Did you know ? |
Your query structure is automatically matched against the PUBCHEM-collection, |
|
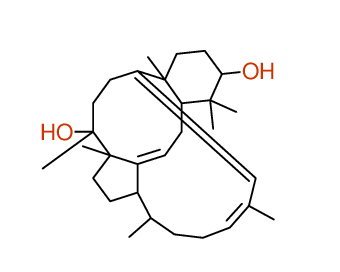
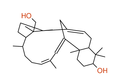
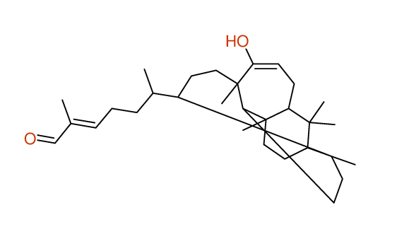
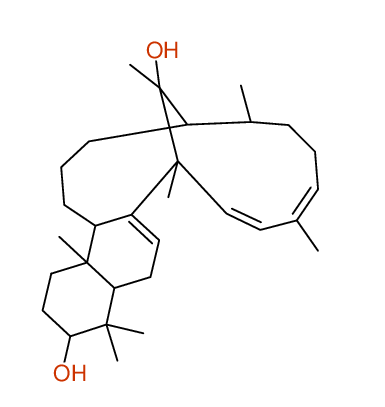
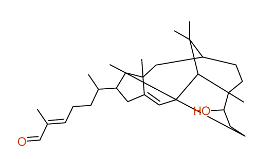
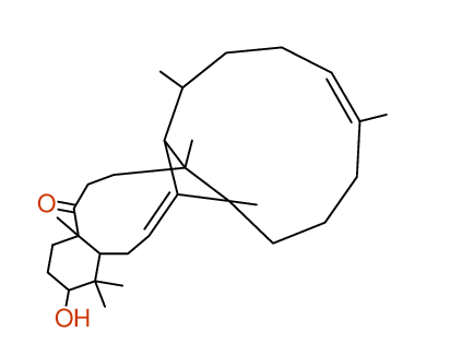
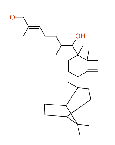
Request from: cpb.kiusianin@robien.org Compound: KIUSIANIN-A_3-BETA-HYDROXY-LANOSTANE-7,[24E]-DIEN-26-AL_COMPOUND-1 Project: CHEM.PHARM.BULL.,62,937[2014]CSEARCH-NUMBER:UWBT013934-20160521 |
![]() |
|
Compound: KIUSIANIN-A_3-BETA-HYDROXY-LANOSTANE-7,[24E]-DIEN-26-AL_COMPOUND-1 Project: CHEM.PHARM.BULL.,62,937[2014]CSEARCH-NUMBER:UWBT013934-20160521 |
|




| Carbon number | Chemical Shift Value | Multiplicity from Structure | Multiplicity from Experiment |
| 1 | 37.20 | T | - |
| 2 | 27.70 | T | - |
| 3 | 79.30 | D | - |
| 4 | 39.00 | S | - |
| 5 | 27.60 | Q | - |
| 6 | 14.70 | Q | - |
| 7 | 50.70 | D | - |
| 8 | 24.00 | T | - |
| 9 | 118.10 | D | - |
| 10 | 145.70 | S | - |
| 11 | 49.00 | D | - |
| 12 | 35.00 | S | - |
| 13 | 13.10 | Q | - |
| 14 | 18.10 | T | - |
| 15 | 33.80 | T | - |
| 16 | 51.20 | S | - |
| 17 | 21.90 | Q | - |
| 18 | 52.90 | D | - |
| 19 | 28.30 | T | - |
| 20 | 34.00 | T | - |
| 21 | 43.60 | S | - |
| 22 | 27.30 | Q | - |
| 23 | 36.10 | D | - |
| 24 | 18.20 | Q | - |
| 25 | 34.70 | T | - |
| 26 | 26.10 | T | - |
| 27 | 155.50 | D | - |
| 28 | 139.20 | S | - |
| 29 | 195.40 | D | - |
| 30 | 9.20 | Q | - |



| Checking lines & multiplicity | Carbons/Lines | Singlet | Dublet | Triplet | Quartet | Odd | Even | None |
| From structure | 30 | 6 | 8 | 9 | 7 | 15 | 15 | 0 |
| From spectrum | 30 | 6 | 8 | 9 | 7 | 15 | 15 | 0 |


| Carbon Number | Neural Network Prediction |
HOSE-Code Prediction |
Preferred Value from both Predictions |
Experimental values |
Difference (Exp-Pred/ppm) |
Assignment | Prediction Quality |
|---|---|---|---|---|---|---|---|
| 1 | 37.3 | 36.9 | 36.9 | 37.2 | 0.3 | Assigned by author | |
| 2 | 27.4 | 27.5 | 27.5 | 27.7 | 0.2 | Assigned by author Check assignment - maybe 27.60 ? |
|
| 3 | 78.8 | 79.1 | 79.1 | 79.3 | 0.2 | Assigned by author | |
| 4 | 38.1 | 38.4 | 38.4 | 39.0 | 0.6 | Assigned by author | |
| 5 | 25.5 | 25.9 | 25.9 | 27.6 | 1.7 | Assigned by author Check assignment - maybe 27.30 ? |
|
| 6 | 16.8 | 17.0 | 17.0 | 14.7 | 2.3 | Assigned by author Check assignment - maybe 18.10 ? |
Inconsistent assignments in reference material |
| 7 | 50.3 | 50.4 | 50.4 | 50.7 | 0.3 | Assigned by author | |
| 8 | 24.1 | 24.0 | 24.0 | 24.0 | 0.0 | Assigned by author | |
| 9 | 120.7 | 118.1 | 118.1 | 118.1 | 0.0 | Assigned by author | Inconsistent assignments in reference material |
| 10 | 144.4 | 146.5 | 146.5 | 145.7 | 0.8 | Assigned by author | |
| 11 | 45.4 | 48.2 | 48.2 | 49.0 | 0.8 | Assigned by author | |
| 12 | 36.2 | 35.0 | 35.0 | 35.0 | 0.0 | Assigned by author | |
| 13 | 16.5 | 15.5 | 15.5 | 13.1 | 2.4 | Assigned by author Check assignment - maybe 14.70 ? |
Inconsistent assignments in reference material |
| 14 | 22.0 | 20.4 | 20.4 | 18.1 | 2.3 | Assigned by author Check assignment - maybe 21.90 ? |
Inconsistent assignments in reference material |
| 15 | 31.3 | 32.9 | 32.9 | 33.8 | 0.9 | Assigned by author | |
| 16 | 44.9 | 43.9 | 43.9 | 51.2 | 7.3 | Assigned by author Check assignment - maybe 43.60 ? |
Inconsistent assignments in reference material |
| 17 | 16.4 | 19.5 | 19.5 | 21.9 | 2.4 | Assigned by author Check assignment - maybe 13.10 ? |
Inconsistent assignments in reference material |
| 18 | 50.4 | 52.7 | 52.7 | 52.9 | 0.2 | Assigned by author | |
| 19 | 28.5 | 28.5 | 28.5 | 28.3 | 0.2 | Assigned by author | |
| 20 | 31.3 | 32.8 | 32.8 | 34.0 | 1.2 | Assigned by author | |
| 21 | 51.9 | 50.3 | 50.3 | 43.6 | 6.7 | Assigned by author Check assignment - maybe 51.20 ? |
Inconsistent assignments in reference material |
| 22 | 24.8 | 26.2 | 26.2 | 27.3 | 1.1 | Assigned by author Check assignment - maybe 26.10 ? |
|
| 23 | 36.4 | 36.1 | 36.1 | 36.1 | 0.0 | Assigned by author | |
| 24 | 18.7 | 18.6 | 18.6 | 18.2 | 0.4 | Assigned by author | |
| 25 | 35.0 | 34.7 | 34.7 | 34.7 | 0.0 | Assigned by author | |
| 26 | 26.4 | 25.9 | 25.9 | 26.1 | 0.2 | Assigned by author Check assignment - maybe 27.70 ? |
|
| 27 | 156.7 | 155.3 | 155.3 | 155.5 | 0.2 | Assigned by author | |
| 28 | 137.4 | 139.2 | 139.2 | 139.2 | 0.0 | Assigned by author | |
| 29 | 192.9 | 195.2 | 195.2 | 195.4 | 0.2 | Assigned by author | Inconsistent assignments in reference material |
| 30 | 9.5 | 10.0 | 10.0 | 9.2 | 0.8 | Assigned by author |







| HOSE | NET | NET&HOSE | NONE |









| ||
![]() |
![]() |
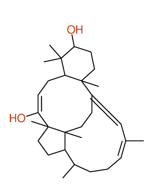
| Identical structure: Entry # 1 of 1 |
CHEM.PHARM.BULL.,62,937(2014) |
|
| Solvent: CDCL3 30 carbons given 30 lines given 30 assigned lines 0 exchangeable shifts C30H48O2 |
![]() |
|
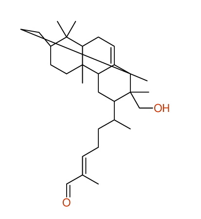
CXPKYCXFLMPMEZ Search Structure on WEB Availability of spectral data ![]() |
![]() |
|
|
![]()
Compound: KIUSIANIN-A_3-BETA-HYDROXY-LANOSTANE-7,[24E]-DIEN-26-AL_COMPOUND-1 |
|
| Experimental values | ||||
![]() | ||||
| Predicted values | ||||
![]() | ||||
| Matching map | ||||
![]() | ||||
| Deviation per position ( Average is 1.1ppm ) | ||||
![]() | ||||
![]() | ||||
| ||||
![]() | ||||
| Overall Similarity Index is 1.5 0.0 is a "perfect match", up to approximately 3.0 it is "reasonable", above 5.0 it is more or less "unbelievable" |
| ||
![]() |
![]() |
| Carbon | Experimental shift value |
NN-Value | Difference to experimental value |
HOSE-Value | Difference to experimental value |
Best-Value | Difference to experimental value |
Total Deviation |
| 1 | 37.20 | 37.33 | 0.13 | 36.89 | 0.31 | 36.89 | 0.31 | 0.76 |
| 2 | 27.70 | 27.36 | 0.34 | 27.55 | 0.15 | 27.55 | 0.15 | 0.64 |
| 3 | 79.30 | 78.84 | 0.46 | 79.06 | 0.24 | 79.06 | 0.24 | 0.93 |
| 4 | 39.00 | 38.10 | 0.90 | 38.43 | 0.57 | 38.43 | 0.57 | 2.03 |
| 5 | 27.60 | 25.47 | 2.13 | 25.95 | 1.65 | 25.95 | 1.65 | 5.44 |
| 6 | 14.70 | 16.79 | 2.09 | 17.04 | 2.34 | 17.04 | 2.34 | 6.77 |
| 7 | 50.70 | 50.28 | 0.42 | 50.39 | 0.31 | 50.39 | 0.31 | 1.05 |
| 8 | 24.00 | 24.12 | 0.12 | 23.96 | 0.04 | 23.96 | 0.04 | 0.20 |
| 9 | 118.10 | 120.75 | 2.65 | 118.12 | 0.02 | 118.12 | 0.02 | 2.70 |
| 10 | 145.70 | 144.41 | 1.29 | 146.49 | 0.79 | 146.49 | 0.79 | 2.86 |
| 11 | 49.00 | 45.41 | 3.59 | 48.20 | 0.80 | 48.20 | 0.80 | 5.18 |
| 12 | 35.00 | 36.22 | 1.22 | 35.00 | 0.00 | 35.00 | 0.00 | 1.22 |
| 13 | 13.10 | 16.51 | 3.41 | 15.51 | 2.41 | 15.51 | 2.41 | 8.22 |
| 14 | 18.10 | 22.02 | 3.92 | 20.39 | 2.29 | 20.39 | 2.29 | 8.50 |
| 15 | 33.80 | 31.32 | 2.48 | 32.95 | 0.85 | 32.95 | 0.85 | 4.18 |
| 16 | 51.20 | 44.93 | 6.27 | 43.94 | 7.26 | 43.94 | 7.26 | 20.80 |
| 17 | 21.90 | 16.38 | 5.52 | 19.47 | 2.43 | 19.47 | 2.43 | 10.39 |
| 18 | 52.90 | 50.36 | 2.54 | 52.75 | 0.15 | 52.75 | 0.15 | 2.84 |
| 19 | 28.30 | 28.53 | 0.23 | 28.50 | 0.20 | 28.50 | 0.20 | 0.64 |
| 20 | 34.00 | 31.25 | 2.75 | 32.84 | 1.16 | 32.84 | 1.16 | 5.07 |
| 21 | 43.60 | 51.92 | 8.32 | 50.30 | 6.70 | 50.30 | 6.70 | 21.72 |
| 22 | 27.30 | 24.77 | 2.53 | 26.17 | 1.13 | 26.17 | 1.13 | 4.80 |
| 23 | 36.10 | 36.39 | 0.29 | 36.10 | 0.00 | 36.10 | 0.00 | 0.29 |
| 24 | 18.20 | 18.73 | 0.53 | 18.57 | 0.37 | 18.57 | 0.37 | 1.26 |
| 25 | 34.70 | 34.98 | 0.28 | 34.73 | 0.03 | 34.73 | 0.03 | 0.35 |
| 26 | 26.10 | 26.36 | 0.26 | 25.88 | 0.22 | 25.88 | 0.22 | 0.70 |
| 27 | 155.50 | 156.72 | 1.22 | 155.27 | 0.23 | 155.27 | 0.23 | 1.67 |
| 28 | 139.20 | 137.43 | 1.77 | 139.19 | 0.01 | 139.19 | 0.01 | 1.79 |
| 29 | 195.40 | 192.88 | 2.52 | 195.17 | 0.23 | 195.17 | 0.23 | 2.98 |
| 30 | 9.20 | 9.48 | 0.28 | 9.99 | 0.79 | 9.99 | 0.79 | 1.87 |
| 2.02 | 1.12 | 1.12 | 4.26 |


|
| |
|
Structure Proposal # 1 JKSVGWKRBGMKSK Deviation = 1.07ppm
Search WEB for skeleton |
|
![]()
|
|
|
Structure Proposal # 2 CWBDHGOOOHDUSI Deviation = 1.09ppm
Search WEB for skeleton |
|
![]()
|
|
|
Structure Proposal # 3 KPXXUBUIUMGJPK Deviation = 1.09ppm
Search WEB for skeleton |
|
![]()
|
|
|
Structure Proposal # 4 DULAMDCQQMATDZ Deviation = 1.09ppm
Search WEB for skeleton |
|
![]()
|
|
|
Structure Proposal # 5 YATBTGMUNQLOHF Deviation = 1.11ppm
Search WEB for skeleton |
|
![]()
|
|
|
Structure Proposal # 6 QJQFEYHWNNKGML Deviation = 1.13ppm
Search WEB for skeleton |
|
![]()
|
|
|
Structure Proposal # 7 RRKQABNBEDWYFD Deviation = 1.14ppm
Search WEB for skeleton |
|
![]()
|
|
|
Structure Proposal # 8 VIABRYOFVWUCKL Deviation = 1.15ppm
Search WEB for skeleton |
|
![]()
|
|
|
Structure Proposal # 9 TYDCRRJWYVUSFQ Deviation = 1.16ppm
Search WEB for skeleton |
|
![]()
|
|
|
Structure Proposal # 10 BGQHDAJKRNUSRJ Deviation = 1.17ppm
Search WEB for skeleton |
|
![]()
|
|
|
Structure Proposal # 11 JUZKZKSNVZTOSB Deviation = 1.18ppm
Search WEB for skeleton |
|
![]()
|
|
|
Structure Proposal # 12 TVVYDBJVRUBSRY Deviation = 1.19ppm
Search WEB for skeleton respect to your proposal |
|
![]()
|
|
|
Structure Proposal # 13 KGIVKQSOXZYESX Deviation = 1.22ppm
Search WEB for skeleton |
|
![]()
|
|
|
Structure Proposal # 14 AVWXCKBKECWFNM Deviation = 1.22ppm
Search WEB for skeleton |
|
![]()
|
|
|
Structure Proposal # 15 DIKDTUOYPIBOQK Deviation = 1.23ppm
Search WEB for skeleton |
|
![]()
|
|
|
Structure Proposal # 16 XXCVMZYDMFZAPE Deviation = 1.23ppm
Search WEB for skeleton |
|
![]()
|
|
|
Structure Proposal # 17 JQYWROXMQXWMEP Deviation = 1.23ppm
Search WEB for skeleton |
|
![]()
|
|
|
Structure Proposal # 18 XWDMUUQWGNPLMS Deviation = 1.23ppm
Search WEB for skeleton |
|
![]()
|
|
|
Structure Proposal # 19 KPURHZPIDKMJRC Deviation = 1.24ppm
Search WEB for skeleton |
|
![]()
|
|
|
Structure Proposal # 20 AIJSVTVLJYXZRW Deviation = 1.25ppm
Search WEB for skeleton |
|
![]()
|
|
|
Structure Proposal # 21 VIYUJKAGYWUZFU Deviation = 1.25ppm
Search WEB for skeleton |
|
![]()
|
|
|
Structure Proposal # 22 GWWKXPOGRRXEHW Deviation = 1.26ppm
Search WEB for skeleton |
|
![]()
|
|
|
Structure Proposal # 23 SZVNNVPCDROBQO Deviation = 1.27ppm
Search WEB for skeleton |
|
![]()
|
|
|
Structure Proposal # 24 PKJSUAGTGZURCA Deviation = 1.27ppm
Search WEB for skeleton |
|
![]()
|
|
|
Structure Proposal # 25 XCIQUKFFQOEAPV Deviation = 1.27ppm
Search WEB for skeleton |
|
![]()
|
|
|
Structure Proposal # 26 QDTWHDRPYSKXBK Deviation = 1.27ppm
Search WEB for skeleton |
|
![]()
|
|
|
Structure Proposal # 27 NALNZZUBGXBRJA Deviation = 1.28ppm
Search WEB for skeleton |
|
![]()
|
|
|
Structure Proposal # 28 SYNARKRWVDVEIP Deviation = 1.28ppm
Search WEB for skeleton |
|
![]()
|
|
|
Structure Proposal # 29 MFXWZLFTZNGHHJ Deviation = 1.29ppm
Search WEB for skeleton |
|
![]()
|
|
|
Structure Proposal # 30 XXLHGJGWKISRLE Deviation = 1.29ppm
Search WEB for skeleton |
|
![]()
|
|
|
Structure Proposal # 31 NMIWNXSNXRVKCH Deviation = 1.29ppm
Search WEB for skeleton |
|
![]()
|
|
|
Structure Proposal # 32 KZQKNIBJPCWJCP Deviation = 1.30ppm
Search WEB for skeleton |
|
![]()
|
|
|
Structure Proposal # 33 RJKSDGCDWZPZTQ Deviation = 1.30ppm
Search WEB for skeleton respect to your proposal |
|
![]()
|
|
|
Structure Proposal # 34 AGTPNCZYLJDALA Deviation = 1.30ppm
Search WEB for skeleton |
|
![]()
|
|
|
Structure Proposal # 35 FRPAVEFYGFDWNI Deviation = 1.30ppm
Search WEB for skeleton |
|
![]()
|
|
|
Structure Proposal # 36 XFPYCRACSSOZAP Deviation = 1.30ppm
Search WEB for skeleton |
|
![]()
|
|
|
Structure Proposal # 37 SLRIQCIKZHHTJS Deviation = 1.30ppm
Search WEB for skeleton |
|
![]()
|
|
|
Structure Proposal # 38 HNIHGIPYKQTOJO Deviation = 1.30ppm
Search WEB for skeleton respect to your proposal |
|
![]()
|
|
|
Structure Proposal # 39 YGIYLTUIASSJPW Deviation = 1.31ppm
Search WEB for skeleton |
|
![]()
|
|
|
Structure Proposal # 40 TXXHJQZTSNMXGE Deviation = 1.31ppm
Search WEB for skeleton |
|
![]()
|
|
|
Structure Proposal # 41 RTVMCRXMAFPHIA Deviation = 1.31ppm
Search WEB for skeleton |
|
![]()
|
|
|
Structure Proposal # 42 FVLWGZWKHAKEDJ Deviation = 1.31ppm
Search WEB for skeleton |
|
![]()
|
|
|
Structure Proposal # 43 CWBKVPITGBSPNO Deviation = 1.31ppm
Search WEB for skeleton |
|
![]()
|
|
|
Structure Proposal # 44 YMPNAUXCNICYEX Deviation = 1.32ppm
Search WEB for skeleton |
|
![]()
|
|
|
Structure Proposal # 45 QVHWECUTMODLCO Deviation = 1.32ppm
Search WEB for skeleton |
|
![]()
|
|
|
Structure Proposal # 46 NGWNWGRBKGRDHW Deviation = 1.32ppm
Search WEB for skeleton |
|
![]()
|
|
|
Structure Proposal # 47 SLQJIQPTLWWDCM Deviation = 1.33ppm
Search WEB for skeleton |
|
![]()
|
|
|
Structure Proposal # 48 IJQPVHLOKVTELS Deviation = 1.34ppm
Search WEB for skeleton |
|
![]()
|
|
|
Structure Proposal # 49 WZHVZUILAMDYCK Deviation = 1.34ppm
Search WEB for skeleton |
|
![]()
|
|
|
Structure Proposal # 50 ZPHBLIHVNGZGER Deviation = 1.35ppm
Search WEB for skeleton respect to your proposal |
|
![]()
|
|
|
Structure Proposal # 51 NGCUNQBYUCNDPJ Deviation = 1.35ppm
Search WEB for skeleton |
|
![]()
|
|
|
Structure Proposal # 52 NURGCSMZUGXEEA Deviation = 1.36ppm
Search WEB for skeleton respect to your proposal |
|
![]()
|
|
|
Structure Proposal # 53 BCPAPQKIIRRTOK Deviation = 1.36ppm
Search WEB for skeleton respect to your proposal |
|
![]()
|
|
|
Structure Proposal # 54 XFBVLJNZVMBNHV Deviation = 1.36ppm
Search WEB for skeleton |
|
![]()
|
|
|
Structure Proposal # 55 OOPPBGLCZDPRHN Deviation = 1.36ppm
Search WEB for skeleton |
|
![]()
|
|
|
Structure Proposal # 56 CXPKYCXFLMPMEZ Deviation = 1.36ppm
Search WEB for skeleton Compound from PUBCHEM CSEARCH ![]() |
|
![]()
|
|
|
Structure Proposal # 57 ARFOJRLYNHPULE Deviation = 1.37ppm
Search WEB for skeleton |
|
![]()
|
|
|
Structure Proposal # 58 DQLJCYYLEIHSRG Deviation = 1.38ppm
Search WEB for skeleton respect to your proposal |
|
![]()
|
|
|
Structure Proposal # 59 PCDKIYLUBWBCKK Deviation = 1.38ppm
Search WEB for skeleton |
|
![]()
|
|
|
Structure Proposal # 60 SSWZWTVUNGHHDK Deviation = 1.38ppm
Search WEB for skeleton |
|
![]()
|
|
|
Structure Proposal # 61 KLDPODWQPPMEOW Deviation = 1.38ppm
Search WEB for skeleton |
|
![]()
|
|
|
Structure Proposal # 62 NDGSJEZEBXNRTL Deviation = 1.38ppm
Search WEB for skeleton respect to your proposal |
|
![]()
|
|
|
Structure Proposal # 63 ULBQYHHOKGYAOV Deviation = 1.39ppm
Search WEB for skeleton respect to your proposal |
|
![]()
|
|
|
Structure Proposal # 64 HMYHYKKECLZZQW Deviation = 1.39ppm
Search WEB for skeleton |
|
![]()
|
|
|
Structure Proposal # 65 SNLUOQDXQAMDAM Deviation = 1.39ppm
Search WEB for skeleton |
|
![]()
|
|
|
Structure Proposal # 66 TWPYDYHTAPLUTP Deviation = 1.40ppm
Search WEB for skeleton |
|
![]()
|
|
|
Structure Proposal # 67 UOAAUMUBVOTSQQ Deviation = 1.40ppm
Search WEB for skeleton respect to your proposal |
|
![]()
|
|
|
Structure Proposal # 68 PPWCSXKJESYRRQ Deviation = 1.40ppm
Search WEB for skeleton respect to your proposal |
|
![]()
|
|
|
Structure Proposal # 69 JMMNSUOAYXYFHF Deviation = 1.41ppm
Search WEB for skeleton |
|
![]()
|
|
|
Structure Proposal # 70 BTZZXXSWVDVFPU Deviation = 1.41ppm
Search WEB for skeleton respect to your proposal |
|
![]()
|
|
|
Structure Proposal # 71 DKSUOTRJEALDRV Deviation = 1.41ppm
Search WEB for skeleton |
|
![]()
|
|
|
Structure Proposal # 72 MIVYEQSDFRIXQJ Deviation = 1.41ppm
Search WEB for skeleton |
|
![]()
|
|
|
Structure Proposal # 73 JNCPUEVRDHHKQV Deviation = 1.41ppm
Search WEB for skeleton |
|
![]()
|
|
|
Structure Proposal # 74 NPYNTYNDBDFNLP Deviation = 1.41ppm
Search WEB for skeleton |
|
![]()
|
|
|
Structure Proposal # 75 UOAGGXADMIMGNL Deviation = 1.41ppm
Search WEB for skeleton |
|
![]()
|
|
|
Structure Proposal # 76 OJVPFJPLOTXLED Deviation = 1.42ppm
Search WEB for skeleton |
|
![]()
|
|
|
Structure Proposal # 77 BZQBLLHNQNUNPL Deviation = 1.42ppm
Search WEB for skeleton respect to your proposal |
|
![]()
|
|
|
Structure Proposal # 78 CVZQQGKTUIVHSC Deviation = 1.42ppm
Search WEB for skeleton |
|
![]()
|
|
|
Structure Proposal # 79 JWTOKYJNDLCRLR Deviation = 1.42ppm
Search WEB for skeleton |
|
![]()
|
|
|
Structure Proposal # 80 XGZQCYMZSIVUIF Deviation = 1.43ppm
Search WEB for skeleton respect to your proposal |
|
![]()
|
|
|
Structure Proposal # 81 BUMITSKYKFXTQK Deviation = 1.43ppm
Search WEB for skeleton |
|
![]()
|
|
|
Structure Proposal # 82 RQQVBLHADCXIMU Deviation = 1.43ppm
Search WEB for skeleton |
|
![]()
|
|
|
Structure Proposal # 83 GWYXOCAJZAJKFG Deviation = 1.43ppm
Search WEB for skeleton |
|
![]()
|
|
|
Structure Proposal # 84 KAMWNMFGCJZGIN Deviation = 1.44ppm
Search WEB for skeleton |
|
![]()
|
|
|
Structure Proposal # 85 OGGWACACNZBDBF Deviation = 1.44ppm
Search WEB for skeleton |
|
![]()
|
|
|
Structure Proposal # 86 UJVFFBDUBIWXSJ Deviation = 1.45ppm
Search WEB for skeleton respect to your proposal |
|
![]()
|
|
|
Structure Proposal # 87 SFMBIKGKDFNKDS Deviation = 1.45ppm
Search WEB for skeleton |
|
![]()
|
|
|
Structure Proposal # 88 JQWXHUKLYGXONB Deviation = 1.45ppm
Search WEB for skeleton respect to your proposal |
|
![]()
|
|
|
Structure Proposal # 89 QGHCINUAHHRIBL Deviation = 1.46ppm
Search WEB for skeleton |
|
![]()
|
|
|
Structure Proposal # 90 SGQJWKGJLMNICF Deviation = 1.46ppm
Search WEB for skeleton |
|
![]()
|
|
|
Structure Proposal # 91 MDZFHDXSFQZLGM Deviation = 1.46ppm
Search WEB for skeleton |
|
![]()
|
|
|
Structure Proposal # 92 UGILXDQJMPMHOO Deviation = 1.47ppm
Search WEB for skeleton respect to your proposal |
|
![]()
|
|
|
Structure Proposal # 93 CTSJYXMREUPNBY Deviation = 1.47ppm
Search WEB for skeleton |
|
![]()
|
|
|
Structure Proposal # 94 GEFHMJVLNFLJGZ Deviation = 1.47ppm
Search WEB for skeleton |
|
![]()
|
|
|
Structure Proposal # 95 RBSCRKSWQOCQQJ Deviation = 1.47ppm
Search WEB for skeleton |
|
![]()
|
|
|
Structure Proposal # 96 XYTSMXOJBOGNIC Deviation = 1.47ppm
Search WEB for skeleton |
|
![]()
|
|
|
Structure Proposal # 97 FFSJAZPTWLPENO Deviation = 1.47ppm
Search WEB for skeleton |
|
![]()
|
|
|
Structure Proposal # 98 FEDHIDDEFJFPKM Deviation = 1.47ppm
Search WEB for skeleton |
|
![]()
|
|
|
Structure Proposal # 99 VCVFGPDPSFNPOI Deviation = 1.47ppm
Search WEB for skeleton |
|
![]()
|
|
|
Structure Proposal # 100 KELMJHZGWCCDJU Deviation = 1.47ppm
Search WEB for skeleton |
|
![]()
|
|
|
Structure Proposal # 101 RODNUBMPVKLXTQ Deviation = 1.48ppm
Search WEB for skeleton |
|
![]()
|
|
|
Structure Proposal # 102 HTEYVERPWXMEOW Deviation = 1.49ppm
Search WEB for skeleton |
|
![]()
|
|
|
Structure Proposal # 103 ITVQGYBGLRDHKL Deviation = 1.49ppm
Search WEB for skeleton |
|
![]()
|
|
|
Structure Proposal # 104 XZKJYPCPJUFVMO Deviation = 1.49ppm
Search WEB for skeleton |
|
![]()
|
|
|
Structure Proposal # 105 DBQSLRWLKQIAJO Deviation = 1.49ppm
Search WEB for skeleton |
|
![]()
|
|
|
Structure Proposal # 106 ZWSFUPKZNKNHLA Deviation = 1.49ppm
Search WEB for skeleton |
|
![]()
|
|
|
Structure Proposal # 107 ZMYKHGSFCIKXAP Deviation = 1.50ppm
Search WEB for skeleton |
|
![]()
|
|
|
Structure Proposal # 108 XJXGQDSCOWKBAH Deviation = 1.50ppm
Search WEB for skeleton |
|
![]()
|
|
|
Structure Proposal # 109 VBBYUAGGYIIVGY Deviation = 1.50ppm
Search WEB for skeleton |
|
![]()
|
|
|
Structure Proposal # 110 JSJUJZVZQQOVCP Deviation = 1.51ppm
Search WEB for skeleton |
|
![]()
|
|
|
Structure Proposal # 111 JQEJOQHWJNFAOI Deviation = 1.51ppm
Search WEB for skeleton respect to your proposal |
|
![]()
|
|
|
Structure Proposal # 112 ZCBZOPHHOSMKTI Deviation = 1.51ppm
Search WEB for skeleton |
|
![]()
|
|
|
Structure Proposal # 113 VOLTYGJEIBMKNX Deviation = 1.51ppm
Search WEB for skeleton |
|
![]()
|
|
|
Structure Proposal # 114 OYOYPQYSRDKMDV Deviation = 1.51ppm
Search WEB for skeleton |
|
![]()
|
|
|
Structure Proposal # 115 NBVCPTAIGNULDL Deviation = 1.51ppm
Search WEB for skeleton respect to your proposal |
|
![]()
|
|
|
Structure Proposal # 116 BJZFNGJWHGMOLX Deviation = 1.51ppm
Search WEB for skeleton |
|
![]()
|
|
|
Structure Proposal # 117 VPTACJBZKDNUPE Deviation = 1.51ppm
Search WEB for skeleton |
|
![]()
|
|
|
Structure Proposal # 118 CIVAVOKBCVTTTJ Deviation = 1.52ppm
Search WEB for skeleton |
|
![]()
|
|
|
Structure Proposal # 119 GYGLPRREXHAXKG Deviation = 1.52ppm
Search WEB for skeleton |
|
![]()
|
|
|
Structure Proposal # 120 OXYSVANESKCOQG Deviation = 1.52ppm
Search WEB for skeleton |
|
![]()
|
|
|
Structure Proposal # 121 WQIAAMQNZBDEDU Deviation = 1.52ppm
Search WEB for skeleton |
|
![]()
|
|
|
Structure Proposal # 122 LELMXQBFNKCTFC Deviation = 1.52ppm
Search WEB for skeleton |
|
![]()
|
|
|
Structure Proposal # 123 DEBIGBYFYMHDPS Deviation = 1.52ppm
Search WEB for skeleton |
|
![]()
|
|
|
Structure Proposal # 124 VLYNYYSRQDZZLF Deviation = 1.52ppm
Search WEB for skeleton |
|
![]()
|
|
|
Structure Proposal # 125 WMBFWACSZLLWCI Deviation = 1.52ppm
Search WEB for skeleton respect to your proposal |
|
![]()
|
|
|
Structure Proposal # 126 LZIGVQXBBNWOHA Deviation = 1.53ppm
Search WEB for skeleton |
|
![]()
|
|
|
Structure Proposal # 127 RPEFPSGIXOSJJI Deviation = 1.53ppm
Search WEB for skeleton respect to your proposal |
|
![]()
|
|
|
Structure Proposal # 128 IXPZVCOEIXZXRB Deviation = 1.53ppm
Search WEB for skeleton |
|
![]()
|
|
|
Structure Proposal # 129 DATCRBVGXAWOIS Deviation = 1.53ppm
Search WEB for skeleton |
|
![]()
|
|
|
Structure Proposal # 130 NNJIAEDNHCLECZ Deviation = 1.53ppm
Search WEB for skeleton respect to your proposal |
|
![]()
|
|
|
Structure Proposal # 131 PXXKUDLEEDZIJU Deviation = 1.53ppm
Search WEB for skeleton |
|
![]()
|
|
|
Structure Proposal # 132 LYJYLTGIVMHWJR Deviation = 1.54ppm
Search WEB for skeleton |
|
![]()
|
|
|
Structure Proposal # 133 CGWONMRZXPPSIC Deviation = 1.54ppm
Search WEB for skeleton respect to your proposal |
|
![]()
|
|
|
Structure Proposal # 134 KLYMCDQWSHLSSC Deviation = 1.54ppm
Search WEB for skeleton |
|
![]()
|
|
|
Structure Proposal # 135 MFFPZJANZICVGX Deviation = 1.54ppm
Search WEB for skeleton |
|
![]()
|
|
|
Structure Proposal # 136 IOZHYZCVLHCZRC Deviation = 1.54ppm
Search WEB for skeleton |
|
![]()
|
|
|
Structure Proposal # 137 PPKQVTOEVMLNBW Deviation = 1.54ppm
Search WEB for skeleton |
|
![]()
|
|
|
Structure Proposal # 138 OQIWUMYXQVBPMY Deviation = 1.54ppm
Search WEB for skeleton |
|
![]()
|
|
|
Structure Proposal # 139 LTUZTWKUZIDSQM Deviation = 1.54ppm
Search WEB for skeleton respect to your proposal |
|
![]()
|
|
|
Structure Proposal # 140 ZDVLYWRMOGKNIL Deviation = 1.54ppm
Search WEB for skeleton |
|
![]()
|
|
|
Structure Proposal # 141 NPFFWWNQIZUFRL Deviation = 1.55ppm
Search WEB for skeleton respect to your proposal |
|
![]()
|
|
|
Structure Proposal # 142 RBFOXQPKVKWLEJ Deviation = 1.55ppm
Search WEB for skeleton respect to your proposal |
|
![]()
|
|
|
Structure Proposal # 143 FZZMNBPZVRNQEK Deviation = 1.55ppm
Search WEB for skeleton |
|
![]()
|
|
|
Structure Proposal # 144 IWMRFJFSIHZEAI Deviation = 1.55ppm
Search WEB for skeleton |
|
![]()
|
|
|
Structure Proposal # 145 PWMFQCAUDOKEQH Deviation = 1.55ppm
Search WEB for skeleton |
|
![]()
|
|
|
Structure Proposal # 146 RHQDARPXLISDDA Deviation = 1.55ppm
Search WEB for skeleton |
|
![]()
|
|
|
Structure Proposal # 147 FGBAJEGSQMEXPB Deviation = 1.56ppm
Search WEB for skeleton respect to your proposal |
|
![]()
|
|
|
Structure Proposal # 148 PMOBXBCZKYSRLF Deviation = 1.56ppm
Search WEB for skeleton respect to your proposal |
|
![]()
|
|
|
Structure Proposal # 149 PWSZAERYUWXQKB Deviation = 1.56ppm
Search WEB for skeleton |
|
![]()
|
|
|
Structure Proposal # 150 SPGLNPXUZNJMRX Deviation = 1.56ppm
Search WEB for skeleton |
|
![]()
|
|
|
Structure Proposal # 151 RVGMHNCMQBSYNJ Deviation = 1.56ppm
Search WEB for skeleton |
|
![]()
|
|
|
Structure Proposal # 152 UKWWNFSQNMPPMX Deviation = 1.57ppm
Search WEB for skeleton |
|
![]()
|
|
|
Structure Proposal # 153 KYMAOAQXIPUOQW Deviation = 1.57ppm
Search WEB for skeleton |
|
![]()
|
|
|
Structure Proposal # 154 OSQHBSNDOKDJRE Deviation = 1.57ppm
Search WEB for skeleton |
|
![]()
|
|
|
Structure Proposal # 155 YVTUATYKFVUXNB Deviation = 1.57ppm
Search WEB for skeleton |
|
![]()
|
|
|
Structure Proposal # 156 QHZVXTVLEDUYKH Deviation = 1.57ppm
Search WEB for skeleton |
|
![]()
|
|
|
Structure Proposal # 157 JZQGNNFXQDFHHG Deviation = 1.57ppm
Search WEB for skeleton |
|
![]()
|
|
|
Structure Proposal # 158 BRZHERSYEPZZOI Deviation = 1.57ppm
Search WEB for skeleton |
|
![]()
|
|
|
Structure Proposal # 159 NSEQAHLRFXLSMJ Deviation = 1.58ppm
Search WEB for skeleton |
|
![]()
|
|
|
Structure Proposal # 160 CNSNXILMCXLTHJ Deviation = 1.58ppm
Search WEB for skeleton |
|
![]()
|
|
|
Structure Proposal # 161 QALAVYSWBWEFQZ Deviation = 1.58ppm
Search WEB for skeleton |
|
![]()
|
|
|
Structure Proposal # 162 QUNLSWLTKZLENY Deviation = 1.58ppm
Search WEB for skeleton |
|
![]()
|
|
|
Structure Proposal # 163 SBOOQFXQBRICLO Deviation = 1.58ppm
Search WEB for skeleton |
|
![]()
|
|
|
Structure Proposal # 164 BOVQUXMQQNHUDF Deviation = 1.59ppm
Search WEB for skeleton |
|
![]()
|
|
|
Structure Proposal # 165 NGMUBHZSZRBCOI Deviation = 1.59ppm
Search WEB for skeleton |
|
![]()
|
|
|
Structure Proposal # 166 YYZUNKSEFLKMGD Deviation = 1.59ppm
Search WEB for skeleton |
|
![]()
|
|
|
Structure Proposal # 167 USSLUWKSRMBFCQ Deviation = 1.59ppm
Search WEB for skeleton |
|
![]()
|
|
|
Structure Proposal # 168 YOBRDQQOTWAOLZ Deviation = 1.60ppm
Search WEB for skeleton respect to your proposal |
|
![]()
|
|
|
Structure Proposal # 169 IYHNOCCFDWKEPB Deviation = 1.60ppm
Search WEB for skeleton |
|
![]()
|
|
|
Structure Proposal # 170 QPAIVWVQYPOWOM Deviation = 1.60ppm
Search WEB for skeleton |
|
![]()
|
|
|
Structure Proposal # 171 VMEIVAWXHHFVEW Deviation = 1.60ppm
Search WEB for skeleton |
|
![]()
|
|
|
Structure Proposal # 172 UKEGAOSKYICLNU Deviation = 1.60ppm
Search WEB for skeleton |
|
![]()
|
|
|
Structure Proposal # 173 HQJNHJPFFYEDEM Deviation = 1.60ppm
Search WEB for skeleton |
|
![]()
|
|
|
Structure Proposal # 174 QKRIRTFJUATQTG Deviation = 1.60ppm
Search WEB for skeleton |
|
![]()
|
|
|
Structure Proposal # 175 PLFQXILUKCSSGW Deviation = 1.60ppm
Search WEB for skeleton |
|
![]()
|
|
|
Structure Proposal # 176 RISBKOVPJBQEMO Deviation = 1.61ppm
Search WEB for skeleton |
|
![]()
|
|
|
Structure Proposal # 177 DYMXTFHYQPPSBN Deviation = 1.61ppm
Search WEB for skeleton |
|
![]()
|
|
|
Structure Proposal # 178 MNKQSTSSQIJPQS Deviation = 1.61ppm
Search WEB for skeleton |
|
![]()
|
|
|
Structure Proposal # 179 NFDLSQPIPAANFF Deviation = 1.62ppm
Search WEB for skeleton |
|
![]()
|
|
|
Structure Proposal # 180 ZXPJWXJXVMMYNV Deviation = 1.62ppm
Search WEB for skeleton |
|
![]()
|
|
|
Structure Proposal # 181 SWAWOAKYWNJDSL Deviation = 1.62ppm
Search WEB for skeleton |
|
![]()
|
|
|
Structure Proposal # 182 QAPVZLDOSUYAJL Deviation = 1.63ppm
Search WEB for skeleton |
|
![]()
|
|
|
Structure Proposal # 183 YWHIWHSKNRRYTN Deviation = 1.63ppm
Search WEB for skeleton respect to your proposal |
|
![]()
|
|
|
Structure Proposal # 184 MEEISSMFNPZMFR Deviation = 1.63ppm
Search WEB for skeleton |
|
![]()
|
|
|
Structure Proposal # 185 YYVOAZUMTRQOIZ Deviation = 1.63ppm
Search WEB for skeleton |
|
![]()
|
|
|
Structure Proposal # 186 FKWPPSGLWAYARL Deviation = 1.63ppm
Search WEB for skeleton |
|
![]()
|
|
|
Structure Proposal # 187 IOKQTEAFMNETEM Deviation = 1.63ppm
Search WEB for skeleton |
|
![]()
|
|
|
Structure Proposal # 188 GWEIDGKDYDBESD Deviation = 1.63ppm
Search WEB for skeleton |
|
![]()
|
|
|
Structure Proposal # 189 UOQSYYDXQMPUEA Deviation = 1.63ppm
Search WEB for skeleton |
|
![]()
|
|
|
Structure Proposal # 190 VRMBZGQMWXIJJV Deviation = 1.63ppm
Search WEB for skeleton |
|
![]()
|
|
|
Structure Proposal # 191 SYBXCTHZEDNITR Deviation = 1.64ppm
Search WEB for skeleton |
|
![]()
|
|
|
Structure Proposal # 192 PVBDQVUCLYEUHZ Deviation = 1.64ppm
Search WEB for skeleton |
|
![]()
|
|
|
Structure Proposal # 193 BZSBZUWHLVMDGF Deviation = 1.64ppm
Search WEB for skeleton |
|
![]()
|
|
|
Structure Proposal # 194 HOTHPNGSMJSTTE Deviation = 1.64ppm
Search WEB for skeleton respect to your proposal |
|
![]()
|
|
|
Structure Proposal # 195 DWBCIPGQGJRNFN Deviation = 1.65ppm
Search WEB for skeleton |
|
![]()
|
|
|
Structure Proposal # 196 NIKFNQGFGNRJSM Deviation = 1.65ppm
Search WEB for skeleton |
|
![]()
|
|
|
Structure Proposal # 197 PZZFXWCTMZJWPK Deviation = 1.66ppm
Search WEB for skeleton respect to your proposal |
|
![]()
|
|
|
Structure Proposal # 198 SGZWXGVWDMCTKJ Deviation = 1.66ppm
Search WEB for skeleton |
|
![]()
|
|
|
Structure Proposal # 199 MSKKQDOVGDLPAC Deviation = 1.66ppm
Search WEB for skeleton |
|
![]()
|
|
|
Structure Proposal # 200 IEJQWUTVBUIJLP Deviation = 1.66ppm
Search WEB for skeleton |
|
![]()
|
|
|
Structure Proposal # 201 VLBBTUVDFUDZFT Deviation = 1.66ppm
Search WEB for skeleton |
|
![]()
|
|
|
Structure Proposal # 202 FDQVQVOJERDQSZ Deviation = 1.66ppm
Search WEB for skeleton |
|
![]()
|
|
|
Structure Proposal # 203 LEKBFIXDWPCZIP Deviation = 1.66ppm
Search WEB for skeleton |
|
![]()
|
|
|
Structure Proposal # 204 AWESMMIYRFTIDY Deviation = 1.66ppm
Search WEB for skeleton |
|
![]()
|
|
|
Structure Proposal # 205 IFCPLRIIUUSELD Deviation = 1.66ppm
Search WEB for skeleton |
|
![]()
|
|
|
Structure Proposal # 206 XHGVATHFFVVUTI Deviation = 1.67ppm
Search WEB for skeleton |
|
![]()
|
|
|
Structure Proposal # 207 TTXJKGYQCSOPFF Deviation = 1.67ppm
Search WEB for skeleton |
|
![]()
|
|
|
Structure Proposal # 208 VRDYBRKHXUGGFW Deviation = 1.67ppm
Search WEB for skeleton |
|
![]()
|
|
|
Structure Proposal # 209 DURVOIYVPCOKEH Deviation = 1.67ppm
Search WEB for skeleton |
|
![]()
|
|
|
Structure Proposal # 210 QTRKDMGTZOQIBV Deviation = 1.68ppm
Search WEB for skeleton |
|
![]()
|
|
|
Structure Proposal # 211 IUKPTYFXAFPSLA Deviation = 1.68ppm
Search WEB for skeleton |
|
![]()
|
|
|
Structure Proposal # 212 ISRFNVUZTSSBRB Deviation = 1.68ppm
Search WEB for skeleton |
|
![]()
|
|
|
Structure Proposal # 213 HLXYXSFJQRSJDC Deviation = 1.68ppm
Search WEB for skeleton |
|
![]()
|
|
|
Structure Proposal # 214 UYAMQDFVVJMADF Deviation = 1.68ppm
Search WEB for skeleton |
|
![]()
|
|
|
Structure Proposal # 215 JJJGFHIFEWQBMG Deviation = 1.68ppm
Search WEB for skeleton respect to your proposal |
|
![]()
|
|
|
Structure Proposal # 216 SKULRPHMVUIRNR Deviation = 1.68ppm
Search WEB for skeleton |
|
![]()
|
|
|
Structure Proposal # 217 KXJNHIUERYXFGS Deviation = 1.68ppm
Search WEB for skeleton respect to your proposal |
|
![]()
|
|
|
Structure Proposal # 218 RJHZOLWUTPCBBR Deviation = 1.68ppm
Search WEB for skeleton |
|
![]()
|
|
|
Structure Proposal # 219 CQFGKLKHESNIIL Deviation = 1.68ppm
Search WEB for skeleton |
|
![]()
|
|
|
Structure Proposal # 220 MHAGUMUCTQJFNB Deviation = 1.69ppm
Search WEB for skeleton respect to your proposal |
|
![]()
|
|
|
Structure Proposal # 221 ICBYTFVNLYIJCS Deviation = 1.69ppm
Search WEB for skeleton |
|
![]()
|
|
|
Structure Proposal # 222 MOISQXHETRDHNH Deviation = 1.69ppm
Search WEB for skeleton |
|
![]()
|
|
|
Structure Proposal # 223 IVXLUIHBMRFSOJ Deviation = 1.69ppm
Search WEB for skeleton |
|
![]()
|
|
|
Structure Proposal # 224 OXQYVFXERKSSEC Deviation = 1.69ppm
Search WEB for skeleton |
|
![]()
|
|
|
Structure Proposal # 225 HJHHKBXKKLVJNJ Deviation = 1.70ppm
Search WEB for skeleton |
|
![]()
|
|
|
Structure Proposal # 226 ONVYWQSDXHNCKX Deviation = 1.70ppm
Search WEB for skeleton |
|
![]()
|
|
|
Structure Proposal # 227 SQPJZMYIUCFXAL Deviation = 1.70ppm
Search WEB for skeleton |
|
![]()
|
|
|
Structure Proposal # 228 OOWJAYAIZXNMHQ Deviation = 1.70ppm
Search WEB for skeleton |
|
![]()
|
|
|
Structure Proposal # 229 WZGZPKPTFKGFEA Deviation = 1.70ppm
Search WEB for skeleton respect to your proposal |
|
![]()
|
|
|
Structure Proposal # 230 CZOUVODQTYKXTR Deviation = 1.70ppm
Search WEB for skeleton |
|
![]()
|
|
|
Structure Proposal # 231 NZYHEONLWKSELD Deviation = 1.71ppm
Search WEB for skeleton |
|
![]()
|
|
|
Structure Proposal # 232 SCEZJYXFEWGKDW Deviation = 1.71ppm
Search WEB for skeleton |
|
![]()
|
|
|
Structure Proposal # 233 WKUVTCTUUSQDMO Deviation = 1.71ppm
Search WEB for skeleton |
|
![]()
|
|
|
Structure Proposal # 234 IMDNUFANRPMLEU Deviation = 1.71ppm
Search WEB for skeleton |
|
![]()
|
|
|
Structure Proposal # 235 UCOXTTADUCYKAZ Deviation = 1.71ppm
Search WEB for skeleton |
|
![]()
|
|
|
Structure Proposal # 236 HMFQTRLKSHPIDJ Deviation = 1.72ppm
Search WEB for skeleton |
|
![]()
|
|
|
Structure Proposal # 237 RNUVXIXXGSSUNL Deviation = 1.72ppm
Search WEB for skeleton respect to your proposal |
|
![]()
|
|
|
Structure Proposal # 238 HBUDHEOOSFNDSO Deviation = 1.72ppm
Search WEB for skeleton respect to your proposal |
|
![]()
|
|
|
Structure Proposal # 239 ODAHVCKJHMJIJI Deviation = 1.72ppm
Search WEB for skeleton |
|
![]()
|
|
|
Structure Proposal # 240 VGKNYEGEUNZAMA Deviation = 1.72ppm
Search WEB for skeleton |
|
![]()
|
|
|
Structure Proposal # 241 CZHNWEUYZVJWCO Deviation = 1.72ppm
Search WEB for skeleton |
|
![]()
|
|
|
Structure Proposal # 242 IHAXPYVOXNHQIY Deviation = 1.72ppm
Search WEB for skeleton respect to your proposal |
|
![]()
|
|
|
Structure Proposal # 243 GUCYBXZXAXQXHG Deviation = 1.72ppm
Search WEB for skeleton respect to your proposal |
|
![]()
|
|
|
Structure Proposal # 244 BAVZPNSSDHOYTE Deviation = 1.72ppm
Search WEB for skeleton |
