm UTLBDLZSTSNTJP
|
Proposal # 282 Similarity: 4.90ppm JIKRBHOEULFQPZ
|
|
Proposal # 283 Similarity: 4.90ppm PGZFBHQQHSEFKK
|
Proposal # 284 Similarity: 4.91ppm GIJKBIPHDWFGCP
|
Proposal # 285 Similarity: 4.92ppm FIRNUEYDHOHTCR
|
|
Proposal # 286 Similarity: 4.92ppm GNLPDPPDTZLDIA
|
Proposal # 287 Similarity: 4.93ppm IWORVAFRUFWLNU
|
Proposal # 288 Similarity: 4.93ppm FHCBHCFTZKJHLI
|
|
Proposal # 289 Similarity: 4.94ppm DZBKYSMZHWAOGD
|
Proposal # 290 Similarity: 4.94ppm VTIMIYWSQIIEPM
|
Proposal # 291 Similarity: 4.94ppm ORDFPIRMFSNBEN
|
|
Proposal # 292 Similarity: 4.95ppm VABAVLRLBDREAO
|
Proposal # 293 Similarity: 4.96ppm WFDDTXSFJCKOPZ
|
Proposal # 294 Similarity: 4.96ppm NPZALAVMHKSTTR
|
|
Proposal # 295 Similarity: 4.96ppm QLJFZHPTOSBJBU
|
Proposal # 296 Similarity: 4.97ppm BENNLDKDXZYFBA
|
Proposal # 297 Similarity: 4.97ppm KKTBCYPLIZDXND
|
|
Proposal # 298 Similarity: 4.98ppm HCPMZQUSRKQHET
|
Proposal # 299 Similarity: 4.98ppm AHMGHZTVWUDOFJ
|
Proposal # 300 Similarity: 4.98ppm DFVKOHRFOSXHLG
|
|
Proposal # 301 Similarity: 4.98ppm ZKQDMFVUMLEPNE
|
Proposal # 302 Similarity: 4.99ppm QZCFLQOXRBMNSY
|
Proposal # 303 Similarity: 4.99ppm NEUGXBQBXBENHH
|
|
Proposal # 304 Similarity: 5.00ppm HEIDVPFZBLSXTA
|
Proposal # 305 Similarity: 5.00ppm RFFWEISTVNJFJR
|
Proposal # 306 Similarity: 5.01ppm YNMCZVPXCPSQLW
|
|
Proposal # 307 Similarity: 5.01ppm SRGZBAQYKUJKPD
|
Proposal # 308 Similarity: 5.01ppm CAUXEUDAULUIBX
|
Proposal # 309 Similarity: 5.01ppm DIAZQANDDIVNMF
|
|
Proposal # 310 Similarity: 5.01ppm DUKQSFOXYRCXFP
|
Proposal # 311 Similarity: 5.01ppm MOEHXBUZRGAOBZ
|
Proposal # 312 Similarity: 5.02ppm NOQNXQVLMQTLBN
|
|
Proposal # 313 Similarity: 5.02ppm IOXQBQGYXILLCN
|
Proposal # 314 Similarity: 5.02ppm BSVBDHOPSQFHBP
|
Proposal # 315 Similarity: 5.03ppm UJRPEVBLQRNIQU
|
|
Proposal # 316 Similarity: 5.04ppm MVCDHQKLEXBINL
|
Proposal # 317 Similarity: 5.04ppm IKOLQOHRPIMDTF
|
Proposal # 318 Similarity: 5.04ppm JSQAWEXBDLEUSV
|
|
Proposal # 319 Similarity: 5.05ppm JFBUYXDCURKPMG
|
Proposal # 320 Similarity: 5.05ppm JTZDQLUPQCLBSU
|
Proposal # 321 Similarity: 5.05ppm LWAPUYCXZRPPPW
|
|
Proposal # 322 Similarity: 5.05ppm KEZZHJSJMVPMMA
|
Proposal # 323 Similarity: 5.05ppm HINCFZIRWRYZEB
|
Proposal # 324 Similarity: 5.05ppm BKZKHNQUVXJFLQ
|
|
Proposal # 325 Similarity: 5.06ppm YPODAEUTTBNOCG
|
Proposal # 326 Similarity: 5.06ppm KEFVWHWQVYEQNQ
|
Proposal # 327 Similarity: 5.06ppm HJNLPTFHXRGEJA
|
|
Proposal # 328 Similarity: 5.06ppm SSPOSKLXJDCWSI
|
Proposal # 329 Similarity: 5.07ppm GYKNDXBZERKPSM
|
Proposal # 330 Similarity: 5.08ppm GCBBURMXVKNEDG
|
|
Proposal # 331 Similarity: 5.08ppm XMNJKAXOPJDZAU
|
Proposal # 332 Similarity: 5.09ppm UNWKZOFBLNWAIV
|
Proposal # 333 Similarity: 5.09ppm QSBWHWCYYVVFPA
|
|
Proposal # 334 Similarity: 5.09ppm NDVDDEGVZBWKFK
|
Proposal # 335 Similarity: 5.10ppm RLUALNCJEBUYDC
|
Proposal # 336 Similarity: 5.11ppm FYKIEKIRVCHNNL
|
|
Proposal # 337 Similarity: 5.11ppm HJOSAJXQTBAIER
|
Proposal # 338 Similarity: 5.11ppm LQNBUTHJDFEZPD
|
Proposal # 339 Similarity: 5.11ppm ITAWSNZXMNIPTF
|
|
Proposal # 340 Similarity: 5.12ppm CIYDUQSCIJWSRE
|
Proposal # 341 Similarity: 5.12ppm BCSTUQNUXFVDDP
|
Proposal # 342 Similarity: 5.12ppm AKDIQSDSKOTRRV
|
|
Proposal # 343 Similarity: 5.13ppm AMMBIKZBXWBSRN
|
Proposal # 344 Similarity: 5.13ppm GWIYTWWCOGASIN
|
Proposal # 345 Similarity: 5.13ppm RRXRQRQVXXZJFX
|
|
Proposal # 346 Similarity: 5.14ppm OZTSUCBWMCFODB
|
Proposal # 347 Similarity: 5.14ppm QHEVNDXSMLJCMD
|
Proposal # 348 Similarity: 5.14ppm CMRQLQXQBMZTLR
|
|
Proposal # 349 Similarity: 5.14ppm SHPFCZWXXSGGBT PUBCHEM
|
Proposal # 350 Similarity: 5.14ppm JFXVKEKDFAKSDO
|
Proposal # 351 Similarity: 5.14ppm SMFZIJAQBVUUSB
|
|
Proposal # 352 Similarity: 5.14ppm HZXSRQLUXPQBFM
|
Proposal # 353 Similarity: 5.15ppm BLBLOQDERUCVAG
|
Proposal # 354 Similarity: 5.16ppm ROYLLMDRHYPDMW
|
|
Proposal # 355 Similarity: 5.18ppm HWUYDDMRCGODKV
|
Proposal # 356 Similarity: 5.18ppm OBTVDMTUANGCJB
|
Proposal # 357 Similarity: 5.18ppm PWRDTRUWCAUJHV
|
|
Proposal # 358 Similarity: 5.20ppm ROAPJZRPDMTCNF
|
Proposal # 359 Similarity: 5.20ppm XIHODCNKIHHVLN
|
Proposal # 360 Similarity: 5.20ppm IORSUSGWNSAGGR
|
|
Proposal # 361 Similarity: 5.20ppm XRBWKIUZWIJZIV
|
Proposal # 362 Similarity: 5.21ppm UASOAAFCOXNAAE
|
Proposal # 363 Similarity: 5.21ppm FHOGSRKSOFKJGA
|
|
Proposal # 364 Similarity: 5.21ppm KZQANDTYFBDRSU
|
Proposal # 365 Similarity: 5.22ppm ZHSJBDNMIGRIAR
|
Proposal # 366 Similarity: 5.23ppm ZSOSZDDYEFRQMW
|
|
Proposal # 367 Similarity: 5.23ppm TWZOIGQPINKGGU
|
Proposal # 368 Similarity: 5.24ppm DRJRCMUUJNQSTA
