Did you know ? |
The CSEARCH-databases used for the evaluation of your requests |
|
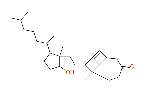
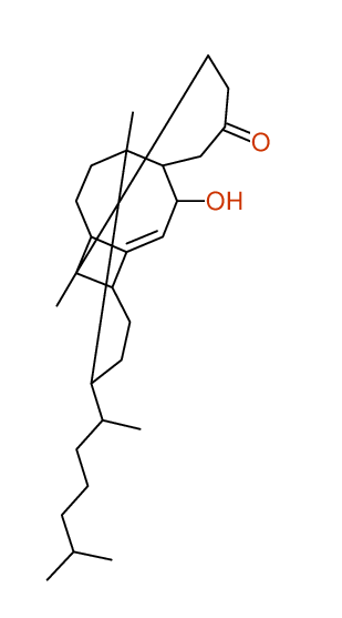
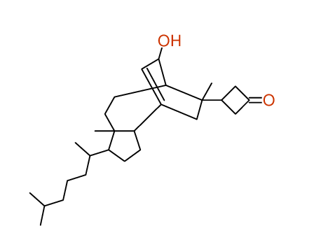
Request from: cpb.kiusianin@robien.org Compound: KIUSIANIN-C_6-BETA-HYDROXY-CHOLEST-7-EN-3-ONE_COMPOUND-3 Project: CHEM.PHARM.BULL.,62,937[2014]CSEARCH-NUMBER:UWBT013936-20150627 |
![]() |
|
Compound: KIUSIANIN-C_6-BETA-HYDROXY-CHOLEST-7-EN-3-ONE_COMPOUND-3 Project: CHEM.PHARM.BULL.,62,937[2014]CSEARCH-NUMBER:UWBT013936-20150627 |
|



| Carbon number | Chemical Shift Value | Multiplicity from Structure | Multiplicity from Experiment |
| 1 | 36.90 | T | - |
| 2 | 30.50 | T | - |
| 3 | 199.70 | S | - |
| 4 | 30.30 | T | - |
| 5 | 53.30 | D | - |
| 6 | 70.80 | D | - |
| 7 | 123.10 | D | - |
| 8 | 164.00 | S | - |
| 9 | 50.10 | D | - |
| 10 | 38.20 | S | - |
| 11 | 13.30 | Q | - |
| 12 | 21.90 | T | - |
| 13 | 38.90 | T | - |
| 14 | 44.50 | S | - |
| 15 | 12.40 | Q | - |
| 16 | 56.30 | D | - |
| 17 | 27.70 | T | - |
| 18 | 22.60 | T | - |
| 19 | 55.70 | D | - |
| 20 | 36.00 | D | - |
| 21 | 18.80 | Q | - |
| 22 | 36.00 | T | - |
| 23 | 23.80 | T | - |
| 24 | 39.40 | T | - |
| 25 | 28.00 | D | - |
| 26 | 22.60 | Q | - |
| 27 | 22.80 | Q | - |




| Checking lines & multiplicity | Carbons/Lines | Singlet | Dublet | Triplet | Quartet | Odd | Even | None |
| From structure | 27 | 4 | 8 | 10 | 5 | 14 | 13 | 0 |
| From spectrum | 27 | 4 | 8 | 10 | 5 | 14 | 13 | 0 |


| Carbon Number | Neural Network Prediction |
HOSE-Code Prediction |
Preferred Value from both Predictions |
Experimental values |
Difference (Exp-Pred/ppm) |
Assignment | Prediction Quality |
|---|---|---|---|---|---|---|---|
| 1 | 34.6 | 37.7 | 36.2 | 36.9 | 0.7 | Assigned by author Check assignment - maybe 36.00 ? |
Only reference material with low similarity |
| 2 | 38.1 | 37.5 | 37.7 | 30.5 | 7.2 | Assigned by author Check assignment - maybe 38.20 ? |
|
| 3 | 211.0 | 211.0 | 211.0 | 199.7 | 11.3 | Assigned by author | |
| 4 | 38.3 | 40.5 | 39.4 | 30.3 | 9.1 | Assigned by author Check assignment - maybe 39.40 ? |
Only reference material with low similarity |
| 5 | 45.7 | 43.2 | 45.7 | 53.3 | 7.6 | Assigned by author | Only reference material with low similarity |
| 6 | 66.7 | 72.7 | 66.7 | 70.8 | 4.1 | Assigned by author |
Large Difference between NET & HOSE Only reference material with low similarity |
| 7 | 123.3 | 132.0 | 123.3 | 123.1 | 0.2 | Assigned by author |
Large Difference between NET & HOSE Only reference material with low similarity |
| 8 | 140.8 | 141.6 | 141.5 | 164.0 | 22.5 | Assigned by author | |
| 9 | 50.2 | 49.0 | 49.3 | 50.1 | 0.8 | Assigned by author | |
| 10 | 35.3 | 35.2 | 35.3 | 38.2 | 2.9 | Assigned by author Check assignment - maybe 30.50 ? |
Only reference material with low similarity |
| 11 | 16.1 | 15.3 | 15.5 | 13.3 | 2.2 | Assigned by author | |
| 12 | 22.0 | 21.6 | 21.7 | 21.9 | 0.2 | Assigned by author | |
| 13 | 37.7 | 39.6 | 39.6 | 38.9 | 0.7 | Assigned by author Check assignment - maybe 30.30 ? |
|
| 14 | 44.4 | 44.1 | 44.1 | 44.5 | 0.4 | Assigned by author | |
| 15 | 13.3 | 12.4 | 12.4 | 12.4 | 0.0 | Assigned by author | |
| 16 | 56.1 | 56.4 | 56.4 | 56.3 | 0.1 | Assigned by author | |
| 17 | 28.2 | 28.4 | 28.4 | 27.7 | 0.7 | Assigned by author | |
| 18 | 23.7 | 23.4 | 23.4 | 22.6 | 0.8 | Assigned by author Check assignment - maybe 22.80 ? |
|
| 19 | 54.6 | 55.1 | 55.1 | 55.7 | 0.6 | Assigned by author | |
| 20 | 36.0 | 36.3 | 36.3 | 36.0 | 0.3 | Assigned by author Check assignment - maybe 36.90 ? |
|
| 21 | 18.7 | 19.0 | 19.0 | 18.8 | 0.2 | Assigned by author | |
| 22 | 36.7 | 36.1 | 36.1 | 36.0 | 0.1 | Assigned by author | |
| 23 | 24.3 | 24.0 | 24.0 | 23.8 | 0.2 | Assigned by author | |
| 24 | 39.4 | 39.4 | 39.4 | 39.4 | 0.0 | Assigned by author Check assignment - maybe 38.90 ? |
|
| 25 | 28.5 | 28.2 | 28.2 | 28.0 | 0.2 | Assigned by author | |
| 26 | 22.7 | 22.7 | 22.7 | 22.6 | 0.1 | Assigned by author | |
| 27 | 22.7 | 22.7 | 22.7 | 22.8 | 0.1 | Assigned by author Check assignment - maybe 22.60 ? |







| HOSE | NET | NET&HOSE | NONE |









| ||
![]() |
![]() |
|
![]()
Your evaluation was classified either as
"Major revision" or "Reject", |
|
| Experimental values | ||||
![]() | ||||
| Predicted values | ||||
![]() | ||||
| Matching map | ||||
![]() | ||||
| Deviation per position ( Average is 2.7ppm ) | ||||
![]() | ||||
![]() | ||||
| ||||
![]() | ||||
| Overall Similarity Index is 3.4 0.0 is a "perfect match", up to approximately 3.0 it is "reasonable", above 5.0 it is more or less "unbelievable" |
| ||
![]() |
![]() |
3 Requests have been launched by cpb.kiusianin@robien.org | |||||
Year |
Accept |
Minor Revision |
Major Revision |
Reject | Only Prediction |
| 2018 | 1 | 2 | |||
| Carbon | Experimental shift value |
NN-Value | Difference to experimental value |
HOSE-Value | Difference to experimental value |
Best-Value | Difference to experimental value |
Total Deviation |
| 1 | 36.90 | 34.56 | 2.34 | 37.74 | 0.84 | 36.15 | 0.75 | 3.93 |
| 2 | 30.50 | 38.12 | 7.62 | 37.52 | 7.02 | 37.67 | 7.17 | 21.82 |
| 3 | 199.70 | 210.97 | 11.27 | 211.02 | 11.32 | 210.99 | 11.29 | 33.88 |
| 4 | 30.30 | 38.31 | 8.01 | 40.49 | 10.19 | 39.40 | 9.10 | 27.30 |
| 5 | 53.30 | 45.69 | 7.61 | 43.21 | 10.09 | 45.69 | 7.61 | 25.32 |
| 6 | 70.80 | 66.72 | 4.08 | 72.71 | 1.91 | 66.72 | 4.08 | 10.07 |
| 7 | 123.10 | 123.27 | 0.17 | 131.99 | 8.89 | 123.27 | 0.17 | 9.24 |
| 8 | 164.00 | 140.84 | 23.16 | 141.63 | 22.38 | 141.47 | 22.53 | 68.06 |
| 9 | 50.10 | 50.16 | 0.06 | 48.95 | 1.15 | 49.25 | 0.85 | 2.06 |
| 10 | 38.20 | 35.34 | 2.86 | 35.18 | 3.02 | 35.26 | 2.94 | 8.82 |
| 11 | 13.30 | 16.07 | 2.77 | 15.31 | 2.01 | 15.50 | 2.20 | 6.98 |
| 12 | 21.90 | 22.00 | 0.10 | 21.58 | 0.32 | 21.66 | 0.24 | 0.67 |
| 13 | 38.90 | 37.75 | 1.15 | 39.64 | 0.74 | 39.64 | 0.74 | 2.63 |
| 14 | 44.50 | 44.41 | 0.09 | 44.10 | 0.40 | 44.10 | 0.40 | 0.89 |
| 15 | 12.40 | 13.33 | 0.93 | 12.41 | 0.01 | 12.41 | 0.01 | 0.95 |
| 16 | 56.30 | 56.06 | 0.24 | 56.44 | 0.14 | 56.44 | 0.14 | 0.52 |
| 17 | 27.70 | 28.22 | 0.52 | 28.42 | 0.72 | 28.42 | 0.72 | 1.96 |
| 18 | 22.60 | 23.66 | 1.06 | 23.40 | 0.80 | 23.40 | 0.80 | 2.66 |
| 19 | 55.70 | 54.65 | 1.05 | 55.10 | 0.60 | 55.10 | 0.60 | 2.25 |
| 20 | 36.00 | 36.02 | 0.02 | 36.28 | 0.28 | 36.28 | 0.28 | 0.58 |
| 21 | 18.80 | 18.73 | 0.07 | 19.01 | 0.21 | 19.01 | 0.21 | 0.50 |
| 22 | 36.00 | 36.67 | 0.67 | 36.05 | 0.05 | 36.05 | 0.05 | 0.78 |
| 23 | 23.80 | 24.34 | 0.54 | 23.98 | 0.18 | 23.98 | 0.18 | 0.89 |
| 24 | 39.40 | 39.36 | 0.04 | 39.43 | 0.03 | 39.43 | 0.03 | 0.09 |
| 25 | 28.00 | 28.52 | 0.52 | 28.19 | 0.19 | 28.19 | 0.19 | 0.91 |
| 26 | 22.60 | 22.74 | 0.14 | 22.65 | 0.05 | 22.65 | 0.05 | 0.24 |
| 27 | 22.80 | 22.74 | 0.06 | 22.65 | 0.15 | 22.65 | 0.15 | 0.36 |
| 2.86 | 3.10 | 2.72 | 8.68 |


|
| |
|
Structure Proposal # 1 AVFLDWQHIWZEHL Deviation = 0.79ppm
Search WEB for skeleton Compound from PUBCHEM |
|
![]()
|
|
|
Structure Proposal # 2 VGLPMHUEAJTQBR Deviation = 0.96ppm
Search WEB for skeleton |
|
![]()
|
|
|
Structure Proposal # 3 ZKTIEHLXAOPEHR Deviation = 1.01ppm
Search WEB for skeleton |
|
![]()
|
|
|
Structure Proposal # 4 QDPBEVFYBKMDFR Deviation = 1.05ppm
Search WEB for skeleton |
|
![]()
|
|
|
Structure Proposal # 5 RGFKDZISHHCBNY Deviation = 1.12ppm
Search WEB for skeleton |
|
![]()
|
|
|
Structure Proposal # 6 WZEOKYLZUWXWEA Deviation = 1.13ppm
Search WEB for skeleton |
|
![]()
|
|
|
Structure Proposal # 7 MDOPOZXBIYASRK Deviation = 1.16ppm
Search WEB for skeleton |
|
![]()
|
|
|
Structure Proposal # 8 WALQVBVNXVDURD Deviation = 1.22ppm
Search WEB for skeleton |
|
![]()
|
|
|
Structure Proposal # 9 DNMRWWKZAWBTEP Deviation = 1.27ppm
Search WEB for skeleton |
|
![]()
|
|
|
Structure Proposal # 10 ZAOYHWUWYMKWGI Deviation = 1.29ppm
Search WEB for skeleton |
|
![]()
|
|
|
Structure Proposal # 11 XGLZWOYLFJALEZ Deviation = 1.32ppm
Search WEB for skeleton |
|
![]()
|
|
|
Structure Proposal # 12 VHKYYZJNXWXNGA Deviation = 1.32ppm
Search WEB for skeleton |
|
![]()
|
|
|
Structure Proposal # 13 ZQFCVMVFQJGYBI Deviation = 1.33ppm
Search WEB for skeleton |
|
![]()
|
|
|
Structure Proposal # 14 HFXMRHOCLCSWOQ Deviation = 1.40ppm
Search WEB for skeleton |
|
![]()
|
|
|
Structure Proposal # 15 XUBIQPCNOGDIOO Deviation = 1.41ppm
Search WEB for skeleton |
|
![]()
|
|
|
Structure Proposal # 16 XOAHXRFOMODKIL Deviation = 1.41ppm
Search WEB for skeleton |
|
![]()
|
|
|
Structure Proposal # 17 YAWDFDKXFRVNTM Deviation = 1.42ppm
Search WEB for skeleton |
|
![]()
|
|
|
Structure Proposal # 18 WIDYXBGQHYEHAU Deviation = 1.42ppm
Search WEB for skeleton |
|
![]()
|
|
|
Structure Proposal # 19 LUBIFAQRPVZGEO Deviation = 1.43ppm
Search WEB for skeleton |
|
![]()
|
|
|
Structure Proposal # 20 VHGHHSILJPCZGH Deviation = 1.43ppm
Search WEB for skeleton |
|
![]()
|
|
|
Structure Proposal # 21 CGUCUJPGTIRUQP Deviation = 1.44ppm
Search WEB for skeleton |
|
![]()
|
|
|
Structure Proposal # 22 QFWJXUMEPQQQJJ Deviation = 1.45ppm
Search WEB for skeleton |
|
![]()
|
|
|
Structure Proposal # 23 VEBLHAQCRGGART Deviation = 1.45ppm
Search WEB for skeleton |
|
![]()
|
|
|
Structure Proposal # 24 QMJQCLYPDJPSFY Deviation = 1.46ppm
Search WEB for skeleton |
|
![]()
|
|
|
Structure Proposal # 25 USPMORJCROOAEN Deviation = 1.47ppm
Search WEB for skeleton |
|
![]()
|
|
|
Structure Proposal # 26 QOPMCHZVTGFLTM Deviation = 1.48ppm
Search WEB for skeleton |
|
![]()
|
|
|
Structure Proposal # 27 VVLNXJMNOQHTMI Deviation = 1.54ppm
Search WEB for skeleton |
|
![]()
|
|
|
Structure Proposal # 28 NXVCJFLYOUIXIS Deviation = 1.56ppm
Search WEB for skeleton |
|
![]()
|
|
|
Structure Proposal # 29 ZWQAJPKNMCFHTP Deviation = 1.56ppm
Search WEB for skeleton |
|
![]()
|
|
|
Structure Proposal # 30 USKGKWCUCYRLED Deviation = 1.59ppm
Search WEB for skeleton respect to your proposal |
|
![]()
|
|
|
Structure Proposal # 31 WDBDZOYMAUWBLP Deviation = 1.60ppm
Search WEB for skeleton |
|
![]()
|
|
|
Structure Proposal # 32 WSBWNQXIIHTBSN Deviation = 1.60ppm
Search WEB for skeleton |
|
![]()
|
|
|
Structure Proposal # 33 MCIFLTOBDISLFI Deviation = 1.60ppm
Search WEB for skeleton |
|
![]()
|
|
|
Structure Proposal # 34 YFJDZZIPFMVCSR Deviation = 1.62ppm
Search WEB for skeleton |
|
![]()
|
|
|
Structure Proposal # 35 JWDQIBOGVXSUSQ Deviation = 1.65ppm
Search WEB for skeleton |
|
![]()
|
|
|
Structure Proposal # 36 LLCJUWYXDBIJCK Deviation = 1.67ppm
Search WEB for skeleton respect to your proposal |
|
![]()
|
|
|
Structure Proposal # 37 AEIADIAICSBWFO Deviation = 1.68ppm
Search WEB for skeleton |
|
![]()
|
|
|
Structure Proposal # 38 DQZNQUMECHGQGV Deviation = 1.70ppm
Search WEB for skeleton |
|
![]()
|
|
|
Structure Proposal # 39 MHHLKWYYWMBVEQ Deviation = 1.71ppm
Search WEB for skeleton |
|
![]()
|
|
|
Structure Proposal # 40 QCBQWOBIRQZFNN Deviation = 1.72ppm
Search WEB for skeleton |
|
![]()
|
|
|
Structure Proposal # 41 SALAONBAGWJCLY Deviation = 1.72ppm
Search WEB for skeleton |
|
![]()
|
|
|
Structure Proposal # 42 QDJQICKQHIYPNG Deviation = 1.75ppm
Search WEB for skeleton |
|
![]()
|
|
|
Structure Proposal # 43 IKTOUDKNRZXENR Deviation = 1.76ppm
Search WEB for skeleton respect to your proposal |
|
![]()
|
|
|
Structure Proposal # 44 RZASBEQMBZVXQQ Deviation = 1.78ppm
Search WEB for skeleton |
|
![]()
|
|
|
Structure Proposal # 45 DKIGPKNDYPYVRV Deviation = 1.78ppm
Search WEB for skeleton |
|
![]()
|
|
|
Structure Proposal # 46 SMJWGIOHHICURL Deviation = 1.79ppm
Search WEB for skeleton |
|
![]()
|
|
|
Structure Proposal # 47 ITCYIAHDTBKDHA Deviation = 1.80ppm
Search WEB for skeleton respect to your proposal |
|
![]()
|
|
|
Structure Proposal # 48 IUYXKXDMUJNSKY Deviation = 1.82ppm
Search WEB for skeleton |
|
![]()
|
|
|
Structure Proposal # 49 WGRBCKIDJBHFQF Deviation = 1.85ppm
Search WEB for skeleton respect to your proposal |
|
![]()
|
|
|
Structure Proposal # 50 YQXBWYHHXAVEGY Deviation = 1.87ppm
Search WEB for skeleton |
|
![]()
|
|
|
Structure Proposal # 51 HUTLVQITFUQOEM Deviation = 1.87ppm
Search WEB for skeleton respect to your proposal |
|
![]()
|
|
|
Structure Proposal # 52 NPEOSBGCBJWUIM Deviation = 1.88ppm
Search WEB for skeleton |
|
![]()
|
|
|
Structure Proposal # 53 GLSZVGXBPUVAMQ Deviation = 1.94ppm
Search WEB for skeleton |
|
![]()
|
|
|
Structure Proposal # 54 NUQORRWHBBDIKR Deviation = 1.94ppm
Search WEB for skeleton respect to your proposal |
|
![]()
|
|
|
Structure Proposal # 55 ITHOTGPLEVXTRV Deviation = 1.95ppm
Search WEB for skeleton |
|
![]()
|
|
|
Structure Proposal # 56 HWHOWBNBWMZGJZ Deviation = 1.95ppm
Search WEB for skeleton |
|
![]()
|
|
|
Structure Proposal # 57 RIMOUTFMNJBVMR Deviation = 1.96ppm
Search WEB for skeleton |
|
![]()
|
|
|
Structure Proposal # 58 ZNPIXFVWHVQBMK Deviation = 1.96ppm
Search WEB for skeleton |
|
![]()
|
|
|
Structure Proposal # 59 CVJPKMGCVIUKLR Deviation = 1.98ppm
Search WEB for skeleton |
|
![]()
|
|
|
Structure Proposal # 60 CLNWSEWODNJBEJ Deviation = 1.98ppm
Search WEB for skeleton |
|
![]()
|
|
|
Structure Proposal # 61 VGTNKDYFPOKFTK Deviation = 2.00ppm
Search WEB for skeleton |
|
![]()
|
|
|
Structure Proposal # 62 GHFXGIJGNXGVTB Deviation = 2.01ppm
Search WEB for skeleton |
|
![]()
|
|
|
Structure Proposal # 63 CWLYSLCQASAXKC Deviation = 2.03ppm
Search WEB for skeleton |
|
![]()
|
|
|
Structure Proposal # 64 VTZCSBRUAVIHMF Deviation = 2.03ppm
Search WEB for skeleton |
|
![]()
|
|
|
Structure Proposal # 65 RMGRTCAEZWGSIT Deviation = 2.03ppm
Search WEB for skeleton |
|
![]()
|
|
|
Structure Proposal # 66 HICAWGIWTJLYPK Deviation = 2.06ppm
Search WEB for skeleton |
|
![]()
|
|
|
Structure Proposal # 67 OKNJHNJQSFKTLW Deviation = 2.07ppm
Search WEB for skeleton |
|
![]()
|
|
|
Structure Proposal # 68 XELKIRIVAMGYOR Deviation = 2.09ppm
Search WEB for skeleton respect to your proposal |
|
![]()
|
|
|
Structure Proposal # 69 UWFCEHVJOWEMQV Deviation = 2.09ppm
Search WEB for skeleton |
|
![]()
|
|
|
Structure Proposal # 70 VUCDSTCRVYGRSG Deviation = 2.09ppm
Search WEB for skeleton Compound from PUBCHEM CSEARCH ![]() |
|
![]()
|
|
|
Structure Proposal # 71 JZXJHXFNDPMKMY Deviation = 2.10ppm
Search WEB for skeleton respect to your proposal |
|
![]()
|
|
|
Structure Proposal # 72 NBKFMGOPGMNFAM Deviation = 2.12ppm
Search WEB for skeleton |
|
![]()
|
|
|
Structure Proposal # 73 CWIBBIJKKMYSKX Deviation = 2.13ppm
Search WEB for skeleton |
|
![]()
|
|
|
Structure Proposal # 74 GGJUQYPPOWKZPL Deviation = 2.14ppm
Search WEB for skeleton |
|
![]()
|
|
|
Structure Proposal # 75 OZJXSRPBQQJFPZ Deviation = 2.15ppm
Search WEB for skeleton respect to your proposal |
|
![]()
|
|
|
Structure Proposal # 76 JVVGFDQAOVCWFX Deviation = 2.15ppm
Search WEB for skeleton |
|
![]()
|
|
|
Structure Proposal # 77 OGTBGJVZPISWKC Deviation = 2.18ppm
Search WEB for skeleton |
|
![]()
|
|
|
Structure Proposal # 78 NTBBHUFEFYVHOS Deviation = 2.19ppm
Search WEB for skeleton |
|
![]()
|
|
|
Structure Proposal # 79 VTZWLWRMKPNDOM Deviation = 2.20ppm
Search WEB for skeleton |
|
![]()
|
|
|
Structure Proposal # 80 JGZRYEHWTONZTP Deviation = 2.23ppm
Search WEB for skeleton |
|
![]()
|
|
|
Structure Proposal # 81 KVKSIOHFFUIVFK Deviation = 2.31ppm
Search WEB for skeleton |
|
![]()
|
|
|
Structure Proposal # 82 QZAOUPKDNWPAJJ Deviation = 2.34ppm
Search WEB for skeleton respect to your proposal |
|
![]()
|
|
|
Structure Proposal # 83 VGPPBWGMFSILLZ Deviation = 2.35ppm
Search WEB for skeleton respect to your proposal |
|
![]()
|
|
|
Structure Proposal # 84 OGBAIBZUAFLBQQ Deviation = 2.35ppm
Search WEB for skeleton |
|
![]()
|
|
|
Structure Proposal # 85 OJVFSMPLUCLZOD Deviation = 2.35ppm
Search WEB for skeleton |
|
![]()
|
|
|
Structure Proposal # 86 RDPLDKSCNMDICY Deviation = 2.36ppm
Search WEB for skeleton respect to your proposal |
|
![]()
|
|
|
Structure Proposal # 87 VVGBYLYTKPLNMH Deviation = 2.37ppm
Search WEB for skeleton |
|
![]()
|
|
|
Structure Proposal # 88 ADZFTMLHASXOTP Deviation = 2.39ppm
Search WEB for skeleton |
|
![]()
|
|
|
Structure Proposal # 89 KLVBQVHUBPJYLY Deviation = 2.39ppm
Search WEB for skeleton |
|
![]()
|
|
|
Structure Proposal # 90 LTRWNINRQNWNND Deviation = 2.40ppm
Search WEB for skeleton respect to your proposal |
|
![]()
|
|
|
Structure Proposal # 91 YXPUSOGQUHLJMN Deviation = 2.41ppm
Search WEB for skeleton |
|
![]()
|
|
|
Structure Proposal # 92 VZWWYPNWPHQZNK Deviation = 2.41ppm
Search WEB for skeleton |
|
![]()
|
|
|
Structure Proposal # 93 GDVBWCWGZAGZSQ Deviation = 2.45ppm
Search WEB for skeleton |
|
![]()
|
|
|
Structure Proposal # 94 NVPQNZYINUEXON Deviation = 2.45ppm
Search WEB for skeleton |
|
![]()
|
|
|
Structure Proposal # 95 ZUSFGSMDVBTDIR Deviation = 2.45ppm
Search WEB for skeleton respect to your proposal |
|
![]()
|
|
|
Structure Proposal # 96 HCTXIHCTGWWJKV Deviation = 2.45ppm
Search WEB for skeleton |
|
![]()
|
|
|
Structure Proposal # 97 NBUQOYPIGMHJAH Deviation = 2.49ppm
Search WEB for skeleton |
|
![]()
|
|
|
Structure Proposal # 98 YSAAADBSDAJERZ Deviation = 2.49ppm
Search WEB for skeleton respect to your proposal |
|
![]()
|
|
|
Structure Proposal # 99 UQIHYBKHHAJBST Deviation = 2.50ppm
Search WEB for skeleton |
|
![]()
|
|
|
Structure Proposal # 100 UKUGVRIOLGRNKG Deviation = 2.52ppm
Search WEB for skeleton |
|
![]()
|
|
|
Structure Proposal # 101 ZWFKFIRDJQSFDB Deviation = 2.52ppm
Search WEB for skeleton respect to your proposal |
|
![]()
|
|
|
Structure Proposal # 102 KFGQAGWKYLLAOZ Deviation = 2.53ppm
Search WEB for skeleton |
|
![]()
|
|
|
Structure Proposal # 103 WRNBZCRTYSVUKG Deviation = 2.53ppm
Search WEB for skeleton |
|
![]()
|
|
|
Structure Proposal # 104 PREBEMXRYODFLT Deviation = 2.53ppm
Search WEB for skeleton |
|
![]()
|
|
|
Structure Proposal # 105 FYLJFILQZDQTRM Deviation = 2.54ppm
Search WEB for skeleton |
|
![]()
|
|
|
Structure Proposal # 106 MYQJICOGEYJXBT Deviation = 2.54ppm
Search WEB for skeleton respect to your proposal |
|
![]()
|
|
|
Structure Proposal # 107 ZWOSYYRVLPUDMC Deviation = 2.56ppm
Search WEB for skeleton |
|
![]()
|
|
|
Structure Proposal # 108 ZMANWTMKOUDGRE Deviation = 2.56ppm
Search WEB for skeleton |
|
![]()
|
|
|
Structure Proposal # 109 OGJBRRKHHKIENW Deviation = 2.56ppm
Search WEB for skeleton |
|
![]()
|
|
|
Structure Proposal # 110 QBTMBHLXHQZLRC Deviation = 2.56ppm
Search WEB for skeleton |
|
![]()
|
|
|
Structure Proposal # 111 IWGPACMUVVCEKZ Deviation = 2.56ppm
Search WEB for skeleton |
|
![]()
|
|
|
Structure Proposal # 112 LCFPQICFYDRDMO Deviation = 2.57ppm
Search WEB for skeleton respect to your proposal Compound from PUBCHEM |
|
![]()
|
|
|
Structure Proposal # 113 NGSDTBLIJDWXHQ Deviation = 2.57ppm
Search WEB for skeleton respect to your proposal |
|
![]()
|
|
|
Structure Proposal # 114 NFYMWLNEORXTHC Deviation = 2.57ppm
Search WEB for skeleton respect to your proposal |
|
![]()
|
|
|
Structure Proposal # 115 UPGHIUZGAQGJNV Deviation = 2.58ppm
Search WEB for skeleton |
|
![]()
|
|
|
Structure Proposal # 116 JRGCFPKFMKOQOV Deviation = 2.58ppm
Search WEB for skeleton respect to your proposal |
|
![]()
|
|
|
Structure Proposal # 117 GZSOCPAGKHTPFM Deviation = 2.59ppm
Search WEB for skeleton |
|
![]()
|
|
|
Structure Proposal # 118 PHOGFDCVJBOLBM Deviation = 2.59ppm
Search WEB for skeleton |
|
![]()
|
|
|
Structure Proposal # 119 PDVDRBYRQUMKFO Deviation = 2.60ppm
Search WEB for skeleton |
|
![]()
|
|
|
Structure Proposal # 120 LVUGPFSQFLNQLR Deviation = 2.62ppm
Search WEB for skeleton |
|
![]()
|
|
|
Structure Proposal # 121 WTIIESRMCNDDNP Deviation = 2.62ppm
Search WEB for skeleton respect to your proposal |
|
![]()
|
|
|
Structure Proposal # 122 MAWZFENYHUNWDM Deviation = 2.62ppm
Search WEB for skeleton |
|
![]()
|
|
|
Structure Proposal # 123 KVKWDUAKIVKFFD Deviation = 2.62ppm
Search WEB for skeleton respect to your proposal |
|
![]()
|
|
|
Structure Proposal # 124 XKZYYWCWEXFGGF Deviation = 2.63ppm
Search WEB for skeleton |
|
![]()
|
|
|
Structure Proposal # 125 IAHYOHYNYJVYEZ Deviation = 2.63ppm
Search WEB for skeleton |
|
![]()
|
|
|
Structure Proposal # 126 MTEJNRPARVOZEH Deviation = 2.64ppm
Search WEB for skeleton |
|
![]()
|
|
|
Structure Proposal # 127 QODIARDOPXSJKG Deviation = 2.65ppm
Search WEB for skeleton |
|
![]()
|
|
|
Structure Proposal # 128 BUUGTBJSQUPIQQ Deviation = 2.65ppm
Search WEB for skeleton respect to your proposal |
|
![]()
|
|
|
Structure Proposal # 129 RXJQXXUTTMLUFD Deviation = 2.66ppm
Search WEB for skeleton respect to your proposal |
|
![]()
|
|
|
Structure Proposal # 130 GWQPSLLGGVKODA Deviation = 2.66ppm
Search WEB for skeleton |
|
![]()
|
|
|
Structure Proposal # 131 ZMHHWPNFJKIXRB Deviation = 2.66ppm
Search WEB for skeleton |
|
![]()
|
|
|
Structure Proposal # 132 FYIWBJFOHJXJHI Deviation = 2.67ppm
Search WEB for skeleton |
|
![]()
|
|
|
Structure Proposal # 133 KGRVPTQLTORFRM Deviation = 2.69ppm
Search WEB for skeleton respect to your proposal |
|
![]()
|
|
|
Structure Proposal # 134 DYQHRRRKZBBXAJ Deviation = 2.70ppm
Search WEB for skeleton |
|
![]()
|
|
|
Structure Proposal # 135 DSAZEJHPVXVUPB Deviation = 2.70ppm
Search WEB for skeleton |
|
![]()
|
|
|
Structure Proposal # 136 YLOLSSPLJUGAQF Deviation = 2.72ppm
Search WEB for skeleton |
|
![]()
|
|
|
Structure Proposal # 137 QLMYRXTYZFZDRO Deviation = 2.72ppm
Search WEB for skeleton |
|
![]()
|
|
|
Structure Proposal # 138 SEHLCNWELRWWQX Deviation = 2.73ppm
Search WEB for skeleton respect to your proposal |
|
![]()
|
|
|
Structure Proposal # 139 MTIGRKQWUUWOID Deviation = 2.75ppm
Search WEB for skeleton |
|
![]()
|
|
|
Structure Proposal # 140 RGNUQBDGRYONEP Deviation = 2.76ppm
Search WEB for skeleton |
|
![]()
|
|
|
Structure Proposal # 141 DPZRDXOUXCYNJA Deviation = 2.76ppm
Search WEB for skeleton respect to your proposal |
|
![]()
|
|
|
Structure Proposal # 142 MPXGIMKIPRNSNV Deviation = 2.77ppm
Search WEB for skeleton |
|
![]()
|
|
|
Structure Proposal # 143 NBEJYLKDCNXWAL Deviation = 2.77ppm
Search WEB for skeleton |
|
![]()
|
|
|
Structure Proposal # 144 MZRONUURBLAANV Deviation = 2.78ppm
Search WEB for skeleton |
|
![]()
|
|
|
Structure Proposal # 145 BKLAMHCEQHOOMM Deviation = 2.79ppm
Search WEB for skeleton |
|
![]()
|
|
|
Structure Proposal # 146 NFCKRABYXZCGIC Deviation = 2.79ppm
Search WEB for skeleton |
|
![]()
|
|
|
Structure Proposal # 147 GPIPOQMZAJBDDJ Deviation = 2.79ppm
Search WEB for skeleton |
|
![]()
|
|
|
Structure Proposal # 148 DJTLSNQTGFRWNH Deviation = 2.80ppm
Search WEB for skeleton |
|
![]()
|
|
|
Structure Proposal # 149 CPEVFTPRNVSCRC Deviation = 2.81ppm
Search WEB for skeleton |
|
![]()
|
|
|
Structure Proposal # 150 FWJJWBRLFYHAQY Deviation = 2.81ppm
Search WEB for skeleton |
|
![]()
|
|
|
Structure Proposal # 151 LHHTXKWWZKZYQM Deviation = 2.81ppm
Search WEB for skeleton |
|
![]()
|
|
|
Structure Proposal # 152 JMFFLZLKOXCKOD Deviation = 2.82ppm
Search WEB for skeleton |
|
![]()
|
|
|
Structure Proposal # 153 CMSBSETUKIUXKA Deviation = 2.83ppm
Search WEB for skeleton |
|
![]()
|
|
|
Structure Proposal # 154 UKYSLVKQLBDZLY Deviation = 2.83ppm
Search WEB for skeleton |
|
![]()
|
|
|
Structure Proposal # 155 JERZLXIXRYVRPO Deviation = 2.83ppm
Search WEB for skeleton |
|
![]()
|
|
|
Structure Proposal # 156 NVPKWLHEZXIZRO Deviation = 2.83ppm
Search WEB for skeleton respect to your proposal |
|
![]()
|
|
|
Structure Proposal # 157 WBBRHWMUXRSLMG Deviation = 2.83ppm
Search WEB for skeleton respect to your proposal |
|
![]()
|
|
|
Structure Proposal # 158 DCSYCZHJKHTOIW Deviation = 2.85ppm
Search WEB for skeleton |
|
![]()
|
|
|
Structure Proposal # 159 KOAGFFYXYGNXJL Deviation = 2.85ppm
Search WEB for skeleton respect to your proposal |
|
![]()
|
|
|
Structure Proposal # 160 UXEBIBDJOSRIAN Deviation = 2.85ppm
Search WEB for skeleton |
|
![]()
|
|
|
Structure Proposal # 161 RVBFOBCVSFWYDY Deviation = 2.86ppm
Search WEB for skeleton |
|
![]()
|
|
|
Structure Proposal # 162 GJQOMVCEYOXCEQ Deviation = 2.86ppm
Search WEB for skeleton respect to your proposal |
|
![]()
|
|
|
Structure Proposal # 163 IOQZWWWLVQEFEQ Deviation = 2.86ppm
Search WEB for skeleton |
|
![]()
|
|
|
Structure Proposal # 164 HESAEHMDNVRWGX Deviation = 2.87ppm
Search WEB for skeleton respect to your proposal |
|
![]()
|
|
|
Structure Proposal # 165 BOHWBJVPRQRMMD Deviation = 2.88ppm
Search WEB for skeleton respect to your proposal |
|
![]()
|
|
|
Structure Proposal # 166 KUYIGSNWYJWJKI Deviation = 2.88ppm
Search WEB for skeleton |
|
![]()
|
|
|
Structure Proposal # 167 CDVPXDZPWHILMV Deviation = 2.89ppm
Search WEB for skeleton |
|
![]()
|
|
|
Structure Proposal # 168 QKJBHDXKROODIM Deviation = 2.89ppm
Search WEB for skeleton |
|
![]()
|
|
|
Structure Proposal # 169 NAYBNBPWOKHRQW Deviation = 2.89ppm
Search WEB for skeleton |
|
![]()
|
|
|
Structure Proposal # 170 JGOQQFULUWPKPJ Deviation = 2.89ppm
Search WEB for skeleton |
|
![]()
|
|
|
Structure Proposal # 171 GTAVNYGIMJNMRN Deviation = 2.90ppm
Search WEB for skeleton |
|
![]()
|
|
|
Structure Proposal # 172 GLVNJDNKCLPMJK Deviation = 2.90ppm
Search WEB for skeleton |
|
![]()
|
|
|
Structure Proposal # 173 YFFUNVWPDPPESC Deviation = 2.90ppm
Search WEB for skeleton respect to your proposal |
|
![]()
|
|
|
Structure Proposal # 174 WCZVKHYSHKJGAD Deviation = 2.91ppm
Search WEB for skeleton |
|
![]()
|
|
|