|
![]()
|
|
|
Structure Proposal # 245 HMPUIVNAOAWCOR Deviation = 1.73ppm
Search WEB for skeleton |
|
![]()
|
|
|
Structure Proposal # 246 XRDJNSUANMYJPX Deviation = 1.73ppm
Search WEB for skeleton |
|
![]()
|
|
|
Structure Proposal # 247 JYNWRKYNCLWCRO Deviation = 1.73ppm
Search WEB for skeleton |
|
![]()
|
|
|
Structure Proposal # 248 ZIBNNILHYXPESG Deviation = 1.73ppm
Search WEB for skeleton |
|
![]()
|
|
|
Structure Proposal # 249 ZRHRHOXMQBVNRZ Deviation = 1.73ppm
Search WEB for skeleton |
|
![]()
|
|
|
Structure Proposal # 250 NEMKFOZWJMACBV Deviation = 1.73ppm
Search WEB for skeleton |
|
![]()
|
|
|
Structure Proposal # 251 ZOVOTUIXZNHEDH Deviation = 1.74ppm
Search WEB for skeleton |
|
![]()
|
|
|
Structure Proposal # 252 VITAWTKGGIEZML Deviation = 1.74ppm
Search WEB for skeleton |
|
![]()
|
|
|
Structure Proposal # 253 ZVHVKWRYJVKENV Deviation = 1.74ppm
Search WEB for skeleton |
|
![]()
|
|
|
Structure Proposal # 254 XPGFOIFGMPJOIY Deviation = 1.74ppm
Search WEB for skeleton |
|
![]()
|
|
|
Structure Proposal # 255 QKNPGPQQDRDJRE Deviation = 1.74ppm
Search WEB for skeleton |
|
![]()
|
|
|
Structure Proposal # 256 WXEITOBGACFEFR Deviation = 1.74ppm
Search WEB for skeleton |
|
![]()
|
|
|
Structure Proposal # 257 QFRNTIAGYLTQPJ Deviation = 1.75ppm
Search WEB for skeleton |
|
![]()
|
|
|
Structure Proposal # 258 BWVWAXGXUQYBEL Deviation = 1.75ppm
Search WEB for skeleton respect to your proposal |
|
![]()
|
|
|
Structure Proposal # 259 DLPZZESCPAIZIF Deviation = 1.75ppm
Search WEB for skeleton |
|
![]()
|
|
|
Structure Proposal # 260 LGDWNWFTLJIDMU Deviation = 1.75ppm
Search WEB for skeleton |
|
![]()
|
|
|
Structure Proposal # 261 QRWNSOJVPOLJPP Deviation = 1.75ppm
Search WEB for skeleton |
|
![]()
|
|
|
Structure Proposal # 262 HVWMVFJPBHVWLB Deviation = 1.75ppm
Search WEB for skeleton |
|
![]()
|
|
|
Structure Proposal # 263 NALUFRZIFMZETI Deviation = 1.75ppm
Search WEB for skeleton |
|
![]()
|
|
|
Structure Proposal # 264 CADLVSONXWJPIP Deviation = 1.75ppm
Search WEB for skeleton |
|
![]()
|
|
|
Structure Proposal # 265 UTOQVTWDXHBXCK Deviation = 1.75ppm
Search WEB for skeleton |
|
![]()
|
|
|
Structure Proposal # 266 SFMPSSYRHGJBTP Deviation = 1.75ppm
Search WEB for skeleton |
|
![]()
|
|
|
Structure Proposal # 267 LKMQZPZPTSQRMK Deviation = 1.76ppm
Search WEB for skeleton respect to your proposal |
|
![]()
|
|
|
Structure Proposal # 268 SZSNAMVIDURTOE Deviation = 1.76ppm
Search WEB for skeleton |
|
![]()
|
|
|
Structure Proposal # 269 VGGYFKWNNDEGNF Deviation = 1.76ppm
Search WEB for skeleton |
|
![]()
|
|
|
Structure Proposal # 270 FJOYZQPIOQGUEY Deviation = 1.76ppm
Search WEB for skeleton |
|
![]()
|
|
|
Structure Proposal # 271 AVHBMWHGTJBFPI Deviation = 1.77ppm
Search WEB for skeleton |
|
![]()
|
|
|
Structure Proposal # 272 YGVGIJKUOWPNOH Deviation = 1.77ppm
Search WEB for skeleton |
|
![]()
|
|
|
Structure Proposal # 273 YVFFORLJCIAOJN Deviation = 1.77ppm
Search WEB for skeleton |
|
![]()
|
|
|
Structure Proposal # 274 VWGPFVGZIRKVEB Deviation = 1.77ppm
Search WEB for skeleton respect to your proposal |
|
![]()
|
|
|
Structure Proposal # 275 DUBDNHXZEXFZEY Deviation = 1.77ppm
Search WEB for skeleton |
|
![]()
|
|
|
Structure Proposal # 276 XWKWGJOILOKXIR Deviation = 1.77ppm
Search WEB for skeleton |
|
![]()
|
|
|
Structure Proposal # 277 DWOHBZRCNKIOPS Deviation = 1.77ppm
Search WEB for skeleton |
|
![]()
|
|
|
Structure Proposal # 278 GYPWOBYOYSOXBC Deviation = 1.78ppm
Search WEB for skeleton respect to your proposal |
|
![]()
|
|
|
Structure Proposal # 279 SJHQTNZDCWVDQK Deviation = 1.78ppm
Search WEB for skeleton |
|
![]()
|
|
|
Structure Proposal # 280 WMJNENSFKVFVCJ Deviation = 1.78ppm
Search WEB for skeleton |
|
![]()
|
|
|
Structure Proposal # 281 BYGFKIJVTRLBGG Deviation = 1.78ppm
Search WEB for skeleton |
|
![]()
|
|
|
Structure Proposal # 282 QQVHJPJSKYRXBG Deviation = 1.78ppm
Search WEB for skeleton |
|
![]()
|
|
|
Structure Proposal # 283 GTLWIGDHMNGROT Deviation = 1.78ppm
Search WEB for skeleton |
|
![]()
|
|
|
Structure Proposal # 284 BUNSIJZLBIETDE Deviation = 1.78ppm
Search WEB for skeleton |
|
![]()
|
|
|
Structure Proposal # 285 ZITMKXAORIKDGJ Deviation = 1.78ppm
Search WEB for skeleton |
|
![]()
|
|
|
Structure Proposal # 286 GFBWFLPTMAASMH Deviation = 1.79ppm
Search WEB for skeleton |
|
![]()
|
|
|
Structure Proposal # 287 JCVXKBKFJHWDKI Deviation = 1.79ppm
Search WEB for skeleton |
|
![]()
|
|
|
Structure Proposal # 288 LLZVAYQZVIEAJF Deviation = 1.79ppm
Search WEB for skeleton |
|
![]()
|
|
|
Structure Proposal # 289 YJGAJJXZHSSIMJ Deviation = 1.79ppm
Search WEB for skeleton |
|
![]()
|
|
|
Structure Proposal # 290 UCJMDENKUOMURM Deviation = 1.79ppm
Search WEB for skeleton respect to your proposal |
|
![]()
|
|
|
Structure Proposal # 291 NAHLQPIVYTXYSI Deviation = 1.79ppm
Search WEB for skeleton respect to your proposal |
|
![]()
|
|
|
Structure Proposal # 292 ORDNXKQJRWHFGV Deviation = 1.80ppm
Search WEB for skeleton respect to your proposal |
|
![]()
|
|
|
Structure Proposal # 293 VCDCLILVFXZFBC Deviation = 1.80ppm
Search WEB for skeleton |
|
![]()
|
|
|
Structure Proposal # 294 ZKGDHAFUWPPLOL Deviation = 1.80ppm
Search WEB for skeleton |
|
![]()
|
|
|
Structure Proposal # 295 UWOLRXNZHCJWFR Deviation = 1.80ppm
Search WEB for skeleton |
|
![]()
|
|
|
Structure Proposal # 296 CALFMVBDQXANFC Deviation = 1.80ppm
Search WEB for skeleton |
|
![]()
|
|
|
Structure Proposal # 297 NBEYBYWRPQYABV Deviation = 1.80ppm
Search WEB for skeleton |
|
![]()
|
|
|
Structure Proposal # 298 RIDFNZMBSZMHGZ Deviation = 1.80ppm
Search WEB for skeleton |
|
![]()
|
|
|
Structure Proposal # 299 SBNCBNDGCPSBTI Deviation = 1.80ppm
Search WEB for skeleton |
|
![]()
|
|
|
Structure Proposal # 300 HSLCAOSAYOGUDG Deviation = 1.80ppm
Search WEB for skeleton |
|
![]()
|
|
|
Structure Proposal # 301 CXPNTGCCWZTZHD Deviation = 1.80ppm
Search WEB for skeleton |
|
![]()
|
|
|
Structure Proposal # 302 KIOVZALZZIUKGV Deviation = 1.80ppm
Search WEB for skeleton |
|
![]()
|
|
|
Structure Proposal # 303 WZQZWXDGKIBAPS Deviation = 1.81ppm
Search WEB for skeleton respect to your proposal |
|
![]()
|
|
|
Structure Proposal # 304 QEYYZVAUVOCSDX Deviation = 1.81ppm
Search WEB for skeleton respect to your proposal |
|
![]()
|
|
|
Structure Proposal # 305 XBXQDIYARJQOHT Deviation = 1.81ppm
Search WEB for skeleton |
|
![]()
|
|
|
Structure Proposal # 306 JGFDXTZRGMNJFN Deviation = 1.81ppm
Search WEB for skeleton |
|
![]()
|
|
|
Structure Proposal # 307 QYBFNKXUCLROFH Deviation = 1.81ppm
Search WEB for skeleton |
|
![]()
|
|
|
Structure Proposal # 308 KZLQWQHLUXNEQK Deviation = 1.81ppm
Search WEB for skeleton |
|
![]()
|
|
|
Structure Proposal # 309 GDEQQUFDKXRPLN Deviation = 1.82ppm
Search WEB for skeleton respect to your proposal |
|
![]()
|
|
|
Structure Proposal # 310 QPBSDAJPCBPGRA Deviation = 1.82ppm
Search WEB for skeleton |
|
![]()
|
|
|
Structure Proposal # 311 QARFXZFWNRPHMI Deviation = 1.82ppm
Search WEB for skeleton |
|
![]()
|
|
|
Structure Proposal # 312 PODZKPMMGWLTGE Deviation = 1.82ppm
Search WEB for skeleton |
|
![]()
|
|
|
Structure Proposal # 313 XVMABUVBOOYHTE Deviation = 1.82ppm
Search WEB for skeleton |
|
![]()
|
|
|
Structure Proposal # 314 ARLZUITWQLZIEO Deviation = 1.82ppm
Search WEB for skeleton |
|
![]()
|
|
|
Structure Proposal # 315 AHYKTUWKZGLYEC Deviation = 1.83ppm
Search WEB for skeleton |
|
![]()
|
|
|
Structure Proposal # 316 XRZNSTRTULLTHU Deviation = 1.83ppm
Search WEB for skeleton respect to your proposal |
|
![]()
|
|
|
Structure Proposal # 317 VZNCDBORACMJFU Deviation = 1.83ppm
Search WEB for skeleton |
|
![]()
|
|
|
Structure Proposal # 318 FHFFMTVDUUDSIO Deviation = 1.83ppm
Search WEB for skeleton respect to your proposal |
|
![]()
|
|
|
Structure Proposal # 319 PFUVLLZWKLWNNC Deviation = 1.83ppm
Search WEB for skeleton |
|
![]()
|
|
|
Structure Proposal # 320 KBGOGVASVAEIKM Deviation = 1.83ppm
Search WEB for skeleton |
|
![]()
|
|
|
Structure Proposal # 321 MEYGBXZTZRXZDH Deviation = 1.83ppm
Search WEB for skeleton |
|
![]()
|
|
|
Structure Proposal # 322 LDHAYAWHOFZCIQ Deviation = 1.83ppm
Search WEB for skeleton |
|
![]()
|
|
|
Structure Proposal # 323 AXGDEGXPOSTVPG Deviation = 1.83ppm
Search WEB for skeleton |
|
![]()
|
|
|
Structure Proposal # 324 FZVOCKMYFHEUFN Deviation = 1.83ppm
Search WEB for skeleton |
|
![]()
|
|
|
Structure Proposal # 325 WPDKXXCBTCXXTG Deviation = 1.84ppm
Search WEB for skeleton |
|
![]()
|
|
|
Structure Proposal # 326 QXVYEIAFDBMZGX Deviation = 1.84ppm
Search WEB for skeleton |
|
![]()
|
|
|
Structure Proposal # 327 ITGGCNMSVBYLAB Deviation = 1.84ppm
Search WEB for skeleton |
|
![]()
|
|
|
Structure Proposal # 328 LUPSJDRUBNRGOC Deviation = 1.84ppm
Search WEB for skeleton |
|
![]()
|
|
|
Structure Proposal # 329 RFOQLGQTKZKMSE Deviation = 1.84ppm
Search WEB for skeleton |
|
![]()
|
|
|
Structure Proposal # 330 RPRSKPAOPDLMFX Deviation = 1.85ppm
Search WEB for skeleton respect to your proposal |
|
![]()
|
|
|
Structure Proposal # 331 GVBFUAZGDRRJKA Deviation = 1.85ppm
Search WEB for skeleton |
|
![]()
|
|
|
Structure Proposal # 332 ZOPWTYALVQVRNC Deviation = 1.85ppm
Search WEB for skeleton |
|
![]()
|
|
|
Structure Proposal # 333 SOWCAWOMWUDMCY Deviation = 1.85ppm
Search WEB for skeleton |
|
![]()
|
|
|
Structure Proposal # 334 XKSCVVZCSHYYCA Deviation = 1.85ppm
Search WEB for skeleton |
|
![]()
|
|
|
Structure Proposal # 335 LWIIUPKVUNWNLM Deviation = 1.86ppm
Search WEB for skeleton |
|
![]()
|
|
|
Structure Proposal # 336 JMQUACMMRDZREM Deviation = 1.86ppm
Search WEB for skeleton |
|
![]()
|
|
|
Structure Proposal # 337 UVQGGJRYZSQRMV Deviation = 1.87ppm
Search WEB for skeleton |
|
![]()
|
|
|
Structure Proposal # 338 RBUVBEOFXSKVFZ Deviation = 1.87ppm
Search WEB for skeleton |
|
![]()
|
|
|
Structure Proposal # 339 XXFPBMKXHANSSK Deviation = 1.87ppm
Search WEB for skeleton |
|
![]()
|
|
|
Structure Proposal # 340 WPZNEBINQHXJQG Deviation = 1.87ppm
Search WEB for skeleton |
|
![]()
|
|
|
Structure Proposal # 341 MPZCKYCQBNWJKP Deviation = 1.87ppm
Search WEB for skeleton |
|
![]()
|
|
|
Structure Proposal # 342 YSTCSNBGXAYZSF Deviation = 1.87ppm
Search WEB for skeleton |
|
![]()
|
|
|
Structure Proposal # 343 BELCELPAUSXCIJ Deviation = 1.87ppm
Search WEB for skeleton |
|
![]()
|
|
|
Structure Proposal # 344 UTTRRTDZNXZFJD Deviation = 1.87ppm
Search WEB for skeleton |
|
![]()
|
|
|
Structure Proposal # 345 SYYKBYWQAYFTPI Deviation = 1.87ppm
Search WEB for skeleton |
|
![]()
|
|
|
Structure Proposal # 346 UFOJVCHCQSXVFP Deviation = 1.88ppm
Search WEB for skeleton |
|
![]()
|
|
|
Structure Proposal # 347 WJPAFTOOFHVYAJ Deviation = 1.88ppm
Search WEB for skeleton |
|
![]()
|
|
|
Structure Proposal # 348 NNKHQQNPFQDJMV Deviation = 1.88ppm
Search WEB for skeleton |
|
![]()
|
|
|
Structure Proposal # 349 GUZUMLZWQACYJY Deviation = 1.88ppm
Search WEB for skeleton |
|
![]()
|
|
|
Structure Proposal # 350 GUGZBNHUXOPUTN Deviation = 1.88ppm
Search WEB for skeleton |
|
![]()
|
|
|
Structure Proposal # 351 YWEDDUVSBWQYPQ Deviation = 1.88ppm
Search WEB for skeleton |
|
![]()
|
|
|
Structure Proposal # 352 LBLRTRIBCLUDBE Deviation = 1.89ppm
Search WEB for skeleton |
|
![]()
|
|
|
Structure Proposal # 353 GKZFBSZZWVAJOQ Deviation = 1.89ppm
Search WEB for skeleton |
|
![]()
|
|
|
Structure Proposal # 354 NIHURHDWPMHBBY Deviation = 1.89ppm
Search WEB for skeleton |
|
![]()
|
|
|
Structure Proposal # 355 PUOKXKJXUAAIHD Deviation = 1.89ppm
Search WEB for skeleton |
|
![]()
|
|
|
Structure Proposal # 356 FPBRHZRLTGLRIW Deviation = 1.89ppm
Search WEB for skeleton |
|
![]()
|
|
|
Structure Proposal # 357 VOIGGZMRWPCZNE Deviation = 1.90ppm
Search WEB for skeleton |
|
![]()
|
|
|
Structure Proposal # 358 GJFSYZPEIRIBHV Deviation = 1.90ppm
Search WEB for skeleton |
|
![]()
|
|
|
Structure Proposal # 359 NRMGROMXTAACIU Deviation = 1.90ppm
Search WEB for skeleton |
|
![]()
|
|
|
Structure Proposal # 360 LLNGWFDEYJLPRK Deviation = 1.90ppm
Search WEB for skeleton |
|
![]()
|
|
|
Structure Proposal # 361 AMMTUKFXDPGFHG Deviation = 1.91ppm
Search WEB for skeleton |
|
![]()
|
|
|
Structure Proposal # 362 ZKWATUSPQUSPDN Deviation = 1.91ppm
Search WEB for skeleton |
|
![]()
|
|
|
Structure Proposal # 363 OLRIGKCGMCVWIV Deviation = 1.91ppm
Search WEB for skeleton |
|
![]()
|
|
|
Structure Proposal # 364 AZQQEUJNVCYKPO Deviation = 1.91ppm
Search WEB for skeleton |
|
![]()
|
|
|
Structure Proposal # 365 DORPOTZNQOIUKE Deviation = 1.91ppm
Search WEB for skeleton respect to your proposal |
|
![]()
|
|
|
Structure Proposal # 366 VOBWFIYHCYFROM Deviation = 1.91ppm
Search WEB for skeleton |
|
![]()
|
|
|
Structure Proposal # 367 SNCGUACAZVXYQM Deviation = 1.92ppm
Search WEB for skeleton |
|
![]()
|
|
|
Structure Proposal # 368 NFLYIXKQGLBTEK Deviation = 1.92ppm
Search WEB for skeleton |
|
![]()
|
|
|
Structure Proposal # 369 XPGCCRJJDSVYCH Deviation = 1.92ppm
Search WEB for skeleton |
|
![]()
|
|
|
Structure Proposal # 370 NNNLPIRYXTZVAX Deviation = 1.92ppm
Search WEB for skeleton |
|
![]()
|
|
|
Structure Proposal # 371 FIFJDSMGIZZWBF Deviation = 1.92ppm
Search WEB for skeleton respect to your proposal |
|
![]()
|
|
|
Structure Proposal # 372 UURZRSHIXBAJHO Deviation = 1.92ppm
Search WEB for skeleton |
|
![]()
|
|
|
Structure Proposal # 373 QRYSCLMFVBNZCZ Deviation = 1.92ppm
Search WEB for skeleton |
|
![]()
|
|
|
Structure Proposal # 374 ZJTQGFIZQYHWFP Deviation = 1.92ppm
Search WEB for skeleton |
|
![]()
|
|
|
Structure Proposal # 375 UUUZBTQMBBNQLO Deviation = 1.93ppm
Search WEB for skeleton |
|
![]()
|
|
|
Structure Proposal # 376 UHTAAKXRYUEHLE Deviation = 1.93ppm
Search WEB for skeleton |
|
![]()
|
|
|
Structure Proposal # 377 BOCWCUUCKIWHRJ Deviation = 1.93ppm
Search WEB for skeleton respect to your proposal |
|
![]()
|
|
|
Structure Proposal # 378 UQYPFSQBSPYDMX Deviation = 1.93ppm
Search WEB for skeleton |
|
![]()
|
|
|
Structure Proposal # 379 ZAIRYCPODRWOQG Deviation = 1.94ppm
Search WEB for skeleton |
|
![]()
|
|
|
Structure Proposal # 380 MTCIRZGXTFLOAV Deviation = 1.94ppm
Search WEB for skeleton |
|
![]()
|
|
|
Structure Proposal # 381 RKDWBERQCHEESL Deviation = 1.94ppm
Search WEB for skeleton |
|
![]()
|
|
|
Structure Proposal # 382 WNRHIYSOPULKPL Deviation = 1.94ppm
Search WEB for skeleton |
|
![]()
|
|
|
Structure Proposal # 383 DQVQXODSKUSACR Deviation = 1.94ppm
Search WEB for skeleton |
|
![]()
|
|
|
Structure Proposal # 384 LXASTILZVGEZNT Deviation = 1.94ppm
Search WEB for skeleton |
|
![]()
|
|
|
Structure Proposal # 385 BYWKFTANACURCN Deviation = 1.94ppm
Search WEB for skeleton |
|
![]()
|
|
|
Structure Proposal # 386 NLIMPOFVBLYNRO Deviation = 1.94ppm
Search WEB for skeleton |
|
![]()
|
|
|
Structure Proposal # 387 GRBWSSPBNWEFES Deviation = 1.95ppm
Search WEB for skeleton |
|
![]()
|
|
|
Structure Proposal # 388 MCOZGLAWSQOZNE Deviation = 1.95ppm
Search WEB for skeleton |
|
![]()
|
|
|
Structure Proposal # 389 DELQJPXYTHUBRT Deviation = 1.95ppm
Search WEB for skeleton |
|
![]()
|
|
|
Structure Proposal # 390 PQFPWZCODQDWRP Deviation = 1.95ppm
Search WEB for skeleton |
|
![]()
|
|
|
Structure Proposal # 391 WZSOJQMOISUVHF Deviation = 1.95ppm
Search WEB for skeleton |
|
![]()
|
|
|
Structure Proposal # 392 VWVGSDYOJDWXSS Deviation = 1.95ppm
Search WEB for skeleton |
|
![]()
|
|
|
Structure Proposal # 393 GOFZTVFKGGUYGJ Deviation = 1.95ppm
Search WEB for skeleton |
|
![]()
|
|
|
Structure Proposal # 394 ZIYWUUPMLBCJIS Deviation = 1.96ppm
Search WEB for skeleton |
|
![]()
|
|
|
Structure Proposal # 395 IDYUXWNQFRAMNE Deviation = 1.96ppm
Search WEB for skeleton |
|
![]()
|
|
|
Structure Proposal # 396 NRABOLZBHUDILL Deviation = 1.96ppm
Search WEB for skeleton |
|
![]()
|
|
|
Structure Proposal # 397 XZRAHHQXMASHQE Deviation = 1.96ppm
Search WEB for skeleton |
|
![]()
|
|
|
Structure Proposal # 398 VWWNVOFRRJBFGJ Deviation = 1.96ppm
Search WEB for skeleton |
|
![]()
|
|
|
Structure Proposal # 399 VRKGJHBFOZGLOQ Deviation = 1.96ppm
Search WEB for skeleton |
|
![]()
|
|
|
Structure Proposal # 400 CDSOVPFKZVCYSA Deviation = 1.96ppm
Search WEB for skeleton |
|
![]()
|
|
|
Structure Proposal # 401 TVZYKAVFVJHYBA Deviation = 1.96ppm
Search WEB for skeleton |
|
![]()
|
|
|
Structure Proposal # 402 MEGKHQOAHVEQQZ Deviation = 1.96ppm
Search WEB for skeleton |
|
![]()
|
|
|
Structure Proposal # 403 MGXNTMMHHMIBGV Deviation = 1.96ppm
Search WEB for skeleton |
|
![]()
|
|
|
Structure Proposal # 404 JDEKOBFRTKOITR Deviation = 1.97ppm
Search WEB for skeleton |
|
![]()
|
|
|
Structure Proposal # 405 QZIGHALKXOPROW Deviation = 1.97ppm
Search WEB for skeleton |
|
![]()
|
|
|
Structure Proposal # 406 BITMWZAHBJGPFV Deviation = 1.97ppm
Search WEB for skeleton |
|
![]()
|
|
|
Structure Proposal # 407 AQPURAQLOTZJOB Deviation = 1.97ppm
Search WEB for skeleton |
|
![]()
|
|
|
Structure Proposal # 408 AISVYSWIEZMQCA Deviation = 1.97ppm
Search WEB for skeleton |
|
![]()
|
|
|
Structure Proposal # 409 MXOWZDURHOSEQS Deviation = 1.98ppm
Search WEB for skeleton |
|
![]()
|
|
|
Structure Proposal # 410 BJPORMCIHFNKGT Deviation = 1.98ppm
Search WEB for skeleton |
|
![]()
|
|
|
Structure Proposal # 411 NXLIEQOBKSNDSU Deviation = 1.98ppm
Search WEB for skeleton |
|
![]()
|
|
|
Structure Proposal # 412 WESDLDXQFAZKTF Deviation = 1.98ppm
Search WEB for skeleton |
|
![]()
|
|
|
Structure Proposal # 413 HWEQHZFQEWGUEE Deviation = 1.98ppm
Search WEB for skeleton |
|
![]()
|
|
|
Structure Proposal # 414 MIELWCVBJVBBBY Deviation = 1.98ppm
Search WEB for skeleton |
|
![]()
|
|
|
Structure Proposal # 415 BNVQCPTUSIPSCM Deviation = 1.98ppm
Search WEB for skeleton |
|
![]()
|
|
|
Structure Proposal # 416 ZTUFTYWZHOGTBJ Deviation = 1.99ppm
Search WEB for skeleton respect to your proposal |
|
![]()
|
|
|
Structure Proposal # 417 SWLQTPCFNVDFRV Deviation = 1.99ppm
Search WEB for skeleton |
|
![]()
|
|
|
Structure Proposal # 418 POKCBULYAQMSNR Deviation = 1.99ppm
Search WEB for skeleton |
|
![]()
|
|
|
Structure Proposal # 419 PGUPFFLMLRDBMR Deviation = 1.99ppm
Search WEB for skeleton respect to your proposal |
|
![]()
|
|
|
Structure Proposal # 420 VZICBJWVCAHSOC Deviation = 1.99ppm
Search WEB for skeleton |
|
![]()
|
|
|
Structure Proposal # 421 IUJFJPLKLTZVEI Deviation = 1.99ppm
Search WEB for skeleton |
|
![]()
|
|
|
Structure Proposal # 422 ZXWZUZMREJTJNR Deviation = 2.00ppm
Search WEB for skeleton |
|
![]()
|
|
|
Structure Proposal # 423 YWOQXLIGFAMDSD Deviation = 2.00ppm
Search WEB for skeleton |
|
![]()
|
|
|
Structure Proposal # 424 SYJRSHKBKPCNQC Deviation = 2.00ppm
Search WEB for skeleton |
|
![]()
|
|
|
Structure Proposal # 425 CXDKYOZXMMELMY Deviation = 2.00ppm
Search WEB for skeleton |
|
![]()
|
|
|
Structure Proposal # 426 WXSQYVCKEUWETN Deviation = 2.00ppm
Search WEB for skeleton |
|
![]()
|
|
|
Structure Proposal # 427 SLBQHISKPBDFAM Deviation = 2.00ppm
Search WEB for skeleton |
|
![]()
|
|
|
Structure Proposal # 428 OSSZEKUZWDXLNG Deviation = 2.00ppm
Search WEB for skeleton respect to your proposal |
|
![]()
|
|
|
Structure Proposal # 429 IOBKURYEXVLCMQ Deviation = 2.01ppm
Search WEB for skeleton |
|
![]()
|
|
|
Structure Proposal # 430 MFFJZDIGQVIIBO Deviation = 2.01ppm
Search WEB for skeleton |
|
![]()
|
|
|
Structure Proposal # 431 JKRYIIUURCUGMY Deviation = 2.01ppm
Search WEB for skeleton respect to your proposal |
|
![]()
|
|
|
Structure Proposal # 432 IECIVYVSPIDPJX Deviation = 2.01ppm
Search WEB for skeleton |
|
![]()
|
|
|
Structure Proposal # 433 RXSPFBHLSQCPAO Deviation = 2.01ppm
Search WEB for skeleton |
|
![]()
|
|
|
Structure Proposal # 434 CQKJFVSRLUWNLT Deviation = 2.02ppm
Search WEB for skeleton |
|
![]()
|
|
|
Structure Proposal # 435 RPWXCULJZNDPFL Deviation = 2.02ppm
Search WEB for skeleton |
|
![]()
|
|
|
Structure Proposal # 436 WFWQYPMEHUJIQV Deviation = 2.02ppm
Search WEB for skeleton |
|
![]()
|
|
|
Structure Proposal # 437 RGZRCQYPEZCZGL Deviation = 2.02ppm
Search WEB for skeleton |
|
![]()
|
|
|
Structure Proposal # 438 MIWLJRRUSJHJCC Deviation = 2.02ppm
Search WEB for skeleton |
|
![]()
|
|
|
Structure Proposal # 439 PZUGWVIEDSZLLO Deviation = 2.03ppm
Search WEB for skeleton |
|
![]()
|
|
|
Structure Proposal # 440 VXVCNCARGYEZSP Deviation = 2.03ppm
Search WEB for skeleton |
|
![]()
|
|
|
Structure Proposal # 441 GGNZUOHWECGHLQ Deviation = 2.03ppm
Search WEB for skeleton |
|
![]()
|
|
|
Structure Proposal # 442 UTFHDHMZHKHGOS Deviation = 2.03ppm
Search WEB for skeleton respect to your proposal |
|
![]()
|
|
|
Structure Proposal # 443 NFIQIRRFRWXOLL Deviation = 2.03ppm
Search WEB for skeleton |
|
![]()
|
|
|
Structure Proposal # 444 BIQKRZNMBQCZCZ Deviation = 2.03ppm
Search WEB for skeleton respect to your proposal |
|
![]()
|
|
|
Structure Proposal # 445 VFNSKJXPUKQRNO Deviation = 2.03ppm
Search WEB for skeleton |
|
![]()
|
|
|
Structure Proposal # 446 KFLVMLXHUKPCBM Deviation = 2.03ppm
Search WEB for skeleton |
|
![]()
|
|
|
Structure Proposal # 447 SRYICAJTYRITBS Deviation = 2.04ppm
Search WEB for skeleton |
|
![]()
|
|
|
Structure Proposal # 448 VYXHWTRXSHHVIX Deviation = 2.04ppm
Search WEB for skeleton |
|
![]()
|
|
|
Structure Proposal # 449 YMUDQPMCQUGBTJ Deviation = 2.04ppm
Search WEB for skeleton |
|
![]()
|
|
|
Structure Proposal # 450 ALVROTCRJVNUKN Deviation = 2.04ppm
Search WEB for skeleton |
|
![]()
|
|
|
Structure Proposal # 451 RPKTYGXDRNHTJT Deviation = 2.04ppm
Search WEB for skeleton |
|
![]()
|
|
|
Structure Proposal # 452 GQJJJIYPTBPXMD Deviation = 2.04ppm
Search WEB for skeleton |
|
![]()
|
|
|
Structure Proposal # 453 SPYDXLVPARBZPW Deviation = 2.04ppm
Search WEB for skeleton respect to your proposal |
|
![]()
|
|
|
Structure Proposal # 454 ZVAZECHXYMHADJ Deviation = 2.04ppm
Search WEB for skeleton |
|
![]()
|
|
|
Structure Proposal # 455 LUZMUQJSEWKLDU Deviation = 2.05ppm
Search WEB for skeleton respect to your proposal |
|
![]()
|
|
|
Structure Proposal # 456 HZKHSJRMXKCOBY Deviation = 2.05ppm
Search WEB for skeleton |
|
![]()
|
|
|
Structure Proposal # 457 RXXRVRSDMDNNGR Deviation = 2.05ppm
Search WEB for skeleton |
|
![]()
|
|
|
Structure Proposal # 458 GCVQGSOMCZZUKD Deviation = 2.06ppm
Search WEB for skeleton |
|
![]()
|
|
|
Structure Proposal # 459 RUHQAIFYEUOMQR Deviation = 2.06ppm
Search WEB for skeleton respect to your proposal |
|
![]()
|
|
|
Structure Proposal # 460 DGASINGGUSGBDT Deviation = 2.06ppm
Search WEB for skeleton |
|
![]()
|
|
|
Structure Proposal # 461 FPONUQPTFOHLPP Deviation = 2.07ppm
Search WEB for skeleton |
|
![]()
|
|
|
Structure Proposal # 462 BNZZSLQKBYMDMS Deviation = 2.07ppm
Search WEB for skeleton |
|
![]()
|
|
|
Structure Proposal # 463 RIQNLJRDGJMYHR Deviation = 2.07ppm
Search WEB for skeleton |
|
![]()
|
|
|
Structure Proposal # 464 IIMUHGRVYOPFAT Deviation = 2.07ppm
Search WEB for skeleton |
|
![]()
|
|
|
Structure Proposal # 465 OAIKNRSVNGGCHE Deviation = 2.07ppm
Search WEB for skeleton |
|
![]()
|
|
|
Structure Proposal # 466 XNBZOIUDXHJSOM Deviation = 2.08ppm
Search WEB for skeleton |
|
![]()
|
|
|
Structure Proposal # 467 PJHXUGYUBXRDHX Deviation = 2.08ppm
Search WEB for skeleton |
|
![]()
|
|
|
Structure Proposal # 468 MBGWBFBIPXALKT Deviation = 2.08ppm
Search WEB for skeleton |
|
![]()
|
|
|
Structure Proposal # 469 FZHOFRFCGUPYHY Deviation = 2.08ppm
Search WEB for skeleton |
|
![]()
|
|
|
Structure Proposal # 470 ZMWMOZXNFNNEKX Deviation = 2.08ppm
Search WEB for skeleton respect to your proposal |
|
![]()
|
|
|
Structure Proposal # 471 DHIPTYDOJKLHEC Deviation = 2.08ppm
Search WEB for skeleton |
|
![]()
|
|
|
Structure Proposal # 472 BWNINSLAUCZOHG Deviation = 2.08ppm
Search WEB for skeleton |
|
![]()
|
|
|
Structure Proposal # 473 QUPKXROSPMSLCZ Deviation = 2.08ppm
Search WEB for skeleton |
|
![]()
|
|
|
Structure Proposal # 474 LWMXSRAZGGQNMJ Deviation = 2.08ppm
Search WEB for skeleton |
|
![]()
|
|
|
Structure Proposal # 475 LVSHUDJNMPBTIK Deviation = 2.09ppm
Search WEB for skeleton |
|
![]()
|
|
|
Structure Proposal # 476 ITTFYPQVHZPIGX Deviation = 2.09ppm
Search WEB for skeleton |
|
![]()
|
|
|
Structure Proposal # 477 DBUFJBXQRYSZIX Deviation = 2.09ppm
Search WEB for skeleton |
|
![]()
|
|
|
Structure Proposal # 478 AJUWIYHPOPLTDX Deviation = 2.09ppm
Search WEB for skeleton |
|
![]()
|
|
|
Structure Proposal # 479 XTBZEFGWONBJOM Deviation = 2.09ppm
Search WEB for skeleton |
|
![]()
|
|
|
Structure Proposal # 480 HCLKMJIKQGDXPB Deviation = 2.09ppm
Search WEB for skeleton |
|
![]()
|
|
|
Structure Proposal # 481 YNHZYMGCPQXCKH Deviation = 2.09ppm
Search WEB for skeleton respect to your proposal |
|
![]()
|
|
|
Structure Proposal # 482 AFZKOQZMWDORHZ Deviation = 2.10ppm
Search WEB for skeleton |
|
![]()
|
|
|
Structure Proposal # 483 XGURSXOFUAFSJD Deviation = 2.10ppm
Search WEB for skeleton |
|
![]()
|
|
|
Structure Proposal # 484 JHDSLFVDTGIBCO Deviation = 2.10ppm
Search WEB for skeleton respect to your proposal |
|
![]()
|
|
|
Structure Proposal # 485 NOWSUKPPFRGJFP Deviation = 2.10ppm
Search WEB for skeleton |
|
![]()
|
|
|
Structure Proposal # 486 CEVOPQCUPJTCQZ Deviation = 2.10ppm
Search WEB for skeleton |
|
![]()
|
|
|
Structure Proposal # 487 GWCHGNREYXAGOU Deviation = 2.11ppm
Search WEB for skeleton |
|
![]()
|
|
|
Structure Proposal # 488 KXDONMHVMQRNNH Deviation = 2.11ppm
Search WEB for skeleton |
|
![]()
|
|
|
Structure Proposal # 489 ZYVSWFVXUZAFQQ Deviation = 2.11ppm
Search WEB for skeleton |
|
![]()
|
|
|
Structure Proposal # 490 JVQYQGCJMHPLKT Deviation = 2.11ppm
Search WEB for skeleton |
|
![]()
|
|
|
Structure Proposal # 491 SPHFRYXXBQROHX Deviation = 2.11ppm
Search WEB for skeleton |
|
![]()
|
|
|
Structure Proposal # 492 PJFDNMCGKLVYSU Deviation = 2.11ppm
Search WEB for skeleton |
|
![]()
|
|
|
Structure Proposal # 493 GXIYVGOCIBQNDH Deviation = 2.12ppm
Search WEB for skeleton |
|
![]()
|
|
|
Structure Proposal # 494 GQVSRHMWRZNJJE Deviation = 2.12ppm
Search WEB for skeleton |
|
![]()
|
|
|
Structure Proposal # 495 OPPXQJGPDAJNLT Deviation = 2.12ppm
Search WEB for skeleton respect to your proposal |
|
![]()
|
|
|
Structure Proposal # 496 PIWJPMFZSTZNOY Deviation = 2.12ppm
Search WEB for skeleton |
|
![]()
|
|
|
Structure Proposal # 497 UKKYJBKDIMUAQC Deviation = 2.12ppm
Search WEB for skeleton respect to your proposal |
|
![]()
|
|
|
Structure Proposal # 498 NAFMZKOKMNHTFE Deviation = 2.12ppm
Search WEB for skeleton |
|
![]()
|
|
|
Structure Proposal # 499 QAXFWBWMXNSNFS Deviation = 2.13ppm
Search WEB for skeleton |
|
![]()
|
|
|
Structure Proposal # 500 SHCQRJLQNNDJPK Deviation = 2.13ppm
Search WEB for skeleton |
|
![]()
|
|
|
Structure Proposal # 501 ALMQJXXTCZDVJQ Deviation = 2.13ppm
Search WEB for skeleton |
|
![]()
|
|
|
Structure Proposal # 502 HZZYQSRTGCMGEG Deviation = 2.13ppm
Search WEB for skeleton |
|
![]()
|
|
|
Structure Proposal # 503 JBZKLLJXBNYSEA Deviation = 2.14ppm
Search WEB for skeleton |
|
![]()
|
|
|
Structure Proposal # 504 NJKUIWWRXHHSKX Deviation = 2.14ppm
Search WEB for skeleton |
|
![]()
|
|
|
Structure Proposal # 505 MDIAFGKUVNHHQQ Deviation = 2.14ppm
Search WEB for skeleton |
|
![]()
|
|
|
Structure Proposal # 506 IJUUCTFKLPBHAT Deviation = 2.14ppm
Search WEB for skeleton respect to your proposal |
|
![]()
|
|
|
Structure Proposal # 507 IIZADQYQVPXQPT Deviation = 2.14ppm
Search WEB for skeleton |
|
![]()
|
|
|
Structure Proposal # 508 XVAOYVPRTKSBBB Deviation = 2.14ppm
Search WEB for skeleton |
|
![]()
|
|
|
Structure Proposal # 509 ZKNVHIYLOJGHSK Deviation = 2.14ppm
Search WEB for skeleton |
|
![]()
|
|
|
Structure Proposal # 510 QLNPDGVTUZBXSS Deviation = 2.14ppm
Search WEB for skeleton |
|
![]()
|
|
|
Structure Proposal # 511 HFCMTKKUHZPSNS Deviation = 2.15ppm
Search WEB for skeleton |
|
![]()
|
|
|
Structure Proposal # 512 NUMCKMMIGVHYAM Deviation = 2.15ppm
Search WEB for skeleton |
|
![]()
|
|
|
Structure Proposal # 513 LKHSOXLQVBTCBK Deviation = 2.15ppm
Search WEB for skeleton |
|
![]()
|
|
|
Structure Proposal # 514 NEHFKNSZGDAFSX Deviation = 2.15ppm
Search WEB for skeleton |
|
![]()
|
|
|
Structure Proposal # 515 AINUFKHEAYDALX Deviation = 2.15ppm
Search WEB for skeleton |
|
![]()
|
|
|
Structure Proposal # 516 DTWNHVLAAXFYAN Deviation = 2.15ppm
Search WEB for skeleton |
|
![]()
|
|
|
Structure Proposal # 517 DRQIOUPMTOZEKY Deviation = 2.15ppm
Search WEB for skeleton |
|
![]()
|
|
|
Structure Proposal # 518 FFVODQBILLHUPU Deviation = 2.15ppm
Search WEB for skeleton respect to your proposal |
|
![]()
|
|
|
Structure Proposal # 519 ZNQSGFLOPFPSKS Deviation = 2.15ppm
Search WEB for skeleton |
|
![]()
|
|
|
Structure Proposal # 520 POKDUVFGFNWVRW Deviation = 2.15ppm
Search WEB for skeleton |
|
![]()
|
|
|
Structure Proposal # 521 YEDCLNVTJSQRHF Deviation = 2.15ppm
Search WEB for skeleton respect to your proposal |
|
![]()
|
|
|
Structure Proposal # 522 IVNKLOIQSJQNNW Deviation = 2.16ppm
Search WEB for skeleton respect to your proposal |
|
![]()
|
|
|
Structure Proposal # 523 JHCKZTWRGQIHSQ Deviation = 2.16ppm
Search WEB for skeleton |
|
![]()
|
|
|
Structure Proposal # 524 JQGJKOURBGLOEE Deviation = 2.16ppm
Search WEB for skeleton respect to your proposal |
|
![]()
|
|
|
Structure Proposal # 525 HEWVIMPYSXGFKC Deviation = 2.16ppm
Search WEB for skeleton |
|
![]()
|
|
|
Structure Proposal # 526 VYRNTAACMCNABO Deviation = 2.16ppm
Search WEB for skeleton |
|
![]()
|
|
|
Structure Proposal # 527 KKSOLQGHJJWTIM Deviation = 2.16ppm
Search WEB for skeleton |
|
![]()
|
|
|
Structure Proposal # 528 GAWIQBODUKGVBU Deviation = 2.16ppm
Search WEB for skeleton |
|
![]()
|
|
|
Structure Proposal # 529 KVNAGNBNXMSKKF Deviation = 2.17ppm
Search WEB for skeleton |
|
![]()
|
|
|
Structure Proposal # 530 JJBLEFDVPUELOA Deviation = 2.17ppm
Search WEB for skeleton respect to your proposal |
|
![]()
|
|
|
Structure Proposal # 531 DOBVGUMEJNEOEO Deviation = 2.17ppm
Search WEB for skeleton |
|
![]()
|
|
|
Structure Proposal # 532 YAVLQYHUGUZBSO Deviation = 2.17ppm
Search WEB for skeleton |
|
![]()
|
|
|
Structure Proposal # 533 YXPPVLGOJPJICQ Deviation = 2.17ppm
Search WEB for skeleton respect to your proposal |
|
![]()
|
|
|
Structure Proposal # 534 MLCNCSBICPZRRL Deviation = 2.17ppm
Search WEB for skeleton |
|
![]()
|
|
|
Structure Proposal # 535 GBXAAEMIEXIBDQ Deviation = 2.18ppm
Search WEB for skeleton |
|
![]()
|
|
|
Structure Proposal # 536 BOAGLSRDZJNPOE Deviation = 2.18ppm
Search WEB for skeleton |
|
![]()
|
|
|
Structure Proposal # 537 CQJYHSANUWXVCA Deviation = 2.18ppm
Search WEB for skeleton respect to your proposal |
|
![]()
|
|
|
Structure Proposal # 538 HIFQNRIPGREBRY Deviation = 2.18ppm
Search WEB for skeleton respect to your proposal |
|
![]()
|
|
|
Structure Proposal # 539 BNWONUDPDYAWNZ Deviation = 2.18ppm
Search WEB for skeleton |
|
![]()
|
|
|
Structure Proposal # 540 YNMCBACGKLGKLL Deviation = 2.18ppm
Search WEB for skeleton respect to your proposal |
|
![]()
|
|
|
Structure Proposal # 541 FGYJHLZFKPKCOY Deviation = 2.19ppm
Search WEB for skeleton respect to your proposal |
|
![]()
|
|
|
Structure Proposal # 542 FQNHNGCCQICRKE Deviation = 2.19ppm
Search WEB for skeleton respect to your proposal |
|
![]()
|
|
|
Structure Proposal # 543 ZWEIUHHZGSMMOV Deviation = 2.19ppm
Search WEB for skeleton |
|
![]()
|
|
|
Structure Proposal # 544 GQHAETXLIKAOGV Deviation = 2.20ppm
Search WEB for skeleton |
|
![]()
|
|
|
Structure Proposal # 545 WLAGKQWHICBCKR Deviation = 2.20ppm
Search WEB for skeleton respect to your proposal |
|
![]()
|
|
|
Structure Proposal # 546 ANYZOJHEXBXQQI Deviation = 2.20ppm
Search WEB for skeleton respect to your proposal |
|
![]()
|
|
|
Structure Proposal # 547 HJMROQWFXLRCSW Deviation = 2.20ppm
Search WEB for skeleton |
|
![]()
|
|
|
Structure Proposal # 548 HQXVCJCTPSLIHL Deviation = 2.20ppm
Search WEB for skeleton respect to your proposal |
|
![]()
|
|
|
Structure Proposal # 549 OJZNHRJGYGYRKU Deviation = 2.20ppm
Search WEB for skeleton |
|
![]()
|
|
|
Structure Proposal # 550 VVMJDAVXWHZFAB Deviation = 2.20ppm
Search WEB for skeleton |
|
![]()
|
|
|
Structure Proposal # 551 DOOCOACYDWXNPY Deviation = 2.20ppm
Search WEB for skeleton |
|
![]()
|
|
|
Structure Proposal # 552 NSGZUSPBSAJJIQ Deviation = 2.20ppm
Search WEB for skeleton respect to your proposal |
|
![]()
|
|
|
Structure Proposal # 553 AVQVTPCFPLISGF Deviation = 2.20ppm
Search WEB for skeleton respect to your proposal |
|
![]()
|
|
|
Structure Proposal # 554 UXBKSDKFHIBIJB Deviation = 2.21ppm
Search WEB for skeleton |
|
![]()
|
|
|
Structure Proposal # 555 AXUQZFWVAKSFER Deviation = 2.21ppm
Search WEB for skeleton respect to your proposal |
|
![]()
|
|
|
Structure Proposal # 556 YNVWDRNAEPQLKD Deviation = 2.21ppm
Search WEB for skeleton |
|
![]()
|
|
|
Structure Proposal # 557 ZNGVZFGZHYRBJL Deviation = 2.21ppm
Search WEB for skeleton |
|
![]()
|
|
|
Structure Proposal # 558 UCWYKBURQHYROO Deviation = 2.21ppm
Search WEB for skeleton |
|
![]()
|
|
|
Structure Proposal # 559 AIFCBFZTQFBAIE Deviation = 2.21ppm
Search WEB for skeleton |
|
![]()
|
|
|
Structure Proposal # 560 AAKIXRGGLLXCDV Deviation = 2.21ppm
Search WEB for skeleton |
|
![]()
|
|
|
Structure Proposal # 561 UCUFSUKGIRBNEG Deviation = 2.21ppm
Search WEB for skeleton |
|
![]()
|
|
|
Structure Proposal # 562 YHPOARQBKKHELI Deviation = 2.22ppm
Search WEB for skeleton |
|
![]()
|
|
|
Structure Proposal # 563 CVRZTUPUUZJNHN Deviation = 2.22ppm