|
Proposal # 369 Similarity: 5.24ppm RLUJOFWRWIWLMZ
|
|
Proposal # 370 Similarity: 5.25ppm RLVXGAWMAOPTJD
|
Proposal # 371 Similarity: 5.25ppm ZLLRVMYFGMYDFI
|
Proposal # 372 Similarity: 5.25ppm JWVRWLYOQLEMHW
|
|
Proposal # 373 Similarity: 5.25ppm YCRJOWYZWUGFOA
|
Proposal # 374 Similarity: 5.26ppm YVRFAEFDAJWLSI
|
Proposal # 375 Similarity: 5.26ppm UASAGTNDVQPMPO
|
|
Proposal # 376 Similarity: 5.26ppm YVVHLCBEQXAVPK
|
Proposal # 377 Similarity: 5.27ppm SXMSUVXVPZZVTF
|
Proposal # 378 Similarity: 5.27ppm OLCGDSJOXDCATM
|
|
Proposal # 379 Similarity: 5.28ppm RLLPTPQXXAMGBV
|
Proposal # 380 Similarity: 5.29ppm WWBDEYDNJDPCCY
|
Proposal # 381 Similarity: 5.31ppm IHXWKZSWSBHQLN
|
|
Proposal # 382 Similarity: 5.32ppm HBXGGBMRURMYKD
|
Proposal # 383 Similarity: 5.32ppm RDVZESXNBTWDFU
|
Proposal # 384 Similarity: 5.32ppm YNBNQXXVHYABSX
|
|
Proposal # 385 Similarity: 5.32ppm AVWLNHWCRKGOSF
|
Proposal # 386 Similarity: 5.33ppm ZJNCGYDEFAZZGK PUBCHEM
|
Proposal # 387 Similarity: 5.33ppm SPEVYOAIMHCRGJ
|
|
Proposal # 388 Similarity: 5.34ppm WCYNFWNUNSRDRQ
|
Proposal # 389 Similarity: 5.35ppm HFINEUVGWUMJAS
|
Proposal # 390 Similarity: 5.36ppm XNFRQBUVDAYRFP
|
|
Proposal # 391 Similarity: 5.37ppm YYYCNHLGVBHIRD
|
Proposal # 392 Similarity: 5.37ppm NMBYPUFKYJTQJH
|
Proposal # 393 Similarity: 5.37ppm ODUXJDWGPQIFIA
|
|
Proposal # 394 Similarity: 5.37ppm ZYQSZNQLQUOKNR
|
Proposal # 395 Similarity: 5.37ppm WWLUGCWLOJOIMK
|
Proposal # 396 Similarity: 5.37ppm DUNBNLTVMZDITM
|
|
Proposal # 397 Similarity: 5.38ppm OMNDZESKJFEFHR
|
Proposal # 398 Similarity: 5.38ppm DGFMSIXVVCIJIA
|
Proposal # 399 Similarity: 5.39ppm ZBCVOAQOJYWXIY
|
|
Proposal # 400 Similarity: 5.40ppm LBACMVUDQMRSLI
|
Proposal # 401 Similarity: 5.40ppm UGNABHDPLQXDPN
|
Proposal # 402 Similarity: 5.41ppm ZNIKXTPHUKZUEE
|
|
Proposal # 403 Similarity: 5.41ppm NRFIVGJBMMKPCT
|
Proposal # 404 Similarity: 5.42ppm TXNVUVSTSNNQDD
|
Proposal # 405 Similarity: 5.43ppm KOVIGCCITHYWKR
|
|
Proposal # 406 Similarity: 5.43ppm BDDAQFRXCBLOGR
|
Proposal # 407 Similarity: 5.44ppm SRDVPVXVCBMTIQ
|
Proposal # 408 Similarity: 5.44ppm ANASUEABIZYCMM
|
|
Proposal # 409 Similarity: 5.44ppm WIQZEHRLNZJUTK
|
Proposal # 410 Similarity: 5.45ppm QVZDGPOYOSRDKL
|
Proposal # 411 Similarity: 5.45ppm MNVNSXUZLVCPTA
|
|
Proposal # 412 Similarity: 5.45ppm LFWHQYYBVGJFIP
|
Proposal # 413 Similarity: 5.45ppm MSVBKKIYPIFHJG
|
Proposal # 414 Similarity: 5.45ppm MFCLDYZZBRRNAU
|
|
Proposal # 415 Similarity: 5.46ppm OKRKRAQUVZNECY
|
Proposal # 416 Similarity: 5.47ppm MLBWFSODYJICFY
|
Proposal # 417 Similarity: 5.47ppm BZXJYCUGQSIYCE
|
|
Proposal # 418 Similarity: 5.48ppm NDCDQADNPVZYEV
|
Proposal # 419 Similarity: 5.48ppm PTLYIAPPDFSGOL
|
Proposal # 420 Similarity: 5.48ppm MWMCHCQNRGKSED
|
|
Proposal # 421 Similarity: 5.49ppm PNNDSRRNOFPEMC
|
Proposal # 422 Similarity: 5.50ppm NIBBSHAUFXVCIC
|
Proposal # 423 Similarity: 5.50ppm AIAHBEUFNKYHRT
|
|
Proposal # 424 Similarity: 5.50ppm KLTYBHWBCISGET
|
Proposal # 425 Similarity: 5.50ppm CJILJDILZQSPED
|
Proposal # 426 Similarity: 5.51ppm ZOOXQSRZWXNZNI
|
|
Proposal # 427 Similarity: 5.51ppm LKGLVVOXAJEKJE
|
Proposal # 428 Similarity: 5.52ppm QEUIAASSPXUOMF
|
Proposal # 429 Similarity: 5.53ppm PVQGMENWCXKNBA
|
|
Proposal # 430 Similarity: 5.54ppm ODXLRXQNXAMFJO
|
Proposal # 431 Similarity: 5.54ppm NETDGVDBGOCEDD
|
Proposal # 432 Similarity: 5.54ppm ZOTJZNNHHAVOAN
|
|
Proposal # 433 Similarity: 5.56ppm QLRQNSFQJQTAFP
|
Proposal # 434 Similarity: 5.56ppm WXJRGBJMODOQFP
|
Proposal # 435 Similarity: 5.56ppm WWCHMARUZLNMBL
|
|
Proposal # 436 Similarity: 5.56ppm HCRUITRKFFXNFI
|
Proposal # 437 Similarity: 5.57ppm JJXXORWOCQSETH
|
Proposal # 438 Similarity: 5.57ppm QSWCBPIPXSXRMK
|
|
Proposal # 439 Similarity: 5.57ppm XDGDSKAQPHZEGK
|
Proposal # 440 Similarity: 5.58ppm YVEHFDZIRKEWFP
|
Proposal # 441 Similarity: 5.58ppm ARPRRAKDVLYGJZ
|
|
Proposal # 442 Similarity: 5.58ppm RHFNBGMNUWEUKU
|
Proposal # 443 Similarity: 5.59ppm FHOVPWRNSUDBPA
|
Proposal # 444 Similarity: 5.59ppm JIXJAZIXBWOLHK
|
|
Proposal # 445 Similarity: 5.60ppm YJGDOZKLCHCDPP
|
Proposal # 446 Similarity: 5.60ppm PKZPPHSKDSGUID
|
Proposal # 447 Similarity: 5.60ppm YCGQVHBGVXHTHO
|
|
Proposal # 448 Similarity: 5.60ppm FVXPSKAKTAGXDI
|
Proposal # 449 Similarity: 5.60ppm KXACHYJANZHLQQ
|
Proposal # 450 Similarity: 5.61ppm BMJWLZKHNHYOMH
|
|
Proposal # 451 Similarity: 5.62ppm UZFJMTCTUMGUTP
|
Proposal # 452 Similarity: 5.62ppm KAGPYESELUCJDE
|
Proposal # 453 Similarity: 5.62ppm VEEBWZDNKQMDQM
|
|
Proposal # 454 Similarity: 5.62ppm JYYGLKZPZJHSFV
|
Proposal # 455 Similarity: 5.62ppm OUSZWVKZRDADNH
