Automatic Evaluation Report from CSEARCH
created on 2021-04-26 at 15:52:30
based on 340,554 reference spectra




Did you know ?

"ACCEPT AS IT IS" occurs only in very rare cases !
Even a very minor inconsistency in the data forces the
CSEARCH-Robot-Referee to classify a request as "MINOR REVISION"






Request from: molecules@robien.at

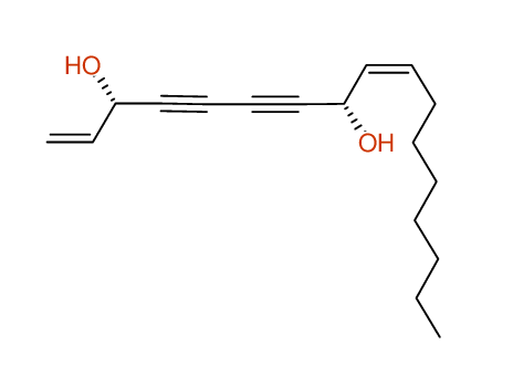
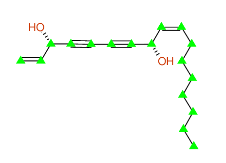
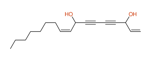
Compound: [3S,8S,Z]-HEPTADECA-1,9-DIEN-4,6-DIYNE-3,8-DIOL_[3S,8S]-FALCARINDIOL_COMPOUND-

Project: MOLECULES,19,6142[2014]CSEARCH-NUMBER:UWIR014457-20180129



Database Number of Entries Owner of Database


Please cite the CSEARCH-Robot-Referee as:

N. Haider, W. Robien; https://c13nmr.at/c13robot/robot.php


 CSEARCH 
74,997 (A) CSEARCH-Data / Wolfgang Robien
 CSEARCH 
56,549 (B) CSEARCH-Data / Wolfgang Robien
 CSEARCH 
28,196 (C) CSEARCH-Data / Wolfgang Robien
 CSEARCH 
33,587 (D) CSEARCH-Data / Wolfgang Robien
 CSEARCH 
39,132 (E) CSEARCH-Data / Wolfgang Robien + NMR-Database University of Mainz
 CSEARCH 
26,196 (F) CSEARCH-Data / Wolfgang Robien
 CSEARCH 
50,594 (I) Upcoming CSEARCH-Data / Wolfgang Robien
 CSEARCH 
31,307 (L) NMRShiftDB-Data / Version February 2012

CSEARCH-Version: 9.4.0
Robot-Referee: 2017:06:10





Request from: molecules@robien.at

Compound: [3S,8S,Z]-HEPTADECA-1,9-DIEN-4,6-DIYNE-3,8-DIOL_[3S,8S]-FALCARINDIOL_COMPOUND-

Project: MOLECULES,19,6142[2014]CSEARCH-NUMBER:UWIR014457-20180129

Recommendation given here

Details of Prediction given here



Summary of Supplied Data

Understanding the Color Coding Scheme







The NMR-Spectrum for this compound is available in commercial & non-commercial databases
All Spectra from NMRPREDICT, SPECINFO, NMRShiftDB, MESTRENOVA and
CSEARCH (including spectra not yet released) were screened




Structure Proposal

Structural diagram

Molecular formula is: C17H24O2     Molecular weight is: 260.38 amu

INCHIKEY is: QWCNQXNAFCBLLV-RCQSYPNMBP



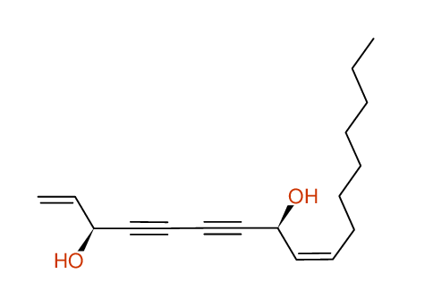
Numbering Scheme derived from the drawing sequence used during the calculation

Structural diagram


The marked carbons have been fully assigned

Structural diagram


Carbon number Chemical Shift Value Multiplicity from Structure Multiplicity from Experiment

