Automatic Evaluation Report from CSEARCH
created on 2021-04-27 at 09:40:30
based on 340,554 reference spectra




Did you know ?

The CSEARCH-databases used for the evaluation of your requests
will be expanded by 15,000 entries per year !






Request from: molecules@robien.at

Compound: 5-O-FERUOYLQUINIC-ACID_COMPOUND-5

Project: MOLECULES,19,3973[2014]CSEARCH-NUMBER:UWBT014512-20150808



Database Number of Entries Owner of Database


Please cite the CSEARCH-Robot-Referee as:

N. Haider, W. Robien; https://c13nmr.at/c13robot/robot.php


 CSEARCH 
74,997 (A) CSEARCH-Data / Wolfgang Robien
 CSEARCH 
56,549 (B) CSEARCH-Data / Wolfgang Robien
 CSEARCH 
28,196 (C) CSEARCH-Data / Wolfgang Robien
 CSEARCH 
33,587 (D) CSEARCH-Data / Wolfgang Robien
 CSEARCH 
39,132 (E) CSEARCH-Data / Wolfgang Robien + NMR-Database University of Mainz
 CSEARCH 
26,196 (F) CSEARCH-Data / Wolfgang Robien
 CSEARCH 
50,594 (I) Upcoming CSEARCH-Data / Wolfgang Robien
 CSEARCH 
31,307 (L) NMRShiftDB-Data / Version February 2012

CSEARCH-Version: 9.4.0
Robot-Referee: 2017:06:10





Request from: molecules@robien.at

Compound: 5-O-FERUOYLQUINIC-ACID_COMPOUND-5

Project: MOLECULES,19,3973[2014]CSEARCH-NUMBER:UWBT014512-20150808

Recommendation given here

Details of Prediction given here



Summary of Supplied Data

Understanding the Color Coding Scheme







The NMR-Spectrum for this compound is available in commercial & non-commercial databases
All Spectra from NMRPREDICT, SPECINFO, NMRShiftDB, MESTRENOVA and
CSEARCH (including spectra not yet released) were screened




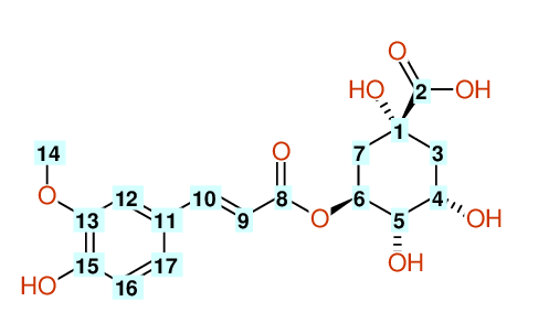
Structure Proposal

Structural diagram

Molecular formula is: C17H20O9     Molecular weight is: 368.35 amu

INCHIKEY is: RAGZUCNPTLULOL-LWOZFZEPBP



Numbering Scheme derived from the drawing sequence used during the calculation

Structural diagram


The marked carbons have been fully assigned

Structural diagram


Carbon number Chemical Shift Value Multiplicity from Structure Multiplicity from Experiment

1 73.41 S -
2 173.57 S -
3 33.39 T -
4 67.63 D -
5 64.96 D -
6 71.06 D -
7 48.66 T -
8 161.50 S -
9 115.86 D -
10 145.66 D -
11 121.38 S -
12 113.91 D -
13 165.18 S -
14 51.83 Q -
15 148.53 S -
16 114.59 D -
17 116.69 D -




The marked carbons have been fully assigned

Structural diagram


Graphical summary of the Chemical Shift Data

Spectrum






Searching external databases





The NMR-Spectrum for this compound is available in commercial & non-commercial databases
All Spectra from NMRPREDICT, SPECINFO, NMRShiftDB, MESTRENOVA and
CSEARCH (including spectra not yet released) were screened


Recall this Compound from PUBCHEM ( Stereo-Match from searching 138,184,003 compounds )