|
Proposal # 456 Similarity: 5.62ppm HLXJDLGKCCJVLI
|
|
Proposal # 457 Similarity: 5.63ppm RTVRPLWPIZPNER
|
Proposal # 458 Similarity: 5.63ppm DAOZOCIZVFCIKB
|
Proposal # 459 Similarity: 5.64ppm CPPZBHAWQNJPEB
|
|
Proposal # 460 Similarity: 5.64ppm KFTLUBBUOKMCFS
|
Proposal # 461 Similarity: 5.64ppm RKMVAMMEOXIJJR
|
Proposal # 462 Similarity: 5.64ppm MMGOCYRCGZPKCB
|
|
Proposal # 463 Similarity: 5.64ppm ZCTRZCDKFPCITB
|
Proposal # 464 Similarity: 5.64ppm XSODYVDGDGZQCY
|
Proposal # 465 Similarity: 5.66ppm HUKJLVCIOIYWLZ
|
|
Proposal # 466 Similarity: 5.66ppm IRYNZYHLUIKVTR
|
Proposal # 467 Similarity: 5.67ppm XOOHWHJVWWVYME
|
Proposal # 468 Similarity: 5.68ppm RQWWJVAQJSLRKC
|
|
Proposal # 469 Similarity: 5.68ppm PNYRQXSOPNZOIE
|
Proposal # 470 Similarity: 5.68ppm LAPCQTRUGDBQEH
|
Proposal # 471 Similarity: 5.69ppm ALMNPTYQOUWUTM
|
|
Proposal # 472 Similarity: 5.70ppm DBWAKHYXOFHVCB
|
Proposal # 473 Similarity: 5.70ppm VLPUSUIENYFLQW
|
Proposal # 474 Similarity: 5.71ppm SNHAIKMAOYIESU
|
|
Proposal # 475 Similarity: 5.71ppm OZIJYQOWGORANN
|
Proposal # 476 Similarity: 5.71ppm OAMBGPQRLMAAFR
|
Proposal # 477 Similarity: 5.71ppm QSWGICJQUJVYGC
|
|
Proposal # 478 Similarity: 5.72ppm LPUSFSOLGQFUOZ
|
Proposal # 479 Similarity: 5.75ppm KWRUALWXUJWUED
|
Proposal # 480 Similarity: 5.76ppm HMNREVVQZUYNOU
|
|
Proposal # 481 Similarity: 5.76ppm MTOVZUCWWIWDCS
|
Proposal # 482 Similarity: 5.76ppm WIUANZYHBBKWCD
|
Proposal # 483 Similarity: 5.76ppm HGPBJNOSEJLTOI
|
|
Proposal # 484 Similarity: 5.76ppm FZFFAARSWRQYNR
|
Proposal # 485 Similarity: 5.77ppm VZUZVGZWOFOQFZ
|
Proposal # 486 Similarity: 5.78ppm DMKIDIWVFHTLSO
|
|
Proposal # 487 Similarity: 5.80ppm QFSHJHHDONJAJW
|
Proposal # 488 Similarity: 5.81ppm LHRUNMBDNBCRIG
|
Proposal # 489 Similarity: 5.81ppm NOUBECFCQNEEAP
|
|
Proposal # 490 Similarity: 5.82ppm VWJAACMXMSUGAX
|
Proposal # 491 Similarity: 5.83ppm WVBTZWNERNMQGA
|
Proposal # 492 Similarity: 5.83ppm LGEPRAPJDHWSKX
|
|
Proposal # 493 Similarity: 5.83ppm YPLZGCZHDBIYMU
|
Proposal # 494 Similarity: 5.84ppm SJJVMJPIQDYJCQ
|
Proposal # 495 Similarity: 5.84ppm ZJRGZQNPBGECPJ
|
|
Proposal # 496 Similarity: 5.85ppm LNZXXZCDFWUEDL
|
Proposal # 497 Similarity: 5.85ppm FLXZCHXQKPLPDQ
|
Proposal # 498 Similarity: 5.86ppm SXUNEVWXOQOUFB
|
|
Proposal # 499 Similarity: 5.87ppm PEBMHMDVSMKTHT
|
Proposal # 500 Similarity: 5.87ppm VQNUYCGNTQWOET
|
Proposal # 501 Similarity: 5.87ppm FYVQPDSJBPMCIC
|
|
Proposal # 502 Similarity: 5.88ppm YEVQJCSKVYWKLL
|
Proposal # 503 Similarity: 5.88ppm IJXIJZGSYJHBPL
|
Proposal # 504 Similarity: 5.88ppm XRUHCAGOODMYJX
|
|
Proposal # 505 Similarity: 5.88ppm SHKZRHXPXXOGSL
|
Proposal # 506 Similarity: 5.88ppm VIKFIDHVCBUGIQ
|
Proposal # 507 Similarity: 5.89ppm OMHQNOXMYDXZPM
|
|
Proposal # 508 Similarity: 5.89ppm GJZCNIFFQHYAAM
|
Proposal # 509 Similarity: 5.90ppm WCTDNKBGHLKSQM
|
Proposal # 510 Similarity: 5.90ppm PASOJKWNZVYAJI
|
|
Proposal # 511 Similarity: 5.90ppm QTYXIKJYAXHPOJ
|
Proposal # 512 Similarity: 5.90ppm YASLPRFJMQAYKG
|
Proposal # 513 Similarity: 5.91ppm GGDVPQGNPWHBOU
|
|
Proposal # 514 Similarity: 5.91ppm JUNLHILRCSGKQT
|
Proposal # 515 Similarity: 5.91ppm YLOZJZNNBVGIRE
|
Proposal # 516 Similarity: 5.92ppm NHTJXVMAOUOFFB
|
|
Proposal # 517 Similarity: 5.93ppm PAISRUSSXLYSTO
|
Proposal # 518 Similarity: 5.93ppm DTGNFTAGNVDEFB
|
Proposal # 519 Similarity: 5.93ppm AGZYGXILYKFZCC
|
|
Proposal # 520 Similarity: 5.94ppm KYLGQSIOWNOAKW
|
Proposal # 521 Similarity: 5.94ppm ZTSQNWUEBCGYQS
|
Proposal # 522 Similarity: 5.94ppm FXHGANABAICGEN
|
|
Proposal # 523 Similarity: 5.95ppm GISDIDNTCITYOT
|
Proposal # 524 Similarity: 5.95ppm IPRVECUQVUELIM
|
Proposal # 525 Similarity: 5.95ppm WVOQWAHPQSOXQS
|
|
Proposal # 526 Similarity: 5.96ppm DEPACQYNDNRFMC
|
Proposal # 527 Similarity: 5.96ppm OXLONZMWHWMXPL
|
Proposal # 528 Similarity: 5.96ppm QUUYNPSERUFWHD
|
|
Proposal # 529 Similarity: 5.97ppm VECBGXQWIGISES
|
Proposal # 530 Similarity: 5.98ppm SSGCRKVEXAXPFI
|
Proposal # 531 Similarity: 5.98ppm NDBRNAFHLPZHRI
|
|
Proposal # 532 Similarity: 5.98ppm CPWUEYJDONATPP
|
Proposal # 533 Similarity: 5.99ppm UINPHTDPPBVYAR
|
Proposal # 534 Similarity: 5.99ppm CKNWNPKBSUZGRI
|
|
Proposal # 535 Similarity: 5.99ppm CDNYXOWCQMJFCB
|
Proposal # 536 Similarity: 5.99ppm ZGCWGMJQTMITIO
|
Proposal # 537 Similarity: 5.99ppm SHXKIGKEAVGKEM
|
|
Proposal # 538 Similarity: 5.99ppm IXLHQOJZSPJDDL
|
Proposal # 539 Similarity: 5.99ppm NSBHEXZZGRZIAM
|
Proposal # 540 Similarity: 6.00ppm WDCVOXOBGRGBKP
|
|
Proposal # 541 Similarity: 6.00ppm AZQAMALGPHCRAB
|
Proposal # 542 Similarity: 6.00ppm WJQMCCSHBWXDLV