Search WEB for skeleton |
|
![]()
|
|
|
Structure Proposal # 564 XQXARIDHZGLZGW Deviation = 2.22ppm
Search WEB for skeleton respect to your proposal |
|
![]()
|
|
|
Structure Proposal # 565 LTJREPSZOZQXFR Deviation = 2.23ppm
Search WEB for skeleton |
|
![]()
|
|
|
Structure Proposal # 566 OXJMGQZQVRAZKV Deviation = 2.23ppm
Search WEB for skeleton respect to your proposal |
|
![]()
|
|
|
Structure Proposal # 567 QBYMPHSQVCYVNK Deviation = 2.23ppm
Search WEB for skeleton |
|
![]()
|
|
|
Structure Proposal # 568 YVJWSYCNRKXINY Deviation = 2.23ppm
Search WEB for skeleton respect to your proposal Compound from PUBCHEM |
|
![]()
|
|
|
Structure Proposal # 569 DXANDLUSSUOZBU Deviation = 2.24ppm
Search WEB for skeleton respect to your proposal |
|
![]()
|
|
|
Structure Proposal # 570 MHUGPZTYUYGOBL Deviation = 2.24ppm
Search WEB for skeleton |
|
![]()
|
|
|
Structure Proposal # 571 UXYWPDBAKULGDC Deviation = 2.24ppm
Search WEB for skeleton |
|
![]()
|
|
|
Structure Proposal # 572 UBJGBFSBHWVXMS Deviation = 2.24ppm
Search WEB for skeleton respect to your proposal |
|
![]()
|
|
|
Structure Proposal # 573 GGVXIALZLBADBW Deviation = 2.24ppm
Search WEB for skeleton |
|
![]()
|
|
|
Structure Proposal # 574 WUMWXMBWFNFXGI Deviation = 2.24ppm
Search WEB for skeleton |
|
![]()
|
|
|
Structure Proposal # 575 YRXQAVRGPWXOIA Deviation = 2.24ppm
Search WEB for skeleton |
|
![]()
|
|
|
Structure Proposal # 576 HLPOVWCXILYSCO Deviation = 2.24ppm
Search WEB for skeleton respect to your proposal |
|
![]()
|
|
|
Structure Proposal # 577 IIHCPKRDEQVYFI Deviation = 2.24ppm
Search WEB for skeleton |
|
![]()
|
|
|
Structure Proposal # 578 NJMKFEKUYQOSPW Deviation = 2.24ppm
Search WEB for skeleton respect to your proposal |
|
![]()
|
|
|
Structure Proposal # 579 MPZLDOYYUSMJIF Deviation = 2.25ppm
Search WEB for skeleton |
|
![]()
|
|
|
Structure Proposal # 580 SZSHVIIWARBKHB Deviation = 2.25ppm
Search WEB for skeleton |
|
![]()
|
|
|
Structure Proposal # 581 XVBHXDLVFPBZQS Deviation = 2.25ppm
Search WEB for skeleton |
|
![]()
|
|
|
Structure Proposal # 582 FMPVUWCGUDVJAS Deviation = 2.25ppm
Search WEB for skeleton |
|
![]()
|
|
|
Structure Proposal # 583 NMRZMBZFHDGHCT Deviation = 2.25ppm
Search WEB for skeleton respect to your proposal |
|
![]()
|
|
|
Structure Proposal # 584 WBJVYMVYIUVZSA Deviation = 2.25ppm
Search WEB for skeleton |
|
![]()
|
|
|
Structure Proposal # 585 NBNBZSWXWAIRRB Deviation = 2.25ppm
Search WEB for skeleton |
|
![]()
|
|
|
Structure Proposal # 586 QZAHDUVHANPHIH Deviation = 2.25ppm
Search WEB for skeleton |
|
![]()
|
|
|
Structure Proposal # 587 YQIUPVQYWPMKJQ Deviation = 2.26ppm
Search WEB for skeleton |
|
![]()
|
|
|
Structure Proposal # 588 OOLQXDMCLYZYOG Deviation = 2.26ppm
Search WEB for skeleton |
|
![]()
|
|
|
Structure Proposal # 589 WQZXBGNKJSVXAW Deviation = 2.26ppm
Search WEB for skeleton respect to your proposal |
|
![]()
|
|
|
Structure Proposal # 590 XRFDFNZEKGETPT Deviation = 2.26ppm
Search WEB for skeleton |
|
![]()
|
|
|
Structure Proposal # 591 OQHNXBAIXPKKBD Deviation = 2.26ppm
Search WEB for skeleton |
|
![]()
|
|
|
Structure Proposal # 592 JXXXPXUQEOJVGD Deviation = 2.27ppm
Search WEB for skeleton respect to your proposal |
|
![]()
|
|
|
Structure Proposal # 593 GUIYLEIXJHTVMV Deviation = 2.27ppm
Search WEB for skeleton |
|
![]()
|
|
|
Structure Proposal # 594 FWTIPOSIFUQBRU Deviation = 2.27ppm
Search WEB for skeleton |
|
![]()
|
|
|
Structure Proposal # 595 GJYJILKLEUULLP Deviation = 2.27ppm
Search WEB for skeleton respect to your proposal |
|
![]()
|
|
|
Structure Proposal # 596 VERLMJANVUYJHQ Deviation = 2.27ppm
Search WEB for skeleton |
|
![]()
|
|
|
Structure Proposal # 597 CWCGBRYPRDFLON Deviation = 2.27ppm
Search WEB for skeleton |
|
![]()
|
|
|
Structure Proposal # 598 HTNKBTIZPXKGMD Deviation = 2.27ppm
Search WEB for skeleton |
|
![]()
|
|
|
Structure Proposal # 599 FXNICOFQPZIDPR Deviation = 2.28ppm
Search WEB for skeleton |
|
![]()
|
|
|
Structure Proposal # 600 KEBDLQXNAICDND Deviation = 2.28ppm
Search WEB for skeleton |
|
![]()
|
|
|
Structure Proposal # 601 KFTURGCZUXJZKG Deviation = 2.28ppm
Search WEB for skeleton respect to your proposal |
|
![]()
|
|
|
Structure Proposal # 602 DBNZPLHYABHNSA Deviation = 2.28ppm
Search WEB for skeleton respect to your proposal |
|
![]()
|
|
|
Structure Proposal # 603 FSVVASMWBYGGTK Deviation = 2.28ppm
Search WEB for skeleton |
|
![]()
|
|
|
Structure Proposal # 604 UWCXETYNSOUPNN Deviation = 2.28ppm
Search WEB for skeleton |
|
![]()
|
|
|
Structure Proposal # 605 IIKUROOPXVRMCI Deviation = 2.29ppm
Search WEB for skeleton |
|
![]()
|
|
|
Structure Proposal # 606 YQWCAAJOJUKYEQ Deviation = 2.29ppm
Search WEB for skeleton |
|
![]()
|
|
|
Structure Proposal # 607 FCMPXURTVWLROA Deviation = 2.29ppm
Search WEB for skeleton |
|
![]()
|
|
|
Structure Proposal # 608 KRCHLXWGFLTGQW Deviation = 2.29ppm
Search WEB for skeleton |
|
![]()
|
|
|
Structure Proposal # 609 SZYMOIUKOSDDJE Deviation = 2.29ppm
Search WEB for skeleton |
|
![]()
|
|
|
Structure Proposal # 610 XKBINTOUVKNZOZ Deviation = 2.29ppm
Search WEB for skeleton |
|
![]()
|
|
|
Structure Proposal # 611 KLQSLUIHWQBRNA Deviation = 2.29ppm
Search WEB for skeleton |
|
![]()
|
|
|
Structure Proposal # 612 OBYFZDMBNWTJGF Deviation = 2.29ppm
Search WEB for skeleton |
|
![]()
|
|
|
Structure Proposal # 613 DBLPNHAQMWOMOU Deviation = 2.30ppm
Search WEB for skeleton respect to your proposal |
|
![]()
|
|
|
Structure Proposal # 614 CEEYSOYVBDLUMN Deviation = 2.30ppm
Search WEB for skeleton |
|
![]()
|
|
|
Structure Proposal # 615 HTHBYZSACINYSR Deviation = 2.30ppm
Search WEB for skeleton |
|
![]()
|
|
|
Structure Proposal # 616 WNSZUNVBRCTSMC Deviation = 2.30ppm
Search WEB for skeleton |
|
![]()
|
|
|
Structure Proposal # 617 RTZMJORBIGDAHJ Deviation = 2.30ppm
Search WEB for skeleton |
|
![]()
|
|
|
Structure Proposal # 618 BUZWXPMTCYYFNL Deviation = 2.31ppm
Search WEB for skeleton |
|
![]()
|
|
|
Structure Proposal # 619 VXGWUVAKUDEPMV Deviation = 2.31ppm
Search WEB for skeleton |
|
![]()
|
|
|
Structure Proposal # 620 BEGUZEIMMCRFDL Deviation = 2.31ppm
Search WEB for skeleton |
|
![]()
|
|
|
Structure Proposal # 621 RVISPRGBSACMMO Deviation = 2.31ppm
Search WEB for skeleton |
|
![]()
|
|
|
Structure Proposal # 622 PNCLRCKZZMCNQL Deviation = 2.31ppm
Search WEB for skeleton respect to your proposal |
|
![]()
|
|
|
Structure Proposal # 623 IWQVSUWTPGCMIP Deviation = 2.31ppm
Search WEB for skeleton |
|
![]()
|
|
|
Structure Proposal # 624 LGMZLKMJPUXGDY Deviation = 2.31ppm
Search WEB for skeleton |
|
![]()
|
|
|
Structure Proposal # 625 GZKBVWLGZUHRIQ Deviation = 2.31ppm
Search WEB for skeleton |
|
![]()
|
|
|
Structure Proposal # 626 SUCDTPPEBSQWRT Deviation = 2.31ppm
Search WEB for skeleton respect to your proposal |
|
![]()
|
|
|
Structure Proposal # 627 JRTHBOIVOXRGJB Deviation = 2.31ppm
Search WEB for skeleton |
|
![]()
|
|
|
Structure Proposal # 628 ULSRNBNWHAVDSS Deviation = 2.31ppm
Search WEB for skeleton |
|
![]()
|
|
|
Structure Proposal # 629 FRWZCQNLJNMEHN Deviation = 2.31ppm
Search WEB for skeleton respect to your proposal |
|
![]()
|
|
|
Structure Proposal # 630 KKCNKKCXWBIHTJ Deviation = 2.32ppm
Search WEB for skeleton |
|
![]()
|
|
|
Structure Proposal # 631 JAHMUZUVUOHXEJ Deviation = 2.32ppm
Search WEB for skeleton respect to your proposal |
|
![]()
|
|
|
Structure Proposal # 632 DVZWRDURFSIRRE Deviation = 2.32ppm
Search WEB for skeleton |
|
![]()
|
|
|
Structure Proposal # 633 NATRNCWMVJPHHQ Deviation = 2.32ppm
Search WEB for skeleton respect to your proposal |
|
![]()
|
|
|
Structure Proposal # 634 WNJULCJQIYLDTJ Deviation = 2.32ppm
Search WEB for skeleton respect to your proposal |
|
![]()
|
|
|
Structure Proposal # 635 NXBRGECQFMIJGB Deviation = 2.32ppm
Search WEB for skeleton |
|
![]()
|
|
|
Structure Proposal # 636 FZGSXBROXSVQFB Deviation = 2.32ppm
Search WEB for skeleton |
|
![]()
|
|
|
Structure Proposal # 637 OXCUOACDUWTIPN Deviation = 2.33ppm
Search WEB for skeleton |
|
![]()
|
|
|
Structure Proposal # 638 JERXXDXAHTYOIO Deviation = 2.33ppm
Search WEB for skeleton |
|
![]()
|
|
|
Structure Proposal # 639 ZVDQTYBBSZVXPD Deviation = 2.33ppm
Search WEB for skeleton respect to your proposal |
|
![]()
|
|
|
Structure Proposal # 640 ZILVLMWHUVMYLX Deviation = 2.33ppm
Search WEB for skeleton |
|
![]()
|
|
|
Structure Proposal # 641 IPUWAYVJABIWRS Deviation = 2.33ppm
Search WEB for skeleton |
|
![]()
|
|
|
Structure Proposal # 642 HZRBFHWFOIRZPI Deviation = 2.33ppm
Search WEB for skeleton |
|
![]()
|
|
|
Structure Proposal # 643 QWVXQMYSYUWPHF Deviation = 2.33ppm
Search WEB for skeleton |
|
![]()
|
|
|
Structure Proposal # 644 FNFUIQLDALULMB Deviation = 2.33ppm
Search WEB for skeleton respect to your proposal |
|
![]()
|
|
|
Structure Proposal # 645 LLZJLZTUMLLATQ Deviation = 2.33ppm
Search WEB for skeleton |
|
![]()
|
|
|
Structure Proposal # 646 AZTQRLYLILRKGO Deviation = 2.33ppm
Search WEB for skeleton |
|
![]()
|
|
|
Structure Proposal # 647 OKEGNZNGBWDOQO Deviation = 2.33ppm
Search WEB for skeleton respect to your proposal |
|
![]()
|
|
|
Structure Proposal # 648 GQBGAABSGGTWEL Deviation = 2.33ppm
Search WEB for skeleton respect to your proposal |
|
![]()
|
|
|
Structure Proposal # 649 BEXPOTKVIMZAJI Deviation = 2.33ppm
Search WEB for skeleton respect to your proposal |
|
![]()
|
|
|
Structure Proposal # 650 CNZGQBQYEMLBSV Deviation = 2.34ppm
Search WEB for skeleton |
|
![]()
|
|
|
Structure Proposal # 651 NKEFVHAIVCOQGV Deviation = 2.34ppm
Search WEB for skeleton |
|
![]()
|
|
|
Structure Proposal # 652 VDKFUUCLIMLWKW Deviation = 2.34ppm
Search WEB for skeleton respect to your proposal |
|
![]()
|
|
|
Structure Proposal # 653 WMAHUMDACMBPSK Deviation = 2.34ppm
Search WEB for skeleton |
|
![]()
|
|
|
Structure Proposal # 654 YNDHHRHMHOOOAV Deviation = 2.34ppm
Search WEB for skeleton |
|
![]()
|
|
|
Structure Proposal # 655 OCGWYTWCQKEYML Deviation = 2.34ppm
Search WEB for skeleton respect to your proposal |
|
![]()
|
|
|
Structure Proposal # 656 YNHWBTHKNTXXIC Deviation = 2.34ppm
Search WEB for skeleton respect to your proposal |
|
![]()
|
|
|
Structure Proposal # 657 FVLYMMHMJFAPHC Deviation = 2.34ppm
Search WEB for skeleton respect to your proposal |
|
![]()
|
|
|
Structure Proposal # 658 ZLIRTXYURCZAHJ Deviation = 2.34ppm
Search WEB for skeleton |
|
![]()
|
|
|
Structure Proposal # 659 DVVNHPNAHDERAP Deviation = 2.34ppm
Search WEB for skeleton |
|
![]()
|
|
|
Structure Proposal # 660 TZKGGIXBIPXDBC Deviation = 2.34ppm
Search WEB for skeleton respect to your proposal |
|
![]()
|
|
|
Structure Proposal # 661 YBMZNEZWDMALDK Deviation = 2.34ppm
Search WEB for skeleton |
|
![]()
|
|
|
Structure Proposal # 662 SFTXNLSODFAKDN Deviation = 2.34ppm
Search WEB for skeleton respect to your proposal |
|
![]()
|
|
|
Structure Proposal # 663 SXPQQZGLAMRLFB Deviation = 2.34ppm
Search WEB for skeleton respect to your proposal |
|
![]()
|
|
|
Structure Proposal # 664 MXHGBQUKLRVYIV Deviation = 2.35ppm
Search WEB for skeleton respect to your proposal |
|
![]()
|
|
|
Structure Proposal # 665 RYFZQHDCOGOGQQ Deviation = 2.35ppm
Search WEB for skeleton |
|
![]()
|
|
|
Structure Proposal # 666 CGWADRCXTJMVJL Deviation = 2.35ppm
Search WEB for skeleton |
|
![]()
|
|
|
Structure Proposal # 667 FBBKDYNHYMHOPM Deviation = 2.35ppm
Search WEB for skeleton |
|
![]()
|
|
|
Structure Proposal # 668 HTKVPURDTVGZFY Deviation = 2.35ppm
Search WEB for skeleton respect to your proposal |
|
![]()
|
|
|
Structure Proposal # 669 MDTQAEVQAFCNNQ Deviation = 2.36ppm
Search WEB for skeleton respect to your proposal |
|
![]()
|
|
|
Structure Proposal # 670 CJTCASVDRLABHE Deviation = 2.36ppm
Search WEB for skeleton respect to your proposal |
|
![]()
|
|
|
Structure Proposal # 671 POXXYBGDSIZBNP Deviation = 2.36ppm
Search WEB for skeleton respect to your proposal |
|
![]()
|
|
|
Structure Proposal # 672 KWUSRIVVVKENGL Deviation = 2.36ppm
Search WEB for skeleton respect to your proposal |
|
![]()
|
|
|
Structure Proposal # 673 LDCKGIJDHIEANA Deviation = 2.36ppm
Search WEB for skeleton |
|
![]()
|
|
|
Structure Proposal # 674 HLGWKUGGWFAOOO Deviation = 2.36ppm
Search WEB for skeleton respect to your proposal |
|
![]()
|
|
|
Structure Proposal # 675 IRXRWVBHHMBAJS Deviation = 2.37ppm
Search WEB for skeleton |
|
![]()
|
|
|
Structure Proposal # 676 YCFRKPOESILOTE Deviation = 2.37ppm
Search WEB for skeleton |
|
![]()
|
|
|
Structure Proposal # 677 VDYPNVMFTQRCJB Deviation = 2.37ppm
Search WEB for skeleton |
|
![]()
|
|
|
Structure Proposal # 678 VEYMBBWLXQKYJT Deviation = 2.37ppm
Search WEB for skeleton respect to your proposal |
|
![]()
|
|
|
Structure Proposal # 679 LCHTVRJMOXUMRW Deviation = 2.37ppm
Search WEB for skeleton respect to your proposal |
|
![]()
|
|
|
Structure Proposal # 680 AJVUUXWUDGIBDY Deviation = 2.37ppm
Search WEB for skeleton |
|
![]()
|
|
|
Structure Proposal # 681 KSRFGNQSYSEJED Deviation = 2.37ppm
Search WEB for skeleton |
|
![]()
|
|
|
Structure Proposal # 682 YKWQEQNXFVRZFU Deviation = 2.37ppm
Search WEB for skeleton |
|
![]()
|
|
|
Structure Proposal # 683 BVHHATYVXIAZAJ Deviation = 2.37ppm
Search WEB for skeleton |
|
![]()
|
|
|
Structure Proposal # 684 TXZFKAWWDVNJIV Deviation = 2.38ppm
Search WEB for skeleton respect to your proposal |
|
![]()
|
|
|
Structure Proposal # 685 BUZQRJJUZZMUMU Deviation = 2.38ppm
Search WEB for skeleton |
|
![]()
|
|
|
Structure Proposal # 686 KJBZFFSCWNOBNI Deviation = 2.38ppm
Search WEB for skeleton respect to your proposal |
|
![]()
|
|
|
Structure Proposal # 687 UWSCWGCYTFQSJS Deviation = 2.38ppm
Search WEB for skeleton |
|
![]()
|
|
|
Structure Proposal # 688 MAEFBVOEAMMLIZ Deviation = 2.38ppm
Search WEB for skeleton |
|
![]()
|
|
|
Structure Proposal # 689 OYCHNKGZHACLPX Deviation = 2.38ppm
Search WEB for skeleton respect to your proposal |
|
![]()
|
|
|
Structure Proposal # 690 CDXLWSHXBGLHLB Deviation = 2.38ppm
Search WEB for skeleton |
|
![]()
|
|
|
Structure Proposal # 691 YEGWSYRVMPUFDR Deviation = 2.38ppm
Search WEB for skeleton |
|
![]()
|
|
|
Structure Proposal # 692 UJWWFUBBAYGEKE Deviation = 2.38ppm
Search WEB for skeleton respect to your proposal |
|
![]()
|
|
|
Structure Proposal # 693 PKKBIOKIHBKWKW Deviation = 2.38ppm
Search WEB for skeleton respect to your proposal |
|
![]()
|
|
|
Structure Proposal # 694 YQSMNOOGFGPOMM Deviation = 2.38ppm
Search WEB for skeleton |
|
![]()
|
|
|
Structure Proposal # 695 JHOOBGVRWDDUHV Deviation = 2.39ppm
Search WEB for skeleton |
|
![]()
|
|
|
Structure Proposal # 696 JQGMDLGEGUEJJJ Deviation = 2.39ppm
Search WEB for skeleton respect to your proposal |
|
![]()
|
|
|
Structure Proposal # 697 KDKDCZWZHOCFOX Deviation = 2.39ppm
Search WEB for skeleton respect to your proposal |
|
![]()
|
|
|
Structure Proposal # 698 KMYIKHLYRJZKOR Deviation = 2.39ppm
Search WEB for skeleton |
|
![]()
|
|
|
Structure Proposal # 699 HHBYFUIMMPUXMO Deviation = 2.39ppm
Search WEB for skeleton respect to your proposal |
|
![]()
|
|
|
Structure Proposal # 700 RVWGKVBKSDALBG Deviation = 2.39ppm
Search WEB for skeleton |
|
![]()
|
|
|
Structure Proposal # 701 DNSLTHGTUUFLDW Deviation = 2.39ppm
Search WEB for skeleton respect to your proposal |
|
![]()
|
|
|
Structure Proposal # 702 XPPFCBRRDZOJNL Deviation = 2.39ppm
Search WEB for skeleton respect to your proposal |
|
![]()
|
|
|
Structure Proposal # 703 LFAMWHTZUAJZRO Deviation = 2.39ppm
Search WEB for skeleton respect to your proposal |
|
![]()
|
|
|
Structure Proposal # 704 ILLQMXUGEQGCRZ Deviation = 2.39ppm
Search WEB for skeleton respect to your proposal |
|
![]()
|
|
|
Structure Proposal # 705 IGHSVDOSJIRXHT Deviation = 2.39ppm
Search WEB for skeleton respect to your proposal |
|
![]()
|
|
|
Structure Proposal # 706 WLVJCEVPIBTVIN Deviation = 2.39ppm
Search WEB for skeleton respect to your proposal |
|
![]()
|
|
|
Structure Proposal # 707 OPRIGASKDVHIHT Deviation = 2.39ppm
Search WEB for skeleton respect to your proposal |
|
![]()
|
|
|
Structure Proposal # 708 GQWVOBGHKRGUBO Deviation = 2.40ppm
Search WEB for skeleton |
|
![]()
|
|
|
Structure Proposal # 709 DFSVSBNPRCGZFS Deviation = 2.40ppm
Search WEB for skeleton respect to your proposal |
|
![]()
|
|
|
Structure Proposal # 710 ZJXOHNUQYZBNGE Deviation = 2.40ppm
Search WEB for skeleton |
|
![]()
|
|
|
Structure Proposal # 711 VYXYQAABTSKFAY Deviation = 2.40ppm
Search WEB for skeleton |
|
![]()
|
|
|
Structure Proposal # 712 KZKKLPKPJNDTBN Deviation = 2.40ppm
Search WEB for skeleton |
|
![]()
|
|
|
Structure Proposal # 713 DJVWBDUGGCLOJY Deviation = 2.40ppm
Search WEB for skeleton |
|
![]()
|
|
|
Structure Proposal # 714 YSEIRIXJDKUWBX Deviation = 2.40ppm
Search WEB for skeleton respect to your proposal |
|
![]()
|
|
|
Structure Proposal # 715 ACOQAAIIBXQNKF Deviation = 2.40ppm
Search WEB for skeleton |
|
![]()
|
|
|
Structure Proposal # 716 FFFXPPYEWPCICY Deviation = 2.40ppm
Search WEB for skeleton |
|
![]()
|
|
|
Structure Proposal # 717 ODVYHUAZGMFBBY Deviation = 2.40ppm
Search WEB for skeleton |
|
![]()
|
|
|
Structure Proposal # 718 ITYYAXCGGPOIMR Deviation = 2.41ppm
Search WEB for skeleton |
|
![]()
|
|
|
Structure Proposal # 719 QBVNGFVIRJAUIN Deviation = 2.41ppm
Search WEB for skeleton |
|
![]()
|
|
|
Structure Proposal # 720 CNNCGSGTAUUEEE Deviation = 2.41ppm
Search WEB for skeleton |
|
![]()
|
|
|
Structure Proposal # 721 YBYNYBYLTAKPOY Deviation = 2.41ppm
Search WEB for skeleton |
|
![]()
|
|
|
Structure Proposal # 722 GFXHDSPNLYOHNJ Deviation = 2.41ppm
Search WEB for skeleton |
|
![]()
|
|
|
Structure Proposal # 723 RBDZTSWNJBSNMG Deviation = 2.41ppm
Search WEB for skeleton |
|
![]()
|
|
|
Structure Proposal # 724 RDDUOOPXRSRHHD Deviation = 2.41ppm
Search WEB for skeleton |
|
![]()
|
|
|
Structure Proposal # 725 MJFHHQDYHKVUKW Deviation = 2.41ppm
Search WEB for skeleton |
|
![]()
|
|
|
Structure Proposal # 726 OUUMHJNLLQMKFZ Deviation = 2.41ppm
Search WEB for skeleton respect to your proposal |
|
![]()
|
|
|
Structure Proposal # 727 WNCXGOGHKWQMSA Deviation = 2.41ppm
Search WEB for skeleton |
|
![]()
|
|
|
Structure Proposal # 728 WTTWKWQCJCCLEM Deviation = 2.42ppm
Search WEB for skeleton |
|
![]()
|
|
|
Structure Proposal # 729 NENFOQLDBLMZPR Deviation = 2.42ppm
Search WEB for skeleton |
|
![]()
|
|
|
Structure Proposal # 730 IPNRNLTYFWFQBH Deviation = 2.42ppm
Search WEB for skeleton |
|
![]()
|
|
|
Structure Proposal # 731 ZXROVSGJVNPHBH Deviation = 2.42ppm
Search WEB for skeleton |
|
![]()
|
|
|
Structure Proposal # 732 RTPTUIOIWZJTRQ Deviation = 2.42ppm
Search WEB for skeleton respect to your proposal |
|
![]()
|
|
|
Structure Proposal # 733 REIVGGZMDXJXJO Deviation = 2.42ppm
Search WEB for skeleton |
|
![]()
|
|
|
Structure Proposal # 734 JUHFFIHJJDKMEC Deviation = 2.42ppm
Search WEB for skeleton respect to your proposal |
|
![]()
|
|
|
Structure Proposal # 735 RGAFAZTVQGOQQG Deviation = 2.42ppm
Search WEB for skeleton |
|
![]()
|
|
|
Structure Proposal # 736 SSLYGEQIWXNYBD Deviation = 2.42ppm
Search WEB for skeleton |
|
![]()
|
|
|
Structure Proposal # 737 TXUQMVBCXOYEOI Deviation = 2.42ppm
Search WEB for skeleton |
|
![]()
|
|
|
Structure Proposal # 738 IXNHXHPNKKSOLU Deviation = 2.43ppm
Search WEB for skeleton |
|
![]()
|
|
|
Structure Proposal # 739 QOZKDIAVDCPXJL Deviation = 2.43ppm
Search WEB for skeleton respect to your proposal |
|
![]()
|
|
|
Structure Proposal # 740 XJXBTDJYWVAPFN Deviation = 2.43ppm
Search WEB for skeleton |
|
![]()
|
|
|
Structure Proposal # 741 SEPWHGZEAULOJN Deviation = 2.43ppm
Search WEB for skeleton respect to your proposal |
|
![]()
|
|
|
Structure Proposal # 742 KTOZQMWBUDOIBX Deviation = 2.43ppm
Search WEB for skeleton respect to your proposal |
|
![]()
|
|
|
Structure Proposal # 743 OBOVOCCITRLSBT Deviation = 2.43ppm
Search WEB for skeleton |
|
![]()
|
|
|
Structure Proposal # 744 QNKYYQKXHVAKDL Deviation = 2.43ppm
Search WEB for skeleton |
|
![]()
|
|
|
Structure Proposal # 745 VQIXMQIALALRTL Deviation = 2.44ppm
Search WEB for skeleton |
|
![]()
|
|
|
Structure Proposal # 746 QKRCXLHHMVHVKX Deviation = 2.44ppm
Search WEB for skeleton |
|
![]()
|
|
|
Structure Proposal # 747 ACWFSAJCGHBHRD Deviation = 2.44ppm
Search WEB for skeleton respect to your proposal |
|
![]()
|
|
|
Structure Proposal # 748 RMPFYHRSJOALRO Deviation = 2.44ppm
Search WEB for skeleton respect to your proposal |
|
![]()
|
|
|
Structure Proposal # 749 LHOWGTHPRXUAOI Deviation = 2.44ppm
Search WEB for skeleton |
|
![]()
|
|
|
Structure Proposal # 750 XITUHHOINAJSFR Deviation = 2.44ppm
Search WEB for skeleton |
|
![]()
|
|
|
Structure Proposal # 751 JLKKHXCUUMDOCC Deviation = 2.44ppm
Search WEB for skeleton respect to your proposal |
|
![]()
|
|
|
Structure Proposal # 752 KSYJPJIAMPWCIG Deviation = 2.45ppm
Search WEB for skeleton respect to your proposal |
|
![]()
|
|
|
Structure Proposal # 753 CJZSRNYEUYIZPV Deviation = 2.45ppm
Search WEB for skeleton respect to your proposal |
|
![]()
|
|
|
Structure Proposal # 754 ZCVJLHSKASXBQQ Deviation = 2.45ppm
Search WEB for skeleton respect to your proposal |
|
![]()
|
|
|
Structure Proposal # 755 OYVSQZKEJAKUPT Deviation = 2.45ppm
Search WEB for skeleton |
|
![]()
|
|
|
Structure Proposal # 756 KTSNWPAUGZVIBR Deviation = 2.45ppm
Search WEB for skeleton respect to your proposal |
|
![]()
|
|
|
Structure Proposal # 757 JWJHBVFFDSUTJA Deviation = 2.45ppm
Search WEB for skeleton |
|
![]()
|
|
|
Structure Proposal # 758 YHBPVXIIMCXOGB Deviation = 2.45ppm
Search WEB for skeleton respect to your proposal |
|
![]()
|
|
|
Structure Proposal # 759 PEVZDZHODMAKBB Deviation = 2.45ppm
Search WEB for skeleton respect to your proposal |
|
![]()
|
|
|
Structure Proposal # 760 KAOGMVSGASPCTG Deviation = 2.45ppm
Search WEB for skeleton |
|
![]()
|
|
|
Structure Proposal # 761 WMXVHTDOWGNTSG Deviation = 2.45ppm
Search WEB for skeleton |
|
![]()
|
|
|
Structure Proposal # 762 WFYGHOKRVMSTLP Deviation = 2.45ppm
Search WEB for skeleton |
|
![]()
|
|
|
Structure Proposal # 763 AXEGROSQJLUAHG Deviation = 2.46ppm
Search WEB for skeleton |
|
![]()
|
|
|
Structure Proposal # 764 HSIIOLXUCFRHHS Deviation = 2.46ppm
Search WEB for skeleton |
|
![]()
|
|
|
Structure Proposal # 765 FVIFRSCDOWHQPR Deviation = 2.46ppm
Search WEB for skeleton respect to your proposal |
|
![]()
|
|
|
Structure Proposal # 766 DETLLFLUJLTOKG Deviation = 2.46ppm
Search WEB for skeleton respect to your proposal |
|
![]()
|
|
|
Structure Proposal # 767 IFKSXUHTUXJRPR Deviation = 2.46ppm
Search WEB for skeleton |
|
![]()
|
|
|
Structure Proposal # 768 DCZOXOIXAIPSRC Deviation = 2.46ppm
Search WEB for skeleton respect to your proposal |
|
![]()
|
|
|
Structure Proposal # 769 WXEQUWPGLFLZGX Deviation = 2.46ppm
Search WEB for skeleton |
|
![]()
|
|
|
Structure Proposal # 770 MHIHFZXPTSWQRB Deviation = 2.46ppm
Search WEB for skeleton respect to your proposal |
|
![]()
|
|
|
Structure Proposal # 771 LEFUNTFPHMIAFH Deviation = 2.46ppm
Search WEB for skeleton |
|
![]()
|
|
|
Structure Proposal # 772 VEJCQGCPVQLYRQ Deviation = 2.46ppm
Search WEB for skeleton |
|
![]()
|
|
|
Structure Proposal # 773 OZTASCYEWWIFLN Deviation = 2.46ppm
Search WEB for skeleton |
|
![]()
|
|
|
Structure Proposal # 774 KUVZRUBWYDMREW Deviation = 2.47ppm
Search WEB for skeleton |
|
![]()
|
|
|
Structure Proposal # 775 UYHNJNAQBKKFNF Deviation = 2.47ppm
Search WEB for skeleton |
|
![]()
|
|
|
Structure Proposal # 776 ORGMNFIFOLNKJT Deviation = 2.47ppm
Search WEB for skeleton respect to your proposal |
|
![]()
|
|
|
Structure Proposal # 777 IYHUCTIFKBETMG Deviation = 2.47ppm
Search WEB for skeleton respect to your proposal |
|
![]()
|
|
|
Structure Proposal # 778 RZMWLODSOPAMJR Deviation = 2.47ppm
Search WEB for skeleton respect to your proposal |
|
![]()
|
|
|
Structure Proposal # 779 ACRGGTJWAIZVPK Deviation = 2.47ppm
Search WEB for skeleton |
|
![]()
|
|
|
Structure Proposal # 780 ZBIFWQDIHAQWRQ Deviation = 2.47ppm
Search WEB for skeleton |
|
![]()
|
|
|
Structure Proposal # 781 BGTVGUARMKNDGH Deviation = 2.47ppm
Search WEB for skeleton respect to your proposal |
|
![]()
|
|
|
Structure Proposal # 782 QICOUMFBPZYGMJ Deviation = 2.47ppm
Search WEB for skeleton |
|
![]()
|
|
|
Structure Proposal # 783 LRKYTYCZLCGZPJ Deviation = 2.47ppm
Search WEB for skeleton respect to your proposal |
|
![]()
|
|
|
Structure Proposal # 784 NWUIVRFAQOWFGK Deviation = 2.47ppm
Search WEB for skeleton respect to your proposal |
|
![]()
|
|
|
Structure Proposal # 785 ZNVPHWNIHVJAIO Deviation = 2.48ppm
Search WEB for skeleton |
|
![]()
|
|
|
Structure Proposal # 786 JXPRCFLSSHUGPQ Deviation = 2.48ppm
Search WEB for skeleton |
|
![]()
|
|
|
Structure Proposal # 787 BKRVXNYPUMQHJN Deviation = 2.48ppm
Search WEB for skeleton |
|
![]()
|
|
|
Structure Proposal # 788 JZJVPWGFTYLZNH Deviation = 2.48ppm
Search WEB for skeleton respect to your proposal |
|
![]()
|
|
|
Structure Proposal # 789 HZTYWIBSVOUNCA Deviation = 2.48ppm
Search WEB for skeleton |
|
![]()
|
|
|
Structure Proposal # 790 YCUGOVCNMQNTKM Deviation = 2.48ppm
Search WEB for skeleton |
|
![]()
|
|
|
Structure Proposal # 791 QNJYYJSVMNCTFA Deviation = 2.48ppm
Search WEB for skeleton |
|
![]()
|
|
|
Structure Proposal # 792 DSVLQOXHOXUPNY Deviation = 2.48ppm
Search WEB for skeleton |
|
![]()
|
|
|
Structure Proposal # 793 LGCONCBBUHLLBA Deviation = 2.48ppm
Search WEB for skeleton |
|
![]()
|
|
|
Structure Proposal # 794 HCEIVJCEQFQIFI Deviation = 2.48ppm
Search WEB for skeleton |
|
![]()
|
|
|
Structure Proposal # 795 FLKNVZLHBYBZQB Deviation = 2.48ppm
Search WEB for skeleton |
|
![]()
|
|
|
Structure Proposal # 796 HWBZQAXBKAIFGM Deviation = 2.48ppm
Search WEB for skeleton |
|
![]()
|
|
|
Structure Proposal # 797 AUVWYHOCABQGLP Deviation = 2.48ppm
Search WEB for skeleton respect to your proposal |
|
![]()
|
|
|
Structure Proposal # 798 IGYCGJFIXKSWSA Deviation = 2.48ppm
Search WEB for skeleton |
|
![]()
|
|
|
Structure Proposal # 799 JLDPTGKGEJUJSQ Deviation = 2.49ppm
Search WEB for skeleton respect to your proposal |
|
![]()
|
|
|
Structure Proposal # 800 SQYBXTAZCJUKBS Deviation = 2.49ppm
Search WEB for skeleton respect to your proposal |
|
![]()
|
|
|
Structure Proposal # 801 JNUHSAWYOAWZQR Deviation = 2.49ppm
Search WEB for skeleton respect to your proposal |
|
![]()
|
|
|
Structure Proposal # 802 QNONZEVQJNXFLA Deviation = 2.49ppm
Search WEB for skeleton |
|
![]()
|
|
|
Structure Proposal # 803 MKHKANFNURVDBW Deviation = 2.49ppm
Search WEB for skeleton |
|
![]()
|
|
|
Structure Proposal # 804 YXODNOZDEAQBCU Deviation = 2.49ppm
Search WEB for skeleton |
|
![]()
|
|
|
Structure Proposal # 805 WUZMIGWGUQAMNE Deviation = 2.49ppm
Search WEB for skeleton |
|
![]()
|
|
|
Structure Proposal # 806 ZYBLOBNUZWJSMX Deviation = 2.49ppm
Search WEB for skeleton |
|
![]()
|
|
|
Structure Proposal # 807 POVBBZKYQDDONE Deviation = 2.50ppm
Search WEB for skeleton |
|
![]()
|
|
|
Structure Proposal # 808 FNEQDTVVQMHZEW Deviation = 2.50ppm
Search WEB for skeleton |
|
![]()
|
|
|
Structure Proposal # 809 ZVWWSKILVXQLNH Deviation = 2.50ppm
Search WEB for skeleton respect to your proposal |
|
![]()
|
|
|
Structure Proposal # 810 BXUQNTUZNUJNAJ Deviation = 2.50ppm
Search WEB for skeleton respect to your proposal |
|
![]()
|
|
|
Structure Proposal # 811 GDIZOSLOHKAGNB Deviation = 2.50ppm
Search WEB for skeleton respect to your proposal |
|
![]()
|
|
|
Structure Proposal # 812 PTDZAPLACIHCQN Deviation = 2.50ppm
Search WEB for skeleton respect to your proposal |
|
![]()
|
|
|
Structure Proposal # 813 DHUIGDZONOXEHE Deviation = 2.50ppm
Search WEB for skeleton respect to your proposal |
|
![]()
|
|
|
Structure Proposal # 814 VTOCNBBMCUBHCK Deviation = 2.50ppm
Search WEB for skeleton respect to your proposal |
|
![]()
|
|
|
Structure Proposal # 815 UUCNEVFRSHZSDV Deviation = 2.50ppm
Search WEB for skeleton respect to your proposal |
|
![]()
|
|
|
Structure Proposal # 816 ADSZYSNPLAQTSU Deviation = 2.50ppm
Search WEB for skeleton respect to your proposal |
|
![]()
|
|
|
Structure Proposal # 817 WWIQZDXQXROIJB Deviation = 2.50ppm
Search WEB for skeleton respect to your proposal |
|
![]()
|
|
|
Structure Proposal # 818 GIHJPGAHGMHKSH Deviation = 2.50ppm
Search WEB for skeleton respect to your proposal |
|
![]()
|
|
|
Structure Proposal # 819 IPMVVSYPOKWOLR Deviation = 2.51ppm
Search WEB for skeleton |
|
![]()
|
|
|
Structure Proposal # 820 QLAUBXPTIXMRCN Deviation = 2.51ppm
Search WEB for skeleton respect to your proposal |
|
![]()
|
|
|
Structure Proposal # 821 JPHKGNAAORHHCX Deviation = 2.51ppm
Search WEB for skeleton |
|
![]()
|
|
|
Structure Proposal # 822 INMGXXLRNLEVDG Deviation = 2.51ppm
Search WEB for skeleton respect to your proposal |
|
![]()
|
|
|
Structure Proposal # 823 JZHKDBUOGYHJKQ Deviation = 2.51ppm
Search WEB for skeleton |
|
![]()
|
|
|
Structure Proposal # 824 NOEFUHJADQKMLD Deviation = 2.51ppm
Search WEB for skeleton |
|
![]()
|
|
|
Structure Proposal # 825 IPWPNBXIMOOCQW Deviation = 2.51ppm
Search WEB for skeleton |
|
![]()
|
|
|
Structure Proposal # 826 LYHFXDKROUJIEQ Deviation = 2.51ppm
Search WEB for skeleton |
|
![]()
|
|
|
Structure Proposal # 827 CYIANPSYKOOCGS Deviation = 2.51ppm
Search WEB for skeleton |
|
![]()
|
|
|
Structure Proposal # 828 SVDWEIGKYGPHFP Deviation = 2.51ppm
Search WEB for skeleton |
|
![]()
|
|
|
Structure Proposal # 829 RMCOHHZZQXCPEF Deviation = 2.52ppm
Search WEB for skeleton respect to your proposal |
|
![]()
|
|
|
Structure Proposal # 830 SGQPGJLABCGOCG Deviation = 2.52ppm
Search WEB for skeleton |
|
![]()
|
|
|
Structure Proposal # 831 XFRBQJDBSHKDGT Deviation = 2.52ppm
Search WEB for skeleton |
|
![]()
|
|
|
Structure Proposal # 832 VGNDEJJNQBLCAV Deviation = 2.52ppm
Search WEB for skeleton |
|
![]()
|
|
|
Structure Proposal # 833 JULPCFQIMIEYQT Deviation = 2.53ppm
Search WEB for skeleton |
|
![]()
|
|
|
Structure Proposal # 834 CGYVHZZJGKFHDG Deviation = 2.53ppm
Search WEB for skeleton |
|
![]()
|
|
|
Structure Proposal # 835 JZXRBFOQEIFOQD Deviation = 2.53ppm
Search WEB for skeleton |
|
![]()
|
|
|
Structure Proposal # 836 WAEBKBXEIWEFPD Deviation = 2.53ppm
Search WEB for skeleton respect to your proposal |
|
![]()
|
|
|
Structure Proposal # 837 FKLMIQSQZCDXME Deviation = 2.53ppm
Search WEB for skeleton respect to your proposal |
|
![]()
|
|
|
Structure Proposal # 838 KRLJTCFUVVVINQ Deviation = 2.54ppm
Search WEB for skeleton |
|
![]()
|
|
|
Structure Proposal # 839 ROSHMHOONWTYKS Deviation = 2.54ppm
Search WEB for skeleton respect to your proposal |
|
![]()
|
|
|
Structure Proposal # 840 CWPYLIJCZKAADA Deviation = 2.54ppm
Search WEB for skeleton respect to your proposal |
|
![]()
|
|
|
Structure Proposal # 841 AJLVTLLRWFTPDI Deviation = 2.54ppm
Search WEB for skeleton |
|
![]()
|
|
|
Structure Proposal # 842 DCQKGKGNNVBCTR Deviation = 2.54ppm
Search WEB for skeleton |
|
![]()
|
|
|
Structure Proposal # 843 MTTWZJDODPTHRN Deviation = 2.54ppm
Search WEB for skeleton |
|
![]()
|
|
|
Structure Proposal # 844 YAEZXEXZCILGON Deviation = 2.54ppm
Search WEB for skeleton respect to your proposal |
|
![]()
|
|
|
Structure Proposal # 845 IAAQDFWNMXMAIH Deviation = 2.54ppm
Search WEB for skeleton |
|
![]()
|
|
|
Structure Proposal # 846 POQPISFTZQXGCV Deviation = 2.54ppm
Search WEB for skeleton |
|
![]()
|
|
|
Structure Proposal # 847 YOVZLPQNXNFCFD Deviation = 2.54ppm
Search WEB for skeleton |
|
![]()
|
|
|
Structure Proposal # 848 BKHXYJIBCMIMPW Deviation = 2.55ppm
Search WEB for skeleton respect to your proposal |
|
![]()
|
|
|
Structure Proposal # 849 SELLOLBCOSEZML Deviation = 2.55ppm
Search WEB for skeleton |
|
![]()
|
|
|
Structure Proposal # 850 FOHIVNPZGVWMBW Deviation = 2.55ppm
Search WEB for skeleton |
|
![]()
|
|
|
Structure Proposal # 851 QCEKUZRMLAVHER Deviation = 2.55ppm
Search WEB for skeleton respect to your proposal |
|
![]()
|
|
|
Structure Proposal # 852 KQFJBVKMNOFJHK Deviation = 2.55ppm
Search WEB for skeleton respect to your proposal |
|
![]()
|
|
|
Structure Proposal # 853 QIWINLJQPUGIAX Deviation = 2.55ppm
Search WEB for skeleton |
|
![]()
|
|
|
Structure Proposal # 854 VZIUANYQQOUCMV Deviation = 2.56ppm
Search WEB for skeleton |
|
![]()
|
|
|
Structure Proposal # 855 UIYDLQLXWAVOHU Deviation = 2.56ppm
Search WEB for skeleton |
|
![]()
|
|
|
Structure Proposal # 856 OXOSVVMTWVGLNC Deviation = 2.56ppm
Search WEB for skeleton |
|
![]()
|
|
|
Structure Proposal # 857 LBDWPCFTUCGTSI Deviation = 2.56ppm
Search WEB for skeleton |
|
![]()
|
|
|
Structure Proposal # 858 CZASOXNDMVKYRW Deviation = 2.56ppm
Search WEB for skeleton |
|
![]()
|
|
|
Structure Proposal # 859 OIUZSOOULJNNOA Deviation = 2.56ppm
Search WEB for skeleton respect to your proposal |
|
![]()
|
|
|
Structure Proposal # 860 BJEDXSXWECCQAK Deviation = 2.56ppm
Search WEB for skeleton respect to your proposal |
|
![]()
|
|
|
Structure Proposal # 861 JKVVRQOIPSUXSL Deviation = 2.56ppm
Search WEB for skeleton respect to your proposal |
|
![]()
|
|
|
Structure Proposal # 862 YQEWBCJDAFBCBC Deviation = 2.57ppm
Search WEB for skeleton respect to your proposal |
|
![]()
|
|
|
Structure Proposal # 863 HGXVWTXAGXHQJH Deviation = 2.57ppm
Search WEB for skeleton |
|
![]()
|
|
|
Structure Proposal # 864 OTMIBOAJBYFMID Deviation = 2.57ppm
Search WEB for skeleton |
|
![]()
|
|
|
Structure Proposal # 865 PHTISROEFYPKNX Deviation = 2.57ppm
Search WEB for skeleton |
|
![]()
|
|
|