Skeleton-match found at Emolecules - 4,400,967 Compounds searched


Search the Internet for this compound ( Skeleton only )
Search the Internet for this compound ( Skeleton + Stereochemistry )


Search CHEMSPIDER for this compound ( Skeleton only )
Search CHEMSPIDER for this compound ( Skeleton + Stereochemistry )


Search the Internet for the molecular formula C17H20O9


Search CHEMSPIDER for the molecular formula C17H20O9



(Description)






Basic Evaluation: Checking Multiplicities




Checking lines & multiplicity Carbons/Lines Singlet Dublet Triplet Quartet Odd Even None

From structure 17 6 8 2 1 8 9 0
From spectrum 17 6 8 2 1 8 9 0


Overall impression on compatibility of multiplicity from structure and experiment

Quality bar






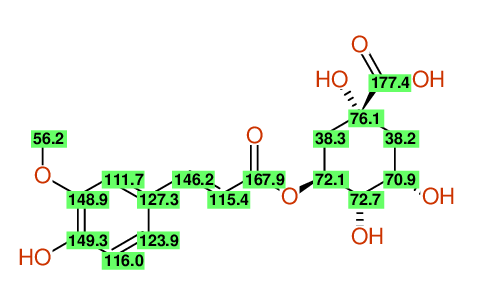
Evaluation based on Spectrum Prediction







Numbering Scheme

Structural diagram



Carbon Number Neural Network
Prediction
HOSE-Code
Prediction
Preferred Value
from both Predictions
Experimental
values
Difference
(Exp-Pred/ppm)
Assignment Prediction Quality
1 75.8 76.1 76.1 73.4 2.7 Assigned by author
Check assignment - maybe 64.96 ?
Inconsistent assignments in reference material
2 177.3 177.4 177.4 173.6 3.8 Assigned by author Inconsistent assignments in reference material
3 40.4 38.2 38.2 33.4 4.9 Assigned by author Inconsistent assignments in reference material
4 69.2 70.9 70.9 67.6 3.3 Assigned by author
Check assignment - maybe 71.06 ?
Inconsistent assignments in reference material
5 73.1 72.7 72.7 65.0 7.8 Assigned by author
Check assignment - maybe 73.41 ?
Inconsistent assignments in reference material
6 68.9 72.1 72.1 71.1 1.0 Assigned by author
Check assignment - maybe 67.63 ?
Inconsistent assignments in reference material
7 36.9 38.3 38.3 48.7 10.3 Assigned by author Inconsistent assignments in reference material
8 168.1 167.9 167.9 161.5 6.4 Assigned by author
Check assignment - maybe 165.18 ?
Inconsistent assignments in reference material
9 117.9 115.4 115.4 115.9 0.4 Assigned by author
Check assignment - maybe 114.59 ?
Inconsistent assignments in reference material
10 146.6 146.2 146.2 145.7 0.6 Assigned by author
11 127.3 127.3 127.3 121.4 5.9 Assigned by author
Check assignment - maybe 116.69 ?
Inconsistent assignments in reference material
12 111.7 111.7 111.7 113.9 2.2 Assigned by author Inconsistent assignments in reference material
13 148.8 148.9 148.9 165.2 16.3 Assigned by author
Check assignment - maybe 148.53 ?
Inconsistent assignments in reference material
14 56.8 56.2 56.2 51.8 4.4 Assigned by author Inconsistent assignments in reference material
15 150.0 149.3 149.3 148.5 0.8 Assigned by author
Check assignment - maybe 161.50 ?
16 116.1 116.0 116.0 114.6 1.5 Assigned by author
Check assignment - maybe 115.86 ?
17 123.2 123.9 123.9 116.7 7.2 Assigned by author
Check assignment - maybe 121.38 ?
Inconsistent assignments in reference material
  Absolute  
Signed
   5.01ppm   (17)  
   -1.20ppm   (17)  
   4.66ppm   (17)  
   -1.23ppm   (17)  
   4.66ppm   (17)  
   -1.23ppm   (17)  