|
Proposal # 543 Similarity: 6.00ppm UPSYFWGCCXERFX
|
|
Proposal # 544 Similarity: 6.01ppm GRLQELOLIQYILW
|
Proposal # 545 Similarity: 6.01ppm AQLSZJMZYRVEST
|
Proposal # 546 Similarity: 6.03ppm OEFBFVQYOUVBES
|
|
Proposal # 547 Similarity: 6.03ppm LHLOCUAJOUPLTQ
|
Proposal # 548 Similarity: 6.03ppm SPSDUCMZYIAOBA
|
Proposal # 549 Similarity: 6.03ppm GEFASAGNEIOWLK
|
|
Proposal # 550 Similarity: 6.04ppm ZIUNBZVFYMHJMS
|
Proposal # 551 Similarity: 6.04ppm ZMKHEYALTZKTIC
|
Proposal # 552 Similarity: 6.04ppm GYHWIYMKRGPXLG
|
|
Proposal # 553 Similarity: 6.05ppm NFVOSQSHIQLQFD
|
Proposal # 554 Similarity: 6.06ppm SIEWTWFTBFCOCY
|
Proposal # 555 Similarity: 6.06ppm KPMOARMTJCLOLV
|
|
Proposal # 556 Similarity: 6.06ppm OMLVUDBKKRFOLY
|
Proposal # 557 Similarity: 6.07ppm MYEGQPZITYIVMZ
|
Proposal # 558 Similarity: 6.07ppm YNFWSTDKTVMTTH
|
|
Proposal # 559 Similarity: 6.07ppm XZQGTSABZIEDPA
|
Proposal # 560 Similarity: 6.07ppm CNIPPCSLRWHGJL
|
Proposal # 561 Similarity: 6.08ppm OAXOVZGDQUWOLF
|
|
Proposal # 562 Similarity: 6.08ppm LUQKQHSYIXDXJU
|
Proposal # 563 Similarity: 6.08ppm UHRFLIKPFASQEK
|
Proposal # 564 Similarity: 6.09ppm WTMHUSBSDWZUSS
|
|
Proposal # 565 Similarity: 6.10ppm XDDVZGIXNHNJJD
|
Proposal # 566 Similarity: 6.10ppm LPCJLQKBRFSFFH
|
Proposal # 567 Similarity: 6.10ppm RUVNJYSTRQFTMR
|
|
Proposal # 568 Similarity: 6.10ppm DCIOLMWZQLXEKZ
|
Proposal # 569 Similarity: 6.10ppm MYJGMSJQRZCTND
|
Proposal # 570 Similarity: 6.12ppm KOTWGCFHDXYAGN
|
|
Proposal # 571 Similarity: 6.12ppm PQMBEGJRMGDTNJ
|
Proposal # 572 Similarity: 6.12ppm UQQQPJGGIOMPBY
|
Proposal # 573 Similarity: 6.13ppm ZBQQKAKZAVDAJR
|
|
Proposal # 574 Similarity: 6.13ppm OGHOPCBEBGSHPH
|
Proposal # 575 Similarity: 6.13ppm VNDFGFDGGVDNSJ
|
Proposal # 576 Similarity: 6.15ppm JHUPXJVOWMHMEI
|
|
Proposal # 577 Similarity: 6.15ppm CRERLHIFVDJAOJ
|
Proposal # 578 Similarity: 6.15ppm KPVHSAXJFNOOSU
|
Proposal # 579 Similarity: 6.15ppm KXJQMOXATWMZFZ
|
|
Proposal # 580 Similarity: 6.16ppm QXOIRKOZFBBTTC
|
Proposal # 581 Similarity: 6.16ppm RZPQWWFSHOVYQZ
|
Proposal # 582 Similarity: 6.16ppm OTMSWRPDHXFJLZ
|
|
Proposal # 583 Similarity: 6.17ppm VUCJVJDJRSWBMQ
|
Proposal # 584 Similarity: 6.17ppm UKTJPKYCEXOJPF
|
Proposal # 585 Similarity: 6.17ppm UQCRTZNSBIWLJA
|
|
Proposal # 586 Similarity: 6.17ppm XRXLWTHEQLYQGX
|
Proposal # 587 Similarity: 6.17ppm JOOXVCOCGSGLTK
|
Proposal # 588 Similarity: 6.18ppm ZDGNXPBNHSKVGY
|
|
Proposal # 589 Similarity: 6.18ppm MLZGNRAIGBHDAF
|
Proposal # 590 Similarity: 6.19ppm KNMXEXCVLPIDGO
|
Proposal # 591 Similarity: 6.19ppm IJNXJCIFYVDTIK
|
|
Proposal # 592 Similarity: 6.20ppm DJBCMTVOVJGRHW
|
Proposal # 593 Similarity: 6.20ppm HVXSUGGZHMQQNC
|
Proposal # 594 Similarity: 6.20ppm VEUYYXWKBZIMEO
|
|
Proposal # 595 Similarity: 6.20ppm UFOWZFJQPMBNPS
|
Proposal # 596 Similarity: 6.20ppm QPXADLRQJSOOCL
|
Proposal # 597 Similarity: 6.21ppm FABPBAGODJSMHX
|
|
Proposal # 598 Similarity: 6.21ppm GQVSBHLNOHXGKU
|
Proposal # 599 Similarity: 6.21ppm WHRYUDGOGYNCCS
|
Proposal # 600 Similarity: 6.21ppm DMGAIMUMBLTJSL
|
|
Proposal # 601 Similarity: 6.22ppm IEZAPDOPCLRXPH
|
Proposal # 602 Similarity: 6.22ppm YQJLHKSLACSOFM
|
Proposal # 603 Similarity: 6.23ppm ZBCOPSONFMEUDX
|
|
Proposal # 604 Similarity: 6.23ppm PMUVFCSXTVMISL
|
Proposal # 605 Similarity: 6.24ppm RSVUTXRXMKWLCQ
|
Proposal # 606 Similarity: 6.24ppm MQIXCPQDJCDMJE
|
|
Proposal # 607 Similarity: 6.24ppm XZSYCWYRBZZXAC
|
Proposal # 608 Similarity: 6.25ppm MIAOVBMTFXYOBY
|
Proposal # 609 Similarity: 6.25ppm ZBYITZFGXMOHHY
|
|
Proposal # 610 Similarity: 6.26ppm OTORJEXLXSZPEQ
|
Proposal # 611 Similarity: 6.26ppm IQDADHGTJHQSIL
|
Proposal # 612 Similarity: 6.26ppm ZYVRLZVLOSAVLF
|
|
Proposal # 613 Similarity: 6.27ppm XTXLMKCGFUPNIX
|
Proposal # 614 Similarity: 6.27ppm KTCYDQAJEKMJLX
|
Proposal # 615 Similarity: 6.27ppm NDRMZMCLDSVWQC PUBCHEM
|
|
Proposal # 616 Similarity: 6.27ppm SSXPQWGEQSWHFV
|
Proposal # 617 Similarity: 6.28ppm XDBSGFXICOVNKQ
|
Proposal # 618 Similarity: 6.28ppm KYXUBRLTBBDYDG
|
|
Proposal # 619 Similarity: 6.28ppm NAFWSKNQKZMUTJ
|
Proposal # 620 Similarity: 6.28ppm CKLADKFCGSVWOY
|
Proposal # 621 Similarity: 6.28ppm WDTWOPPGLRLTED
|
|
Proposal # 622 Similarity: 6.29ppm RZTPBDKGWRGJFN
|
Proposal # 623 Similarity: 6.29ppm AGOIDKVVKFZYMS
|
Proposal # 624 Similarity: 6.30ppm UAPHXDPOTMUDIL
|
|
Proposal # 625 Similarity: 6.30ppm ITAREWNOZWCTSF
|
Proposal # 626 Similarity: 6.30ppm YTLZOXQUWWCDPX
|
Proposal # 627 Similarity: 6.31ppm DHGIPZMKGPMZQG
|
|
Proposal # 628 Similarity: 6.31ppm HJZGTPAKPULTRZ
|
Proposal # 629 Similarity: 6.31ppm PKXGEVQBAPRTBO