Structure Proposal # 175 YBOQTHPJDKSVGC Deviation = 2.91ppm
Search WEB for skeleton respect to your proposal |
|
![]()
|
|
|
Structure Proposal # 176 DCKOUAAVLRFCDA Deviation = 2.91ppm
Search WEB for skeleton |
|
![]()
|
|
|
Structure Proposal # 177 YWEWQDXAUMZCNW Deviation = 2.92ppm
Search WEB for skeleton |
|
![]()
|
|
|
Structure Proposal # 178 MXFCNWLZOGUTES Deviation = 2.92ppm
Search WEB for skeleton |
|
![]()
|
|
|
Structure Proposal # 179 MZTFHGDKJSLHTH Deviation = 2.92ppm
Search WEB for skeleton |
|
![]()
|
|
|
Structure Proposal # 180 LBCUXRCIOKQRIL Deviation = 2.92ppm
Search WEB for skeleton |
|
![]()
|
|
|
Structure Proposal # 181 LUBSCKFENVYTKX Deviation = 2.93ppm
Search WEB for skeleton |
|
![]()
|
|
|
Structure Proposal # 182 HFPKSVIAFBVGOT Deviation = 2.93ppm
Search WEB for skeleton |
|
![]()
|
|
|
Structure Proposal # 183 VWZTVVRYZCQORU Deviation = 2.93ppm
Search WEB for skeleton respect to your proposal |
|
![]()
|
|
|
Structure Proposal # 184 XJHJIOCBDJVPAQ Deviation = 2.95ppm
Search WEB for skeleton |
|
![]()
|
|
|
Structure Proposal # 185 UJPYCSASFLCXRC Deviation = 2.95ppm
Search WEB for skeleton |
|
![]()
|
|
|
Structure Proposal # 186 OJAVGQZRZQOYKG Deviation = 2.96ppm
Search WEB for skeleton |
|
![]()
|
|
|
Structure Proposal # 187 RMNYLTNTKUCEBU Deviation = 2.97ppm
Search WEB for skeleton |
|
![]()
|
|
|
Structure Proposal # 188 ARPPLVCUMKJQRV Deviation = 2.99ppm
Search WEB for skeleton respect to your proposal |
|
![]()
|
|
|
Structure Proposal # 189 PPYPESQTMORMHE Deviation = 2.99ppm
Search WEB for skeleton respect to your proposal |
|
![]()
|
|
|
Structure Proposal # 190 CNPKUYXKSXTORR Deviation = 2.99ppm
Search WEB for skeleton |
|
![]()
|
|
|
Structure Proposal # 191 JCFIEDNGWSXZEH Deviation = 3.00ppm
Search WEB for skeleton |
|
![]()
|
|
|
Structure Proposal # 192 QPKFEKDBBPJIKG Deviation = 3.00ppm
Search WEB for skeleton |
|
![]()
|
|
|
Structure Proposal # 193 VDKGRVRKXMXYTG Deviation = 3.00ppm
Search WEB for skeleton |
|
![]()
|
|
|
Structure Proposal # 194 GJWPSRLQXNJMIE Deviation = 3.00ppm
Search WEB for skeleton |
|
![]()
|
|
|
Structure Proposal # 195 KOQXUEISPAMETL Deviation = 3.00ppm
Search WEB for skeleton |
|
![]()
|
|
|
Structure Proposal # 196 LDVZQAXGXPDPHL Deviation = 3.00ppm
Search WEB for skeleton |
|
![]()
|
|
|
Structure Proposal # 197 CWOMJRRHANJZQH Deviation = 3.01ppm
Search WEB for skeleton |
|
![]()
|
|
|
Structure Proposal # 198 BJSOMINHOFLEDZ Deviation = 3.01ppm
Search WEB for skeleton respect to your proposal |
|
![]()
|
|
|
Structure Proposal # 199 QBZDZCHNKOPYSA Deviation = 3.01ppm
Search WEB for skeleton |
|
![]()
|
|
|
Structure Proposal # 200 DAPVXLCBYZZRKU Deviation = 3.01ppm
Search WEB for skeleton |
|
![]()
|
|
|
Structure Proposal # 201 BYAYSFYWQBLQGC Deviation = 3.01ppm
Search WEB for skeleton respect to your proposal |
|
![]()
|
|
|
Structure Proposal # 202 ZIQCKQBMGUBIKT Deviation = 3.01ppm
Search WEB for skeleton |
|
![]()
|
|
|
Structure Proposal # 203 LZYFUNGKHLMIHS Deviation = 3.02ppm
Search WEB for skeleton |
|
![]()
|
|
|
Structure Proposal # 204 NBGGYWMSSWLLKA Deviation = 3.02ppm
Search WEB for skeleton |
|
![]()
|
|
|
Structure Proposal # 205 HKOXDWNWZAHICE Deviation = 3.03ppm
Search WEB for skeleton |
|
![]()
|
|
|
Structure Proposal # 206 NVJDIPFPEHXDEW Deviation = 3.04ppm
Search WEB for skeleton |
|
![]()
|
|
|
Structure Proposal # 207 UOSRHCQGEVONFB Deviation = 3.04ppm
Search WEB for skeleton |
|
![]()
|
|
|
Structure Proposal # 208 YUOGFZGCTMDYJU Deviation = 3.05ppm
Search WEB for skeleton |
|
![]()
|
|
|
Structure Proposal # 209 HKGFSTUNTGYZPB Deviation = 3.06ppm
Search WEB for skeleton |
|
![]()
|
|
|
Structure Proposal # 210 PQLGLSGJAQPGKN Deviation = 3.06ppm
Search WEB for skeleton |
|
![]()
|
|
|
Structure Proposal # 211 HMWFNOKHXNBVMT Deviation = 3.06ppm
Search WEB for skeleton |
|
![]()
|
|
|
Structure Proposal # 212 SXZIWXCLLLJNIE Deviation = 3.06ppm
Search WEB for skeleton |
|
![]()
|
|
|
Structure Proposal # 213 VJXAEYHDJKAFJF Deviation = 3.07ppm
Search WEB for skeleton |
|
![]()
|
|
|
Structure Proposal # 214 JFYABQVCAQIVHW Deviation = 3.07ppm
Search WEB for skeleton |
|
![]()
|
|
|
Structure Proposal # 215 IRHJOJCPIXNAIV Deviation = 3.08ppm
Search WEB for skeleton respect to your proposal |
|
![]()
|
|
|
Structure Proposal # 216 OKMPKJDRHYWOJR Deviation = 3.08ppm
Search WEB for skeleton |
|
![]()
|
|
|
Structure Proposal # 217 MJZWNJYRIHGWEC Deviation = 3.08ppm
Search WEB for skeleton |
|
![]()
|
|
|
Structure Proposal # 218 ZPSFGGIIHLQQIM Deviation = 3.08ppm
Search WEB for skeleton |
|
![]()
|
|
|
Structure Proposal # 219 KEBWIWJBWILMKE Deviation = 3.09ppm
Search WEB for skeleton |
|
![]()
|
|
|
Structure Proposal # 220 IAFNMVNPOMXMFW Deviation = 3.09ppm
Search WEB for skeleton |
|
![]()
|
|
|
Structure Proposal # 221 XSMRYMHHPWMNCI Deviation = 3.09ppm
Search WEB for skeleton |
|
![]()
|
|
|
Structure Proposal # 222 OWLXTXXZFAJFRN Deviation = 3.09ppm
Search WEB for skeleton |
|
![]()
|
|
|
Structure Proposal # 223 YWVNGFXDOXZRQB Deviation = 3.09ppm
Search WEB for skeleton respect to your proposal |
|
![]()
|
|
|
Structure Proposal # 224 GMFMGWAZAFKENJ Deviation = 3.10ppm
Search WEB for skeleton |
|
![]()
|
|
|
Structure Proposal # 225 SMZOGNZTZKRUNV Deviation = 3.10ppm
Search WEB for skeleton |
|
![]()
|
|
|
Structure Proposal # 226 RNDDZHGNECFFTI Deviation = 3.10ppm
Search WEB for skeleton |
|
![]()
|
|
|
Structure Proposal # 227 DYDDTTUWTYJDHV Deviation = 3.10ppm
Search WEB for skeleton respect to your proposal |
|
![]()
|
|
|
Structure Proposal # 228 ILYJMWZOKVEXMD Deviation = 3.10ppm
Search WEB for skeleton |
|
![]()
|
|
|
Structure Proposal # 229 XHPYTVCDJBRBNF Deviation = 3.10ppm
Search WEB for skeleton |
|
![]()
|
|
|
Structure Proposal # 230 LEZMYGOLFPFGCF Deviation = 3.10ppm
Search WEB for skeleton |
|
![]()
|
|
|
Structure Proposal # 231 JIOJLKYNFAFDFK Deviation = 3.11ppm
Search WEB for skeleton |
|
![]()
|
|
|
Structure Proposal # 232 KZEMZMJTRFKPJK Deviation = 3.11ppm
Search WEB for skeleton respect to your proposal |
|
![]()
|
|
|
Structure Proposal # 233 CDEWUGZFQZIKLN Deviation = 3.11ppm
Search WEB for skeleton |
|
![]()
|
|
|
Structure Proposal # 234 CJZPJKCVZUDYER Deviation = 3.12ppm
Search WEB for skeleton |
|
![]()
|
|
|
Structure Proposal # 235 MUIRRXGOVHXGKM Deviation = 3.12ppm
Search WEB for skeleton |
|
![]()
|
|
|
Structure Proposal # 236 QTHFNFRINVFAKC Deviation = 3.12ppm
Search WEB for skeleton |
|
![]()
|
|
|
Structure Proposal # 237 MPGRHUXAULDIOY Deviation = 3.12ppm
Search WEB for skeleton |
|
![]()
|
|
|
Structure Proposal # 238 SWLDFXWNESJGFI Deviation = 3.12ppm
Search WEB for skeleton |
|
![]()
|
|
|
Structure Proposal # 239 VOVBPKQDPPZDES Deviation = 3.12ppm
Search WEB for skeleton |
|
![]()
|
|
|
Structure Proposal # 240 SIXKVIZOAXSOHM Deviation = 3.13ppm
Search WEB for skeleton |
|
![]()
|
|
|
Structure Proposal # 241 DMOGOUYEBVBTDO Deviation = 3.13ppm
Search WEB for skeleton |
|
![]()
|
|
|
Structure Proposal # 242 BXCVILIRQTZTLX Deviation = 3.13ppm
Search WEB for skeleton |
|
![]()
|
|
|
Structure Proposal # 243 GDFMBEYHVXZLDH Deviation = 3.13ppm
Search WEB for skeleton |
|
![]()
|
|
|
Structure Proposal # 244 PJDFNNRJSBKIAS Deviation = 3.13ppm
Search WEB for skeleton |
|
![]()
|
|
|
Structure Proposal # 245 VSHUBYCPTLIATG Deviation = 3.13ppm
Search WEB for skeleton |
|
![]()
|
|
|
Structure Proposal # 246 HBTFPTYIKCVIRL Deviation = 3.14ppm
Search WEB for skeleton |
|
![]()
|
|
|
Structure Proposal # 247 KKWGLECDFAHZLY Deviation = 3.14ppm
Search WEB for skeleton |
|
![]()
|
|
|
Structure Proposal # 248 PHSKQBRBJVOSQU Deviation = 3.14ppm
Search WEB for skeleton |
|
![]()
|
|
|
Structure Proposal # 249 ZZAZWSPSQPCHJJ Deviation = 3.14ppm
Search WEB for skeleton |
|
![]()
|
|
|
Structure Proposal # 250 HWRFVKWTCOQEHE Deviation = 3.14ppm
Search WEB for skeleton |
|
![]()
|
|
|
Structure Proposal # 251 BSGOWPHUXGFGAB Deviation = 3.14ppm
Search WEB for skeleton |
|
![]()
|
|
|
Structure Proposal # 252 RBPWTCWDUASSII Deviation = 3.14ppm
Search WEB for skeleton |
|
![]()
|
|
|
Structure Proposal # 253 LROCKLCTCDURAQ Deviation = 3.14ppm
Search WEB for skeleton |
|
![]()
|
|
|
Structure Proposal # 254 ONAVPOKTZKTONE Deviation = 3.16ppm
Search WEB for skeleton respect to your proposal |
|
![]()
|
|
|
Structure Proposal # 255 DXTPFFHKHZUNBF Deviation = 3.16ppm
Search WEB for skeleton |
|
![]()
|
|
|
Structure Proposal # 256 FXALLAADWMBQFY Deviation = 3.16ppm
Search WEB for skeleton |
|
![]()
|
|
|
Structure Proposal # 257 WDFCQYFJNHUCGN Deviation = 3.17ppm
Search WEB for skeleton |
|
![]()
|
|
|
Structure Proposal # 258 MXDUIBAICMHOKU Deviation = 3.17ppm
Search WEB for skeleton |
|
![]()
|
|
|
Structure Proposal # 259 MATCISRUSGSQLD Deviation = 3.18ppm
Search WEB for skeleton |
|
![]()
|
|
|
Structure Proposal # 260 LEKCKSLUFJVZFF Deviation = 3.18ppm
Search WEB for skeleton |
|
![]()
|
|
|
Structure Proposal # 261 IBFYBCRFWPARDM Deviation = 3.18ppm
Search WEB for skeleton |
|
![]()
|
|
|
Structure Proposal # 262 OAXMQZCBVUIPJM Deviation = 3.19ppm
Search WEB for skeleton |
|
![]()
|
|
|
Structure Proposal # 263 WVXDOGODQBDRCP Deviation = 3.19ppm
Search WEB for skeleton |
|
![]()
|
|
|
Structure Proposal # 264 ZXZMMIRTKCZVKL Deviation = 3.19ppm
Search WEB for skeleton |
|
![]()
|
|
|
Structure Proposal # 265 CLJKXTZHCDRPFE Deviation = 3.19ppm
Search WEB for skeleton |
|
![]()
|
|
|
Structure Proposal # 266 BLFBRENGQIYPKR Deviation = 3.19ppm
Search WEB for skeleton respect to your proposal |
|
![]()
|
|
|
Structure Proposal # 267 LHWFXRVPJRPRPM Deviation = 3.20ppm
Search WEB for skeleton respect to your proposal |
|
![]()
|
|
|
Structure Proposal # 268 VXIKGBRWQZMEHB Deviation = 3.20ppm
Search WEB for skeleton |
|
![]()
|
|
|
Structure Proposal # 269 PKRUKZBJADCAGP Deviation = 3.20ppm
Search WEB for skeleton |
|
![]()
|
|
|
Structure Proposal # 270 VAXNXWVSYLHFGK Deviation = 3.20ppm
Search WEB for skeleton |
|
![]()
|
|
|
Structure Proposal # 271 WNTQNEABLYZJCD Deviation = 3.21ppm
Search WEB for skeleton |
|
![]()
|
|
|
Structure Proposal # 272 YHXIMMINKQPYQU Deviation = 3.22ppm
Search WEB for skeleton |
|
![]()
|
|
|
Structure Proposal # 273 PRPANWKZDQQIKY Deviation = 3.22ppm
Search WEB for skeleton |
|
![]()
|
|
|
Structure Proposal # 274 XOFRNNGGIUQTED Deviation = 3.22ppm
Search WEB for skeleton |
|
![]()
|
|
|
Structure Proposal # 275 UGJQMYYCBICWPU Deviation = 3.22ppm
Search WEB for skeleton |
|
![]()
|
|
|
Structure Proposal # 276 YCAZLMSOEIUJRW Deviation = 3.22ppm
Search WEB for skeleton |
|
![]()
|
|
|
Structure Proposal # 277 WULKIFNJIAHYTK Deviation = 3.22ppm
Search WEB for skeleton |
|
![]()
|
|
|
Structure Proposal # 278 IKKBBWXLFGTLCG Deviation = 3.23ppm
Search WEB for skeleton |
|
![]()
|
|
|
Structure Proposal # 279 KNZQUHCEXXUMAS Deviation = 3.23ppm
Search WEB for skeleton |
|
![]()
|
|
|
Structure Proposal # 280 VLXRHPGUUMMGEK Deviation = 3.23ppm
Search WEB for skeleton |
|
![]()
|
|
|
Structure Proposal # 281 RTDCRTPERDHWCZ Deviation = 3.23ppm
Search WEB for skeleton |
|
![]()
|
|
|
Structure Proposal # 282 IWBHOWJENKTEQB Deviation = 3.23ppm
Search WEB for skeleton respect to your proposal |
|
![]()
|
|
|
Structure Proposal # 283 JEZCKPBDKNAMCZ Deviation = 3.24ppm
Search WEB for skeleton |
|
![]()
|
|
|
Structure Proposal # 284 KNGKHIZZJAQWKD Deviation = 3.24ppm
Search WEB for skeleton |
|
![]()
|
|
|
Structure Proposal # 285 PJARJFZDHMQSLU Deviation = 3.25ppm
Search WEB for skeleton |
|
![]()
|
|
|
Structure Proposal # 286 YVRKSBYUUKQBLF Deviation = 3.25ppm
Search WEB for skeleton |
|
![]()
|
|
|
Structure Proposal # 287 WWYYQCHEHODBPU Deviation = 3.25ppm
Search WEB for skeleton |
|
![]()
|
|
|
Structure Proposal # 288 XKQQKHLEJRGHDJ Deviation = 3.25ppm
Search WEB for skeleton |
|
![]()
|
|
|
Structure Proposal # 289 GTSWZUFUIIKPEV Deviation = 3.25ppm
Search WEB for skeleton |
|
![]()
|
|
|
Structure Proposal # 290 HWXHIYWRPLSWNR Deviation = 3.25ppm
Search WEB for skeleton |
|
![]()
|
|
|
Structure Proposal # 291 WHEYLZHOCYRJSA Deviation = 3.26ppm
Search WEB for skeleton |
|
![]()
|
|
|
Structure Proposal # 292 ZUDFMHSOGVOKFN Deviation = 3.27ppm
Search WEB for skeleton |
|
![]()
|
|
|
Structure Proposal # 293 OMDPPGNCCQXNRL Deviation = 3.27ppm
Search WEB for skeleton |
|
![]()
|
|
|
Structure Proposal # 294 CBKZCHDGBBKZGB Deviation = 3.27ppm
Search WEB for skeleton |
|
![]()
|
|
|
Structure Proposal # 295 AYILIVWMFSPYJG Deviation = 3.27ppm
Search WEB for skeleton |
|
![]()
|
|
|
Structure Proposal # 296 WYPYCRGXQUNBNV Deviation = 3.28ppm
Search WEB for skeleton |
|
![]()
|
|
|
Structure Proposal # 297 FGKTZOPVYJKJQH Deviation = 3.28ppm
Search WEB for skeleton |
|
![]()
|
|
|
Structure Proposal # 298 CCBMHWJKKCCMMQ Deviation = 3.28ppm
Search WEB for skeleton |
|
![]()
|
|
|
Structure Proposal # 299 WWZHKYXMLPPAGA Deviation = 3.29ppm
Search WEB for skeleton |
|
![]()
|
|
|
Structure Proposal # 300 FIFTXQQRQHLOIG Deviation = 3.29ppm
Search WEB for skeleton respect to your proposal |
|
![]()
|
|
|
Structure Proposal # 301 PQPSDZUVLCYZAU Deviation = 3.29ppm
Search WEB for skeleton |
|
![]()
|
|
|
Structure Proposal # 302 FFPCMJFBQDGOCF Deviation = 3.29ppm
Search WEB for skeleton |
|
![]()
|
|
|
Structure Proposal # 303 SQAHBBFGXTTZJW Deviation = 3.29ppm
Search WEB for skeleton |
|
![]()
|
|
|
Structure Proposal # 304 BKTHUKCKRDHTFD Deviation = 3.29ppm
Search WEB for skeleton |
|
![]()
|
|
|
Structure Proposal # 305 JRTFKNKFFRJGAO Deviation = 3.29ppm
Search WEB for skeleton |
|
![]()
|
|
|
Structure Proposal # 306 CTJXYJPCGHHYDJ Deviation = 3.30ppm
Search WEB for skeleton respect to your proposal |
|
![]()
|
|
|
Structure Proposal # 307 IWFQDZKJHSVVIL Deviation = 3.30ppm
Search WEB for skeleton |
|
![]()
|
|
|
Structure Proposal # 308 MAEPEMTVUWTJDP Deviation = 3.30ppm
Search WEB for skeleton |
|
![]()
|
|
|
Structure Proposal # 309 MVOTZRDHDKXHIX Deviation = 3.30ppm
Search WEB for skeleton |
|
![]()
|
|
|
Structure Proposal # 310 MFELSLPPBRJQCF Deviation = 3.30ppm
Search WEB for skeleton |
|
![]()
|
|
|
Structure Proposal # 311 RAXTTXXPUBYQBV Deviation = 3.30ppm
Search WEB for skeleton |
|
![]()
|
|
|
Structure Proposal # 312 SEAKCLZVRFMVFC Deviation = 3.31ppm
Search WEB for skeleton |
|
![]()
|
|
|
Structure Proposal # 313 LUOXCCQDDVJWND Deviation = 3.31ppm
Search WEB for skeleton |
|
![]()
|
|
|
Structure Proposal # 314 YWNJOMIDZUWTLW Deviation = 3.31ppm
Search WEB for skeleton |
|
![]()
|
|
|
Structure Proposal # 315 YSQSVRUXXMXWNL Deviation = 3.32ppm
Search WEB for skeleton |
|
![]()
|
|
|
Structure Proposal # 316 QVGJOJLGHPJNNO Deviation = 3.32ppm
Search WEB for skeleton |
|
![]()
|
|
|
Structure Proposal # 317 ZOOAZPHLZTZQRG Deviation = 3.32ppm
Search WEB for skeleton |
|
![]()
|
|
|
Structure Proposal # 318 HYTBULMKUSSICJ Deviation = 3.32ppm
Search WEB for skeleton |
|
![]()
|
|
|
Structure Proposal # 319 LWHRZQIBBZBLDB Deviation = 3.32ppm
Search WEB for skeleton respect to your proposal |
|
![]()
|
|
|
Structure Proposal # 320 SKTPFPFBNAIOBO Deviation = 3.32ppm
Search WEB for skeleton |
|
![]()
|
|
|
Structure Proposal # 321 HGZWQHOSQCCFHI Deviation = 3.32ppm
Search WEB for skeleton |
|
![]()
|
|
|
Structure Proposal # 322 NTGMCBIUBHZSHA Deviation = 3.33ppm
Search WEB for skeleton |
|
![]()
|
|
|
Structure Proposal # 323 WDMHZPMBMZUOOE Deviation = 3.33ppm
Search WEB for skeleton |
|
![]()
|
|
|
Structure Proposal # 324 JDFKQKOPZIZQPL Deviation = 3.33ppm
Search WEB for skeleton |
|
![]()
|
|
|
Structure Proposal # 325 MNDPEQVNILBNCY Deviation = 3.33ppm
Search WEB for skeleton |
|
![]()
|
|
|
Structure Proposal # 326 BWSLQYQUNHKCTC Deviation = 3.33ppm
Search WEB for skeleton |
|
![]()
|
|
|
Structure Proposal # 327 ODUQEHWWOKIPGE Deviation = 3.33ppm
Search WEB for skeleton respect to your proposal |
|
![]()
|
|
|
Structure Proposal # 328 ZUGXZCSXTFUVJX Deviation = 3.34ppm
Search WEB for skeleton |
|
![]()
|
|
|
Structure Proposal # 329 QGGCIKDFHWFNCB Deviation = 3.34ppm
Search WEB for skeleton |
|
![]()
|
|
|
Structure Proposal # 330 SYRPRDROACRKNR Deviation = 3.34ppm
Search WEB for skeleton |
|
![]()
|
|
|
Structure Proposal # 331 RLHDHFXJBZHFLR Deviation = 3.34ppm
Search WEB for skeleton |
|
![]()
|
|
|
Structure Proposal # 332 DYUCVWMUNQWUSK Deviation = 3.34ppm
Search WEB for skeleton |
|
![]()
|
|
|
Structure Proposal # 333 HFCPELGSKDOCDL Deviation = 3.34ppm
Search WEB for skeleton |
|
![]()
|
|
|
Structure Proposal # 334 MIGSXYNRFJKUEQ Deviation = 3.35ppm
Search WEB for skeleton |
|
![]()
|
|
|
Structure Proposal # 335 DFBMDYYBELXXAF Deviation = 3.35ppm
Search WEB for skeleton |
|
![]()
|
|
|
Structure Proposal # 336 OGZIEYLWLFXAEO Deviation = 3.35ppm
Search WEB for skeleton |
|
![]()
|
|
|
Structure Proposal # 337 SUKCFRDCLZZPPL Deviation = 3.35ppm
Search WEB for skeleton |
|
![]()
|
|
|
Structure Proposal # 338 YEFMAZZWBQNPQP Deviation = 3.35ppm
Search WEB for skeleton |
|
![]()
|
|
|
Structure Proposal # 339 POKBMRLLQZFIMY Deviation = 3.36ppm
Search WEB for skeleton |
|
![]()
|
|
|
Structure Proposal # 340 IWWROJPUIRHBIN Deviation = 3.36ppm
Search WEB for skeleton |
|
![]()
|
|
|
Structure Proposal # 341 SCXFITHHVSRIPV Deviation = 3.36ppm
Search WEB for skeleton |
|
![]()
|
|
|
Structure Proposal # 342 YGUFIHVTYUMLBV Deviation = 3.37ppm
Search WEB for skeleton |
|
![]()
|
|
|
Structure Proposal # 343 KNNCQQLSOGHTJE Deviation = 3.37ppm
Search WEB for skeleton respect to your proposal |
|
![]()
|
|
|
Structure Proposal # 344 WGHNYVJGHIAOEO Deviation = 3.37ppm
Search WEB for skeleton |
|
![]()
|
|
|
Structure Proposal # 345 BASWGWBZOQIZKD Deviation = 3.37ppm
Search WEB for skeleton |
|
![]()
|
|
|
Structure Proposal # 346 OVBAMVMECJUJKN Deviation = 3.38ppm
Search WEB for skeleton |
|
![]()
|
|
|
Structure Proposal # 347 VIWUTPYEIGVOOR Deviation = 3.38ppm
Search WEB for skeleton |
|
![]()
|
|
|
Structure Proposal # 348 STQAOWBUNCLHQP Deviation = 3.38ppm
Search WEB for skeleton |
|
![]()
|
|
|
Structure Proposal # 349 ZPDYMZJMMDSGNI Deviation = 3.38ppm
Search WEB for skeleton |
|
![]()
|
|
|
Structure Proposal # 350 IABKMTIAMMCFKB Deviation = 3.38ppm
Search WEB for skeleton |
|
![]()
|
|
|
Structure Proposal # 351 CZUCWLNDNHMRGZ Deviation = 3.39ppm
Search WEB for skeleton |
|
![]()
|
|
|
Structure Proposal # 352 NNCJOUJDCYXVKQ Deviation = 3.39ppm
Search WEB for skeleton respect to your proposal |
|
![]()
|
|
|
Structure Proposal # 353 XUQPUVKDZCICTF Deviation = 3.39ppm
Search WEB for skeleton |
|
![]()
|
|
|
Structure Proposal # 354 IAAJJJNFRRQGBB Deviation = 3.39ppm
Search WEB for skeleton |
|
![]()
|
|
|
Structure Proposal # 355 VYOYRLAAXNNRBY Deviation = 3.39ppm
Search WEB for skeleton |
|
![]()
|
|
|
Structure Proposal # 356 GAILSGCKTKWCDY Deviation = 3.39ppm
Search WEB for skeleton |
|
![]()
|
|
|
Structure Proposal # 357 OVUJEXBNEDRCAV Deviation = 3.39ppm
Search WEB for skeleton respect to your proposal |
|
![]()
|
|
|
Structure Proposal # 358 IRNWXAGQPSBRLP Deviation = 3.40ppm
Search WEB for skeleton respect to your proposal |
|
![]()
|
|
|
Structure Proposal # 359 BNWSUKPGEJOUQN Deviation = 3.40ppm
Search WEB for skeleton |
|
![]()
|
|
|
Structure Proposal # 360 YMEFLJJSASZNQJ Deviation = 3.40ppm
Search WEB for skeleton respect to your proposal |
|
![]()
|
|
|
Structure Proposal # 361 JXRNYWZADDOCTA Deviation = 3.40ppm
Search WEB for skeleton |
|
![]()
|
|
|
Structure Proposal # 362 SKJNMTSANMWOKJ Deviation = 3.40ppm
Search WEB for skeleton |
|
![]()
|
|
|
Structure Proposal # 363 VGUOWETVBASRKD Deviation = 3.40ppm
Search WEB for skeleton |
|
![]()
|
|
|
Structure Proposal # 364 FHUNSPUHQLRXQX Deviation = 3.40ppm
Search WEB for skeleton |
|
![]()
|
|
|
Structure Proposal # 365 AGJUYJLEPXFIMF Deviation = 3.40ppm
Search WEB for skeleton |
|
![]()
|
|
|
Structure Proposal # 366 UEDXGADWJOVMHT Deviation = 3.41ppm
Search WEB for skeleton |
|
![]()
|
|
|
Structure Proposal # 367 AVAUAYBFAYCRER Deviation = 3.41ppm
Search WEB for skeleton |
|
![]()
|
|
|
Structure Proposal # 368 HUWZWKWJLHFSNL Deviation = 3.41ppm
Search WEB for skeleton |
|
![]()
|
|
|
Structure Proposal # 369 NXJRXIYDHQIDHR Deviation = 3.41ppm
Search WEB for skeleton |
|
![]()
|
|
|
Structure Proposal # 370 KZNBDBMYRJNMNI Deviation = 3.41ppm
Search WEB for skeleton |
|
![]()
|
|
|
Structure Proposal # 371 SHMLVDNTTVASQT Deviation = 3.42ppm
Search WEB for skeleton |
|
![]()
|
|
|
Structure Proposal # 372 UAOPEKSLJWXREA Deviation = 3.42ppm
Search WEB for skeleton |
|
![]()
|
|
|
Structure Proposal # 373 RSVKSCSMLKNJJF Deviation = 3.42ppm
Search WEB for skeleton |
|
![]()
|
|
|
Structure Proposal # 374 CUYZKPCWUOSOCC Deviation = 3.42ppm
Search WEB for skeleton |
|
![]()
|
|
|
Structure Proposal # 375 DRKSKXCNOZWKGQ Deviation = 3.42ppm
Search WEB for skeleton |
|
![]()
|
|
|
Structure Proposal # 376 MWERMYFBPBFOCZ Deviation = 3.42ppm
Search WEB for skeleton respect to your proposal |
|
![]()
|
|
|
Structure Proposal # 377 SBNZBUCTUHZSBI Deviation = 3.42ppm
Search WEB for skeleton respect to your proposal |
|
![]()
|
|
|
Structure Proposal # 378 JZMBBAABICTSIB Deviation = 3.42ppm
Search WEB for skeleton |
|
![]()
|
|
|
Structure Proposal # 379 NEIJCEADGAAZRI Deviation = 3.42ppm
Search WEB for skeleton |
|
![]()
|
|
|
Structure Proposal # 380 ITLLDTZSKHWODV Deviation = 3.43ppm
Search WEB for skeleton |
|
![]()
|
|
|
Structure Proposal # 381 ZUYLXFSGBMTGJM Deviation = 3.43ppm
Search WEB for skeleton |
|
![]()
|
|
|
Structure Proposal # 382 SYXSQSRDDSOBQC Deviation = 3.43ppm
Search WEB for skeleton |
|
![]()
|
|
|
Structure Proposal # 383 AAVJRVVKGZUYSX Deviation = 3.43ppm
Search WEB for skeleton |
|
![]()
|
|
|
Structure Proposal # 384 HXFIRQUXPBNHJY Deviation = 3.43ppm
Search WEB for skeleton |
|
![]()
|
|
|
Structure Proposal # 385 LFOYKMFBSDHZAW Deviation = 3.43ppm
Search WEB for skeleton |
|
![]()
|
|
|
Structure Proposal # 386 GBGOEIUJSVDTKJ Deviation = 3.44ppm
Search WEB for skeleton |
|
![]()
|
|
|
Structure Proposal # 387 LASQRMXOKSWNQZ Deviation = 3.44ppm
Search WEB for skeleton |
|
![]()
|
|
|
Structure Proposal # 388 XAIUGZFNJSMWJR Deviation = 3.44ppm
Search WEB for skeleton |
|
![]()
|
|
|
Structure Proposal # 389 VGZVOGGKPXPMAZ Deviation = 3.44ppm
Search WEB for skeleton |
|
![]()
|
|
|
Structure Proposal # 390 AKMILBAEKINFIS Deviation = 3.44ppm
Search WEB for skeleton |
|
![]()
|
|
|
Structure Proposal # 391 BQIPCWJQVRJGGJ Deviation = 3.44ppm
Search WEB for skeleton |
|
![]()
|
|
|
Structure Proposal # 392 PDILJBHISOIRFB Deviation = 3.44ppm
Search WEB for skeleton |
|
![]()
|
|
|
Structure Proposal # 393 QXUBQCJMPHBAMR Deviation = 3.44ppm
Search WEB for skeleton |
|
![]()
|
|
|
Structure Proposal # 394 IDFDQTLXBUCEAG Deviation = 3.45ppm
Search WEB for skeleton |
|
![]()
|
|
|
Structure Proposal # 395 DRDUZEBTVPWVSC Deviation = 3.45ppm
Search WEB for skeleton respect to your proposal |
|
![]()
|
|
|
Structure Proposal # 396 DRMWKXKHRZMCPT Deviation = 3.45ppm
Search WEB for skeleton |
|
![]()
|
|
|
Structure Proposal # 397 AKEUJFLMYRSZHW Deviation = 3.45ppm
Search WEB for skeleton respect to your proposal |
|
![]()
|
|
|
Structure Proposal # 398 MXTBGUWZKLTSTI Deviation = 3.45ppm
Search WEB for skeleton respect to your proposal |
|
![]()
|
|
|
Structure Proposal # 399 WOQNLWONGGCEKP Deviation = 3.45ppm
Search WEB for skeleton |
|
![]()
|
|
|
Structure Proposal # 400 RBHNSGIUTRLZGC Deviation = 3.46ppm
Search WEB for skeleton |
|
![]()
|
|
|
Structure Proposal # 401 SCLIPTCCRWLJNY Deviation = 3.46ppm
Search WEB for skeleton |
|
![]()
|
|
|
Structure Proposal # 402 CWVZPQNTEHFULR Deviation = 3.46ppm
Search WEB for skeleton |
|
![]()
|
|
|
Structure Proposal # 403 IWIOTBRIQASVIP Deviation = 3.46ppm
Search WEB for skeleton |
|
![]()
|
|
|
Structure Proposal # 404 VAJXEVBLGDOTAC Deviation = 3.46ppm
Search WEB for skeleton |
|
![]()
|
|
|
Structure Proposal # 405 XVBWNUYQXUBFQZ Deviation = 3.46ppm
Search WEB for skeleton respect to your proposal |
|
![]()
|
|
|
Structure Proposal # 406 XKZSCEIASACRLT Deviation = 3.46ppm
Search WEB for skeleton |
|
![]()
|
|
|
Structure Proposal # 407 RSMAGLBGFRBPQU Deviation = 3.47ppm
Search WEB for skeleton |
|
![]()
|
|
|
Structure Proposal # 408 NOZVDVUTDSQCCY Deviation = 3.47ppm
Search WEB for skeleton |
|
![]()
|
|
|
Structure Proposal # 409 GQEDBKCSAFJFBL Deviation = 3.47ppm
Search WEB for skeleton |
|
![]()
|
|
|
Structure Proposal # 410 OXQXGIRKIWRAGQ Deviation = 3.47ppm
Search WEB for skeleton |
|
![]()
|
|
|
Structure Proposal # 411 CVYWZVFGJDOFPF Deviation = 3.47ppm
Search WEB for skeleton |
|
![]()
|
|
|
Structure Proposal # 412 SLHSDLRTXJRXRH Deviation = 3.48ppm
Search WEB for skeleton |
|
![]()
|
|
|
Structure Proposal # 413 IZGIIECAVPXZSQ Deviation = 3.48ppm
Search WEB for skeleton |
|
![]()
|
|
|
Structure Proposal # 414 TXJVWSRNNOHHMH Deviation = 3.48ppm
Search WEB for skeleton |
|
![]()
|
|
|
Structure Proposal # 415 KUORZWVZKHASLD Deviation = 3.48ppm
Search WEB for skeleton |
|
![]()
|
|
|
Structure Proposal # 416 DJKFDLSTFPKJAB Deviation = 3.48ppm
Search WEB for skeleton |
|
![]()
|
|
|
Structure Proposal # 417 BCBJENDVRKNNKW Deviation = 3.48ppm
Search WEB for skeleton |
|
![]()
|
|
|
Structure Proposal # 418 IWNOQVIELBDTLH Deviation = 3.48ppm
Search WEB for skeleton |
|
![]()
|
|
|
Structure Proposal # 419 CFHHRRYWUWIVIY Deviation = 3.49ppm