1 117.20 T -
2 135.80 D -
3 63.30 D -
4 78.30 S -
5 70.20 S -
6 68.60 S -
7 79.80 S -
8 58.40 D -
9 134.40 D -
10 127.60 D -
11 27.60 T -
12 29.00 T -
13 29.20 T -
14 29.10 T -
15 22.60 T -
16 31.70 T -
17 14.00 Q -




The marked carbons have been fully assigned

Structural diagram


Graphical summary of the Chemical Shift Data

Spectrum






Searching external databases





The NMR-Spectrum for this compound is available in commercial & non-commercial databases
All Spectra from NMRPREDICT, SPECINFO, NMRShiftDB, MESTRENOVA and
CSEARCH (including spectra not yet released) were screened


Recall this Compound from PUBCHEM ( Stereo-Match from searching 138,184,003 compounds )


Stereo-match found at Emolecules - 4,400,967 Compounds searched


Search the Internet for this compound ( Skeleton only )
Search the Internet for this compound ( Skeleton + Stereochemistry )


Search CHEMSPIDER for this compound ( Skeleton only )
Search CHEMSPIDER for this compound ( Skeleton + Stereochemistry )


Search the Internet for the molecular formula C17H24O2


Search CHEMSPIDER for the molecular formula C17H24O2



(Description)






Basic Evaluation: Checking Multiplicities




Checking lines & multiplicity Carbons/Lines Singlet Dublet Triplet Quartet Odd Even None

From structure 17 4 5 7 1 11 6 0
From spectrum 17 4 5 7 1 11 6 0


Overall impression on compatibility of multiplicity from structure and experiment

Quality bar






Evaluation based on Spectrum Prediction







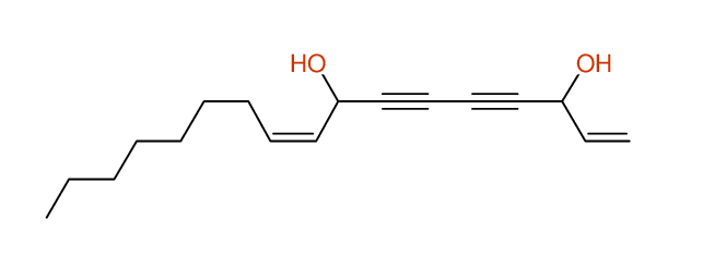
Numbering Scheme

Structural diagram



Carbon Number Neural Network
Prediction
HOSE-Code
Prediction
Preferred Value
from both Predictions
Experimental
values
Difference
(Exp-Pred/ppm)
Assignment Prediction Quality
1 116.9 117.2 117.2 117.2 0.0 Assigned by author
2 134.9 135.9 135.9 135.8 0.1 Assigned by author
3 63.9 63.4 63.4 63.3 0.1 Assigned by author
4 81.5 78.9 78.9 78.3 0.6 Assigned by author
5 70.9 70.2 70.2 70.2 0.0 Assigned by author
6 71.6 68.8 68.8 68.6 0.2 Assigned by author
7 80.8 79.2 79.2 79.8 0.6 Assigned by author
8 59.8 58.6 58.6 58.4 0.2 Assigned by author
9 128.1 128.6 128.6 134.4 5.8 Assigned by author
Check assignment - maybe 127.60 ?
Inconsistent assignments in reference material
10 134.2 133.8 133.8 127.6 6.2 Assigned by author
Check assignment - maybe 134.40 ?
Inconsistent assignments in reference material
11 28.7 28.6 28.6 27.6 1.0 Assigned by author
12 29.5 29.2 29.2 29.0 0.2 Assigned by author
Check assignment - maybe 29.20 ?
13 29.0 29.1 29.1 29.2 0.1 Assigned by author
Check assignment - maybe 29.00 ?
14 29.3 29.1 29.1 29.1 0.0 Assigned by author
15 31.8 31.4 31.4 22.6 8.8 Assigned by author
Check assignment - maybe 31.70 ?
Inconsistent assignments in reference material
16 23.5 22.8 22.8 31.7 8.9 Assigned by author
Check assignment - maybe 22.60 ?
Inconsistent assignments in reference material
17 14.0 14.1 14.1 14.0 0.1 Assigned by author
  Absolute  
Signed
   2.54ppm   (17)  
   -0.68ppm   (17)  
   1.93ppm   (17)  
   -0.13ppm   (17)  
   1.93ppm   (17)  
   -0.13ppm   (17)  