|
Proposal # 630 Similarity: 6.32ppm PEVUUCRVEOBSBF
|
|
Proposal # 631 Similarity: 6.32ppm SBZYFOFMMLPZEE
|
Proposal # 632 Similarity: 6.32ppm OKQYISRYPRRJJX
|
Proposal # 633 Similarity: 6.33ppm RVWSTUUGAFDIQK
|
|
Proposal # 634 Similarity: 6.34ppm ITLJSTOMBUKHMA
|
Proposal # 635 Similarity: 6.34ppm KDZBJNUJNIJQRB
|
Proposal # 636 Similarity: 6.34ppm TZAKYCJGDPNZGZ
|
|
Proposal # 637 Similarity: 6.35ppm CCHVNRXCJZUVHU
|
Proposal # 638 Similarity: 6.35ppm QTAGRBJRGAXPIC
|
Proposal # 639 Similarity: 6.35ppm CZSUHFSKGWDRIW
|
|
Proposal # 640 Similarity: 6.36ppm BTWNZSTTYVFGOZ
|
Proposal # 641 Similarity: 6.36ppm JEULTKHBWMJCFM
|
Proposal # 642 Similarity: 6.36ppm KEGARLNMYJELHD
|
|
Proposal # 643 Similarity: 6.37ppm MCZVXAAPNDTCMR
|
Proposal # 644 Similarity: 6.38ppm KWRLVURDIGIZCL
|
Proposal # 645 Similarity: 6.38ppm MSVLUESRWQDSIF
|
|
Proposal # 646 Similarity: 6.38ppm DKOKBTLHCCYZOH
|
Proposal # 647 Similarity: 6.39ppm HWTQRTDEGHGFFS
|
Proposal # 648 Similarity: 6.39ppm QIUDXXVLDQNMSL
|
|
Proposal # 649 Similarity: 6.39ppm AIEIQIQTTICNPW
|
Proposal # 650 Similarity: 6.40ppm URNFHCQUNYLOJQ
|
Proposal # 651 Similarity: 6.40ppm PPJDFDAGTMINMY
|
|
Proposal # 652 Similarity: 6.41ppm FNTNHFLKKQCVTM
|
Proposal # 653 Similarity: 6.41ppm PAVSLYIQBKTGKI
|
Proposal # 654 Similarity: 6.41ppm CUMOEEUXNFCCIN
|
|
Proposal # 655 Similarity: 6.42ppm MKGAQRSRASADTM
|
Proposal # 656 Similarity: 6.42ppm NDBWRMTWXWLGIN
|
Proposal # 657 Similarity: 6.42ppm CTZXZXQXNUOILB
|
|
Proposal # 658 Similarity: 6.43ppm NHBOGGBRQYTJKS
|
Proposal # 659 Similarity: 6.44ppm PXKSYYQWVJBSJS
|
Proposal # 660 Similarity: 6.44ppm MOOWVIGQGZQYEW
|
|
Proposal # 661 Similarity: 6.44ppm JSDNWRNJYMQFJD
|
Proposal # 662 Similarity: 6.45ppm WLLLZIPVJFHUSP
|
Proposal # 663 Similarity: 6.45ppm VVKWBWIVVRJDKM
|
|
Proposal # 664 Similarity: 6.45ppm BOXGINDVNOMIBA
|
Proposal # 665 Similarity: 6.45ppm QQICMOYWFMTOOJ
|
Proposal # 666 Similarity: 6.45ppm HLWGPXUGZQEPEQ
|
|
Proposal # 667 Similarity: 6.46ppm RXJFDTBJMXTHON
|
Proposal # 668 Similarity: 6.46ppm KNSOYSVWJIFXCM
|
Proposal # 669 Similarity: 6.46ppm IYMBRUSCRDQNEW
|
|
Proposal # 670 Similarity: 6.46ppm ZRCIDLCRAHNURF
|
Proposal # 671 Similarity: 6.47ppm QZZFIDULVKAFHK
|
Proposal # 672 Similarity: 6.47ppm AYBOSJRLBZVQJW
|
|
Proposal # 673 Similarity: 6.48ppm LOXXHDIFRUOUIQ
|
Proposal # 674 Similarity: 6.49ppm TZCJUMNAIRTBKP
|
Proposal # 675 Similarity: 6.49ppm KPAQUELBCGCANI
|
|
Proposal # 676 Similarity: 6.50ppm NEEHMIBBKCWHOS
|
Proposal # 677 Similarity: 6.50ppm MUJPUQSPQBIIOC
|
Proposal # 678 Similarity: 6.51ppm NMCNNIRZXZOCOE
|
|
Proposal # 679 Similarity: 6.52ppm IETRAUOWIJELIK
|
Proposal # 680 Similarity: 6.52ppm YMVNKLDBNKWGIA
|
Proposal # 681 Similarity: 6.52ppm NEXFBSJZHDDFMZ
|
|
Proposal # 682 Similarity: 6.52ppm YKRBQJPASQMBJU
|
Proposal # 683 Similarity: 6.53ppm MWVAUYJIYBOBIO
|
Proposal # 684 Similarity: 6.54ppm RVOMWAIEZNVFSZ
|
|
Proposal # 685 Similarity: 6.54ppm HKCAGEIEKPWUQV
|
Proposal # 686 Similarity: 6.54ppm OOXPNNMHENZWBS
|
Proposal # 687 Similarity: 6.54ppm WPPWSDZTPYQQHN
|
|
Proposal # 688 Similarity: 6.54ppm NMDZYQLGLABZRP
|
Proposal # 689 Similarity: 6.54ppm XFLUBKCKUHMUOH
|
Proposal # 690 Similarity: 6.55ppm MTXIWASUCKYCNL
|
|
Proposal # 691 Similarity: 6.55ppm BLHSJQULPVSHFH
|
Proposal # 692 Similarity: 6.56ppm IRTNNROVDCKKEM
|
Proposal # 693 Similarity: 6.56ppm HHRPHCGPPXIGOA
|
|
Proposal # 694 Similarity: 6.56ppm ZPAOWEAJOMDYFA
|
Proposal # 695 Similarity: 6.57ppm KHPCKZJQBAJOCR
|
Proposal # 696 Similarity: 6.57ppm QMOXWCICFOUMEF
|
|
Proposal # 697 Similarity: 6.58ppm PRCPTXYHXFFOMU
|
Proposal # 698 Similarity: 6.60ppm QTZDHLZKJCLJPO
|
Proposal # 699 Similarity: 6.60ppm VJXDXFSHUZULMJ
|
|
Proposal # 700 Similarity: 6.60ppm MVVLJIDQEKGJTJ
|
Proposal # 701 Similarity: 6.61ppm LHJZZLQOSVHQMR
|
Proposal # 702 Similarity: 6.62ppm XQNCNUJIMZZFCW
|
|
Proposal # 703 Similarity: 6.62ppm FSYLZOOKROHXTE
|
Proposal # 704 Similarity: 6.62ppm JBTQUTJKJOKDQG
|
Proposal # 705 Similarity: 6.63ppm ZMGBVXYXUBDJLY
|
|
Proposal # 706 Similarity: 6.63ppm NQLAUQNZWVIZBO
|
Proposal # 707 Similarity: 6.63ppm WYFJMCUILRSOBW
|
Proposal # 708 Similarity: 6.64ppm FHYITKCXTVGHDT
|
|
Proposal # 709 Similarity: 6.64ppm ZXCRNBMWOLTOHF
|
Proposal # 710 Similarity: 6.64ppm QQHUJYOGGZRQFW
|
Proposal # 711 Similarity: 6.64ppm HRKSXTWOVVGMBB
|
|
Proposal # 712 Similarity: 6.65ppm PJBUVSDJWQCZNZ
|
Proposal # 713 Similarity: 6.67ppm IPHDMVPBEZRYAM
|
Proposal # 714 Similarity: 6.67ppm KJVCZAUGVWAMQP
|
|
Proposal # 715 Similarity: 6.67ppm HKJAVIYCYOBSKB
|
Proposal # 716 Similarity: 6.67ppm DVXYWNMUYLXSAF