Structure Proposal # 866 PQDNFNVZMOSNNQ Deviation = 2.58ppm
Search WEB for skeleton |
|
![]()
|
|
|
Structure Proposal # 867 SARDXVILAKUDOC Deviation = 2.58ppm
Search WEB for skeleton |
|
![]()
|
|
|
Structure Proposal # 868 GYLQUPPQXRPAOB Deviation = 2.58ppm
Search WEB for skeleton |
|
![]()
|
|
|
Structure Proposal # 869 WJCLVIWYJCQIEZ Deviation = 2.58ppm
Search WEB for skeleton |
|
![]()
|
|
|
Structure Proposal # 870 BGKTUMOEMNFARD Deviation = 2.58ppm
Search WEB for skeleton |
|
![]()
|
|
|
Structure Proposal # 871 LAMIQMYJFZICTR Deviation = 2.58ppm
Search WEB for skeleton |
|
![]()
|
|
|
Structure Proposal # 872 MDMSWOQRABJDBS Deviation = 2.59ppm
Search WEB for skeleton respect to your proposal |
|
![]()
|
|
|
Structure Proposal # 873 CKKPZFYXPXJWAM Deviation = 2.59ppm
Search WEB for skeleton |
|
![]()
|
|
|
Structure Proposal # 874 NQCTXQKINXLDHJ Deviation = 2.59ppm
Search WEB for skeleton respect to your proposal |
|
![]()
|
|
|
Structure Proposal # 875 FBLNZCCHLODNKR Deviation = 2.59ppm
Search WEB for skeleton |
|
![]()
|
|
|
Structure Proposal # 876 UPMQTESKEYYIDP Deviation = 2.59ppm
Search WEB for skeleton |
|
![]()
|
|
|
Structure Proposal # 877 OBDKTSPVUZKVGR Deviation = 2.59ppm
Search WEB for skeleton respect to your proposal |
|
![]()
|
|
|
Structure Proposal # 878 AMDUGDVRESFROL Deviation = 2.59ppm
Search WEB for skeleton |
|
![]()
|
|
|
Structure Proposal # 879 OVLJQMXEBKBXHO Deviation = 2.59ppm
Search WEB for skeleton |
|
![]()
|
|
|
Structure Proposal # 880 YPVYYPSYYKRYKY Deviation = 2.59ppm
Search WEB for skeleton |
|
![]()
|
|
|
Structure Proposal # 881 LLMRSASUIWBPHW Deviation = 2.59ppm
Search WEB for skeleton |
|
![]()
|
|
|
Structure Proposal # 882 BLVYPTQYPYXEDC Deviation = 2.59ppm
Search WEB for skeleton respect to your proposal |
|
![]()
|
|
|
Structure Proposal # 883 FSJDPOHEMJDVKB Deviation = 2.59ppm
Search WEB for skeleton |
|
![]()
|
|
|
Structure Proposal # 884 CXTNGCHVOAAIHG Deviation = 2.60ppm
Search WEB for skeleton |
|
![]()
|
|
|
Structure Proposal # 885 BLHLRLLITYDFRQ Deviation = 2.60ppm
Search WEB for skeleton |
|
![]()
|
|
|
Structure Proposal # 886 GXOINGWFWCWICF Deviation = 2.60ppm
Search WEB for skeleton |
|
![]()
|
|
|
Structure Proposal # 887 MDRNFUMEBUVKDU Deviation = 2.60ppm
Search WEB for skeleton |
|
![]()
|
|
|
Structure Proposal # 888 RRBAWBDKEKBISW Deviation = 2.60ppm
Search WEB for skeleton |
|
![]()
|
|
|
Structure Proposal # 889 AVWSHOXZEAQKML Deviation = 2.60ppm
Search WEB for skeleton respect to your proposal |
|
![]()
|
|
|
Structure Proposal # 890 GEOMVGKGNLJLFR Deviation = 2.60ppm
Search WEB for skeleton |
|
![]()
|
|
|
Structure Proposal # 891 NAGMSRFTQPUEGG Deviation = 2.61ppm
Search WEB for skeleton respect to your proposal |
|
![]()
|
|
|
Structure Proposal # 892 JFSUFSJZMJCARQ Deviation = 2.61ppm
Search WEB for skeleton |
|
![]()
|
|
|
Structure Proposal # 893 CTRCXMYQMACVEP Deviation = 2.61ppm
Search WEB for skeleton |
|
![]()
|
|
|
Structure Proposal # 894 SKRJOLZSXTUJBS Deviation = 2.61ppm
Search WEB for skeleton respect to your proposal |
|
![]()
|
|
|
Structure Proposal # 895 IYXQJAUJPLPRDC Deviation = 2.61ppm
Search WEB for skeleton respect to your proposal |
|
![]()
|
|
|
Structure Proposal # 896 WSIQLJNZHLMUPF Deviation = 2.61ppm
Search WEB for skeleton respect to your proposal |
|
![]()
|
|
|
Structure Proposal # 897 NZZZARUPITVYJX Deviation = 2.62ppm
Search WEB for skeleton |
|
![]()
|
|
|
Structure Proposal # 898 JLBGXLXGNCYVQE Deviation = 2.62ppm
Search WEB for skeleton |
|
![]()
|
|
|
Structure Proposal # 899 PALGMRFCKHPFAC Deviation = 2.62ppm
Search WEB for skeleton |
|
![]()
|
|
|
Structure Proposal # 900 AKQIYPLBJMJTFV Deviation = 2.62ppm
Search WEB for skeleton respect to your proposal |
|
![]()
|
|
|
Structure Proposal # 901 MEARWNHUPFGFCM Deviation = 2.62ppm
Search WEB for skeleton |
|
![]()
|
|
|
Structure Proposal # 902 UPJANQQSWVJHNS Deviation = 2.62ppm
Search WEB for skeleton |
|
![]()
|
|
|
Structure Proposal # 903 WDQFQRHJOSBIKU Deviation = 2.62ppm
Search WEB for skeleton |
|
![]()
|
|
|
Structure Proposal # 904 FVAJYDGSLCFFCW Deviation = 2.62ppm
Search WEB for skeleton |
|
![]()
|
|
|
Structure Proposal # 905 OYROSBSPLUOAHS Deviation = 2.62ppm
Search WEB for skeleton respect to your proposal |
|
![]()
|
|
|
Structure Proposal # 906 NTQLBPWZKHRYND Deviation = 2.62ppm
Search WEB for skeleton |
|
![]()
|
|
|
Structure Proposal # 907 AXNSBPLCOCUUKY Deviation = 2.63ppm
Search WEB for skeleton |
|
![]()
|
|
|
Structure Proposal # 908 VGWORVLESHUYHF Deviation = 2.63ppm
Search WEB for skeleton |
|
![]()
|
|
|
Structure Proposal # 909 POFLJEXPWPCWII Deviation = 2.63ppm
Search WEB for skeleton respect to your proposal |
|
![]()
|
|
|
Structure Proposal # 910 MRFPMSYRYOZRKE Deviation = 2.63ppm
Search WEB for skeleton respect to your proposal |
|
![]()
|
|
|
Structure Proposal # 911 NKZDKNSSHJZQCD Deviation = 2.63ppm
Search WEB for skeleton |
|
![]()
|
|
|
Structure Proposal # 912 IPZJFQCCSUCLIT Deviation = 2.64ppm
Search WEB for skeleton |
|
![]()
|
|
|
Structure Proposal # 913 JFWQGBRXBGEUIP Deviation = 2.64ppm
Search WEB for skeleton respect to your proposal |
|
![]()
|
|
|
Structure Proposal # 914 WVWHXEZNUIDNCE Deviation = 2.64ppm
Search WEB for skeleton |
|
![]()
|
|
|
Structure Proposal # 915 WEFJGMUHDCQICU Deviation = 2.64ppm
Search WEB for skeleton respect to your proposal |
|
![]()
|
|
|
Structure Proposal # 916 YKZAACRSONOHMK Deviation = 2.64ppm
Search WEB for skeleton respect to your proposal |
|
![]()
|
|
|
Structure Proposal # 917 CXWXUVLORDZERB Deviation = 2.64ppm
Search WEB for skeleton |
|
![]()
|
|
|
Structure Proposal # 918 DMKUNJXOOCRWFE Deviation = 2.64ppm
Search WEB for skeleton |
|
![]()
|
|
|
Structure Proposal # 919 IRQRRZFJMFIBRE Deviation = 2.64ppm
Search WEB for skeleton |
|
![]()
|
|
|
Structure Proposal # 920 WXHDEOQKTBSLBA Deviation = 2.64ppm
Search WEB for skeleton respect to your proposal |
|
![]()
|
|
|
Structure Proposal # 921 AWENOSYZVAZGQE Deviation = 2.65ppm
Search WEB for skeleton |
|
![]()
|
|
|
Structure Proposal # 922 XIMWJXCCTIJXFC Deviation = 2.65ppm
Search WEB for skeleton |
|
![]()
|
|
|
Structure Proposal # 923 GHBUGVQWXGHXGK Deviation = 2.65ppm
Search WEB for skeleton |
|
![]()
|
|
|
Structure Proposal # 924 SQEHFUQXOHRPCV Deviation = 2.65ppm
Search WEB for skeleton |
|
![]()
|
|
|
Structure Proposal # 925 FFLJKADCKVQQJQ Deviation = 2.65ppm
Search WEB for skeleton respect to your proposal |
|
![]()
|
|
|
Structure Proposal # 926 SGUCSUCIJRWPEW Deviation = 2.65ppm
Search WEB for skeleton |
|
![]()
|
|
|
Structure Proposal # 927 QRTSAKFMAWWCRW Deviation = 2.66ppm
Search WEB for skeleton |
|
![]()
|
|
|
Structure Proposal # 928 HYRRPEMRAVNRJJ Deviation = 2.66ppm
Search WEB for skeleton respect to your proposal |
|
![]()
|
|
|
Structure Proposal # 929 NBVZFKWYSDLTQA Deviation = 2.66ppm
Search WEB for skeleton |
|
![]()
|
|
|
Structure Proposal # 930 KNQINXZCBWKLHN Deviation = 2.66ppm
Search WEB for skeleton |
|
![]()
|
|
|
Structure Proposal # 931 VUMMTGGNNYQGMO Deviation = 2.66ppm
Search WEB for skeleton |
|
![]()
|
|
|
Structure Proposal # 932 VDEHHRHKYRZPTO Deviation = 2.66ppm
Search WEB for skeleton |
|
![]()
|
|
|
Structure Proposal # 933 RQRJOLIEEYOKDX Deviation = 2.66ppm
Search WEB for skeleton |
|
![]()
|
|
|
Structure Proposal # 934 BKXOEUFVUBEPJH Deviation = 2.66ppm
Search WEB for skeleton |
|
![]()
|
|
|
Structure Proposal # 935 HJEQYIOGCKJSNJ Deviation = 2.67ppm
Search WEB for skeleton respect to your proposal |
|
![]()
|
|
|
Structure Proposal # 936 FBIRYJGYYMTXAE Deviation = 2.67ppm
Search WEB for skeleton |
|
![]()
|
|
|
Structure Proposal # 937 BLCAUSXCOJOVCE Deviation = 2.67ppm
Search WEB for skeleton |
|
![]()
|
|
|
Structure Proposal # 938 KXUUVLBDXNAMRU Deviation = 2.67ppm
Search WEB for skeleton respect to your proposal |
|
![]()
|
|
|
Structure Proposal # 939 WCLIMMJBDLEKEH Deviation = 2.68ppm
Search WEB for skeleton |
|
![]()
|
|
|
Structure Proposal # 940 KLOLDYKOURUODR Deviation = 2.68ppm
Search WEB for skeleton |
|
![]()
|
|
|
Structure Proposal # 941 BCZJSCRURUEUBP Deviation = 2.68ppm
Search WEB for skeleton respect to your proposal |
|
![]()
|
|
|
Structure Proposal # 942 OORSAYDZNPYWKF Deviation = 2.68ppm
Search WEB for skeleton |
|
![]()
|
|
|
Structure Proposal # 943 FRGIFBUNJOJLEV Deviation = 2.68ppm
Search WEB for skeleton |
|
![]()
|
|
|
Structure Proposal # 944 OTOXOFAUGVQQPT Deviation = 2.68ppm
Search WEB for skeleton |
|
![]()
|
|
|
Structure Proposal # 945 HTBZTDGMMHFANE Deviation = 2.69ppm
Search WEB for skeleton |
|
![]()
|
|
|
Structure Proposal # 946 AOJMQIFJCUOQKB Deviation = 2.69ppm
Search WEB for skeleton |
|
![]()
|
|
|
Structure Proposal # 947 VHZJPXWTLXEOQE Deviation = 2.69ppm
Search WEB for skeleton |
|
![]()
|
|
|
Structure Proposal # 948 ILTZCUDZICXNKC Deviation = 2.69ppm
Search WEB for skeleton respect to your proposal |
|
![]()
|
|
|
Structure Proposal # 949 IRFHRFODPORGSO Deviation = 2.70ppm
Search WEB for skeleton |
|
![]()
|
|
|
Structure Proposal # 950 URTLGVGCONUDOI Deviation = 2.70ppm
Search WEB for skeleton respect to your proposal |
|
![]()
|
|
|
Structure Proposal # 951 WWQJZAMIQPZYSA Deviation = 2.70ppm
Search WEB for skeleton |
|
![]()
|
|
|
Structure Proposal # 952 UIWQZLZHDSTVSG Deviation = 2.70ppm
Search WEB for skeleton |
|
![]()
|
|
|
Structure Proposal # 953 OTAPENCLJCIHAO Deviation = 2.70ppm
Search WEB for skeleton |
|
![]()
|
|
|
Structure Proposal # 954 XKWULMOGSLVLNH Deviation = 2.71ppm
Search WEB for skeleton |
|
![]()
|
|
|
Structure Proposal # 955 PYNJCHNNLOASAN Deviation = 2.71ppm
Search WEB for skeleton respect to your proposal |
|
![]()
|
|
|
Structure Proposal # 956 AFXBBGDFIADDOC Deviation = 2.71ppm
Search WEB for skeleton |
|
![]()
|
|
|
Structure Proposal # 957 QSHALOUXCDNGIP Deviation = 2.72ppm
Search WEB for skeleton |
|
![]()
|
|
|
Structure Proposal # 958 UWWKOVDJJXCMHA Deviation = 2.72ppm
Search WEB for skeleton respect to your proposal |
|
![]()
|
|
|
Structure Proposal # 959 JMNBOYJJOXVXEP Deviation = 2.72ppm
Search WEB for skeleton |
|
![]()
|
|
|
Structure Proposal # 960 HPCQBTAFZQGKJP Deviation = 2.73ppm
Search WEB for skeleton |
|
![]()
|
|
|
Structure Proposal # 961 MLNAMNIFSYLRLR Deviation = 2.73ppm
Search WEB for skeleton respect to your proposal |
|
![]()
|
|
|
Structure Proposal # 962 DIFWWGDYNHVDGO Deviation = 2.73ppm
Search WEB for skeleton |
|
![]()
|
|
|
Structure Proposal # 963 LJJXNJCCGUDQPJ Deviation = 2.73ppm
Search WEB for skeleton |
|
![]()
|
|
|
Structure Proposal # 964 YWHPCRRWERRDHW Deviation = 2.74ppm
Search WEB for skeleton |
|
![]()
|
|
|
Structure Proposal # 965 FFRVLBDZTVBAFH Deviation = 2.74ppm
Search WEB for skeleton respect to your proposal |
|
![]()
|
|
|
Structure Proposal # 966 LBAABTRGEFXONK Deviation = 2.74ppm
Search WEB for skeleton |
|
![]()
|
|
|
Structure Proposal # 967 MWBIYTMADUCVEB Deviation = 2.74ppm
Search WEB for skeleton respect to your proposal |
|
![]()
|
|
|
Structure Proposal # 968 HUGNGGOPGQOHQQ Deviation = 2.74ppm
Search WEB for skeleton respect to your proposal |
|
![]()
|
|
|
Structure Proposal # 969 VPKLSKMYRTXSKK Deviation = 2.75ppm
Search WEB for skeleton |
|
![]()
|
|
|
Structure Proposal # 970 MMSJDQBNAIGMJN Deviation = 2.75ppm
Search WEB for skeleton |
|
![]()
|
|
|
Structure Proposal # 971 WEGSUHFFGMKMPQ Deviation = 2.75ppm
Search WEB for skeleton |
|
![]()
|
|
|
Structure Proposal # 972 GQBGBKYVLLGWAH Deviation = 2.75ppm
Search WEB for skeleton respect to your proposal |
|
![]()
|
|
|
Structure Proposal # 973 YKNGPYDNWHZMDW Deviation = 2.75ppm
Search WEB for skeleton respect to your proposal |
|
![]()
|
|
|
Structure Proposal # 974 BQGDDRCKAMEVSM Deviation = 2.76ppm
Search WEB for skeleton respect to your proposal |
|
![]()
|
|
|
Structure Proposal # 975 QFBQMWUURZEIAO Deviation = 2.76ppm
Search WEB for skeleton |
|
![]()
|
|
|
Structure Proposal # 976 TWEOVVWZTUANPH Deviation = 2.76ppm
Search WEB for skeleton |
|
![]()
|
|
|
Structure Proposal # 977 LAPWFDFGAGKMSJ Deviation = 2.77ppm
Search WEB for skeleton |
|
![]()
|
|
|
Structure Proposal # 978 JFLQELWGBSJAAF Deviation = 2.77ppm
Search WEB for skeleton |
|
![]()
|
|
|
Structure Proposal # 979 MLJRAAMPYOJTAN Deviation = 2.77ppm
Search WEB for skeleton |
|
![]()
|
|
|
Structure Proposal # 980 ADNURTZXMGKIDQ Deviation = 2.77ppm
Search WEB for skeleton |
|
![]()
|
|
|
Structure Proposal # 981 NFHTTZGRHITZLJ Deviation = 2.77ppm
Search WEB for skeleton respect to your proposal |
|
![]()
|
|
|
Structure Proposal # 982 LLXYBTSVWXSXDZ Deviation = 2.78ppm
Search WEB for skeleton |
|
![]()
|
|
|
Structure Proposal # 983 ZXDLUGARCRNUKE Deviation = 2.78ppm
Search WEB for skeleton respect to your proposal |
|
![]()
|
|
|
Structure Proposal # 984 UTWWFHZRQFOMMV Deviation = 2.78ppm
Search WEB for skeleton |
|
![]()
|
|
|
Structure Proposal # 985 FFQRFMIXWDPKQJ Deviation = 2.78ppm
Search WEB for skeleton |
|
![]()
|
|
|
Structure Proposal # 986 CBUCVRHYFXHMEB Deviation = 2.78ppm
Search WEB for skeleton |
|
![]()
|
|
|
Structure Proposal # 987 ZIVVRJQZRNJRSY Deviation = 2.79ppm
Search WEB for skeleton |
|
![]()
|
|
|
Structure Proposal # 988 AYOGWEYCJNUAHJ Deviation = 2.79ppm
Search WEB for skeleton |
|
![]()
|
|
|
Structure Proposal # 989 DXZBUMBCNYKNCG Deviation = 2.79ppm
Search WEB for skeleton respect to your proposal |
|
![]()
|
|
|
Structure Proposal # 990 CCELOTRZUYEWQX Deviation = 2.79ppm
Search WEB for skeleton |
|
![]()
|
|
|
Structure Proposal # 991 TXIVHUOYLCYMGX Deviation = 2.79ppm
Search WEB for skeleton |
|
![]()
|
|
|
Structure Proposal # 992 LQLIRQIRDCOHRR Deviation = 2.80ppm
Search WEB for skeleton |
|
![]()
|
|
|
Structure Proposal # 993 UYCBHHUSOGABPP Deviation = 2.80ppm
Search WEB for skeleton |
|
![]()
|
|
|
Structure Proposal # 994 VICWLGASNUAXSQ Deviation = 2.80ppm
Search WEB for skeleton respect to your proposal |
|
![]()
|
|
|
Structure Proposal # 995 LLAXLVKOIJCASX Deviation = 2.80ppm
Search WEB for skeleton respect to your proposal |
|
![]()
|
|
|
Structure Proposal # 996 OETXBAPHCYHIBX Deviation = 2.80ppm
Search WEB for skeleton |
|
![]()
|
|
|
Structure Proposal # 997 SDSBDFIUJSARAQ Deviation = 2.80ppm
Search WEB for skeleton |
|
![]()
|
|
|
Structure Proposal # 998 XCUJWGNOLJSVDW Deviation = 2.81ppm
Search WEB for skeleton |
|
![]()
|
|
|
Structure Proposal # 999 LNEXTEXXWLIJSM Deviation = 2.81ppm
Search WEB for skeleton respect to your proposal |
|
![]()
|
|
|
Structure Proposal # 1000 XIESXVMWYBTXDZ Deviation = 2.81ppm
Search WEB for skeleton |
|
![]()
|
|
|
Structure Proposal # 1001 RPFDITJFKSOFBM Deviation = 2.81ppm
Search WEB for skeleton |
|
![]()
|
|
|
Structure Proposal # 1002 IFBCSDPPRUYIHL Deviation = 2.81ppm
Search WEB for skeleton respect to your proposal |
|
![]()
|
|
|
Structure Proposal # 1003 RVFBLELSMQGDLJ Deviation = 2.82ppm
Search WEB for skeleton |
|
![]()
|
|
|
Structure Proposal # 1004 GLROBULUSCLVSX Deviation = 2.82ppm
Search WEB for skeleton |
|
![]()
|
|
|
Structure Proposal # 1005 WQVVPFMBFKLDFB Deviation = 2.82ppm
Search WEB for skeleton |
|
![]()
|
|
|
Structure Proposal # 1006 VHRRPVLTYYTDKH Deviation = 2.82ppm
Search WEB for skeleton respect to your proposal |
|
![]()
|
|
|
Structure Proposal # 1007 ZHJISSJXWFWWRN Deviation = 2.82ppm
Search WEB for skeleton respect to your proposal |
|
![]()
|
|
|
Structure Proposal # 1008 LBYQIKGGLRHARW Deviation = 2.82ppm
Search WEB for skeleton |
|
![]()
|
|
|
Structure Proposal # 1009 ZQHKFQVYYPULIQ Deviation = 2.82ppm
Search WEB for skeleton |
|
![]()
|
|
|
Structure Proposal # 1010 OERAFRXLWPKWFS Deviation = 2.83ppm
Search WEB for skeleton |
|
![]()
|
|
|
Structure Proposal # 1011 RNKGXCPCXOBZNA Deviation = 2.83ppm
Search WEB for skeleton respect to your proposal |
|
![]()
|
|
|
Structure Proposal # 1012 RZWBRPYTAJXDBG Deviation = 2.83ppm
Search WEB for skeleton respect to your proposal |
|
![]()
|
|
|
Structure Proposal # 1013 UJGCFPGRPGUPPK Deviation = 2.83ppm
Search WEB for skeleton |
|
![]()
|
|
|
Structure Proposal # 1014 QWGXWPQSEGEAKT Deviation = 2.84ppm
Search WEB for skeleton respect to your proposal |
|
![]()
|
|
|
Structure Proposal # 1015 GDQPHYKJERJZLB Deviation = 2.84ppm
Search WEB for skeleton |
|
![]()
|
|
|
Structure Proposal # 1016 OUGLFSFJYQZCJY Deviation = 2.85ppm
Search WEB for skeleton |
|
![]()
|
|
|
Structure Proposal # 1017 BFVUQXRJBSQFBQ Deviation = 2.85ppm
Search WEB for skeleton |
|
![]()
|
|
|
Structure Proposal # 1018 CCSZXGWBAKYMKR Deviation = 2.85ppm
Search WEB for skeleton respect to your proposal |
|
![]()
|
|
|
Structure Proposal # 1019 ZVTMCHAUZBSIRS Deviation = 2.85ppm
Search WEB for skeleton |
|
![]()
|
|
|
Structure Proposal # 1020 FRRRHAFDMDSPSD Deviation = 2.85ppm
Search WEB for skeleton |
|
![]()
|
|
|
Structure Proposal # 1021 DJRLZDFHQARQBX Deviation = 2.85ppm
Search WEB for skeleton |
|
![]()
|
|
|
Structure Proposal # 1022 ZNDNWVHPJLOAKJ Deviation = 2.85ppm
Search WEB for skeleton |
|
![]()
|
|
|
Structure Proposal # 1023 HZLJRSUCEVLUCB Deviation = 2.86ppm
Search WEB for skeleton |
|
![]()
|
|
|
Structure Proposal # 1024 QGONONUMPXMYGC Deviation = 2.86ppm
Search WEB for skeleton |
|
![]()
|
|
|
Structure Proposal # 1025 RPXDMVNHOQXRNO Deviation = 2.86ppm
Search WEB for skeleton |
|
![]()
|
|
|
Structure Proposal # 1026 BCIULYQBTZUCQM Deviation = 2.86ppm
Search WEB for skeleton |
|
![]()
|
|
|
Structure Proposal # 1027 LWKQWYOTQCXXRC Deviation = 2.86ppm
Search WEB for skeleton respect to your proposal |
|
![]()
|
|
|
Structure Proposal # 1028 TZGUAJLXCWPMPU Deviation = 2.86ppm
Search WEB for skeleton |
|
![]()
|
|
|
Structure Proposal # 1029 JSCNKKGVMHTYJZ Deviation = 2.86ppm
Search WEB for skeleton respect to your proposal |
|
![]()
|
|
|
Structure Proposal # 1030 GQACNFNYCCURBY Deviation = 2.86ppm
Search WEB for skeleton respect to your proposal |
|
![]()
|
|
|
Structure Proposal # 1031 WZYJDHUBJFPJBI Deviation = 2.87ppm
Search WEB for skeleton |
|
![]()
|
|
|
Structure Proposal # 1032 ITEYLBMGAXUXNO Deviation = 2.87ppm
Search WEB for skeleton |
|
![]()
|
|
|
Structure Proposal # 1033 SVBLSJAGMAVBKF Deviation = 2.88ppm
Search WEB for skeleton |
|
![]()
|
|
|
Structure Proposal # 1034 WFWNFUVVBUSJED Deviation = 2.88ppm
Search WEB for skeleton |
|
![]()
|
|
|
Structure Proposal # 1035 UUUFYTBLWZSPCK Deviation = 2.89ppm
Search WEB for skeleton |
|
![]()
|
|
|
Structure Proposal # 1036 SKZDKOLJSAIQRX Deviation = 2.89ppm
Search WEB for skeleton |
|
![]()
|
|
|
Structure Proposal # 1037 CQBRJPDVRLVKMI Deviation = 2.89ppm
Search WEB for skeleton |
|
![]()
|
|
|
Structure Proposal # 1038 LUUBSELZKJPNSW Deviation = 2.90ppm
Search WEB for skeleton |
|
![]()
|
|
|
Structure Proposal # 1039 ROYPRDLENKBVBY Deviation = 2.90ppm
Search WEB for skeleton |
|
![]()
|
|
|
Structure Proposal # 1040 QJHZFHSEVUTHDT Deviation = 2.90ppm
Search WEB for skeleton |
|
![]()
|
|
|
Structure Proposal # 1041 BPJYXAQJLFIYIS Deviation = 2.91ppm
Search WEB for skeleton |
|
![]()
|
|
|
Structure Proposal # 1042 MYDMOPMHQPMCEV Deviation = 2.91ppm
Search WEB for skeleton |
|
![]()
|
|
|
Structure Proposal # 1043 IWUMNLUXGQXJAL Deviation = 2.91ppm
Search WEB for skeleton |
|
![]()
|
|
|
Structure Proposal # 1044 GMGFHUJSHOCCCM Deviation = 2.91ppm
Search WEB for skeleton |
|
![]()
|
|
|
Structure Proposal # 1045 MGNPFBDYMTXMAG Deviation = 2.91ppm
Search WEB for skeleton |
|
![]()
|
|
|
Structure Proposal # 1046 LVOGMHUPJIZFRK Deviation = 2.91ppm
Search WEB for skeleton |
|
![]()
|
|
|
Structure Proposal # 1047 NWBCNBCFFCDZAR Deviation = 2.92ppm
Search WEB for skeleton respect to your proposal |
|
![]()
|
|
|
Structure Proposal # 1048 LEAKNVPSKCBTAF Deviation = 2.92ppm
Search WEB for skeleton |
|
![]()
|
|
|
Structure Proposal # 1049 KDTXTMDPDISEBV Deviation = 2.92ppm
Search WEB for skeleton |
|
![]()
|
|
|
Structure Proposal # 1050 FJIJSPBFYPITEI Deviation = 2.92ppm
Search WEB for skeleton |
|
![]()
|
|
|
Structure Proposal # 1051 WOTYLWZAZXNIMM Deviation = 2.93ppm
Search WEB for skeleton |
|
![]()
|
|
|
Structure Proposal # 1052 LQAOYRFSCIQZRG Deviation = 2.93ppm
Search WEB for skeleton |
|
![]()
|
|
|
Structure Proposal # 1053 ALGQQWYIKCLHEB Deviation = 2.93ppm
Search WEB for skeleton |
|
![]()
|
|
|
Structure Proposal # 1054 KKFWXNLDPABIOS Deviation = 2.94ppm
Search WEB for skeleton |
|
![]()
|
|
|
Structure Proposal # 1055 BRGSNDSTJUXIHQ Deviation = 2.94ppm
Search WEB for skeleton |
|
![]()
|
|
|
Structure Proposal # 1056 GHALIBMITIRUCN Deviation = 2.94ppm
Search WEB for skeleton |
|
![]()
|
|
|
Structure Proposal # 1057 WJCNOXZTWJHUHO Deviation = 2.95ppm
Search WEB for skeleton respect to your proposal |
|
![]()
|
|
|
Structure Proposal # 1058 DOTRQOVCGZHPCK Deviation = 2.95ppm
Search WEB for skeleton |
|
![]()
|
|
|
Structure Proposal # 1059 DANSBBGTVARSDJ Deviation = 2.95ppm
Search WEB for skeleton respect to your proposal |
|
![]()
|
|
|
Structure Proposal # 1060 BXCNYUBSKFMYAD Deviation = 2.95ppm
Search WEB for skeleton respect to your proposal |
|
![]()
|
|
|
Structure Proposal # 1061 GVPYOBSCILYJRJ Deviation = 2.95ppm
Search WEB for skeleton respect to your proposal |
|
![]()
|
|
|
Structure Proposal # 1062 VTUYYXUIZCOCKT Deviation = 2.95ppm
Search WEB for skeleton respect to your proposal |
|
![]()
|
|
|
Structure Proposal # 1063 VKMQPVCWIHNDHA Deviation = 2.96ppm
Search WEB for skeleton |
|
![]()
|
|
|
Structure Proposal # 1064 FGEYUXZFIPHLAS Deviation = 2.96ppm
Search WEB for skeleton |
|
![]()
|
|
|
Structure Proposal # 1065 HUGZNYZQTJQCIG Deviation = 2.96ppm
Search WEB for skeleton |
|
![]()
|
|
|
Structure Proposal # 1066 QBVBZYDTGOCTFC Deviation = 2.96ppm
Search WEB for skeleton respect to your proposal |
|
![]()
|
|
|
Structure Proposal # 1067 MRVXBEQRNXVCSZ Deviation = 2.96ppm
Search WEB for skeleton |
|
![]()
|
|
|
Structure Proposal # 1068 JOZQPJJQHXQEQP Deviation = 2.96ppm
Search WEB for skeleton |
|
![]()
|
|
|
Structure Proposal # 1069 DQKKCRIGNQLXCT Deviation = 2.98ppm
Search WEB for skeleton |
|
![]()
|
|
|
Structure Proposal # 1070 RFNRPZOSVMIXQL Deviation = 2.98ppm
Search WEB for skeleton |
|
![]()
|
|
|
Structure Proposal # 1071 KZHASAMAAMVDIJ Deviation = 2.98ppm
Search WEB for skeleton |
|
![]()
|
|
|
Structure Proposal # 1072 AXLHBSUZHDADQF Deviation = 2.98ppm
Search WEB for skeleton |
|
![]()
|
|
|
Structure Proposal # 1073 DFIVDXWXWJTIAB Deviation = 2.99ppm
Search WEB for skeleton |
|
![]()
|
|
|
Structure Proposal # 1074 GYVNFTPJYQHLHK Deviation = 2.99ppm
Search WEB for skeleton |
|
![]()
|
|
|
Structure Proposal # 1075 PZTMHXXLIMBPMZ Deviation = 2.99ppm
Search WEB for skeleton |
|
![]()
|
|
|
Structure Proposal # 1076 MALDODHIQFTVJM Deviation = 2.99ppm
Search WEB for skeleton |
|
![]()
|
|
|
Structure Proposal # 1077 VELKGUPREZSFGZ Deviation = 3.00ppm
Search WEB for skeleton respect to your proposal |
|
![]()
|
|
|
Structure Proposal # 1078 HSWSNBNIXQYSPC Deviation = 3.00ppm
Search WEB for skeleton |
|
![]()
|
|
|
Structure Proposal # 1079 VLBOACKXRBLELP Deviation = 3.00ppm
Search WEB for skeleton |
|
![]()
|
|
|
Structure Proposal # 1080 KBGCLEOEMQIGHU Deviation = 3.00ppm
Search WEB for skeleton |
|
![]()
|
|
|
Structure Proposal # 1081 CLXNJRMLRRPPBH Deviation = 3.00ppm
Search WEB for skeleton |
|
![]()
|
|
|
Structure Proposal # 1082 RGWFPLRAJZYAJH Deviation = 3.00ppm
Search WEB for skeleton |
|
![]()
|
|
|
Structure Proposal # 1083 GFUPUWHIOUFFRJ Deviation = 3.01ppm
Search WEB for skeleton |
|
![]()
|
|
|
Structure Proposal # 1084 GFLXPLJPDYHDIU Deviation = 3.01ppm
Search WEB for skeleton respect to your proposal |
|
![]()
|
|
|
Structure Proposal # 1085 IMHJMNYOLAOTDQ Deviation = 3.01ppm
Search WEB for skeleton |
|
![]()
|
|
|
Structure Proposal # 1086 DJCSRSVIAXMLEK Deviation = 3.01ppm
Search WEB for skeleton |
|
![]()
|
|
|
Structure Proposal # 1087 SLMRMZWEBQVNIW Deviation = 3.01ppm
Search WEB for skeleton |
|
![]()
|
|
|
Structure Proposal # 1088 VYHLTVGGTFCBOP Deviation = 3.01ppm
Search WEB for skeleton respect to your proposal |
|
![]()
|
|
|
Structure Proposal # 1089 AFVVKMBDYYGWGG Deviation = 3.02ppm
Search WEB for skeleton |
|
![]()
|
|
|
Structure Proposal # 1090 FDYUEHZOBLOTQG Deviation = 3.02ppm
Search WEB for skeleton |
|
![]()
|
|
|
Structure Proposal # 1091 LUSAGJDGCDHVHP Deviation = 3.02ppm
Search WEB for skeleton |
|
![]()
|
|
|
Structure Proposal # 1092 KGWDENSKEOZLCE Deviation = 3.02ppm
Search WEB for skeleton |
|
![]()
|
|
|
Structure Proposal # 1093 XBFFLRIHBIRDNK Deviation = 3.03ppm
Search WEB for skeleton |
|
![]()
|
|
|
Structure Proposal # 1094 RSEBZIGNSLWEJX Deviation = 3.03ppm
Search WEB for skeleton |
|
![]()
|
|
|
Structure Proposal # 1095 CBHUSQHJYWMRMR Deviation = 3.03ppm
Search WEB for skeleton |
|
![]()
|
|
|
Structure Proposal # 1096 YHOGDEOYWGMUPS Deviation = 3.03ppm
Search WEB for skeleton |
|
![]()
|
|
|
Structure Proposal # 1097 JMBFULTYNYTBJB Deviation = 3.04ppm
Search WEB for skeleton |
|
![]()
|
|
|
Structure Proposal # 1098 KKSHHMPHRSAWCF Deviation = 3.04ppm
Search WEB for skeleton |
|
![]()
|
|
|
Structure Proposal # 1099 DKRULHPJURLPAM Deviation = 3.05ppm
Search WEB for skeleton |
|
![]()
|
|
|
Structure Proposal # 1100 ZGSGCNUBSHMRPC Deviation = 3.05ppm
Search WEB for skeleton |
|
![]()
|
|
|
Structure Proposal # 1101 DWCQVEADZXLRPA Deviation = 3.06ppm
Search WEB for skeleton respect to your proposal |
|
![]()
|
|
|
Structure Proposal # 1102 HXPOLMXKGLZXIR Deviation = 3.06ppm
Search WEB for skeleton |
|
![]()
|
|
|
Structure Proposal # 1103 PCDPOVGPIAEMLX Deviation = 3.06ppm
Search WEB for skeleton |
|
![]()
|
|
|
Structure Proposal # 1104 WYENAJBSMPRTNI Deviation = 3.07ppm
Search WEB for skeleton |
|
![]()
|
|
|
Structure Proposal # 1105 WHLQIXRROSRYKP Deviation = 3.08ppm
Search WEB for skeleton |
|
![]()
|
|
|
Structure Proposal # 1106 VAVUCMZQPZTTFZ Deviation = 3.08ppm
Search WEB for skeleton |
|
![]()
|
|
|
Structure Proposal # 1107 PKZQEBQHOAWKEF Deviation = 3.08ppm
Search WEB for skeleton |
|
![]()
|
|
|
Structure Proposal # 1108 LTILYZWKMXZRLG Deviation = 3.08ppm
Search WEB for skeleton |
|
![]()
|
|
|
Structure Proposal # 1109 AXPBSIYTVFFOTR Deviation = 3.08ppm
Search WEB for skeleton |
|
![]()
|
|
|
Structure Proposal # 1110 AUHRCWQLPJIENR Deviation = 3.09ppm
Search WEB for skeleton |
|
![]()
|
|
|
Structure Proposal # 1111 SOWXQULHPVPKCB Deviation = 3.09ppm
Search WEB for skeleton |
|
![]()
|
|
|
Structure Proposal # 1112 YTVKQQKIMUBFOM Deviation = 3.09ppm
Search WEB for skeleton respect to your proposal |
|
![]()
|
|
|
Structure Proposal # 1113 LITPLXMNTHRQIO Deviation = 3.10ppm
Search WEB for skeleton |
|
![]()
|
|
|
Structure Proposal # 1114 DTJMFHGYBTVJJF Deviation = 3.10ppm
Search WEB for skeleton |
|
![]()
|
|
|
Structure Proposal # 1115 PKOBPCBKEOTQDL Deviation = 3.11ppm
Search WEB for skeleton respect to your proposal |
|
![]()
|
|
|
Structure Proposal # 1116 GNBHOZNSQXNIDS Deviation = 3.11ppm
Search WEB for skeleton |
|
![]()
|
|
|
Structure Proposal # 1117 BBQKOCVXYUGBIM Deviation = 3.12ppm
Search WEB for skeleton respect to your proposal |
|
![]()
|
|
|
Structure Proposal # 1118 XYFCFFWNLVMSRJ Deviation = 3.12ppm
Search WEB for skeleton |
|
![]()
|
|
|
Structure Proposal # 1119 QVDQUGXLJMUFER Deviation = 3.12ppm
Search WEB for skeleton respect to your proposal |
|
![]()
|
|
|
Structure Proposal # 1120 BCVJGXQMDNYFHU Deviation = 3.12ppm
Search WEB for skeleton |
|
![]()
|
|
|
Structure Proposal # 1121 UCFPPOMWFAYMQU Deviation = 3.12ppm
Search WEB for skeleton |
|
![]()
|
|
|
Structure Proposal # 1122 UQYFCEKJSQFWFW Deviation = 3.12ppm
Search WEB for skeleton |
|
![]()
|
|
|
Structure Proposal # 1123 XYBQUGVZNBEUIU Deviation = 3.12ppm
Search WEB for skeleton |
|
![]()
|
|
|
Structure Proposal # 1124 LMTVOLBCGWUHKG Deviation = 3.13ppm
Search WEB for skeleton |
|
![]()
|
|
|
Structure Proposal # 1125 LBCPIXFAMVXNTR Deviation = 3.13ppm
Search WEB for skeleton respect to your proposal |
|
![]()
|
|
|
Structure Proposal # 1126 AUDYKZKKFUMYMD Deviation = 3.13ppm
Search WEB for skeleton |
|
![]()
|
|
|
Structure Proposal # 1127 FHKRPKASJCTQMW Deviation = 3.13ppm
Search WEB for skeleton |
|
![]()
|
|
|
Structure Proposal # 1128 VGLYYKDTEVXPAD Deviation = 3.13ppm
Search WEB for skeleton |
|
![]()
|
|
|
Structure Proposal # 1129 LEVGJPDMTWOUMV Deviation = 3.14ppm
Search WEB for skeleton respect to your proposal |
|
![]()
|
|
|
Structure Proposal # 1130 DLMPLQMXVGTORJ Deviation = 3.14ppm
Search WEB for skeleton |
|
![]()
|
|
|
Structure Proposal # 1131 USJRFLNOAGDWTL Deviation = 3.14ppm
Search WEB for skeleton |
|
![]()
|
|
|
Structure Proposal # 1132 DHPSKYNJOBXLJB Deviation = 3.15ppm
Search WEB for skeleton |
|
![]()
|
|
|
Structure Proposal # 1133 MXJTZKCQFKLPHW Deviation = 3.15ppm
Search WEB for skeleton |
|
![]()
|
|
|
Structure Proposal # 1134 XIRQVWPQXBCBCM Deviation = 3.15ppm
Search WEB for skeleton respect to your proposal |
|
![]()
|
|
|
Structure Proposal # 1135 WBQWDKDWHZDKJW Deviation = 3.15ppm
Search WEB for skeleton |
|
![]()
|
|
|
Structure Proposal # 1136 TYDUWJQOAIGKMD Deviation = 3.15ppm
Search WEB for skeleton |
|
![]()
|
|
|
Structure Proposal # 1137 VPLSHEZCXIHUEI Deviation = 3.16ppm
Search WEB for skeleton |
|
![]()
|
|
|
Structure Proposal # 1138 LKTGBEJISQALQR Deviation = 3.16ppm
Search WEB for skeleton |
|
![]()
|
|
|
Structure Proposal # 1139 DBLLDZISDXSOQE Deviation = 3.16ppm
Search WEB for skeleton |
|
![]()
|
|
|
Structure Proposal # 1140 ZAQCAIFLECJAKV Deviation = 3.16ppm
Search WEB for skeleton respect to your proposal |
|
![]()
|
|
|
Structure Proposal # 1141 SXQWYVPDGQJKNU Deviation = 3.17ppm
Search WEB for skeleton |
|
![]()
|
|
|
Structure Proposal # 1142 KAZPSMVKKRYKSL Deviation = 3.18ppm
Search WEB for skeleton respect to your proposal |
|
![]()
|
|
|
Structure Proposal # 1143 ZVQHXLPTHPQEMS Deviation = 3.18ppm
Search WEB for skeleton |
|
![]()
|
|
|
Structure Proposal # 1144 BIKSWIJYIVGBSM Deviation = 3.19ppm
Search WEB for skeleton |
|
![]()
|
|
|
Structure Proposal # 1145 JHSMNQKRLAQARA Deviation = 3.19ppm
Search WEB for skeleton respect to your proposal |
|
![]()
|
|
|
Structure Proposal # 1146 ZGKLCXARLGHUNC Deviation = 3.20ppm
Search WEB for skeleton respect to your proposal |
|
![]()
|
|
|
Structure Proposal # 1147 RPAWUNILFKDRIP Deviation = 3.20ppm
Search WEB for skeleton |
|
![]()
|
|
|
Structure Proposal # 1148 IMLOYPCPOFZVMQ Deviation = 3.20ppm
Search WEB for skeleton |
|
![]()
|
|
|
Structure Proposal # 1149 NRPNEHIBROYNBU Deviation = 3.21ppm
Search WEB for skeleton |
|
![]()
|
|
|
Structure Proposal # 1150 HZIWCVVBGUNJOA Deviation = 3.21ppm
Search WEB for skeleton |
|
![]()
|
|
|
Structure Proposal # 1151 YEQHXWSQNYATFH Deviation = 3.21ppm
Search WEB for skeleton |
|
![]()
|
|
|
Structure Proposal # 1152 UVKHMPLBWMLNNB Deviation = 3.21ppm
Search WEB for skeleton |
|
![]()
|
|
|
Structure Proposal # 1153 MJACNDFYZKKYRR Deviation = 3.22ppm
Search WEB for skeleton |
|
![]()
|
|
|
Structure Proposal # 1154 ZZTSJQXHPCAUIH Deviation = 3.22ppm
Search WEB for skeleton respect to your proposal |
|
![]()
|
|
|
Structure Proposal # 1155 CMKQFOGRVNSSQH Deviation = 3.22ppm
Search WEB for skeleton |
|
![]()
|
|
|
Structure Proposal # 1156 ZKHMWMQUJXXMHR Deviation = 3.23ppm
Search WEB for skeleton respect to your proposal |
|
![]()
|
|
|
Structure Proposal # 1157 PHTINZSZCMXZRI Deviation = 3.24ppm
Search WEB for skeleton |
|
![]()
|
|
|
Structure Proposal # 1158 VPVHVOSUFKCHPJ Deviation = 3.25ppm
Search WEB for skeleton respect to your proposal |
|
![]()
|
|
|
Structure Proposal # 1159 WJYINMIDXUXYBP Deviation = 3.26ppm
Search WEB for skeleton respect to your proposal |
|
![]()
|
|
|
Structure Proposal # 1160 JMNYEFUJXOVJAW Deviation = 3.28ppm
Search WEB for skeleton |
|
![]()
|
|
|
Structure Proposal # 1161 JPZPHHUURZPBFU Deviation = 3.28ppm
Search WEB for skeleton respect to your proposal |
|
![]()
|
|
|
Structure Proposal # 1162 CJNTUTFLDNSONJ Deviation = 3.29ppm
Search WEB for skeleton |
|
![]()
|
|
|
Structure Proposal # 1163 MHLUNGFSYADJMY Deviation = 3.30ppm
Search WEB for skeleton |
|
![]()
|
|
|
Structure Proposal # 1164 KPKNARDLNKOIQN Deviation = 3.30ppm
Search WEB for skeleton |
|
![]()
|
|
|
Structure Proposal # 1165 DJCRBEYSRUALIX Deviation = 3.30ppm
Search WEB for skeleton |
|
![]()
|
|
|
Structure Proposal # 1166 MBYQIVFLSSGYGO Deviation = 3.31ppm
Search WEB for skeleton |
|
![]()
|
|
|
Structure Proposal # 1167 RIJGMWUPDRQJMX Deviation = 3.31ppm
Search WEB for skeleton respect to your proposal |
|
![]()
|
|
|
Structure Proposal # 1168 PSMRJMIQGOWPCG Deviation = 3.31ppm
Search WEB for skeleton respect to your proposal |
|
![]()
|
|
|
Structure Proposal # 1169 KMUHIJXBWIZHNE Deviation = 3.32ppm
Search WEB for skeleton respect to your proposal |
|
![]()
|
|
|
Structure Proposal # 1170 NZAXLTVAMQPKFL Deviation = 3.33ppm
Search WEB for skeleton |
|
![]()
|
|
|
Structure Proposal # 1171 DBCQKTYYFBQUSD Deviation = 3.34ppm
Search WEB for skeleton respect to your proposal |
|
![]()
|
|
|
Structure Proposal # 1172 GFCFBEZJDDPPIW Deviation = 3.34ppm
Search WEB for skeleton |
|
![]()
|
|
|
Structure Proposal # 1173 ZPYPIRVISIMMPZ Deviation = 3.34ppm
Search WEB for skeleton respect to your proposal |
|
![]()
|
|
|
Structure Proposal # 1174 OPGZCEULPWPSEX Deviation = 3.34ppm
Search WEB for skeleton |