   0.31ppm   (17)  
   -0.13ppm   (17)  
Average deviation to experimental values
( Number of shift pairs used )

Structure representation by reference data over 5.0 shells on average



Visualization of the differences between predicted and experimental values

Spectrum


Quality of the Spectrum Prediction

Quality bar



Experimental Chemical Shift Values as given

Structural diagram


Experimental Chemical Shift Values using Symmetry

Structural diagram


Preferred Chemical Shift Values from both predictions

Structural diagram


Carbons with massive contribution from stereochemistry

Structural diagram


Comparison of Prediction Techniques

Spectrum


Contribution of the methods

HOSE NET NET&HOSE NONE
Structural diagram


Similarity between predicted and experimental data based on positions

Quality bar



Matching map of predicted versus experimental data

Structural diagram


Differences between predicted and experimental data in ppm

Structural diagram


Comparison of Experimental versus Predicted Chemical Shift Values

Spectrum


Overall deviation between predicted and experimental data is 1.9ppm

Quality bar



Spectrum
Spectrum
Spectrum


  Your assignment  
 Difference to predicted values 
Highlighting
Highlighting








14 Entries found when searching CSEARCH for identical structures

(Description)





Identical structure:
Entry # 1 of 14

PLANTA.MED.,62,256(1996)

Solvent: CDCL3

17 carbons given
17 lines given
12 assigned lines
5 exchangeable shifts


C17H24O2
Spectrum

QWCNQXNAFCBLLV

Search Structure on WEB

Availability of spectral data



Structure


Identical structure:
Entry # 2 of 14

J.NAT.PROD.,62,626(1999)

Solvent: CDCL3

17 carbons given
17 lines given
17 assigned lines
0 exchangeable shifts


C17H24O2
Spectrum

QWCNQXNAFCBLLV

Search Structure on WEB

Availability of spectral data



Structure


Identical structure:
Entry # 3 of 14

CHEM.PHARM.BULL.,47,96(1999)

Solvent: CDCL3

17 carbons given
17 lines given
17 assigned lines
0 exchangeable shifts


C17H24O2
Spectrum

QWCNQXNAFCBLLV

Search Structure on WEB

Availability of spectral data



Structure


Identical structure:
Entry # 4 of 14

J.CHIN.CHEM.SOC.,49,427(2002)

Solvent: CDCL3

17 carbons given
17 lines given
17 assigned lines
0 exchangeable shifts


C17H24O2
Spectrum

QWCNQXNAFCBLLV

Search Structure on WEB

Availability of spectral data



Structure


Identical structure:
Entry # 5 of 14

PHYTOCHEM.,65,331(2004)

Solvent: CDCL3

17 carbons given
17 lines given
17 assigned lines
0 exchangeable shifts


C17H24O2
Spectrum

QWCNQXNAFCBLLV

Search Structure on WEB

Availability of spectral data



Structure


Identical structure:
Entry # 6 of 14

UNI_MAINZ,INTERNAL_DB(2007)

Solvent: UNKNOWN

17 carbons given
17 lines given
17 assigned lines
0 exchangeable shifts


C17H24O2
Spectrum

QWCNQXNAFCBLLV

Search Structure on WEB

Availability of spectral data



Structure


Identical structure:
Entry # 7 of 14

J.NAT.PROD.,73,801(2010)

Solvent: CDCL3

17 carbons given
17 lines given
17 assigned lines
0 exchangeable shifts


C17H24O2
Spectrum

QWCNQXNAFCBLLV

Search Structure on WEB

Availability of spectral data



Structure


Identical structure:
Entry # 8 of 14

J.NAT.PROD.,73,801(2010)

Solvent: CDCL3

17 carbons given
17 lines given
17 assigned lines
0 exchangeable shifts


C17H24O2
Spectrum

QWCNQXNAFCBLLV

Search Structure on WEB

Availability of spectral data



Structure


Identical structure:
Entry # 9 of 14

J.NAT.PROD.,73,801(2010)

Solvent: C6D6

17 carbons given
17 lines given
17 assigned lines
0 exchangeable shifts


C17H24O2
Spectrum

QWCNQXNAFCBLLV

Search Structure on WEB

Availability of spectral data



Structure


Identical structure:
Entry # 10 of 14

J.NAT.PROD.,73,801(2010)