|
Proposal # 717 Similarity: 6.68ppm RQXMWOYLDGGWSQ
|
|
Proposal # 718 Similarity: 6.68ppm LXZCENTXSRNFLL
|
Proposal # 719 Similarity: 6.69ppm CZJVKJDFVFENLO
|
Proposal # 720 Similarity: 6.69ppm SIHPMOVYUKWFGS
|
|
Proposal # 721 Similarity: 6.70ppm XOYPRJREIZUMDM
|
Proposal # 722 Similarity: 6.70ppm XWNCPZVYAIYMDL
|
Proposal # 723 Similarity: 6.72ppm GTTAFXDLSIZXNY
|
|
Proposal # 724 Similarity: 6.72ppm FQELCXFBXKJRML
|
Proposal # 725 Similarity: 6.74ppm ZHLBSAVBROYZMO
|
Proposal # 726 Similarity: 6.74ppm YRQGUNDWJPCYAI
|
|
Proposal # 727 Similarity: 6.74ppm MWZGVWPXBIKVPC
|
Proposal # 728 Similarity: 6.75ppm DLDSXWFRGVLNAZ
|
Proposal # 729 Similarity: 6.75ppm ZMSLJLXDCBVUSL
|
|
Proposal # 730 Similarity: 6.75ppm KFPCQIPFNOGPGF
|
Proposal # 731 Similarity: 6.75ppm WMRFZWWHNMFSCJ
|
Proposal # 732 Similarity: 6.76ppm WBRCXEPIBJZAPO
|
|
Proposal # 733 Similarity: 6.77ppm UBNHTSWOQRLBPM
|
Proposal # 734 Similarity: 6.77ppm FAGBHWSGYGJSDI
|
Proposal # 735 Similarity: 6.77ppm XIKYFMYUPZIZKU
|
|
Proposal # 736 Similarity: 6.77ppm CJVGPVWBOAIARN
|
Proposal # 737 Similarity: 6.77ppm DVLHDKYPJTVYKB
|
Proposal # 738 Similarity: 6.79ppm MKFCRWSYBHTXHK
|
|
Proposal # 739 Similarity: 6.79ppm VCJJQZUMPOSBNG
|
Proposal # 740 Similarity: 6.79ppm XKOLJTTYSAZAOH
|
Proposal # 741 Similarity: 6.79ppm PQJANMBSKIQODN
|
|
Proposal # 742 Similarity: 6.80ppm MQTFXWJPMMTXMC
|
Proposal # 743 Similarity: 6.81ppm YMBYEUFEANCEES
|
Proposal # 744 Similarity: 6.83ppm CXBLNEPUCIPFDL
|
|
Proposal # 745 Similarity: 6.84ppm RQRGVKVEPQJBQF
|
Proposal # 746 Similarity: 6.84ppm FYEQVPGLZXQRLD
|
Proposal # 747 Similarity: 6.84ppm ZZRGQGAUFNNEIG
|
|
Proposal # 748 Similarity: 6.84ppm UJKUJNSIRHJVAZ
|
Proposal # 749 Similarity: 6.85ppm DTIUQAFUFMGYNG
|
Proposal # 750 Similarity: 6.85ppm SRWRRHVBNSGPMS
|
|
Proposal # 751 Similarity: 6.85ppm YHRDEOJYZVNJGB
|
Proposal # 752 Similarity: 6.87ppm IYNQZCCVARMZRA
|
Proposal # 753 Similarity: 6.87ppm CQMSKBBVVXLOSS
|
|
Proposal # 754 Similarity: 6.89ppm AMUPWXLJMOKVKF
|
Proposal # 755 Similarity: 6.89ppm XWDMUYWYLGLEKK
|
Proposal # 756 Similarity: 6.90ppm CEYFAOWZIIDTNO
|
|
Proposal # 757 Similarity: 6.90ppm ALHRNNRCDDODKW
|
Proposal # 758 Similarity: 6.90ppm CYPIYCHPYBHJDI
|
Proposal # 759 Similarity: 6.92ppm GCIKLRDUJRQWSH
|
|
Proposal # 760 Similarity: 6.92ppm AWJQUXXYNWGGTR
|
Proposal # 761 Similarity: 6.92ppm STXCAPWAXKQCOX
|
Proposal # 762 Similarity: 6.93ppm RNJGZBFRJHTOJA
|
|
Proposal # 763 Similarity: 6.93ppm ATHFXEPTZBSOMS
|
Proposal # 764 Similarity: 6.93ppm FNUNJEUUXBFQGD
|
Proposal # 765 Similarity: 6.93ppm MQKOJVKSECRKGN
|
|
Proposal # 766 Similarity: 6.94ppm JAQWFEAFMPTNDA
|
Proposal # 767 Similarity: 6.94ppm ZDIQNMWTOOEYPN
|
Proposal # 768 Similarity: 6.95ppm LZJBGVMUXHVIAP
|
|
Proposal # 769 Similarity: 6.96ppm NCGLTIMLSVFZOD
|
Proposal # 770 Similarity: 6.96ppm OHDFYGCJBVSOGY
|
Proposal # 771 Similarity: 6.97ppm LVAQOARHOAGCAO
|
|
Proposal # 772 Similarity: 6.97ppm WAURMVYRHDKPLM
|
Proposal # 773 Similarity: 6.99ppm QBIDRRMWNSSSAW
|
Proposal # 774 Similarity: 6.99ppm PEMPWVDBGVLGSW
|
|
Proposal # 775 Similarity: 7.00ppm XYIHLBLEQCTFQC
|
Proposal # 776 Similarity: 7.03ppm HAHKLXLSKRVAFT
|
Proposal # 777 Similarity: 7.03ppm SWFSCYXOXUEVJL
|
|
Proposal # 778 Similarity: 7.04ppm RZBABQLRGRTKGM
|
Proposal # 779 Similarity: 7.04ppm KFVVFIDUSXVMGW
|
Proposal # 780 Similarity: 7.05ppm JDACEFJXIRIWJC
|
|
Proposal # 781 Similarity: 7.06ppm XESXFUDDIKDMCH
|
Proposal # 782 Similarity: 7.08ppm XMAVICADDXXRPS
|
Proposal # 783 Similarity: 7.09ppm PSKAKLFYJYQILW
|
|
Proposal # 784 Similarity: 7.09ppm GGYJGDRJSXBNGF
|
Proposal # 785 Similarity: 7.09ppm FLSQQPPWJKKVEI
|
Proposal # 786 Similarity: 7.11ppm CGEGROZKJRFCSP
|
|
Proposal # 787 Similarity: 7.13ppm QSUJKCCIPHMKMO
|
Proposal # 788 Similarity: 7.13ppm SKQKMDDKUFOGSW
|
Proposal # 789 Similarity: 7.14ppm ZUUZOMKSPSJAGL
|
|
Proposal # 790 Similarity: 7.14ppm ROMDLIKUZYGVLL
|
Proposal # 791 Similarity: 7.15ppm KMTVOXBTFOSARY
|
Proposal # 792 Similarity: 7.15ppm DCFXHZXVIAKUDH
|
|
Proposal # 793 Similarity: 7.16ppm CXIQFYVPCPLJHQ
|
Proposal # 794 Similarity: 7.16ppm KKBVBNODYHQPSH
|
Proposal # 795 Similarity: 7.16ppm VMZSPPZNSBXDCD
|
|
Proposal # 796 Similarity: 7.16ppm JKQKHYMAWYLWBI
|
Proposal # 797 Similarity: 7.18ppm LKDUVSNQVYLVPT
|
Proposal # 798 Similarity: 7.18ppm GLIXEGBKNYFSJT
|
|
Proposal # 799 Similarity: 7.18ppm JJZWDCYXPNEFGS
|
Proposal # 800 Similarity: 7.20ppm FXQBIQZWUGHNJD
|
Proposal # 801 Similarity: 7.20ppm HYPVEBSEVWKXID
|
|
Proposal # 802 Similarity: 7.20ppm BUIKEQSHDLHMEH
|
Proposal # 803 Similarity: 7.20ppm ZUPMVPKAIUKIQX