|
![]()
|
|
|
Structure Proposal # 1175 OQVSABVQRIOQNB Deviation = 3.36ppm
Search WEB for skeleton |
|
![]()
|
|
|
Structure Proposal # 1176 DPUMZXRGMXALDQ Deviation = 3.36ppm
Search WEB for skeleton |
|
![]()
|
|
|
Structure Proposal # 1177 FZGXOGCEZRDYBO Deviation = 3.37ppm
Search WEB for skeleton respect to your proposal |
|
![]()
|
|
|
Structure Proposal # 1178 DMFOPCHKHLZNQK Deviation = 3.37ppm
Search WEB for skeleton respect to your proposal |
|
![]()
|
|
|
Structure Proposal # 1179 YOHPDODRXANVNX Deviation = 3.37ppm
Search WEB for skeleton |
|
![]()
|
|
|
Structure Proposal # 1180 QOLJKRQHLPTZSN Deviation = 3.37ppm
Search WEB for skeleton |
|
![]()
|
|
|
Structure Proposal # 1181 YUZQGCWDDHFTRB Deviation = 3.37ppm
Search WEB for skeleton respect to your proposal |
|
![]()
|
|
|
Structure Proposal # 1182 KSQPTFKZZXRKFE Deviation = 3.38ppm
Search WEB for skeleton respect to your proposal |
|
![]()
|
|
|
Structure Proposal # 1183 RZOBLPULYKBYJM Deviation = 3.39ppm
Search WEB for skeleton |
|
![]()
|
|
|
Structure Proposal # 1184 FZAFUJROTGAUTJ Deviation = 3.40ppm
Search WEB for skeleton respect to your proposal |
|
![]()
|
|
|
Structure Proposal # 1185 SFEXKRPZBLFUSP Deviation = 3.41ppm
Search WEB for skeleton |
|
![]()
|
|
|
Structure Proposal # 1186 WKBBOHPIYFZEPZ Deviation = 3.41ppm
Search WEB for skeleton |
|
![]()
|
|
|
Structure Proposal # 1187 UNVVXFFUXGKDSU Deviation = 3.41ppm
Search WEB for skeleton respect to your proposal |
|
![]()
|
|
|
Structure Proposal # 1188 WNADRTSKOGLHIJ Deviation = 3.42ppm
Search WEB for skeleton |
|
![]()
|
|
|
Structure Proposal # 1189 TYRFPXVXROQZKS Deviation = 3.42ppm
Search WEB for skeleton respect to your proposal |
|
![]()
|
|
|
Structure Proposal # 1190 UVEVTKUKXHYGDB Deviation = 3.42ppm
Search WEB for skeleton respect to your proposal |
|
![]()
|
|
|
Structure Proposal # 1191 PMUAXHJEIZFFIJ Deviation = 3.43ppm
Search WEB for skeleton |
|
![]()
|
|
|
Structure Proposal # 1192 RZDKNEQHLIYQJJ Deviation = 3.43ppm
Search WEB for skeleton |
|
![]()
|
|
|
Structure Proposal # 1193 VXZNIOQBDAEWPP Deviation = 3.43ppm
Search WEB for skeleton |
|
![]()
|
|
|
Structure Proposal # 1194 QXEHABXMNDGVGJ Deviation = 3.43ppm
Search WEB for skeleton respect to your proposal |
|
![]()
|
|
|
Structure Proposal # 1195 UTCJGSGVZXSTQH Deviation = 3.43ppm
Search WEB for skeleton respect to your proposal |
|
![]()
|
|
|
Structure Proposal # 1196 PFOHFLDZKRMFIU Deviation = 3.43ppm
Search WEB for skeleton |
|
![]()
|
|
|
Structure Proposal # 1197 VTLNTLWWIOSZOI Deviation = 3.43ppm
Search WEB for skeleton |
|
![]()
|
|
|
Structure Proposal # 1198 ASKSHKOHKJTSJV Deviation = 3.44ppm
Search WEB for skeleton respect to your proposal |
|
![]()
|
|
|
Structure Proposal # 1199 GPXCKNLCWMRTLR Deviation = 3.44ppm
Search WEB for skeleton respect to your proposal |
|
![]()
|
|
|
Structure Proposal # 1200 DTBQMWSDEIWPAX Deviation = 3.44ppm
Search WEB for skeleton |
|
![]()
|
|
|
Structure Proposal # 1201 QYORPOFGXVVILE Deviation = 3.44ppm
Search WEB for skeleton |
|
![]()
|
|
|
Structure Proposal # 1202 YSIZBENWBFVKML Deviation = 3.45ppm
Search WEB for skeleton respect to your proposal |
|
![]()
|
|
|
Structure Proposal # 1203 OHKGJJOQSTUFOW Deviation = 3.45ppm
Search WEB for skeleton |
|
![]()
|
|
|
Structure Proposal # 1204 FNTBSVIDVBWCCX Deviation = 3.45ppm
Search WEB for skeleton respect to your proposal |
|
![]()
|
|
|
Structure Proposal # 1205 JKNJSDWNPPKZNH Deviation = 3.45ppm
Search WEB for skeleton respect to your proposal |
|
![]()
|
|
|
Structure Proposal # 1206 JUTMVQQTOFJFBT Deviation = 3.46ppm
Search WEB for skeleton |
|
![]()
|
|
|
Structure Proposal # 1207 DJEFQCAPILSMTL Deviation = 3.46ppm
Search WEB for skeleton |
|
![]()
|
|
|
Structure Proposal # 1208 XOWONPUIWKPTKH Deviation = 3.47ppm
Search WEB for skeleton respect to your proposal |
|
![]()
|
|
|
Structure Proposal # 1209 WPBSDDFSJLZWRZ Deviation = 3.47ppm
Search WEB for skeleton |
|
![]()
|
|
|
Structure Proposal # 1210 ASAOGRREPQUDDY Deviation = 3.48ppm
Search WEB for skeleton |
|
![]()
|
|
|
Structure Proposal # 1211 BYKBCPGLDOLZOY Deviation = 3.49ppm
Search WEB for skeleton |
|
![]()
|
|
|
Structure Proposal # 1212 XYJNNZJZBMDHFQ Deviation = 3.49ppm
Search WEB for skeleton |
|
![]()
|
|
|
Structure Proposal # 1213 AMYNPLIQQYUZRF Deviation = 3.50ppm
Search WEB for skeleton |
|
![]()
|
|
|
Structure Proposal # 1214 MIUIUMKQFDMEFC Deviation = 3.50ppm
Search WEB for skeleton |
|
![]()
|
|
|
Structure Proposal # 1215 OQUKVEIVRXMABH Deviation = 3.50ppm
Search WEB for skeleton |
|
![]()
|
|
|
Structure Proposal # 1216 MUNONWQFLICFQL Deviation = 3.51ppm
Search WEB for skeleton |
|
![]()
|
|
|
Structure Proposal # 1217 QCEGRVDDEGLHNC Deviation = 3.51ppm
Search WEB for skeleton |
|
![]()
|
|
|
Structure Proposal # 1218 ZYSCDYPQPDCJTJ Deviation = 3.51ppm
Search WEB for skeleton |
|
![]()
|
|
|
Structure Proposal # 1219 SUDJFACFSJQGAI Deviation = 3.51ppm
Search WEB for skeleton |
|
![]()
|
|
|
Structure Proposal # 1220 QKPSJACUEGKIFR Deviation = 3.51ppm
Search WEB for skeleton |
|
![]()
|
|
|
Structure Proposal # 1221 AKDBHMZXVCUCMS Deviation = 3.52ppm
Search WEB for skeleton |
|
![]()
|
|
|
Structure Proposal # 1222 MJJXGNMUFWDPAO Deviation = 3.52ppm
Search WEB for skeleton respect to your proposal |
|
![]()
|
|
|
Structure Proposal # 1223 IHXHURGBUVAKFI Deviation = 3.53ppm
Search WEB for skeleton respect to your proposal |
|
![]()
|
|
|
Structure Proposal # 1224 PLJSQCZXFICYSQ Deviation = 3.53ppm
Search WEB for skeleton |
|
![]()
|
|
|
Structure Proposal # 1225 ATHFLSCKOSGJMB Deviation = 3.53ppm
Search WEB for skeleton |
|
![]()
|
|
|
Structure Proposal # 1226 AECPORDXDHXWLJ Deviation = 3.54ppm
Search WEB for skeleton |
|
![]()
|
|
|
Structure Proposal # 1227 ZXJBNJIDGDWUAL Deviation = 3.54ppm
Search WEB for skeleton |
|
![]()
|
|
|
Structure Proposal # 1228 GTTAVNKCMCATRJ Deviation = 3.54ppm
Search WEB for skeleton |
|
![]()
|
|
|
Structure Proposal # 1229 USIKHRQQZOFIFS Deviation = 3.57ppm
Search WEB for skeleton respect to your proposal |
|
![]()
|
|
|
Structure Proposal # 1230 HJTFTKFLICLVQU Deviation = 3.57ppm
Search WEB for skeleton |
|
![]()
|
|
|
Structure Proposal # 1231 YSDWADVJUKXBTC Deviation = 3.58ppm
Search WEB for skeleton |
|
![]()
|
|
|
Structure Proposal # 1232 GWFDYSNCRUAXPZ Deviation = 3.59ppm
Search WEB for skeleton |
|
![]()
|
|
|
Structure Proposal # 1233 MIFGWTKGASMKGK Deviation = 3.59ppm
Search WEB for skeleton |
|
![]()
|
|
|
Structure Proposal # 1234 NQQJDENYTGULTF Deviation = 3.60ppm
Search WEB for skeleton |
|
![]()
|
|
|
Structure Proposal # 1235 VKYVQIKGKKCYHU Deviation = 3.61ppm
Search WEB for skeleton |
|
![]()
|
|
|
Structure Proposal # 1236 NWMNEFWOMOQUTQ Deviation = 3.61ppm
Search WEB for skeleton |
|
![]()
|
|
|
Structure Proposal # 1237 ZQAGPGGGMHUBLW Deviation = 3.64ppm
Search WEB for skeleton |
|
![]()
|
|
|
Structure Proposal # 1238 DBEQARRTCUROBY Deviation = 3.65ppm
Search WEB for skeleton |
|
![]()
|
|
|
Structure Proposal # 1239 VSFRNZFCJMRUGR Deviation = 3.65ppm
Search WEB for skeleton respect to your proposal |
|
![]()
|
|
|
Structure Proposal # 1240 ZEGGBQKKHXKCHQ Deviation = 3.65ppm
Search WEB for skeleton |
|
![]()
|
|
|
Structure Proposal # 1241 FWDREZRUOUWNTE Deviation = 3.65ppm
Search WEB for skeleton respect to your proposal |
|
![]()
|
|
|
Structure Proposal # 1242 VYSOAMSZRICDHR Deviation = 3.66ppm
Search WEB for skeleton |
|
![]()
|
|
|
Structure Proposal # 1243 ZKTFNDMCRKQVHU Deviation = 3.66ppm
Search WEB for skeleton |
|
![]()
|
|
|
Structure Proposal # 1244 KNFDUDLIHSOIFM Deviation = 3.66ppm
Search WEB for skeleton respect to your proposal |
|
![]()
|
|
|
Structure Proposal # 1245 WKLMUBHQAZKGSL Deviation = 3.66ppm
Search WEB for skeleton |
|
![]()
|
|
|
Structure Proposal # 1246 XUXUWJCOYDPBEQ Deviation = 3.67ppm
Search WEB for skeleton |
|
![]()
|
|
|
Structure Proposal # 1247 FAGZXOGTBZVTDU Deviation = 3.67ppm
Search WEB for skeleton |
|
![]()
|
|
|
Structure Proposal # 1248 ZSEYFZGKNMSMDL Deviation = 3.68ppm
Search WEB for skeleton respect to your proposal |
|
![]()
|
|
|
Structure Proposal # 1249 URWHSLYGKDRTHU Deviation = 3.68ppm
Search WEB for skeleton |
|
![]()
|
|
|
Structure Proposal # 1250 FRLBMGXCNCGFEV Deviation = 3.69ppm
Search WEB for skeleton respect to your proposal |
|
![]()
|
|
|
Structure Proposal # 1251 OKKGABYSPSKOKU Deviation = 3.69ppm
Search WEB for skeleton |
|
![]()
|
|
|
Structure Proposal # 1252 WXPSLTIQDFZLCE Deviation = 3.70ppm
Search WEB for skeleton |
|
![]()
|
|
|
Structure Proposal # 1253 VWXKOYOLKXOAPD Deviation = 3.71ppm
Search WEB for skeleton respect to your proposal |
|
![]()
|
|
|
Structure Proposal # 1254 FQCBTAQYJMFXIE Deviation = 3.71ppm
Search WEB for skeleton respect to your proposal |
|
![]()
|
|
|
Structure Proposal # 1255 AGTSQKDXSCJZRF Deviation = 3.71ppm
Search WEB for skeleton |
|
![]()
|
|
|
Structure Proposal # 1256 UWWHIRAYURFXNG Deviation = 3.71ppm
Search WEB for skeleton |
|
![]()
|
|
|
Structure Proposal # 1257 UZMLHMPZTNYFPO Deviation = 3.74ppm
Search WEB for skeleton |
|
![]()
|
|
|
Structure Proposal # 1258 RJSBTIIVJLHUEU Deviation = 3.75ppm
Search WEB for skeleton |
|
![]()
|
|
|
Structure Proposal # 1259 FOPWPBJYMBWVHD Deviation = 3.76ppm
Search WEB for skeleton |
|
![]()
|
|
|
Structure Proposal # 1260 BKQSAMJBQKHQKL Deviation = 3.76ppm
Search WEB for skeleton |
|
![]()
|
|
|
Structure Proposal # 1261 SBHXQUUBGMMTRM Deviation = 3.78ppm
Search WEB for skeleton |
|
![]()
|
|
|
Structure Proposal # 1262 PPBJNWOFOOUIBL Deviation = 3.79ppm
Search WEB for skeleton |
|
![]()
|
|
|
Structure Proposal # 1263 KEHMSZMKGKOFEK Deviation = 3.79ppm
Search WEB for skeleton |
|
![]()
|
|
|
Structure Proposal # 1264 SZVRYGVVTUSBBM Deviation = 3.81ppm
Search WEB for skeleton |
|
![]()
|
|
|
Structure Proposal # 1265 ULCVFYHWIZDZOY Deviation = 3.82ppm
Search WEB for skeleton respect to your proposal |
|
![]()
|
|
|
Structure Proposal # 1266 BOUIWQLWVOGGOW Deviation = 3.82ppm
Search WEB for skeleton |
|
![]()
|
|
|
Structure Proposal # 1267 LUPQORCXUOLGGQ Deviation = 3.82ppm
Search WEB for skeleton |
|
![]()
|
|
|
Structure Proposal # 1268 HSAXRWJKAFAJEA Deviation = 3.83ppm
Search WEB for skeleton |
|
![]()
|
|
|
Structure Proposal # 1269 NJCHPSBPVMEGHH Deviation = 3.83ppm
Search WEB for skeleton |
|
![]()
|
|
|
Structure Proposal # 1270 KZYLRESTEYDVEE Deviation = 3.83ppm
Search WEB for skeleton respect to your proposal |
|
![]()
|
|
|
Structure Proposal # 1271 GEGWOODZLOCMSO Deviation = 3.83ppm
Search WEB for skeleton |
|
![]()
|
|
|
Structure Proposal # 1272 SIDRRWFAVMEZHO Deviation = 3.84ppm
Search WEB for skeleton |
|
![]()
|
|
|
Structure Proposal # 1273 MOUCHENZWXZKGB Deviation = 3.84ppm
Search WEB for skeleton |
|
![]()
|
|
|
Structure Proposal # 1274 WWJIUOYZOFIYPL Deviation = 3.85ppm
Search WEB for skeleton respect to your proposal |
|
![]()
|
|
|
Structure Proposal # 1275 FKTNNORZPWIAFL Deviation = 3.85ppm
Search WEB for skeleton |
|
![]()
|
|
|
Structure Proposal # 1276 JIZAAPVVMYIROO Deviation = 3.88ppm
Search WEB for skeleton |
|
![]()
|
|
|
Structure Proposal # 1277 RPIZZOYPRHGQMY Deviation = 3.88ppm
Search WEB for skeleton |
|
![]()
|
|
|
Structure Proposal # 1278 MQKGBNOWSQVACU Deviation = 3.89ppm
Search WEB for skeleton |
|
![]()
|
|
|
Structure Proposal # 1279 LPVYACVOQWYNRQ Deviation = 3.90ppm
Search WEB for skeleton |
|
![]()
|
|
|
Structure Proposal # 1280 MNEGOIRDZXWLNW Deviation = 3.90ppm
Search WEB for skeleton |
|
![]()
|
|
|
Structure Proposal # 1281 OVLYDAHSXGKULS Deviation = 3.91ppm
Search WEB for skeleton |
|
![]()
|
|
|
Structure Proposal # 1282 IRXFVYIHNKCJGH Deviation = 3.91ppm
Search WEB for skeleton respect to your proposal |
|
![]()
|
|
|
Structure Proposal # 1283 ITFWCVXYIPYNAI Deviation = 3.91ppm
Search WEB for skeleton respect to your proposal |
|
![]()
|
|
|
Structure Proposal # 1284 IMVBGJXBTPREBW Deviation = 3.92ppm
Search WEB for skeleton |
|
![]()
|
|
|
Structure Proposal # 1285 PTNCMDQQYXBVRR Deviation = 3.92ppm
Search WEB for skeleton |
|
![]()
|
|
|
Structure Proposal # 1286 RLALIKHENOTZFI Deviation = 3.92ppm
Search WEB for skeleton |
|
![]()
|
|
|
Structure Proposal # 1287 IUBCKRNNUKTLSG Deviation = 3.93ppm
Search WEB for skeleton |
|
![]()
|
|
|
Structure Proposal # 1288 BIBUUFRBAIKKOC Deviation = 3.93ppm
Search WEB for skeleton |
|
![]()
|
|
|
Structure Proposal # 1289 SODASNFNNLHLQG Deviation = 3.93ppm
Search WEB for skeleton |
|
![]()
|
|
|
Structure Proposal # 1290 QUKJEWABDVQMPH Deviation = 3.93ppm
Search WEB for skeleton |
|
![]()
|
|
|
Structure Proposal # 1291 BPHBATLCTIRSRR Deviation = 3.94ppm
Search WEB for skeleton |
|
![]()
|
|
|
Structure Proposal # 1292 MOMZJBJZYOYRRI Deviation = 3.94ppm
Search WEB for skeleton respect to your proposal |
|
![]()
|
|
|
Structure Proposal # 1293 NZFHODVIQREMBF Deviation = 3.94ppm
Search WEB for skeleton |
|
![]()
|
|
|
Structure Proposal # 1294 LZTVYGSMOZDDOM Deviation = 3.95ppm
Search WEB for skeleton |
|
![]()
|
|
|
Structure Proposal # 1295 GGCDFZRFWDYLSL Deviation = 3.95ppm
Search WEB for skeleton respect to your proposal |
|
![]()
|
|
|
Structure Proposal # 1296 OMINDBDFRLGSRJ Deviation = 3.95ppm
Search WEB for skeleton respect to your proposal |
|
![]()
|
|
|
Structure Proposal # 1297 JHRIFVWSEGFULY Deviation = 3.96ppm
Search WEB for skeleton |
|
![]()
|
|
|
Structure Proposal # 1298 LMZXSFDVFMXUBT Deviation = 3.96ppm
Search WEB for skeleton |
|
![]()
|
|
|
Structure Proposal # 1299 FLAWJMXGQVRASQ Deviation = 3.96ppm
Search WEB for skeleton |
|
![]()
|
|
|
Structure Proposal # 1300 JHKMJHFIIHPTEX Deviation = 3.97ppm
Search WEB for skeleton |
|
![]()
|
|
|
Structure Proposal # 1301 UNGPUQLSSHITPO Deviation = 3.97ppm
Search WEB for skeleton |
|
![]()
|
|
|
Structure Proposal # 1302 FKHRXIZYFKXFFP Deviation = 3.97ppm
Search WEB for skeleton |
|
![]()
|
|
|
Structure Proposal # 1303 QXMQHJBQMLSTIL Deviation = 3.97ppm
Search WEB for skeleton |
|
![]()
|
|
|
Structure Proposal # 1304 XEDSTYDEDWLGDA Deviation = 3.97ppm
Search WEB for skeleton |
|
![]()
|
|
|
Structure Proposal # 1305 IIPRAEYQIXFCHR Deviation = 3.98ppm
Search WEB for skeleton respect to your proposal |
|
![]()
|
|
|
Structure Proposal # 1306 VGUBJBHUXNKDIM Deviation = 3.98ppm
Search WEB for skeleton respect to your proposal |
|
![]()
|
|
|
Structure Proposal # 1307 FAVSGLFPVODEAQ Deviation = 3.99ppm
Search WEB for skeleton |
|
![]()
|
|
|
Structure Proposal # 1308 KYAPMFNWFQNGKL Deviation = 3.99ppm
Search WEB for skeleton respect to your proposal |
|
![]()
|
|
|
Structure Proposal # 1309 BMSBYPXBSUHAHB Deviation = 4.01ppm
Search WEB for skeleton respect to your proposal |
|
![]()
|
|
|
Structure Proposal # 1310 JHUAGRSFPZBNSM Deviation = 4.02ppm
Search WEB for skeleton respect to your proposal |
|
![]()
|
|
|
Structure Proposal # 1311 KMRCGINCWKIDNV Deviation = 4.03ppm
Search WEB for skeleton |
|
![]()
|
|
|
Structure Proposal # 1312 FDTJHDDVQTVPAI Deviation = 4.05ppm
Search WEB for skeleton respect to your proposal |
|
![]()
|
|
|
Structure Proposal # 1313 JQDDITYXKUIWAW Deviation = 4.06ppm
Search WEB for skeleton respect to your proposal |
|
![]()
|
|
|
Structure Proposal # 1314 VEEUPUWYSQRMEK Deviation = 4.08ppm
Search WEB for skeleton |
|
![]()
|
|
|
Structure Proposal # 1315 NIENUIXGVCSPQD Deviation = 4.09ppm
Search WEB for skeleton |
|
![]()
|
|
|
Structure Proposal # 1316 UYOSXFHLFWJUIU Deviation = 4.09ppm
Search WEB for skeleton respect to your proposal |
|
![]()
|
|
|
Structure Proposal # 1317 CNKMKDOECXWNNG Deviation = 4.11ppm
Search WEB for skeleton |
|
![]()
|
|
|
Structure Proposal # 1318 PCQQZLDPZLQSLR Deviation = 4.11ppm
Search WEB for skeleton |
|
![]()
|
|
|
Structure Proposal # 1319 HAMUKSPYSWPFNX Deviation = 4.12ppm
Search WEB for skeleton |
|
![]()
|
|
|
Structure Proposal # 1320 ZGAAEJLCADRCQU Deviation = 4.12ppm
Search WEB for skeleton |
|
![]()
|
|
|
Structure Proposal # 1321 PHPSOABFLNLWKP Deviation = 4.13ppm
Search WEB for skeleton |
|
![]()
|
|
|
Structure Proposal # 1322 WNEQCDZJNKNJFF Deviation = 4.14ppm
Search WEB for skeleton |
|
![]()
|
|
|
Structure Proposal # 1323 GSBSTSIOYANQQL Deviation = 4.14ppm
Search WEB for skeleton |
|
![]()
|
|
|
Structure Proposal # 1324 YLUMFZYVGWKZOC Deviation = 4.14ppm
Search WEB for skeleton |
|
![]()
|
|
|
Structure Proposal # 1325 TXAQYSVFSUHYLT Deviation = 4.15ppm
Search WEB for skeleton respect to your proposal |
|
![]()
|
|
|
Structure Proposal # 1326 UPAFGGXGATVJMA Deviation = 4.15ppm
Search WEB for skeleton respect to your proposal |
|
![]()
|
|
|
Structure Proposal # 1327 FRBHBWDMGQIANU Deviation = 4.16ppm
Search WEB for skeleton |
|
![]()
|
|
|
Structure Proposal # 1328 RIEWUQAGJPHRGV Deviation = 4.16ppm
Search WEB for skeleton respect to your proposal |
|
![]()
|
|
|
Structure Proposal # 1329 BJWJRVGHDXMSPV Deviation = 4.17ppm
Search WEB for skeleton |
|
![]()
|
|
|
Structure Proposal # 1330 YHVOOPYADNJXJO Deviation = 4.17ppm
Search WEB for skeleton respect to your proposal |
|
![]()
|
|
|
Structure Proposal # 1331 QELZLIMQJUDOMY Deviation = 4.17ppm
Search WEB for skeleton |
|
![]()
|
|
|
Structure Proposal # 1332 MNXZRUAIKQJYAS Deviation = 4.18ppm
Search WEB for skeleton |
|
![]()
|
|
|
Structure Proposal # 1333 VSIWMGNVCRLIQS Deviation = 4.19ppm
Search WEB for skeleton respect to your proposal |
|
![]()
|
|
|
Structure Proposal # 1334 KRDNPKYPXMDRKC Deviation = 4.20ppm
Search WEB for skeleton |
|
![]()
|
|
|
Structure Proposal # 1335 QGPUADUSCCIWJO Deviation = 4.21ppm
Search WEB for skeleton respect to your proposal |
|
![]()
|
|
|
Structure Proposal # 1336 XPCJRSMPXRQUOZ Deviation = 4.21ppm
Search WEB for skeleton |
|
![]()
|
|
|
Structure Proposal # 1337 FBIBQVGUSIGBOZ Deviation = 4.21ppm
Search WEB for skeleton |
|
![]()
|
|
|
Structure Proposal # 1338 BETPJLBYMOLTNG Deviation = 4.22ppm
Search WEB for skeleton |
|
![]()
|
|
|
Structure Proposal # 1339 VQLTXAWFVPGRAA Deviation = 4.22ppm
Search WEB for skeleton respect to your proposal |
|
![]()
|
|
|
Structure Proposal # 1340 LRZMOEMWDZOTJF Deviation = 4.23ppm
Search WEB for skeleton |
|
![]()
|
|
|
Structure Proposal # 1341 GQXDXSUNFPAQQR Deviation = 4.25ppm
Search WEB for skeleton respect to your proposal |
|
![]()
|
|
|
Structure Proposal # 1342 HFJSWUAUHAVIHG Deviation = 4.26ppm
Search WEB for skeleton |
|
![]()
|
|
|
Structure Proposal # 1343 OFECVWFXKNOSGN Deviation = 4.26ppm
Search WEB for skeleton respect to your proposal |
|
![]()
|
|
|
Structure Proposal # 1344 GFGRAZNSOFOKEA Deviation = 4.27ppm
Search WEB for skeleton |
|
![]()
|
|
|
Structure Proposal # 1345 VTNWFFOJAJNULV Deviation = 4.27ppm
Search WEB for skeleton respect to your proposal |
|
![]()
|
|
|
Structure Proposal # 1346 XJOCSAGFIFPWCP Deviation = 4.29ppm
Search WEB for skeleton |
|
![]()
|
|
|
Structure Proposal # 1347 ILAIPNIWZRYQPD Deviation = 4.30ppm
Search WEB for skeleton |
|
![]()
|
|
|
Structure Proposal # 1348 GBUUGLURJMFMRA Deviation = 4.30ppm
Search WEB for skeleton respect to your proposal |
|
![]()
|
|
|
Structure Proposal # 1349 XAKANBBYLRARIL Deviation = 4.30ppm
Search WEB for skeleton respect to your proposal |
|
![]()
|
|
|
Structure Proposal # 1350 WJONLAWBPYCCCW Deviation = 4.31ppm
Search WEB for skeleton respect to your proposal |
|
![]()
|
|
|
Structure Proposal # 1351 CFRLUYYQFHRZRA Deviation = 4.32ppm
Search WEB for skeleton |
|
![]()
|
|
|
Structure Proposal # 1352 XTHVEDRQBWYQTR Deviation = 4.32ppm
Search WEB for skeleton |
|
![]()
|
|
|
Structure Proposal # 1353 PFDPUCKXIQFZPR Deviation = 4.33ppm
Search WEB for skeleton |
|
![]()
|
|
|
Structure Proposal # 1354 KNQSTKXUKLGBGV Deviation = 4.35ppm
Search WEB for skeleton respect to your proposal |
|
![]()
|
|
|
Structure Proposal # 1355 OXGYIVISSJLWQG Deviation = 4.35ppm
Search WEB for skeleton |
|
![]()
|
|
|
Structure Proposal # 1356 FTFBYQCTBLTVBT Deviation = 4.36ppm
Search WEB for skeleton |
|
![]()
|
|
|
Structure Proposal # 1357 UETGLYKDSLVLQI Deviation = 4.37ppm
Search WEB for skeleton |
|
![]()
|
|
|
Structure Proposal # 1358 HOLRDVPALXKEFS Deviation = 4.38ppm
Search WEB for skeleton |
|
![]()
|
|
|
Structure Proposal # 1359 ZSJDPMBAJUIJCL Deviation = 4.38ppm
Search WEB for skeleton respect to your proposal |
|
![]()
|
|
|
Structure Proposal # 1360 QHEIDNACXZEBHV Deviation = 4.38ppm
Search WEB for skeleton respect to your proposal |
|
![]()
|
|
|
Structure Proposal # 1361 WJNMPAIRUXRZQK Deviation = 4.38ppm
Search WEB for skeleton |
|
![]()
|
|
|
Structure Proposal # 1362 NYDSWDNKTUAJPC Deviation = 4.39ppm
Search WEB for skeleton respect to your proposal |
|
![]()
|
|
|
Structure Proposal # 1363 JFYTUQBZCFUZLX Deviation = 4.40ppm
Search WEB for skeleton respect to your proposal |
|
![]()
|
|
|
Structure Proposal # 1364 UYLMEHTVXUAFQH Deviation = 4.41ppm
Search WEB for skeleton |
|
![]()
|
|
|
Structure Proposal # 1365 OQVGJEDEZJISEO Deviation = 4.42ppm
Search WEB for skeleton respect to your proposal |
|
![]()
|
|
|
Structure Proposal # 1366 YXFDJLUKTGBOQG Deviation = 4.44ppm
Search WEB for skeleton respect to your proposal |
|
![]()
|
|
|
Structure Proposal # 1367 HBTUIXFZYUOFNH Deviation = 4.45ppm
Search WEB for skeleton |
|
![]()
|
|
|
Structure Proposal # 1368 APZIZLJUANQTHA Deviation = 4.45ppm
Search WEB for skeleton |
|
![]()
|
|
|
Structure Proposal # 1369 RMIRVVDHRKNWQV Deviation = 4.45ppm
Search WEB for skeleton |
|
![]()
|
|
|
Structure Proposal # 1370 HRBBZOJPMCHXLK Deviation = 4.45ppm
Search WEB for skeleton respect to your proposal |
|
![]()
|
|
|
Structure Proposal # 1371 UMTFGQHJECXJAA Deviation = 4.46ppm
Search WEB for skeleton respect to your proposal |
|
![]()
|
|
|
Structure Proposal # 1372 FSJVIHRSRGEMOM Deviation = 4.47ppm
Search WEB for skeleton |
|
![]()
|
|
|
Structure Proposal # 1373 CMXXDAZVQFKJAX Deviation = 4.47ppm
Search WEB for skeleton |
|
![]()
|
|
|
Structure Proposal # 1374 ZLVUNTPBBLXVGS Deviation = 4.48ppm
Search WEB for skeleton |
|
![]()
|
|
|
Structure Proposal # 1375 AWLAMAWFWZJNMQ Deviation = 4.49ppm
Search WEB for skeleton |
|
![]()
|
|
|
Structure Proposal # 1376 GQBFJSVAVOJONQ Deviation = 4.50ppm
Search WEB for skeleton respect to your proposal |
|
![]()
|
|
|
Structure Proposal # 1377 BXQGXVPKZPFFKI Deviation = 4.50ppm
Search WEB for skeleton |
|
![]()
|
|
|
Structure Proposal # 1378 CDTBYFOLYXLSLM Deviation = 4.50ppm
Search WEB for skeleton |
|
![]()
|
|
|
Structure Proposal # 1379 NGZNRVMQEWKGLR Deviation = 4.50ppm
Search WEB for skeleton respect to your proposal |
|
![]()
|
|
|
Structure Proposal # 1380 DJSKULDCFRZGCX Deviation = 4.52ppm
Search WEB for skeleton |
|
![]()
|
|
|
Structure Proposal # 1381 ACBMLWBWIPPQAA Deviation = 4.52ppm
Search WEB for skeleton respect to your proposal |
|
![]()
|
|
|
Structure Proposal # 1382 AMTUZBGAPHLCHD Deviation = 4.52ppm
Search WEB for skeleton |
|
![]()
|
|
|
Structure Proposal # 1383 YGFMAMADZNAJFH Deviation = 4.54ppm
Search WEB for skeleton |
|
![]()
|
|
|
Structure Proposal # 1384 CHKVWKPWJXJNNZ Deviation = 4.55ppm
Search WEB for skeleton |
|
![]()
|
|
|
Structure Proposal # 1385 LHSHSMNNYXMUIN Deviation = 4.55ppm
Search WEB for skeleton |
|
![]()
|
|
|
Structure Proposal # 1386 GFQXWYAMZVNAMO Deviation = 4.55ppm
Search WEB for skeleton respect to your proposal |
|
![]()
|
|
|
Structure Proposal # 1387 UOIVMYQVLFPAJO Deviation = 4.57ppm
Search WEB for skeleton |
|
![]()
|
|
|
Structure Proposal # 1388 XHAZBLCBAOREKN Deviation = 4.57ppm
Search WEB for skeleton |
|
![]()
|
|
|
Structure Proposal # 1389 KJFKFPWRURCVSE Deviation = 4.58ppm
Search WEB for skeleton |
|
![]()
|
|
|
Structure Proposal # 1390 ZELFHKPIVTUSAB Deviation = 4.60ppm
Search WEB for skeleton |
|
![]()
|
|
|
Structure Proposal # 1391 PZQZOBPHHNPCJL Deviation = 4.60ppm
Search WEB for skeleton respect to your proposal |
|
![]()
|
|
|
Structure Proposal # 1392 XKGFVZLXDNSNPM Deviation = 4.61ppm
Search WEB for skeleton respect to your proposal |
|
![]()
|
|
|
Structure Proposal # 1393 HQWONMWMBXWIJD Deviation = 4.62ppm
Search WEB for skeleton |
|
![]()
|
|
|
Structure Proposal # 1394 GXJFZBGLBXREAW Deviation = 4.62ppm
Search WEB for skeleton respect to your proposal |
|
![]()
|
|
|
Structure Proposal # 1395 KBWODUJZNLLHMQ Deviation = 4.63ppm
Search WEB for skeleton respect to your proposal |
|
![]()
|
|
|
Structure Proposal # 1396 UPMSLKPOEVIKME Deviation = 4.64ppm
Search WEB for skeleton |
|
![]()
|
|
|
Structure Proposal # 1397 ZJVODZIWSVQTEA Deviation = 4.66ppm
Search WEB for skeleton |
|
![]()
|
|
|
Structure Proposal # 1398 LTFVXCWKXFXNML Deviation = 4.67ppm
Search WEB for skeleton |
|
![]()
|
|
|
Structure Proposal # 1399 POMYGCAOXYWKFU Deviation = 4.67ppm
Search WEB for skeleton |
|
![]()
|
|
|
Structure Proposal # 1400 KWMPSOVEJNMTHY Deviation = 4.68ppm
Search WEB for skeleton |
|
![]()
|
|
|
Structure Proposal # 1401 PWEYGYMZVSLBCY Deviation = 4.68ppm
Search WEB for skeleton respect to your proposal |
|
![]()
|
|
|
Structure Proposal # 1402 TXNATYWPNXAWPP Deviation = 4.68ppm
Search WEB for skeleton respect to your proposal |
|
![]()
|
|
|
Structure Proposal # 1403 ZXUCLWDNMIZKIO Deviation = 4.68ppm
Search WEB for skeleton |
|
![]()
|
|
|
Structure Proposal # 1404 RAWZMEYAJBCWIS Deviation = 4.68ppm
Search WEB for skeleton |
|
![]()
|
|
|
Structure Proposal # 1405 MWOXFCOBKACUFM Deviation = 4.68ppm
Search WEB for skeleton |
|
![]()
|
|
|
Structure Proposal # 1406 RTQXTHZSZZSWND Deviation = 4.69ppm
Search WEB for skeleton |
|
![]()
|
|
|
Structure Proposal # 1407 VKNLVNQNNXHXAI Deviation = 4.69ppm
Search WEB for skeleton |
|
![]()
|
|
|
Structure Proposal # 1408 IFGHNUOMPISLKV Deviation = 4.70ppm
Search WEB for skeleton |
|
![]()
|
|
|
Structure Proposal # 1409 POGMHAXJHKQXRO Deviation = 4.70ppm
Search WEB for skeleton respect to your proposal |
|
![]()
|
|
|
Structure Proposal # 1410 ZMBAFFQXKWCNNF Deviation = 4.70ppm
Search WEB for skeleton respect to your proposal |
|
![]()
|
|
|
Structure Proposal # 1411 AJOMPJCRFPTMGC Deviation = 4.71ppm
Search WEB for skeleton |
|
![]()
|
|
|
Structure Proposal # 1412 FEMMDAXZVSDAIH Deviation = 4.71ppm
Search WEB for skeleton |
|
![]()
|
|
|
Structure Proposal # 1413 ZTHLBLSIZGEYNC Deviation = 4.71ppm
Search WEB for skeleton respect to your proposal |
|
![]()
|
|
|
Structure Proposal # 1414 ZFSLUEUUJMTPLF Deviation = 4.73ppm
Search WEB for skeleton respect to your proposal |
|
![]()
|
|
|
Structure Proposal # 1415 CJGBRUONZVCENK Deviation = 4.73ppm
Search WEB for skeleton respect to your proposal |
|
![]()
|
|
|
Structure Proposal # 1416 SENWCJZXNULLDQ Deviation = 4.73ppm
Search WEB for skeleton respect to your proposal |
|
![]()
|
|
|
Structure Proposal # 1417 GDEURKNSBGZUTL Deviation = 4.74ppm
Search WEB for skeleton respect to your proposal |
|
![]()
|
|
|
Structure Proposal # 1418 CCYRRCFIIXNMMK Deviation = 4.75ppm
Search WEB for skeleton |
|
![]()
|
|
|
Structure Proposal # 1419 KCUMMVYVVCSRRW Deviation = 4.76ppm
Search WEB for skeleton |
|
![]()
|
|
|
Structure Proposal # 1420 WFWWTPGFABIEKG Deviation = 4.77ppm
Search WEB for skeleton respect to your proposal |
|
![]()
|
|
|
Structure Proposal # 1421 FYEWQGWZJQHBHX Deviation = 4.78ppm
Search WEB for skeleton respect to your proposal |
|
![]()
|
|
|
Structure Proposal # 1422 BDOIJMOXCKOCOV Deviation = 4.79ppm
Search WEB for skeleton respect to your proposal |
|
![]()
|
|
|
Structure Proposal # 1423 ANRDMQUWDSOTOA Deviation = 4.79ppm
Search WEB for skeleton |
|
![]()
|
|
|
Structure Proposal # 1424 FPLNTZGOUMSMGI Deviation = 4.80ppm
Search WEB for skeleton respect to your proposal |
|
![]()
|
|
|
Structure Proposal # 1425 CXBQUJAGZZXCFQ Deviation = 4.81ppm
Search WEB for skeleton respect to your proposal |
|
![]()
|
|
|
Structure Proposal # 1426 HOEDXFRQPBUEJN Deviation = 4.82ppm
Search WEB for skeleton respect to your proposal |
|
![]()
|
|
|
Structure Proposal # 1427 SCTPBPLNPJYTSG Deviation = 4.82ppm
Search WEB for skeleton respect to your proposal |
|
![]()
|
|
|
Structure Proposal # 1428 UWHZCCMVIPRZLS Deviation = 4.83ppm
Search WEB for skeleton |
|
![]()
|
|
|
Structure Proposal # 1429 SMCQKDKOFSOGEK Deviation = 4.84ppm
Search WEB for skeleton respect to your proposal |
|
![]()
|
|
|
Structure Proposal # 1430 CDAMIXGPJJHQEH Deviation = 4.84ppm
Search WEB for skeleton |
|
![]()
|
|
|
Structure Proposal # 1431 QNAIVTVKMPOLMA Deviation = 4.84ppm
Search WEB for skeleton respect to your proposal |
|
![]()
|
|
|
Structure Proposal # 1432 JFQJBURVBSLUOK Deviation = 4.84ppm
Search WEB for skeleton respect to your proposal |
|
![]()
|
|
|
Structure Proposal # 1433 PUPAYOPDRBPOBS Deviation = 4.85ppm
Search WEB for skeleton respect to your proposal |
|
![]()
|
|
|
Structure Proposal # 1434 ZEALDAASABOVRR Deviation = 4.85ppm
Search WEB for skeleton respect to your proposal |
|
![]()
|
|
|
Structure Proposal # 1435 QMPHNFPWYWAZOM Deviation = 4.85ppm
Search WEB for skeleton respect to your proposal |
|
![]()
|
|
|
Structure Proposal # 1436 RPVYCIWMYTVLIQ Deviation = 4.86ppm
Search WEB for skeleton respect to your proposal |
|
![]()
|
|
|
Structure Proposal # 1437 XGFRBFLVAUNUDH Deviation = 4.87ppm
Search WEB for skeleton |
|
![]()
|
|
|
Structure Proposal # 1438 LEKHWFFYSAMERA Deviation = 4.87ppm
Search WEB for skeleton |
|
![]()
|
|
|
Structure Proposal # 1439 VEPKUWHXOCIQGI Deviation = 4.87ppm
Search WEB for skeleton respect to your proposal |
|
![]()
|
|
|
Structure Proposal # 1440 MSKUNCMNHWBYLO Deviation = 4.88ppm
Search WEB for skeleton respect to your proposal |
|
![]()
|
|
|
Structure Proposal # 1441 BOYCASWRNOWOMS Deviation = 4.88ppm
Search WEB for skeleton respect to your proposal |
|
![]()
|
|
|
Structure Proposal # 1442 LDHNLXHIRBVNCS Deviation = 4.89ppm
Search WEB for skeleton respect to your proposal |
|
![]()
|
|
|
Structure Proposal # 1443 USHYLKRPQOILIC Deviation = 4.90ppm
Search WEB for skeleton respect to your proposal |
|
![]()
|
|
|
Structure Proposal # 1444 ZSZDTHBQHRTQJM Deviation = 4.90ppm
Search WEB for skeleton respect to your proposal |
|
![]()
|
|
|
Structure Proposal # 1445 VHJNOCOJUYEYTH Deviation = 4.90ppm
Search WEB for skeleton respect to your proposal |
|
![]()
|
|
|
Structure Proposal # 1446 XXTAMCSWQNNNLE Deviation = 4.91ppm
Search WEB for skeleton respect to your proposal |
|
![]()
|
|
|
Structure Proposal # 1447 JMFBDNRNMWMZCB Deviation = 4.92ppm
Search WEB for skeleton respect to your proposal |
|
![]()
|
|
|
Structure Proposal # 1448 XZKUXWCRPHKPIG Deviation = 4.92ppm
Search WEB for skeleton respect to your proposal |
|
![]()
|
|
|
Structure Proposal # 1449 PEOWPSHQPOOWIH Deviation = 4.92ppm
Search WEB for skeleton |
|
![]()
|
|
|
Structure Proposal # 1450 OIYVQKPOFMIKCX Deviation = 4.93ppm
Search WEB for skeleton |
|
![]()
|
|
|
Structure Proposal # 1451 XKAGNDIOHVNQMH Deviation = 4.93ppm
Search WEB for skeleton respect to your proposal |
|
![]()
|
|
|
Structure Proposal # 1452 XLJWTCPWLBHXGT Deviation = 4.96ppm
Search WEB for skeleton respect to your proposal |
|
![]()
|
|
|
Structure Proposal # 1453 XAHSOGIXJPRWQT Deviation = 4.96ppm
Search WEB for skeleton respect to your proposal |
|
![]()
|
|
|
Structure Proposal # 1454 QKPNKVGZFAUJQW Deviation = 4.96ppm
Search WEB for skeleton respect to your proposal |
|
![]()
|
|
|
Structure Proposal # 1455 ZERNMQLDRCCIJU Deviation = 4.97ppm
Search WEB for skeleton respect to your proposal |
|
![]()
|
|
|
Structure Proposal # 1456 RJBGYXPLDMZMSM Deviation = 4.97ppm
Search WEB for skeleton respect to your proposal |
|
![]()
|
|
|
Structure Proposal # 1457 BPJGMSDVYSESTA Deviation = 4.97ppm
Search WEB for skeleton respect to your proposal |
|
![]()
|
|
|
Structure Proposal # 1458 ADHQLIOITSWVQC Deviation = 4.97ppm
Search WEB for skeleton respect to your proposal |
|
![]()
|
|
|
Structure Proposal # 1459 QKDGAMVOFZIUAN Deviation = 4.98ppm
Search WEB for skeleton respect to your proposal |
|
![]()
|
|
|
Structure Proposal # 1460 PQTKQCAHTVUHQM Deviation = 4.98ppm
Search WEB for skeleton respect to your proposal |
|
![]()
|
|
|
Structure Proposal # 1461 RCGFJFOAIXIAND Deviation = 4.99ppm
Search WEB for skeleton respect to your proposal |
|
![]()
|
|
|
Structure Proposal # 1462 VSPMJZSZXDLYPH Deviation = 5.00ppm
Search WEB for skeleton respect to your proposal |
|
![]()
|
|
|
Structure Proposal # 1463 XJTZAXGYMGGFDY Deviation = 5.00ppm
Search WEB for skeleton respect to your proposal |
|
![]()
|
|
|
Structure Proposal # 1464 IARKFHCJRWEYNU Deviation = 5.00ppm
Search WEB for skeleton respect to your proposal |
|
![]()
|
|
|
Structure Proposal # 1465 OBZSVYJHEDICJC Deviation = 5.01ppm
Search WEB for skeleton respect to your proposal |
|
![]()
|
|
|
Structure Proposal # 1466 GSNRPYGZKPYMOI Deviation = 5.02ppm
Search WEB for skeleton respect to your proposal |
|
![]()
|
|
|
Structure Proposal # 1467 MHIZGALVJALMMY Deviation = 5.03ppm
Search WEB for skeleton respect to your proposal |
|
![]()
|
|
|
Structure Proposal # 1468 XTOXNGKEHFDHTC Deviation = 5.03ppm
Search WEB for skeleton respect to your proposal |
|
![]()
|
|
|
Structure Proposal # 1469 LBTBBUGVQVZOSG Deviation = 5.04ppm
Search WEB for skeleton respect to your proposal |
|
![]()
|
|
|
Structure Proposal # 1470 ZHISRJCGPVENLT Deviation = 5.05ppm
Search WEB for skeleton respect to your proposal |
|
![]()
|
|
|
Structure Proposal # 1471 CZUJLHUGGYLNEO Deviation = 5.05ppm