   4.23ppm   (17)  
   -1.23ppm   (17)  
Average deviation to experimental values
( Number of shift pairs used )

Structure representation by reference data over 5.0 shells on average



Visualization of the differences between predicted and experimental values

Spectrum


Quality of the Spectrum Prediction

Quality bar



Experimental Chemical Shift Values as given

Structural diagram


Experimental Chemical Shift Values using Symmetry

Structural diagram


Preferred Chemical Shift Values from both predictions

Structural diagram


Carbons with massive contribution from stereochemistry

Structural diagram


Comparison of Prediction Techniques

Spectrum


Contribution of the methods

HOSE NET NET&HOSE NONE
Structural diagram


Similarity between predicted and experimental data based on positions

Quality bar



Matching map of predicted versus experimental data

Structural diagram


Differences between predicted and experimental data in ppm

Structural diagram


Comparison of Experimental versus Predicted Chemical Shift Values

Spectrum


Overall deviation between predicted and experimental data is 4.7ppm

Quality bar



Spectrum
Spectrum
Spectrum


  Your assignment  
 Difference to predicted values 
Highlighting
Highlighting








1 Entry found when searching CSEARCH for identical structures

(Description)





Identical structure:
Entry # 1 of 1

PHYTOCHEM.,35,209(1994)

Solvent: CD3OD

17 carbons given
17 lines given
3 assigned lines
14 exchangeable shifts


C17H20O9
Spectrum

RAGZUCNPTLULOL

Search Structure on WEB

Availability of spectral data



Structure








No alternative structure found when searching CSEARCH for identical spectra

(Description)












Overall Impression


Major revision
Quality bar



Major revision necessary; high probability for errors




Compound: 5-O-FERUOYLQUINIC-ACID_COMPOUND-5

Project: MOLECULES,19,3973[2014]CSEARCH-NUMBER:UWBT014512-20150808


Major revision


The CSEARCH Robot Referee recommends: Major revision necessary; high probability for errors

Check integrity of page via electronic fingerprint



Experimental values
Highlighting
Predicted values
Highlighting
Matching map
Highlighting
Deviation per position ( Average is 4.7ppm )
Highlighting
Carbons having strong stereochemical effects
Highlighting
Contribution of methods
HOSE NET NET&HOSE NONE
Highlighting
Overall Similarity Index is 4.3
0.0 is a "perfect match", up to approximately 3.0 it is "reasonable",
above 5.0 it is more or less "unbelievable"

  Your assignment  
 Difference to predicted values 
Highlighting
Highlighting


The NMR-Spectrum for this compound is available in commercial & non-commercial databases
All Spectra from NMRPREDICT, SPECINFO, NMRShiftDB, MESTRENOVA and
CSEARCH (including spectra not yet released) were screened


Recall this Compound from PUBCHEM ( Stereo-Match from searching 138,184,003 compounds )


Skeleton-match found at Emolecules - 4,400,967 Compounds searched


Search the Internet for this compound ( Skeleton only )
Search the Internet for this compound ( Skeleton + Stereochemistry )


Search CHEMSPIDER for this compound ( Skeleton only )
Search CHEMSPIDER for this compound ( Skeleton + Stereochemistry )


Search the Internet for the molecular formula C17H20O9


Search CHEMSPIDER for the molecular formula C17H20O9



(Description)



Your Total Usage of the CSEARCH-Robot-Referee




   679 Requests have been launched by molecules@robien.at   


  Year  


  Accept  


  Minor Revision  


  Major Revision  


  Reject  


  Only Prediction  

2021 36 450 164 29





Top




Page has been automatically written by CSEARCH
CPU-Usage: Evaluation needed 9.123 seconds
Wolfgang.Robien(at)univie.ac.at