|
Proposal # 804 Similarity: 7.22ppm GTBPPSJEUHGQFH
|
|
Proposal # 805 Similarity: 7.23ppm FHDMXPIYRYZFRT
|
Proposal # 806 Similarity: 7.24ppm XEINEFFUWZCZIS
|
Proposal # 807 Similarity: 7.24ppm OKCOETPNMLUZGX
|
|
Proposal # 808 Similarity: 7.25ppm RLEPWFPFRCQJGC
|
Proposal # 809 Similarity: 7.25ppm VYLMYZSMNQGQAP
|
Proposal # 810 Similarity: 7.26ppm ORCHKHGFZQYINY
|
|
Proposal # 811 Similarity: 7.26ppm OAECSUIPEFWKPK
|
Proposal # 812 Similarity: 7.29ppm PPJYMRDLDUMDAZ
|
Proposal # 813 Similarity: 7.31ppm NFZLVQJTQGGESQ
|
|
Proposal # 814 Similarity: 7.33ppm LOEPTAKDLPPYBQ
|
Proposal # 815 Similarity: 7.34ppm LESDCGLLDJFIOG
|
Proposal # 816 Similarity: 7.34ppm XHCUVYSAFCRIOD
|
|
Proposal # 817 Similarity: 7.34ppm BSKNFJGAWMVESU
|
Proposal # 818 Similarity: 7.35ppm XUUWTMBVLWQCDO
|
Proposal # 819 Similarity: 7.35ppm NNGXFFPLXNAIGA
|
|
Proposal # 820 Similarity: 7.37ppm HZZHUYHPCXGSFT
|
Proposal # 821 Similarity: 7.38ppm AZFZWZXQVMDPFC
|
Proposal # 822 Similarity: 7.38ppm IMUDHVIIGSNMBD
|
|
Proposal # 823 Similarity: 7.38ppm ZGVBYEHSPWZIPD
|
Proposal # 824 Similarity: 7.38ppm KPJJXEDXMRLVRY
|
Proposal # 825 Similarity: 7.40ppm ZKDNTVLGIJGKNE
|
|
Proposal # 826 Similarity: 7.41ppm ZWLVLVSZWBMMJR
|
Proposal # 827 Similarity: 7.41ppm POVIWPSTGNUGPL
|
Proposal # 828 Similarity: 7.42ppm TZNWXGMRNUWRIH
|
|
Proposal # 829 Similarity: 7.43ppm UXMBYZGIYCXUDJ
|
Proposal # 830 Similarity: 7.44ppm PJGQPGWRVPLPSG
|
Proposal # 831 Similarity: 7.44ppm ANICZIYDZFOMJT
|
|
Proposal # 832 Similarity: 7.45ppm HRYDHGGNTDMKIR
|
Proposal # 833 Similarity: 7.48ppm UGRVRHOPLCAMOW
|
Proposal # 834 Similarity: 7.48ppm BDSITWLWYNTTMF
|
|
Proposal # 835 Similarity: 7.50ppm PWLGTHQGTBZPTE
|
Proposal # 836 Similarity: 7.52ppm XLCGKPCSMUITNI
|
Proposal # 837 Similarity: 7.53ppm MGWKLWWFWWGYEX
|
|
Proposal # 838 Similarity: 7.54ppm XXGLKSPYODJQDF
|
Proposal # 839 Similarity: 7.55ppm JCJLKACWLISPJM
|
Proposal # 840 Similarity: 7.55ppm ILQKOJUYAZALGW
|
|
Proposal # 841 Similarity: 7.56ppm FRDASPUIXZIXRM
|
Proposal # 842 Similarity: 7.56ppm GKBDKXJTJHVUSI
|
Proposal # 843 Similarity: 7.58ppm GPVFUCUZSFRCBD
|
|
Proposal # 844 Similarity: 7.61ppm GXOXBPYHENRAJU
|
Proposal # 845 Similarity: 7.62ppm NDHCMBBZKUPYDT
|
Proposal # 846 Similarity: 7.63ppm PPQGKFYRXPLOKA
|
|
Proposal # 847 Similarity: 7.63ppm GDLGSRZQXGBQNZ
|
Proposal # 848 Similarity: 7.64ppm NOTRDPFOXAZXGG
|
Proposal # 849 Similarity: 7.66ppm CWBFHGYEEJKMNS
|
|
Proposal # 850 Similarity: 7.66ppm IWRPZUSOIKBFGC
|
Proposal # 851 Similarity: 7.68ppm PUWWISQCHJMJRT
|
Proposal # 852 Similarity: 7.69ppm WIBLXZNWKRVBQO
|
|
Proposal # 853 Similarity: 7.70ppm LWDGSXOHMCWAJV
|
Proposal # 854 Similarity: 7.74ppm UATIBHDCRPZMKF
|
Proposal # 855 Similarity: 7.74ppm WUHJNWVEPOPCPW
|
|
Proposal # 856 Similarity: 7.75ppm VZCQJESETBERLH
|
Proposal # 857 Similarity: 7.76ppm MSCWFLPFAPPPHW
|
Proposal # 858 Similarity: 7.76ppm ACFYJAHHRJGZOF
|
|
Proposal # 859 Similarity: 7.77ppm YFBPAJTVEPEGNJ
|
Proposal # 860 Similarity: 7.77ppm YDRZVDBUMRAPCL
|
Proposal # 861 Similarity: 7.81ppm CGVRVCZYCMFUGV
|
|
Proposal # 862 Similarity: 7.82ppm CNDNWPLYFRPZFO
|
Proposal # 863 Similarity: 7.83ppm WFBNZUOVVPVBAI
|
Proposal # 864 Similarity: 7.85ppm CAFWUEIARLMVCF
|
|
Proposal # 865 Similarity: 7.87ppm LPWKHACMSMMBHW
|
Proposal # 866 Similarity: 7.88ppm RLUZPBCBIKDJQO
|
Proposal # 867 Similarity: 7.88ppm CFYOIKVSWBYANX
|
|
Proposal # 868 Similarity: 7.89ppm IULBCSNEPWIEBU
|
Proposal # 869 Similarity: 7.91ppm SKQDVWRZQDLDOE
|
Proposal # 870 Similarity: 7.91ppm XGKWIZYCJBFHGG
|
|
Proposal # 871 Similarity: 7.91ppm INHRMDFPCCLWAI
|
Proposal # 872 Similarity: 7.93ppm MRFFFWBODOTLBN
|
Proposal # 873 Similarity: 7.94ppm XEXYMKZRUPYHQB
|
|
Proposal # 874 Similarity: 7.95ppm MZSJKCFQIWKNBG
|
Proposal # 875 Similarity: 7.95ppm RGDHSNVATBKANL
|
Proposal # 876 Similarity: 7.95ppm ILTMAZZRZGJRNP
|
|
Proposal # 877 Similarity: 7.97ppm ROOGNSUFMSGUNH
|
Proposal # 878 Similarity: 7.97ppm VXQPBHNGJORSES
|
Proposal # 879 Similarity: 7.98ppm PHFSENCUMYFIHP
|
|
Proposal # 880 Similarity: 8.00ppm ZGACKMFQABYTDH
|
Proposal # 881 Similarity: 8.00ppm VIBLZRUEROPQDV
|
Proposal # 882 Similarity: 8.01ppm OKYAUWMGLYDVSA
|
|
Proposal # 883 Similarity: 8.04ppm NZGZDQQEZANSEI
|
Proposal # 884 Similarity: 8.04ppm BQTJHZFOMCVYJY
|
Proposal # 885 Similarity: 8.05ppm IFHVWZLZFPVYTR
|
|
Proposal # 886 Similarity: 8.06ppm PNVHLLHTDPTRTI
|
Proposal # 887 Similarity: 8.07ppm NXJJNCGBZGCRCF
|
Proposal # 888 Similarity: 8.07ppm YCXXLZFSLUKRKV
|
|
Proposal # 889 Similarity: 8.12ppm FZPZXJHBHPZJIV
|
Proposal # 890 Similarity: 8.15ppm KUCBXEGMWHPESA