Search WEB for skeleton respect to your proposal |
|
![]()
|
|
|
Structure Proposal # 1472 IIBKMBDOEXOAGY Deviation = 5.05ppm
Search WEB for skeleton |
|
![]()
|
|
|
Structure Proposal # 1473 LAQXHZMXELTMPP Deviation = 5.06ppm
Search WEB for skeleton respect to your proposal |
|
![]()
|
|
|
Structure Proposal # 1474 HAVGYXUYZZVCLL Deviation = 5.06ppm
Search WEB for skeleton respect to your proposal |
|
![]()
|
|
|
Structure Proposal # 1475 DNLJMRCFRZVPED Deviation = 5.06ppm
Search WEB for skeleton respect to your proposal |
|
![]()
|
|
|
Structure Proposal # 1476 UPTWOKUKUMLCHO Deviation = 5.07ppm
Search WEB for skeleton respect to your proposal |
|
![]()
|
|
|
Structure Proposal # 1477 JWXQGNNIFLWYSN Deviation = 5.08ppm
Search WEB for skeleton respect to your proposal |
|
![]()
|
|
|
Structure Proposal # 1478 KGSXEMHUEKUSQA Deviation = 5.08ppm
Search WEB for skeleton respect to your proposal |
|
![]()
|
|
|
Structure Proposal # 1479 LMAJWHIBAXCGDI Deviation = 5.08ppm
Search WEB for skeleton respect to your proposal |
|
![]()
|
|
|
Structure Proposal # 1480 DRCFEVKFXMJWJY Deviation = 5.09ppm
Search WEB for skeleton respect to your proposal |
|
![]()
|
|
|
Structure Proposal # 1481 SMPXHXBXGPEFKZ Deviation = 5.09ppm
Search WEB for skeleton respect to your proposal |
|
![]()
|
|
|
Structure Proposal # 1482 IVVKEMHBCGYPHK Deviation = 5.09ppm
Search WEB for skeleton respect to your proposal |
|
![]()
|
|
|
Structure Proposal # 1483 YBEVKHDBDKLSAF Deviation = 5.09ppm
Search WEB for skeleton respect to your proposal |
|
![]()
|
|
|
Structure Proposal # 1484 CXRMPSCVHCHGJV Deviation = 5.10ppm
Search WEB for skeleton |
|
![]()
|
|
|
Structure Proposal # 1485 DEGWCBTYHMYGBL Deviation = 5.10ppm
Search WEB for skeleton |
|
![]()
|
|
|
Structure Proposal # 1486 VGJWKAYUXBJLDW Deviation = 5.10ppm
Search WEB for skeleton |
|
![]()
|
|
|
Structure Proposal # 1487 RCIHCWDHDYOWHG Deviation = 5.11ppm
Search WEB for skeleton respect to your proposal |
|
![]()
|
|
|
Structure Proposal # 1488 IAXRPGGTKABPIF Deviation = 5.11ppm
Search WEB for skeleton respect to your proposal |
|
![]()
|
|
|
Structure Proposal # 1489 SKJMVRIDRAPIFC Deviation = 5.11ppm
Search WEB for skeleton respect to your proposal |
|
![]()
|
|
|
Structure Proposal # 1490 LJSZBXVOUNHCJE Deviation = 5.11ppm
Search WEB for skeleton respect to your proposal |
|
![]()
|
|
|
Structure Proposal # 1491 NXVLITNUZKOMIP Deviation = 5.12ppm
Search WEB for skeleton respect to your proposal |
|
![]()
|
|
|
Structure Proposal # 1492 SILNDLMYDHRPOE Deviation = 5.16ppm
Search WEB for skeleton |
|
![]()
|
|
|
Structure Proposal # 1493 QZPYRKPOJNNPCF Deviation = 5.16ppm
Search WEB for skeleton respect to your proposal |
|
![]()
|
|
|
Structure Proposal # 1494 TYDZVDCNCXOEGA Deviation = 5.16ppm
Search WEB for skeleton respect to your proposal |
|
![]()
|
|
|
Structure Proposal # 1495 SOHMEBMPCIHMFU Deviation = 5.17ppm
Search WEB for skeleton respect to your proposal |
|
![]()
|
|
|
Structure Proposal # 1496 QNLUIFWRYRYYTG Deviation = 5.17ppm
Search WEB for skeleton respect to your proposal |
|
![]()
|
|
|
Structure Proposal # 1497 GZQUQTXKJZNQJB Deviation = 5.17ppm
Search WEB for skeleton respect to your proposal |
|
![]()
|
|
|
Structure Proposal # 1498 BHDCTQZEJURZPK Deviation = 5.17ppm
Search WEB for skeleton respect to your proposal |
|
![]()
|
|
|
Structure Proposal # 1499 WAGXQNFXYKAFMC Deviation = 5.18ppm
Search WEB for skeleton respect to your proposal |
|
![]()
|
|
|
Structure Proposal # 1500 FFNPACUBRAICJB Deviation = 5.18ppm
Search WEB for skeleton |
|
![]()
|
|
|
Structure Proposal # 1501 WAWXGWQTJWDCEB Deviation = 5.20ppm
Search WEB for skeleton |
|
![]()
|
|
|
Structure Proposal # 1502 ZKBVSLDXTIDIGE Deviation = 5.20ppm
Search WEB for skeleton respect to your proposal |
|
![]()
|
|
|
Structure Proposal # 1503 JFFWIMOAPCZEMR Deviation = 5.20ppm
Search WEB for skeleton respect to your proposal |
|
![]()
|
|
|
Structure Proposal # 1504 IMKKQLSTPHSINE Deviation = 5.21ppm
Search WEB for skeleton respect to your proposal |
|
![]()
|
|
|
Structure Proposal # 1505 HQYFZOWPQLICAW Deviation = 5.22ppm
Search WEB for skeleton respect to your proposal |
|
![]()
|
|
|
Structure Proposal # 1506 AULFQHCKJLXSCP Deviation = 5.22ppm
Search WEB for skeleton |
|
![]()
|
|
|
Structure Proposal # 1507 VIWCJXQCWUWCLR Deviation = 5.23ppm
Search WEB for skeleton respect to your proposal |
|
![]()
|
|
|
Structure Proposal # 1508 MGIHVTZQFBLZOX Deviation = 5.25ppm
Search WEB for skeleton respect to your proposal |
|
![]()
|
|
|
Structure Proposal # 1509 WCIOWNVTOSFKRM Deviation = 5.25ppm
Search WEB for skeleton respect to your proposal |
|
![]()
|
|
|
Structure Proposal # 1510 XTEDDRNPUKSEPP Deviation = 5.25ppm
Search WEB for skeleton respect to your proposal |
|
![]()
|
|
|
Structure Proposal # 1511 BERDSZLWEKRTCA Deviation = 5.26ppm
Search WEB for skeleton |
|
![]()
|
|
|
Structure Proposal # 1512 UYDADOAPQKILLH Deviation = 5.26ppm
Search WEB for skeleton respect to your proposal |
|
![]()
|
|
|
Structure Proposal # 1513 FICIDJGNCXARQM Deviation = 5.27ppm
Search WEB for skeleton respect to your proposal |
|
![]()
|
|
|
Structure Proposal # 1514 AGVOCUMBCPGLBX Deviation = 5.28ppm
Search WEB for skeleton respect to your proposal |
|
![]()
|
|
|
Structure Proposal # 1515 MNYGFDYBTWWGTQ Deviation = 5.29ppm
Search WEB for skeleton respect to your proposal |
|
![]()
|
|
|
Structure Proposal # 1516 CPSJXVNDAQOEBA Deviation = 5.29ppm
Search WEB for skeleton respect to your proposal |
|
![]()
|
|
|
Structure Proposal # 1517 PRWFRUNYDFRXOK Deviation = 5.30ppm
Search WEB for skeleton respect to your proposal |
|
![]()
|
|
|
Structure Proposal # 1518 OQOHVSCDRUMUTE Deviation = 5.30ppm
Search WEB for skeleton respect to your proposal |
|
![]()
|
|
|
Structure Proposal # 1519 PZAXFFXETPMTDB Deviation = 5.30ppm
Search WEB for skeleton respect to your proposal |
|
![]()
|
|
|
Structure Proposal # 1520 HXLIHAMFEYOIMM Deviation = 5.31ppm
Search WEB for skeleton |
|
![]()
|
|
|
Structure Proposal # 1521 PZISVWHONWWKSK Deviation = 5.31ppm
Search WEB for skeleton respect to your proposal |
|
![]()
|
|
|
Structure Proposal # 1522 NCRQRURBVMJWRF Deviation = 5.31ppm
Search WEB for skeleton |
|
![]()
|
|
|
Structure Proposal # 1523 GWEMEAAIISGGFH Deviation = 5.32ppm
Search WEB for skeleton respect to your proposal |
|
![]()
|
|
|
Structure Proposal # 1524 VLUGQMBGKOYGJY Deviation = 5.32ppm
Search WEB for skeleton respect to your proposal |
|
![]()
|
|
|
Structure Proposal # 1525 IUPDXBNDVCGHHW Deviation = 5.33ppm
Search WEB for skeleton respect to your proposal |
|
![]()
|
|
|
Structure Proposal # 1526 NZGOROWFJUQOAM Deviation = 5.35ppm
Search WEB for skeleton |
|
![]()
|
|
|
Structure Proposal # 1527 PYFRXQQAWDKJDO Deviation = 5.35ppm
Search WEB for skeleton respect to your proposal |
|
![]()
|
|
|
Structure Proposal # 1528 KJKXVRNADUYBNN Deviation = 5.36ppm
Search WEB for skeleton respect to your proposal |
|
![]()
|
|
|
Structure Proposal # 1529 FITPNGFNJCLCRR Deviation = 5.37ppm
Search WEB for skeleton |
|
![]()
|
|
|
Structure Proposal # 1530 PGXDVGDZPJGZEI Deviation = 5.38ppm
Search WEB for skeleton respect to your proposal |
|
![]()
|
|
|
Structure Proposal # 1531 VSOSQDNPIPTGTJ Deviation = 5.39ppm
Search WEB for skeleton respect to your proposal |
|
![]()
|
|
|
Structure Proposal # 1532 UKLLJPLFENTVGQ Deviation = 5.39ppm
Search WEB for skeleton respect to your proposal |
|
![]()
|
|
|
Structure Proposal # 1533 GLKUDYKDFDGDNJ Deviation = 5.39ppm
Search WEB for skeleton respect to your proposal |
|
![]()
|
|
|
Structure Proposal # 1534 SPLLCDAQBHIETM Deviation = 5.39ppm
Search WEB for skeleton respect to your proposal |
|
![]()
|
|
|
Structure Proposal # 1535 USEPEQPKTBIJAY Deviation = 5.40ppm
Search WEB for skeleton respect to your proposal |
|
![]()
|
|
|
Structure Proposal # 1536 BVDDOUYECDVRBF Deviation = 5.40ppm
Search WEB for skeleton respect to your proposal |
|
![]()
|
|
|
Structure Proposal # 1537 RVYGCYRBZVJOLD Deviation = 5.41ppm
Search WEB for skeleton respect to your proposal |
|
![]()
|
|
|
Structure Proposal # 1538 MYRHYFWJRKJQLB Deviation = 5.41ppm
Search WEB for skeleton respect to your proposal |
|
![]()
|
|
|
Structure Proposal # 1539 CCCIKOVDMHDSDU Deviation = 5.42ppm
Search WEB for skeleton respect to your proposal |
|
![]()
|
|
|
Structure Proposal # 1540 AEAWYWNJBDWZCT Deviation = 5.42ppm
Search WEB for skeleton respect to your proposal |
|
![]()
|
|
|
Structure Proposal # 1541 OWDWLAYBKHRRPO Deviation = 5.42ppm
Search WEB for skeleton respect to your proposal |
|
![]()
|
|
|
Structure Proposal # 1542 CRQIVCNVQZLLNC Deviation = 5.42ppm
Search WEB for skeleton respect to your proposal |
|
![]()
|
|
|
Structure Proposal # 1543 UBLGOWHDKNOUTP Deviation = 5.45ppm
Search WEB for skeleton respect to your proposal |
|
![]()
|
|
|
Structure Proposal # 1544 RWJULWKDECZOMH Deviation = 5.45ppm
Search WEB for skeleton |
|
![]()
|
|
|
Structure Proposal # 1545 LSZVWOOOJOZEDE Deviation = 5.45ppm
Search WEB for skeleton respect to your proposal |
|
![]()
|
|
|
Structure Proposal # 1546 ZGOFHBUZWBBWLN Deviation = 5.46ppm
Search WEB for skeleton respect to your proposal |
|
![]()
|
|
|
Structure Proposal # 1547 OFHKREKGTLFVIG Deviation = 5.47ppm
Search WEB for skeleton respect to your proposal |
|
![]()
|
|
|
Structure Proposal # 1548 OIWMLANGQXEOKW Deviation = 5.47ppm
Search WEB for skeleton respect to your proposal |
|
![]()
|
|
|
Structure Proposal # 1549 UOQTYOTWYVENRA Deviation = 5.48ppm
Search WEB for skeleton respect to your proposal |
|
![]()
|
|
|
Structure Proposal # 1550 MOZMCZBYULCFBV Deviation = 5.48ppm
Search WEB for skeleton respect to your proposal |
|
![]()
|
|
|
Structure Proposal # 1551 KDAKWQOIKLMZTC Deviation = 5.51ppm
Search WEB for skeleton respect to your proposal Compound from PUBCHEM CSEARCH ![]() |
|
![]()
|
|
|
Structure Proposal # 1552 NEGRLYNVDCVUDS Deviation = 5.51ppm
Search WEB for skeleton respect to your proposal |
|
![]()
|
|
|
Structure Proposal # 1553 DJBJFUCGFIDUKL Deviation = 5.52ppm
Search WEB for skeleton respect to your proposal |
|
![]()
|
|
|
Structure Proposal # 1554 HHWPVQFVUQESMR Deviation = 5.52ppm
Search WEB for skeleton |
|
![]()
|
|
|
Structure Proposal # 1555 URCZGYQDUHESSL Deviation = 5.53ppm
Search WEB for skeleton respect to your proposal |
|
![]()
|
|
|
Structure Proposal # 1556 CYUYVCOMJJBYAO Deviation = 5.54ppm
Search WEB for skeleton respect to your proposal |
|
![]()
|
|
|
Structure Proposal # 1557 JOZLLOMUOSXFLX Deviation = 5.56ppm
Search WEB for skeleton respect to your proposal |
|
![]()
|
|
|
Structure Proposal # 1558 UWWLBQRTJVWTPA Deviation = 5.56ppm
Search WEB for skeleton respect to your proposal |
|
![]()
|
|
|
Structure Proposal # 1559 OKUWCCQANUVVHV Deviation = 5.56ppm
Search WEB for skeleton respect to your proposal |
|
![]()
|
|
|
Structure Proposal # 1560 AKBHQJTVUKSAQL Deviation = 5.56ppm
Search WEB for skeleton respect to your proposal |
|
![]()
|
|
|
Structure Proposal # 1561 LAXUIRZLXQEWBQ Deviation = 5.57ppm
Search WEB for skeleton respect to your proposal |
|
![]()
|
|
|
Structure Proposal # 1562 VGBGPSMXNZHLAE Deviation = 5.58ppm
Search WEB for skeleton |
|
![]()
|
|
|
Structure Proposal # 1563 XGROFTOPGGDALE Deviation = 5.58ppm
Search WEB for skeleton |
|
![]()
|
|
|
Structure Proposal # 1564 GJDZKFDPCKOSLH Deviation = 5.59ppm
Search WEB for skeleton respect to your proposal |
|
![]()
|
|
|
Structure Proposal # 1565 SLHLDDRBLAMXSV Deviation = 5.59ppm
Search WEB for skeleton respect to your proposal |
|
![]()
|
|
|
Structure Proposal # 1566 TWSAOKNNPWUOOP Deviation = 5.60ppm
Search WEB for skeleton respect to your proposal |
|
![]()
|
|
|
Structure Proposal # 1567 LVYOYZKLYOJMIB Deviation = 5.61ppm
Search WEB for skeleton respect to your proposal |
|
![]()
|
|
|
Structure Proposal # 1568 UTJWIVFUXDKCCC Deviation = 5.62ppm
Search WEB for skeleton respect to your proposal |
|
![]()
|
|
|
Structure Proposal # 1569 FZMXTRAARBTHIP Deviation = 5.62ppm
Search WEB for skeleton respect to your proposal |
|
![]()
|
|
|
Structure Proposal # 1570 XPNHFHAZBPLZEW Deviation = 5.63ppm
Search WEB for skeleton respect to your proposal |
|
![]()
|
|
|
Structure Proposal # 1571 VHPJUHMSDVUPJA Deviation = 5.63ppm
Search WEB for skeleton respect to your proposal |
|
![]()
|
|
|
Structure Proposal # 1572 FBIWMMUOEOXGGL Deviation = 5.63ppm
Search WEB for skeleton respect to your proposal |
|
![]()
|
|
|
Structure Proposal # 1573 BSWJBECZHYKCTG Deviation = 5.64ppm
Search WEB for skeleton |
|
![]()
|
|
|
Structure Proposal # 1574 DTACTUXMXTVDMI Deviation = 5.65ppm
Search WEB for skeleton respect to your proposal |
|
![]()
|
|
|
Structure Proposal # 1575 ANDHVRQLFCOSSS Deviation = 5.65ppm
Search WEB for skeleton respect to your proposal |
|
![]()
|
|
|
Structure Proposal # 1576 FPUTVCSQJYFCHA Deviation = 5.66ppm
Search WEB for skeleton respect to your proposal |
|
![]()
|
|
|
Structure Proposal # 1577 YORFOVOCEMJNTK Deviation = 5.67ppm
Search WEB for skeleton respect to your proposal |
|
![]()
|
|
|
Structure Proposal # 1578 WCWSGUDRGVWRIN Deviation = 5.67ppm
Search WEB for skeleton respect to your proposal |
|
![]()
|
|
|
Structure Proposal # 1579 AOXZJLCRKCKLKO Deviation = 5.68ppm
Search WEB for skeleton respect to your proposal |
|
![]()
|
|
|
Structure Proposal # 1580 OOJHUDZDYVSIMT Deviation = 5.70ppm
Search WEB for skeleton respect to your proposal |
|
![]()
|
|
|
Structure Proposal # 1581 CJJMQNMQDKZGMG Deviation = 5.71ppm
Search WEB for skeleton respect to your proposal |
|
![]()
|
|
|
Structure Proposal # 1582 AIDWGSVQRUFJBY Deviation = 5.71ppm
Search WEB for skeleton respect to your proposal |
|
![]()
|
|
|
Structure Proposal # 1583 CWJTWWQREWWSCL Deviation = 5.72ppm
Search WEB for skeleton respect to your proposal |
|
![]()
|
|
|
Structure Proposal # 1584 FKSSBYBAVZXCLR Deviation = 5.72ppm
Search WEB for skeleton respect to your proposal |
|
![]()
|
|
|
Structure Proposal # 1585 HYCZQQPLAGAZMD Deviation = 5.73ppm
Search WEB for skeleton respect to your proposal |
|
![]()
|
|
|
Structure Proposal # 1586 UEMSXLDLDMTEFT Deviation = 5.74ppm
Search WEB for skeleton respect to your proposal |
|
![]()
|
|
|
Structure Proposal # 1587 BVGNOZBELKGVPP Deviation = 5.74ppm
Search WEB for skeleton respect to your proposal |
|
![]()
|
|
|
Structure Proposal # 1588 PGGQFXQSHMJFJF Deviation = 5.74ppm
Search WEB for skeleton respect to your proposal |
|
![]()
|
|
|
Structure Proposal # 1589 YAZBFSOPLKSZGT Deviation = 5.74ppm
Search WEB for skeleton respect to your proposal |
|
![]()
|
|
|
Structure Proposal # 1590 RYDBDEZGHRVGGW Deviation = 5.74ppm
Search WEB for skeleton respect to your proposal |
|
![]()
|
|
|
Structure Proposal # 1591 MBXUKIDDMGKCMA Deviation = 5.75ppm
Search WEB for skeleton respect to your proposal |
|
![]()
|
|
|
Structure Proposal # 1592 NSPSORYUVHHRHB Deviation = 5.77ppm
Search WEB for skeleton respect to your proposal |
|
![]()
|
|
|
Structure Proposal # 1593 DQRBXNMVLSWSSR Deviation = 5.78ppm
Search WEB for skeleton respect to your proposal |
|
![]()
|
|
|
Structure Proposal # 1594 VNWLJECOJYZBGV Deviation = 5.80ppm
Search WEB for skeleton respect to your proposal |
|
![]()
|
|
|
Structure Proposal # 1595 NFDQPSHHMSMKCD Deviation = 5.80ppm
Search WEB for skeleton respect to your proposal |
|
![]()
|
|
|
Structure Proposal # 1596 WSDSROSDNCFCND Deviation = 5.80ppm
Search WEB for skeleton respect to your proposal |
|
![]()
|
|
|
Structure Proposal # 1597 RTTVKSLUTYOOSM Deviation = 5.81ppm
Search WEB for skeleton respect to your proposal |
|
![]()
|
|
|
Structure Proposal # 1598 CHWNPXDVWCVSKK Deviation = 5.81ppm
Search WEB for skeleton respect to your proposal |
|
![]()
|
|
|
Structure Proposal # 1599 WNJIGLSNBMTDNB Deviation = 5.82ppm
Search WEB for skeleton respect to your proposal |
|
![]()
|
|
|
Structure Proposal # 1600 JPFJCQZSWYCJEY Deviation = 5.82ppm
Search WEB for skeleton respect to your proposal |
|
![]()
|
|
|
Structure Proposal # 1601 DFXDMNUDDNOVHI Deviation = 5.85ppm
Search WEB for skeleton respect to your proposal |
|
![]()
|
|
|
Structure Proposal # 1602 DXOVMRHSLUIOJW Deviation = 5.85ppm
Search WEB for skeleton |
|
![]()
|
|
|
Structure Proposal # 1603 JHGVBDSYJDLOAT Deviation = 5.86ppm
Search WEB for skeleton |
|
![]()
|
|
|
Structure Proposal # 1604 BZYAEIQZCPWMLG Deviation = 5.86ppm
Search WEB for skeleton respect to your proposal |
|
![]()
|
|
|
Structure Proposal # 1605 COGGYNATWQEQAO Deviation = 5.87ppm
Search WEB for skeleton |
|
![]()
|
|
|
Structure Proposal # 1606 YMENJIWRJMXRKO Deviation = 5.88ppm
Search WEB for skeleton respect to your proposal |
|
![]()
|
|
|
Structure Proposal # 1607 XLDOVLGAKPQQBV Deviation = 5.90ppm
Search WEB for skeleton respect to your proposal |
|
![]()
|
|
|
Structure Proposal # 1608 HOGFUNNZLVAAJW Deviation = 5.91ppm
Search WEB for skeleton respect to your proposal |
|
![]()
|
|
|
Structure Proposal # 1609 CGONNLFRYJZDSJ Deviation = 5.93ppm
Search WEB for skeleton respect to your proposal |
|
![]()
|
|
|
Structure Proposal # 1610 UTKYZYBCTSRGJW Deviation = 5.95ppm
Search WEB for skeleton respect to your proposal |
|
![]()
|
|
|
Structure Proposal # 1611 FHUQJEMPGLEIDE Deviation = 5.96ppm
Search WEB for skeleton respect to your proposal |
|
![]()
|
|
|
Structure Proposal # 1612 YKEULAULBCHBJH Deviation = 5.97ppm
Search WEB for skeleton |
|
![]()
|
|
|
Structure Proposal # 1613 VXOLIAGVSSWGFM Deviation = 5.97ppm
Search WEB for skeleton respect to your proposal |
|
![]()
|
|
|
Structure Proposal # 1614 QRBSZQIIDYJOON Deviation = 5.98ppm
Search WEB for skeleton |
|
![]()
|
|
|
Structure Proposal # 1615 VIFUVXQUZXODBU Deviation = 5.99ppm
Search WEB for skeleton respect to your proposal |
|
![]()
|
|
|
Structure Proposal # 1616 DIPSHZXHVLVPOB Deviation = 5.99ppm
Search WEB for skeleton respect to your proposal |
|
![]()
|
|
|
Structure Proposal # 1617 HVVHHJFCTNNAMD Deviation = 5.99ppm
Search WEB for skeleton |
|
![]()
|
|
|
Structure Proposal # 1618 STBWHUOZNDYDQU Deviation = 5.99ppm
Search WEB for skeleton respect to your proposal |
|
![]()
|
|
|
Structure Proposal # 1619 UVRXCHACTPKFRP Deviation = 6.00ppm
Search WEB for skeleton respect to your proposal |
|
![]()
|
|
|
Structure Proposal # 1620 QKDUPHBTTMSSOO Deviation = 6.00ppm
Search WEB for skeleton |
|
![]()
|
|
|
Structure Proposal # 1621 OFDRYPKFABRVHJ Deviation = 6.00ppm
Search WEB for skeleton respect to your proposal |
|
![]()
|
|
|
Structure Proposal # 1622 YESWBZARFHZCIY Deviation = 6.01ppm
Search WEB for skeleton respect to your proposal |
|
![]()
|
|
|
Structure Proposal # 1623 RXIKRCFSJHEFKB Deviation = 6.02ppm
Search WEB for skeleton respect to your proposal |
|
![]()
|
|
|
Structure Proposal # 1624 LUKLWXNQVPPVDN Deviation = 6.04ppm
Search WEB for skeleton respect to your proposal |
|
![]()
|
|
|
Structure Proposal # 1625 ITQFMCHOBWRDKJ Deviation = 6.05ppm
Search WEB for skeleton respect to your proposal |
|
![]()
|
|
|
Structure Proposal # 1626 IIDXGWPJQGQUCE Deviation = 6.08ppm
Search WEB for skeleton |
|
![]()
|
|
|
Structure Proposal # 1627 DVEWQTMVUKBEQA Deviation = 6.08ppm
Search WEB for skeleton respect to your proposal |
|
![]()
|
|
|
Structure Proposal # 1628 AQLLTZXEBRHLMA Deviation = 6.10ppm
Search WEB for skeleton respect to your proposal |
|
![]()
|
|
|
Structure Proposal # 1629 GAHSRZKVNKZXIE Deviation = 6.10ppm
Search WEB for skeleton respect to your proposal |
|
![]()
|
|
|
Structure Proposal # 1630 REQFAHVOFMCSOV Deviation = 6.13ppm
Search WEB for skeleton |
|
![]()
|
|
|
Structure Proposal # 1631 PDVSDPFTFYYSGD Deviation = 6.13ppm
Search WEB for skeleton |
|
![]()
|
|
|
Structure Proposal # 1632 DYMXVFBHGDLUQV Deviation = 6.13ppm
Search WEB for skeleton |
|
![]()
|
|
|
Structure Proposal # 1633 MYYBIOFUJOHEAP Deviation = 6.14ppm
Search WEB for skeleton respect to your proposal |
|
![]()
|
|
|
Structure Proposal # 1634 MVGOTCPSSIYRDZ Deviation = 6.14ppm
Search WEB for skeleton respect to your proposal |
|
![]()
|
|
|
Structure Proposal # 1635 RDBJGVBIBLFWLW Deviation = 6.14ppm
Search WEB for skeleton respect to your proposal |
|
![]()
|
|
|
Structure Proposal # 1636 RKLPEFGEKUPMAU Deviation = 6.17ppm
Search WEB for skeleton respect to your proposal |
|
![]()
|
|
|
Structure Proposal # 1637 ZVSHXKZDJRWIBA Deviation = 6.17ppm
Search WEB for skeleton respect to your proposal |
|
![]()
|
|
|
Structure Proposal # 1638 KDWMLIJWFLUCMZ Deviation = 6.18ppm
Search WEB for skeleton |
|
![]()
|
|
|
Structure Proposal # 1639 YYQQRXNAXNXICO Deviation = 6.20ppm
Search WEB for skeleton respect to your proposal |
|
![]()
|
|
|
Structure Proposal # 1640 RZLHYMKEVYYDOC Deviation = 6.20ppm
Search WEB for skeleton respect to your proposal |
|
![]()
|
|
|
Structure Proposal # 1641 KMPLXSULQYCXOU Deviation = 6.20ppm
Search WEB for skeleton respect to your proposal |
|
![]()
|
|
|
Structure Proposal # 1642 XAWSNVSBTZPVLP Deviation = 6.21ppm
Search WEB for skeleton respect to your proposal |
|
![]()
|
|
|
Structure Proposal # 1643 WNCJLAMJDRCJQJ Deviation = 6.21ppm
Search WEB for skeleton respect to your proposal |
|
![]()
|
|
|
Structure Proposal # 1644 HHZHNTKQHRSSCF Deviation = 6.21ppm
Search WEB for skeleton respect to your proposal |
|
![]()
|
|
|
Structure Proposal # 1645 HWVVYUSCQSZUQA Deviation = 6.22ppm
Search WEB for skeleton respect to your proposal |
|
![]()
|
|
|
Structure Proposal # 1646 NCFBGFFUFGNCDG Deviation = 6.22ppm
Search WEB for skeleton respect to your proposal |
|
![]()
|
|
|
Structure Proposal # 1647 BRGSIBRVKOJREW Deviation = 6.22ppm
Search WEB for skeleton respect to your proposal |
|
![]()
|
|
|
Structure Proposal # 1648 CEFZLDODGQQERQ Deviation = 6.23ppm
Search WEB for skeleton respect to your proposal |
|
![]()
|
|
|
Structure Proposal # 1649 GQNLHEXGJWJDKI Deviation = 6.24ppm
Search WEB for skeleton respect to your proposal |
|
![]()
|
|
|
Structure Proposal # 1650 MYQMGBWNHNLQSI Deviation = 6.24ppm
Search WEB for skeleton |
|
![]()
|
|
|
Structure Proposal # 1651 UTHJMSFTOWFCLG Deviation = 6.25ppm
Search WEB for skeleton respect to your proposal |
|
![]()
|
|
|
Structure Proposal # 1652 NOMOKGOUTRDSHK Deviation = 6.26ppm
Search WEB for skeleton |
|
![]()
|
|
|
Structure Proposal # 1653 GTGJQCAATSMRIV Deviation = 6.30ppm
Search WEB for skeleton respect to your proposal |
|
![]()
|
|
|
Structure Proposal # 1654 JHSTWUVDTYUAAS Deviation = 6.31ppm
Search WEB for skeleton respect to your proposal |
|
![]()
|
|
|
Structure Proposal # 1655 LUTAXVAWDYMSNP Deviation = 6.34ppm
Search WEB for skeleton respect to your proposal |
|
![]()
|
|
|
Structure Proposal # 1656 XINOOZOSVOPUHM Deviation = 6.35ppm
Search WEB for skeleton respect to your proposal |
|
![]()
|
|
|
Structure Proposal # 1657 HJKFBJAIRASTFS Deviation = 6.35ppm
Search WEB for skeleton respect to your proposal |
|
![]()
|
|
|
Structure Proposal # 1658 XTGIVUBNNYSEKZ Deviation = 6.36ppm
Search WEB for skeleton respect to your proposal |
|
![]()
|
|
|
Structure Proposal # 1659 QIKVFUXNKMDWOM Deviation = 6.37ppm
Search WEB for skeleton respect to your proposal |
|
![]()
|
|
|
Structure Proposal # 1660 AHDWRUDRRSLWEK Deviation = 6.37ppm
Search WEB for skeleton |
|
![]()
|
|
|
Structure Proposal # 1661 NKYRFLBIRDNPCY Deviation = 6.38ppm
Search WEB for skeleton respect to your proposal |
|
![]()
|
|
|
Structure Proposal # 1662 IVAJSMSAPFNOIC Deviation = 6.38ppm
Search WEB for skeleton respect to your proposal |
|
![]()
|
|
|
Structure Proposal # 1663 QXIMDQPKHUHASN Deviation = 6.40ppm
Search WEB for skeleton respect to your proposal |
|
![]()
|
|
|
Structure Proposal # 1664 AECDKQDZZZAJJF Deviation = 6.41ppm
Search WEB for skeleton respect to your proposal |
|
![]()
|
|
|
Structure Proposal # 1665 JDPHRHYZYBYNRO Deviation = 6.43ppm
Search WEB for skeleton respect to your proposal |
|
![]()
|
|
|
Structure Proposal # 1666 LYHNGEMFAHNFPT Deviation = 6.43ppm
Search WEB for skeleton respect to your proposal |
|
![]()
|
|
|
Structure Proposal # 1667 GGVUSMAAXGLRFA Deviation = 6.44ppm
Search WEB for skeleton respect to your proposal |
|
![]()
|
|
|
Structure Proposal # 1668 WUQOHGWSOSIRLZ Deviation = 6.44ppm
Search WEB for skeleton respect to your proposal |
|
![]()
|
|
|
Structure Proposal # 1669 FVJRKXWSHKDURL Deviation = 6.46ppm
Search WEB for skeleton respect to your proposal |
|
![]()
|
|
|
Structure Proposal # 1670 LMLDHVKNWWBYIH Deviation = 6.47ppm
Search WEB for skeleton respect to your proposal |
|
![]()
|
|
|
Structure Proposal # 1671 LVOKBZUFWCLYEE Deviation = 6.51ppm
Search WEB for skeleton respect to your proposal |
|
![]()
|
|
|
Structure Proposal # 1672 CLYHDRRDXCWELL Deviation = 6.53ppm
Search WEB for skeleton respect to your proposal |
|
![]()
|
|
|
Structure Proposal # 1673 SDPNJNQWPJHVKG Deviation = 6.54ppm
Search WEB for skeleton respect to your proposal |
|
![]()
|
|
|
Structure Proposal # 1674 ICPKBUPSJSRXLI Deviation = 6.54ppm
Search WEB for skeleton respect to your proposal |
|
![]()
|
|
|
Structure Proposal # 1675 FNSTXIUBZTUEKV Deviation = 6.55ppm
Search WEB for skeleton respect to your proposal |
|
![]()
|
|
|
Structure Proposal # 1676 ICEKNGGYXCYRPF Deviation = 6.56ppm
Search WEB for skeleton respect to your proposal |
|
![]()
|
|
|
Structure Proposal # 1677 XQSFNSUBSYINKF Deviation = 6.57ppm
Search WEB for skeleton respect to your proposal |
|
![]()
|
|
|
Structure Proposal # 1678 QPEUSRCZGKCLIN Deviation = 6.59ppm
Search WEB for skeleton respect to your proposal |
|
![]()
|
|
|
Structure Proposal # 1679 UBDGDMMCLXZPJC Deviation = 6.59ppm
Search WEB for skeleton respect to your proposal |
|
![]()
|
|
|
Structure Proposal # 1680 IHVRCMVHUDTKNG Deviation = 6.59ppm
Search WEB for skeleton |
|
![]()
|
|
|
Structure Proposal # 1681 DICCPNLDOZNSML Deviation = 6.61ppm
Search WEB for skeleton respect to your proposal Compound from PUBCHEM CSEARCH ![]() |
|
![]()
|
|
|
Structure Proposal # 1682 VGYMDSZRQHIZQW Deviation = 6.61ppm
Search WEB for skeleton respect to your proposal |
|
![]()
|
|
|
Structure Proposal # 1683 KWRNCBZUYNPNJC Deviation = 6.62ppm
Search WEB for skeleton |
|
![]()
|
|
|
Structure Proposal # 1684 HIHJIRGZDIQHLP Deviation = 6.66ppm
Search WEB for skeleton respect to your proposal |
|
![]()
|
|
|
Structure Proposal # 1685 OOEUMMDCMXTHFL Deviation = 6.66ppm
Search WEB for skeleton respect to your proposal |
|
![]()
|
|
|
Structure Proposal # 1686 ZNNVKSCZMQKBQQ Deviation = 6.69ppm
Search WEB for skeleton respect to your proposal |
|
![]()
|
|
|
Structure Proposal # 1687 MYLYPMZZOUNATF Deviation = 6.72ppm
Search WEB for skeleton respect to your proposal |
|
![]()
|
|
|
Structure Proposal # 1688 PLYPZWQXKISAOW Deviation = 6.75ppm
Search WEB for skeleton respect to your proposal |
|
![]()
|
|
|
Structure Proposal # 1689 BUSNEQANJLDZAR Deviation = 6.76ppm
Search WEB for skeleton respect to your proposal |
|
![]()
|
|
|
Structure Proposal # 1690 MZBPZBKLXBPCKT Deviation = 6.78ppm
Search WEB for skeleton respect to your proposal |
|
![]()
|
|
|
Structure Proposal # 1691 ZBNIJWBROXKJHV Deviation = 6.79ppm
Search WEB for skeleton |
|
![]()
|
|
|
Structure Proposal # 1692 QMQQJNVNEKWGED Deviation = 6.80ppm
Search WEB for skeleton respect to your proposal |
|
![]()
|
|
|
Structure Proposal # 1693 BGAZFROBWUNBFO Deviation = 6.82ppm
Search WEB for skeleton respect to your proposal |
|
![]()
|
|
|
Structure Proposal # 1694 KWZAYFQUJKBMDN Deviation = 6.82ppm
Search WEB for skeleton respect to your proposal |
|
![]()
|
|
|
Structure Proposal # 1695 NHKCKPUJXKGCDP Deviation = 6.84ppm
Search WEB for skeleton respect to your proposal |
|
![]()
|
|
|
Structure Proposal # 1696 QLIXRSKPVCKBEB Deviation = 6.86ppm
Search WEB for skeleton respect to your proposal |
|
![]()
|
|
|
Structure Proposal # 1697 HJBXNGGNSFARFF Deviation = 6.86ppm
Search WEB for skeleton respect to your proposal |
|
![]()
|
|
|
Structure Proposal # 1698 NPPHHVWGEYCHGF Deviation = 6.86ppm
Search WEB for skeleton respect to your proposal |
|
![]()
|
|
|
Structure Proposal # 1699 ZLIXVNWYMVGPLT Deviation = 6.89ppm
Search WEB for skeleton respect to your proposal |
|
![]()
|
|
|
Structure Proposal # 1700 YGCROQHUKIOJSE Deviation = 6.92ppm
Search WEB for skeleton respect to your proposal |
|
![]()
|
|
|
Structure Proposal # 1701 UBFOBSJYQHNOKF Deviation = 6.94ppm
Search WEB for skeleton respect to your proposal |
|
![]()
|
|
|
Structure Proposal # 1702 CNVREVCBCCNQMI Deviation = 6.96ppm
Search WEB for skeleton respect to your proposal |
|
![]()
|
|
|
Structure Proposal # 1703 PUJBJDGYFDGASM Deviation = 6.97ppm
Search WEB for skeleton respect to your proposal |
|
![]()
|
|
|
Structure Proposal # 1704 NURRKFQBRMXCGT Deviation = 6.99ppm
Search WEB for skeleton respect to your proposal |
|
![]()
|
|
|
Structure Proposal # 1705 LDFLTBMZDLRGKO Deviation = 7.00ppm
Search WEB for skeleton respect to your proposal |
|
![]()
|
|
|
Structure Proposal # 1706 VPKBEUJYFUBCMQ Deviation = 7.02ppm
Search WEB for skeleton respect to your proposal |
|
![]()
|
|
|
Structure Proposal # 1707 CXNFHXORRXYJEA Deviation = 7.02ppm
Search WEB for skeleton respect to your proposal |
|
![]()
|
|
|
Structure Proposal # 1708 OWRJQGPGBOUEAD Deviation = 7.03ppm
Search WEB for skeleton respect to your proposal |
|
![]()
|
|
|
Structure Proposal # 1709 AEPSFEOGQXIFNA Deviation = 7.04ppm
Search WEB for skeleton respect to your proposal |
|
![]()
|
|
|
Structure Proposal # 1710 BHFCCCGZDOAEAS Deviation = 7.08ppm
Search WEB for skeleton respect to your proposal |
|
![]()
|
|
|
Structure Proposal # 1711 TXZRGEYGLVBCFJ Deviation = 7.08ppm
Search WEB for skeleton respect to your proposal |
|
![]()
|
|
|
Structure Proposal # 1712 YYRKVYWMCZRERD Deviation = 7.08ppm
Search WEB for skeleton respect to your proposal |
|
![]()
|
|
|
Structure Proposal # 1713 RCVAMKVETDJJBL Deviation = 7.10ppm
Search WEB for skeleton respect to your proposal |
|
![]()
|
|
|
Structure Proposal # 1714 LLJLQBWQRMCDDU Deviation = 7.11ppm
Search WEB for skeleton respect to your proposal |
|
![]()
|
|
|
Structure Proposal # 1715 YGLKNPMMSYFHCI Deviation = 7.11ppm
Search WEB for skeleton respect to your proposal |
|
![]()
|
|
|
Structure Proposal # 1716 YCBXTNFSDUQGDB Deviation = 7.11ppm
Search WEB for skeleton respect to your proposal |
|
![]()
|
|
|
Structure Proposal # 1717 OXHLBEJPFZMHPB Deviation = 7.11ppm
Search WEB for skeleton respect to your proposal |
|
![]()
|
|
|
Structure Proposal # 1718 UXGRHFKSBQIDHK Deviation = 7.12ppm
Search WEB for skeleton respect to your proposal |
|
![]()
|
|
|
Structure Proposal # 1719 LFWZPHSUDHUETB Deviation = 7.12ppm
Search WEB for skeleton respect to your proposal |
|
![]()
|
|
|
Structure Proposal # 1720 KQGKTFPGDQCTML Deviation = 7.15ppm
Search WEB for skeleton respect to your proposal |
|
![]()
|
|
|
Structure Proposal # 1721 ADORBUKSCQTXJT Deviation = 7.16ppm
Search WEB for skeleton respect to your proposal |
|
![]()
|
|
|
Structure Proposal # 1722 YGIACSNIBPUZOH Deviation = 7.18ppm
Search WEB for skeleton respect to your proposal |
|
![]()
|
|
|
Structure Proposal # 1723 OEJWNZLJHZJYTI Deviation = 7.18ppm
Search WEB for skeleton respect to your proposal |
|
![]()
|
|
|
Structure Proposal # 1724 HULLXKUQFYRVTM Deviation = 7.20ppm
Search WEB for skeleton respect to your proposal |
|
![]()
|
|
|
Structure Proposal # 1725 JGBPALIADCQVDB Deviation = 7.22ppm
Search WEB for skeleton respect to your proposal |
|
![]()
|
|
|
Structure Proposal # 1726 AJTVTQXNCIOTHB Deviation = 7.24ppm
Search WEB for skeleton respect to your proposal |
|
![]()
|
|
|
Structure Proposal # 1727 RSNLCOLAWHASHU Deviation = 7.25ppm
Search WEB for skeleton respect to your proposal |
|
![]()
|
|
|
Structure Proposal # 1728 ILTWTMISCPTING Deviation = 7.29ppm
Search WEB for skeleton respect to your proposal |
|
![]()
|
|
|
Structure Proposal # 1729 VRMUWCKLHYKIGW Deviation = 7.31ppm
Search WEB for skeleton respect to your proposal |
|
![]()
|
|
|
Structure Proposal # 1730 RXLRTLKHILKSSR Deviation = 7.32ppm
Search WEB for skeleton respect to your proposal |
|
![]()
|
|
|
Structure Proposal # 1731 PLRJTSFUCGYBDU Deviation = 7.33ppm
Search WEB for skeleton respect to your proposal |
|
![]()
|
|
|
Structure Proposal # 1732 UOJQREGWFFLVSR Deviation = 7.37ppm
Search WEB for skeleton respect to your proposal |
|
![]()
|
|
|
Structure Proposal # 1733 CKNIQWCBGAYNDB Deviation = 7.38ppm
Search WEB for skeleton respect to your proposal |
|
![]()
|
|
|
Structure Proposal # 1734 PNOWQQMUIQXYMQ Deviation = 7.38ppm
Search WEB for skeleton respect to your proposal |
|
![]()
|
|
|
Structure Proposal # 1735 SLVXRJBKTOPJME Deviation = 7.39ppm
Search WEB for skeleton |
|
![]()
|
|
|
Structure Proposal # 1736 JLXDEUPIZIMVDE Deviation = 7.40ppm
Search WEB for skeleton respect to your proposal |
|
![]()
|
|
|
Structure Proposal # 1737 PWTDWYYPIJHOPK Deviation = 7.41ppm
Search WEB for skeleton respect to your proposal |
|
![]()
|
|
|
Structure Proposal # 1738 BRWJDDCDZWHIAP Deviation = 7.41ppm
Search WEB for skeleton respect to your proposal |
|
![]()
|
|
|
Structure Proposal # 1739 BOSDYJLYTDSFBR Deviation = 7.41ppm
Search WEB for skeleton respect to your proposal |
|
![]()
|
|
|
Structure Proposal # 1740 CIAVIVWCEDMBKA Deviation = 7.41ppm