Search WEB for skeleton respect to your proposal |
|
![]()
|
|
|
Structure Proposal # 420 JYBBTXLAHRXLAO Deviation = 3.49ppm
Search WEB for skeleton |
|
![]()
|
|
|
Structure Proposal # 421 LBBDCGKJRMODID Deviation = 3.49ppm
Search WEB for skeleton |
|
![]()
|
|
|
Structure Proposal # 422 MMSDCGBBPNEYQT Deviation = 3.49ppm
Search WEB for skeleton |
|
![]()
|
|
|
Structure Proposal # 423 IJUHAUSHRBFTDQ Deviation = 3.50ppm
Search WEB for skeleton |
|
![]()
|
|
|
Structure Proposal # 424 JZHQTOIKQAMZJJ Deviation = 3.50ppm
Search WEB for skeleton |
|
![]()
|
|
|
Structure Proposal # 425 DCLDUJGYOFSDPI Deviation = 3.50ppm
Search WEB for skeleton |
|
![]()
|
|
|
Structure Proposal # 426 RYNBOXRZDQHZKT Deviation = 3.50ppm
Search WEB for skeleton |
|
![]()
|
|
|
Structure Proposal # 427 GIGQKZDTSYLEOO Deviation = 3.50ppm
Search WEB for skeleton respect to your proposal |
|
![]()
|
|
|
Structure Proposal # 428 ODDSSPGMWVZSJZ Deviation = 3.50ppm
Search WEB for skeleton |
|
![]()
|
|
|
Structure Proposal # 429 KVKRPSGFFMIVDZ Deviation = 3.50ppm
Search WEB for skeleton |
|
![]()
|
|
|
Structure Proposal # 430 OLQGETUAMSLHFE Deviation = 3.51ppm
Search WEB for skeleton respect to your proposal |
|
![]()
|
|
|
Structure Proposal # 431 SLQMUOZZFDPXNO Deviation = 3.51ppm
Search WEB for skeleton |
|
![]()
|
|
|
Structure Proposal # 432 TVCHHDRPOHJQIC Deviation = 3.51ppm
Search WEB for skeleton |
|
![]()
|
|
|
Structure Proposal # 433 CNDGWHRVLGVFJM Deviation = 3.51ppm
Search WEB for skeleton respect to your proposal |
|
![]()
|
|
|
Structure Proposal # 434 ZKNLRNUOLJEHBG Deviation = 3.51ppm
Search WEB for skeleton |
|
![]()
|
|
|
Structure Proposal # 435 VCCXFSIUOGVJGM Deviation = 3.51ppm
Search WEB for skeleton |
|
![]()
|
|
|
Structure Proposal # 436 DFDJIHVILCZLDK Deviation = 3.51ppm
Search WEB for skeleton |
|
![]()
|
|
|
Structure Proposal # 437 GEISGYPYUYLADK Deviation = 3.51ppm
Search WEB for skeleton |
|
![]()
|
|
|
Structure Proposal # 438 MFJBTIOGOQHHHF Deviation = 3.51ppm
Search WEB for skeleton |
|
![]()
|
|
|
Structure Proposal # 439 RPTOWGVXIKDBLR Deviation = 3.51ppm
Search WEB for skeleton respect to your proposal |
|
![]()
|
|
|
Structure Proposal # 440 SCJBBYLDXCQUFB Deviation = 3.52ppm
Search WEB for skeleton |
|
![]()
|
|
|
Structure Proposal # 441 RAWFJXYIAWNWMY Deviation = 3.52ppm
Search WEB for skeleton |
|
![]()
|
|
|
Structure Proposal # 442 HGKNKYSULUMUOU Deviation = 3.52ppm
Search WEB for skeleton |
|
![]()
|
|
|
Structure Proposal # 443 GGSZZXURGWGTPJ Deviation = 3.52ppm
Search WEB for skeleton |
|
![]()
|
|
|
Structure Proposal # 444 KFSHZCOBHISCHN Deviation = 3.52ppm
Search WEB for skeleton |
|
![]()
|
|
|
Structure Proposal # 445 KKOSOWKNWHHXRS Deviation = 3.52ppm
Search WEB for skeleton |
|
![]()
|
|
|
Structure Proposal # 446 GAQOCVHTDRPRTB Deviation = 3.52ppm
Search WEB for skeleton |
|
![]()
|
|
|
Structure Proposal # 447 JIQJYTPFCFHMFB Deviation = 3.53ppm
Search WEB for skeleton |
|
![]()
|
|
|
Structure Proposal # 448 SEPRKRVMHUEETF Deviation = 3.53ppm
Search WEB for skeleton respect to your proposal |
|
![]()
|
|
|
Structure Proposal # 449 NDFUZLKDPAQQFE Deviation = 3.53ppm
Search WEB for skeleton respect to your proposal |
|
![]()
|
|
|
Structure Proposal # 450 JAIZNTQKFHRDAM Deviation = 3.53ppm
Search WEB for skeleton |
|
![]()
|
|
|
Structure Proposal # 451 ZRYFICOLOPFAPZ Deviation = 3.54ppm
Search WEB for skeleton |
|
![]()
|
|
|
Structure Proposal # 452 WGKMHWGAHGVLHX Deviation = 3.54ppm
Search WEB for skeleton |
|
![]()
|
|
|
Structure Proposal # 453 OYAYODHXUDBQFI Deviation = 3.54ppm
Search WEB for skeleton |
|
![]()
|
|
|
Structure Proposal # 454 KIGSMRKJMRPECU Deviation = 3.54ppm
Search WEB for skeleton |
|
![]()
|
|
|
Structure Proposal # 455 UCJCYXADRJMTPW Deviation = 3.54ppm
Search WEB for skeleton respect to your proposal |
|
![]()
|
|
|
Structure Proposal # 456 ZVLUEIIHTHXAQS Deviation = 3.54ppm
Search WEB for skeleton respect to your proposal |
|
![]()
|
|
|
Structure Proposal # 457 GZZMAOFUWWLADF Deviation = 3.54ppm
Search WEB for skeleton |
|
![]()
|
|
|
Structure Proposal # 458 QFXDVPHRJGGRNF Deviation = 3.55ppm
Search WEB for skeleton |
|
![]()
|
|
|
Structure Proposal # 459 SZDSSUVVFSKRJQ Deviation = 3.55ppm
Search WEB for skeleton respect to your proposal |
|
![]()
|
|
|
Structure Proposal # 460 NELBUGCFVSIVHU Deviation = 3.55ppm
Search WEB for skeleton |
|
![]()
|
|
|
Structure Proposal # 461 FEHXYUKSVBJWCD Deviation = 3.55ppm
Search WEB for skeleton |
|
![]()
|
|
|
Structure Proposal # 462 CQWIHQWYDAHHBV Deviation = 3.55ppm
Search WEB for skeleton |
|
![]()
|
|
|
Structure Proposal # 463 ODKWZEGPPQGIDJ Deviation = 3.55ppm
Search WEB for skeleton |
|
![]()
|
|
|
Structure Proposal # 464 CWWTWFGZGOWTER Deviation = 3.56ppm
Search WEB for skeleton |
|
![]()
|
|
|
Structure Proposal # 465 VIQVOHPGFWMZQS Deviation = 3.56ppm
Search WEB for skeleton respect to your proposal |
|
![]()
|
|
|
Structure Proposal # 466 IFEFJLATTYIYPW Deviation = 3.57ppm
Search WEB for skeleton |
|
![]()
|
|
|
Structure Proposal # 467 QFFDUFPEQIRVBO Deviation = 3.57ppm
Search WEB for skeleton |
|
![]()
|
|
|
Structure Proposal # 468 KJGPCJVEXJWCLR Deviation = 3.57ppm
Search WEB for skeleton |
|
![]()
|
|
|
Structure Proposal # 469 OUCDBHIBNANTEE Deviation = 3.58ppm
Search WEB for skeleton |
|
![]()
|
|
|
Structure Proposal # 470 RHEDPLSGWSFLCG Deviation = 3.58ppm
Search WEB for skeleton |
|
![]()
|
|
|
Structure Proposal # 471 DNUDPHOZJICQBW Deviation = 3.58ppm
Search WEB for skeleton respect to your proposal |
|
![]()
|
|
|
Structure Proposal # 472 QXYXDJKCPZTJAA Deviation = 3.58ppm
Search WEB for skeleton respect to your proposal |
|
![]()
|
|
|
Structure Proposal # 473 RGNQWLLTUPLKFT Deviation = 3.58ppm
Search WEB for skeleton respect to your proposal |
|
![]()
|
|
|
Structure Proposal # 474 XYZUTMLVIGEGQX Deviation = 3.58ppm
Search WEB for skeleton |
|
![]()
|
|
|
Structure Proposal # 475 HZGXRIQHRPQZDI Deviation = 3.59ppm
Search WEB for skeleton |
|
![]()
|
|
|
Structure Proposal # 476 UZIPIENXGPLXED Deviation = 3.59ppm
Search WEB for skeleton |
|
![]()
|
|
|
Structure Proposal # 477 PFBVETHGCYOARB Deviation = 3.59ppm
Search WEB for skeleton |
|
![]()
|
|
|
Structure Proposal # 478 WQTGBUOQUWIHRO Deviation = 3.59ppm
Search WEB for skeleton |
|
![]()
|
|
|
Structure Proposal # 479 ODZOCYKISIMZPD Deviation = 3.59ppm
Search WEB for skeleton |
|
![]()
|
|
|
Structure Proposal # 480 MRPSMRFMOQEJME Deviation = 3.59ppm
Search WEB for skeleton respect to your proposal |
|
![]()
|
|
|
Structure Proposal # 481 PAPROZOMSVXSOG Deviation = 3.59ppm
Search WEB for skeleton respect to your proposal |
|
![]()
|
|
|
Structure Proposal # 482 WJFVPCSLEDUSFE Deviation = 3.59ppm
Search WEB for skeleton |
|
![]()
|
|
|
Structure Proposal # 483 JSUCBEZHCCBTCB Deviation = 3.60ppm
Search WEB for skeleton |
|
![]()
|
|
|
Structure Proposal # 484 MCUODNKWDSUXHZ Deviation = 3.60ppm
Search WEB for skeleton |
|
![]()
|
|
|
Structure Proposal # 485 HHIGNISWPAHKSY Deviation = 3.60ppm
Search WEB for skeleton |
|
![]()
|
|
|
Structure Proposal # 486 WEHMKIVZNHTEBU Deviation = 3.60ppm
Search WEB for skeleton |
|
![]()
|
|
|
Structure Proposal # 487 CQKDNRBYUJGRQL Deviation = 3.60ppm
Search WEB for skeleton |
|
![]()
|
|
|
Structure Proposal # 488 QDPPZVJGISZSRP Deviation = 3.60ppm
Search WEB for skeleton |
|
![]()
|
|
|
Structure Proposal # 489 LBWQUQKNXWBMCE Deviation = 3.60ppm
Search WEB for skeleton |
|
![]()
|
|
|
Structure Proposal # 490 DKCIHLCZYMIPKQ Deviation = 3.61ppm
Search WEB for skeleton |
|
![]()
|
|
|
Structure Proposal # 491 GJNYADUPWNGSMX Deviation = 3.61ppm
Search WEB for skeleton |
|
![]()
|
|
|
Structure Proposal # 492 SSQYRTLQTFAUEE Deviation = 3.61ppm
Search WEB for skeleton |
|
![]()
|
|
|
Structure Proposal # 493 GROWHDKACCXTTL Deviation = 3.61ppm
Search WEB for skeleton respect to your proposal |
|
![]()
|
|
|
Structure Proposal # 494 MZFAHTGUDVMHAN Deviation = 3.61ppm
Search WEB for skeleton |
|
![]()
|
|
|
Structure Proposal # 495 GCIZSOWNMWCGCU Deviation = 3.62ppm
Search WEB for skeleton respect to your proposal |
|
![]()
|
|
|
Structure Proposal # 496 FOBLMWRDLDVTRV Deviation = 3.62ppm
Search WEB for skeleton |
|
![]()
|
|
|
Structure Proposal # 497 TXKBZZWKYKUDLJ Deviation = 3.62ppm
Search WEB for skeleton |
|
![]()
|
|
|
Structure Proposal # 498 QNVBJLFMFBVCIW Deviation = 3.62ppm
Search WEB for skeleton |
|
![]()
|
|
|
Structure Proposal # 499 HTNKGRLGSAZQNT Deviation = 3.62ppm
Search WEB for skeleton |
|
![]()
|
|
|
Structure Proposal # 500 XLHHMXNSKLCUPV Deviation = 3.62ppm
Search WEB for skeleton respect to your proposal |
|
![]()
|
|
|
Structure Proposal # 501 KOAQIEQLIJFWSF Deviation = 3.62ppm
Search WEB for skeleton |
|
![]()
|
|
|
Structure Proposal # 502 BYERGFPZQGOHCT Deviation = 3.62ppm
Search WEB for skeleton |
|
![]()
|
|
|
Structure Proposal # 503 KWXMCSTVCAZHOK Deviation = 3.62ppm
Search WEB for skeleton respect to your proposal |
|
![]()
|
|
|
Structure Proposal # 504 RXNXSILUYMGKKX Deviation = 3.62ppm
Search WEB for skeleton |
|
![]()
|
|
|
Structure Proposal # 505 BMNWMRHXYWHMIA Deviation = 3.63ppm
Search WEB for skeleton |
|
![]()
|
|
|
Structure Proposal # 506 HPXYCDMQBGJUGX Deviation = 3.63ppm
Search WEB for skeleton |
|
![]()
|
|
|
Structure Proposal # 507 FTPCOMYSOCSRHH Deviation = 3.63ppm
Search WEB for skeleton |
|
![]()
|
|
|
Structure Proposal # 508 ONVROJXUSLDZIG Deviation = 3.64ppm
Search WEB for skeleton |
|
![]()
|
|
|
Structure Proposal # 509 YISBSQKRVIVRPW Deviation = 3.64ppm
Search WEB for skeleton |
|
![]()
|
|
|
Structure Proposal # 510 OWWMXIIHMGBXSJ Deviation = 3.64ppm
Search WEB for skeleton respect to your proposal |
|
![]()
|
|
|
Structure Proposal # 511 JTTXOHQGDCOIPQ Deviation = 3.64ppm
Search WEB for skeleton |
|
![]()
|
|
|
Structure Proposal # 512 GCKVPFAUYHOHHI Deviation = 3.65ppm
Search WEB for skeleton |
|
![]()
|
|
|
Structure Proposal # 513 ITSVJDIGXKUJPO Deviation = 3.65ppm
Search WEB for skeleton |
|
![]()
|
|
|
Structure Proposal # 514 WQFFVOLNLJRYAY Deviation = 3.65ppm
Search WEB for skeleton |
|
![]()
|
|
|
Structure Proposal # 515 JCXUKGZFVXCWDQ Deviation = 3.65ppm
Search WEB for skeleton |
|
![]()
|
|
|
Structure Proposal # 516 BQOHAONBQPUUGN Deviation = 3.65ppm
Search WEB for skeleton respect to your proposal |
|
![]()
|
|
|
Structure Proposal # 517 ILMWPAYYICJLIB Deviation = 3.66ppm
Search WEB for skeleton respect to your proposal |
|
![]()
|
|
|
Structure Proposal # 518 KIVROSVELBGCJN Deviation = 3.66ppm
Search WEB for skeleton |
|
![]()
|
|
|
Structure Proposal # 519 PWVXFQGRZFGSNC Deviation = 3.66ppm
Search WEB for skeleton |
|
![]()
|
|
|
Structure Proposal # 520 TZRZQZAWPYAPOX Deviation = 3.66ppm
Search WEB for skeleton |
|
![]()
|
|
|
Structure Proposal # 521 NDVRGAAPKKBHFP Deviation = 3.66ppm
Search WEB for skeleton |
|
![]()
|
|
|
Structure Proposal # 522 FXQJEQVSLPJSPI Deviation = 3.66ppm
Search WEB for skeleton respect to your proposal |
|
![]()
|
|
|
Structure Proposal # 523 HNRCMTVMZPLXNL Deviation = 3.66ppm
Search WEB for skeleton respect to your proposal |
|
![]()
|
|
|
Structure Proposal # 524 WVXCJLIICJMTFL Deviation = 3.66ppm
Search WEB for skeleton |
|
![]()
|
|
|
Structure Proposal # 525 DLEAXXDLZFXKMP Deviation = 3.67ppm
Search WEB for skeleton |
|
![]()
|
|
|
Structure Proposal # 526 TYHGFCYIYXCLER Deviation = 3.67ppm
Search WEB for skeleton |
|
![]()
|
|
|
Structure Proposal # 527 IMAAYUJVYYFTEG Deviation = 3.67ppm
Search WEB for skeleton |
|
![]()
|
|
|
Structure Proposal # 528 ZYHNJCBJIVWPHV Deviation = 3.67ppm
Search WEB for skeleton |
|
![]()
|
|
|
Structure Proposal # 529 SHIYDSOBXISXBW Deviation = 3.67ppm
Search WEB for skeleton |
|
![]()
|
|
|
Structure Proposal # 530 BAXMDDMMYSIBET Deviation = 3.67ppm
Search WEB for skeleton |
|
![]()
|
|
|
Structure Proposal # 531 ZPDUWWRBICKYMY Deviation = 3.67ppm
Search WEB for skeleton |
|
![]()
|
|
|
Structure Proposal # 532 PONDIHGAOSNRAQ Deviation = 3.67ppm
Search WEB for skeleton respect to your proposal |
|
![]()
|
|
|
Structure Proposal # 533 LSXFWLPIGFFGNW Deviation = 3.67ppm
Search WEB for skeleton |
|
![]()
|
|
|
Structure Proposal # 534 RJVUZOORPJIXBZ Deviation = 3.67ppm
Search WEB for skeleton |
|
![]()
|
|
|
Structure Proposal # 535 BCTGQSAFEZRTME Deviation = 3.67ppm
Search WEB for skeleton |
|
![]()
|
|
|
Structure Proposal # 536 XWLYLVMLTDIDHL Deviation = 3.68ppm
Search WEB for skeleton |
|
![]()
|
|
|
Structure Proposal # 537 ZLSVJBOXKBVMMW Deviation = 3.68ppm
Search WEB for skeleton |
|
![]()
|
|
|
Structure Proposal # 538 IWJTXPINYFIHDO Deviation = 3.68ppm
Search WEB for skeleton |
|
![]()
|
|
|
Structure Proposal # 539 MMNRYALTYXUNFV Deviation = 3.68ppm
Search WEB for skeleton respect to your proposal |
|
![]()
|
|
|
Structure Proposal # 540 RHDNTIVEWGOPLG Deviation = 3.68ppm
Search WEB for skeleton |
|
![]()
|
|
|
Structure Proposal # 541 IOADWUBBEDWIAX Deviation = 3.68ppm
Search WEB for skeleton respect to your proposal |
|
![]()
|
|
|
Structure Proposal # 542 BZZUPNMLSUWHRJ Deviation = 3.68ppm
Search WEB for skeleton |
|
![]()
|
|
|
Structure Proposal # 543 DBSIWBQTQJRXNO Deviation = 3.68ppm
Search WEB for skeleton |
|
![]()
|
|
|
Structure Proposal # 544 WOLOLHJDVPKVHK Deviation = 3.68ppm
Search WEB for skeleton |
|
![]()
|
|
|
Structure Proposal # 545 LIHZVJCULPEALQ Deviation = 3.68ppm
Search WEB for skeleton respect to your proposal |
|
![]()
|
|
|
Structure Proposal # 546 AKFBFXLDYOMYGB Deviation = 3.69ppm
Search WEB for skeleton respect to your proposal |
|
![]()
|
|
|
Structure Proposal # 547 RMLSCDOVMYNTLW Deviation = 3.69ppm
Search WEB for skeleton |
|
![]()
|
|
|
Structure Proposal # 548 RNSWAFWIVAUGTN Deviation = 3.69ppm
Search WEB for skeleton |
|
![]()
|
|
|
Structure Proposal # 549 VLJJFHJAKYMXOF Deviation = 3.69ppm
Search WEB for skeleton |
|
![]()
|
|
|
Structure Proposal # 550 HXRAAESLOPSDKZ Deviation = 3.69ppm
Search WEB for skeleton |
|
![]()
|
|
|
Structure Proposal # 551 IVRCVHPLTKIGMQ Deviation = 3.69ppm
Search WEB for skeleton |
|
![]()
|
|
|
Structure Proposal # 552 NNCQLTSRYVCVRZ Deviation = 3.69ppm
Search WEB for skeleton respect to your proposal |
|
![]()
|
|
|
Structure Proposal # 553 ZSYAOQDKKYUCRO Deviation = 3.69ppm
Search WEB for skeleton |
|
![]()
|
|
|
Structure Proposal # 554 RUHAAVOLJJTASI Deviation = 3.69ppm
Search WEB for skeleton |
|
![]()
|
|
|
Structure Proposal # 555 KDGYIHCKDUOTJU Deviation = 3.70ppm
Search WEB for skeleton |
|
![]()
|
|
|
Structure Proposal # 556 CHYMJKYCMBUINA Deviation = 3.70ppm
Search WEB for skeleton |
|
![]()
|
|
|
Structure Proposal # 557 RZDAUPPEDCBQEY Deviation = 3.70ppm
Search WEB for skeleton respect to your proposal |
|
![]()
|
|
|
Structure Proposal # 558 WMJFLOYBXWZYCS Deviation = 3.70ppm
Search WEB for skeleton |
|
![]()
|
|
|
Structure Proposal # 559 JIZABQKYFCIHFN Deviation = 3.70ppm
Search WEB for skeleton |
|
![]()
|
|
|
Structure Proposal # 560 DAKCBSUUJVAICA Deviation = 3.71ppm
Search WEB for skeleton |
|
![]()
|
|
|
Structure Proposal # 561 LQJLFCILZDYAIF Deviation = 3.71ppm
Search WEB for skeleton |
|
![]()
|
|
|
Structure Proposal # 562 SUJBLMMZVDEGCC Deviation = 3.71ppm
Search WEB for skeleton respect to your proposal |
|
![]()
|
|
|
Structure Proposal # 563 BSYOSXVOCKXPOT Deviation = 3.71ppm
Search WEB for skeleton |
|
![]()
|
|
|
Structure Proposal # 564 SYMAWISUDORXBG Deviation = 3.71ppm
Search WEB for skeleton respect to your proposal |
|
![]()
|
|
|
Structure Proposal # 565 NFAMVEMAXVOOKS Deviation = 3.71ppm
Search WEB for skeleton |
|
![]()
|
|
|
Structure Proposal # 566 OUJCWWDGQQBZSX Deviation = 3.71ppm
Search WEB for skeleton |
|
![]()
|
|
|
Structure Proposal # 567 BKQOBXUAMKKJFE Deviation = 3.72ppm
Search WEB for skeleton |
|
![]()
|
|
|
Structure Proposal # 568 LCSZGBIFCCJTLZ Deviation = 3.72ppm
Search WEB for skeleton |
|
![]()
|
|
|
Structure Proposal # 569 CGFLOYYUESZTNI Deviation = 3.72ppm
Search WEB for skeleton |
|
![]()
|
|
|
Structure Proposal # 570 MXZUWUIUFSJQRH Deviation = 3.72ppm
Search WEB for skeleton respect to your proposal |
|
![]()
|
|
|
Structure Proposal # 571 IHADGKUZIGCMQZ Deviation = 3.73ppm
Search WEB for skeleton |
|
![]()
|
|
|
Structure Proposal # 572 GTRNRHJMLDIZIE Deviation = 3.73ppm
Search WEB for skeleton |
|
![]()
|
|
|
Structure Proposal # 573 HQAFTKUIGSYQIW Deviation = 3.73ppm
Search WEB for skeleton |
|
![]()
|
|
|
Structure Proposal # 574 ZTUQMTRRGZMTSN Deviation = 3.73ppm
Search WEB for skeleton |
|
![]()
|
|
|
Structure Proposal # 575 IUNYHPMHWMWLPY Deviation = 3.73ppm
Search WEB for skeleton |
|
![]()
|
|
|
Structure Proposal # 576 GFYYZLLOMADCPM Deviation = 3.73ppm
Search WEB for skeleton |
|
![]()
|
|
|
Structure Proposal # 577 QPMISQOZCBRDNW Deviation = 3.73ppm
Search WEB for skeleton |
|
![]()
|
|
|
Structure Proposal # 578 RXWKRZXHFSUPJE Deviation = 3.74ppm
Search WEB for skeleton |
|
![]()
|
|
|
Structure Proposal # 579 GWDFRCRQTJOYQO Deviation = 3.74ppm
Search WEB for skeleton respect to your proposal |
|
![]()
|
|
|
Structure Proposal # 580 FYKZFFWROXYCGI Deviation = 3.74ppm
Search WEB for skeleton |
|
![]()
|
|
|
Structure Proposal # 581 SBSNXTJRKOAZAQ Deviation = 3.74ppm
Search WEB for skeleton respect to your proposal |
|
![]()
|
|
|
Structure Proposal # 582 NBYICGISHTXUKK Deviation = 3.74ppm
Search WEB for skeleton |
|
![]()
|
|
|
Structure Proposal # 583 MZIDJWFTDNXMCI Deviation = 3.74ppm
Search WEB for skeleton |
|
![]()
|
|
|
Structure Proposal # 584 HJKHDVFTBTVVGN Deviation = 3.75ppm
Search WEB for skeleton |
|
![]()
|
|
|
Structure Proposal # 585 VZLFLGHSBMQFDQ Deviation = 3.75ppm
Search WEB for skeleton respect to your proposal |
|
![]()
|
|
|
Structure Proposal # 586 OCFBHNSWWBRKEK Deviation = 3.75ppm
Search WEB for skeleton |
|
![]()
|
|
|
Structure Proposal # 587 YJARLNFIEXYUDN Deviation = 3.75ppm
Search WEB for skeleton |
|
![]()
|
|
|
Structure Proposal # 588 RUVMOMQAPQAARF Deviation = 3.75ppm
Search WEB for skeleton |
|
![]()
|
|
|
Structure Proposal # 589 YXPXSGAIPKKHLD Deviation = 3.75ppm
Search WEB for skeleton |
|
![]()
|
|
|
Structure Proposal # 590 HGQSWPSMSBRTKI Deviation = 3.76ppm
Search WEB for skeleton |
|
![]()
|
|
|
Structure Proposal # 591 HDXGQLLGZCSXAT Deviation = 3.76ppm
Search WEB for skeleton respect to your proposal |
|
![]()
|
|
|
Structure Proposal # 592 DZKVYVBVPHYCPK Deviation = 3.76ppm
Search WEB for skeleton |
|
![]()
|
|
|
Structure Proposal # 593 WTXWNMWUYPEJMB Deviation = 3.76ppm
Search WEB for skeleton |
|
![]()
|
|
|
Structure Proposal # 594 JRCUNBXGFPMTJC Deviation = 3.76ppm
Search WEB for skeleton |
|
![]()
|
|
|
Structure Proposal # 595 ATVUJLDMJKQGJS Deviation = 3.76ppm
Search WEB for skeleton |
|
![]()
|
|
|
Structure Proposal # 596 UXIWGKYLVMTSHA Deviation = 3.76ppm
Search WEB for skeleton |
|
![]()
|
|
|
Structure Proposal # 597 IQMRBFNLKSLGGF Deviation = 3.76ppm
Search WEB for skeleton |
|
![]()
|
|
|
Structure Proposal # 598 CUKMHIFURIVNOK Deviation = 3.76ppm
Search WEB for skeleton |
|
![]()
|
|
|
Structure Proposal # 599 DBDUULMGAXLBQO Deviation = 3.77ppm
Search WEB for skeleton |
|
![]()
|
|
|
Structure Proposal # 600 ZUZGMKMDQDOWFV Deviation = 3.77ppm
Search WEB for skeleton respect to your proposal |
|
![]()
|
|
|
Structure Proposal # 601 MMQIORWQDWDOEN Deviation = 3.77ppm
Search WEB for skeleton respect to your proposal |
|
![]()
|
|
|
Structure Proposal # 602 AHILWWNYRANFDL Deviation = 3.77ppm
Search WEB for skeleton respect to your proposal |
|
![]()
|
|
|
Structure Proposal # 603 ZPKGPKKIZNUOES Deviation = 3.77ppm
Search WEB for skeleton respect to your proposal |
|
![]()
|
|
|
Structure Proposal # 604 IKFUYLMFRLGHHA Deviation = 3.77ppm
Search WEB for skeleton respect to your proposal |
|
![]()
|
|
|
Structure Proposal # 605 ZMFWIMKDBSBUME Deviation = 3.77ppm
Search WEB for skeleton |
|
![]()
|
|
|
Structure Proposal # 606 PPOGVBAGTZHTLP Deviation = 3.77ppm
Search WEB for skeleton respect to your proposal |
|
![]()
|
|
|
Structure Proposal # 607 AEVBIQOADYYCGJ Deviation = 3.78ppm
Search WEB for skeleton respect to your proposal |
|
![]()
|
|
|
Structure Proposal # 608 XMAVTTJMDOKNQM Deviation = 3.78ppm
Search WEB for skeleton |
|
![]()
|
|
|
Structure Proposal # 609 FOCCWXONJIUSMS Deviation = 3.78ppm
Search WEB for skeleton |
|
![]()
|
|
|
Structure Proposal # 610 SAZLYZHWSABEFP Deviation = 3.78ppm
Search WEB for skeleton |
|
![]()
|
|
|
Structure Proposal # 611 XORREFFOFPYGMA Deviation = 3.78ppm
Search WEB for skeleton respect to your proposal |
|
![]()
|
|
|
Structure Proposal # 612 HTOUUMHBXKNKQB Deviation = 3.78ppm
Search WEB for skeleton |
|
![]()
|
|
|
Structure Proposal # 613 BFIUVAXDDCSGOD Deviation = 3.79ppm
Search WEB for skeleton |
|
![]()
|
|
|
Structure Proposal # 614 WVPWWPDHVLQURY Deviation = 3.79ppm
Search WEB for skeleton |
|
![]()
|
|
|
Structure Proposal # 615 ZEOOQGXUDXCNMV Deviation = 3.79ppm
Search WEB for skeleton respect to your proposal |
|
![]()
|
|
|
Structure Proposal # 616 MZNJYENISXEEDD Deviation = 3.79ppm
Search WEB for skeleton |
|
![]()
|
|
|
Structure Proposal # 617 FLKNUINTRRFGKP Deviation = 3.79ppm
Search WEB for skeleton |
|
![]()
|
|
|
Structure Proposal # 618 ZESJBGVUHATNBC Deviation = 3.79ppm
Search WEB for skeleton |
|
![]()
|
|
|
Structure Proposal # 619 ORZREKNUJDSZLE Deviation = 3.79ppm
Search WEB for skeleton |
|
![]()
|
|
|
Structure Proposal # 620 DGJNGUWFKJZKQC Deviation = 3.80ppm
Search WEB for skeleton |
|
![]()
|
|
|
Structure Proposal # 621 KKQSAJLUASWDGG Deviation = 3.80ppm
Search WEB for skeleton |
|
![]()
|
|
|
Structure Proposal # 622 JJJAGKUOJDVQTR Deviation = 3.80ppm
Search WEB for skeleton |
|
![]()
|
|
|
Structure Proposal # 623 SKJFNHYXQRJHGE Deviation = 3.80ppm
Search WEB for skeleton |
|
![]()
|
|
|
Structure Proposal # 624 RICYXSKFGYHOKM Deviation = 3.80ppm
Search WEB for skeleton respect to your proposal |
|
![]()
|
|
|
Structure Proposal # 625 ZHTCRUSYSFTAOU Deviation = 3.80ppm
Search WEB for skeleton |
|
![]()
|
|
|
Structure Proposal # 626 AEAHXXKLGSGJJK Deviation = 3.80ppm
Search WEB for skeleton |
|
![]()
|
|
|
Structure Proposal # 627 UHIVAMURSHQMEJ Deviation = 3.80ppm
Search WEB for skeleton |
|
![]()
|
|
|
Structure Proposal # 628 SOWQBKGCGFBCJO Deviation = 3.80ppm
Search WEB for skeleton |
|
![]()
|
|
|
Structure Proposal # 629 UAUMCSBTDYTESE Deviation = 3.81ppm
Search WEB for skeleton |
|
![]()
|
|
|
Structure Proposal # 630 URNPJIRGHWHWJU Deviation = 3.81ppm
Search WEB for skeleton |
|
![]()
|
|
|
Structure Proposal # 631 BEPQEVMVCDDVLO Deviation = 3.81ppm
Search WEB for skeleton |
|
![]()
|
|
|
Structure Proposal # 632 QETVXKIFRHUGGJ Deviation = 3.81ppm
Search WEB for skeleton respect to your proposal |
|
![]()
|
|
|
Structure Proposal # 633 NLNBWLPAHFOQDQ Deviation = 3.81ppm
Search WEB for skeleton respect to your proposal |
|
![]()
|
|
|
Structure Proposal # 634 FGXIRBVSCZIGNJ Deviation = 3.82ppm
Search WEB for skeleton |
|
![]()
|
|
|
Structure Proposal # 635 ZMIJPOXJBZPVHW Deviation = 3.82ppm
Search WEB for skeleton respect to your proposal |
|
![]()
|
|
|
Structure Proposal # 636 NEWBAHOUQFMFKW Deviation = 3.82ppm
Search WEB for skeleton |
|
![]()
|
|
|
Structure Proposal # 637 WVMOCJHFTIVECJ Deviation = 3.82ppm
Search WEB for skeleton |
|
![]()
|
|
|
Structure Proposal # 638 VUHKDTHMCUDZQK Deviation = 3.82ppm
Search WEB for skeleton |
|
![]()
|
|
|
Structure Proposal # 639 QCKXHBLZBJTKDU Deviation = 3.82ppm
Search WEB for skeleton |
|
![]()
|
|
|
Structure Proposal # 640 HBCJCQBULNEJPG Deviation = 3.82ppm
Search WEB for skeleton |
|
![]()
|
|
|
Structure Proposal # 641 HAMVKQIHFZAFOI Deviation = 3.82ppm
Search WEB for skeleton |
|
![]()
|
|
|
Structure Proposal # 642 HBUDZOLRZCKTDM Deviation = 3.82ppm
Search WEB for skeleton |
|
![]()
|
|
|
Structure Proposal # 643 NNERHLUBDGFPKW Deviation = 3.82ppm
Search WEB for skeleton |
|
![]()
|
|
|
Structure Proposal # 644 QASMZGISSAUBDF Deviation = 3.82ppm
Search WEB for skeleton |
|
![]()
|
|
|
Structure Proposal # 645 IWTYUWVSKSCSFD Deviation = 3.82ppm
Search WEB for skeleton |
|
![]()
|
|
|
Structure Proposal # 646 VJFTXUOIKOKHNQ Deviation = 3.83ppm
Search WEB for skeleton |
|
![]()
|
|
|
Structure Proposal # 647 DPNIYFDAGCCZAH Deviation = 3.83ppm
Search WEB for skeleton |
|
![]()
|
|
|
Structure Proposal # 648 QQIPIRSJINLSHQ Deviation = 3.83ppm
Search WEB for skeleton |
|
![]()
|
|
|
Structure Proposal # 649 QGJPGWKSTUHUJZ Deviation = 3.83ppm
Search WEB for skeleton |
|
![]()
|
|
|
Structure Proposal # 650 JLNSUOLXPQCGMX Deviation = 3.83ppm
Search WEB for skeleton |
|
![]()
|
|
|
Structure Proposal # 651 RVCASNRWPLNSCV Deviation = 3.83ppm
Search WEB for skeleton |
|
![]()
|
|
|
Structure Proposal # 652 DYLYBTXJVAQQIB Deviation = 3.83ppm
Search WEB for skeleton |
|
![]()
|
|
|
Structure Proposal # 653 XQGVEQXAZPJNQU Deviation = 3.83ppm
Search WEB for skeleton respect to your proposal |
|
![]()
|
|
|
Structure Proposal # 654 KPBINJHPRQWEJV Deviation = 3.83ppm
Search WEB for skeleton respect to your proposal |
|
![]()
|
|
|
Structure Proposal # 655 VIXVHUIGCVHXOV Deviation = 3.84ppm
Search WEB for skeleton |
|
![]()
|
|
|
Structure Proposal # 656 NQPDBSTWGYWGQV Deviation = 3.84ppm
Search WEB for skeleton |
|
![]()
|
|
|
Structure Proposal # 657 AQQZGIBEMHJABA Deviation = 3.84ppm