|
Proposal # 891 Similarity: 8.16ppm NMTCZYQYSPEKQB
|
|
Proposal # 892 Similarity: 8.16ppm DSEPYSZXCCFMMM
|
Proposal # 893 Similarity: 8.18ppm APOCTKPUDXIOSW
|
Proposal # 894 Similarity: 8.18ppm XKPZKWMQSPLIHX
|
|
Proposal # 895 Similarity: 8.19ppm LKMXUIOMHLTODE
|
Proposal # 896 Similarity: 8.20ppm MVEJCHXTMIYXND
|
Proposal # 897 Similarity: 8.22ppm XFGCUACNFFZSMZ
|
|
Proposal # 898 Similarity: 8.22ppm CCAXATNKAPMPRN
|
Proposal # 899 Similarity: 8.25ppm AALVCMHHJNUEKS
|
Proposal # 900 Similarity: 8.25ppm OPDBQZIYHCSUFF
|
|
Proposal # 901 Similarity: 8.28ppm GWNBVBXXTVZYLT
|
Proposal # 902 Similarity: 8.29ppm MIUNGTQKYMMTSH
|
Proposal # 903 Similarity: 8.29ppm IRRFPLJTSIVBIO
|
|
Proposal # 904 Similarity: 8.29ppm QNWIMLYUQQEBKD
|
Proposal # 905 Similarity: 8.30ppm HMCIHHDSBIGCIS
|
Proposal # 906 Similarity: 8.31ppm RSLWQMBGXFPEEI
|
|
Proposal # 907 Similarity: 8.34ppm FHHJAXLWYXXPPA
|
Proposal # 908 Similarity: 8.36ppm ONLRWSQHONTJSB
|
Proposal # 909 Similarity: 8.37ppm WLAKJPRSKIFJNV
|
|
Proposal # 910 Similarity: 8.39ppm JQMAZEQKPMXYAG
|
Proposal # 911 Similarity: 8.39ppm BIBUQSDVXWTSCU
|
Proposal # 912 Similarity: 8.39ppm PMNYAVZYRYDOGE
|
|
Proposal # 913 Similarity: 8.39ppm IAAXIESTIXMMTM
|
Proposal # 914 Similarity: 8.43ppm BIBCRGAKDITBIX
|
Proposal # 915 Similarity: 8.44ppm FKPGDFNQVHVOHU
|
|
Proposal # 916 Similarity: 8.45ppm ZBRZSAYVRZQLEL
|
Proposal # 917 Similarity: 8.45ppm MTWSZGICPPUBLX
|
Proposal # 918 Similarity: 8.45ppm FBUCNKOIJHXZRV
|
|
Proposal # 919 Similarity: 8.46ppm BDUAMPXYFKBMGL
|
Proposal # 920 Similarity: 8.47ppm HIYYJNMJJMIJTM
|
Proposal # 921 Similarity: 8.47ppm LTWOCPQGTBQPNW
|
|
Proposal # 922 Similarity: 8.48ppm WRPQDXBIRGJRDL
|
Proposal # 923 Similarity: 8.51ppm ZGEVYQNDKZUCQB
|
Proposal # 924 Similarity: 8.52ppm ROFWGECSYCIHGK
|
|
Proposal # 925 Similarity: 8.54ppm ROFZTRXMBIXIIW
|
Proposal # 926 Similarity: 8.57ppm HEAYEDABHMFTEZ
|
Proposal # 927 Similarity: 8.60ppm HHDOSOYVZXCDHP
|
|
Proposal # 928 Similarity: 8.61ppm LUPFWISHVGWAHL
|
Proposal # 929 Similarity: 8.68ppm RFYPUMBTDZUQOC
|
Proposal # 930 Similarity: 8.71ppm XUHOKOYVQFIPDE
|
|
Proposal # 931 Similarity: 8.76ppm SJLIKBZSRGDEOG
|
Proposal # 932 Similarity: 8.81ppm KPOVWAWGDOJXMU
|
Proposal # 933 Similarity: 8.85ppm SDOIXFCBXGXTPJ
|
|
Proposal # 934 Similarity: 8.90ppm GKVPATJONROWIT
|
Proposal # 935 Similarity: 8.92ppm QFRJWQGNPFNVHI
|
Proposal # 936 Similarity: 8.93ppm UIOIGGLGOQGPGN
|
|
Proposal # 937 Similarity: 9.22ppm UYBMHMSSBHIGOX
|
Proposal # 938 Similarity: 9.37ppm ZVTJEXRIRRAHPL
|
Proposal # 939 Similarity: 9.59ppm UQYJEMSOANBGAM
|
|
Proposal # 940 Similarity: 9.66ppm AXGFSLQMHYQRGP
|
Proposal # 941 Similarity: 9.74ppm HUTMNKADWVJWCC
|
Proposal # 942 Similarity: 9.75ppm NMUTZELLHRYIOC
|
|
Proposal # 943 Similarity: 9.80ppm LRSWHDRPXKFZOB
|
Proposal # 944 Similarity: 9.82ppm URKSZTZMEWWHDL
|
Proposal # 945 Similarity: 9.92ppm HHSASRXTABFABS
|
|
Proposal # 946 Similarity: 9.97ppm CPFIOHYUUIIMPD
|
Proposal # 947 Similarity: 10.00ppm OHYGXLHJQRANLG
|
Proposal # 948 Similarity: 10.14ppm PNTOKVOVTATJRJ
|
|
Proposal # 949 Similarity: 10.84ppm RXOHVXSBRUGVAX
|
Proposal # 950 Similarity: 10.92ppm VHHPLTVVQXFVFY
|
Proposal # 951 Similarity: 11.53ppm LJFUNJGWMCAJSX
|
|
Proposal # 952 Similarity: 13.13ppm NKRUNFSNJWKIAK
|
Proposal # 953 Similarity: 14.20ppm NAFIFZZVEJYJJZ
|
Proposal # 954 Similarity: 15.41ppm LSNKELPMSMDTJW
|
|
Proposal # 955 Similarity: 15.92ppm HNKROZYNJPPQMH
|
Proposal # 956 Similarity: 16.70ppm KGUHWQOFBQJFLY
|
Proposal # 957 Similarity: 16.88ppm KOKNXFJNTUMPLB
|
|
Proposal # 958 Similarity: 17.02ppm ZICPYWCWOCTMAW
|
Proposal # 959 Similarity: 17.21ppm OCGAPVMPEUBCCG
|
|
Proposal # 2 Similarity: 1.49ppm QIGKGUOGTKWXBN
|
Proposal # 349 Similarity: 5.14ppm SHPFCZWXXSGGBT PUBCHEM
|
Proposal # 358 Similarity: 5.20ppm ROAPJZRPDMTCNF
|
|
Proposal # 386 Similarity: 5.33ppm ZJNCGYDEFAZZGK PUBCHEM
|
Proposal # 615 Similarity: 6.27ppm NDRMZMCLDSVWQC PUBCHEM
|
Summary of searching for alternative Structures
Project: MOLECULES,18,7436[2013]CSEARCH-NUMBER:UWIR009013-20141115 | ||||||||||||||||
| ||||||||||||||||
| Your proposal | Best proposal | Best proposal (out of 5) which exists either in CSEARCH or PUBCHEM |
||||||||||||||
|
Deviation = 5.20 ppm Position = 358 |
Deviation = 1.44 ppm |
Deviation = 1.49 ppm Position = 2 |
||||||||||||||
Number of reasonable alternative structures: 164 Project: MOLECULES,18,7436[2013]CSEARCH-NUMBER:UWIR009013-20141115 Compound: 3-HYDROXY-17-ACETAMIDO-ANDROST-4-EN-6-ONE_COMPOUND-8 | ||||||||||||||||
![]() |
![]() |
![]() |
||||||||||||||
| ||||||||||||||||