Search WEB for skeleton respect to your proposal |
|
![]()
|
|
|
Structure Proposal # 1741 HVKPXGXYMKWMOD Deviation = 7.45ppm
Search WEB for skeleton respect to your proposal |
|
![]()
|
|
|
Structure Proposal # 1742 VCMAEQYXGPMNAL Deviation = 7.45ppm
Search WEB for skeleton respect to your proposal |
|
![]()
|
|
|
Structure Proposal # 1743 KBMXDMHOJNOQFY Deviation = 7.45ppm
Search WEB for skeleton respect to your proposal |
|
![]()
|
|
|
Structure Proposal # 1744 VGNKWVQXTVJHJO Deviation = 7.47ppm
Search WEB for skeleton respect to your proposal |
|
![]()
|
|
|
Structure Proposal # 1745 AIMDDIHEDPVZMW Deviation = 7.48ppm
Search WEB for skeleton respect to your proposal |
|
![]()
|
|
|
Structure Proposal # 1746 GZCGFLNZHZHEMG Deviation = 7.49ppm
Search WEB for skeleton respect to your proposal |
|
![]()
|
|
|
Structure Proposal # 1747 NWLNCKXHDOUPIZ Deviation = 7.49ppm
Search WEB for skeleton respect to your proposal |
|
![]()
|
|
|
Structure Proposal # 1748 ZQOSXQGAVGGTFB Deviation = 7.49ppm
Search WEB for skeleton respect to your proposal |
|
![]()
|
|
|
Structure Proposal # 1749 MQDVBTHLDQZQIO Deviation = 7.49ppm
Search WEB for skeleton respect to your proposal |
|
![]()
|
|
|
Structure Proposal # 1750 BEBLZCARYKZXMM Deviation = 7.51ppm
Search WEB for skeleton respect to your proposal |
|
![]()
|
|
|
Structure Proposal # 1751 TVZIJKWDBBKXDZ Deviation = 7.52ppm
Search WEB for skeleton respect to your proposal |
|
![]()
|
|
|
Structure Proposal # 1752 SRZWWCZPMSRWCS Deviation = 7.52ppm
Search WEB for skeleton respect to your proposal |
|
![]()
|
|
|
Structure Proposal # 1753 PGRDWLFVXXTSPF Deviation = 7.53ppm
Search WEB for skeleton respect to your proposal |
|
![]()
|
|
|
Structure Proposal # 1754 AJWAWIWZQXHSDD Deviation = 7.53ppm
Search WEB for skeleton respect to your proposal |
|
![]()
|
|
|
Structure Proposal # 1755 NCNUZIFGPJJVJH Deviation = 7.56ppm
Search WEB for skeleton respect to your proposal |
|
![]()
|
|
|
Structure Proposal # 1756 XKAJELHLKIMYSX Deviation = 7.56ppm
Search WEB for skeleton |
|
![]()
|
|
|
Structure Proposal # 1757 VIRUQFFOYGQALV Deviation = 7.68ppm
Search WEB for skeleton respect to your proposal |
|
![]()
|
|
|
Structure Proposal # 1758 PFJFLDNSCUJHQX Deviation = 7.68ppm
Search WEB for skeleton respect to your proposal |
|
![]()
|
|
|
Structure Proposal # 1759 ISWCUJQISADQMN Deviation = 7.68ppm
Search WEB for skeleton respect to your proposal |
|
![]()
|
|
|
Structure Proposal # 1760 BDZBXLKHLMCMKD Deviation = 7.69ppm
Search WEB for skeleton respect to your proposal |
|
![]()
|
|
|
Structure Proposal # 1761 KXASMLPMWJKHIJ Deviation = 7.70ppm
Search WEB for skeleton respect to your proposal |
|
![]()
|
|
|
Structure Proposal # 1762 OZOMTMXCWMYTPY Deviation = 7.71ppm
Search WEB for skeleton respect to your proposal |
|
![]()
|
|
|
Structure Proposal # 1763 WMOZRIMZBRMZHZ Deviation = 7.75ppm
Search WEB for skeleton respect to your proposal |
|
![]()
|
|
|
Structure Proposal # 1764 CYWOMEWRBAFKOP Deviation = 7.75ppm
Search WEB for skeleton respect to your proposal |
|
![]()
|
|
|
Structure Proposal # 1765 QDDUZQOMFCRXKK Deviation = 7.78ppm
Search WEB for skeleton respect to your proposal |
|
![]()
|
|
|
Structure Proposal # 1766 ZZIOFFKGYSMOLR Deviation = 7.78ppm
Search WEB for skeleton respect to your proposal |
|
![]()
|
|
|
Structure Proposal # 1767 NDBZFHCTPHOXPA Deviation = 7.81ppm
Search WEB for skeleton respect to your proposal |
|
![]()
|
|
|
Structure Proposal # 1768 MBEFKYUGYQKDPU Deviation = 7.83ppm
Search WEB for skeleton respect to your proposal |
|
![]()
|
|
|
Structure Proposal # 1769 GSPLAOBYOHWASN Deviation = 7.86ppm
Search WEB for skeleton respect to your proposal |
|
![]()
|
|
|
Structure Proposal # 1770 AUCNTQWTSJBBDX Deviation = 7.88ppm
Search WEB for skeleton respect to your proposal |
|
![]()
|
|
|
Structure Proposal # 1771 LUPNRLOBOXNCBL Deviation = 7.90ppm
Search WEB for skeleton respect to your proposal |
|
![]()
|
|
|
Structure Proposal # 1772 SVBBFLUFVSCMCF Deviation = 7.90ppm
Search WEB for skeleton respect to your proposal |
|
![]()
|
|
|
Structure Proposal # 1773 ZHSQWNRJOMVPHL Deviation = 7.91ppm
Search WEB for skeleton respect to your proposal |
|
![]()
|
|
|
Structure Proposal # 1774 WESGNLAASFGTOK Deviation = 7.91ppm
Search WEB for skeleton respect to your proposal |
|
![]()
|
|
|
Structure Proposal # 1775 UQLSBQVXPHQFGE Deviation = 7.92ppm
Search WEB for skeleton respect to your proposal |
|
![]()
|
|
|
Structure Proposal # 1776 RWADGCBJOGEABA Deviation = 7.96ppm
Search WEB for skeleton respect to your proposal |
|
![]()
|
|
|
Structure Proposal # 1777 HHMOJKZXUVDOHX Deviation = 7.96ppm
Search WEB for skeleton respect to your proposal |
|
![]()
|
|
|
Structure Proposal # 1778 FOWHTUWLLAKEKG Deviation = 7.97ppm
Search WEB for skeleton respect to your proposal |
|
![]()
|
|
|
Structure Proposal # 1779 VSQYWQSEEQVMSV Deviation = 7.98ppm
Search WEB for skeleton respect to your proposal |
|
![]()
|
|
|
Structure Proposal # 1780 MKRNZAVQJRXSOW Deviation = 8.00ppm
Search WEB for skeleton respect to your proposal |
|
![]()
|
|
|
Structure Proposal # 1781 BYPWMBJNYKFIKC Deviation = 8.02ppm
Search WEB for skeleton respect to your proposal |
|
![]()
|
|
|
Structure Proposal # 1782 QRKBOLFRGBCQIL Deviation = 8.05ppm
Search WEB for skeleton respect to your proposal |
|
![]()
|
|
|
Structure Proposal # 1783 RDONHTQHVQRRGG Deviation = 8.06ppm
Search WEB for skeleton respect to your proposal |
|
![]()
|
|
|
Structure Proposal # 1784 JYCVWEOMGZMYIZ Deviation = 8.06ppm
Search WEB for skeleton respect to your proposal |
|
![]()
|
|
|
Structure Proposal # 1785 XCVVNICVSHVUSK Deviation = 8.07ppm
Search WEB for skeleton respect to your proposal |
|
![]()
|
|
|
Structure Proposal # 1786 NTNHUYDYKYADIK Deviation = 8.08ppm
Search WEB for skeleton respect to your proposal |
|
![]()
|
|
|
Structure Proposal # 1787 QBBPGRXEDCZEGI Deviation = 8.10ppm
Search WEB for skeleton respect to your proposal |
|
![]()
|
|
|
Structure Proposal # 1788 QUFFLHQZJZBWTH Deviation = 8.14ppm
Search WEB for skeleton respect to your proposal |
|
![]()
|
|
|
Structure Proposal # 1789 IEGUZWQTWLYOOV Deviation = 8.14ppm
Search WEB for skeleton respect to your proposal |
|
![]()
|
|
|
Structure Proposal # 1790 UKZZABMLBYOOPN Deviation = 8.14ppm
Search WEB for skeleton respect to your proposal |
|
![]()
|
|
|
Structure Proposal # 1791 MDQSHXBKHXQGCK Deviation = 8.17ppm
Search WEB for skeleton respect to your proposal |
|
![]()
|
|
|
Structure Proposal # 1792 PTAOAVSUGSBOHY Deviation = 8.20ppm
Search WEB for skeleton respect to your proposal |
|
![]()
|
|
|
Structure Proposal # 1793 PUFDXJDFVWIRDU Deviation = 8.23ppm
Search WEB for skeleton respect to your proposal |
|
![]()
|
|
|
Structure Proposal # 1794 OHJXUZCBPWFQBR Deviation = 8.24ppm
Search WEB for skeleton respect to your proposal |
|
![]()
|
|
|
Structure Proposal # 1795 SGCFJVKOTBFBPP Deviation = 8.26ppm
Search WEB for skeleton respect to your proposal |
|
![]()
|
|
|
Structure Proposal # 1796 RELHQOVUTUAYPD Deviation = 8.32ppm
Search WEB for skeleton respect to your proposal |
|
![]()
|
|
|
Structure Proposal # 1797 CGEVWLIRNFXRIO Deviation = 8.38ppm
Search WEB for skeleton respect to your proposal |
|
![]()
|
|
|
Structure Proposal # 1798 DKAPYZBQSNLKNT Deviation = 8.39ppm
Search WEB for skeleton respect to your proposal |
|
![]()
|
|
|
Structure Proposal # 1799 VERWKNCTNUTRKZ Deviation = 8.90ppm
Search WEB for skeleton respect to your proposal |
|
![]()
|
|
|
Proposal # 1 Similarity: 1.07ppm JKSVGWKRBGMKSK
|
Proposal # 2 Similarity: 1.09ppm CWBDHGOOOHDUSI
|
Proposal # 3 Similarity: 1.09ppm KPXXUBUIUMGJPK
|
|
Proposal # 4 Similarity: 1.09ppm DULAMDCQQMATDZ
|
Proposal # 5 Similarity: 1.11ppm YATBTGMUNQLOHF
|
Proposal # 6 Similarity: 1.13ppm QJQFEYHWNNKGML
|
|
Proposal # 7 Similarity: 1.14ppm RRKQABNBEDWYFD
|
Proposal # 8 Similarity: 1.15ppm VIABRYOFVWUCKL
|
Proposal # 9 Similarity: 1.16ppm TYDCRRJWYVUSFQ
|
|
Proposal # 10 Similarity: 1.17ppm BGQHDAJKRNUSRJ
|
Proposal # 11 Similarity: 1.18ppm JUZKZKSNVZTOSB
|
Proposal # 12 Similarity: 1.22ppm KGIVKQSOXZYESX
|
|
Proposal # 13 Similarity: 1.22ppm AVWXCKBKECWFNM
|
Proposal # 14 Similarity: 1.23ppm DIKDTUOYPIBOQK
|
Proposal # 15 Similarity: 1.23ppm XXCVMZYDMFZAPE
|
|
Proposal # 16 Similarity: 1.23ppm JQYWROXMQXWMEP
|
Proposal # 17 Similarity: 1.23ppm XWDMUUQWGNPLMS
|
Proposal # 18 Similarity: 1.24ppm KPURHZPIDKMJRC
|
|
Proposal # 19 Similarity: 1.25ppm AIJSVTVLJYXZRW
|
Proposal # 20 Similarity: 1.25ppm VIYUJKAGYWUZFU
|
Proposal # 21 Similarity: 1.26ppm GWWKXPOGRRXEHW
|
|
Proposal # 22 Similarity: 1.27ppm SZVNNVPCDROBQO
|
Proposal # 23 Similarity: 1.27ppm PKJSUAGTGZURCA
|
Proposal # 24 Similarity: 1.27ppm XCIQUKFFQOEAPV
|
|
Proposal # 25 Similarity: 1.27ppm QDTWHDRPYSKXBK
|
Proposal # 26 Similarity: 1.28ppm NALNZZUBGXBRJA
|
Proposal # 27 Similarity: 1.28ppm SYNARKRWVDVEIP
|
|
Proposal # 28 Similarity: 1.29ppm MFXWZLFTZNGHHJ
|
Proposal # 29 Similarity: 1.29ppm XXLHGJGWKISRLE
|
Proposal # 30 Similarity: 1.29ppm NMIWNXSNXRVKCH
|
|
Proposal # 31 Similarity: 1.30ppm KZQKNIBJPCWJCP
|
Proposal # 32 Similarity: 1.30ppm AGTPNCZYLJDALA
|
Proposal # 33 Similarity: 1.30ppm FRPAVEFYGFDWNI
|
|
Proposal # 34 Similarity: 1.30ppm XFPYCRACSSOZAP
|
Proposal # 35 Similarity: 1.30ppm SLRIQCIKZHHTJS
|
Proposal # 36 Similarity: 1.31ppm YGIYLTUIASSJPW
|
|
Proposal # 37 Similarity: 1.31ppm TXXHJQZTSNMXGE
|
Proposal # 38 Similarity: 1.31ppm RTVMCRXMAFPHIA
|
Proposal # 39 Similarity: 1.31ppm FVLWGZWKHAKEDJ
|
|
Proposal # 40 Similarity: 1.31ppm CWBKVPITGBSPNO
|
Proposal # 41 Similarity: 1.32ppm YMPNAUXCNICYEX
|
Proposal # 42 Similarity: 1.32ppm QVHWECUTMODLCO
|
|
Proposal # 43 Similarity: 1.32ppm NGWNWGRBKGRDHW
|
Proposal # 44 Similarity: 1.33ppm SLQJIQPTLWWDCM
|
Proposal # 45 Similarity: 1.34ppm IJQPVHLOKVTELS
|
|
Proposal # 46 Similarity: 1.34ppm WZHVZUILAMDYCK
|
Proposal # 47 Similarity: 1.35ppm NGCUNQBYUCNDPJ
|
Proposal # 48 Similarity: 1.36ppm XFBVLJNZVMBNHV
|
|
Proposal # 49 Similarity: 1.36ppm OOPPBGLCZDPRHN
|
Proposal # 50 Similarity: 1.36ppm CXPKYCXFLMPMEZ PUBCHEM
|
Proposal # 51 Similarity: 1.37ppm ARFOJRLYNHPULE
|
|
Proposal # 52 Similarity: 1.38ppm PCDKIYLUBWBCKK
|
Proposal # 53 Similarity: 1.38ppm SSWZWTVUNGHHDK
|
Proposal # 54 Similarity: 1.38ppm KLDPODWQPPMEOW
|
|
Proposal # 55 Similarity: 1.39ppm HMYHYKKECLZZQW
|
Proposal # 56 Similarity: 1.39ppm SNLUOQDXQAMDAM
|
Proposal # 57 Similarity: 1.40ppm TWPYDYHTAPLUTP
|
|
Proposal # 58 Similarity: 1.41ppm JMMNSUOAYXYFHF
|
Proposal # 59 Similarity: 1.41ppm DKSUOTRJEALDRV
|
Proposal # 60 Similarity: 1.41ppm MIVYEQSDFRIXQJ
|
|
Proposal # 61 Similarity: 1.41ppm JNCPUEVRDHHKQV
|
Proposal # 62 Similarity: 1.41ppm NPYNTYNDBDFNLP
|
Proposal # 63 Similarity: 1.41ppm UOAGGXADMIMGNL
|
|
Proposal # 64 Similarity: 1.42ppm OJVPFJPLOTXLED
|
Proposal # 65 Similarity: 1.42ppm CVZQQGKTUIVHSC
|
Proposal # 66 Similarity: 1.42ppm JWTOKYJNDLCRLR
|
|
Proposal # 67 Similarity: 1.43ppm BUMITSKYKFXTQK
|
Proposal # 68 Similarity: 1.43ppm RQQVBLHADCXIMU
|
Proposal # 69 Similarity: 1.43ppm GWYXOCAJZAJKFG
|
|
Proposal # 70 Similarity: 1.44ppm KAMWNMFGCJZGIN
|
Proposal # 71 Similarity: 1.44ppm OGGWACACNZBDBF
|
Proposal # 72 Similarity: 1.45ppm SFMBIKGKDFNKDS
|
|
Proposal # 73 Similarity: 1.46ppm QGHCINUAHHRIBL
|
Proposal # 74 Similarity: 1.46ppm SGQJWKGJLMNICF
|
Proposal # 75 Similarity: 1.46ppm MDZFHDXSFQZLGM
|
|
Proposal # 76 Similarity: 1.47ppm CTSJYXMREUPNBY
|
Proposal # 77 Similarity: 1.47ppm GEFHMJVLNFLJGZ
|
Proposal # 78 Similarity: 1.47ppm RBSCRKSWQOCQQJ
|
|
Proposal # 79 Similarity: 1.47ppm XYTSMXOJBOGNIC
|
Proposal # 80 Similarity: 1.47ppm FFSJAZPTWLPENO
|
Proposal # 81 Similarity: 1.47ppm FEDHIDDEFJFPKM
|
|
Proposal # 82 Similarity: 1.47ppm VCVFGPDPSFNPOI
|
Proposal # 83 Similarity: 1.47ppm KELMJHZGWCCDJU
|
Proposal # 84 Similarity: 1.48ppm RODNUBMPVKLXTQ
|
|
Proposal # 85 Similarity: 1.49ppm HTEYVERPWXMEOW
|
Proposal # 86 Similarity: 1.49ppm ITVQGYBGLRDHKL
|
Proposal # 87 Similarity: 1.49ppm XZKJYPCPJUFVMO
|
|
Proposal # 88 Similarity: 1.49ppm DBQSLRWLKQIAJO
|
Proposal # 89 Similarity: 1.49ppm ZWSFUPKZNKNHLA
|
Proposal # 90 Similarity: 1.50ppm ZMYKHGSFCIKXAP
|
|
Proposal # 91 Similarity: 1.50ppm XJXGQDSCOWKBAH
|
Proposal # 92 Similarity: 1.50ppm VBBYUAGGYIIVGY
|
Proposal # 93 Similarity: 1.51ppm JSJUJZVZQQOVCP
|
|
Proposal # 94 Similarity: 1.51ppm ZCBZOPHHOSMKTI
|
Proposal # 95 Similarity: 1.51ppm VOLTYGJEIBMKNX
|
Proposal # 96 Similarity: 1.51ppm OYOYPQYSRDKMDV
|
|
Proposal # 97 Similarity: 1.51ppm BJZFNGJWHGMOLX
|
Proposal # 98 Similarity: 1.51ppm VPTACJBZKDNUPE
|
Proposal # 99 Similarity: 1.52ppm CIVAVOKBCVTTTJ
|
|
Proposal # 100 Similarity: 1.52ppm GYGLPRREXHAXKG
|
Proposal # 101 Similarity: 1.52ppm OXYSVANESKCOQG
|
Proposal # 102 Similarity: 1.52ppm WQIAAMQNZBDEDU
|
|
Proposal # 103 Similarity: 1.52ppm LELMXQBFNKCTFC
|
Proposal # 104 Similarity: 1.52ppm DEBIGBYFYMHDPS
|
Proposal # 105 Similarity: 1.52ppm VLYNYYSRQDZZLF
|
|
Proposal # 106 Similarity: 1.53ppm LZIGVQXBBNWOHA
|
Proposal # 107 Similarity: 1.53ppm IXPZVCOEIXZXRB
|
Proposal # 108 Similarity: 1.53ppm DATCRBVGXAWOIS
|
|
Proposal # 109 Similarity: 1.53ppm PXXKUDLEEDZIJU
|
Proposal # 110 Similarity: 1.54ppm LYJYLTGIVMHWJR
|
Proposal # 111 Similarity: 1.54ppm KLYMCDQWSHLSSC
|
|
Proposal # 112 Similarity: 1.54ppm MFFPZJANZICVGX
|
Proposal # 113 Similarity: 1.54ppm IOZHYZCVLHCZRC
|
Proposal # 114 Similarity: 1.54ppm PPKQVTOEVMLNBW
|
|
Proposal # 115 Similarity: 1.54ppm OQIWUMYXQVBPMY
|
Proposal # 116 Similarity: 1.54ppm ZDVLYWRMOGKNIL
|
Proposal # 117 Similarity: 1.55ppm FZZMNBPZVRNQEK
|
|
Proposal # 118 Similarity: 1.55ppm IWMRFJFSIHZEAI
|
Proposal # 119 Similarity: 1.55ppm PWMFQCAUDOKEQH
|
Proposal # 120 Similarity: 1.55ppm RHQDARPXLISDDA
|
|
Proposal # 121 Similarity: 1.56ppm PWSZAERYUWXQKB
|
Proposal # 122 Similarity: 1.56ppm SPGLNPXUZNJMRX
|
Proposal # 123 Similarity: 1.56ppm RVGMHNCMQBSYNJ
|
|
Proposal # 124 Similarity: 1.57ppm UKWWNFSQNMPPMX
|
Proposal # 125 Similarity: 1.57ppm KYMAOAQXIPUOQW
|
Proposal # 126 Similarity: 1.57ppm OSQHBSNDOKDJRE
|
|
Proposal # 127 Similarity: 1.57ppm YVTUATYKFVUXNB
|
Proposal # 128 Similarity: 1.57ppm QHZVXTVLEDUYKH
|
Proposal # 129 Similarity: 1.57ppm JZQGNNFXQDFHHG
|
|
Proposal # 130 Similarity: 1.57ppm BRZHERSYEPZZOI
|
Proposal # 131 Similarity: 1.58ppm NSEQAHLRFXLSMJ
|
Proposal # 132 Similarity: 1.58ppm CNSNXILMCXLTHJ
|
|
Proposal # 133 Similarity: 1.58ppm QALAVYSWBWEFQZ
|
Proposal # 134 Similarity: 1.58ppm QUNLSWLTKZLENY
|
Proposal # 135 Similarity: 1.58ppm SBOOQFXQBRICLO
|
|
Proposal # 136 Similarity: 1.59ppm BOVQUXMQQNHUDF
|
Proposal # 137 Similarity: 1.59ppm NGMUBHZSZRBCOI
|
Proposal # 138 Similarity: 1.59ppm YYZUNKSEFLKMGD
|
|
Proposal # 139 Similarity: 1.59ppm USSLUWKSRMBFCQ
|
Proposal # 140 Similarity: 1.60ppm IYHNOCCFDWKEPB
|
Proposal # 141 Similarity: 1.60ppm QPAIVWVQYPOWOM
|
|
Proposal # 142 Similarity: 1.60ppm VMEIVAWXHHFVEW
|
Proposal # 143 Similarity: 1.60ppm UKEGAOSKYICLNU
|
Proposal # 144 Similarity: 1.60ppm HQJNHJPFFYEDEM
|
|
Proposal # 145 Similarity: 1.60ppm QKRIRTFJUATQTG
|
Proposal # 146 Similarity: 1.60ppm PLFQXILUKCSSGW
|
Proposal # 147 Similarity: 1.61ppm RISBKOVPJBQEMO
|
|
Proposal # 148 Similarity: 1.61ppm DYMXTFHYQPPSBN
|
Proposal # 149 Similarity: 1.61ppm MNKQSTSSQIJPQS
|
Proposal # 150 Similarity: 1.62ppm NFDLSQPIPAANFF
|
|
Proposal # 151 Similarity: 1.62ppm ZXPJWXJXVMMYNV
|
Proposal # 152 Similarity: 1.62ppm SWAWOAKYWNJDSL
|
Proposal # 153 Similarity: 1.63ppm QAPVZLDOSUYAJL
|
|
Proposal # 154 Similarity: 1.63ppm MEEISSMFNPZMFR
|
Proposal # 155 Similarity: 1.63ppm YYVOAZUMTRQOIZ
|
Proposal # 156 Similarity: 1.63ppm FKWPPSGLWAYARL
|
|
Proposal # 157 Similarity: 1.63ppm IOKQTEAFMNETEM
|
Proposal # 158 Similarity: 1.63ppm GWEIDGKDYDBESD
|
Proposal # 159 Similarity: 1.63ppm UOQSYYDXQMPUEA
|
|
Proposal # 160 Similarity: 1.63ppm VRMBZGQMWXIJJV
|
Proposal # 161 Similarity: 1.64ppm SYBXCTHZEDNITR
|
Proposal # 162 Similarity: 1.64ppm PVBDQVUCLYEUHZ
|
|
Proposal # 163 Similarity: 1.64ppm BZSBZUWHLVMDGF
|
Proposal # 164 Similarity: 1.65ppm DWBCIPGQGJRNFN
|
Proposal # 165 Similarity: 1.65ppm NIKFNQGFGNRJSM
|
|
Proposal # 166 Similarity: 1.66ppm SGZWXGVWDMCTKJ
|
Proposal # 167 Similarity: 1.66ppm MSKKQDOVGDLPAC
|
Proposal # 168 Similarity: 1.66ppm IEJQWUTVBUIJLP
|
|
Proposal # 169 Similarity: 1.66ppm VLBBTUVDFUDZFT
|
Proposal # 170 Similarity: 1.66ppm FDQVQVOJERDQSZ
|
Proposal # 171 Similarity: 1.66ppm LEKBFIXDWPCZIP
|
|
Proposal # 172 Similarity: 1.66ppm AWESMMIYRFTIDY
|
Proposal # 173 Similarity: 1.66ppm IFCPLRIIUUSELD
|
Proposal # 174 Similarity: 1.67ppm XHGVATHFFVVUTI
|
|
Proposal # 175 Similarity: 1.67ppm TTXJKGYQCSOPFF
|
Proposal # 176 Similarity: 1.67ppm VRDYBRKHXUGGFW
|
Proposal # 177 Similarity: 1.67ppm DURVOIYVPCOKEH
|
|
Proposal # 178 Similarity: 1.68ppm QTRKDMGTZOQIBV
|
Proposal # 179 Similarity: 1.68ppm IUKPTYFXAFPSLA
|
Proposal # 180 Similarity: 1.68ppm ISRFNVUZTSSBRB
|
|
Proposal # 181 Similarity: 1.68ppm HLXYXSFJQRSJDC
|
Proposal # 182 Similarity: 1.68ppm UYAMQDFVVJMADF
|
Proposal # 183 Similarity: 1.68ppm SKULRPHMVUIRNR
|
|
Proposal # 184 Similarity: 1.68ppm RJHZOLWUTPCBBR
|
Proposal # 185 Similarity: 1.68ppm CQFGKLKHESNIIL
|
Proposal # 186 Similarity: 1.69ppm ICBYTFVNLYIJCS
|
|
Proposal # 187 Similarity: 1.69ppm MOISQXHETRDHNH
|
Proposal # 188 Similarity: 1.69ppm IVXLUIHBMRFSOJ
|
Proposal # 189 Similarity: 1.69ppm OXQYVFXERKSSEC
|
|
Proposal # 190 Similarity: 1.70ppm HJHHKBXKKLVJNJ
|
Proposal # 191 Similarity: 1.70ppm ONVYWQSDXHNCKX
|
Proposal # 192 Similarity: 1.70ppm SQPJZMYIUCFXAL
|
|
Proposal # 193 Similarity: 1.70ppm OOWJAYAIZXNMHQ
|
Proposal # 194 Similarity: 1.70ppm CZOUVODQTYKXTR
|
Proposal # 195 Similarity: 1.71ppm NZYHEONLWKSELD
|
|
Proposal # 196 Similarity: 1.71ppm SCEZJYXFEWGKDW
|
Proposal # 197 Similarity: 1.71ppm WKUVTCTUUSQDMO
|
Proposal # 198 Similarity: 1.71ppm IMDNUFANRPMLEU
|
|
Proposal # 199 Similarity: 1.71ppm UCOXTTADUCYKAZ
|
Proposal # 200 Similarity: 1.72ppm HMFQTRLKSHPIDJ
|
Proposal # 201 Similarity: 1.72ppm ODAHVCKJHMJIJI
|
|
Proposal # 202 Similarity: 1.72ppm VGKNYEGEUNZAMA
|
Proposal # 203 Similarity: 1.72ppm CZHNWEUYZVJWCO
|
Proposal # 204 Similarity: 1.72ppm BAVZPNSSDHOYTE
|
|
Proposal # 205 Similarity: 1.73ppm HMPUIVNAOAWCOR
|
Proposal # 206 Similarity: 1.73ppm XRDJNSUANMYJPX
|
Proposal # 207 Similarity: 1.73ppm JYNWRKYNCLWCRO
|
|
Proposal # 208 Similarity: 1.73ppm ZIBNNILHYXPESG
|
Proposal # 209 Similarity: 1.73ppm ZRHRHOXMQBVNRZ
|
Proposal # 210 Similarity: 1.73ppm NEMKFOZWJMACBV
|
|
Proposal # 211 Similarity: 1.74ppm ZOVOTUIXZNHEDH
|
Proposal # 212 Similarity: 1.74ppm VITAWTKGGIEZML
|
Proposal # 213 Similarity: 1.74ppm ZVHVKWRYJVKENV
|
|
Proposal # 214 Similarity: 1.74ppm XPGFOIFGMPJOIY
|
Proposal # 215 Similarity: 1.74ppm QKNPGPQQDRDJRE
|
Proposal # 216 Similarity: 1.74ppm WXEITOBGACFEFR
|
|
Proposal # 217 Similarity: 1.75ppm QFRNTIAGYLTQPJ
|
Proposal # 218 Similarity: 1.75ppm DLPZZESCPAIZIF
|
Proposal # 219 Similarity: 1.75ppm LGDWNWFTLJIDMU
|
|
Proposal # 220 Similarity: 1.75ppm QRWNSOJVPOLJPP
|
Proposal # 221 Similarity: 1.75ppm HVWMVFJPBHVWLB
|
Proposal # 222 Similarity: 1.75ppm NALUFRZIFMZETI
|
|
Proposal # 223 Similarity: 1.75ppm CADLVSONXWJPIP
|
Proposal # 224 Similarity: 1.75ppm UTOQVTWDXHBXCK
|
Proposal # 225 Similarity: 1.75ppm SFMPSSYRHGJBTP
|
|
Proposal # 226 Similarity: 1.76ppm SZSNAMVIDURTOE
|
Proposal # 227 Similarity: 1.76ppm VGGYFKWNNDEGNF
|
Proposal # 228 Similarity: 1.76ppm FJOYZQPIOQGUEY
|
|
Proposal # 229 Similarity: 1.77ppm AVHBMWHGTJBFPI
|
Proposal # 230 Similarity: 1.77ppm YGVGIJKUOWPNOH
|
Proposal # 231 Similarity: 1.77ppm YVFFORLJCIAOJN
|
|
Proposal # 232 Similarity: 1.77ppm DUBDNHXZEXFZEY
|
Proposal # 233 Similarity: 1.77ppm XWKWGJOILOKXIR
|
Proposal # 234 Similarity: 1.77ppm DWOHBZRCNKIOPS
|
|
Proposal # 235 Similarity: 1.78ppm SJHQTNZDCWVDQK
|
Proposal # 236 Similarity: 1.78ppm WMJNENSFKVFVCJ
|
Proposal # 237 Similarity: 1.78ppm BYGFKIJVTRLBGG
|
|
Proposal # 238 Similarity: 1.78ppm QQVHJPJSKYRXBG
|
Proposal # 239 Similarity: 1.78ppm GTLWIGDHMNGROT
|
Proposal # 240 Similarity: 1.78ppm BUNSIJZLBIETDE
|
|
Proposal # 241 Similarity: 1.78ppm ZITMKXAORIKDGJ
|
Proposal # 242 Similarity: 1.79ppm GFBWFLPTMAASMH
|
Proposal # 243 Similarity: 1.79ppm JCVXKBKFJHWDKI
|
|
Proposal # 244 Similarity: 1.79ppm LLZVAYQZVIEAJF
|
Proposal # 245 Similarity: 1.79ppm YJGAJJXZHSSIMJ
|
Proposal # 246 Similarity: 1.80ppm VCDCLILVFXZFBC
|
|
Proposal # 247 Similarity: 1.80ppm ZKGDHAFUWPPLOL
|
Proposal # 248 Similarity: 1.80ppm UWOLRXNZHCJWFR
|
Proposal # 249 Similarity: 1.80ppm CALFMVBDQXANFC
|
|
Proposal # 250 Similarity: 1.80ppm NBEYBYWRPQYABV
|
Proposal # 251 Similarity: 1.80ppm RIDFNZMBSZMHGZ
|
Proposal # 252 Similarity: 1.80ppm SBNCBNDGCPSBTI
|
|
Proposal # 253 Similarity: 1.80ppm HSLCAOSAYOGUDG
|
Proposal # 254 Similarity: 1.80ppm CXPNTGCCWZTZHD
|
Proposal # 255 Similarity: 1.80ppm KIOVZALZZIUKGV
|
|
Proposal # 256 Similarity: 1.81ppm XBXQDIYARJQOHT
|
Proposal # 257 Similarity: 1.81ppm JGFDXTZRGMNJFN
|
Proposal # 258 Similarity: 1.81ppm QYBFNKXUCLROFH
|
|
Proposal # 259 Similarity: 1.81ppm KZLQWQHLUXNEQK
|
Proposal # 260 Similarity: 1.82ppm QPBSDAJPCBPGRA
|
Proposal # 261 Similarity: 1.82ppm QARFXZFWNRPHMI
|
|
Proposal # 262 Similarity: 1.82ppm PODZKPMMGWLTGE
|
Proposal # 263 Similarity: 1.82ppm XVMABUVBOOYHTE
|
Proposal # 264 Similarity: 1.82ppm ARLZUITWQLZIEO
|
|
Proposal # 265 Similarity: 1.83ppm AHYKTUWKZGLYEC
|
Proposal # 266 Similarity: 1.83ppm VZNCDBORACMJFU
|
Proposal # 267 Similarity: 1.83ppm PFUVLLZWKLWNNC
|
|
Proposal # 268 Similarity: 1.83ppm KBGOGVASVAEIKM
|
Proposal # 269 Similarity: 1.83ppm MEYGBXZTZRXZDH
|
Proposal # 270 Similarity: 1.83ppm LDHAYAWHOFZCIQ
|
|
Proposal # 271 Similarity: 1.83ppm AXGDEGXPOSTVPG
|
Proposal # 272 Similarity: 1.83ppm FZVOCKMYFHEUFN
|
Proposal # 273 Similarity: 1.84ppm WPDKXXCBTCXXTG
|
|
Proposal # 274 Similarity: 1.84ppm QXVYEIAFDBMZGX
|
Proposal # 275 Similarity: 1.84ppm ITGGCNMSVBYLAB
|
Proposal # 276 Similarity: 1.84ppm LUPSJDRUBNRGOC
|
|
Proposal # 277 Similarity: 1.84ppm RFOQLGQTKZKMSE
|
Proposal # 278 Similarity: 1.85ppm GVBFUAZGDRRJKA
|
Proposal # 279 Similarity: 1.85ppm ZOPWTYALVQVRNC
|
|
Proposal # 280 Similarity: 1.85ppm SOWCAWOMWUDMCY
|
Proposal # 281 Similarity: 1.85ppm XKSCVVZCSHYYCA
|
Proposal # 282 Similarity: 1.86ppm LWIIUPKVUNWNLM
|
|
Proposal # 283 Similarity: 1.86ppm JMQUACMMRDZREM
|
Proposal # 284 Similarity: 1.87ppm UVQGGJRYZSQRMV
|
Proposal # 285 Similarity: 1.87ppm RBUVBEOFXSKVFZ
|
|
Proposal # 286 Similarity: 1.87ppm XXFPBMKXHANSSK
|
Proposal # 287 Similarity: 1.87ppm WPZNEBINQHXJQG
|
Proposal # 288 Similarity: 1.87ppm MPZCKYCQBNWJKP
|
|
Proposal # 289 Similarity: 1.87ppm YSTCSNBGXAYZSF
|
Proposal # 290 Similarity: 1.87ppm BELCELPAUSXCIJ
|
Proposal # 291 Similarity: 1.87ppm UTTRRTDZNXZFJD
|
|
Proposal # 292 Similarity: 1.87ppm SYYKBYWQAYFTPI
|
Proposal # 293 Similarity: 1.88ppm UFOJVCHCQSXVFP
|
Proposal # 294 Similarity: 1.88ppm WJPAFTOOFHVYAJ
|
|
Proposal # 295 Similarity: 1.88ppm NNKHQQNPFQDJMV
|
Proposal # 296 Similarity: 1.88ppm GUZUMLZWQACYJY
|
Proposal # 297 Similarity: 1.88ppm GUGZBNHUXOPUTN
|
|
Proposal # 298 Similarity: 1.88ppm YWEDDUVSBWQYPQ
|
Proposal # 299 Similarity: 1.89ppm LBLRTRIBCLUDBE
|
Proposal # 300 Similarity: 1.89ppm GKZFBSZZWVAJOQ
|
|
Proposal # 301 Similarity: 1.89ppm NIHURHDWPMHBBY
|
Proposal # 302 Similarity: 1.89ppm PUOKXKJXUAAIHD
|
Proposal # 303 Similarity: 1.89ppm FPBRHZRLTGLRIW
|
|
Proposal # 304 Similarity: 1.90ppm VOIGGZMRWPCZNE
|
Proposal # 305 Similarity: 1.90ppm GJFSYZPEIRIBHV
|
Proposal # 306 Similarity: 1.90ppm NRMGROMXTAACIU
|
|
Proposal # 307 Similarity: 1.90ppm LLNGWFDEYJLPRK
|
Proposal # 308 Similarity: 1.91ppm AMMTUKFXDPGFHG
|
Proposal # 309 Similarity: 1.91ppm ZKWATUSPQUSPDN
|
|
Proposal # 310 Similarity: 1.91ppm OLRIGKCGMCVWIV
|
Proposal # 311 Similarity: 1.91ppm AZQQEUJNVCYKPO
|
Proposal # 312 Similarity: 1.91ppm VOBWFIYHCYFROM
|
|
Proposal # 313 Similarity: 1.92ppm SNCGUACAZVXYQM
|
Proposal # 314 Similarity: 1.92ppm NFLYIXKQGLBTEK
|
Proposal # 315 Similarity: 1.92ppm XPGCCRJJDSVYCH
|
|
Proposal # 316 Similarity: 1.92ppm NNNLPIRYXTZVAX
|
Proposal # 317 Similarity: 1.92ppm UURZRSHIXBAJHO
|
Proposal # 318 Similarity: 1.92ppm QRYSCLMFVBNZCZ
|
|
Proposal # 319 Similarity: 1.92ppm ZJTQGFIZQYHWFP
|
Proposal # 320 Similarity: 1.93ppm UUUZBTQMBBNQLO
|
Proposal # 321 Similarity: 1.93ppm UHTAAKXRYUEHLE
|
|
Proposal # 322 Similarity: 1.93ppm UQYPFSQBSPYDMX
|
Proposal # 323 Similarity: 1.94ppm ZAIRYCPODRWOQG
|
Proposal # 324 Similarity: 1.94ppm MTCIRZGXTFLOAV
|
|
Proposal # 325 Similarity: 1.94ppm RKDWBERQCHEESL
|
Proposal # 326 Similarity: 1.94ppm WNRHIYSOPULKPL
|
Proposal # 327 Similarity: 1.94ppm DQVQXODSKUSACR
|
|
Proposal # 328 Similarity: 1.94ppm LXASTILZVGEZNT
|
Proposal # 329 Similarity: 1.94ppm BYWKFTANACURCN
|
Proposal # 330 Similarity: 1.94ppm NLIMPOFVBLYNRO
|
|
Proposal # 331 Similarity: 1.95ppm GRBWSSPBNWEFES
|
Proposal # 332 Similarity: 1.95ppm MCOZGLAWSQOZNE
|
Proposal # 333 Similarity: 1.95ppm DELQJPXYTHUBRT
|
|
Proposal # 334 Similarity: 1.95ppm PQFPWZCODQDWRP
|
Proposal # 335 Similarity: 1.95ppm WZSOJQMOISUVHF
|
Proposal # 336 Similarity: 1.95ppm VWVGSDYOJDWXSS
|
|
Proposal # 337 Similarity: 1.95ppm GOFZTVFKGGUYGJ
|
Proposal # 338 Similarity: 1.96ppm ZIYWUUPMLBCJIS
|
Proposal # 339 Similarity: 1.96ppm IDYUXWNQFRAMNE
|
|
Proposal # 340 Similarity: 1.96ppm NRABOLZBHUDILL
|
Proposal # 341 Similarity: 1.96ppm XZRAHHQXMASHQE
|
Proposal # 342 Similarity: 1.96ppm VWWNVOFRRJBFGJ
|
|
Proposal # 343 Similarity: 1.96ppm VRKGJHBFOZGLOQ
|
Proposal # 344 Similarity: 1.96ppm CDSOVPFKZVCYSA
|
Proposal # 345 Similarity: 1.96ppm TVZYKAVFVJHYBA
|
|
Proposal # 346 Similarity: 1.96ppm MEGKHQOAHVEQQZ
|
Proposal # 347 Similarity: 1.96ppm MGXNTMMHHMIBGV
|
Proposal # 348 Similarity: 1.97ppm JDEKOBFRTKOITR
|
|
Proposal # 349 Similarity: 1.97ppm QZIGHALKXOPROW
|
Proposal # 350 Similarity: 1.97ppm BITMWZAHBJGPFV
|
Proposal # 351 Similarity: 1.97ppm AQPURAQLOTZJOB
|
|
Proposal # 352 Similarity: 1.97ppm AISVYSWIEZMQCA
|
Proposal # 353 Similarity: 1.98ppm MXOWZDURHOSEQS
|
Proposal # 354 Similarity: 1.98ppm BJPORMCIHFNKGT
|
|
Proposal # 355 Similarity: 1.98ppm NXLIEQOBKSNDSU
|
Proposal # 356 Similarity: 1.98ppm WESDLDXQFAZKTF
|
Proposal # 357 Similarity: 1.98ppm HWEQHZFQEWGUEE
|
|
Proposal # 358 Similarity: 1.98ppm MIELWCVBJVBBBY
|
Proposal # 359 Similarity: 1.98ppm BNVQCPTUSIPSCM
|
Proposal # 360 Similarity: 1.99ppm SWLQTPCFNVDFRV
|
|
Proposal # 361 Similarity: 1.99ppm POKCBULYAQMSNR
|
Proposal # 362 Similarity: 1.99ppm VZICBJWVCAHSOC
|
Proposal # 363 Similarity: 1.99ppm IUJFJPLKLTZVEI
|
|
Proposal # 364 Similarity: 2.00ppm ZXWZUZMREJTJNR
|
Proposal # 365 Similarity: 2.00ppm YWOQXLIGFAMDSD
|
Proposal # 366 Similarity: 2.00ppm SYJRSHKBKPCNQC
|
|
Proposal # 367 Similarity: 2.00ppm CXDKYOZXMMELMY
|
Proposal # 368 Similarity: 2.00ppm WXSQYVCKEUWETN
|
Proposal # 369 Similarity: 2.00ppm SLBQHISKPBDFAM
|
|
Proposal # 370 Similarity: 2.01ppm IOBKURYEXVLCMQ
|
Proposal # 371 Similarity: 2.01ppm MFFJZDIGQVIIBO
|
Proposal # 372 Similarity: 2.01ppm IECIVYVSPIDPJX
|
|
Proposal # 373 Similarity: 2.01ppm RXSPFBHLSQCPAO
|
Proposal # 374 Similarity: 2.02ppm CQKJFVSRLUWNLT
|
Proposal # 375 Similarity: 2.02ppm RPWXCULJZNDPFL
|
|
Proposal # 376 Similarity: 2.02ppm WFWQYPMEHUJIQV
|
Proposal # 377 Similarity: 2.02ppm RGZRCQYPEZCZGL
|
Proposal # 378 Similarity: 2.02ppm MIWLJRRUSJHJCC
|
|
Proposal # 379 Similarity: 2.03ppm PZUGWVIEDSZLLO
|
Proposal # 380 Similarity: 2.03ppm VXVCNCARGYEZSP
|
Proposal # 381 Similarity: 2.03ppm GGNZUOHWECGHLQ
|
|
Proposal # 382 Similarity: 2.03ppm NFIQIRRFRWXOLL
|
Proposal # 383 Similarity: 2.03ppm VFNSKJXPUKQRNO
|
Proposal # 384 Similarity: 2.03ppm KFLVMLXHUKPCBM
|
|
Proposal # 385 Similarity: 2.04ppm SRYICAJTYRITBS
|
Proposal # 386 Similarity: 2.04ppm VYXHWTRXSHHVIX
|
Proposal # 387 Similarity: 2.04ppm YMUDQPMCQUGBTJ
|
|
Proposal # 388 Similarity: 2.04ppm ALVROTCRJVNUKN
|
Proposal # 389 Similarity: 2.04ppm RPKTYGXDRNHTJT
|
Proposal # 390 Similarity: 2.04ppm GQJJJIYPTBPXMD
|
|
Proposal # 391 Similarity: 2.04ppm ZVAZECHXYMHADJ
|
Proposal # 392 Similarity: 2.05ppm HZKHSJRMXKCOBY
|
Proposal # 393 Similarity: 2.05ppm RXXRVRSDMDNNGR
|
|
Proposal # 394 Similarity: 2.06ppm GCVQGSOMCZZUKD
|
Proposal # 395 Similarity: 2.06ppm DGASINGGUSGBDT
|
Proposal # 396 Similarity: 2.07ppm FPONUQPTFOHLPP
|
|
Proposal # 397 Similarity: 2.07ppm BNZZSLQKBYMDMS
|
Proposal # 398 Similarity: 2.07ppm RIQNLJRDGJMYHR
|
Proposal # 399 Similarity: 2.07ppm IIMUHGRVYOPFAT
|
|
Proposal # 400 Similarity: 2.07ppm OAIKNRSVNGGCHE
|
Proposal # 401 Similarity: 2.08ppm XNBZOIUDXHJSOM
|
Proposal # 402 Similarity: 2.08ppm PJHXUGYUBXRDHX
|
|
Proposal # 403 Similarity: 2.08ppm MBGWBFBIPXALKT
|
Proposal # 404 Similarity: 2.08ppm FZHOFRFCGUPYHY
|
Proposal # 405 Similarity: 2.08ppm DHIPTYDOJKLHEC
|
|
Proposal # 406 Similarity: 2.08ppm BWNINSLAUCZOHG
|
Proposal # 407 Similarity: 2.08ppm QUPKXROSPMSLCZ
|
Proposal # 408 Similarity: 2.08ppm LWMXSRAZGGQNMJ
|
|
Proposal # 409 Similarity: 2.09ppm LVSHUDJNMPBTIK
|
Proposal # 410 Similarity: 2.09ppm ITTFYPQVHZPIGX
|
Proposal # 411 Similarity: 2.09ppm DBUFJBXQRYSZIX
|
|
Proposal # 412 Similarity: 2.09ppm AJUWIYHPOPLTDX
|
Proposal # 413 Similarity: 2.09ppm XTBZEFGWONBJOM
|
Proposal # 414 Similarity: 2.09ppm HCLKMJIKQGDXPB
|
|
Proposal # 415 Similarity: 2.10ppm AFZKOQZMWDORHZ
|
Proposal # 416 Similarity: 2.10ppm XGURSXOFUAFSJD
|
Proposal # 417 Similarity: 2.10ppm NOWSUKPPFRGJFP
|
|
Proposal # 418 Similarity: 2.10ppm CEVOPQCUPJTCQZ
|
Proposal # 419 Similarity: 2.11ppm GWCHGNREYXAGOU
|
Proposal # 420 Similarity: 2.11ppm KXDONMHVMQRNNH
|
|
Proposal # 421 Similarity: 2.11ppm ZYVSWFVXUZAFQQ
|
Proposal # 422 Similarity: 2.11ppm JVQYQGCJMHPLKT
|
Proposal # 423 Similarity: 2.11ppm SPHFRYXXBQROHX
|
|
Proposal # 424 Similarity: 2.11ppm PJFDNMCGKLVYSU
|
Proposal # 425 Similarity: 2.12ppm GXIYVGOCIBQNDH
|
Proposal # 426 Similarity: 2.12ppm GQVSRHMWRZNJJE
|
|
Proposal # 427 Similarity: 2.12ppm PIWJPMFZSTZNOY
|
Proposal # 428 Similarity: 2.12ppm NAFMZKOKMNHTFE
|
Proposal # 429 Similarity: 2.13ppm QAXFWBWMXNSNFS
|
|
Proposal # 430 Similarity: 2.13ppm SHCQRJLQNNDJPK
|
Proposal # 431 Similarity: 2.13ppm ALMQJXXTCZDVJQ
|
Proposal # 432 Similarity: 2.13ppm HZZYQSRTGCMGEG
|
|
Proposal # 433 Similarity: 2.14ppm JBZKLLJXBNYSEA
|
Proposal # 434 Similarity: 2.14ppm NJKUIWWRXHHSKX
|
Proposal # 435 Similarity: 2.14ppm MDIAFGKUVNHHQQ
|
|
Proposal # 436 Similarity: 2.14ppm IIZADQYQVPXQPT
|
Proposal # 437 Similarity: 2.14ppm XVAOYVPRTKSBBB
|
Proposal # 438 Similarity: 2.14ppm ZKNVHIYLOJGHSK
|
|
Proposal # 439 Similarity: 2.14ppm QLNPDGVTUZBXSS
|
Proposal # 440 Similarity: 2.15ppm HFCMTKKUHZPSNS
|
Proposal # 441 Similarity: 2.15ppm NUMCKMMIGVHYAM
|
|
Proposal # 442 Similarity: 2.15ppm LKHSOXLQVBTCBK
|
Proposal # 443 Similarity: 2.15ppm NEHFKNSZGDAFSX
|
Proposal # 444 Similarity: 2.15ppm AINUFKHEAYDALX
|
|
Proposal # 445 Similarity: 2.15ppm DTWNHVLAAXFYAN
|
Proposal # 446 Similarity: 2.15ppm DRQIOUPMTOZEKY
|
Proposal # 447 Similarity: 2.15ppm ZNQSGFLOPFPSKS
|
|
Proposal # 448 Similarity: 2.15ppm POKDUVFGFNWVRW
|
Proposal # 449 Similarity: 2.16ppm JHCKZTWRGQIHSQ
|
Proposal # 450 Similarity: 2.16ppm HEWVIMPYSXGFKC
|
|
Proposal # 451 Similarity: 2.16ppm VYRNTAACMCNABO
|
Proposal # 452 Similarity: 2.16ppm KKSOLQGHJJWTIM
|
Proposal # 453 Similarity: 2.16ppm GAWIQBODUKGVBU
|
|
Proposal # 454 Similarity: 2.17ppm KVNAGNBNXMSKKF
|
Proposal # 455 Similarity: 2.17ppm DOBVGUMEJNEOEO
|
Proposal # 456 Similarity: 2.17ppm YAVLQYHUGUZBSO
|
|
Proposal # 457 Similarity: 2.17ppm MLCNCSBICPZRRL
|
Proposal # 458 Similarity: 2.18ppm GBXAAEMIEXIBDQ
|
Proposal # 459 Similarity: 2.18ppm BOAGLSRDZJNPOE
|
|
Proposal # 460 Similarity: 2.18ppm BNWONUDPDYAWNZ
|
Proposal # 461 Similarity: 2.19ppm ZWEIUHHZGSMMOV
|
Proposal # 462 Similarity: 2.20ppm GQHAETXLIKAOGV
|
|
Proposal # 463 Similarity: 2.20ppm HJMROQWFXLRCSW
|
Proposal # 464 Similarity: 2.20ppm OJZNHRJGYGYRKU
|
Proposal # 465 Similarity: 2.20ppm VVMJDAVXWHZFAB
|
|
Proposal # 466 Similarity: 2.20ppm DOOCOACYDWXNPY
|
Proposal # 467 Similarity: 2.21ppm UXBKSDKFHIBIJB
|
Proposal # 468 Similarity: 2.21ppm YNVWDRNAEPQLKD
|
|
Proposal # 469 Similarity: 2.21ppm ZNGVZFGZHYRBJL
|
Proposal # 470 Similarity: 2.21ppm UCWYKBURQHYROO
|
Proposal # 471 Similarity: 2.21ppm AIFCBFZTQFBAIE
|
|
Proposal # 472 Similarity: 2.21ppm AAKIXRGGLLXCDV
|
Proposal # 473 Similarity: 2.21ppm UCUFSUKGIRBNEG
|
Proposal # 474 Similarity: 2.22ppm YHPOARQBKKHELI
|
|
Proposal # 475 Similarity: 2.22ppm CVRZTUPUUZJNHN
|
Proposal # 476 Similarity: 2.23ppm LTJREPSZOZQXFR
|
Proposal # 477 Similarity: 2.23ppm QBYMPHSQVCYVNK
|
|
Proposal # 478 Similarity: 2.24ppm MHUGPZTYUYGOBL
|
Proposal # 479 Similarity: 2.24ppm UXYWPDBAKULGDC
|
Proposal # 480 Similarity: 2.24ppm GGVXIALZLBADBW
|
|
Proposal # 481 Similarity: 2.24ppm WUMWXMBWFNFXGI
|
Proposal # 482 Similarity: 2.24ppm YRXQAVRGPWXOIA
|
Proposal # 483 Similarity: 2.24ppm IIHCPKRDEQVYFI
|
|
Proposal # 484 Similarity: 2.25ppm MPZLDOYYUSMJIF
|
Proposal # 485 Similarity: 2.25ppm SZSHVIIWARBKHB
|
Proposal # 486 Similarity: 2.25ppm XVBHXDLVFPBZQS
|
|
Proposal # 487 Similarity: 2.25ppm FMPVUWCGUDVJAS
|
Proposal # 488 Similarity: 2.25ppm WBJVYMVYIUVZSA
|
Proposal # 489 Similarity: 2.25ppm NBNBZSWXWAIRRB