Search WEB for skeleton respect to your proposal |
|
![]()
|
|
|
Structure Proposal # 658 CHGQXYFDGFHLPI Deviation = 3.84ppm
Search WEB for skeleton respect to your proposal |
|
![]()
|
|
|
Structure Proposal # 659 ASAPKRYFHATJFE Deviation = 3.84ppm
Search WEB for skeleton respect to your proposal |
|
![]()
|
|
|
Structure Proposal # 660 PETMWMPARDYRBJ Deviation = 3.84ppm
Search WEB for skeleton |
|
![]()
|
|
|
Structure Proposal # 661 MLXKEMQZBDJFGB Deviation = 3.84ppm
Search WEB for skeleton |
|
![]()
|
|
|
Structure Proposal # 662 IFDNFAIKFGHQRA Deviation = 3.84ppm
Search WEB for skeleton |
|
![]()
|
|
|
Structure Proposal # 663 WOYBFZWMNQKVBP Deviation = 3.84ppm
Search WEB for skeleton |
|
![]()
|
|
|
Structure Proposal # 664 IBZWBHFYGIEAOU Deviation = 3.84ppm
Search WEB for skeleton respect to your proposal |
|
![]()
|
|
|
Structure Proposal # 665 RYFYGGPGMQILDC Deviation = 3.85ppm
Search WEB for skeleton |
|
![]()
|
|
|
Structure Proposal # 666 GFEKMAZUTVWFBY Deviation = 3.85ppm
Search WEB for skeleton |
|
![]()
|
|
|
Structure Proposal # 667 QOPBAKDBXRMGHJ Deviation = 3.85ppm
Search WEB for skeleton respect to your proposal |
|
![]()
|
|
|
Structure Proposal # 668 OSISZPOJPGUECR Deviation = 3.85ppm
Search WEB for skeleton |
|
![]()
|
|
|
Structure Proposal # 669 YEGWIJLLTFSDHN Deviation = 3.85ppm
Search WEB for skeleton |
|
![]()
|
|
|
Structure Proposal # 670 SJSSXQPEDCXCTR Deviation = 3.85ppm
Search WEB for skeleton respect to your proposal |
|
![]()
|
|
|
Structure Proposal # 671 KNPRTPVFFCQWNA Deviation = 3.85ppm
Search WEB for skeleton respect to your proposal |
|
![]()
|
|
|
Structure Proposal # 672 XZHKXFZSSVMTGQ Deviation = 3.85ppm
Search WEB for skeleton |
|
![]()
|
|
|
Structure Proposal # 673 LRTGLHGVXJHMTR Deviation = 3.85ppm
Search WEB for skeleton |
|
![]()
|
|
|
Structure Proposal # 674 DNAFWGMCJDFVCB Deviation = 3.85ppm
Search WEB for skeleton |
|
![]()
|
|
|
Structure Proposal # 675 RGANVMRHBICJCT Deviation = 3.86ppm
Search WEB for skeleton |
|
![]()
|
|
|
Structure Proposal # 676 XGGOLTSGTRTTGX Deviation = 3.86ppm
Search WEB for skeleton respect to your proposal |
|
![]()
|
|
|
Structure Proposal # 677 ZPXMXZHFUYADED Deviation = 3.86ppm
Search WEB for skeleton |
|
![]()
|
|
|
Structure Proposal # 678 WQYXZZZLMJFDDM Deviation = 3.86ppm
Search WEB for skeleton respect to your proposal |
|
![]()
|
|
|
Structure Proposal # 679 AWZRGKVBUCQTDT Deviation = 3.86ppm
Search WEB for skeleton |
|
![]()
|
|
|
Structure Proposal # 680 BGGLPZODTCXKQG Deviation = 3.86ppm
Search WEB for skeleton |
|
![]()
|
|
|
Structure Proposal # 681 IRHZRPDSWIJXGT Deviation = 3.86ppm
Search WEB for skeleton respect to your proposal |
|
![]()
|
|
|
Structure Proposal # 682 WFHYPHACASPLBU Deviation = 3.86ppm
Search WEB for skeleton |
|
![]()
|
|
|
Structure Proposal # 683 PJUMBQNWOKBFNC Deviation = 3.87ppm
Search WEB for skeleton |
|
![]()
|
|
|
Structure Proposal # 684 KYTUWTMIWQZACM Deviation = 3.87ppm
Search WEB for skeleton respect to your proposal |
|
![]()
|
|
|
Structure Proposal # 685 AJFSRUROSIAQJB Deviation = 3.87ppm
Search WEB for skeleton respect to your proposal |
|
![]()
|
|
|
Structure Proposal # 686 SWUZWQRMBJBSJL Deviation = 3.87ppm
Search WEB for skeleton |
|
![]()
|
|
|
Structure Proposal # 687 DECJPSKNHXJKBO Deviation = 3.87ppm
Search WEB for skeleton |
|
![]()
|
|
|
Structure Proposal # 688 OOPWWXBTPSAKGC Deviation = 3.87ppm
Search WEB for skeleton |
|
![]()
|
|
|
Structure Proposal # 689 NSHCLPWVAZUJHM Deviation = 3.87ppm
Search WEB for skeleton |
|
![]()
|
|
|
Structure Proposal # 690 HPNWLLPIAMWOTH Deviation = 3.87ppm
Search WEB for skeleton |
|
![]()
|
|
|
Structure Proposal # 691 FUYZASXNEOZRIN Deviation = 3.87ppm
Search WEB for skeleton |
|
![]()
|
|
|
Structure Proposal # 692 LHMPZVUDMJBYKH Deviation = 3.87ppm
Search WEB for skeleton |
|
![]()
|
|
|
Structure Proposal # 693 TZONOYICSYAWPA Deviation = 3.88ppm
Search WEB for skeleton |
|
![]()
|
|
|
Structure Proposal # 694 CKQLSCJTUKIEEC Deviation = 3.88ppm
Search WEB for skeleton |
|
![]()
|
|
|
Structure Proposal # 695 RVHLFUOIXZIJPC Deviation = 3.88ppm
Search WEB for skeleton |
|
![]()
|
|
|
Structure Proposal # 696 OJHBRFKPROZUES Deviation = 3.88ppm
Search WEB for skeleton |
|
![]()
|
|
|
Structure Proposal # 697 XTEWPJCSIPXLGP Deviation = 3.88ppm
Search WEB for skeleton |
|
![]()
|
|
|
Structure Proposal # 698 WDOPHBTYIMOLPL Deviation = 3.88ppm
Search WEB for skeleton |
|
![]()
|
|
|
Structure Proposal # 699 WKFYESULMZAWGI Deviation = 3.88ppm
Search WEB for skeleton |
|
![]()
|
|
|
Structure Proposal # 700 MQTLXFAKVCWRIA Deviation = 3.89ppm
Search WEB for skeleton |
|
![]()
|
|
|
Structure Proposal # 701 BEWJAMBDNMVSSB Deviation = 3.89ppm
Search WEB for skeleton |
|
![]()
|
|
|
Structure Proposal # 702 OHHJJGXRWGHDDG Deviation = 3.89ppm
Search WEB for skeleton |
|
![]()
|
|
|
Structure Proposal # 703 LUWRGCHNKLFQNK Deviation = 3.89ppm
Search WEB for skeleton respect to your proposal |
|
![]()
|
|
|
Structure Proposal # 704 ALCOGGQRRPPFLC Deviation = 3.89ppm
Search WEB for skeleton |
|
![]()
|
|
|
Structure Proposal # 705 LTWYIUNZNCQXKU Deviation = 3.89ppm
Search WEB for skeleton |
|
![]()
|
|
|
Structure Proposal # 706 HGGCRJKODHNGFO Deviation = 3.89ppm
Search WEB for skeleton |
|
![]()
|
|
|
Structure Proposal # 707 OFMMJRXXIWBJHF Deviation = 3.89ppm
Search WEB for skeleton respect to your proposal |
|
![]()
|
|
|
Structure Proposal # 708 YHWRXQJJEVNQAM Deviation = 3.89ppm
Search WEB for skeleton |
|
![]()
|
|
|
Structure Proposal # 709 FCYYNUVMNJFHNK Deviation = 3.90ppm
Search WEB for skeleton |
|
![]()
|
|
|
Structure Proposal # 710 OLRFWAYXMHLRHJ Deviation = 3.90ppm
Search WEB for skeleton |
|
![]()
|
|
|
Structure Proposal # 711 TYXMRHCLVHDVEY Deviation = 3.90ppm
Search WEB for skeleton |
|
![]()
|
|
|
Structure Proposal # 712 MZDMTUCNLMLSOM Deviation = 3.90ppm
Search WEB for skeleton |
|
![]()
|
|
|
Structure Proposal # 713 UJYDUVFHRHVMRE Deviation = 3.90ppm
Search WEB for skeleton respect to your proposal |
|
![]()
|
|
|
Structure Proposal # 714 DUWHUHZLIOOYOJ Deviation = 3.90ppm
Search WEB for skeleton |
|
![]()
|
|
|
Structure Proposal # 715 ZGERGCHNOLNUFY Deviation = 3.90ppm
Search WEB for skeleton |
|
![]()
|
|
|
Structure Proposal # 716 CZFLTCTWDSEIDC Deviation = 3.90ppm
Search WEB for skeleton |
|
![]()
|
|
|
Structure Proposal # 717 FPDJAKQBOFRHLD Deviation = 3.90ppm
Search WEB for skeleton |
|
![]()
|
|
|
Structure Proposal # 718 CEEXGBUORIHNMR Deviation = 3.90ppm
Search WEB for skeleton |
|
![]()
|
|
|
Structure Proposal # 719 ZYCCBDGBWRTHGZ Deviation = 3.90ppm
Search WEB for skeleton |
|
![]()
|
|
|
Structure Proposal # 720 KMRHOZWUHPCQKN Deviation = 3.91ppm
Search WEB for skeleton respect to your proposal |
|
![]()
|
|
|
Structure Proposal # 721 QTJXBKPKFKYMCD Deviation = 3.91ppm
Search WEB for skeleton |
|
![]()
|
|
|
Structure Proposal # 722 UJJYKGVFNCWDFL Deviation = 3.91ppm
Search WEB for skeleton |
|
![]()
|
|
|
Structure Proposal # 723 SBGDTFQAVBZCQY Deviation = 3.91ppm
Search WEB for skeleton |
|
![]()
|
|
|
Structure Proposal # 724 JLCHHPTVBWEJOY Deviation = 3.92ppm
Search WEB for skeleton |
|
![]()
|
|
|
Structure Proposal # 725 GOUAIPXGZBTZFS Deviation = 3.92ppm
Search WEB for skeleton |
|
![]()
|
|
|
Structure Proposal # 726 AJHDKGUIHHUPPW Deviation = 3.92ppm
Search WEB for skeleton |
|
![]()
|
|
|
Structure Proposal # 727 OZPRJSQRZMMYCA Deviation = 3.92ppm
Search WEB for skeleton |
|
![]()
|
|
|
Structure Proposal # 728 HMQTYRLVUWCEFM Deviation = 3.92ppm
Search WEB for skeleton |
|
![]()
|
|
|
Structure Proposal # 729 XTHAITXLUHTVOF Deviation = 3.93ppm
Search WEB for skeleton |
|
![]()
|
|
|
Structure Proposal # 730 ICYTZOQNTVPDSP Deviation = 3.93ppm
Search WEB for skeleton |
|
![]()
|
|
|
Structure Proposal # 731 DWOFZVJIMJQMNF Deviation = 3.93ppm
Search WEB for skeleton |
|
![]()
|
|
|
Structure Proposal # 732 RHAPOGOMBGUDQA Deviation = 3.93ppm
Search WEB for skeleton Compound from PUBCHEM |
|
![]()
|
|
|
Structure Proposal # 733 MOCNVWYDSXSIBL Deviation = 3.93ppm
Search WEB for skeleton |
|
![]()
|
|
|
Structure Proposal # 734 XLYBMFKVEIXJQK Deviation = 3.93ppm
Search WEB for skeleton |
|
![]()
|
|
|
Structure Proposal # 735 SBURQJMWWSTSMQ Deviation = 3.94ppm
Search WEB for skeleton |
|
![]()
|
|
|
Structure Proposal # 736 AYGOJQIQYXEDGY Deviation = 3.94ppm
Search WEB for skeleton respect to your proposal |
|
![]()
|
|
|
Structure Proposal # 737 QXPHZRJHKIPWGK Deviation = 3.94ppm
Search WEB for skeleton |
|
![]()
|
|
|
Structure Proposal # 738 MTOOKDVEZCCWCG Deviation = 3.94ppm
Search WEB for skeleton |
|
![]()
|
|
|
Structure Proposal # 739 AAULGMHJVDATAM Deviation = 3.94ppm
Search WEB for skeleton respect to your proposal |
|
![]()
|
|
|
Structure Proposal # 740 LWPRLAANRDFZBK Deviation = 3.94ppm
Search WEB for skeleton |
|
![]()
|
|
|
Structure Proposal # 741 POPLMNQFEQPLSY Deviation = 3.94ppm
Search WEB for skeleton |
|
![]()
|
|
|
Structure Proposal # 742 HSTYZTYRYHVPOP Deviation = 3.94ppm
Search WEB for skeleton |
|
![]()
|
|
|
Structure Proposal # 743 ZFOMYGGHXSFEDE Deviation = 3.94ppm
Search WEB for skeleton |
|
![]()
|
|
|
Structure Proposal # 744 PYMXHIGNDDQEPX Deviation = 3.94ppm
Search WEB for skeleton |
|
![]()
|
|
|
Structure Proposal # 745 LELVRFIDBIISKM Deviation = 3.94ppm
Search WEB for skeleton |
|
![]()
|
|
|
Structure Proposal # 746 AURCCCNLIFKZBZ Deviation = 3.94ppm
Search WEB for skeleton |
|
![]()
|
|
|
Structure Proposal # 747 ZONIUHCBMKIFFN Deviation = 3.95ppm
Search WEB for skeleton |
|
![]()
|
|
|
Structure Proposal # 748 HWXDFCZIECKFIG Deviation = 3.95ppm
Search WEB for skeleton |
|
![]()
|
|
|
Structure Proposal # 749 BSZZEBAMVMRFEY Deviation = 3.95ppm
Search WEB for skeleton |
|
![]()
|
|
|
Structure Proposal # 750 OVQYHMVICDWWOF Deviation = 3.95ppm
Search WEB for skeleton |
|
![]()
|
|
|
Structure Proposal # 751 LTJJDMVXKKHFIV Deviation = 3.95ppm
Search WEB for skeleton respect to your proposal |
|
![]()
|
|
|
Structure Proposal # 752 VAIOBVCSXHLSPG Deviation = 3.95ppm
Search WEB for skeleton |
|
![]()
|
|
|
Structure Proposal # 753 LKPKKOWTHHGOND Deviation = 3.96ppm
Search WEB for skeleton |
|
![]()
|
|
|
Structure Proposal # 754 AJVUMKFGGWCNPM Deviation = 3.96ppm
Search WEB for skeleton |
|
![]()
|
|
|
Structure Proposal # 755 IYMJNSCLAPTOSW Deviation = 3.96ppm
Search WEB for skeleton |
|
![]()
|
|
|
Structure Proposal # 756 AZPQQAFUTAZSTG Deviation = 3.96ppm
Search WEB for skeleton respect to your proposal |
|
![]()
|
|
|
Structure Proposal # 757 OABWKWBXLZUCPW Deviation = 3.96ppm
Search WEB for skeleton |
|
![]()
|
|
|
Structure Proposal # 758 SCUWGIBNYHPOPM Deviation = 3.96ppm
Search WEB for skeleton respect to your proposal |
|
![]()
|
|
|
Structure Proposal # 759 WHWJCAPWNJZTSZ Deviation = 3.96ppm
Search WEB for skeleton |
|
![]()
|
|
|
Structure Proposal # 760 KTZLDTPQEDEFQZ Deviation = 3.96ppm
Search WEB for skeleton |
|
![]()
|
|
|
Structure Proposal # 761 NSOLQZIMHLUMGQ Deviation = 3.97ppm
Search WEB for skeleton |
|
![]()
|
|
|
Structure Proposal # 762 WFFURKYALHQFKY Deviation = 3.97ppm
Search WEB for skeleton |
|
![]()
|
|
|
Structure Proposal # 763 BWOZMZIDMJONSO Deviation = 3.97ppm
Search WEB for skeleton respect to your proposal |
|
![]()
|
|
|
Structure Proposal # 764 NFSGVOBSPZJAII Deviation = 3.97ppm
Search WEB for skeleton |
|
![]()
|
|
|
Structure Proposal # 765 COSSNOOWKPWUBS Deviation = 3.98ppm
Search WEB for skeleton |
|
![]()
|
|
|
Structure Proposal # 766 KMBNBTOAKNYDTD Deviation = 3.98ppm
Search WEB for skeleton respect to your proposal |
|
![]()
|
|
|
Structure Proposal # 767 JELWNWISDKZHSJ Deviation = 3.98ppm
Search WEB for skeleton |
|
![]()
|
|
|
Structure Proposal # 768 GTNLCHFVKHOUCO Deviation = 3.98ppm
Search WEB for skeleton |
|
![]()
|
|
|
Structure Proposal # 769 HHXVSSRFKYXVQH Deviation = 3.98ppm
Search WEB for skeleton |
|
![]()
|
|
|
Structure Proposal # 770 RNGNVQGQGGQPDW Deviation = 3.98ppm
Search WEB for skeleton |
|
![]()
|
|
|
Structure Proposal # 771 OBVXSZQNVGSODB Deviation = 3.98ppm
Search WEB for skeleton |
|
![]()
|
|
|
Structure Proposal # 772 FHDKTJGRZBFESZ Deviation = 3.98ppm
Search WEB for skeleton |
|
![]()
|
|
|
Structure Proposal # 773 CLKSGUUUVKLQAE Deviation = 3.98ppm
Search WEB for skeleton |
|
![]()
|
|
|
Structure Proposal # 774 KDAWQQXXYTZQJJ Deviation = 3.98ppm
Search WEB for skeleton respect to your proposal |
|
![]()
|
|
|
Structure Proposal # 775 XTHDNDNWCSSBQN Deviation = 3.98ppm
Search WEB for skeleton |
|
![]()
|
|
|
Structure Proposal # 776 VHSGSUVLSKEMKW Deviation = 3.99ppm
Search WEB for skeleton respect to your proposal |
|
![]()
|
|
|
Structure Proposal # 777 RIDUBUATLGRHIB Deviation = 3.99ppm
Search WEB for skeleton |
|
![]()
|
|
|
Structure Proposal # 778 BPNIYUZNXBSPMJ Deviation = 3.99ppm
Search WEB for skeleton |
|
![]()
|
|
|
Structure Proposal # 779 OQBXNTAAMVVLCH Deviation = 3.99ppm
Search WEB for skeleton |
|
![]()
|
|
|
Structure Proposal # 780 VJFPMGAMNLHHBE Deviation = 3.99ppm
Search WEB for skeleton |
|
![]()
|
|
|
Structure Proposal # 781 HUYDUQQYLGEEKM Deviation = 3.99ppm
Search WEB for skeleton respect to your proposal |
|
![]()
|
|
|
Structure Proposal # 782 SIYSDAZYHCGYJY Deviation = 4.00ppm
Search WEB for skeleton |
|
![]()
|
|
|
Structure Proposal # 783 CNSKKQFCTWGQGJ Deviation = 4.00ppm
Search WEB for skeleton |
|
![]()
|
|
|
Structure Proposal # 784 HBMVPZLZTKXISZ Deviation = 4.00ppm
Search WEB for skeleton |
|
![]()
|
|
|
Structure Proposal # 785 GSORQGQEPONJJG Deviation = 4.00ppm
Search WEB for skeleton respect to your proposal |
|
![]()
|
|
|
Structure Proposal # 786 VTKVXAQHSFTUHM Deviation = 4.00ppm
Search WEB for skeleton respect to your proposal |
|
![]()
|
|
|
Structure Proposal # 787 PJHRKJVHOCBLKO Deviation = 4.01ppm
Search WEB for skeleton |
|
![]()
|
|
|
Structure Proposal # 788 IIHAOLNIAIUILN Deviation = 4.01ppm
Search WEB for skeleton respect to your proposal |
|
![]()
|
|
|
Structure Proposal # 789 UDTLUVUKWQMUFF Deviation = 4.01ppm
Search WEB for skeleton |
|
![]()
|
|
|
Structure Proposal # 790 CODKSQFLGNPQLW Deviation = 4.01ppm
Search WEB for skeleton |
|
![]()
|
|
|
Structure Proposal # 791 SUWCEQLYHGZEAJ Deviation = 4.01ppm
Search WEB for skeleton |
|
![]()
|
|
|
Structure Proposal # 792 UCFYUOAFBQYKPN Deviation = 4.01ppm
Search WEB for skeleton |
|
![]()
|
|
|
Structure Proposal # 793 GGPJYQUCQNOYEX Deviation = 4.01ppm
Search WEB for skeleton |
|
![]()
|
|
|
Structure Proposal # 794 WRUWZFTWYLIDKQ Deviation = 4.01ppm
Search WEB for skeleton respect to your proposal |
|
![]()
|
|
|
Structure Proposal # 795 PJUFYYUVCQQJQM Deviation = 4.01ppm
Search WEB for skeleton |
|
![]()
|
|
|
Structure Proposal # 796 UNBOCLPVPDLIAI Deviation = 4.01ppm
Search WEB for skeleton |
|
![]()
|
|
|
Structure Proposal # 797 CEPWBTWOYTXIOS Deviation = 4.02ppm
Search WEB for skeleton respect to your proposal |
|
![]()
|
|
|
Structure Proposal # 798 HYRBVZJAYQUWBE Deviation = 4.02ppm
Search WEB for skeleton |
|
![]()
|
|
|
Structure Proposal # 799 UPLWFZLTVNOFFF Deviation = 4.02ppm
Search WEB for skeleton respect to your proposal |
|
![]()
|
|
|
Structure Proposal # 800 FHGNQHUBKRUNEO Deviation = 4.02ppm
Search WEB for skeleton |
|
![]()
|
|
|
Structure Proposal # 801 NPSNQGOYBADWJX Deviation = 4.02ppm
Search WEB for skeleton |
|
![]()
|
|
|
Structure Proposal # 802 VQUFQLACEFYBLP Deviation = 4.02ppm
Search WEB for skeleton |
|
![]()
|
|
|
Structure Proposal # 803 PVXOQFDICNQKHU Deviation = 4.02ppm
Search WEB for skeleton |
|
![]()
|
|
|
Structure Proposal # 804 PXVQVDDYXBQIKR Deviation = 4.02ppm
Search WEB for skeleton |
|
![]()
|
|
|
Structure Proposal # 805 OOCQLLWIJIGREL Deviation = 4.02ppm
Search WEB for skeleton respect to your proposal |
|
![]()
|
|
|
Structure Proposal # 806 MMKCHFTWPCAPLK Deviation = 4.02ppm
Search WEB for skeleton |
|
![]()
|
|
|
Structure Proposal # 807 ZMBOBJLRNRPNLF Deviation = 4.02ppm
Search WEB for skeleton |
|
![]()
|
|
|
Structure Proposal # 808 AHCXGUSTYMKWCD Deviation = 4.03ppm
Search WEB for skeleton |
|
![]()
|
|
|
Structure Proposal # 809 XVDPGLWFLMZAFH Deviation = 4.03ppm
Search WEB for skeleton |
|
![]()
|
|
|
Structure Proposal # 810 CKLRNIWQJJBWAL Deviation = 4.03ppm
Search WEB for skeleton |
|
![]()
|
|
|
Structure Proposal # 811 RLIYBJRIRNZFRT Deviation = 4.03ppm
Search WEB for skeleton |
|
![]()
|
|
|
Structure Proposal # 812 YMOJVBBOVWNKDW Deviation = 4.04ppm
Search WEB for skeleton |
|
![]()
|
|
|
Structure Proposal # 813 FBFWNKYUANYJGZ Deviation = 4.04ppm
Search WEB for skeleton |
|
![]()
|
|
|
Structure Proposal # 814 JSPMAOLPXIDTMI Deviation = 4.04ppm
Search WEB for skeleton |
|
![]()
|
|
|
Structure Proposal # 815 COKVRBYHJHUOCZ Deviation = 4.04ppm
Search WEB for skeleton respect to your proposal |
|
![]()
|
|
|
Structure Proposal # 816 VOZAXPBSYGLXAB Deviation = 4.04ppm
Search WEB for skeleton respect to your proposal |
|
![]()
|
|
|
Structure Proposal # 817 UEEUBJCXBDAMGR Deviation = 4.04ppm
Search WEB for skeleton |
|
![]()
|
|
|
Structure Proposal # 818 SZLPWDGGQSSVJU Deviation = 4.04ppm
Search WEB for skeleton |
|
![]()
|
|
|
Structure Proposal # 819 YQSVSTBTWXVCJQ Deviation = 4.04ppm
Search WEB for skeleton |
|
![]()
|
|
|
Structure Proposal # 820 KQNKEVJWDOOIKD Deviation = 4.04ppm
Search WEB for skeleton |
|
![]()
|
|
|
Structure Proposal # 821 DMMLZUHOVQXWCM Deviation = 4.04ppm
Search WEB for skeleton |
|
![]()
|
|
|
Structure Proposal # 822 ABAIDRBSYIWIPZ Deviation = 4.04ppm
Search WEB for skeleton |
|
![]()
|
|
|
Structure Proposal # 823 ZWQKPGBCLXTUQG Deviation = 4.05ppm
Search WEB for skeleton |
|
![]()
|
|
|
Structure Proposal # 824 CHSQZQTWSJXNDW Deviation = 4.05ppm
Search WEB for skeleton |
|
![]()
|
|
|
Structure Proposal # 825 SSRYYSIJMXPCOW Deviation = 4.05ppm
Search WEB for skeleton |
|
![]()
|
|
|
Structure Proposal # 826 DNQKBJXXOWBCCJ Deviation = 4.05ppm
Search WEB for skeleton |
|
![]()
|
|
|
Structure Proposal # 827 UQCUTYLYGJSERP Deviation = 4.05ppm
Search WEB for skeleton |
|
![]()
|
|
|
Structure Proposal # 828 NBJULILFWHKQPO Deviation = 4.05ppm
Search WEB for skeleton |
|
![]()
|
|
|
Structure Proposal # 829 LLZKHGOKCDCITO Deviation = 4.05ppm
Search WEB for skeleton |
|
![]()
|
|
|
Structure Proposal # 830 CLDUSIPDJDEIKZ Deviation = 4.05ppm
Search WEB for skeleton |
|
![]()
|
|
|
Structure Proposal # 831 NUCROLZOEPAEAB Deviation = 4.05ppm
Search WEB for skeleton |
|
![]()
|
|
|
Structure Proposal # 832 HNCCILUBRRHAHS Deviation = 4.05ppm
Search WEB for skeleton |
|
![]()
|
|
|
Structure Proposal # 833 GQAFJKWNPWNTDK Deviation = 4.05ppm
Search WEB for skeleton respect to your proposal |
|
![]()
|
|
|
Structure Proposal # 834 CBKXARIBZVWRMM Deviation = 4.05ppm
Search WEB for skeleton respect to your proposal |
|
![]()
|
|
|
Structure Proposal # 835 XYOSRSWPRVUYNT Deviation = 4.05ppm
Search WEB for skeleton |
|
![]()
|
|
|
Structure Proposal # 836 IBDOXMZYJWHWCI Deviation = 4.06ppm
Search WEB for skeleton |
|
![]()
|
|
|
Structure Proposal # 837 HMIVLRARYCWQMV Deviation = 4.06ppm
Search WEB for skeleton respect to your proposal |
|
![]()
|
|
|
Structure Proposal # 838 HPBYIICXEXVNLO Deviation = 4.06ppm
Search WEB for skeleton |
|
![]()
|
|
|
Structure Proposal # 839 FMLHEMQDTPTERP Deviation = 4.06ppm
Search WEB for skeleton |
|
![]()
|
|
|
Structure Proposal # 840 GITBQZDRETYSQK Deviation = 4.06ppm
Search WEB for skeleton |
|
![]()
|
|
|
Structure Proposal # 841 FCMMUZSTCNFTMH Deviation = 4.06ppm
Search WEB for skeleton |
|
![]()
|
|
|
Structure Proposal # 842 NJKRDKMBBNRBNL Deviation = 4.07ppm
Search WEB for skeleton |
|
![]()
|
|
|
Structure Proposal # 843 QQYVMCXQHVWGJU Deviation = 4.07ppm
Search WEB for skeleton |
|
![]()
|
|
|
Structure Proposal # 844 CEIJOACYBBDZPU Deviation = 4.07ppm
Search WEB for skeleton respect to your proposal |
|
![]()
|
|
|
Structure Proposal # 845 JTTXIESGOXTTKA Deviation = 4.07ppm
Search WEB for skeleton |
|
![]()
|
|
|
Structure Proposal # 846 HCWAWYHOPJJPML Deviation = 4.07ppm
Search WEB for skeleton |
|
![]()
|
|
|
Structure Proposal # 847 VCOJNFAQWZYIFI Deviation = 4.07ppm
Search WEB for skeleton |
|
![]()
|
|
|
Structure Proposal # 848 VPMNMGNSFSDFQS Deviation = 4.07ppm
Search WEB for skeleton |
|
![]()
|
|
|
Structure Proposal # 849 XMLKSURUEMSAKA Deviation = 4.08ppm
Search WEB for skeleton |
|
![]()
|
|
|
Structure Proposal # 850 VHDISKGXHGXGHB Deviation = 4.08ppm
Search WEB for skeleton respect to your proposal |
|
![]()
|
|
|
Structure Proposal # 851 OCZOQOJDCKOTIG Deviation = 4.08ppm
Search WEB for skeleton |
|
![]()
|
|
|
Structure Proposal # 852 RMHDOSBHWXZUCG Deviation = 4.08ppm
Search WEB for skeleton |
|
![]()
|
|
|
Structure Proposal # 853 SUMKVBSYXVLFMG Deviation = 4.08ppm
Search WEB for skeleton |
|
![]()
|
|
|
Structure Proposal # 854 NLAAHSDWIKEASL Deviation = 4.08ppm
Search WEB for skeleton |
|
![]()
|
|
|
Structure Proposal # 855 OLPIXPIQYKIUPL Deviation = 4.08ppm
Search WEB for skeleton |
|
![]()
|
|
|
Structure Proposal # 856 FWCUQWOMTJCXEB Deviation = 4.08ppm
Search WEB for skeleton |
|
![]()
|
|
|
Structure Proposal # 857 NHIVBEBNURWSJV Deviation = 4.08ppm
Search WEB for skeleton respect to your proposal |
|
![]()
|
|
|
Structure Proposal # 858 PLHBOPMUQNYASU Deviation = 4.08ppm
Search WEB for skeleton |
|
![]()
|
|
|
Structure Proposal # 859 MGZSGUWMEWGIOX Deviation = 4.08ppm
Search WEB for skeleton |
|
![]()
|
|
|
Structure Proposal # 860 LEEWPLUKWPBUGB Deviation = 4.08ppm
Search WEB for skeleton |
|
![]()
|
|
|
Structure Proposal # 861 JWYLVRIENCEXGT Deviation = 4.09ppm
Search WEB for skeleton respect to your proposal |
|
![]()
|
|
|
Structure Proposal # 862 MTEARLKVECGUAK Deviation = 4.09ppm
Search WEB for skeleton |
|
![]()
|
|
|
Structure Proposal # 863 LZAWCWMFTBKXRG Deviation = 4.09ppm
Search WEB for skeleton |
|
![]()
|
|
|
Structure Proposal # 864 OIAHGCGEZKIWKC Deviation = 4.09ppm
Search WEB for skeleton respect to your proposal |
|
![]()
|
|
|
Structure Proposal # 865 OEYRYXRPSTYFLR Deviation = 4.09ppm
Search WEB for skeleton |
|
![]()
|
|
|
Structure Proposal # 866 SSCHMILKJUXLEL Deviation = 4.10ppm
Search WEB for skeleton |
|
![]()
|
|
|
Structure Proposal # 867 ZCSXCAPKBIGOBZ Deviation = 4.10ppm
Search WEB for skeleton |
|
![]()
|
|
|
Structure Proposal # 868 MCBNSMHRMQGDLI Deviation = 4.10ppm
Search WEB for skeleton |
|
![]()
|
|
|
Structure Proposal # 869 SIZQKOWVQVJYPO Deviation = 4.10ppm
Search WEB for skeleton |
|
![]()
|
|
|
Structure Proposal # 870 PSRQDHUVJUYKBP Deviation = 4.10ppm
Search WEB for skeleton |
|
![]()
|
|
|
Structure Proposal # 871 KQSAEGFQLVILCH Deviation = 4.10ppm
Search WEB for skeleton |
|
![]()
|
|
|
Structure Proposal # 872 UNVGUJSWEPRKGV Deviation = 4.10ppm
Search WEB for skeleton |
|
![]()
|
|
|
Structure Proposal # 873 LVRWMWZFTBMBIK Deviation = 4.11ppm
Search WEB for skeleton respect to your proposal |
|
![]()
|
|
|
Structure Proposal # 874 GYJFJJSMDMVYHY Deviation = 4.11ppm
Search WEB for skeleton |
|
![]()
|
|
|
Structure Proposal # 875 ZDMSTDHMCMGBLH Deviation = 4.11ppm
Search WEB for skeleton |
|
![]()
|
|
|
Structure Proposal # 876 PHALVEVGJLGYPM Deviation = 4.11ppm
Search WEB for skeleton respect to your proposal |
|
![]()
|
|
|
Structure Proposal # 877 QFKPKWGCNULDKI Deviation = 4.11ppm
Search WEB for skeleton |
|
![]()
|
|
|
Structure Proposal # 878 RQDLZVBIKNYYIR Deviation = 4.11ppm
Search WEB for skeleton |
|
![]()
|
|
|
Structure Proposal # 879 ACVMFJRAOAPGIF Deviation = 4.11ppm
Search WEB for skeleton |
|
![]()
|
|
|
Structure Proposal # 880 BJXUTVVOYUGEJL Deviation = 4.11ppm
Search WEB for skeleton |
|
![]()
|
|
|
Structure Proposal # 881 NXMWPKVJLUFTTL Deviation = 4.12ppm
Search WEB for skeleton |
|
![]()
|
|
|
Structure Proposal # 882 OSTVCSLMAFKYBJ Deviation = 4.12ppm
Search WEB for skeleton |
|
![]()
|
|
|
Structure Proposal # 883 JWBAPPYHAZVEMS Deviation = 4.12ppm
Search WEB for skeleton |
|
![]()
|
|
|
Structure Proposal # 884 OENBYBDXDSULLV Deviation = 4.12ppm
Search WEB for skeleton |
|
![]()
|
|
|
Structure Proposal # 885 FEHTXNRPGHFEMI Deviation = 4.12ppm
Search WEB for skeleton |
|
![]()
|
|
|
Structure Proposal # 886 JRMJWBZUFOFXNQ Deviation = 4.12ppm
Search WEB for skeleton |
|
![]()
|
|
|
Structure Proposal # 887 VVCWSDSRWMMQHY Deviation = 4.12ppm
Search WEB for skeleton |
|
![]()
|
|
|
Structure Proposal # 888 JUXIBURCGVEKCK Deviation = 4.12ppm
Search WEB for skeleton |
|
![]()
|
|
|
Structure Proposal # 889 OVGUWGCDJSJWLM Deviation = 4.12ppm
Search WEB for skeleton |
|
![]()
|
|
|
Structure Proposal # 890 VPZLZHYKTCBOAA Deviation = 4.12ppm
Search WEB for skeleton |
|
![]()
|
|
|
Structure Proposal # 891 NYWSYJIAYAPQLF Deviation = 4.12ppm
Search WEB for skeleton respect to your proposal |
|
![]()
|
|
|
Structure Proposal # 892 FLMRWXUAEUNCBK Deviation = 4.12ppm
Search WEB for skeleton |
|
![]()
|
|
|
Structure Proposal # 893 LAQYLAMQORWEHK Deviation = 4.12ppm
Search WEB for skeleton |
|
![]()
|
|
|
Structure Proposal # 894 GRAMIBARRQKXRM Deviation = 4.13ppm
Search WEB for skeleton |
|
![]()
|
|
|
Structure Proposal # 895 JCJOEQFUDZXVMA Deviation = 4.13ppm
Search WEB for skeleton respect to your proposal |
|
![]()
|
|
|
Structure Proposal # 896 GMDVPCKCSBNQPW Deviation = 4.13ppm
Search WEB for skeleton |
|
![]()
|
|