Solvent: CDCL3

17 carbons given
17 lines given
17 assigned lines
0 exchangeable shifts


C17H24O2
Spectrum

QWCNQXNAFCBLLV

Search Structure on WEB

Availability of spectral data



Structure


Identical structure:
Entry # 11 of 14

J.NAT.PROD.,73,801(2010)

Solvent: CDCL3

17 carbons given
17 lines given
17 assigned lines
0 exchangeable shifts


C17H24O2
Spectrum

QWCNQXNAFCBLLV

Search Structure on WEB

Availability of spectral data



Structure


Identical structure:
Entry # 12 of 14

J.NAT.PROD.,73,801(2010)

Solvent: CDCL3

17 carbons given
17 lines given
17 assigned lines
0 exchangeable shifts


C17H24O2
Spectrum

QWCNQXNAFCBLLV

Search Structure on WEB

Availability of spectral data



Structure


Identical structure:
Entry # 13 of 14

AS.J.TRAD.MED.,1,7(2006)

Solvent: U

17 carbons given
17 lines given
17 assigned lines
0 exchangeable shifts


C17H24O2
Spectrum

QWCNQXNAFCBLLV

Search Structure on WEB

Availability of spectral data



Structure


Identical structure:
Entry # 14 of 14

NMRSHIFTDB.ORG-PROJECT(FEB_2012)

Solvent: UNKNOWN

17 carbons given
17 lines given
17 assigned lines
0 exchangeable shifts


C17H24O2
Spectrum

QWCNQXNAFCBLLV

Search Structure on WEB

Availability of spectral data



Structure








No alternative structure found when searching CSEARCH for identical spectra

(Description)












Overall Impression


Minor revision
Quality bar



Minor revision might be necessary - please check




Compound: [3S,8S,Z]-HEPTADECA-1,9-DIEN-4,6-DIYNE-3,8-DIOL_[3S,8S]-FALCARINDIOL_COMPOUND-

Project: MOLECULES,19,6142[2014]CSEARCH-NUMBER:UWIR014457-20180129


Minor revision


The CSEARCH Robot Referee recommends: Minor revision might be necessary - please check

Check integrity of page via electronic fingerprint



Experimental values
Highlighting
Predicted values
Highlighting
Matching map
Highlighting
Deviation per position ( Average is 1.9ppm )
Highlighting
Carbons having strong stereochemical effects
Highlighting
Contribution of methods
HOSE NET NET&HOSE NONE
Highlighting
Overall Similarity Index is 1.8
0.0 is a "perfect match", up to approximately 3.0 it is "reasonable",
above 5.0 it is more or less "unbelievable"

  Your assignment  
 Difference to predicted values 
Highlighting
Highlighting


The NMR-Spectrum for this compound is available in commercial & non-commercial databases
All Spectra from NMRPREDICT, SPECINFO, NMRShiftDB, MESTRENOVA and
CSEARCH (including spectra not yet released) were screened


Recall this Compound from PUBCHEM ( Stereo-Match from searching 138,184,003 compounds )


Stereo-match found at Emolecules - 4,400,967 Compounds searched


Search the Internet for this compound ( Skeleton only )
Search the Internet for this compound ( Skeleton + Stereochemistry )


Search CHEMSPIDER for this compound ( Skeleton only )
Search CHEMSPIDER for this compound ( Skeleton + Stereochemistry )


Search the Internet for the molecular formula C17H24O2


Search CHEMSPIDER for the molecular formula C17H24O2



(Description)






History of your requests for this compound


  Date/Time      Result         Method        Assigned  
Lines
  Unassigned  
Lines
  Stereoisomer     Permanent URL       Remark     Comparison of experimental and
predicted data (Evaluation only)
2021-03-01
06:55:26
Minor Evaluation 17 0 NO Spectrum
2021-04-11
07:19:30
Minor Evaluation 17 0 NO Spectrum
This request Minor Evaluation 17 0 Spectrum



Your Total Usage of the CSEARCH-Robot-Referee




   666 Requests have been launched by molecules@robien.at   


  Year  


  Accept  


  Minor Revision  


  Major Revision  


  Reject  


  Only Prediction  

2021 36 447 162 21





Top




Page has been automatically written by CSEARCH
CPU-Usage: Evaluation needed 8.449 seconds
Wolfgang.Robien(at)univie.ac.at