|
|
Proposal # 490 Similarity: 2.25ppm QZAHDUVHANPHIH
|
Proposal # 491 Similarity: 2.26ppm YQIUPVQYWPMKJQ
|
Proposal # 492 Similarity: 2.26ppm OOLQXDMCLYZYOG
|
|
Proposal # 493 Similarity: 2.26ppm XRFDFNZEKGETPT
|
Proposal # 494 Similarity: 2.26ppm OQHNXBAIXPKKBD
|
Proposal # 495 Similarity: 2.27ppm GUIYLEIXJHTVMV
|
|
Proposal # 496 Similarity: 2.27ppm FWTIPOSIFUQBRU
|
Proposal # 497 Similarity: 2.27ppm VERLMJANVUYJHQ
|
Proposal # 498 Similarity: 2.27ppm CWCGBRYPRDFLON
|
|
Proposal # 499 Similarity: 2.27ppm HTNKBTIZPXKGMD
|
Proposal # 500 Similarity: 2.28ppm FXNICOFQPZIDPR
|
Proposal # 501 Similarity: 2.28ppm KEBDLQXNAICDND
|
|
Proposal # 502 Similarity: 2.28ppm FSVVASMWBYGGTK
|
Proposal # 503 Similarity: 2.28ppm UWCXETYNSOUPNN
|
Proposal # 504 Similarity: 2.29ppm IIKUROOPXVRMCI
|
|
Proposal # 505 Similarity: 2.29ppm YQWCAAJOJUKYEQ
|
Proposal # 506 Similarity: 2.29ppm FCMPXURTVWLROA
|
Proposal # 507 Similarity: 2.29ppm KRCHLXWGFLTGQW
|
|
Proposal # 508 Similarity: 2.29ppm SZYMOIUKOSDDJE
|
Proposal # 509 Similarity: 2.29ppm XKBINTOUVKNZOZ
|
Proposal # 510 Similarity: 2.29ppm KLQSLUIHWQBRNA
|
|
Proposal # 511 Similarity: 2.29ppm OBYFZDMBNWTJGF
|
Proposal # 512 Similarity: 2.30ppm CEEYSOYVBDLUMN
|
Proposal # 513 Similarity: 2.30ppm HTHBYZSACINYSR
|
|
Proposal # 514 Similarity: 2.30ppm WNSZUNVBRCTSMC
|
Proposal # 515 Similarity: 2.30ppm RTZMJORBIGDAHJ
|
Proposal # 516 Similarity: 2.31ppm BUZWXPMTCYYFNL
|
|
Proposal # 517 Similarity: 2.31ppm VXGWUVAKUDEPMV
|
Proposal # 518 Similarity: 2.31ppm BEGUZEIMMCRFDL
|
Proposal # 519 Similarity: 2.31ppm RVISPRGBSACMMO
|
|
Proposal # 520 Similarity: 2.31ppm IWQVSUWTPGCMIP
|
Proposal # 521 Similarity: 2.31ppm LGMZLKMJPUXGDY
|
Proposal # 522 Similarity: 2.31ppm GZKBVWLGZUHRIQ
|
|
Proposal # 523 Similarity: 2.31ppm JRTHBOIVOXRGJB
|
Proposal # 524 Similarity: 2.31ppm ULSRNBNWHAVDSS
|
Proposal # 525 Similarity: 2.32ppm KKCNKKCXWBIHTJ
|
|
Proposal # 526 Similarity: 2.32ppm DVZWRDURFSIRRE
|
Proposal # 527 Similarity: 2.32ppm NXBRGECQFMIJGB
|
Proposal # 528 Similarity: 2.32ppm FZGSXBROXSVQFB
|
|
Proposal # 529 Similarity: 2.33ppm OXCUOACDUWTIPN
|
Proposal # 530 Similarity: 2.33ppm JERXXDXAHTYOIO
|
Proposal # 531 Similarity: 2.33ppm ZILVLMWHUVMYLX
|
|
Proposal # 532 Similarity: 2.33ppm IPUWAYVJABIWRS
|
Proposal # 533 Similarity: 2.33ppm HZRBFHWFOIRZPI
|
Proposal # 534 Similarity: 2.33ppm QWVXQMYSYUWPHF
|
|
Proposal # 535 Similarity: 2.33ppm LLZJLZTUMLLATQ
|
Proposal # 536 Similarity: 2.33ppm AZTQRLYLILRKGO
|
Proposal # 537 Similarity: 2.34ppm CNZGQBQYEMLBSV
|
|
Proposal # 538 Similarity: 2.34ppm NKEFVHAIVCOQGV
|
Proposal # 539 Similarity: 2.34ppm WMAHUMDACMBPSK
|
Proposal # 540 Similarity: 2.34ppm YNDHHRHMHOOOAV
|
|
Proposal # 541 Similarity: 2.34ppm ZLIRTXYURCZAHJ
|
Proposal # 542 Similarity: 2.34ppm DVVNHPNAHDERAP
|
Proposal # 543 Similarity: 2.34ppm YBMZNEZWDMALDK
|
|
Proposal # 544 Similarity: 2.35ppm RYFZQHDCOGOGQQ
|
Proposal # 545 Similarity: 2.35ppm CGWADRCXTJMVJL
|
Proposal # 546 Similarity: 2.35ppm FBBKDYNHYMHOPM
|
|
Proposal # 547 Similarity: 2.36ppm LDCKGIJDHIEANA
|
Proposal # 548 Similarity: 2.37ppm IRXRWVBHHMBAJS
|
Proposal # 549 Similarity: 2.37ppm YCFRKPOESILOTE
|
|
Proposal # 550 Similarity: 2.37ppm VDYPNVMFTQRCJB
|
Proposal # 551 Similarity: 2.37ppm AJVUUXWUDGIBDY
|
Proposal # 552 Similarity: 2.37ppm KSRFGNQSYSEJED
|
|
Proposal # 553 Similarity: 2.37ppm YKWQEQNXFVRZFU
|
Proposal # 554 Similarity: 2.37ppm BVHHATYVXIAZAJ
|
Proposal # 555 Similarity: 2.38ppm BUZQRJJUZZMUMU
|
|
Proposal # 556 Similarity: 2.38ppm UWSCWGCYTFQSJS
|
Proposal # 557 Similarity: 2.38ppm MAEFBVOEAMMLIZ
|
Proposal # 558 Similarity: 2.38ppm CDXLWSHXBGLHLB
|
|
Proposal # 559 Similarity: 2.38ppm YEGWSYRVMPUFDR
|
Proposal # 560 Similarity: 2.38ppm YQSMNOOGFGPOMM
|
Proposal # 561 Similarity: 2.39ppm JHOOBGVRWDDUHV
|
|
Proposal # 562 Similarity: 2.39ppm KMYIKHLYRJZKOR
|
Proposal # 563 Similarity: 2.39ppm RVWGKVBKSDALBG
|
Proposal # 564 Similarity: 2.40ppm GQWVOBGHKRGUBO
|
|
Proposal # 565 Similarity: 2.40ppm ZJXOHNUQYZBNGE
|
Proposal # 566 Similarity: 2.40ppm VYXYQAABTSKFAY
|
Proposal # 567 Similarity: 2.40ppm KZKKLPKPJNDTBN
|
|
Proposal # 568 Similarity: 2.40ppm DJVWBDUGGCLOJY
|
Proposal # 569 Similarity: 2.40ppm ACOQAAIIBXQNKF
|
Proposal # 570 Similarity: 2.40ppm FFFXPPYEWPCICY
|
|
Proposal # 571 Similarity: 2.40ppm ODVYHUAZGMFBBY
|
Proposal # 572 Similarity: 2.41ppm ITYYAXCGGPOIMR
|
Proposal # 573 Similarity: 2.41ppm QBVNGFVIRJAUIN
|
|
Proposal # 574 Similarity: 2.41ppm CNNCGSGTAUUEEE
|
Proposal # 575 Similarity: 2.41ppm YBYNYBYLTAKPOY
|
Proposal # 576 Similarity: 2.41ppm GFXHDSPNLYOHNJ
|
|
Proposal # 577 Similarity: 2.41ppm RBDZTSWNJBSNMG
|
Proposal # 578 Similarity: 2.41ppm RDDUOOPXRSRHHD
|
Proposal # 579 Similarity: 2.41ppm MJFHHQDYHKVUKW
|
|
Proposal # 580 Similarity: 2.41ppm WNCXGOGHKWQMSA
|
Proposal # 581 Similarity: 2.42ppm WTTWKWQCJCCLEM
|
Proposal # 582 Similarity: 2.42ppm NENFOQLDBLMZPR
|
|
Proposal # 583 Similarity: 2.42ppm IPNRNLTYFWFQBH
|
Proposal # 584 Similarity: 2.42ppm ZXROVSGJVNPHBH
|
Proposal # 585 Similarity: 2.42ppm REIVGGZMDXJXJO
|
|
Proposal # 586 Similarity: 2.42ppm RGAFAZTVQGOQQG
|
Proposal # 587 Similarity: 2.42ppm SSLYGEQIWXNYBD
|
Proposal # 588 Similarity: 2.42ppm TXUQMVBCXOYEOI
|
|
Proposal # 589 Similarity: 2.43ppm IXNHXHPNKKSOLU
|
Proposal # 590 Similarity: 2.43ppm XJXBTDJYWVAPFN
|
Proposal # 591 Similarity: 2.43ppm OBOVOCCITRLSBT
|
|
Proposal # 592 Similarity: 2.43ppm QNKYYQKXHVAKDL
|
Proposal # 593 Similarity: 2.44ppm VQIXMQIALALRTL
|
Proposal # 594 Similarity: 2.44ppm QKRCXLHHMVHVKX
|
|
Proposal # 595 Similarity: 2.44ppm LHOWGTHPRXUAOI
|
Proposal # 596 Similarity: 2.44ppm XITUHHOINAJSFR
|
Proposal # 597 Similarity: 2.45ppm OYVSQZKEJAKUPT
|
|
Proposal # 598 Similarity: 2.45ppm JWJHBVFFDSUTJA
|
Proposal # 599 Similarity: 2.45ppm KAOGMVSGASPCTG
|
Proposal # 600 Similarity: 2.45ppm WMXVHTDOWGNTSG
|
|
Proposal # 601 Similarity: 2.45ppm WFYGHOKRVMSTLP
|
Proposal # 602 Similarity: 2.46ppm AXEGROSQJLUAHG
|
Proposal # 603 Similarity: 2.46ppm HSIIOLXUCFRHHS
|
|
Proposal # 604 Similarity: 2.46ppm IFKSXUHTUXJRPR
|
Proposal # 605 Similarity: 2.46ppm WXEQUWPGLFLZGX
|
Proposal # 606 Similarity: 2.46ppm LEFUNTFPHMIAFH
|
|
Proposal # 607 Similarity: 2.46ppm VEJCQGCPVQLYRQ
|
Proposal # 608 Similarity: 2.46ppm OZTASCYEWWIFLN
|
Proposal # 609 Similarity: 2.47ppm KUVZRUBWYDMREW
|
|
Proposal # 610 Similarity: 2.47ppm UYHNJNAQBKKFNF
|
Proposal # 611 Similarity: 2.47ppm ACRGGTJWAIZVPK
|
Proposal # 612 Similarity: 2.47ppm ZBIFWQDIHAQWRQ
|
|
Proposal # 613 Similarity: 2.47ppm QICOUMFBPZYGMJ
|
Proposal # 614 Similarity: 2.48ppm ZNVPHWNIHVJAIO
|
Proposal # 615 Similarity: 2.48ppm JXPRCFLSSHUGPQ
|
|
Proposal # 616 Similarity: 2.48ppm BKRVXNYPUMQHJN
|
Proposal # 617 Similarity: 2.48ppm HZTYWIBSVOUNCA
|
Proposal # 618 Similarity: 2.48ppm YCUGOVCNMQNTKM
|
|
Proposal # 619 Similarity: 2.48ppm QNJYYJSVMNCTFA
|
Proposal # 620 Similarity: 2.48ppm DSVLQOXHOXUPNY
|
Proposal # 621 Similarity: 2.48ppm LGCONCBBUHLLBA
|
|
Proposal # 622 Similarity: 2.48ppm HCEIVJCEQFQIFI
|
Proposal # 623 Similarity: 2.48ppm FLKNVZLHBYBZQB
|
Proposal # 624 Similarity: 2.48ppm HWBZQAXBKAIFGM
|
|
Proposal # 625 Similarity: 2.48ppm IGYCGJFIXKSWSA
|
Proposal # 626 Similarity: 2.49ppm QNONZEVQJNXFLA
|
Proposal # 627 Similarity: 2.49ppm MKHKANFNURVDBW
|
|
Proposal # 628 Similarity: 2.49ppm YXODNOZDEAQBCU
|
Proposal # 629 Similarity: 2.49ppm WUZMIGWGUQAMNE
|
Proposal # 630 Similarity: 2.49ppm ZYBLOBNUZWJSMX
|
|
Proposal # 631 Similarity: 2.50ppm POVBBZKYQDDONE
|
Proposal # 632 Similarity: 2.50ppm FNEQDTVVQMHZEW
|
Proposal # 633 Similarity: 2.51ppm IPMVVSYPOKWOLR
|
|
Proposal # 634 Similarity: 2.51ppm JPHKGNAAORHHCX
|
Proposal # 635 Similarity: 2.51ppm JZHKDBUOGYHJKQ
|
Proposal # 636 Similarity: 2.51ppm NOEFUHJADQKMLD
|
|
Proposal # 637 Similarity: 2.51ppm IPWPNBXIMOOCQW
|
Proposal # 638 Similarity: 2.51ppm LYHFXDKROUJIEQ
|
Proposal # 639 Similarity: 2.51ppm CYIANPSYKOOCGS
|
|
Proposal # 640 Similarity: 2.51ppm SVDWEIGKYGPHFP
|
Proposal # 641 Similarity: 2.52ppm SGQPGJLABCGOCG
|
Proposal # 642 Similarity: 2.52ppm XFRBQJDBSHKDGT
|
|
Proposal # 643 Similarity: 2.52ppm VGNDEJJNQBLCAV
|
Proposal # 644 Similarity: 2.53ppm JULPCFQIMIEYQT
|
Proposal # 645 Similarity: 2.53ppm CGYVHZZJGKFHDG
|
|
Proposal # 646 Similarity: 2.53ppm JZXRBFOQEIFOQD
|
Proposal # 647 Similarity: 2.54ppm KRLJTCFUVVVINQ
|
Proposal # 648 Similarity: 2.54ppm AJLVTLLRWFTPDI
|
|
Proposal # 649 Similarity: 2.54ppm DCQKGKGNNVBCTR
|
Proposal # 650 Similarity: 2.54ppm MTTWZJDODPTHRN
|
Proposal # 651 Similarity: 2.54ppm IAAQDFWNMXMAIH
|
|
Proposal # 652 Similarity: 2.54ppm POQPISFTZQXGCV
|
Proposal # 653 Similarity: 2.54ppm YOVZLPQNXNFCFD
|
Proposal # 654 Similarity: 2.55ppm SELLOLBCOSEZML
|
|
Proposal # 655 Similarity: 2.55ppm FOHIVNPZGVWMBW
|
Proposal # 656 Similarity: 2.55ppm QIWINLJQPUGIAX
|
Proposal # 657 Similarity: 2.56ppm VZIUANYQQOUCMV
|
|
Proposal # 658 Similarity: 2.56ppm UIYDLQLXWAVOHU
|
Proposal # 659 Similarity: 2.56ppm OXOSVVMTWVGLNC
|
Proposal # 660 Similarity: 2.56ppm LBDWPCFTUCGTSI
|
|
Proposal # 661 Similarity: 2.56ppm CZASOXNDMVKYRW
|
Proposal # 662 Similarity: 2.57ppm HGXVWTXAGXHQJH
|
Proposal # 663 Similarity: 2.57ppm OTMIBOAJBYFMID
|
|
Proposal # 664 Similarity: 2.57ppm PHTISROEFYPKNX
|
Proposal # 665 Similarity: 2.58ppm PQDNFNVZMOSNNQ
|
Proposal # 666 Similarity: 2.58ppm SARDXVILAKUDOC
|
|
Proposal # 667 Similarity: 2.58ppm GYLQUPPQXRPAOB
|
Proposal # 668 Similarity: 2.58ppm WJCLVIWYJCQIEZ
|
Proposal # 669 Similarity: 2.58ppm BGKTUMOEMNFARD
|
|
Proposal # 670 Similarity: 2.58ppm LAMIQMYJFZICTR
|
Proposal # 671 Similarity: 2.59ppm CKKPZFYXPXJWAM
|
Proposal # 672 Similarity: 2.59ppm FBLNZCCHLODNKR
|
|
Proposal # 673 Similarity: 2.59ppm UPMQTESKEYYIDP
|
Proposal # 674 Similarity: 2.59ppm AMDUGDVRESFROL
|
Proposal # 675 Similarity: 2.59ppm OVLJQMXEBKBXHO
|
|
Proposal # 676 Similarity: 2.59ppm YPVYYPSYYKRYKY
|
Proposal # 677 Similarity: 2.59ppm LLMRSASUIWBPHW
|
Proposal # 678 Similarity: 2.59ppm FSJDPOHEMJDVKB
|
|
Proposal # 679 Similarity: 2.60ppm CXTNGCHVOAAIHG
|
Proposal # 680 Similarity: 2.60ppm BLHLRLLITYDFRQ
|
Proposal # 681 Similarity: 2.60ppm GXOINGWFWCWICF
|
|
Proposal # 682 Similarity: 2.60ppm MDRNFUMEBUVKDU
|
Proposal # 683 Similarity: 2.60ppm RRBAWBDKEKBISW
|
Proposal # 684 Similarity: 2.60ppm GEOMVGKGNLJLFR
|
|
Proposal # 685 Similarity: 2.61ppm JFSUFSJZMJCARQ
|
Proposal # 686 Similarity: 2.61ppm CTRCXMYQMACVEP
|
Proposal # 687 Similarity: 2.62ppm NZZZARUPITVYJX
|
|
Proposal # 688 Similarity: 2.62ppm JLBGXLXGNCYVQE
|
Proposal # 689 Similarity: 2.62ppm PALGMRFCKHPFAC
|
Proposal # 690 Similarity: 2.62ppm MEARWNHUPFGFCM
|
|
Proposal # 691 Similarity: 2.62ppm UPJANQQSWVJHNS
|
Proposal # 692 Similarity: 2.62ppm WDQFQRHJOSBIKU
|
Proposal # 693 Similarity: 2.62ppm FVAJYDGSLCFFCW
|
|
Proposal # 694 Similarity: 2.62ppm NTQLBPWZKHRYND
|
Proposal # 695 Similarity: 2.63ppm AXNSBPLCOCUUKY
|
Proposal # 696 Similarity: 2.63ppm VGWORVLESHUYHF
|
|
Proposal # 697 Similarity: 2.63ppm NKZDKNSSHJZQCD
|
Proposal # 698 Similarity: 2.64ppm IPZJFQCCSUCLIT
|
Proposal # 699 Similarity: 2.64ppm WVWHXEZNUIDNCE
|
|
Proposal # 700 Similarity: 2.64ppm CXWXUVLORDZERB
|
Proposal # 701 Similarity: 2.64ppm DMKUNJXOOCRWFE
|
Proposal # 702 Similarity: 2.64ppm IRQRRZFJMFIBRE
|
|
Proposal # 703 Similarity: 2.65ppm AWENOSYZVAZGQE
|
Proposal # 704 Similarity: 2.65ppm XIMWJXCCTIJXFC
|
Proposal # 705 Similarity: 2.65ppm GHBUGVQWXGHXGK
|
|
Proposal # 706 Similarity: 2.65ppm SQEHFUQXOHRPCV
|
Proposal # 707 Similarity: 2.65ppm SGUCSUCIJRWPEW
|
Proposal # 708 Similarity: 2.66ppm QRTSAKFMAWWCRW
|
|
Proposal # 709 Similarity: 2.66ppm NBVZFKWYSDLTQA
|
Proposal # 710 Similarity: 2.66ppm KNQINXZCBWKLHN
|
Proposal # 711 Similarity: 2.66ppm VUMMTGGNNYQGMO
|
|
Proposal # 712 Similarity: 2.66ppm VDEHHRHKYRZPTO
|
Proposal # 713 Similarity: 2.66ppm RQRJOLIEEYOKDX
|
Proposal # 714 Similarity: 2.66ppm BKXOEUFVUBEPJH
|
|
Proposal # 715 Similarity: 2.67ppm FBIRYJGYYMTXAE
|
Proposal # 716 Similarity: 2.67ppm BLCAUSXCOJOVCE
|
Proposal # 717 Similarity: 2.68ppm WCLIMMJBDLEKEH
|
|
Proposal # 718 Similarity: 2.68ppm KLOLDYKOURUODR
|
Proposal # 719 Similarity: 2.68ppm OORSAYDZNPYWKF
|
Proposal # 720 Similarity: 2.68ppm FRGIFBUNJOJLEV
|
|
Proposal # 721 Similarity: 2.68ppm OTOXOFAUGVQQPT
|
Proposal # 722 Similarity: 2.69ppm HTBZTDGMMHFANE
|
Proposal # 723 Similarity: 2.69ppm AOJMQIFJCUOQKB
|
|
Proposal # 724 Similarity: 2.69ppm VHZJPXWTLXEOQE
|
Proposal # 725 Similarity: 2.70ppm IRFHRFODPORGSO
|
Proposal # 726 Similarity: 2.70ppm WWQJZAMIQPZYSA
|
|
Proposal # 727 Similarity: 2.70ppm UIWQZLZHDSTVSG
|
Proposal # 728 Similarity: 2.70ppm OTAPENCLJCIHAO
|
Proposal # 729 Similarity: 2.71ppm XKWULMOGSLVLNH
|
|
Proposal # 730 Similarity: 2.71ppm AFXBBGDFIADDOC
|
Proposal # 731 Similarity: 2.72ppm QSHALOUXCDNGIP
|
Proposal # 732 Similarity: 2.72ppm JMNBOYJJOXVXEP
|
|
Proposal # 733 Similarity: 2.73ppm HPCQBTAFZQGKJP
|
Proposal # 734 Similarity: 2.73ppm DIFWWGDYNHVDGO
|
Proposal # 735 Similarity: 2.73ppm LJJXNJCCGUDQPJ
|
|
Proposal # 736 Similarity: 2.74ppm YWHPCRRWERRDHW
|
Proposal # 737 Similarity: 2.74ppm LBAABTRGEFXONK
|
Proposal # 738 Similarity: 2.75ppm VPKLSKMYRTXSKK
|
|
Proposal # 739 Similarity: 2.75ppm MMSJDQBNAIGMJN
|
Proposal # 740 Similarity: 2.75ppm WEGSUHFFGMKMPQ
|
Proposal # 741 Similarity: 2.76ppm QFBQMWUURZEIAO
|
|
Proposal # 742 Similarity: 2.76ppm TWEOVVWZTUANPH
|
Proposal # 743 Similarity: 2.77ppm LAPWFDFGAGKMSJ
|
Proposal # 744 Similarity: 2.77ppm JFLQELWGBSJAAF
|
|
Proposal # 745 Similarity: 2.77ppm MLJRAAMPYOJTAN
|
Proposal # 746 Similarity: 2.77ppm ADNURTZXMGKIDQ
|
Proposal # 747 Similarity: 2.78ppm LLXYBTSVWXSXDZ
|
|
Proposal # 748 Similarity: 2.78ppm UTWWFHZRQFOMMV
|
Proposal # 749 Similarity: 2.78ppm FFQRFMIXWDPKQJ
|
Proposal # 750 Similarity: 2.78ppm CBUCVRHYFXHMEB
|
|
Proposal # 751 Similarity: 2.79ppm ZIVVRJQZRNJRSY
|
Proposal # 752 Similarity: 2.79ppm AYOGWEYCJNUAHJ
|
Proposal # 753 Similarity: 2.79ppm CCELOTRZUYEWQX
|
|
Proposal # 754 Similarity: 2.79ppm TXIVHUOYLCYMGX
|
Proposal # 755 Similarity: 2.80ppm LQLIRQIRDCOHRR
|
Proposal # 756 Similarity: 2.80ppm UYCBHHUSOGABPP
|
|
Proposal # 757 Similarity: 2.80ppm OETXBAPHCYHIBX
|
Proposal # 758 Similarity: 2.80ppm SDSBDFIUJSARAQ
|
Proposal # 759 Similarity: 2.81ppm XCUJWGNOLJSVDW
|
|
Proposal # 760 Similarity: 2.81ppm XIESXVMWYBTXDZ
|
Proposal # 761 Similarity: 2.81ppm RPFDITJFKSOFBM
|
Proposal # 762 Similarity: 2.82ppm RVFBLELSMQGDLJ
|
|
Proposal # 763 Similarity: 2.82ppm GLROBULUSCLVSX
|
Proposal # 764 Similarity: 2.82ppm WQVVPFMBFKLDFB
|
Proposal # 765 Similarity: 2.82ppm LBYQIKGGLRHARW
|
|
Proposal # 766 Similarity: 2.82ppm ZQHKFQVYYPULIQ
|
Proposal # 767 Similarity: 2.83ppm OERAFRXLWPKWFS
|
Proposal # 768 Similarity: 2.83ppm UJGCFPGRPGUPPK
|
|
Proposal # 769 Similarity: 2.84ppm GDQPHYKJERJZLB
|
Proposal # 770 Similarity: 2.85ppm OUGLFSFJYQZCJY
|
Proposal # 771 Similarity: 2.85ppm BFVUQXRJBSQFBQ
|
|
Proposal # 772 Similarity: 2.85ppm ZVTMCHAUZBSIRS
|
Proposal # 773 Similarity: 2.85ppm FRRRHAFDMDSPSD
|
Proposal # 774 Similarity: 2.85ppm DJRLZDFHQARQBX
|
|
Proposal # 775 Similarity: 2.85ppm ZNDNWVHPJLOAKJ
|
Proposal # 776 Similarity: 2.86ppm HZLJRSUCEVLUCB
|
Proposal # 777 Similarity: 2.86ppm QGONONUMPXMYGC
|
|
Proposal # 778 Similarity: 2.86ppm RPXDMVNHOQXRNO
|
Proposal # 779 Similarity: 2.86ppm BCIULYQBTZUCQM
|
Proposal # 780 Similarity: 2.86ppm TZGUAJLXCWPMPU
|
|
Proposal # 781 Similarity: 2.87ppm WZYJDHUBJFPJBI
|
Proposal # 782 Similarity: 2.87ppm ITEYLBMGAXUXNO
|
Proposal # 783 Similarity: 2.88ppm SVBLSJAGMAVBKF
|
|
Proposal # 784 Similarity: 2.88ppm WFWNFUVVBUSJED
|
Proposal # 785 Similarity: 2.89ppm UUUFYTBLWZSPCK
|
Proposal # 786 Similarity: 2.89ppm SKZDKOLJSAIQRX
|
|
Proposal # 787 Similarity: 2.89ppm CQBRJPDVRLVKMI
|
Proposal # 788 Similarity: 2.90ppm LUUBSELZKJPNSW
|
Proposal # 789 Similarity: 2.90ppm ROYPRDLENKBVBY
|
|
Proposal # 790 Similarity: 2.90ppm QJHZFHSEVUTHDT
|
Proposal # 791 Similarity: 2.91ppm BPJYXAQJLFIYIS
|
Proposal # 792 Similarity: 2.91ppm MYDMOPMHQPMCEV
|
|
Proposal # 793 Similarity: 2.91ppm IWUMNLUXGQXJAL
|
Proposal # 794 Similarity: 2.91ppm GMGFHUJSHOCCCM
|
Proposal # 795 Similarity: 2.91ppm MGNPFBDYMTXMAG
|
|
Proposal # 796 Similarity: 2.91ppm LVOGMHUPJIZFRK
|
Proposal # 797 Similarity: 2.92ppm LEAKNVPSKCBTAF
|
Proposal # 798 Similarity: 2.92ppm KDTXTMDPDISEBV
|
|
Proposal # 799 Similarity: 2.92ppm FJIJSPBFYPITEI
|
Proposal # 800 Similarity: 2.93ppm WOTYLWZAZXNIMM
|
Proposal # 801 Similarity: 2.93ppm LQAOYRFSCIQZRG
|
|
Proposal # 802 Similarity: 2.93ppm ALGQQWYIKCLHEB
|
Proposal # 803 Similarity: 2.94ppm KKFWXNLDPABIOS
|
Proposal # 804 Similarity: 2.94ppm BRGSNDSTJUXIHQ
|
|
Proposal # 805 Similarity: 2.94ppm GHALIBMITIRUCN
|
Proposal # 806 Similarity: 2.95ppm DOTRQOVCGZHPCK
|
Proposal # 807 Similarity: 2.96ppm VKMQPVCWIHNDHA
|
|
Proposal # 808 Similarity: 2.96ppm FGEYUXZFIPHLAS
|
Proposal # 809 Similarity: 2.96ppm HUGZNYZQTJQCIG
|
Proposal # 810 Similarity: 2.96ppm MRVXBEQRNXVCSZ
|
|
Proposal # 811 Similarity: 2.96ppm JOZQPJJQHXQEQP
|
Proposal # 812 Similarity: 2.98ppm DQKKCRIGNQLXCT
|
Proposal # 813 Similarity: 2.98ppm RFNRPZOSVMIXQL
|
|
Proposal # 814 Similarity: 2.98ppm KZHASAMAAMVDIJ
|
Proposal # 815 Similarity: 2.98ppm AXLHBSUZHDADQF
|
Proposal # 816 Similarity: 2.99ppm DFIVDXWXWJTIAB
|
|
Proposal # 817 Similarity: 2.99ppm GYVNFTPJYQHLHK
|
Proposal # 818 Similarity: 2.99ppm PZTMHXXLIMBPMZ
|
Proposal # 819 Similarity: 2.99ppm MALDODHIQFTVJM
|
|
Proposal # 820 Similarity: 3.00ppm HSWSNBNIXQYSPC
|
Proposal # 821 Similarity: 3.00ppm VLBOACKXRBLELP
|
Proposal # 822 Similarity: 3.00ppm KBGCLEOEMQIGHU
|
|
Proposal # 823 Similarity: 3.00ppm CLXNJRMLRRPPBH
|
Proposal # 824 Similarity: 3.00ppm RGWFPLRAJZYAJH
|
Proposal # 825 Similarity: 3.01ppm GFUPUWHIOUFFRJ
|
|
Proposal # 826 Similarity: 3.01ppm IMHJMNYOLAOTDQ
|
Proposal # 827 Similarity: 3.01ppm DJCSRSVIAXMLEK
|
Proposal # 828 Similarity: 3.01ppm SLMRMZWEBQVNIW
|
|
Proposal # 829 Similarity: 3.02ppm AFVVKMBDYYGWGG
|
Proposal # 830 Similarity: 3.02ppm FDYUEHZOBLOTQG
|
Proposal # 831 Similarity: 3.02ppm LUSAGJDGCDHVHP
|
|
Proposal # 832 Similarity: 3.02ppm KGWDENSKEOZLCE
|
Proposal # 833 Similarity: 3.03ppm XBFFLRIHBIRDNK
|
Proposal # 834 Similarity: 3.03ppm RSEBZIGNSLWEJX
|
|
Proposal # 835 Similarity: 3.03ppm CBHUSQHJYWMRMR
|
Proposal # 836 Similarity: 3.03ppm YHOGDEOYWGMUPS
|
Proposal # 837 Similarity: 3.04ppm JMBFULTYNYTBJB
|
|
Proposal # 838 Similarity: 3.04ppm KKSHHMPHRSAWCF
|
Proposal # 839 Similarity: 3.05ppm DKRULHPJURLPAM
|
Proposal # 840 Similarity: 3.05ppm ZGSGCNUBSHMRPC
|
|
Proposal # 841 Similarity: 3.06ppm HXPOLMXKGLZXIR
|
Proposal # 842 Similarity: 3.06ppm PCDPOVGPIAEMLX
|
Proposal # 843 Similarity: 3.07ppm WYENAJBSMPRTNI
|
|
Proposal # 844 Similarity: 3.08ppm WHLQIXRROSRYKP
|
Proposal # 845 Similarity: 3.08ppm VAVUCMZQPZTTFZ
|
Proposal # 846 Similarity: 3.08ppm PKZQEBQHOAWKEF
|
|
Proposal # 847 Similarity: 3.08ppm LTILYZWKMXZRLG
|
Proposal # 848 Similarity: 3.08ppm AXPBSIYTVFFOTR
|
Proposal # 849 Similarity: 3.09ppm AUHRCWQLPJIENR
|
|
Proposal # 850 Similarity: 3.09ppm SOWXQULHPVPKCB
|
Proposal # 851 Similarity: 3.10ppm LITPLXMNTHRQIO
|
Proposal # 852 Similarity: 3.10ppm DTJMFHGYBTVJJF
|
|
Proposal # 853 Similarity: 3.11ppm GNBHOZNSQXNIDS
|
Proposal # 854 Similarity: 3.12ppm XYFCFFWNLVMSRJ
|
Proposal # 855 Similarity: 3.12ppm BCVJGXQMDNYFHU
|
|
Proposal # 856 Similarity: 3.12ppm UCFPPOMWFAYMQU
|
Proposal # 857 Similarity: 3.12ppm UQYFCEKJSQFWFW
|
Proposal # 858 Similarity: 3.12ppm XYBQUGVZNBEUIU
|
|
Proposal # 859 Similarity: 3.13ppm LMTVOLBCGWUHKG
|
Proposal # 860 Similarity: 3.13ppm AUDYKZKKFUMYMD
|
Proposal # 861 Similarity: 3.13ppm FHKRPKASJCTQMW
|
|
Proposal # 862 Similarity: 3.13ppm VGLYYKDTEVXPAD
|
Proposal # 863 Similarity: 3.14ppm DLMPLQMXVGTORJ
|
Proposal # 864 Similarity: 3.14ppm USJRFLNOAGDWTL
|
|
Proposal # 865 Similarity: 3.15ppm DHPSKYNJOBXLJB
|
Proposal # 866 Similarity: 3.15ppm MXJTZKCQFKLPHW
|
Proposal # 867 Similarity: 3.15ppm WBQWDKDWHZDKJW
|
|
Proposal # 868 Similarity: 3.15ppm TYDUWJQOAIGKMD
|
Proposal # 869 Similarity: 3.16ppm VPLSHEZCXIHUEI
|
Proposal # 870 Similarity: 3.16ppm LKTGBEJISQALQR
|
|
Proposal # 871 Similarity: 3.16ppm DBLLDZISDXSOQE
|
Proposal # 872 Similarity: 3.17ppm SXQWYVPDGQJKNU
|
Proposal # 873 Similarity: 3.18ppm ZVQHXLPTHPQEMS
|
|
Proposal # 874 Similarity: 3.19ppm BIKSWIJYIVGBSM
|
Proposal # 875 Similarity: 3.20ppm RPAWUNILFKDRIP
|
Proposal # 876 Similarity: 3.20ppm IMLOYPCPOFZVMQ
|
|
Proposal # 877 Similarity: 3.21ppm NRPNEHIBROYNBU
|
Proposal # 878 Similarity: 3.21ppm HZIWCVVBGUNJOA
|
Proposal # 879 Similarity: 3.21ppm YEQHXWSQNYATFH
|
|
Proposal # 880 Similarity: 3.21ppm UVKHMPLBWMLNNB
|
Proposal # 881 Similarity: 3.22ppm MJACNDFYZKKYRR
|
Proposal # 882 Similarity: 3.22ppm CMKQFOGRVNSSQH
|
|
Proposal # 883 Similarity: 3.24ppm PHTINZSZCMXZRI
|
Proposal # 884 Similarity: 3.28ppm JMNYEFUJXOVJAW
|
Proposal # 885 Similarity: 3.29ppm CJNTUTFLDNSONJ
|
|
Proposal # 886 Similarity: 3.30ppm MHLUNGFSYADJMY
|
Proposal # 887 Similarity: 3.30ppm KPKNARDLNKOIQN
|
Proposal # 888 Similarity: 3.30ppm DJCRBEYSRUALIX
|
|
Proposal # 889 Similarity: 3.31ppm MBYQIVFLSSGYGO
|
Proposal # 890 Similarity: 3.33ppm NZAXLTVAMQPKFL
|
Proposal # 891 Similarity: 3.34ppm GFCFBEZJDDPPIW
|
|
Proposal # 892 Similarity: 3.34ppm OPGZCEULPWPSEX
|
Proposal # 893 Similarity: 3.36ppm OQVSABVQRIOQNB
|
Proposal # 894 Similarity: 3.36ppm DPUMZXRGMXALDQ
|
|
Proposal # 895 Similarity: 3.37ppm YOHPDODRXANVNX
|
Proposal # 896 Similarity: 3.37ppm QOLJKRQHLPTZSN
|
Proposal # 897 Similarity: 3.39ppm RZOBLPULYKBYJM
|
|
Proposal # 898 Similarity: 3.41ppm SFEXKRPZBLFUSP
|
Proposal # 899 Similarity: 3.41ppm WKBBOHPIYFZEPZ
|
Proposal # 900 Similarity: 3.42ppm WNADRTSKOGLHIJ
|
|
Proposal # 901 Similarity: 3.43ppm PMUAXHJEIZFFIJ
|
Proposal # 902 Similarity: 3.43ppm RZDKNEQHLIYQJJ
|
Proposal # 903 Similarity: 3.43ppm VXZNIOQBDAEWPP
|
|
Proposal # 904 Similarity: 3.43ppm PFOHFLDZKRMFIU
|
Proposal # 905 Similarity: 3.43ppm VTLNTLWWIOSZOI
|
Proposal # 906 Similarity: 3.44ppm DTBQMWSDEIWPAX
|
|
Proposal # 907 Similarity: 3.44ppm QYORPOFGXVVILE
|
Proposal # 908 Similarity: 3.45ppm OHKGJJOQSTUFOW
|
Proposal # 909 Similarity: 3.46ppm JUTMVQQTOFJFBT
|
|
Proposal # 910 Similarity: 3.46ppm DJEFQCAPILSMTL
|
Proposal # 911 Similarity: 3.47ppm WPBSDDFSJLZWRZ
|
Proposal # 912 Similarity: 3.48ppm ASAOGRREPQUDDY
|
|
Proposal # 913 Similarity: 3.49ppm BYKBCPGLDOLZOY
|
Proposal # 914 Similarity: 3.49ppm XYJNNZJZBMDHFQ
|
Proposal # 915 Similarity: 3.50ppm AMYNPLIQQYUZRF
|
|
Proposal # 916 Similarity: 3.50ppm MIUIUMKQFDMEFC
|
Proposal # 917 Similarity: 3.50ppm OQUKVEIVRXMABH
|
Proposal # 918 Similarity: 3.51ppm MUNONWQFLICFQL
|
|
Proposal # 919 Similarity: 3.51ppm QCEGRVDDEGLHNC
|
Proposal # 920 Similarity: 3.51ppm ZYSCDYPQPDCJTJ
|
Proposal # 921 Similarity: 3.51ppm SUDJFACFSJQGAI
|
|
Proposal # 922 Similarity: 3.51ppm QKPSJACUEGKIFR
|
Proposal # 923 Similarity: 3.52ppm AKDBHMZXVCUCMS
|
Proposal # 924 Similarity: 3.53ppm PLJSQCZXFICYSQ
|
|
Proposal # 925 Similarity: 3.53ppm ATHFLSCKOSGJMB
|
Proposal # 926 Similarity: 3.54ppm AECPORDXDHXWLJ
|
Proposal # 927 Similarity: 3.54ppm ZXJBNJIDGDWUAL
|
|
Proposal # 928 Similarity: 3.54ppm GTTAVNKCMCATRJ
|
Proposal # 929 Similarity: 3.57ppm HJTFTKFLICLVQU
|
Proposal # 930 Similarity: 3.58ppm YSDWADVJUKXBTC
|
|
Proposal # 931 Similarity: 3.59ppm GWFDYSNCRUAXPZ
|
Proposal # 932 Similarity: 3.59ppm MIFGWTKGASMKGK
|
Proposal # 933 Similarity: 3.60ppm NQQJDENYTGULTF
|
|
Proposal # 934 Similarity: 3.61ppm VKYVQIKGKKCYHU
|
Proposal # 935 Similarity: 3.61ppm NWMNEFWOMOQUTQ
|
Proposal # 936 Similarity: 3.64ppm ZQAGPGGGMHUBLW
|
|
Proposal # 937 Similarity: 3.65ppm DBEQARRTCUROBY
|
Proposal # 938 Similarity: 3.65ppm ZEGGBQKKHXKCHQ
|
Proposal # 939 Similarity: 3.66ppm VYSOAMSZRICDHR
|
|
Proposal # 940 Similarity: 3.66ppm ZKTFNDMCRKQVHU
|
Proposal # 941 Similarity: 3.66ppm WKLMUBHQAZKGSL
|
Proposal # 942 Similarity: 3.67ppm XUXUWJCOYDPBEQ
|
|
Proposal # 943 Similarity: 3.67ppm FAGZXOGTBZVTDU
|
Proposal # 944 Similarity: 3.68ppm URWHSLYGKDRTHU
|
Proposal # 945 Similarity: 3.69ppm OKKGABYSPSKOKU
|
|
Proposal # 946 Similarity: 3.70ppm WXPSLTIQDFZLCE
|
Proposal # 947 Similarity: 3.71ppm AGTSQKDXSCJZRF
|
Proposal # 948 Similarity: 3.71ppm UWWHIRAYURFXNG
|
|
Proposal # 949 Similarity: 3.74ppm UZMLHMPZTNYFPO
|
Proposal # 950 Similarity: 3.75ppm RJSBTIIVJLHUEU
|
Proposal # 951 Similarity: 3.76ppm FOPWPBJYMBWVHD
|
|
Proposal # 952 Similarity: 3.76ppm BKQSAMJBQKHQKL
|
Proposal # 953 Similarity: 3.78ppm SBHXQUUBGMMTRM
|
Proposal # 954 Similarity: 3.79ppm PPBJNWOFOOUIBL
|
|
Proposal # 955 Similarity: 3.79ppm KEHMSZMKGKOFEK
|
Proposal # 956 Similarity: 3.81ppm SZVRYGVVTUSBBM
|
Proposal # 957 Similarity: 3.82ppm BOUIWQLWVOGGOW
|
|
Proposal # 958 Similarity: 3.82ppm LUPQORCXUOLGGQ
|
Proposal # 959 Similarity: 3.83ppm HSAXRWJKAFAJEA
|
Proposal # 960 Similarity: 3.83ppm NJCHPSBPVMEGHH
|
|
Proposal # 961 Similarity: 3.83ppm GEGWOODZLOCMSO
|
Proposal # 962 Similarity: 3.84ppm SIDRRWFAVMEZHO
|
Proposal # 963 Similarity: 3.84ppm MOUCHENZWXZKGB
|
|
Proposal # 964 Similarity: 3.85ppm FKTNNORZPWIAFL
|
Proposal # 965 Similarity: 3.88ppm JIZAAPVVMYIROO
|
Proposal # 966 Similarity: 3.88ppm RPIZZOYPRHGQMY
|
|
Proposal # 967 Similarity: 3.89ppm MQKGBNOWSQVACU
|
Proposal # 968 Similarity: 3.90ppm LPVYACVOQWYNRQ
|
Proposal # 969 Similarity: 3.90ppm MNEGOIRDZXWLNW
|
|
Proposal # 970 Similarity: 3.91ppm OVLYDAHSXGKULS
|
Proposal # 971 Similarity: 3.92ppm IMVBGJXBTPREBW
|
Proposal # 972 Similarity: 3.92ppm PTNCMDQQYXBVRR
|
|
Proposal # 973 Similarity: 3.92ppm RLALIKHENOTZFI
|
Proposal # 974 Similarity: 3.93ppm IUBCKRNNUKTLSG
|
Proposal # 975 Similarity: 3.93ppm BIBUUFRBAIKKOC
|
|
Proposal # 976 Similarity: 3.93ppm SODASNFNNLHLQG
|
Proposal # 977 Similarity: 3.93ppm QUKJEWABDVQMPH
|
Proposal # 978 Similarity: 3.94ppm BPHBATLCTIRSRR
|
|
Proposal # 979 Similarity: 3.94ppm NZFHODVIQREMBF
|
Proposal # 980 Similarity: 3.95ppm LZTVYGSMOZDDOM
|
Proposal # 981 Similarity: 3.96ppm JHRIFVWSEGFULY
|
|
Proposal # 982 Similarity: 3.96ppm LMZXSFDVFMXUBT
|
Proposal # 983 Similarity: 3.96ppm FLAWJMXGQVRASQ
|
Proposal # 984 Similarity: 3.97ppm JHKMJHFIIHPTEX
|
|
Proposal # 985 Similarity: 3.97ppm UNGPUQLSSHITPO
|
Proposal # 986 Similarity: 3.97ppm FKHRXIZYFKXFFP
|
Proposal # 987 Similarity: 3.97ppm QXMQHJBQMLSTIL
|
|
Proposal # 988 Similarity: 3.97ppm XEDSTYDEDWLGDA
|
Proposal # 989 Similarity: 3.99ppm FAVSGLFPVODEAQ
|
Proposal # 990 Similarity: 4.03ppm KMRCGINCWKIDNV
|
|
Proposal # 991 Similarity: 4.08ppm VEEUPUWYSQRMEK
|
Proposal # 992 Similarity: 4.09ppm NIENUIXGVCSPQD
|
Proposal # 993 Similarity: 4.11ppm CNKMKDOECXWNNG
|
|
Proposal # 994 Similarity: 4.11ppm PCQQZLDPZLQSLR
|
Proposal # 995 Similarity: 4.12ppm HAMUKSPYSWPFNX
|
Proposal # 996 Similarity: 4.12ppm ZGAAEJLCADRCQU
|
|
Proposal # 997 Similarity: 4.13ppm PHPSOABFLNLWKP
|
Proposal # 998 Similarity: 4.14ppm WNEQCDZJNKNJFF
|
Proposal # 999 Similarity: 4.14ppm GSBSTSIOYANQQL
|
|
Proposal # 1000 Similarity: 4.14ppm YLUMFZYVGWKZOC
|
Proposal # 1001 Similarity: 4.16ppm FRBHBWDMGQIANU
|
Proposal # 1002 Similarity: 4.17ppm BJWJRVGHDXMSPV
|
|
Proposal # 1003 Similarity: 4.17ppm QELZLIMQJUDOMY
|
Proposal # 1004 Similarity: 4.18ppm MNXZRUAIKQJYAS
|
Proposal # 1005 Similarity: 4.20ppm KRDNPKYPXMDRKC
|
|
Proposal # 1006 Similarity: 4.21ppm XPCJRSMPXRQUOZ
|
Proposal # 1007 Similarity: 4.21ppm FBIBQVGUSIGBOZ
|
Proposal # 1008 Similarity: 4.22ppm BETPJLBYMOLTNG
|
|
Proposal # 1009 Similarity: 4.23ppm LRZMOEMWDZOTJF
|
Proposal # 1010 Similarity: 4.26ppm HFJSWUAUHAVIHG
|
Proposal # 1011 Similarity: 4.27ppm GFGRAZNSOFOKEA
|
|
Proposal # 1012 Similarity: 4.29ppm XJOCSAGFIFPWCP
|
Proposal # 1013 Similarity: 4.30ppm ILAIPNIWZRYQPD
|
Proposal # 1014 Similarity: 4.32ppm CFRLUYYQFHRZRA
|
|
Proposal # 1015 Similarity: 4.32ppm XTHVEDRQBWYQTR
|
Proposal # 1016 Similarity: 4.33ppm PFDPUCKXIQFZPR
|
Proposal # 1017 Similarity: 4.35ppm OXGYIVISSJLWQG
|
|
Proposal # 1018 Similarity: 4.36ppm FTFBYQCTBLTVBT
|
Proposal # 1019 Similarity: 4.37ppm UETGLYKDSLVLQI
|
Proposal # 1020 Similarity: 4.38ppm HOLRDVPALXKEFS
|
|
Proposal # 1021 Similarity: 4.38ppm WJNMPAIRUXRZQK
|
Proposal # 1022 Similarity: 4.41ppm UYLMEHTVXUAFQH
|
Proposal # 1023 Similarity: 4.45ppm HBTUIXFZYUOFNH
|
|
Proposal # 1024 Similarity: 4.45ppm APZIZLJUANQTHA
|
Proposal # 1025 Similarity: 4.45ppm RMIRVVDHRKNWQV
|
Proposal # 1026 Similarity: 4.47ppm FSJVIHRSRGEMOM
|
|
Proposal # 1027 Similarity: 4.47ppm CMXXDAZVQFKJAX
|
Proposal # 1028 Similarity: 4.48ppm ZLVUNTPBBLXVGS
|
Proposal # 1029 Similarity: 4.49ppm AWLAMAWFWZJNMQ
|
|
Proposal # 1030 Similarity: 4.50ppm BXQGXVPKZPFFKI
|
Proposal # 1031 Similarity: 4.50ppm CDTBYFOLYXLSLM
|
Proposal # 1032 Similarity: 4.52ppm DJSKULDCFRZGCX
|
|
Proposal # 1033 Similarity: 4.52ppm AMTUZBGAPHLCHD
|
Proposal # 1034 Similarity: 4.54ppm YGFMAMADZNAJFH
|
Proposal # 1035 Similarity: 4.55ppm CHKVWKPWJXJNNZ
|
|
Proposal # 1036 Similarity: 4.55ppm LHSHSMNNYXMUIN
|
Proposal # 1037 Similarity: 4.57ppm UOIVMYQVLFPAJO
|
Proposal # 1038 Similarity: 4.57ppm XHAZBLCBAOREKN
|
|
Proposal # 1039 Similarity: 4.58ppm KJFKFPWRURCVSE
|
Proposal # 1040 Similarity: 4.60ppm ZELFHKPIVTUSAB
|
Proposal # 1041 Similarity: 4.62ppm HQWONMWMBXWIJD
|
|
Proposal # 1042 Similarity: 4.64ppm UPMSLKPOEVIKME
|
Proposal # 1043 Similarity: 4.66ppm ZJVODZIWSVQTEA
|
Proposal # 1044 Similarity: 4.67ppm LTFVXCWKXFXNML
|
|
Proposal # 1045 Similarity: 4.67ppm POMYGCAOXYWKFU
|
Proposal # 1046 Similarity: 4.68ppm KWMPSOVEJNMTHY
|
Proposal # 1047 Similarity: 4.68ppm ZXUCLWDNMIZKIO
|
|
Proposal # 1048 Similarity: 4.68ppm RAWZMEYAJBCWIS
|
Proposal # 1049 Similarity: 4.68ppm MWOXFCOBKACUFM
|
Proposal # 1050 Similarity: 4.69ppm RTQXTHZSZZSWND
|
|
Proposal # 1051 Similarity: 4.69ppm VKNLVNQNNXHXAI
|
Proposal # 1052 Similarity: 4.70ppm IFGHNUOMPISLKV
|
Proposal # 1053 Similarity: 4.71ppm AJOMPJCRFPTMGC
|
|
Proposal # 1054 Similarity: 4.71ppm FEMMDAXZVSDAIH
|
Proposal # 1055 Similarity: 4.75ppm CCYRRCFIIXNMMK
|
Proposal # 1056 Similarity: 4.76ppm KCUMMVYVVCSRRW
|
|
Proposal # 1057 Similarity: 4.79ppm ANRDMQUWDSOTOA
|
Proposal # 1058 Similarity: 4.83ppm UWHZCCMVIPRZLS
|
Proposal # 1059 Similarity: 4.84ppm CDAMIXGPJJHQEH
|
|
Proposal # 1060 Similarity: 4.87ppm XGFRBFLVAUNUDH
|
Proposal # 1061 Similarity: 4.87ppm LEKHWFFYSAMERA
|
Proposal # 1062 Similarity: 4.92ppm PEOWPSHQPOOWIH
|
|
Proposal # 1063 Similarity: 4.93ppm OIYVQKPOFMIKCX
|
Proposal # 1064 Similarity: 5.05ppm IIBKMBDOEXOAGY
|
Proposal # 1065 Similarity: 5.10ppm CXRMPSCVHCHGJV
|
|
Proposal # 1066 Similarity: 5.10ppm DEGWCBTYHMYGBL
|
Proposal # 1067 Similarity: 5.10ppm VGJWKAYUXBJLDW
|
Proposal # 1068 Similarity: 5.16ppm SILNDLMYDHRPOE
|
|
Proposal # 1069 Similarity: 5.18ppm FFNPACUBRAICJB
|
Proposal # 1070 Similarity: 5.20ppm WAWXGWQTJWDCEB
|
Proposal # 1071 Similarity: 5.22ppm AULFQHCKJLXSCP
|
|
Proposal # 1072 Similarity: 5.26ppm BERDSZLWEKRTCA
|
Proposal # 1073 Similarity: 5.31ppm HXLIHAMFEYOIMM
|
Proposal # 1074 Similarity: 5.31ppm NCRQRURBVMJWRF
|
|
Proposal # 1075 Similarity: 5.35ppm NZGOROWFJUQOAM
|
Proposal # 1076 Similarity: 5.37ppm FITPNGFNJCLCRR
|
Proposal # 1077 Similarity: 5.45ppm RWJULWKDECZOMH
|
|
Proposal # 1078 Similarity: 5.52ppm HHWPVQFVUQESMR
|
Proposal # 1079 Similarity: 5.58ppm VGBGPSMXNZHLAE
|
Proposal # 1080 Similarity: 5.58ppm XGROFTOPGGDALE
|
|
Proposal # 1081 Similarity: 5.64ppm BSWJBECZHYKCTG
|
Proposal # 1082 Similarity: 5.85ppm DXOVMRHSLUIOJW
|
Proposal # 1083 Similarity: 5.86ppm JHGVBDSYJDLOAT
|
|
Proposal # 1084 Similarity: 5.87ppm COGGYNATWQEQAO
|
Proposal # 1085 Similarity: 5.97ppm YKEULAULBCHBJH
|
Proposal # 1086 Similarity: 5.98ppm QRBSZQIIDYJOON
|
|
Proposal # 1087 Similarity: 5.99ppm HVVHHJFCTNNAMD
|
Proposal # 1088 Similarity: 6.00ppm QKDUPHBTTMSSOO
|
Proposal # 1089 Similarity: 6.08ppm IIDXGWPJQGQUCE
|
|
Proposal # 1090 Similarity: 6.13ppm REQFAHVOFMCSOV
|
Proposal # 1091 Similarity: 6.13ppm PDVSDPFTFYYSGD
|
Proposal # 1092 Similarity: 6.13ppm DYMXVFBHGDLUQV
|
|
Proposal # 1093 Similarity: 6.18ppm KDWMLIJWFLUCMZ
|
Proposal # 1094 Similarity: 6.24ppm MYQMGBWNHNLQSI
|
Proposal # 1095 Similarity: 6.26ppm NOMOKGOUTRDSHK
|
|
Proposal # 1096 Similarity: 6.37ppm AHDWRUDRRSLWEK
|
Proposal # 1097 Similarity: 6.59ppm IHVRCMVHUDTKNG
|
Proposal # 1098 Similarity: 6.62ppm KWRNCBZUYNPNJC
|
|
Proposal # 1099 Similarity: 6.79ppm ZBNIJWBROXKJHV
|
Proposal # 1100 Similarity: 7.39ppm SLVXRJBKTOPJME
|
Proposal # 1101 Similarity: 7.56ppm XKAJELHLKIMYSX
|
|
Proposal # 50 Similarity: 1.36ppm CXPKYCXFLMPMEZ PUBCHEM
|
Summary of searching for alternative Structures
Project: CHEM.PHARM.BULL.,62,937[2014]CSEARCH-NUMBER:UWBT013934-20160521 | ||||||||||||||||
| ||||||||||||||||
| Your proposal | Best proposal | Best proposal (out of 1) which exists either in CSEARCH or PUBCHEM |
||||||||||||||
|
Deviation = 1.36 ppm Position = 50 |
Deviation = 1.07 ppm |
Deviation = 1.36 ppm Position = 50 |
||||||||||||||
Number of reasonable alternative structures: 35 Project: CHEM.PHARM.BULL.,62,937[2014]CSEARCH-NUMBER:UWBT013934-20160521 Compound: KIUSIANIN-A_3-BETA-HYDROXY-LANOSTANE-7,[24E]-DIEN-26-AL_COMPOUND-1 | ||||||||||||||||
![]() |
![]() |
![]() |
||||||||||||||
| ||||||||||||||||