|
Structure Proposal # 897 RJSWSFUPVLFZSN Deviation = 4.13ppm
Search WEB for skeleton |
|
![]()
|
|
|
Structure Proposal # 898 NYYOIWUUGOODOZ Deviation = 4.13ppm
Search WEB for skeleton |
|
![]()
|
|
|
Structure Proposal # 899 LZCKZYUZGODUSW Deviation = 4.13ppm
Search WEB for skeleton |
|
![]()
|
|
|
Structure Proposal # 900 GWZLVWGREZORSC Deviation = 4.13ppm
Search WEB for skeleton |
|
![]()
|
|
|
Structure Proposal # 901 CEKSFGWVYPJHFY Deviation = 4.13ppm
Search WEB for skeleton |
|
![]()
|
|
|
Structure Proposal # 902 ZEXIUZRNAQCHDO Deviation = 4.13ppm
Search WEB for skeleton |
|
![]()
|
|
|
Structure Proposal # 903 DFMBSGCUPCEWEL Deviation = 4.13ppm
Search WEB for skeleton |
|
![]()
|
|
|
Structure Proposal # 904 SYHOPAYXGUYUJP Deviation = 4.14ppm
Search WEB for skeleton |
|
![]()
|
|
|
Structure Proposal # 905 SVBZJZZFTOQEPP Deviation = 4.14ppm
Search WEB for skeleton |
|
![]()
|
|
|
Structure Proposal # 906 ZSOYFJSEQCMJBV Deviation = 4.14ppm
Search WEB for skeleton |
|
![]()
|
|
|
Structure Proposal # 907 DIQQTLRCUCQQID Deviation = 4.14ppm
Search WEB for skeleton |
|
![]()
|
|
|
Structure Proposal # 908 DPRLWBLQSCTPPH Deviation = 4.14ppm
Search WEB for skeleton |
|
![]()
|
|
|
Structure Proposal # 909 KCZSHLWJCLJZTL Deviation = 4.14ppm
Search WEB for skeleton |
|
![]()
|
|
|
Structure Proposal # 910 RPNNTZVFFVHUSG Deviation = 4.14ppm
Search WEB for skeleton |
|
![]()
|
|
|
Structure Proposal # 911 XBTWVWDAOWFNBN Deviation = 4.14ppm
Search WEB for skeleton |
|
![]()
|
|
|
Structure Proposal # 912 YBOULSARGAPGDR Deviation = 4.14ppm
Search WEB for skeleton |
|
![]()
|
|
|
Structure Proposal # 913 XQPHMMPBVVUNJU Deviation = 4.14ppm
Search WEB for skeleton respect to your proposal |
|
![]()
|
|
|
Structure Proposal # 914 LGDZDYNRZWXIJE Deviation = 4.14ppm
Search WEB for skeleton |
|
![]()
|
|
|
Structure Proposal # 915 IXSURJORAHJOGO Deviation = 4.15ppm
Search WEB for skeleton |
|
![]()
|
|
|
Structure Proposal # 916 UZYRUKDCHXPJAQ Deviation = 4.15ppm
Search WEB for skeleton |
|
![]()
|
|
|
Structure Proposal # 917 VKMXKLMWEBDMOK Deviation = 4.15ppm
Search WEB for skeleton |
|
![]()
|
|
|
Structure Proposal # 918 CMZWPYQNILTPRC Deviation = 4.15ppm
Search WEB for skeleton |
|
![]()
|
|
|
Structure Proposal # 919 NRRHVMIOIRMELZ Deviation = 4.15ppm
Search WEB for skeleton |
|
![]()
|
|
|
Structure Proposal # 920 HMRAQHRESVJCHP Deviation = 4.15ppm
Search WEB for skeleton |
|
![]()
|
|
|
Structure Proposal # 921 VXJBETDSLMRXBX Deviation = 4.15ppm
Search WEB for skeleton |
|
![]()
|
|
|
Structure Proposal # 922 JRNGMVCAVYPFDV Deviation = 4.15ppm
Search WEB for skeleton |
|
![]()
|
|
|
Structure Proposal # 923 BQFPHORUTSSJSO Deviation = 4.15ppm
Search WEB for skeleton |
|
![]()
|
|
|
Structure Proposal # 924 HSLLLRDYQKGOSA Deviation = 4.15ppm
Search WEB for skeleton |
|
![]()
|
|
|
Structure Proposal # 925 KNXIIUGLIUHJAD Deviation = 4.15ppm
Search WEB for skeleton |
|
![]()
|
|
|
Structure Proposal # 926 DWPBWQSUVJBYPQ Deviation = 4.15ppm
Search WEB for skeleton |
|
![]()
|
|
|
Structure Proposal # 927 OCBOOMFSQMEWRQ Deviation = 4.15ppm
Search WEB for skeleton |
|
![]()
|
|
|
Structure Proposal # 928 FBGLPKIMKOOULZ Deviation = 4.15ppm
Search WEB for skeleton respect to your proposal |
|
![]()
|
|
|
Structure Proposal # 929 DDPNPFMRFCZRPM Deviation = 4.15ppm
Search WEB for skeleton |
|
![]()
|
|
|
Structure Proposal # 930 ZINMDTVMOFNSKE Deviation = 4.15ppm
Search WEB for skeleton |
|
![]()
|
|
|
Structure Proposal # 931 MQXDUERWNFCZGK Deviation = 4.15ppm
Search WEB for skeleton |
|
![]()
|
|
|
Structure Proposal # 932 DKZJSEMKLWVDTL Deviation = 4.15ppm
Search WEB for skeleton |
|
![]()
|
|
|
Structure Proposal # 933 YOFYOTKFOQHFLC Deviation = 4.15ppm
Search WEB for skeleton |
|
![]()
|
|
|
Structure Proposal # 934 ISSGFUIPSNIBND Deviation = 4.16ppm
Search WEB for skeleton |
|
![]()
|
|
|
Structure Proposal # 935 PHFUMAMKSPAPMQ Deviation = 4.16ppm
Search WEB for skeleton |
|
![]()
|
|
|
Structure Proposal # 936 UPBCVNWCOZWBHH Deviation = 4.16ppm
Search WEB for skeleton |
|
![]()
|
|
|
Structure Proposal # 937 WTIQZKGHKXCJPO Deviation = 4.16ppm
Search WEB for skeleton |
|
![]()
|
|
|
Structure Proposal # 938 WREGFPXGSALDOK Deviation = 4.16ppm
Search WEB for skeleton respect to your proposal |
|
![]()
|
|
|
Structure Proposal # 939 JZYAIZLVUKITKN Deviation = 4.17ppm
Search WEB for skeleton |
|
![]()
|
|
|
Structure Proposal # 940 PMRSLWDESYROBR Deviation = 4.17ppm
Search WEB for skeleton |
|
![]()
|
|
|
Structure Proposal # 941 YAJYGPSGXHVGCB Deviation = 4.17ppm
Search WEB for skeleton |
|
![]()
|
|
|
Structure Proposal # 942 FAFILOPNSSKCNP Deviation = 4.17ppm
Search WEB for skeleton |
|
![]()
|
|
|
Structure Proposal # 943 SUKGPYSAQKXYIZ Deviation = 4.17ppm
Search WEB for skeleton respect to your proposal |
|
![]()
|
|
|
Structure Proposal # 944 IFFGCGNPHSGJGY Deviation = 4.17ppm
Search WEB for skeleton |
|
![]()
|
|
|
Structure Proposal # 945 YCVRANNBMRVFJL Deviation = 4.17ppm
Search WEB for skeleton |
|
![]()
|
|
|
Structure Proposal # 946 YHAAVDLRLNAOCQ Deviation = 4.17ppm
Search WEB for skeleton respect to your proposal |
|
![]()
|
|
|
Structure Proposal # 947 GOWOMVFAOSUICO Deviation = 4.17ppm
Search WEB for skeleton |
|
![]()
|
|
|
Structure Proposal # 948 WYYRYEZAFDXSRA Deviation = 4.17ppm
Search WEB for skeleton |
|
![]()
|
|
|
Structure Proposal # 949 ISWVGZTWKAUHKW Deviation = 4.17ppm
Search WEB for skeleton |
|
![]()
|
|
|
Structure Proposal # 950 RBVGBPIBQXLJJP Deviation = 4.18ppm
Search WEB for skeleton respect to your proposal |
|
![]()
|
|
|
Structure Proposal # 951 YLKPRAWXTRDEPN Deviation = 4.18ppm
Search WEB for skeleton |
|
![]()
|
|
|
Structure Proposal # 952 QULWKXIENHKUKY Deviation = 4.18ppm
Search WEB for skeleton |
|
![]()
|
|
|
Structure Proposal # 953 MKUWFHWMKXEUFJ Deviation = 4.18ppm
Search WEB for skeleton |
|
![]()
|
|
|
Structure Proposal # 954 DHDDNDVALGKLHR Deviation = 4.18ppm
Search WEB for skeleton |
|
![]()
|
|
|
Structure Proposal # 955 YAFIWBAGVUPHBP Deviation = 4.18ppm
Search WEB for skeleton |
|
![]()
|
|
|
Structure Proposal # 956 UVOHAOIWYAABQV Deviation = 4.18ppm
Search WEB for skeleton respect to your proposal |
|
![]()
|
|
|
Structure Proposal # 957 OLGVCYLWTCRNFA Deviation = 4.18ppm
Search WEB for skeleton |
|
![]()
|
|
|
Structure Proposal # 958 NYEFCNVRRUAMHN Deviation = 4.18ppm
Search WEB for skeleton |
|
![]()
|
|
|
Structure Proposal # 959 GGVIBZAKGCPEPE Deviation = 4.18ppm
Search WEB for skeleton |
|
![]()
|
|
|
Structure Proposal # 960 JIZSEDHMKIYHND Deviation = 4.18ppm
Search WEB for skeleton |
|
![]()
|
|
|
Structure Proposal # 961 OKAAEAPGGLZYIW Deviation = 4.18ppm
Search WEB for skeleton |
|
![]()
|
|
|
Structure Proposal # 962 ZROLOYQXXTXHQR Deviation = 4.18ppm
Search WEB for skeleton |
|
![]()
|
|
|
Structure Proposal # 963 WXKUTIKBAHLXAW Deviation = 4.18ppm
Search WEB for skeleton |
|
![]()
|
|
|
Structure Proposal # 964 AVUUZWONBRITPZ Deviation = 4.19ppm
Search WEB for skeleton respect to your proposal |
|
![]()
|
|
|
Structure Proposal # 965 SPVSZHQQPHFGBZ Deviation = 4.19ppm
Search WEB for skeleton |
|
![]()
|
|
|
Structure Proposal # 966 KCGWVLDHBLCYRC Deviation = 4.19ppm
Search WEB for skeleton |
|
![]()
|
|
|
Structure Proposal # 967 OKPSZEBQKNAXDO Deviation = 4.19ppm
Search WEB for skeleton |
|
![]()
|
|
|
Structure Proposal # 968 HAPFKFGYOCZSDZ Deviation = 4.19ppm
Search WEB for skeleton |
|
![]()
|
|
|
Structure Proposal # 969 ACIZKXGIKQGXJY Deviation = 4.19ppm
Search WEB for skeleton respect to your proposal |
|
![]()
|
|
|
Structure Proposal # 970 RUOPQGIVAGPEPG Deviation = 4.19ppm
Search WEB for skeleton |
|
![]()
|
|
|
Structure Proposal # 971 RHVLYMBLXXDXHN Deviation = 4.19ppm
Search WEB for skeleton respect to your proposal |
|
![]()
|
|
|
Structure Proposal # 972 IYILSWUTKOIXHH Deviation = 4.19ppm
Search WEB for skeleton |
|
![]()
|
|
|
Structure Proposal # 973 ZWHBXKUFBIXNEY Deviation = 4.19ppm
Search WEB for skeleton |
|
![]()
|
|
|
Structure Proposal # 974 DTMPXHFPVWPIFB Deviation = 4.19ppm
Search WEB for skeleton |
|
![]()
|
|
|
Structure Proposal # 975 DOSGOHNFFSQFCW Deviation = 4.20ppm
Search WEB for skeleton respect to your proposal |
|
![]()
|
|
|
Structure Proposal # 976 JPHPGFXMXUAEGA Deviation = 4.20ppm
Search WEB for skeleton respect to your proposal |
|
![]()
|
|
|
Structure Proposal # 977 ZBPCTNIOYNOQJT Deviation = 4.20ppm
Search WEB for skeleton |
|
![]()
|
|
|
Structure Proposal # 978 HAZYULYWGQIUFJ Deviation = 4.20ppm
Search WEB for skeleton |
|
![]()
|
|
|
Structure Proposal # 979 NZJAGYXDIQMKMJ Deviation = 4.20ppm
Search WEB for skeleton |
|
![]()
|
|
|
Structure Proposal # 980 YTXYFYZVCRCQKK Deviation = 4.20ppm
Search WEB for skeleton respect to your proposal |
|
![]()
|
|
|
Structure Proposal # 981 VBHPZZHIGIIGTM Deviation = 4.20ppm
Search WEB for skeleton |
|
![]()
|
|
|
Structure Proposal # 982 WMZPIZZIMLILNH Deviation = 4.20ppm
Search WEB for skeleton |
|
![]()
|
|
|
Structure Proposal # 983 RYDMOJZZUJLWFI Deviation = 4.20ppm
Search WEB for skeleton respect to your proposal |
|
![]()
|
|
|
Structure Proposal # 984 HTSQKIJFYOEXAX Deviation = 4.20ppm
Search WEB for skeleton respect to your proposal |
|
![]()
|
|
|
Structure Proposal # 985 VAWOTDGRTVQXGE Deviation = 4.20ppm
Search WEB for skeleton |
|
![]()
|
|
|
Structure Proposal # 986 NBXLNIWIAWLJLP Deviation = 4.20ppm
Search WEB for skeleton |
|
![]()
|
|
|
Structure Proposal # 987 MAKSVYCUICHCIH Deviation = 4.21ppm
Search WEB for skeleton |
|
![]()
|
|
|
Structure Proposal # 988 WRNYFWSXCHYPRZ Deviation = 4.21ppm
Search WEB for skeleton |
|
![]()
|
|
|
Structure Proposal # 989 UKQJPPMOUVJNBJ Deviation = 4.21ppm
Search WEB for skeleton |
|
![]()
|
|
|
Structure Proposal # 990 GDUWLERLBAAATA Deviation = 4.21ppm
Search WEB for skeleton respect to your proposal |
|
![]()
|
|
|
Structure Proposal # 991 SXXFDEZBDKIWSK Deviation = 4.21ppm
Search WEB for skeleton |
|
![]()
|
|
|
Structure Proposal # 992 UKMDTXAUGZZTFN Deviation = 4.21ppm
Search WEB for skeleton |
|
![]()
|
|
|
Structure Proposal # 993 GLGGFHNRNHYRJE Deviation = 4.21ppm
Search WEB for skeleton |
|
![]()
|
|
|
Structure Proposal # 994 DDDLTVSMHYBELZ Deviation = 4.21ppm
Search WEB for skeleton |
|
![]()
|
|
|
Structure Proposal # 995 VOXGCNUOYYYDNR Deviation = 4.22ppm
Search WEB for skeleton |
|
![]()
|
|
|
Structure Proposal # 996 SIOLRWNJGHOJDU Deviation = 4.22ppm
Search WEB for skeleton |
|
![]()
|
|
|
Structure Proposal # 997 UFCXGZYSOZNDTC Deviation = 4.22ppm
Search WEB for skeleton |
|
![]()
|
|
|
Structure Proposal # 998 ZYRXBZRRDQENEX Deviation = 4.22ppm
Search WEB for skeleton |
|
![]()
|
|
|
Structure Proposal # 999 JPXVQGUIRDULFW Deviation = 4.22ppm
Search WEB for skeleton |
|
![]()
|
|
|
Structure Proposal # 1000 DFIXOUYSFRNLJD Deviation = 4.22ppm
Search WEB for skeleton |
|
![]()
|
|
|
Structure Proposal # 1001 DQTWZVAWIAMCDZ Deviation = 4.22ppm
Search WEB for skeleton |
|
![]()
|
|
|
Structure Proposal # 1002 QWSYCDVDSMZGJE Deviation = 4.22ppm
Search WEB for skeleton |
|
![]()
|
|
|
Structure Proposal # 1003 QJVVSORQBGIBAW Deviation = 4.22ppm
Search WEB for skeleton |
|
![]()
|
|
|
Structure Proposal # 1004 WQXNZPYLGLGCBI Deviation = 4.22ppm
Search WEB for skeleton |
|
![]()
|
|
|
Structure Proposal # 1005 UYRIDQWXDCUZHU Deviation = 4.22ppm
Search WEB for skeleton |
|
![]()
|
|
|
Structure Proposal # 1006 XKEOEVGMYJNXGS Deviation = 4.22ppm
Search WEB for skeleton |
|
![]()
|
|
|
Structure Proposal # 1007 DPANETYTSOAHBR Deviation = 4.22ppm
Search WEB for skeleton respect to your proposal |
|
![]()
|
|
|
Structure Proposal # 1008 BBGKQJZGOFZRSS Deviation = 4.22ppm
Search WEB for skeleton |
|
![]()
|
|
|
Structure Proposal # 1009 SXHBUNYNANSRTA Deviation = 4.22ppm
Search WEB for skeleton |
|
![]()
|
|
|
Structure Proposal # 1010 CSTMMBKHWAUMGV Deviation = 4.23ppm
Search WEB for skeleton respect to your proposal |
|
![]()
|
|
|
Structure Proposal # 1011 RGHSUPQIEVBEPZ Deviation = 4.23ppm
Search WEB for skeleton |
|
![]()
|
|
|
Structure Proposal # 1012 USBLOHQNXPVDEC Deviation = 4.23ppm
Search WEB for skeleton |
|
![]()
|
|
|
Structure Proposal # 1013 QKDHPEJRVBLTAW Deviation = 4.23ppm
Search WEB for skeleton |
|
![]()
|
|
|
Structure Proposal # 1014 UZZZYBFJHOBPHS Deviation = 4.23ppm
Search WEB for skeleton respect to your proposal |
|
![]()
|
|
|
Structure Proposal # 1015 GLLDITQSDMXFAX Deviation = 4.23ppm
Search WEB for skeleton |
|
![]()
|
|
|
Structure Proposal # 1016 PJSFIXWGNVZYFZ Deviation = 4.23ppm
Search WEB for skeleton respect to your proposal |
|
![]()
|
|
|
Structure Proposal # 1017 XXNSMYUQEJLVLT Deviation = 4.24ppm
Search WEB for skeleton |
|
![]()
|
|
|
Structure Proposal # 1018 HGKRQSNKHDFIIV Deviation = 4.24ppm
Search WEB for skeleton |
|
![]()
|
|
|
Structure Proposal # 1019 AODCTXBTLAOKMU Deviation = 4.24ppm
Search WEB for skeleton respect to your proposal |
|
![]()
|
|
|
Structure Proposal # 1020 WQMMCPVWVBCMKS Deviation = 4.24ppm
Search WEB for skeleton |
|
![]()
|
|
|
Structure Proposal # 1021 YXTKIGFRIWGPEY Deviation = 4.24ppm
Search WEB for skeleton |
|
![]()
|
|
|
Structure Proposal # 1022 GAMSGEZACMFHDX Deviation = 4.24ppm
Search WEB for skeleton |
|
![]()
|
|
|
Structure Proposal # 1023 HOGBKVOGURPPGY Deviation = 4.24ppm
Search WEB for skeleton respect to your proposal |
|
![]()
|
|
|
Structure Proposal # 1024 QOHKQRJFECTLTI Deviation = 4.24ppm
Search WEB for skeleton respect to your proposal |
|
![]()
|
|
|
Structure Proposal # 1025 ASVPKETYNMJSEF Deviation = 4.24ppm
Search WEB for skeleton respect to your proposal |
|
![]()
|
|
|
Structure Proposal # 1026 ZEUCTCRXMGNPPM Deviation = 4.24ppm
Search WEB for skeleton |
|
![]()
|
|
|
Structure Proposal # 1027 OWRLJNYBVIJPFV Deviation = 4.25ppm
Search WEB for skeleton |
|
![]()
|
|
|
Structure Proposal # 1028 IKXOBBSXIVNGMZ Deviation = 4.25ppm
Search WEB for skeleton |
|
![]()
|
|
|
Structure Proposal # 1029 HSRNHESYMHVKJG Deviation = 4.25ppm
Search WEB for skeleton |
|
![]()
|
|
|
Structure Proposal # 1030 ZBKQWDAUXXJDBG Deviation = 4.25ppm
Search WEB for skeleton |
|
![]()
|
|
|
Structure Proposal # 1031 SFGHMJKGKAETKT Deviation = 4.25ppm
Search WEB for skeleton |
|
![]()
|
|
|
Structure Proposal # 1032 RJYJDVAAWYXEJI Deviation = 4.25ppm
Search WEB for skeleton |
|
![]()
|
|
|
Structure Proposal # 1033 RYZSBDKAMOMVDM Deviation = 4.25ppm
Search WEB for skeleton respect to your proposal |
|
![]()
|
|
|
Structure Proposal # 1034 RFBJJRPHQPDJHZ Deviation = 4.25ppm
Search WEB for skeleton |
|
![]()
|
|
|
Structure Proposal # 1035 BIESZGJVADIDLX Deviation = 4.25ppm
Search WEB for skeleton |
|
![]()
|
|
|
Structure Proposal # 1036 NOUSEMXPOZUTFW Deviation = 4.26ppm
Search WEB for skeleton |
|
![]()
|
|
|
Structure Proposal # 1037 WBNVIEYTVOYTAT Deviation = 4.26ppm
Search WEB for skeleton |
|
![]()
|
|
|
Structure Proposal # 1038 KPIBKBHRVBDTKC Deviation = 4.26ppm
Search WEB for skeleton respect to your proposal |
|
![]()
|
|
|
Structure Proposal # 1039 PTWJZLYSBKJUSM Deviation = 4.26ppm
Search WEB for skeleton |
|
![]()
|
|
|
Structure Proposal # 1040 MVZTYGHNYFXFFL Deviation = 4.26ppm
Search WEB for skeleton respect to your proposal |
|
![]()
|
|
|
Structure Proposal # 1041 OKRRYKIYESEGND Deviation = 4.26ppm
Search WEB for skeleton respect to your proposal |
|
![]()
|
|
|
Structure Proposal # 1042 RPQJNWCHARFPLX Deviation = 4.26ppm
Search WEB for skeleton |
|
![]()
|
|
|
Structure Proposal # 1043 OOVUHFBYLXGEKY Deviation = 4.26ppm
Search WEB for skeleton |
|
![]()
|
|
|
Structure Proposal # 1044 SCMBSKTVEJRTJE Deviation = 4.26ppm
Search WEB for skeleton |
|
![]()
|
|
|
Structure Proposal # 1045 MUDKKLRPMFSWDM Deviation = 4.26ppm
Search WEB for skeleton |
|
![]()
|
|
|
Structure Proposal # 1046 PFTGNRBCCWANBA Deviation = 4.26ppm
Search WEB for skeleton |
|
![]()
|
|
|
Structure Proposal # 1047 RSOUKTYUJJGXLM Deviation = 4.26ppm
Search WEB for skeleton |
|
![]()
|
|
|
Structure Proposal # 1048 LJWOKKNUEREYRK Deviation = 4.26ppm
Search WEB for skeleton |
|
![]()
|
|
|
Structure Proposal # 1049 SKDNRTSOPGYPCE Deviation = 4.27ppm
Search WEB for skeleton |
|
![]()
|
|
|
Structure Proposal # 1050 RAIWEMJDMZQPET Deviation = 4.27ppm
Search WEB for skeleton |
|
![]()
|
|
|
Structure Proposal # 1051 DGLAPBAGHIHJEB Deviation = 4.27ppm
Search WEB for skeleton Compound from PUBCHEM CSEARCH ![]() |
|
![]()
|
|
|
Structure Proposal # 1052 WSBSQICZESVWMS Deviation = 4.27ppm
Search WEB for skeleton |
|
![]()
|
|
|
Structure Proposal # 1053 RTSRVPLGIFRXMO Deviation = 4.27ppm
Search WEB for skeleton |
|
![]()
|
|
|
Structure Proposal # 1054 JIUHZENQIADOOI Deviation = 4.27ppm
Search WEB for skeleton |
|
![]()
|
|
|
Structure Proposal # 1055 LCRIOXZFMZQKLK Deviation = 4.27ppm
Search WEB for skeleton respect to your proposal |
|
![]()
|
|
|
Structure Proposal # 1056 VCXJTSNFFOYFCX Deviation = 4.27ppm
Search WEB for skeleton |
|
![]()
|
|
|
Structure Proposal # 1057 UFMXQYOBIUHCCW Deviation = 4.27ppm
Search WEB for skeleton |
|
![]()
|
|
|
Structure Proposal # 1058 HHXKLSXUJIKBTF Deviation = 4.28ppm
Search WEB for skeleton respect to your proposal |
|
![]()
|
|
|
Structure Proposal # 1059 GDVGOBQWJIFZHE Deviation = 4.28ppm
Search WEB for skeleton |
|
![]()
|
|
|
Structure Proposal # 1060 FAYXFYUPNRPHIK Deviation = 4.28ppm
Search WEB for skeleton respect to your proposal |
|
![]()
|
|
|
Structure Proposal # 1061 BRFWPIKESOEMRF Deviation = 4.28ppm
Search WEB for skeleton respect to your proposal |
|
![]()
|
|
|
Structure Proposal # 1062 WJOGJTJGNCIOKD Deviation = 4.28ppm
Search WEB for skeleton |
|
![]()
|
|
|
Structure Proposal # 1063 PRWPDDQAWNFHAL Deviation = 4.28ppm
Search WEB for skeleton |
|
![]()
|
|
|
Structure Proposal # 1064 GOTZWOGLXPBPQI Deviation = 4.28ppm
Search WEB for skeleton |
|
![]()
|
|
|
Structure Proposal # 1065 RRPJKQKQFVPWOC Deviation = 4.28ppm
Search WEB for skeleton |
|
![]()
|
|
|
Structure Proposal # 1066 JRQGUYNVMNQWOL Deviation = 4.28ppm
Search WEB for skeleton |
|
![]()
|
|
|
Structure Proposal # 1067 GHGUTTSMIOOWRQ Deviation = 4.28ppm
Search WEB for skeleton |
|
![]()
|
|
|
Structure Proposal # 1068 DZRLMICVSQXKKO Deviation = 4.29ppm
Search WEB for skeleton respect to your proposal |
|
![]()
|
|
|
Structure Proposal # 1069 WRQYQPWVRMLGFF Deviation = 4.29ppm
Search WEB for skeleton |
|
![]()
|
|
|
Structure Proposal # 1070 LCXPUJOJBNLEDE Deviation = 4.29ppm
Search WEB for skeleton |
|
![]()
|
|
|
Structure Proposal # 1071 ARPGZPCOWPQJSF Deviation = 4.29ppm
Search WEB for skeleton |
|
![]()
|
|
|
Structure Proposal # 1072 HREPUWKOPPFIRJ Deviation = 4.29ppm
Search WEB for skeleton respect to your proposal |
|
![]()
|
|
|
Structure Proposal # 1073 LIAWZQYZCPFHJR Deviation = 4.29ppm
Search WEB for skeleton |
|
![]()
|
|
|
Structure Proposal # 1074 LYDQBZJUUCMHEO Deviation = 4.29ppm
Search WEB for skeleton |
|
![]()
|
|
|
Structure Proposal # 1075 BHIXHFQCXQWCPL Deviation = 4.29ppm
Search WEB for skeleton |
|
![]()
|
|
|
Structure Proposal # 1076 GPQPZRZMUVXBAG Deviation = 4.30ppm
Search WEB for skeleton |
|
![]()
|
|
|
Structure Proposal # 1077 DQEAFYYVVLHNQQ Deviation = 4.30ppm
Search WEB for skeleton respect to your proposal |
|
![]()
|
|
|
Structure Proposal # 1078 PTWZFQDCUAWZHK Deviation = 4.30ppm
Search WEB for skeleton |
|
![]()
|
|
|
Structure Proposal # 1079 IJSFBTLMMSOGFP Deviation = 4.30ppm
Search WEB for skeleton |
|
![]()
|
|
|
Structure Proposal # 1080 OKFCGYZXSJWWHA Deviation = 4.30ppm
Search WEB for skeleton |
|
![]()
|
|
|
Structure Proposal # 1081 SMSUYLITCMRAQY Deviation = 4.30ppm
Search WEB for skeleton |
|
![]()
|
|
|
Structure Proposal # 1082 JKROEFMZNVDZDS Deviation = 4.30ppm
Search WEB for skeleton |
|
![]()
|
|
|
Structure Proposal # 1083 XWRPUCMZQABCIC Deviation = 4.30ppm
Search WEB for skeleton |
|
![]()
|
|
|
Structure Proposal # 1084 NXXDDPXBOYMXHA Deviation = 4.30ppm
Search WEB for skeleton |
|
![]()
|
|
|
Structure Proposal # 1085 GSGFQPQPVIQKNR Deviation = 4.30ppm
Search WEB for skeleton respect to your proposal |
|
![]()
|
|
|
Structure Proposal # 1086 NTZDTPFBQYQJNR Deviation = 4.30ppm
Search WEB for skeleton respect to your proposal |
|
![]()
|
|
|
Structure Proposal # 1087 OGFJJHMKHRMJHH Deviation = 4.30ppm
Search WEB for skeleton |
|
![]()
|
|
|
Structure Proposal # 1088 ORZGXFYWVZBCBR Deviation = 4.30ppm
Search WEB for skeleton respect to your proposal |
|
![]()
|
|
|
Structure Proposal # 1089 BSLYNTBIVKYMBK Deviation = 4.30ppm
Search WEB for skeleton |
|
![]()
|
|
|
Structure Proposal # 1090 YMBVGFDVYGSVIW Deviation = 4.31ppm
Search WEB for skeleton respect to your proposal |
|
![]()
|
|
|
Structure Proposal # 1091 JYMHZCIMMLKYEC Deviation = 4.31ppm
Search WEB for skeleton |
|
![]()
|
|
|
Structure Proposal # 1092 DQEACVOAKBLRBG Deviation = 4.31ppm
Search WEB for skeleton respect to your proposal |
|
![]()
|
|
|
Structure Proposal # 1093 MRHYDBANVHQUCH Deviation = 4.31ppm
Search WEB for skeleton respect to your proposal |
|
![]()
|
|
|
Structure Proposal # 1094 VMGWIGBFNGZWNU Deviation = 4.31ppm
Search WEB for skeleton |
|
![]()
|
|
|
Structure Proposal # 1095 VZXXKMCDZUDJCC Deviation = 4.31ppm
Search WEB for skeleton |
|
![]()
|
|
|
Structure Proposal # 1096 FUIKMRHFXOQQLS Deviation = 4.31ppm
Search WEB for skeleton |
|
![]()
|
|
|
Structure Proposal # 1097 NXDSYPZCBKRSKB Deviation = 4.31ppm
Search WEB for skeleton respect to your proposal |
|
![]()
|
|
|
Structure Proposal # 1098 YPLRQRZRYWIDMM Deviation = 4.31ppm
Search WEB for skeleton |
|
![]()
|
|
|
Structure Proposal # 1099 AAWXVANTJRQKFZ Deviation = 4.31ppm
Search WEB for skeleton |
|
![]()
|
|
|
Structure Proposal # 1100 MOKOUJCEJXQAQV Deviation = 4.31ppm
Search WEB for skeleton |
|
![]()
|
|
|
Structure Proposal # 1101 WEWYZESAAIFVBZ Deviation = 4.31ppm
Search WEB for skeleton |
|
![]()
|
|
|
Structure Proposal # 1102 PPEVMEVQOJZESZ Deviation = 4.31ppm
Search WEB for skeleton |
|
![]()
|
|
|
Structure Proposal # 1103 UXJWOIPAQLJSJX Deviation = 4.32ppm
Search WEB for skeleton |
|
![]()
|
|
|
Structure Proposal # 1104 SDRJRUCCFLGJGL Deviation = 4.32ppm
Search WEB for skeleton |
|
![]()
|
|
|
Structure Proposal # 1105 ZOSXFTKBNKIGPQ Deviation = 4.32ppm
Search WEB for skeleton |
|
![]()
|
|
|
Structure Proposal # 1106 MDAANFBXLZCYNU Deviation = 4.32ppm
Search WEB for skeleton |
|
![]()
|
|
|
Structure Proposal # 1107 ZMSCFPZKCNGCIU Deviation = 4.32ppm
Search WEB for skeleton |
|
![]()
|
|
|
Structure Proposal # 1108 CQQNCLIJWVDBER Deviation = 4.32ppm
Search WEB for skeleton |
|
![]()
|
|
|
Structure Proposal # 1109 CDDFENUTDVUZOU Deviation = 4.32ppm
Search WEB for skeleton |
|
![]()
|
|
|
Structure Proposal # 1110 FCNMSVAQDHNONF Deviation = 4.32ppm
Search WEB for skeleton |
|
![]()
|
|
|
Structure Proposal # 1111 LJJWVPDOGWBGKZ Deviation = 4.32ppm
Search WEB for skeleton |
|
![]()
|
|
|
Structure Proposal # 1112 XPQOZMFBKYOUQK Deviation = 4.32ppm
Search WEB for skeleton respect to your proposal |
|
![]()
|
|
|
Structure Proposal # 1113 ADEXQINFIRJGNR Deviation = 4.33ppm
Search WEB for skeleton respect to your proposal |
|
![]()
|
|
|
Structure Proposal # 1114 XCTTZNVCDSOKRR Deviation = 4.33ppm
Search WEB for skeleton respect to your proposal |
|
![]()
|
|
|
Structure Proposal # 1115 FBCOEGTWTZIVBH Deviation = 4.33ppm
Search WEB for skeleton respect to your proposal |
|
![]()
|
|
|
Structure Proposal # 1116 XYUCGBSAXPIIEX Deviation = 4.33ppm
Search WEB for skeleton |
|
![]()
|
|
|
Structure Proposal # 1117 BVNNKMXJFQRUJG Deviation = 4.33ppm
Search WEB for skeleton |
|
![]()
|
|
|
Structure Proposal # 1118 PXKJGJGFEYSJGU Deviation = 4.33ppm
Search WEB for skeleton |
|
![]()
|
|
|
Structure Proposal # 1119 FXSWIICISLZBKZ Deviation = 4.33ppm
Search WEB for skeleton |
|
![]()
|
|
|
Structure Proposal # 1120 TYZIIIAJHSZXSP Deviation = 4.33ppm
Search WEB for skeleton |
|
![]()
|
|
|
Structure Proposal # 1121 YRIVROVDTFLIEE Deviation = 4.33ppm
Search WEB for skeleton |
|
![]()
|
|
|
Structure Proposal # 1122 TVDGUCNEERJAIJ Deviation = 4.33ppm
Search WEB for skeleton |
|
![]()
|
|
|
Structure Proposal # 1123 UXBFLMJLAYIHLT Deviation = 4.33ppm
Search WEB for skeleton |
|
![]()
|
|
|
Structure Proposal # 1124 ATIINTMZQBKKIB Deviation = 4.34ppm
Search WEB for skeleton |
|
![]()
|
|
|
Structure Proposal # 1125 RLNHOQDSYRYIJC Deviation = 4.34ppm
Search WEB for skeleton |
|
![]()
|
|
|
Structure Proposal # 1126 FGSQYVDCUTXJGD Deviation = 4.34ppm
Search WEB for skeleton |
|
![]()
|
|
|
Structure Proposal # 1127 NUMQPXBZYSYTFW Deviation = 4.34ppm
Search WEB for skeleton |
|
![]()
|
|
|
Structure Proposal # 1128 NSSXIEMXSZGNNW Deviation = 4.34ppm
Search WEB for skeleton |
|
![]()
|
|
|
Structure Proposal # 1129 ZKEWWGXAQGISRF Deviation = 4.34ppm
Search WEB for skeleton |
|
![]()
|
|
|
Structure Proposal # 1130 ICXGMMPFJIKPOA Deviation = 4.34ppm
Search WEB for skeleton |
|
![]()
|
|
|
Structure Proposal # 1131 JILKEHHVIQXIHI Deviation = 4.34ppm
Search WEB for skeleton |
|
![]()
|
|
|
Structure Proposal # 1132 WPJKMVSNEACNGP Deviation = 4.34ppm
Search WEB for skeleton |
|
![]()
|
|
|
Structure Proposal # 1133 LXTFCADZOYNUFT Deviation = 4.34ppm
Search WEB for skeleton |
|
![]()
|
|
|
Structure Proposal # 1134 HYSKQJQVZAFKBI Deviation = 4.34ppm
Search WEB for skeleton |
|
![]()
|
|
|
Structure Proposal # 1135 BKXUGVAXCSQPLT Deviation = 4.34ppm
Search WEB for skeleton |
|
![]()
|
|
|
Structure Proposal # 1136 BXRPTIPRPAFLBB Deviation = 4.34ppm
Search WEB for skeleton |
|
![]()
|
|
|
Structure Proposal # 1137 JOMDKFQQMJLIDE Deviation = 4.34ppm
Search WEB for skeleton |
|
![]()
|
|
|
Structure Proposal # 1138 WBIUVVSWACXLFK Deviation = 4.35ppm
Search WEB for skeleton |
|
![]()
|
|
|
Structure Proposal # 1139 LFHCTQRGRCCNEC Deviation = 4.35ppm
Search WEB for skeleton |
|
![]()
|
|
|
Structure Proposal # 1140 UDZWEZMRWYBJCB Deviation = 4.35ppm
Search WEB for skeleton |
|
![]()
|
|
|
Structure Proposal # 1141 JHPZTCIMHGAXCO Deviation = 4.35ppm
Search WEB for skeleton respect to your proposal |
|
![]()
|
|
|
Structure Proposal # 1142 MXGWGIVYTGVKRC Deviation = 4.35ppm
Search WEB for skeleton |
|
![]()
|
|
|
Structure Proposal # 1143 XGMNBSAQDYLPFZ Deviation = 4.35ppm
Search WEB for skeleton |
|
![]()
|
|
|
Structure Proposal # 1144 OTHUTAZQTHMAOM Deviation = 4.35ppm
Search WEB for skeleton |
|
![]()
|
|
|
Structure Proposal # 1145 XLTPFZOGHRJYCR Deviation = 4.35ppm
Search WEB for skeleton |
|
![]()
|
|
|
Structure Proposal # 1146 DNIVNNFYRJXKSP Deviation = 4.35ppm
Search WEB for skeleton |
|
![]()
|
|
|
Structure Proposal # 1147 BMFTTXUKZVQPHZ Deviation = 4.35ppm
Search WEB for skeleton respect to your proposal |
|
![]()
|
|
|
Structure Proposal # 1148 YRUMVMXWSNCVGA Deviation = 4.35ppm
Search WEB for skeleton |
|
![]()
|
|
|
Structure Proposal # 1149 FLGWRIQKOTWYDY Deviation = 4.35ppm
Search WEB for skeleton |
|
![]()
|
|
|
Structure Proposal # 1150 XPTHZKKPJPRZGX Deviation = 4.35ppm
Search WEB for skeleton |
|
![]()
|
|
|
Structure Proposal # 1151 RLWPDYKIYOJJAM Deviation = 4.35ppm
Search WEB for skeleton respect to your proposal |
|
![]()
|
|
|
Structure Proposal # 1152 VNDIMARWKOROKF Deviation = 4.35ppm
Search WEB for skeleton respect to your proposal |
|
![]()
|
|
|
Structure Proposal # 1153 IGHFMAOZVJQAFA Deviation = 4.36ppm
Search WEB for skeleton |
|
![]()
|
|
|
Structure Proposal # 1154 HTLRIKVLUJIZDN Deviation = 4.36ppm
Search WEB for skeleton |
|
![]()
|
|
|
Structure Proposal # 1155 XPHUCXQFGNVTES Deviation = 4.36ppm
Search WEB for skeleton |
|
![]()
|
|
|
Structure Proposal # 1156 ZXBZQNHYXPBZFH Deviation = 4.36ppm
Search WEB for skeleton respect to your proposal |
|
![]()
|
|
|
Structure Proposal # 1157 XSPIMFVTMRFMEJ Deviation = 4.36ppm
Search WEB for skeleton |
|
![]()
|
|
|
Structure Proposal # 1158 AEBNZDBJPVSARJ Deviation = 4.36ppm
Search WEB for skeleton |
|
![]()
|
|
|
Structure Proposal # 1159 ZAQIVBVZQMICCZ Deviation = 4.36ppm
Search WEB for skeleton |
|
![]()
|
|
|
Structure Proposal # 1160 TTZREMUDFHABPZ Deviation = 4.36ppm
Search WEB for skeleton |
|
![]()
|
|
|
Structure Proposal # 1161 NTDIXFIEWVQTTG Deviation = 4.36ppm
Search WEB for skeleton |
|
![]()
|
|
|
Structure Proposal # 1162 JLXNBEGIRHLBBS Deviation = 4.36ppm
Search WEB for skeleton respect to your proposal |
|
![]()
|
|
|
Structure Proposal # 1163 ZBXGZEKWVQLGHE Deviation = 4.36ppm
Search WEB for skeleton |
|
![]()
|
|
|
Structure Proposal # 1164 HUYMACVMWKHYAW Deviation = 4.36ppm
Search WEB for skeleton |
|
![]()
|
|
|
Structure Proposal # 1165 CSKOSQXRLQOEDU Deviation = 4.36ppm
Search WEB for skeleton respect to your proposal |
|
![]()
|
|
|
Structure Proposal # 1166 ICZLUSBLMKXQNZ Deviation = 4.36ppm
Search WEB for skeleton |
|
![]()
|
|
|
Structure Proposal # 1167 LLXMBWRFCDNAGV Deviation = 4.37ppm
Search WEB for skeleton |
|
![]()
|
|
|
Structure Proposal # 1168 OMNJTMMOJTZCFD Deviation = 4.37ppm
Search WEB for skeleton |
|
![]()
|
|
|
Structure Proposal # 1169 NQMAXUSIZSIHRR Deviation = 4.37ppm
Search WEB for skeleton |
|
![]()
|
|
|
Structure Proposal # 1170 ZDDZKTVJAAABNM Deviation = 4.37ppm
Search WEB for skeleton respect to your proposal |
|
![]()
|
|
|
Structure Proposal # 1171 WJUDQNJUWGXMFX Deviation = 4.37ppm
Search WEB for skeleton |
|
![]()
|
|
|
Structure Proposal # 1172 PRDTXRXKDGELLH Deviation = 4.37ppm
Search WEB for skeleton |
|
![]()
|
|
|
Structure Proposal # 1173 ZKLUMYRMJNPPBT Deviation = 4.37ppm
Search WEB for skeleton |
|
![]()
|
|
|
Structure Proposal # 1174 CWWFDCCWEKMKDN Deviation = 4.37ppm
Search WEB for skeleton |
|
![]()
|
|
|
Structure Proposal # 1175 RTXBJJPVTSFHMV Deviation = 4.37ppm
Search WEB for skeleton |
|
![]()
|
|
|
Structure Proposal # 1176 JIULDEJEJZZFBR Deviation = 4.37ppm
Search WEB for skeleton |
|
![]()
|
|
|
Structure Proposal # 1177 ARWRLFGWDBIVPI Deviation = 4.37ppm
Search WEB for skeleton |
|
![]()
|
|
|
Structure Proposal # 1178 BCQBEQNLYPVHAX Deviation = 4.37ppm
Search WEB for skeleton |
|
![]()
|
|
|
Structure Proposal # 1179 QTOZQMNVDSKWBD Deviation = 4.37ppm
Search WEB for skeleton |
|
![]()
|
|
|
Structure Proposal # 1180 CYIZZFBIMYBYOF Deviation = 4.37ppm
Search WEB for skeleton |
|
![]()
|
|
|
Structure Proposal # 1181 UNVSXMQJAQXVBR Deviation = 4.37ppm
Search WEB for skeleton |
|
![]()
|
|
|
Structure Proposal # 1182 KFZZGAWVWYSDNE Deviation = 4.37ppm
Search WEB for skeleton |
|
![]()
|
|
|
Structure Proposal # 1183 HEMHRUMBRMOJIR Deviation = 4.37ppm
Search WEB for skeleton |
|
![]()
|
|
|
Structure Proposal # 1184 HAUNILOPISFYPJ Deviation = 4.37ppm
Search WEB for skeleton |
|
![]()
|
|
|
Structure Proposal # 1185 FFTZWURZWXFBAI Deviation = 4.37ppm
Search WEB for skeleton |
|
![]()
|
|
|
Structure Proposal # 1186 FUATZMWJYUXNOL Deviation = 4.37ppm
Search WEB for skeleton |
|
![]()
|
|
|
Structure Proposal # 1187 SNAFOVMKBZEBDZ Deviation = 4.37ppm
Search WEB for skeleton respect to your proposal |
|
![]()
|
|
|
Structure Proposal # 1188 OIFNWTQWCKEMIF Deviation = 4.37ppm
Search WEB for skeleton respect to your proposal |
|
![]()
|
|
|
Structure Proposal # 1189 ZHGBIKRJEJWAFP Deviation = 4.38ppm
Search WEB for skeleton |
|
![]()
|
|
|
Structure Proposal # 1190 LGZUFGHGLVRZSN Deviation = 4.38ppm
Search WEB for skeleton |
|
![]()
|
|
|
Structure Proposal # 1191 FZMMQHIWHQKNJD Deviation = 4.38ppm
Search WEB for skeleton |
|
![]()
|
|
|
Structure Proposal # 1192 YNWOQGBIWAQMSB Deviation = 4.38ppm
Search WEB for skeleton respect to your proposal |
|
![]()
|
|
|
Structure Proposal # 1193 LYHKAHGYGRHSOM Deviation = 4.38ppm
Search WEB for skeleton |
|
![]()
|
|
|
Structure Proposal # 1194 MIUOVMBIIIXUOJ Deviation = 4.38ppm
Search WEB for skeleton |
|
![]()
|
|
|
Structure Proposal # 1195 SHPZFGJUOGWXAQ Deviation = 4.38ppm
Search WEB for skeleton respect to your proposal |
|
![]()
|
|
|
Structure Proposal # 1196 ZXUUTUDDKYDYIB Deviation = 4.38ppm
Search WEB for skeleton |
|
![]()
|
|
|
Structure Proposal # 1197 VEMADLKSHGCOQM Deviation = 4.38ppm
Search WEB for skeleton |
|
![]()
|
|
|
Structure Proposal # 1198 ZAWHVDFAHDNCPA Deviation = 4.38ppm
Search WEB for skeleton |
|
![]()
|
|
|
Structure Proposal # 1199 VUEKEJLQHBOPNV Deviation = 4.38ppm
Search WEB for skeleton |
|
![]()
|
|
|
Structure Proposal # 1200 IWMYMFVSIWBWRK Deviation = 4.38ppm
Search WEB for skeleton |
|
![]()
|
|
|
Structure Proposal # 1201 RFMWKKFRUZRTLJ Deviation = 4.39ppm
Search WEB for skeleton |
|
![]()
|
|
|
Structure Proposal # 1202 GCONGFAHLQNFEM Deviation = 4.39ppm
Search WEB for skeleton |
|
![]()
|
|
|
Structure Proposal # 1203 ZNMGQAPTSGFLDV Deviation = 4.39ppm
Search WEB for skeleton |
|
![]()
|
|
|
Structure Proposal # 1204 JWYKEFJOOMUCMC Deviation = 4.39ppm
Search WEB for skeleton |
|
![]()
|
|
|
Structure Proposal # 1205 HCMUIWRQRUUEOE Deviation = 4.39ppm
Search WEB for skeleton |
|
![]()
|
|
|
Structure Proposal # 1206 FRZXTTNSYPSJJB Deviation = 4.39ppm
Search WEB for skeleton |
|
![]()
|
|
|
Structure Proposal # 1207 KFOOWWLWAQYPRD Deviation = 4.39ppm
Search WEB for skeleton |
|
![]()
|
|
|
Structure Proposal # 1208 HFBAVDLUTFZVJS Deviation = 4.39ppm
Search WEB for skeleton |
|
![]()
|
|
|
Structure Proposal # 1209 PCFLIOOQZHBAHZ Deviation = 4.39ppm
Search WEB for skeleton |
|
![]()
|
|
|
Structure Proposal # 1210 LPLVIGKGIJWOBV Deviation = 4.39ppm
Search WEB for skeleton |
|
![]()
|
|
|
Structure Proposal # 1211 ZRRCVPXYKVIVNK Deviation = 4.39ppm
Search WEB for skeleton respect to your proposal |
|
![]()
|
|
|
Structure Proposal # 1212 DXHBPXSMRJKSGF Deviation = 4.39ppm
Search WEB for skeleton |
|
![]()
|
|
|
Structure Proposal # 1213 XRPFMTCKXZPNKW Deviation = 4.39ppm
Search WEB for skeleton |
|
![]()
|
|
|
Structure Proposal # 1214 OYRHQMHFBSRBKO Deviation = 4.40ppm
Search WEB for skeleton |
|
![]()
|
|
|
Structure Proposal # 1215 ORDZYXIHURFTSK Deviation = 4.40ppm
Search WEB for skeleton |
|
![]()
|
|
|
Structure Proposal # 1216 WGLDYNFXFZYZCW Deviation = 4.40ppm
Search WEB for skeleton respect to your proposal |
|
![]()
|
|
|
Structure Proposal # 1217 INWAAQDKZXZBRM Deviation = 4.40ppm
Search WEB for skeleton |
|
![]()
|
|
|
Structure Proposal # 1218 OZKBQAPNMNPZLD Deviation = 4.40ppm
Search WEB for skeleton |
|
![]()
|
|
|
Structure Proposal # 1219 LIJLNSXWZUZWMD Deviation = 4.40ppm
Search WEB for skeleton respect to your proposal |
|
![]()
|
|
|
Structure Proposal # 1220 IELNDKSSAURYHZ Deviation = 4.40ppm
Search WEB for skeleton respect to your proposal |
|
![]()
|
|
|
Structure Proposal # 1221 SHEJBWRUEWFPLO Deviation = 4.40ppm
Search WEB for skeleton |
|
![]()
|
|
|
Structure Proposal # 1222 HWKVIZKCBPHCCQ Deviation = 4.40ppm
Search WEB for skeleton |
|
![]()
|
|
|
Structure Proposal # 1223 RIZPHBMNQSVZIO Deviation = 4.40ppm
Search WEB for skeleton |
|
![]()
|
|
|
Structure Proposal # 1224 GBEGDPOAEVKUHE Deviation = 4.40ppm
Search WEB for skeleton |
|
![]()
|
|
|
Structure Proposal # 1225 LJWMWOUXPNKYTB Deviation = 4.40ppm
Search WEB for skeleton |
|
![]()
|
|
|
Structure Proposal # 1226 MCXHSEOYOOIOOU Deviation = 4.41ppm
Search WEB for skeleton |
|
![]()
|
|
|
Structure Proposal # 1227 ZICXNXPBMNBNSU Deviation = 4.41ppm
Search WEB for skeleton |
|
![]()
|
|
|
Structure Proposal # 1228 GPOZBFFHCNNXMI Deviation = 4.41ppm
Search WEB for skeleton |
|
![]()
|
|
|
Structure Proposal # 1229 QMBKETVAAXEGCS Deviation = 4.41ppm
Search WEB for skeleton respect to your proposal |
|
![]()
|
|
|
Structure Proposal # 1230 WXMACPROJDMZCE Deviation = 4.41ppm
Search WEB for skeleton |
|
![]()
|
|
|
Structure Proposal # 1231 ZBTMECXXYPKBKC Deviation = 4.41ppm
Search WEB for skeleton |
|
![]()
|
|
|
Structure Proposal # 1232 MZHIKRGWYRAAED Deviation = 4.41ppm
Search WEB for skeleton |
|
![]()
|
|
|
Structure Proposal # 1233 SZNZGCUIKITLFT Deviation = 4.41ppm
Search WEB for skeleton |
|
![]()
|
|
|
Structure Proposal # 1234 OOUJVJUUSIRWTI Deviation = 4.41ppm
Search WEB for skeleton |
|
![]()
|
|
|
Structure Proposal # 1235 ZIUNFKRTQNDFHM Deviation = 4.41ppm
Search WEB for skeleton |
|
![]()
|
|
|
Structure Proposal # 1236 NBHSUBJPINVFPL Deviation = 4.41ppm
Search WEB for skeleton |
|
![]()
|
|
|
Structure Proposal # 1237 YLYFSXSHECUVIE Deviation = 4.41ppm
Search WEB for skeleton |
|
![]()
|
|
|
Structure Proposal # 1238 DKBQNTLRMXQICB Deviation = 4.41ppm
Search WEB for skeleton |
|
![]()
|
|
|
Structure Proposal # 1239 NTGXIBODMIEUSY Deviation = 4.42ppm
Search WEB for skeleton |
|
![]()
|
|
|
Structure Proposal # 1240 ZCAKUTAQMBNPKT Deviation = 4.42ppm
Search WEB for skeleton |
|
![]()
|
|
|
Structure Proposal # 1241 NDDFLQIBPJTXRY Deviation = 4.42ppm
Search WEB for skeleton |
|
![]()
|
|
|
Structure Proposal # 1242 LFOYQAPSRWAAFH Deviation = 4.42ppm
Search WEB for skeleton |
|
![]()
|
|
|
Structure Proposal # 1243 XBMIZPFUMUTRBL Deviation = 4.42ppm
Search WEB for skeleton |
|
![]()
|
|
|
Structure Proposal # 1244 AYISYVABHSSJJG Deviation = 4.42ppm
Search WEB for skeleton |
|
![]()
|
|
|
Structure Proposal # 1245 JJISBYWJYVHIEH Deviation = 4.42ppm
Search WEB for skeleton |
|
![]()
|
|
|
Structure Proposal # 1246 LVGFDYSZZRRMRU Deviation = 4.42ppm
Search WEB for skeleton |
|
![]()
|
|
|
Structure Proposal # 1247 MCUGTWWEJNBHFG Deviation = 4.42ppm
Search WEB for skeleton |
|
![]()
|
|
|
Structure Proposal # 1248 WMXMTOVSQXXHSV Deviation = 4.42ppm
Search WEB for skeleton |
|
![]()
|
|
|
Structure Proposal # 1249 OWIMPHASSJUFRP Deviation = 4.42ppm
Search WEB for skeleton |
|
![]()
|
|
|
Structure Proposal # 1250 BMZQWBMOSVCROT Deviation = 4.42ppm
Search WEB for skeleton |
|
![]()
|
|
|
Structure Proposal # 1251 IWRAROADOSJTBE Deviation = 4.42ppm
Search WEB for skeleton |
|
![]()
|
|
|
Structure Proposal # 1252 NWASTPGYSCJBRO Deviation = 4.43ppm
Search WEB for skeleton |
|
![]()
|
|
|
Structure Proposal # 1253 RTWXKVVCTSGEFF Deviation = 4.43ppm
Search WEB for skeleton |
|
![]()
|
|
|
Structure Proposal # 1254 LRUYMIGZNCEJMJ Deviation = 4.43ppm
Search WEB for skeleton |
|
![]()
|
|
|
Structure Proposal # 1255 WJHDVGWXDIDJHY Deviation = 4.43ppm
Search WEB for skeleton |
|
![]()
|
|
|
Structure Proposal # 1256 HTNZMHRYSJODEF Deviation = 4.43ppm
Search WEB for skeleton |
|
![]()
|
|
|
Structure Proposal # 1257 RQESUOYHSQBKLH Deviation = 4.43ppm
Search WEB for skeleton |
|
![]()
|
|
|
Structure Proposal # 1258 BJSYBNZNRLHIJG Deviation = 4.43ppm
Search WEB for skeleton |
|
![]()
|
|
|
Structure Proposal # 1259 CHDAGEFBCCOHQT Deviation = 4.43ppm
Search WEB for skeleton |
|
![]()
|
|
|
Structure Proposal # 1260 LJNFBYSMPBFKGN Deviation = 4.43ppm
Search WEB for skeleton |
|
![]()
|
|
|
Structure Proposal # 1261 UGXJYRGYRYCJCY Deviation = 4.43ppm
Search WEB for skeleton |
|
![]()
|
|
|
Structure Proposal # 1262 VPRXUJXHEWWJCF Deviation = 4.43ppm
Search WEB for skeleton |
|
![]()
|
|
|
Structure Proposal # 1263 ZDOXQTPWQUHYMD Deviation = 4.43ppm
Search WEB for skeleton |
|
![]()
|
|
|
Structure Proposal # 1264 ZPEXZQWGSMPOLD Deviation = 4.43ppm
Search WEB for skeleton |
|
![]()
|
|
|
Structure Proposal # 1265 HPTQFKXBUKBSTE Deviation = 4.43ppm
Search WEB for skeleton |
|
![]()
|
|
|
Structure Proposal # 1266 QAJNOOADPKUSKZ Deviation = 4.43ppm
Search WEB for skeleton |
|
![]()
|
|
|
Structure Proposal # 1267 RPLNXJIRKIHSMD Deviation = 4.43ppm
Search WEB for skeleton |
|
![]()
|
|
|
Structure Proposal # 1268 GMCYCUBPAPNKEH Deviation = 4.43ppm
Search WEB for skeleton |
|
![]()
|
|
|
Structure Proposal # 1269 BYKPGROCCXOBJC Deviation = 4.43ppm
Search WEB for skeleton respect to your proposal |
|
![]()
|
|
|
Structure Proposal # 1270 LJCNWPJILVDTIB Deviation = 4.44ppm
Search WEB for skeleton |
|
![]()
|
|
|
Structure Proposal # 1271 QIHMVFZKSTXPMP Deviation = 4.44ppm
Search WEB for skeleton respect to your proposal |
|
![]()
|
|
|
Structure Proposal # 1272 FJAKOELKOKAKHC Deviation = 4.44ppm
Search WEB for skeleton |
|
![]()
|
|
|
Structure Proposal # 1273 MWQLGRKVDSLXTB Deviation = 4.44ppm
Search WEB for skeleton |
|
![]()
|
|
|
Structure Proposal # 1274 SLUFDRFORSLJOO Deviation = 4.44ppm
Search WEB for skeleton |
|
![]()
|
|
|
Structure Proposal # 1275 MIWHMNLGTAJHJZ Deviation = 4.44ppm
Search WEB for skeleton |
|
![]()
|
|
|
Structure Proposal # 1276 KWPXEEZALRRNQJ Deviation = 4.44ppm
Search WEB for skeleton |
|
![]()
|
|
|
Structure Proposal # 1277 CQVFKPKZDCKMFT Deviation = 4.44ppm
Search WEB for skeleton |
|
![]()
|
|
|
Structure Proposal # 1278 VHVCVTCFJUOYAF Deviation = 4.44ppm
Search WEB for skeleton |
|
![]()
|
|
|
Structure Proposal # 1279 FNHZVKLMXSAZJD Deviation = 4.44ppm
Search WEB for skeleton |
|
![]()
|
|
|
Structure Proposal # 1280 WEAXHLDQTFYJDN Deviation = 4.44ppm
Search WEB for skeleton |
|
![]()
|
|
|
Structure Proposal # 1281 DIZIRHYSOJGXIE Deviation = 4.44ppm
Search WEB for skeleton |
|
![]()
|
|
|
Structure Proposal # 1282 NOPAXJTVCMLBKQ Deviation = 4.44ppm
Search WEB for skeleton |
|
![]()
|
|
|
Structure Proposal # 1283 ACQWLPDORVJZGX Deviation = 4.44ppm
Search WEB for skeleton |
|
![]()
|
|
|
Structure Proposal # 1284 AGJMXZKBZHKPBP Deviation = 4.44ppm
Search WEB for skeleton |
|
![]()
|
|
|
Structure Proposal # 1285 UMVUOEJJDQYKAC Deviation = 4.45ppm
Search WEB for skeleton |
|
![]()
|
|
|
Structure Proposal # 1286 YVMBPENOCZSDGA Deviation = 4.45ppm
Search WEB for skeleton Compound from PUBCHEM |
|
![]()
|
|
|
Structure Proposal # 1287 HHHHCDWYFQONJJ Deviation = 4.45ppm
Search WEB for skeleton |
|
![]()
|
|
|
Structure Proposal # 1288 KRVIKKBYPKCNLU Deviation = 4.45ppm
Search WEB for skeleton |
|
![]()
|
|
|
Structure Proposal # 1289 FJFRLAILQBJCTD Deviation = 4.45ppm
Search WEB for skeleton |
|
![]()
|
|
|
Structure Proposal # 1290 QMSPFRKZLFSDHT Deviation = 4.45ppm
Search WEB for skeleton |
|
![]()
|
|
|
Structure Proposal # 1291 JZNTVRYDQOFOJH Deviation = 4.45ppm
Search WEB for skeleton |
|
![]()
|
|
|
Structure Proposal # 1292 YQIWOMQELGWTIY Deviation = 4.46ppm
Search WEB for skeleton |
|
![]()
|
|
|
Structure Proposal # 1293 YBOLJDFYOLOPHC Deviation = 4.46ppm
Search WEB for skeleton |
|
![]()
|
|
|
Structure Proposal # 1294 MHVHUQPCXFGELT Deviation = 4.46ppm
Search WEB for skeleton |
|
![]()
|
|
|
Structure Proposal # 1295 WYKIJEMXZNZXPL Deviation = 4.46ppm
Search WEB for skeleton |
|
![]()
|
|
|
Structure Proposal # 1296 FUKQNUFUNHUWMJ Deviation = 4.46ppm
Search WEB for skeleton |
|
![]()
|
|
|
Structure Proposal # 1297 BGZQKWUTAJHOLM Deviation = 4.46ppm
Search WEB for skeleton |
|
![]()
|
|
|
Structure Proposal # 1298 TYGPRIQYFPBKTF Deviation = 4.46ppm
Search WEB for skeleton respect to your proposal |
|
![]()
|
|
|
Structure Proposal # 1299 YBWODXJMYUUVDY Deviation = 4.46ppm
Search WEB for skeleton |
|
![]()
|
|
|
Structure Proposal # 1300 YFEXBVSZWQHZTP Deviation = 4.46ppm
Search WEB for skeleton respect to your proposal |
|
![]()
|
|
|
Structure Proposal # 1301 ZNIWRUJQVMWTKS Deviation = 4.46ppm
Search WEB for skeleton |
|
![]()
|
|
|
Structure Proposal # 1302 MLQCBVLVXQBVKI Deviation = 4.46ppm
Search WEB for skeleton |
|
![]()
|
|
|
Structure Proposal # 1303 JBYJGGDIDVSHFG Deviation = 4.46ppm
Search WEB for skeleton |
|
![]()
|
|
|
Structure Proposal # 1304 HMTRKSZXMRPFOP Deviation = 4.46ppm
Search WEB for skeleton respect to your proposal |
|
![]()
|
|
|
Structure Proposal # 1305 OTLXVFGZGOGJEK Deviation = 4.46ppm
Search WEB for skeleton |
|
![]()
|
|
|
Structure Proposal # 1306 YQFCGZGUDDPNMX Deviation = 4.47ppm
Search WEB for skeleton |
|
![]()
|
|
|
Structure Proposal # 1307 VUJOIGISPDARAP Deviation = 4.47ppm
Search WEB for skeleton respect to your proposal |
|
![]()
|
|
|
Structure Proposal # 1308 RLSPWRWHKZUEDO Deviation = 4.47ppm
Search WEB for skeleton |
|
![]()
|
|
|
Structure Proposal # 1309 YFPKMMBQUGKNOE Deviation = 4.47ppm
Search WEB for skeleton |
|
![]()
|
|
|
Structure Proposal # 1310 NYIZWKCLHAKHGE Deviation = 4.47ppm
Search WEB for skeleton |
|
![]()
|
|
|
Structure Proposal # 1311 MLEZEJGLIPVHFM Deviation = 4.47ppm
Search WEB for skeleton |
|
![]()
|
|
|
Structure Proposal # 1312 HRLDXIBAFXEHQS Deviation = 4.47ppm
Search WEB for skeleton respect to your proposal |
|
![]()
|
|
|
Structure Proposal # 1313 XJATVUUFICHWLI Deviation = 4.47ppm
Search WEB for skeleton |
|
![]()
|
|
|
Structure Proposal # 1314 FLMDSOUAAUDYGH Deviation = 4.47ppm
Search WEB for skeleton |
|
![]()
|
|
|
Structure Proposal # 1315 UZTKLKBAODSXLJ Deviation = 4.47ppm
Search WEB for skeleton respect to your proposal |
|
![]()
|
|
|
Structure Proposal # 1316 XSFQWFHDFYONJO Deviation = 4.47ppm
Search WEB for skeleton |
|
![]()
|
|
|
Structure Proposal # 1317 PEVNHLSJTQOCBM Deviation = 4.47ppm
Search WEB for skeleton respect to your proposal |
|
![]()
|
|
|
Structure Proposal # 1318 MJPZHOIQQIHWMM Deviation = 4.47ppm
Search WEB for skeleton |
|
![]()
|
|
|
Structure Proposal # 1319 DBKUHJLSYUYFNQ Deviation = 4.47ppm
Search WEB for skeleton respect to your proposal |
|
![]()
|
|
|
Structure Proposal # 1320 UJOLHGLIEXTREB Deviation = 4.48ppm
Search WEB for skeleton |
|
![]()
|
|
|
Structure Proposal # 1321 IOVJFNNSBKRICK Deviation = 4.48ppm
Search WEB for skeleton |
|
![]()
|
|
|
Structure Proposal # 1322 NPDRUZDPGFANEF Deviation = 4.48ppm
Search WEB for skeleton |
|
![]()
|
|
|
Structure Proposal # 1323 LBYHFZOEWJUXMF Deviation = 4.48ppm
Search WEB for skeleton |
|
![]()
|
|
|
Structure Proposal # 1324 WLRLYYJXRJVKIF Deviation = 4.48ppm
Search WEB for skeleton |
|
![]()
|
|
|
Structure Proposal # 1325 ZWSGGEWQCPAPSI Deviation = 4.48ppm
Search WEB for skeleton |
|
![]()
|
|
|
Structure Proposal # 1326 KXSJXUGFGSZMGN Deviation = 4.48ppm
Search WEB for skeleton |
|
![]()
|
|
|
Structure Proposal # 1327 KXCOGBQJADUHKF Deviation = 4.48ppm
Search WEB for skeleton respect to your proposal |
|
![]()
|
|
|
Structure Proposal # 1328 BGNGPAKSCHOLCB Deviation = 4.49ppm
Search WEB for skeleton |
|
![]()
|
|
|
Structure Proposal # 1329 GIUOCGVWYYYBLI Deviation = 4.49ppm
Search WEB for skeleton |
|
![]()
|
|
|
Structure Proposal # 1330 XPXYRJVXWRGODA Deviation = 4.49ppm
Search WEB for skeleton |
|
![]()
|
|
|
Structure Proposal # 1331 UXYDCIMKGVVAMG Deviation = 4.49ppm
Search WEB for skeleton respect to your proposal |
|
![]()
|
|
|
Structure Proposal # 1332 YTTAGLXEPWLIGI Deviation = 4.49ppm
Search WEB for skeleton |
|
![]()
|
|
|
Structure Proposal # 1333 FEIXCMKOUCJGGP Deviation = 4.49ppm
Search WEB for skeleton |
|
![]()
|
|
|
Structure Proposal # 1334 CIDOYTWGSHFXDA Deviation = 4.49ppm
Search WEB for skeleton |
|
![]()
|
|
|
Structure Proposal # 1335 KBMLLSMXDSOULV Deviation = 4.49ppm
Search WEB for skeleton |
|
![]()
|
|
|
Structure Proposal # 1336 TXDYBIJYFBIOTB Deviation = 4.49ppm
Search WEB for skeleton |
|
![]()
|
|
|
Structure Proposal # 1337 GSXFWLBYUVGKLZ Deviation = 4.49ppm
Search WEB for skeleton |
|
![]()
|
|
|
Structure Proposal # 1338 XAIYNOBVPJKVPC Deviation = 4.49ppm
Search WEB for skeleton respect to your proposal |
|
![]()
|
|
|
Structure Proposal # 1339 MEGWTCPWMJGCLT Deviation = 4.49ppm
Search WEB for skeleton |
|
![]()
|
|
|
Structure Proposal # 1340 YYMNWUUDJLNYFB Deviation = 4.49ppm
Search WEB for skeleton |
|
![]()
|
|
|
Structure Proposal # 1341 MOAQXNJCAOEXCX Deviation = 4.50ppm
Search WEB for skeleton |
|
![]()
|
|
|
Structure Proposal # 1342 KXKBHDJPBZNABE Deviation = 4.50ppm
Search WEB for skeleton |
|
![]()
|
|
|
Structure Proposal # 1343 YNPMPMWPWLISKX Deviation = 4.50ppm
Search WEB for skeleton respect to your proposal |
|
![]()
|
|
|
Structure Proposal # 1344 JMFSSCBPYCGMPW Deviation = 4.50ppm
Search WEB for skeleton |
|
![]()
|
|
|
Structure Proposal # 1345 WKRKLGNHVNAZNJ Deviation = 4.50ppm
Search WEB for skeleton |
|
![]()
|
|
|
Structure Proposal # 1346 XZHNEVJVSOGJTE Deviation = 4.50ppm
Search WEB for skeleton respect to your proposal |
|
![]()
|
|
|
Structure Proposal # 1347 FSUNMNVXQVJECT Deviation = 4.50ppm
Search WEB for skeleton |
|
![]()
|
|
|
Structure Proposal # 1348 NOUSQPYEOFEJJO Deviation = 4.50ppm
Search WEB for skeleton |
|
![]()
|
|
|
Structure Proposal # 1349 UKMFFIRSJXOBEE Deviation = 4.50ppm
Search WEB for skeleton |
|
![]()
|
|
|
Structure Proposal # 1350 UNORTDGAHOGYAZ Deviation = 4.50ppm
Search WEB for skeleton |
|
![]()
|
|
|
Structure Proposal # 1351 JBIILGMARVPFHW Deviation = 4.50ppm
Search WEB for skeleton |
|
![]()
|
|
|
Structure Proposal # 1352 YLMOWCHXCFKRSO Deviation = 4.50ppm
Search WEB for skeleton |
|
![]()
|
|
|
Structure Proposal # 1353 AAKWXZPLSUWZNY Deviation = 4.50ppm
Search WEB for skeleton |
|
![]()
|
|
|
Structure Proposal # 1354 JVPIIYWPHKHIDR Deviation = 4.51ppm
Search WEB for skeleton respect to your proposal |
|
![]()
|
|
|
Structure Proposal # 1355 AEGATEVUWYNSME Deviation = 4.51ppm
Search WEB for skeleton respect to your proposal |
|
![]()
|
|
|
Structure Proposal # 1356 RSVQGWQFMTVFKS Deviation = 4.51ppm
Search WEB for skeleton |
|
![]()
|
|
|
Structure Proposal # 1357 JORMOKKJVRYVMD Deviation = 4.51ppm
Search WEB for skeleton |
|
![]()
|
|
|
Structure Proposal # 1358 UERJCEHEULVNMK Deviation = 4.51ppm
Search WEB for skeleton |
|
![]()
|
|
|
Structure Proposal # 1359 HPPGPBIRUUQRFH Deviation = 4.51ppm
Search WEB for skeleton |
|
![]()
|
|
|
Structure Proposal # 1360 JYLFTECUUOSXDY Deviation = 4.51ppm
Search WEB for skeleton respect to your proposal |
|
![]()
|
|
|
Structure Proposal # 1361 HXRYQFSQWQCBEZ Deviation = 4.51ppm
Search WEB for skeleton |
|
![]()
|
|
|
Structure Proposal # 1362 DXWCFOQAXUOEDY Deviation = 4.51ppm
Search WEB for skeleton respect to your proposal |
|
![]()
|
|
|
Structure Proposal # 1363 UCJOYGPWZAYXLT Deviation = 4.52ppm
Search WEB for skeleton |
|
![]()
|
|
|
Structure Proposal # 1364 GRAUOPABILXVKI Deviation = 4.52ppm
Search WEB for skeleton |
|
![]()
|
|
|
Structure Proposal # 1365 GRDFSWNUKLSBQO Deviation = 4.52ppm
Search WEB for skeleton respect to your proposal |
|
![]()
|
|
|
Structure Proposal # 1366 BLRXEFRBOMAQJR Deviation = 4.52ppm
Search WEB for skeleton |
|
![]()
|
|
|
Structure Proposal # 1367 YKWPTBMRNFJPPC Deviation = 4.52ppm
Search WEB for skeleton respect to your proposal |
|
![]()
|
|
|
Structure Proposal # 1368 AVURFWRIDGHXHR Deviation = 4.52ppm
Search WEB for skeleton |
|
![]()
|
|
|
Structure Proposal # 1369 DRCJRTNYOQWKNL Deviation = 4.52ppm
Search WEB for skeleton |
|
![]()
|
|
|
Structure Proposal # 1370 AQAGAFZFPSRDRA Deviation = 4.52ppm
Search WEB for skeleton |
|
![]()
|
|
|
Structure Proposal # 1371 BUVSDUAAHPZOBC Deviation = 4.52ppm
Search WEB for skeleton |
|
![]()
|
|
|
Structure Proposal # 1372 VYBKXZZZRYCCTD Deviation = 4.52ppm
Search WEB for skeleton |
|
![]()
|
|
|
Structure Proposal # 1373 BHPIHLSTYRROPF Deviation = 4.52ppm
Search WEB for skeleton respect to your proposal |
|
![]()
|
|
|
Structure Proposal # 1374 PBUVMLBHCBMYOE Deviation = 4.52ppm
Search WEB for skeleton |
|
![]()
|
|
|
Structure Proposal # 1375 HCEBNATUIKWDRA Deviation = 4.52ppm
Search WEB for skeleton respect to your proposal |
|
![]()
|
|
|
Structure Proposal # 1376 KKBUSFDCVYPGFA Deviation = 4.52ppm
Search WEB for skeleton |
|
![]()
|
|
|
Structure Proposal # 1377 KQAFZUVUPWDWDZ Deviation = 4.52ppm
Search WEB for skeleton |
|
![]()
|
|
|
Structure Proposal # 1378 OPOCJXYYHUNSDS Deviation = 4.52ppm
Search WEB for skeleton respect to your proposal |
|
![]()
|
|
|
Structure Proposal # 1379 MKQOJTPHPZWDBY Deviation = 4.52ppm
Search WEB for skeleton |
|
![]()
|
|
|
Structure Proposal # 1380 BPQRYBAYIMGOLI Deviation = 4.53ppm
Search WEB for skeleton |
|
![]()
|
|
|
Structure Proposal # 1381 VCEPLMYLXVGYJR Deviation = 4.53ppm
Search WEB for skeleton |
|
![]()
|
|
|
Structure Proposal # 1382 DCESDMWXFHNKAC Deviation = 4.53ppm
Search WEB for skeleton |
|
![]()
|
|
|
Structure Proposal # 1383 MVWSACQGHPOSGW Deviation = 4.53ppm
Search WEB for skeleton |
|
![]()
|
|
|
Structure Proposal # 1384 VJNTXDNYZHXTHH Deviation = 4.53ppm
Search WEB for skeleton |
|
![]()
|
|
|
Structure Proposal # 1385 VUMBFKGFDIYHAZ Deviation = 4.53ppm
Search WEB for skeleton respect to your proposal |
|
![]()
|
|
|
Structure Proposal # 1386 GDPRXMPZPZIENS Deviation = 4.53ppm
Search WEB for skeleton respect to your proposal |
|
![]()
|
|
|
Structure Proposal # 1387 HBEDPMMULAUFJB Deviation = 4.53ppm
Search WEB for skeleton |
|
![]()
|
|
|
Structure Proposal # 1388 UKZSNZKWZIZAND Deviation = 4.53ppm
Search WEB for skeleton |
|
![]()
|
|
|
Structure Proposal # 1389 ORJNUNVNMFEURR Deviation = 4.53ppm
Search WEB for skeleton |
|
![]()
|
|
|
Structure Proposal # 1390 WDJNSPSQWSRUKV Deviation = 4.53ppm
Search WEB for skeleton |
|
![]()
|
|
|
Structure Proposal # 1391 DHBKSQHCKUJYLB Deviation = 4.54ppm
Search WEB for skeleton |
|
![]()
|
|
|
Structure Proposal # 1392 AZRLOHUWGGLHPI Deviation = 4.54ppm
Search WEB for skeleton |
|
![]()
|
|
|
Structure Proposal # 1393 HAKJHQLJTCSFAL Deviation = 4.54ppm
Search WEB for skeleton |
|
![]()
|
|
|
Structure Proposal # 1394 QGQTUYXAZHQCAI Deviation = 4.54ppm
Search WEB for skeleton respect to your proposal |
|
![]()
|
|
|
Structure Proposal # 1395 VUMIXHWSZQJCLL Deviation = 4.54ppm
Search WEB for skeleton |
|
![]()
|
|
|
Structure Proposal # 1396 ZVERFGUOPNKOAC Deviation = 4.54ppm
Search WEB for skeleton |
|
![]()
|
|
|
Structure Proposal # 1397 YUKXTJQHKHXTBG Deviation = 4.54ppm
Search WEB for skeleton |
|
![]()
|
|
|
Structure Proposal # 1398 MTURRUBHSVOQPD Deviation = 4.54ppm
Search WEB for skeleton respect to your proposal |
|
![]()
|
|
|
Structure Proposal # 1399 OHYQBESPUVFUJG Deviation = 4.54ppm
Search WEB for skeleton |
|
![]()
|
|
|
Structure Proposal # 1400 XNWYHBZVQUPOPA Deviation = 4.54ppm
Search WEB for skeleton |
|
![]()
|
|
|
Structure Proposal # 1401 XVPXOPHTJUPROV Deviation = 4.54ppm
Search WEB for skeleton |
|
![]()
|
|
|
Structure Proposal # 1402 KPUFRVIELBPSKW Deviation = 4.54ppm
Search WEB for skeleton respect to your proposal |
|
![]()
|
|
|
Structure Proposal # 1403 ZEPAEZILPCGQFS Deviation = 4.54ppm
Search WEB for skeleton |
|
![]()
|
|
|
Structure Proposal # 1404 MDLIZLYVFJVXOH Deviation = 4.54ppm
Search WEB for skeleton |
|
![]()
|
|
|
Structure Proposal # 1405 QUTDZJODMJCFAN Deviation = 4.54ppm
Search WEB for skeleton |
|
![]()
|
|
|
Structure Proposal # 1406 ZKTDERTXCSWDKB Deviation = 4.54ppm
Search WEB for skeleton |
|
![]()
|
|
|
Structure Proposal # 1407 OJBHRDALOYALPZ Deviation = 4.54ppm
Search WEB for skeleton |
|
![]()
|
|
|
Structure Proposal # 1408 VGIVYBMEDQDACL Deviation = 4.55ppm
Search WEB for skeleton |
|
![]()
|
|
|
Structure Proposal # 1409 WDOHJNTUJLRKRE Deviation = 4.55ppm
Search WEB for skeleton |
|
![]()
|
|
|
Structure Proposal # 1410 PVNBBUOQDYBLKL Deviation = 4.55ppm
Search WEB for skeleton |
|
![]()
|
|
|
Structure Proposal # 1411 BZCMTCOHOHBSCZ Deviation = 4.55ppm
Search WEB for skeleton |
|
![]()
|
|
|
Structure Proposal # 1412 SWPPMLWWLCYRGA Deviation = 4.55ppm
Search WEB for skeleton |
|
![]()
|
|
|
Structure Proposal # 1413 WDAPMBCLRIRRBP Deviation = 4.55ppm
Search WEB for skeleton |
|
![]()
|
|
|
Structure Proposal # 1414 ZNQRXGARMSLNNW Deviation = 4.55ppm
Search WEB for skeleton respect to your proposal |
|
![]()
|
|
|
Structure Proposal # 1415 QOAQIYGQGXRCBW Deviation = 4.55ppm
Search WEB for skeleton |
|
![]()
|
|
|
Structure Proposal # 1416 KOWOIRBDSZGUPL Deviation = 4.55ppm
Search WEB for skeleton respect to your proposal |
|
![]()
|
|
|
Structure Proposal # 1417 QHRFBWDLTDPIES Deviation = 4.55ppm
Search WEB for skeleton |
|
![]()
|
|
|
Structure Proposal # 1418 LSBSTLFTBLBFFQ Deviation = 4.55ppm
Search WEB for skeleton respect to your proposal |
|
![]()
|
|
|
Structure Proposal # 1419 UWJRTFTWMAECLN Deviation = 4.56ppm
Search WEB for skeleton |
|
![]()
|
|
|
Structure Proposal # 1420 RTIURQZHHYKKCY Deviation = 4.56ppm
Search WEB for skeleton |
|
![]()
|
|
|
Structure Proposal # 1421 QBTGGCZTHNJUJI Deviation = 4.56ppm
Search WEB for skeleton |
|
![]()
|
|
|
Structure Proposal # 1422 ZHIGQFYKTQFUBK Deviation = 4.56ppm
Search WEB for skeleton |
|
![]()
|
|
|
Structure Proposal # 1423 QPJGHNBEHXTMOK Deviation = 4.56ppm
Search WEB for skeleton |
|
![]()
|
|
|
Structure Proposal # 1424 UPMWQTUVJUJSFB Deviation = 4.56ppm
Search WEB for skeleton |
|
![]()
|
|
|
Structure Proposal # 1425 LBKFLLZBSZKOGZ Deviation = 4.56ppm
Search WEB for skeleton |
|
![]()
|
|
|
Structure Proposal # 1426 CSZWGALCTSFHDC Deviation = 4.56ppm
Search WEB for skeleton |
|
![]()
|
|
|
Structure Proposal # 1427 PRJQTAOYIQGDLI Deviation = 4.56ppm
Search WEB for skeleton |
|
![]()
|
|
|
Structure Proposal # 1428 ORQRLWUHOYCGRN Deviation = 4.56ppm
Search WEB for skeleton |
|
![]()
|
|
|
Structure Proposal # 1429 GLXLYZMYYKFJLK Deviation = 4.56ppm
Search WEB for skeleton |
|
![]()
|
|
|
Structure Proposal # 1430 OYPHOFJUDGOYTM Deviation = 4.56ppm
Search WEB for skeleton |
|
![]()
|
|
|
Structure Proposal # 1431 QGYSIWUTTGARQM Deviation = 4.56ppm
Search WEB for skeleton |
|
![]()
|
|
|
Structure Proposal # 1432 OVYYFFIHROMXHJ Deviation = 4.56ppm
Search WEB for skeleton |
|
![]()
|
|
|
Structure Proposal # 1433 YSYJZGITWXXONH Deviation = 4.57ppm
Search WEB for skeleton respect to your proposal |
|
![]()
|
|
|
Structure Proposal # 1434 KRIJTCZLSYGRRB Deviation = 4.57ppm
Search WEB for skeleton |
|
![]()
|
|
|
Structure Proposal # 1435 YHMFLJSSOFULAF Deviation = 4.57ppm
Search WEB for skeleton respect to your proposal |
|
![]()
|
|
|
Structure Proposal # 1436 SOQIQGZUBRUMEV Deviation = 4.57ppm
Search WEB for skeleton |
|
![]()
|
|
|
Structure Proposal # 1437 XMGAFNFIWCEAFM Deviation = 4.57ppm
Search WEB for skeleton respect to your proposal |
|
![]()
|
|
|
Structure Proposal # 1438 NOLWIRCKBRJPCD Deviation = 4.57ppm
Search WEB for skeleton |
|
![]()
|
|
|
Structure Proposal # 1439 ZVQCFGARBPXDSA Deviation = 4.57ppm
Search WEB for skeleton respect to your proposal |
|
![]()
|
|
|
Structure Proposal # 1440 RXWAAIKHGDIXMV Deviation = 4.57ppm
Search WEB for skeleton |
|
![]()
|
|
|
Structure Proposal # 1441 LCBUEPZXMORQCX Deviation = 4.57ppm
Search WEB for skeleton |
|
![]()
|
|
|
Structure Proposal # 1442 AAGJIDWSKYBEAB Deviation = 4.57ppm
Search WEB for skeleton |
|
![]()
|
|
|
Structure Proposal # 1443 IUWBGRSQTPORLU Deviation = 4.57ppm
Search WEB for skeleton |
|
![]()
|
|
|
Structure Proposal # 1444 RQTQVXIJMOBVGN Deviation = 4.57ppm
Search WEB for skeleton |
|
![]()
|
|
|
Structure Proposal # 1445 DVNZDGUVTSSANP Deviation = 4.57ppm
Search WEB for skeleton |
|
![]()
|
|
|
Structure Proposal # 1446 MXXHXAJKPUEWSI Deviation = 4.57ppm
Search WEB for skeleton |
|
![]()
|
|
|
Structure Proposal # 1447 USJROFIHJOMDNI Deviation = 4.57ppm
Search WEB for skeleton |
|
![]()
|
|
|
Structure Proposal # 1448 YHTXTTWTQBLKRO Deviation = 4.57ppm
Search WEB for skeleton |
|
![]()
|
|
|
Structure Proposal # 1449 BZMIRDMGKKGXQZ Deviation = 4.57ppm
Search WEB for skeleton |
|
![]()
|
|
|
Structure Proposal # 1450 OXKACAKOHZVUND Deviation = 4.57ppm
Search WEB for skeleton |
|
![]()
|
|
|
Structure Proposal # 1451 BINNATQZDQLBOY Deviation = 4.57ppm
Search WEB for skeleton |
|
![]()
|
|
|
Structure Proposal # 1452 XSPFTKCKWVGZOI Deviation = 4.57ppm
Search WEB for skeleton |
|
![]()
|
|
|
Structure Proposal # 1453 AHVBFUOSAKGQTD Deviation = 4.57ppm
Search WEB for skeleton |
|
![]()
|
|
|
Structure Proposal # 1454 NPRAPDBOELYUQI Deviation = 4.58ppm
Search WEB for skeleton |
|
![]()
|
|
|
Structure Proposal # 1455 JTBYKWVDSIACHI Deviation = 4.58ppm
Search WEB for skeleton |
|
![]()
|
|
|
Structure Proposal # 1456 BODYOLSOFNZFEO Deviation = 4.58ppm
Search WEB for skeleton |
|
![]()
|
|
|
Structure Proposal # 1457 RROHLPMUNKEQBN Deviation = 4.58ppm
Search WEB for skeleton |
|
![]()
|
|
|
Structure Proposal # 1458 VRLVRVIGWKVVDG Deviation = 4.58ppm
Search WEB for skeleton |
|
![]()
|
|
|
Structure Proposal # 1459 ZFFIGPALZJSCEH Deviation = 4.58ppm
Search WEB for skeleton |
|
![]()
|
|
|
Structure Proposal # 1460 ANHKUKCXJXOASK Deviation = 4.58ppm
Search WEB for skeleton respect to your proposal |
|
![]()
|
|
|
Structure Proposal # 1461 JMIPCVJFVFARSA Deviation = 4.58ppm
Search WEB for skeleton |
|
![]()
|
|
|
Structure Proposal # 1462 CDROXJYFVXAZLF Deviation = 4.58ppm
Search WEB for skeleton |
|
![]()
|
|
|
Structure Proposal # 1463 JCRLJCCTUOKOLZ Deviation = 4.58ppm
Search WEB for skeleton respect to your proposal |
|
![]()
|
|
|
Structure Proposal # 1464 VGAALRIRODDYFU Deviation = 4.58ppm
Search WEB for skeleton |
|
![]()
|
|
|
Structure Proposal # 1465 QFCMKLWHDBDINO Deviation = 4.58ppm
Search WEB for skeleton |
|
![]()
|
|
|
Structure Proposal # 1466 JIADVUMTQSLJHU Deviation = 4.58ppm
Search WEB for skeleton |
|
![]()
|
|
|
Structure Proposal # 1467 RZQXWAFLCAAVHA Deviation = 4.58ppm
Search WEB for skeleton |
|
![]()
|
|
|
Structure Proposal # 1468 NOBKSDPPSRDRRW Deviation = 4.58ppm
Search WEB for skeleton respect to your proposal |
|
![]()
|
|
|
Structure Proposal # 1469 KTRXWNJZBKMLJU Deviation = 4.58ppm
Search WEB for skeleton respect to your proposal |
|
![]()
|
|
|
Structure Proposal # 1470 RTNDAJUUXKGSDD Deviation = 4.58ppm
Search WEB for skeleton respect to your proposal |
|
![]()
|
|
|
Structure Proposal # 1471 PPJKRUCTEFNQOK Deviation = 4.58ppm
Search WEB for skeleton |
|
![]()
|
|
|
Structure Proposal # 1472 UFIZTKYPKUDBBZ Deviation = 4.58ppm
Search WEB for skeleton |
|
![]()
|
|
|
Structure Proposal # 1473 NKTHMUJRFZVYAN Deviation = 4.58ppm
Search WEB for skeleton |
|
![]()
|
|
|
Structure Proposal # 1474 PQIXOLTXVICADL Deviation = 4.58ppm
Search WEB for skeleton |
|
![]()
|
|
|
Structure Proposal # 1475 WYZZIFWSBNJJNX Deviation = 4.58ppm
Search WEB for skeleton |
|
![]()
|
|
|
Structure Proposal # 1476 KVQPTEUXCFSWMV Deviation = 4.59ppm
Search WEB for skeleton |
|
![]()
|
|
|
Structure Proposal # 1477 RUWMFACYABMKNE Deviation = 4.59ppm
Search WEB for skeleton |
|
![]()
|
|
|
Structure Proposal # 1478 HKSUIAYLMCSDAU Deviation = 4.59ppm
Search WEB for skeleton |
|
![]()
|
|
|
Structure Proposal # 1479 LZZFKUKAJKXSLK Deviation = 4.59ppm
Search WEB for skeleton |
|
![]()
|
|
|
Structure Proposal # 1480 BPEQPWPFKCLPJC Deviation = 4.59ppm
Search WEB for skeleton |
|
![]()
|
|
|
Structure Proposal # 1481 JEXFQZICAWNLLV Deviation = 4.59ppm
Search WEB for skeleton |
|
![]()
|
|
|
Structure Proposal # 1482 BVBJHZRYRFSPIR Deviation = 4.59ppm
Search WEB for skeleton |
|
![]()
|
|
|
Structure Proposal # 1483 PIQDNKGSCNDTGE Deviation = 4.59ppm
Search WEB for skeleton |
|
![]()
|
|
|
Structure Proposal # 1484 HDBWGQSMUJOIJO Deviation = 4.59ppm
Search WEB for skeleton respect to your proposal |
|
![]()
|
|
|
Structure Proposal # 1485 LKMJOGZCMBRSPL Deviation = 4.59ppm
Search WEB for skeleton |
|
![]()
|
|
|
Structure Proposal # 1486 ZPYOJRQBGAZQCS Deviation = 4.59ppm
Search WEB for skeleton |
|
![]()
|
|
|
Structure Proposal # 1487 JZGIQRXFCWZZNO Deviation = 4.59ppm
Search WEB for skeleton |
|
![]()
|
|
|
Structure Proposal # 1488 DICHFNNUOJISIH Deviation = 4.59ppm
Search WEB for skeleton |
|
![]()
|
|
|
Structure Proposal # 1489 AEYZNHWUNSVGNW Deviation = 4.59ppm
Search WEB for skeleton |
|
![]()
|
|
|
Structure Proposal # 1490 LOBLCYPIBIQFLB Deviation = 4.59ppm
Search WEB for skeleton |
|
![]()
|
|
|
Structure Proposal # 1491 JEPLRVOWWOZATJ Deviation = 4.60ppm
Search WEB for skeleton |
|
![]()
|
|
|
Structure Proposal # 1492 GZPWMVVXKVDIIS Deviation = 4.60ppm
Search WEB for skeleton |
|
![]()
|
|
|
Structure Proposal # 1493 WGBGUXMHLIVKEB Deviation = 4.60ppm
Search WEB for skeleton |
|
![]()
|
|
|
Structure Proposal # 1494 ISVJACDNRJAHGJ Deviation = 4.60ppm
Search WEB for skeleton |
|
![]()
|
|
|
Structure Proposal # 1495 ZBVFWNFHTLEIFI Deviation = 4.60ppm
Search WEB for skeleton |
|
![]()
|
|
|
Structure Proposal # 1496 DNKHZJIEANQLQA Deviation = 4.60ppm
Search WEB for skeleton |
|
![]()
|
|
|
Structure Proposal # 1497 QCURQVCTPSGMRV Deviation = 4.60ppm
Search WEB for skeleton |
|
![]()
|
|
|
Structure Proposal # 1498 RDDDWGXXCUFGNS Deviation = 4.60ppm
Search WEB for skeleton |
|
![]()
|
|
|
Structure Proposal # 1499 RCOCBOKEAUFNRJ Deviation = 4.60ppm
Search WEB for skeleton |
|
![]()
|
|
|
Structure Proposal # 1500 WEMGMBMBVGPJOW Deviation = 4.60ppm
Search WEB for skeleton |
|
![]()
|
|
|
Structure Proposal # 1501 QRJXBLJCQMQZNG Deviation = 4.60ppm
Search WEB for skeleton respect to your proposal |
|
![]()
|
|
|
Structure Proposal # 1502 DCJMBEAXCQNJEY Deviation = 4.60ppm
Search WEB for skeleton |
|
![]()
|
|
|
Structure Proposal # 1503 OXEWEKXMLIORDT Deviation = 4.60ppm
Search WEB for skeleton respect to your proposal |
|
![]()
|
|
|
Structure Proposal # 1504 NGUFOJDBIIECHR Deviation = 4.60ppm
Search WEB for skeleton |
|
![]()
|
|
|
Structure Proposal # 1505 LHQURKSMGOTLRR Deviation = 4.61ppm
Search WEB for skeleton |
|
![]()
|
|
|
Structure Proposal # 1506 RJYBBWVMZJMFOP Deviation = 4.61ppm
Search WEB for skeleton |
|
![]()
|
|
|
Structure Proposal # 1507 IGIOKSDXQQEISK Deviation = 4.61ppm
Search WEB for skeleton |
|
![]()
|
|
|
Structure Proposal # 1508 HOMDZPJRQKUPFA Deviation = 4.61ppm
Search WEB for skeleton |
|
![]()
|
|
|
Structure Proposal # 1509 DLPXNACPOPNCAV Deviation = 4.61ppm
Search WEB for skeleton respect to your proposal |
|
![]()
|
|
|
Structure Proposal # 1510 NDNPZTDZEUNXEA Deviation = 4.61ppm
Search WEB for skeleton |
|
![]()
|
|
|
Structure Proposal # 1511 XKWPGONLURMWRG Deviation = 4.61ppm
Search WEB for skeleton |
|
![]()
|
|
|
Structure Proposal # 1512 XPZYVFFJTMRDQO Deviation = 4.61ppm
Search WEB for skeleton |
|
![]()
|
|
|
Structure Proposal # 1513 VEBBYOOHEJYSBT Deviation = 4.61ppm
Search WEB for skeleton |
|
![]()
|
|
|
Structure Proposal # 1514 RQRCPGZRWKQWDG Deviation = 4.61ppm
Search WEB for skeleton |
|
![]()
|
|
|
Structure Proposal # 1515 KCELTPPLNBPRIS Deviation = 4.61ppm
Search WEB for skeleton respect to your proposal |
|
![]()
|
|
|
Structure Proposal # 1516 NNFVDCVPNDDLLE Deviation = 4.61ppm
Search WEB for skeleton respect to your proposal |
|
![]()
|
|
|
Structure Proposal # 1517 FXYUSFZYMFZKLV Deviation = 4.61ppm
Search WEB for skeleton respect to your proposal |
|
![]()
|
|
|
Structure Proposal # 1518 GDDNRKRYUPOACU Deviation = 4.61ppm
Search WEB for skeleton |
|
![]()
|
|
|
Structure Proposal # 1519 IZPGMTQIGMBOHC Deviation = 4.61ppm
Search WEB for skeleton |
|
![]()
|
|
|
Structure Proposal # 1520 PPRHITIXZMXAHK Deviation = 4.61ppm
Search WEB for skeleton |
|
![]()
|
|
|
Structure Proposal # 1521 YKMBOWMSZINDQU Deviation = 4.62ppm
Search WEB for skeleton |
|
![]()
|
|
|
Structure Proposal # 1522 GFQJOOROAQBNQW Deviation = 4.62ppm
Search WEB for skeleton |
|
![]()
|
|
|
Structure Proposal # 1523 BENBYSMVXTXRLI Deviation = 4.62ppm
Search WEB for skeleton respect to your proposal |
|
![]()
|
|
|
Structure Proposal # 1524 ACZFGFCNVPEPQG Deviation = 4.62ppm
Search WEB for skeleton |
|
![]()
|
|
|
Structure Proposal # 1525 CVQUMPUETLIXBV Deviation = 4.62ppm
Search WEB for skeleton |
|
![]()
|
|
|
Structure Proposal # 1526 KHCUVYSXHCPGKV Deviation = 4.62ppm
Search WEB for skeleton |
|
![]()
|
|
|
Structure Proposal # 1527 BBFPDAOQVSNZHM Deviation = 4.62ppm
Search WEB for skeleton |
|
![]()
|
|
|
Structure Proposal # 1528 XPRBQZPEKQQDMW Deviation = 4.62ppm
Search WEB for skeleton |
|
![]()
|
|
|
Structure Proposal # 1529 URCIHXLXSPKXRC Deviation = 4.62ppm
Search WEB for skeleton |
|
![]()
|
|
|
Structure Proposal # 1530 VVYSRZBFWRLQFZ Deviation = 4.62ppm
Search WEB for skeleton |
|
![]()
|
|
|
Structure Proposal # 1531 KHUCCFUATVKKLM Deviation = 4.62ppm
Search WEB for skeleton |
|
![]()
|
|
|
Structure Proposal # 1532 ZIIJWVSARXVRDT Deviation = 4.62ppm
Search WEB for skeleton respect to your proposal |
|
![]()
|
|
|
Structure Proposal # 1533 JCMAYBVNXDCTMY Deviation = 4.63ppm
Search WEB for skeleton |
|
![]()
|
|
|
Structure Proposal # 1534 RNKRJCBQFHWYEP Deviation = 4.63ppm
Search WEB for skeleton |
|
![]()
|
|
|
Structure Proposal # 1535 QMZOAKPIBAMQAB Deviation = 4.63ppm
Search WEB for skeleton respect to your proposal |
|
![]()
|
|
|
Structure Proposal # 1536 HRATUUOMUFPVRX Deviation = 4.63ppm
Search WEB for skeleton |
|
![]()
|
|
|
Structure Proposal # 1537 QOMOARWXWDZZCX Deviation = 4.63ppm
Search WEB for skeleton |
|
![]()
|
|
|
Structure Proposal # 1538 UXLWRXDEWOOULP Deviation = 4.63ppm
Search WEB for skeleton |
|
![]()
|
|
|
Structure Proposal # 1539 ZJXXFOPYIOZKBS Deviation = 4.63ppm
Search WEB for skeleton |
|
![]()
|
|
|
Structure Proposal # 1540 FICXWAMSIPEWHZ Deviation = 4.63ppm
Search WEB for skeleton |
|
![]()
|
|
|
Structure Proposal # 1541 JMTAVZKRIMKXCY Deviation = 4.63ppm
Search WEB for skeleton |
|
![]()
|
|
|
Structure Proposal # 1542 QWLPWQSGVLXAJC Deviation = 4.63ppm
Search WEB for skeleton |
|
![]()
|
|
|
Structure Proposal # 1543 BHAYUZQWWXWUOO Deviation = 4.63ppm
Search WEB for skeleton |
|
![]()
|
|
|
Structure Proposal # 1544 MNRBSHCOEICSDX Deviation = 4.63ppm
Search WEB for skeleton |
|
![]()
|
|
|
Structure Proposal # 1545 DJTBKTCEVYMKPL Deviation = 4.63ppm
Search WEB for skeleton |
|
![]()
|
|
|
Structure Proposal # 1546 SIBAKXRTCHOTJH Deviation = 4.63ppm
Search WEB for skeleton |
|
![]()
|
|
|
Structure Proposal # 1547 LYMRCXZEFMFYOI Deviation = 4.63ppm
Search WEB for skeleton |
|
![]()
|
|
|
Structure Proposal # 1548 IOAIZKTZCGLJGL Deviation = 4.63ppm
Search WEB for skeleton |
|
![]()
|
|
|
Structure Proposal # 1549 ZOSFLGOQICXUJP Deviation = 4.64ppm
Search WEB for skeleton |
|
![]()
|
|
|
Structure Proposal # 1550 KKEQFMWYKOJUIU Deviation = 4.64ppm
Search WEB for skeleton |
|
![]()
|
|
|
Structure Proposal # 1551 AFEWDYFEWRYFOM Deviation = 4.64ppm
Search WEB for skeleton |
|
![]()
|
|
|
Structure Proposal # 1552 XKVMMIKOACMGJA Deviation = 4.64ppm
Search WEB for skeleton |
|
![]()
|
|
|
Structure Proposal # 1553 CLGUQZDUPYZBPY Deviation = 4.64ppm
Search WEB for skeleton respect to your proposal |
|
![]()
|
|
|
Structure Proposal # 1554 KZSOAOZSMMXAHU Deviation = 4.64ppm
Search WEB for skeleton |
|
![]()
|
|
|
Structure Proposal # 1555 RWEGVWFEBFOMQS Deviation = 4.64ppm
Search WEB for skeleton |
|
![]()
|
|
|
Structure Proposal # 1556 ZKTWXHOMGCWQQI Deviation = 4.64ppm
Search WEB for skeleton |
|
![]()
|
|
|
Structure Proposal # 1557 MPJDDHRQQKFXDW Deviation = 4.64ppm
Search WEB for skeleton |
|
![]()
|
|
|
Structure Proposal # 1558 XUIGMKDBFQALOM Deviation = 4.64ppm
Search WEB for skeleton |
|
![]()
|
|
|
Structure Proposal # 1559 JWXMWMCAERJFIH Deviation = 4.64ppm
Search WEB for skeleton |
|
![]()
|
|
|
Structure Proposal # 1560 QIANCALOTBNBFA Deviation = 4.64ppm
Search WEB for skeleton |
|
![]()
|
|
|
Structure Proposal # 1561 UBJMXIYNGQRTGZ Deviation = 4.64ppm
Search WEB for skeleton |
|
![]()
|
|
|
Structure Proposal # 1562 PZIMHZYYEFUKMD Deviation = 4.64ppm
Search WEB for skeleton |
|
![]()
|
|
|
Structure Proposal # 1563 WJYRZQCYZRFNOK Deviation = 4.64ppm
Search WEB for skeleton |
|
![]()
|
|
|
Structure Proposal # 1564 KZEIHDUHYWDESI Deviation = 4.65ppm
Search WEB for skeleton respect to your proposal |
|
![]()
|
|
|
Structure Proposal # 1565 KUTLMWJMKJFIDI Deviation = 4.65ppm
Search WEB for skeleton |
|
![]()
|
|
|
Structure Proposal # 1566 YTRYEVOFNMOWHZ Deviation = 4.65ppm
Search WEB for skeleton respect to your proposal |
|
![]()
|
|
|
Structure Proposal # 1567 UKBIWJLXFQWALR Deviation = 4.65ppm
Search WEB for skeleton |
|
![]()
|
|
|
Structure Proposal # 1568 DUOGSSYYPWKAML Deviation = 4.65ppm
Search WEB for skeleton |
|
![]()
|
|
|
Structure Proposal # 1569 SZROCZFSYFPPCA Deviation = 4.65ppm
Search WEB for skeleton |
|
![]()
|
|
|
Structure Proposal # 1570 AJBDKHWJFAQBOR Deviation = 4.65ppm
Search WEB for skeleton |
|
![]()
|
|
|
Structure Proposal # 1571 SCKMWYAPOWPFFW Deviation = 4.65ppm
Search WEB for skeleton |
|
![]()
|
|
|
Structure Proposal # 1572 QWXXGHIKLFZPPB Deviation = 4.65ppm
Search WEB for skeleton |
|
![]()
|
|
|
Structure Proposal # 1573 HQWPARZJKLTWKP Deviation = 4.65ppm
Search WEB for skeleton |
|
![]()
|
|
|
Structure Proposal # 1574 MADRAPAKMFJIGQ Deviation = 4.65ppm
Search WEB for skeleton |
|
![]()
|
|
|
Structure Proposal # 1575 PMBMSHCLHLEAAN Deviation = 4.65ppm
Search WEB for skeleton |
|
![]()
|
|
|
Structure Proposal # 1576 FOHJSJPIRYWLQE Deviation = 4.65ppm
Search WEB for skeleton |
|
![]()
|
|
|
Structure Proposal # 1577 BPLRHRHVNHVAFD Deviation = 4.66ppm
Search WEB for skeleton |
|
![]()
|
|
|
Structure Proposal # 1578 KPLOVTNQPUSXQE Deviation = 4.66ppm
Search WEB for skeleton |
|
![]()
|
|
|
Structure Proposal # 1579 ZWMRNSLVBFHZRJ Deviation = 4.66ppm
Search WEB for skeleton |
|
![]()
|
|
|
Structure Proposal # 1580 AUWUDELKWMDNQV Deviation = 4.66ppm
Search WEB for skeleton respect to your proposal |
|
![]()
|
|
|
Structure Proposal # 1581 RBZGVXIPZDHVOY Deviation = 4.66ppm
Search WEB for skeleton |
|
![]()
|
|
|
Structure Proposal # 1582 YHCMEOOPVNVDPL Deviation = 4.66ppm
Search WEB for skeleton |
|
![]()
|
|
|
Structure Proposal # 1583 IDBWJUMVTVILCU Deviation = 4.66ppm
Search WEB for skeleton |
|
![]()
|
|
|
Structure Proposal # 1584 DEPBCROLPBBRMI Deviation = 4.66ppm
Search WEB for skeleton |
|
![]()
|
|
|
Structure Proposal # 1585 JBGSQMJAQSFYGV Deviation = 4.66ppm
Search WEB for skeleton |
|
![]()
|
|
|
Structure Proposal # 1586 NLSNSTPJWTUGFR Deviation = 4.66ppm
Search WEB for skeleton |
|
![]()
|
|
|
Structure Proposal # 1587 RNROQSZQSIRRQZ Deviation = 4.66ppm
Search WEB for skeleton |
|
![]()
|
|
|
Structure Proposal # 1588 YKCXRIVVLAGYJZ Deviation = 4.66ppm
Search WEB for skeleton |
|
![]()
|
|
|
Structure Proposal # 1589 UARALWDKHQRSEG Deviation = 4.66ppm
Search WEB for skeleton respect to your proposal |
|
![]()
|
|
|
Structure Proposal # 1590 WCPYIAPYBXIMKF Deviation = 4.66ppm
Search WEB for skeleton |
|
![]()
|
|
|
Structure Proposal # 1591 XQSWZFDFTFCNTK Deviation = 4.66ppm
Search WEB for skeleton |
|
![]()
|
|
|
Structure Proposal # 1592 FMBXEDJDZRRFMY Deviation = 4.66ppm
Search WEB for skeleton |
|
![]()
|
|
|
Structure Proposal # 1593 OAFVLUPXNBNRET Deviation = 4.66ppm
Search WEB for skeleton |
|
![]()
|
|
|
Structure Proposal # 1594 WVTGTGAFEJXCRV Deviation = 4.66ppm
Search WEB for skeleton |
|
![]()
|
|
|
Structure Proposal # 1595 CYGKDADRKOCPKD Deviation = 4.66ppm
Search WEB for skeleton respect to your proposal |
|
![]()
|
|
|
Structure Proposal # 1596 RQLSNCWEIXZZMD Deviation = 4.66ppm
Search WEB for skeleton respect to your proposal |
|
![]()
|
|
|
Structure Proposal # 1597 SVXWWNHBVDZDHO Deviation = 4.67ppm
Search WEB for skeleton |
|
![]()
|
|
|
Structure Proposal # 1598 NNEKZJVOXOQYBF Deviation = 4.67ppm
Search WEB for skeleton |
|
![]()
|
|
|
Structure Proposal # 1599 MUGYOMDBSXECND Deviation = 4.67ppm
Search WEB for skeleton |
|
![]()
|
|
|
Structure Proposal # 1600 KSXQAHVZJTVXBU Deviation = 4.67ppm
Search WEB for skeleton respect to your proposal |
|
![]()
|
|
|
Structure Proposal # 1601 IKIMZFVNLVAFMD Deviation = 4.67ppm
Search WEB for skeleton respect to your proposal |
|
![]()
|
|
|
Structure Proposal # 1602 RQOWQRBKPOJAPY Deviation = 4.67ppm
Search WEB for skeleton |
|
![]()
|
|
|
Structure Proposal # 1603 JNWWVMMYVRRNCA Deviation = 4.67ppm
Search WEB for skeleton |
|
![]()
|
|
|
Structure Proposal # 1604 MVAUACBMLMIOTA Deviation = 4.67ppm
Search WEB for skeleton respect to your proposal |
|
![]()
|
|
|
Structure Proposal # 1605 DFYVLLSKZMVMNA Deviation = 4.67ppm
Search WEB for skeleton |
|
![]()
|
|
|
Structure Proposal # 1606 CXFDPTWSVIHCRZ Deviation = 4.67ppm
Search WEB for skeleton respect to your proposal |
|
![]()
|
|
|
Structure Proposal # 1607 ZFDRPLJODFLLIF Deviation = 4.67ppm
Search WEB for skeleton |
|
![]()
|
|
|
Structure Proposal # 1608 KTZUESIEOZFVOK Deviation = 4.67ppm
Search WEB for skeleton |
|
![]()
|
|
|
Structure Proposal # 1609 NDJPLRKBUFNGTR Deviation = 4.67ppm
Search WEB for skeleton |
|
![]()
|
|
|
Structure Proposal # 1610 UEJHZYKJQBMDJH Deviation = 4.67ppm
Search WEB for skeleton |
|
![]()
|
|
|
Structure Proposal # 1611 DJSOJPBIXBICSK Deviation = 4.67ppm
Search WEB for skeleton |
|
![]()
|
|
|
Structure Proposal # 1612 SUWMLBFEJDFCCL Deviation = 4.67ppm
Search WEB for skeleton |
|
![]()
|
|
|
Structure Proposal # 1613 TWEOTDHDPPFOBD Deviation = 4.67ppm
Search WEB for skeleton |
|
![]()
|
|
|
Structure Proposal # 1614 XSBWDXAQNDLCMX Deviation = 4.68ppm
Search WEB for skeleton |
|
![]()
|
|
|
Structure Proposal # 1615 DITPOJYLAZASFS Deviation = 4.68ppm
Search WEB for skeleton |
|
![]()
|
|
|
Structure Proposal # 1616 QXIGFCZVNGDGKD Deviation = 4.68ppm
Search WEB for skeleton |
|
![]()
|
|
|
Structure Proposal # 1617 BYDQTTBVXMSGON Deviation = 4.68ppm
Search WEB for skeleton |
|
![]()
|
|
|
Structure Proposal # 1618 DLXCYXYOSDSSKC Deviation = 4.68ppm
Search WEB for skeleton respect to your proposal |
|
![]()
|
|
|
Structure Proposal # 1619 SAVGWLOBLLEEKK Deviation = 4.68ppm
Search WEB for skeleton |
|
![]()
|
|
|
Structure Proposal # 1620 WECKADIVLDQOBV Deviation = 4.68ppm
Search WEB for skeleton |
|
![]()
|
|
|
Structure Proposal # 1621 JCQYBSNDTZVXDS Deviation = 4.68ppm
Search WEB for skeleton |
|
![]()
|
|
|
Structure Proposal # 1622 PHUPPXXKESGESH Deviation = 4.68ppm
Search WEB for skeleton |
|
![]()
|
|
|
Structure Proposal # 1623 OHHUAQXURPAUBO Deviation = 4.68ppm
Search WEB for skeleton |
|
![]()
|
|
|
Structure Proposal # 1624 JQGLNOHYZBAQCE Deviation = 4.68ppm
Search WEB for skeleton respect to your proposal |
|
![]()
|
|
|
Structure Proposal # 1625 ZUFBZOFNOJGDCP Deviation = 4.68ppm
Search WEB for skeleton |
|
![]()
|
|
|
Structure Proposal # 1626 WWGLFUKPMQXWOM Deviation = 4.68ppm
Search WEB for skeleton |
|
![]()
|
|
|
Structure Proposal # 1627 OJNSNNBJKXWWAA Deviation = 4.68ppm
Search WEB for skeleton |
|
![]()
|
|
|
Structure Proposal # 1628 GWGPITKRVWREJV Deviation = 4.69ppm
Search WEB for skeleton |
|
![]()
|
|
|
Structure Proposal # 1629 MTDVDUHBSRHHRI Deviation = 4.69ppm
Search WEB for skeleton |
|
![]()
|
|
|
Structure Proposal # 1630 QPRNOUWLAYCZLR Deviation = 4.69ppm
Search WEB for skeleton |
|
![]()
|
|
|
Structure Proposal # 1631 MJLUYHHDTZJNFK Deviation = 4.69ppm
Search WEB for skeleton |
|
![]()
|
|
|
Structure Proposal # 1632 KQSAYBYHWVXQJA Deviation = 4.69ppm
Search WEB for skeleton |
|
![]()
|
|
|
Structure Proposal # 1633 NIZSOYCBBNZYSX Deviation = 4.69ppm
Search WEB for skeleton respect to your proposal |
|
![]()
|
|
|
Structure Proposal # 1634 SOEFBMHOABAKQK Deviation = 4.69ppm
Search WEB for skeleton |
|
![]()
|
|
|
Structure Proposal # 1635 YOLPCQFHJPMIQG Deviation = 4.69ppm
Search WEB for skeleton respect to your proposal |
|
![]()
|
|
|
Structure Proposal # 1636 GUXTYSJXGUWEAX Deviation = 4.69ppm
Search WEB for skeleton |
|
![]()
|
|
|
Structure Proposal # 1637 MDRJPKNKOOFEAS Deviation = 4.69ppm
Search WEB for skeleton |
|
![]()
|
|
|
Structure Proposal # 1638 FANKXUZKRGNOGB Deviation = 4.69ppm
Search WEB for skeleton |
|
![]()
|
|
|
Structure Proposal # 1639 RYOUCEGTNJMQIC Deviation = 4.69ppm
Search WEB for skeleton |
|
![]()
|
|
|
Structure Proposal # 1640 MNPUUSYZXIZTRE Deviation = 4.69ppm
Search WEB for skeleton |
|
![]()
|
|
|
Structure Proposal # 1641 ZELHLAVRULWGOX Deviation = 4.69ppm
Search WEB for skeleton |
|
![]()
|
|
|
Structure Proposal # 1642 PQTCGUQIUDMQHA Deviation = 4.69ppm
Search WEB for skeleton |
|
![]()
|
|
|
Structure Proposal # 1643 NLOBJINVKNYRKQ Deviation = 4.70ppm
Search WEB for skeleton |
|
![]()
|
|
|
Structure Proposal # 1644 WJVSPGOKBQQOPV Deviation = 4.70ppm
Search WEB for skeleton |
|
![]()
|
|
|
Structure Proposal # 1645 UTQGDMCVJCUFTC Deviation = 4.70ppm
Search WEB for skeleton |
|
![]()
|
|
|
Structure Proposal # 1646 NYCVDTNBTGQFCS Deviation = 4.70ppm
Search WEB for skeleton |
|
![]()
|
|
|
Structure Proposal # 1647 OEMRVJWWOIAXEA Deviation = 4.70ppm
Search WEB for skeleton |
|
![]()
|
|
|
Structure Proposal # 1648 XAEYJNXAGMGBBZ Deviation = 4.70ppm
Search WEB for skeleton |
|
![]()
|
|
|
Structure Proposal # 1649 QFNPKBBRDADEGU Deviation = 4.70ppm
Search WEB for skeleton |
|
![]()
|
|
|
Structure Proposal # 1650 FVBKIGJRBRZMRE Deviation = 4.70ppm
Search WEB for skeleton |
|
![]()
|
|
|
Structure Proposal # 1651 AOROSARFMFYQFE Deviation = 4.70ppm
Search WEB for skeleton |
|
![]()
|
|
|
Structure Proposal # 1652 MITRHJXIQHYTMX Deviation = 4.70ppm
Search WEB for skeleton |
|
![]()
|
|
|
Structure Proposal # 1653 YHYLIHOZUGSUOT Deviation = 4.70ppm
Search WEB for skeleton |
|
![]()
|
|
|
Structure Proposal # 1654 ZCKJVFUQKNRRGJ Deviation = 4.70ppm
Search WEB for skeleton respect to your proposal |
|
![]()
|
|
|
Structure Proposal # 1655 RVHNKLAHPKOZHU Deviation = 4.70ppm
Search WEB for skeleton respect to your proposal |
|
![]()
|
|
|
Structure Proposal # 1656 NTMZMGRTGXRTCM Deviation = 4.70ppm
Search WEB for skeleton |
|
![]()
|
|
|
Structure Proposal # 1657 HZKJNZMXSULXQA Deviation = 4.70ppm
Search WEB for skeleton |
|
![]()
|
|
|
Structure Proposal # 1658 KGEYRYLOZYWMBD Deviation = 4.70ppm
Search WEB for skeleton respect to your proposal |
|
![]()
|
|
|
Structure Proposal # 1659 UXGGIGPRKGNFTQ Deviation = 4.70ppm
Search WEB for skeleton |
|
![]()
|
|
|
Structure Proposal # 1660 VIUYPZXBCGJUBC Deviation = 4.71ppm
Search WEB for skeleton |
|
![]()
|
|
|
Structure Proposal # 1661 AULHVXJQMIFUJV Deviation = 4.71ppm
Search WEB for skeleton |
|
![]()
|
|
|
Structure Proposal # 1662 SIDVAFOGNHFRPN Deviation = 4.71ppm
Search WEB for skeleton |
|
![]()
|
|
|
Structure Proposal # 1663 WQDXFUFALUUKJZ Deviation = 4.71ppm
Search WEB for skeleton |
|
![]()
|
|
|
Structure Proposal # 1664 UFLBTWVUUOWDOV Deviation = 4.71ppm
Search WEB for skeleton |
|
![]()
|
|
|
Structure Proposal # 1665 XFBHLBDVCNOVBN Deviation = 4.71ppm
Search WEB for skeleton respect to your proposal |
|
![]()
|
|
|
Structure Proposal # 1666 LMNVVEBPGDUATP Deviation = 4.71ppm
Search WEB for skeleton |
|
![]()
|
|
|
Structure Proposal # 1667 NMRIUCGXXYQQHD Deviation = 4.71ppm
Search WEB for skeleton |
|
![]()
|
|
|
Structure Proposal # 1668 BHVQYASWIUPSLJ Deviation = 4.71ppm
Search WEB for skeleton respect to your proposal |
|
![]()
|
|
|
Structure Proposal # 1669 UCEGPUXUTAZDHJ Deviation = 4.71ppm
Search WEB for skeleton |
|
![]()
|
|
|
Structure Proposal # 1670 VWPOVVLLVXDPNK Deviation = 4.71ppm
Search WEB for skeleton |
|
![]()
|
|
|
Structure Proposal # 1671 RGJSVKAQJCKJPS Deviation = 4.71ppm
Search WEB for skeleton |
|
![]()
|
|
|
Structure Proposal # 1672 ZFFIURJPPVLSBR Deviation = 4.71ppm
Search WEB for skeleton |
|
![]()
|
|
|
Structure Proposal # 1673 SIYCTTQCZRENCC Deviation = 4.71ppm
Search WEB for skeleton respect to your proposal |
|
![]()
|
|
|
Structure Proposal # 1674 MTBHUEMDGALNQY Deviation = 4.71ppm
Search WEB for skeleton |
|
![]()
|
|
|
Structure Proposal # 1675 MWUFVVUCERWYSK Deviation = 4.71ppm
Search WEB for skeleton |
|
![]()
|
|
|
Structure Proposal # 1676 UXMBGOKAUWNUFP Deviation = 4.72ppm
Search WEB for skeleton |
|
![]()
|
|
|
Structure Proposal # 1677 ONBHQKNENCLEDU Deviation = 4.72ppm
Search WEB for skeleton |
|
![]()
|
|
|
Structure Proposal # 1678 GXBVMDZPGOVDAF Deviation = 4.72ppm
Search WEB for skeleton respect to your proposal |
|
![]()
|
|
|
Structure Proposal # 1679 STKFXGVCDDGPBH Deviation = 4.72ppm
Search WEB for skeleton |
|
![]()
|
|
|
Structure Proposal # 1680 ZEFODXVMFNTRPA Deviation = 4.72ppm
Search WEB for skeleton |
|
![]()
|
|
|
Structure Proposal # 1681 QLCYADWTVAAWDP Deviation = 4.72ppm
Search WEB for skeleton |
|
![]()
|
|
|
Structure Proposal # 1682 SUJDEVIVQRXKDY Deviation = 4.72ppm
Search WEB for skeleton |
|
![]()
|
|
|
Structure Proposal # 1683 KSRMHBJNKMAFRT Deviation = 4.72ppm
Search WEB for skeleton |
|
![]()
|
|
|
Structure Proposal # 1684 BAEIQZSIJQNKEU Deviation = 4.72ppm
Search WEB for skeleton |
|
![]()
|
|
|
Structure Proposal # 1685 BUUKZYNOHXUIRE Deviation = 4.72ppm
Search WEB for skeleton |
|
![]()
|
|
|
Structure Proposal # 1686 ZUKMQZMBHZMEIS Deviation = 4.72ppm
Search WEB for skeleton |
|
![]()
|
|
|
Structure Proposal # 1687 CLTJMFLPBUKPFX Deviation = 4.72ppm
Search WEB for skeleton |
|
![]()
|
|
|
Structure Proposal # 1688 FBRKBUGVQLEKBG Deviation = 4.72ppm
Search WEB for skeleton |
|
![]()
|
|
|
Structure Proposal # 1689 AFVDLXBFNFUYCE Deviation = 4.72ppm
Search WEB for skeleton |
|
![]()
|
|
|
Structure Proposal # 1690 AWYOMFLRISTHNO Deviation = 4.72ppm
Search WEB for skeleton |
|
![]()
|
|
|
Structure Proposal # 1691 GTVPBMFSNQINCJ Deviation = 4.72ppm
Search WEB for skeleton |
|
![]()
|
|
|
Structure Proposal # 1692 GQTRSIYGOUOAMN Deviation = 4.72ppm
Search WEB for skeleton respect to your proposal |
|
![]()
|
|
|
Structure Proposal # 1693 HHFBVUBMESKHJI Deviation = 4.72ppm
Search WEB for skeleton |
|
![]()
|
|
|
Structure Proposal # 1694 WVGLTBZOTFDOTP Deviation = 4.72ppm
Search WEB for skeleton |
|
![]()
|
|
|
Structure Proposal # 1695 XEQXTEZQCSIVNV Deviation = 4.72ppm
Search WEB for skeleton respect to your proposal |
|
![]()
|
|
|
Structure Proposal # 1696 VFQZDKKVRUMIAZ Deviation = 4.73ppm
Search WEB for skeleton |
|
![]()
|
|
|
Structure Proposal # 1697 HEEOFEOBYSEULQ Deviation = 4.73ppm
Search WEB for skeleton |
|
![]()
|
|
|
Structure Proposal # 1698 VBPYFHSAHVNKIZ Deviation = 4.73ppm
Search WEB for skeleton respect to your proposal |
|
![]()
|
|
|
Structure Proposal # 1699 BYFYCHPGUMKZEG Deviation = 4.73ppm
Search WEB for skeleton |
|
![]()
|
|
|
Structure Proposal # 1700 NSXFRDSQZKIHDH Deviation = 4.73ppm
Search WEB for skeleton |
|
![]()
|
|
|
Structure Proposal # 1701 IVTGGCRRIMWBBI Deviation = 4.73ppm
Search WEB for skeleton |
|
![]()
|
|
|
Structure Proposal # 1702 UNOBZEUJQNFDNO Deviation = 4.73ppm
Search WEB for skeleton |
|
![]()
|
|
|
Structure Proposal # 1703 JYEFVHYVGSXLJN Deviation = 4.73ppm
Search WEB for skeleton respect to your proposal |
|
![]()
|
|
|
Structure Proposal # 1704 OMXLVJYQIOZYSX Deviation = 4.73ppm
Search WEB for skeleton respect to your proposal |
|
![]()
|
|
|
Structure Proposal # 1705 SDXHWMKAWNERDE Deviation = 4.73ppm
Search WEB for skeleton respect to your proposal |
|
![]()
|
|
|
Structure Proposal # 1706 IGRCDJONYDSKLP Deviation = 4.73ppm
Search WEB for skeleton |
|
![]()
|
|
|
Structure Proposal # 1707 QFMWGMWTEIGNAX Deviation = 4.73ppm
Search WEB for skeleton |
|
![]()
|
|
|
Structure Proposal # 1708 ODNSHEAEMVKJNR Deviation = 4.73ppm
Search WEB for skeleton respect to your proposal |
|
![]()
|
|
|
Structure Proposal # 1709 MSXLRIVRHQRCAV Deviation = 4.73ppm
Search WEB for skeleton |
|
![]()
|
|
|
Structure Proposal # 1710 OQJNFMRZIHGCRJ Deviation = 4.73ppm
Search WEB for skeleton |
|
![]()
|
|
|
Structure Proposal # 1711 UDXFNOWHXHWQSS Deviation = 4.73ppm
Search WEB for skeleton respect to your proposal |
|
![]()
|
|
|
Structure Proposal # 1712 NPCTXWOOMKRIFI Deviation = 4.73ppm
Search WEB for skeleton |
|
![]()
|
|
|
Structure Proposal # 1713 SVRVSKDJDZQAML Deviation = 4.73ppm
Search WEB for skeleton |
|
![]()
|
|
|
Structure Proposal # 1714 WACYOPDLLJSDEX Deviation = 4.73ppm
Search WEB for skeleton respect to your proposal |
|
![]()
|
|
|
Structure Proposal # 1715 MKCLJYNFLBZIQW Deviation = 4.73ppm
Search WEB for skeleton |
|
![]()
|
|
|
Structure Proposal # 1716 BIYCHLWBBFNUDM Deviation = 4.74ppm
Search WEB for skeleton |
|
![]()
|
|
|
Structure Proposal # 1717 CUQWSNBKYALHTQ Deviation = 4.74ppm
Search WEB for skeleton |
|
![]()
|
|
|
Structure Proposal # 1718 VCPZPCNJJXYNJD Deviation = 4.74ppm
Search WEB for skeleton |
|
![]()
|
|
|
Structure Proposal # 1719 SSHDAQXOBICBEH Deviation = 4.74ppm
Search WEB for skeleton |
|
![]()
|
|
|
Structure Proposal # 1720 WPCNSRXBTKIEEM Deviation = 4.74ppm
Search WEB for skeleton respect to your proposal |
|
![]()
|
|
|
Structure Proposal # 1721 CLHVPCRIEATXMD Deviation = 4.74ppm
Search WEB for skeleton respect to your proposal |
|
![]()
|
|
|
Structure Proposal # 1722 UEHGCLQQBINYHN Deviation = 4.74ppm
Search WEB for skeleton |
|
![]()
|
|
|
Structure Proposal # 1723 ZLQZCWCWNMPCDZ Deviation = 4.74ppm
Search WEB for skeleton respect to your proposal |
|
![]()
|
|
|
Structure Proposal # 1724 PQXCQFUCMMBZQA Deviation = 4.74ppm
Search WEB for skeleton respect to your proposal |
|
![]()
|
|
|
Structure Proposal # 1725 QIXBWCDYLVHJPF Deviation = 4.74ppm
Search WEB for skeleton |
|
![]()
|
|
|
Structure Proposal # 1726 GGSIPLPWVOQQDX Deviation = 4.74ppm
Search WEB for skeleton |
|
![]()
|
|
|
Structure Proposal # 1727 NFLBKGYQWMAQOX Deviation = 4.75ppm
Search WEB for skeleton |
|
![]()
|
|
|
Structure Proposal # 1728 QCDDLDCGRJBULR Deviation = 4.75ppm
Search WEB for skeleton |
|
![]()
|
|
|
Structure Proposal # 1729 DWOFPBNFAFMNAG Deviation = 4.75ppm
Search WEB for skeleton |
|
![]()
|
|
|
Structure Proposal # 1730 QKLKAMIUVDPTGC Deviation = 4.75ppm
Search WEB for skeleton respect to your proposal |
|
![]()
|
|
|
Structure Proposal # 1731 CHBIJDNUGWSJRM Deviation = 4.75ppm
Search WEB for skeleton |
|
![]()
|
|
|
Structure Proposal # 1732 PBUWWDYONQXKNF Deviation = 4.75ppm
Search WEB for skeleton |
|
![]()
|
|
|
Structure Proposal # 1733 KQBXRMLHGZUNHH Deviation = 4.75ppm
Search WEB for skeleton |
|
![]()
|
|
|
Structure Proposal # 1734 FQMAACSQSXWXMA Deviation = 4.75ppm
Search WEB for skeleton |
|
![]()
|
|
|
Structure Proposal # 1735 YIOMHIXCKZSLGJ Deviation = 4.75ppm
Search WEB for skeleton |
|
![]()
|
|
|
Structure Proposal # 1736 UKBIZFIBTYJMLA Deviation = 4.75ppm
Search WEB for skeleton respect to your proposal |
|
![]()
|
|
|
Structure Proposal # 1737 NIOPHBKILQSOJI Deviation = 4.75ppm
Search WEB for skeleton |
|
![]()
|
|
|
Structure Proposal # 1738 OVIROOOHKKLKOA Deviation = 4.75ppm
Search WEB for skeleton |
|
![]()
|
|
|
Structure Proposal # 1739 RLVIJCZPZTYDTO Deviation = 4.75ppm
Search WEB for skeleton |
|
![]()
|
|
|
Structure Proposal # 1740 OWLROEIAHPFKQQ Deviation = 4.75ppm
Search WEB for skeleton |
|
![]()
|
|
|
Structure Proposal # 1741 WWCNGXAHOAWANH Deviation = 4.75ppm
Search WEB for skeleton respect to your proposal |
|
![]()
|
|
|
Structure Proposal # 1742 IBWXYXDZLPQGPL Deviation = 4.76ppm
Search WEB for skeleton |
|
![]()
|
|
|
Structure Proposal # 1743 APZUYYOSYLSOGW Deviation = 4.76ppm
Search WEB for skeleton respect to your proposal |
|
![]()
|
|
|
Structure Proposal # 1744 XEDGJPKVFUSQOL Deviation = 4.76ppm
Search WEB for skeleton |
|
![]()
|
|
|
Structure Proposal # 1745 OQDPEAJCNGVWCE Deviation = 4.76ppm
Search WEB for skeleton |
|
![]()
|
|
|
Structure Proposal # 1746 PVIYPCLFFGJZEB Deviation = 4.76ppm
Search WEB for skeleton |
|
![]()
|
|
|
Structure Proposal # 1747 PNWHOEXMJZSYTI Deviation = 4.76ppm
Search WEB for skeleton |
|
![]()
|
|
|
Structure Proposal # 1748 ZNQPCRWVVLTQJX Deviation = 4.76ppm
Search WEB for skeleton |
|
![]()
|
|
|
Structure Proposal # 1749 SWIQEISCIOAIJQ Deviation = 4.76ppm
Search WEB for skeleton respect to your proposal |
|
![]()
|
|
|
Structure Proposal # 1750 XZZCCFIPJLARGY Deviation = 4.76ppm
Search WEB for skeleton |
|
![]()
|
|
|
Structure Proposal # 1751 WWDIGQYUQXVTBO Deviation = 4.76ppm
Search WEB for skeleton |
|
![]()
|
|
|
Structure Proposal # 1752 YMQRGEFSVQSKEM Deviation = 4.76ppm
Search WEB for skeleton |
|
![]()
|
|
|
Structure Proposal # 1753 BZJGZRYUVKDCBD Deviation = 4.76ppm
Search WEB for skeleton respect to your proposal |
|
![]()
|
|
|
Structure Proposal # 1754 DHPXCFNSEHPAKO Deviation = 4.76ppm
Search WEB for skeleton |
|
![]()
|
|
|
Structure Proposal # 1755 AYVKWXSPAGTDNZ Deviation = 4.76ppm
Search WEB for skeleton |
|
![]()
|
|
|
Structure Proposal # 1756 DFPAVVDJAULWCI Deviation = 4.76ppm
Search WEB for skeleton |
|
![]()
|
|
|
Structure Proposal # 1757 DWIHFHHGFLUOIO Deviation = 4.76ppm
Search WEB for skeleton |
|
![]()
|
|
|
Structure Proposal # 1758 AOCRUDQYWSEDSF Deviation = 4.76ppm
Search WEB for skeleton |
|
![]()
|
|
|
Structure Proposal # 1759 ZXIURLBDONJTPB Deviation = 4.76ppm
Search WEB for skeleton respect to your proposal |
|
![]()
|
|
|
Structure Proposal # 1760 UEDHUMCGNNMIQQ Deviation = 4.76ppm
Search WEB for skeleton respect to your proposal |
|
![]()
|
|
|
Structure Proposal # 1761 WZATWURPCSNGCG Deviation = 4.77ppm
Search WEB for skeleton |
|
![]()
|
|
|
Structure Proposal # 1762 XLKMGNXABANBGL Deviation = 4.77ppm
Search WEB for skeleton |
|
![]()
|
|
|
Structure Proposal # 1763 QBBVXROWQMMNDE Deviation = 4.77ppm
Search WEB for skeleton |
|
![]()
|
|
|
Structure Proposal # 1764 SDEFPOMNLRQJSK Deviation = 4.77ppm
Search WEB for skeleton |
|
![]()
|
|
|
Structure Proposal # 1765 OOUQHPDOGWJBJP Deviation = 4.77ppm
Search WEB for skeleton |
|
![]()
|
|
|
Structure Proposal # 1766 PUNVENJTDIJEHZ Deviation = 4.77ppm
Search WEB for skeleton |
|
![]()
|
|
|
Structure Proposal # 1767 ZGNAKGIXLFOWEE Deviation = 4.77ppm
Search WEB for skeleton |
|
![]()
|
|
|
Structure Proposal # 1768 RJRRYKKIRXAMIB Deviation = 4.77ppm
Search WEB for skeleton |
|
![]()
|
|
|
Structure Proposal # 1769 YQXUTNVJQYIHKL Deviation = 4.77ppm
Search WEB for skeleton |
|
![]()
|
|
|
Structure Proposal # 1770 IQBQMUIILLOELI Deviation = 4.77ppm
Search WEB for skeleton respect to your proposal |
|
![]()
|
|
|
Structure Proposal # 1771 VEGRIWIVPOEWAP Deviation = 4.77ppm
Search WEB for skeleton |
|
![]()
|
|
|
Structure Proposal # 1772 XZQJTJSSIPAWLM Deviation = 4.77ppm
Search WEB for skeleton |
|
![]()
|
|
|
Structure Proposal # 1773 PSWKPSFNUBUKGR Deviation = 4.77ppm
Search WEB for skeleton respect to your proposal |
|
![]()
|
|
|
Structure Proposal # 1774 OYDHLEJEVOKISA Deviation = 4.77ppm
Search WEB for skeleton respect to your proposal |
|
![]()
|
|
|
Structure Proposal # 1775 ZWNCMLJSIRWHJR Deviation = 4.77ppm
Search WEB for skeleton |
|
![]()
|
|
|
Structure Proposal # 1776 JPCSOSPDZCUYMX Deviation = 4.77ppm
Search WEB for skeleton |
|
![]()
|
|
|
Structure Proposal # 1777 CKKSNUPCPYSMPI Deviation = 4.77ppm
Search WEB for skeleton respect to your proposal |
|
![]()
|
|
|
Structure Proposal # 1778 MXIVMKOKKFQMTF Deviation = 4.77ppm
Search WEB for skeleton |
|
![]()
|
|
|
Structure Proposal # 1779 YVXSAROVZUNMIJ Deviation = 4.78ppm
Search WEB for skeleton |
|
![]()
|
|
|
Structure Proposal # 1780 VGHBNQCQBZDUBR Deviation = 4.78ppm
Search WEB for skeleton |
|
![]()
|
|
|
Structure Proposal # 1781 JYIRTBMCEFMBBI Deviation = 4.78ppm
Search WEB for skeleton |
|
![]()
|
|
|
Structure Proposal # 1782 NMJGKWBFAIRPDC Deviation = 4.78ppm
Search WEB for skeleton |
|
![]()
|
|
|
Structure Proposal # 1783 YBOGLADAZAHASB Deviation = 4.78ppm
Search WEB for skeleton |
|
![]()
|
|
|
Structure Proposal # 1784 JEADKZOWFRTGSD Deviation = 4.78ppm
Search WEB for skeleton respect to your proposal |
|
![]()
|
|
|
Structure Proposal # 1785 NCNVDPJWJRVILH Deviation = 4.78ppm
Search WEB for skeleton |
|
![]()
|
|
|
Structure Proposal # 1786 IXNRHRQPPWRSOO Deviation = 4.78ppm
Search WEB for skeleton |
|
![]()
|
|
|
Structure Proposal # 1787 YXLAGITVHCCTQZ Deviation = 4.78ppm
Search WEB for skeleton |
|
![]()
|
|
|
Structure Proposal # 1788 PFVXZJUASKEUEQ Deviation = 4.78ppm
Search WEB for skeleton |
|
![]()
|
|
|
Structure Proposal # 1789 XTQHRRPXPHHPHB Deviation = 4.78ppm
Search WEB for skeleton |
|
![]()
|
|
|
Structure Proposal # 1790 MSUXQLVGOOYJTE Deviation = 4.78ppm
Search WEB for skeleton |
|
![]()
|
|
|
Structure Proposal # 1791 CQFWNLMFXOOOLI Deviation = 4.78ppm
Search WEB for skeleton respect to your proposal |
|
![]()
|
|
|
Structure Proposal # 1792 YMUSSUHVKCPMFT Deviation = 4.78ppm
Search WEB for skeleton |
|
![]()
|
|
|
Structure Proposal # 1793 OSDIHBDMKJZDMR Deviation = 4.78ppm
Search WEB for skeleton respect to your proposal |
|
![]()
|
|
|
Structure Proposal # 1794 PQONMIVTQDNYNJ Deviation = 4.78ppm
Search WEB for skeleton |
|
![]()
|
|
|
Structure Proposal # 1795 AIKVASAGABESLJ Deviation = 4.78ppm
Search WEB for skeleton |
|
![]()
|
|
|
Structure Proposal # 1796 PRHNAQNNZCVBNI Deviation = 4.78ppm
Search WEB for skeleton |
|
![]()
|
|
|
Structure Proposal # 1797 GENUUZPYTMXWFL Deviation = 4.78ppm
Search WEB for skeleton |
|
![]()
|
|
|
Structure Proposal # 1798 WNCPBPNZRWATLW Deviation = 4.78ppm
Search WEB for skeleton |
|
![]()
|
|
|
Structure Proposal # 1799 GKUFQPBLUQDUTH Deviation = 4.78ppm
Search WEB for skeleton |
|
![]()
|
|
|
Structure Proposal # 1800 KIGKDQAHAYYQIN Deviation = 4.78ppm
Search WEB for skeleton |
|
![]()
|
|
|
Structure Proposal # 1801 PMSNUNDZBUPQBG Deviation = 4.79ppm
Search WEB for skeleton respect to your proposal |
|
![]()
|
|
|
Structure Proposal # 1802 CIDCJPBQTFNQBU Deviation = 4.79ppm
Search WEB for skeleton |
|
![]()
|
|
|
Structure Proposal # 1803 ZNDMECAWFMHLJP Deviation = 4.79ppm
Search WEB for skeleton |
|
![]()
|
|
|
Structure Proposal # 1804 SLOHLDHHLRRKFE Deviation = 4.79ppm
Search WEB for skeleton |
|
![]()
|
|
|
Structure Proposal # 1805 BRQHWAHRLDHMHE Deviation = 4.79ppm
Search WEB for skeleton |
|
![]()
|
|
|
Structure Proposal # 1806 CIESSGMMENEENY Deviation = 4.79ppm
Search WEB for skeleton |
|
![]()
|
|
|
Structure Proposal # 1807 UEEUBQNRMNZNBJ Deviation = 4.79ppm
Search WEB for skeleton |
|
![]()
|
|
|
Structure Proposal # 1808 JNWDFKYEPUHULG Deviation = 4.79ppm
Search WEB for skeleton |
|
![]()
|
|
|
Structure Proposal # 1809 SIQFZNDTSUPYTA Deviation = 4.79ppm
Search WEB for skeleton |
|
![]()
|
|
|
Structure Proposal # 1810 JNVWNEXQOYMLMI Deviation = 4.79ppm
Search WEB for skeleton |
|
![]()
|
|
|
Structure Proposal # 1811 TZPJXSCLFINTQQ Deviation = 4.79ppm
Search WEB for skeleton |
|
![]()
|
|
|
Structure Proposal # 1812 UDMRUYIRDJCLLV Deviation = 4.79ppm
Search WEB for skeleton |
|
![]()
|
|
|
Structure Proposal # 1813 BPFHCKUBBUFLSI Deviation = 4.80ppm
Search WEB for skeleton |
|
![]()
|
|
|
Structure Proposal # 1814 RVBWUVZNUVUQRZ Deviation = 4.80ppm
Search WEB for skeleton |
|
![]()
|
|
|
Structure Proposal # 1815 KKXJUSONXLHXKJ Deviation = 4.80ppm
Search WEB for skeleton respect to your proposal |
|
![]()
|
|
|
Structure Proposal # 1816 YNKNCIYGCOUZBV Deviation = 4.80ppm
Search WEB for skeleton |
|
![]()
|
|
|
Structure Proposal # 1817 RRJLJXMJMFQMAQ Deviation = 4.80ppm
Search WEB for skeleton |
|
![]()
|
|
|
Structure Proposal # 1818 ONAFXLXHNPQLFN Deviation = 4.80ppm
Search WEB for skeleton |
|
![]()
|
|
|
Structure Proposal # 1819 OGATZCASOGCMET Deviation = 4.80ppm
Search WEB for skeleton |
|
![]()
|
|
|
Structure Proposal # 1820 PXXDVLAMQGEZJB Deviation = 4.80ppm
Search WEB for skeleton |
|
![]()
|
|
|
Structure Proposal # 1821 FOYXCMRDVDVLQW Deviation = 4.80ppm
Search WEB for skeleton |
|
![]()
|
|
|
Structure Proposal # 1822 BSIJGJRAYPLGAF Deviation = 4.80ppm
Search WEB for skeleton |
|
![]()
|
|
|
Structure Proposal # 1823 BVNZCPXCUZNFNT Deviation = 4.80ppm
Search WEB for skeleton respect to your proposal |
|
![]()
|
|
|
Structure Proposal # 1824 MRJUQBKXMCVOLF Deviation = 4.80ppm
Search WEB for skeleton respect to your proposal |
|
![]()
|
|
|
Structure Proposal # 1825 ODPVRTHTIPWENN Deviation = 4.80ppm
Search WEB for skeleton |
|
![]()
|
|
|
Structure Proposal # 1826 VKSANWPDYSWBBS Deviation = 4.80ppm
Search WEB for skeleton |
|
![]()
|
|
|
Structure Proposal # 1827 NPGODZBUAORHCZ Deviation = 4.80ppm
Search WEB for skeleton |
|
![]()
|
|
|
Structure Proposal # 1828 SJGIFZBVAHSQJA Deviation = 4.80ppm
Search WEB for skeleton respect to your proposal |
|
![]()
|
|
|
Structure Proposal # 1829 NKNSNUJDWGAMMT Deviation = 4.81ppm
Search WEB for skeleton |
|
![]()
|
|
|
Structure Proposal # 1830 WYQCUTVCYBQOCS Deviation = 4.81ppm
Search WEB for skeleton |
|
![]()
|
|
|
Structure Proposal # 1831 UJJZHJVNLODODX Deviation = 4.81ppm
Search WEB for skeleton |
|
![]()
|
|
|
Structure Proposal # 1832 OGLOLCWAFADGMC Deviation = 4.81ppm
Search WEB for skeleton |
|
![]()
|
|
|
Structure Proposal # 1833 GDQLIUOBAAMXSH Deviation = 4.81ppm
Search WEB for skeleton |
|
![]()
|
|
|
Structure Proposal # 1834 KJLVXHGBFWRDMJ Deviation = 4.81ppm
Search WEB for skeleton respect to your proposal |
|
![]()
|
|
|
Structure Proposal # 1835 OUEHUCGHLMUDFI Deviation = 4.81ppm
Search WEB for skeleton |
|
![]()
|
|
|
Structure Proposal # 1836 JDNNUTUPSKZURV Deviation = 4.81ppm
Search WEB for skeleton |
|
![]()
|
|
|
Structure Proposal # 1837 DBJUMXYOOLHCJS Deviation = 4.81ppm
Search WEB for skeleton |
|
![]()
|
|
|
Structure Proposal # 1838 LNUYDHYVBXQIPI Deviation = 4.81ppm
Search WEB for skeleton |
|
![]()
|
|
|
Structure Proposal # 1839 CBISLHQCNMFXQM Deviation = 4.81ppm
Search WEB for skeleton |
|
![]()
|
|
|
Structure Proposal # 1840 NGWWPLJIXCPHQM Deviation = 4.81ppm
Search WEB for skeleton |
|
![]()
|
|
|
Structure Proposal # 1841 YUKAHJDAUFVBMP Deviation = 4.81ppm
Search WEB for skeleton |
|
![]()
|
|
|
Structure Proposal # 1842 YPVFIFAPJPVULU Deviation = 4.81ppm
Search WEB for skeleton |
|
![]()
|
|
|
Structure Proposal # 1843 MOMLVJMFAGHNBX Deviation = 4.81ppm
Search WEB for skeleton respect to your proposal |
|
![]()
|
|
|
Structure Proposal # 1844 ZSXXDHXXERHJDO Deviation = 4.81ppm
Search WEB for skeleton |
|
![]()
|
|
|
Structure Proposal # 1845 YSVORPWLLDUGJV Deviation = 4.81ppm
Search WEB for skeleton |
|
![]()
|
|
|
Structure Proposal # 1846 SLEBKJQILKTLIW Deviation = 4.81ppm
Search WEB for skeleton |
|
![]()
|
|
|
Structure Proposal # 1847 YBUMAXRZTUVAHZ Deviation = 4.82ppm
Search WEB for skeleton |
|
![]()
|
|
|
Structure Proposal # 1848 AOBDYWUPYVQKBZ Deviation = 4.82ppm
Search WEB for skeleton |
|
![]()
|
|
|
Structure Proposal # 1849 CXTMRVXPRLLFOQ Deviation = 4.82ppm
Search WEB for skeleton respect to your proposal |
|
![]()
|
|
|
Structure Proposal # 1850 LWYGKBWJFRUPJY Deviation = 4.82ppm
Search WEB for skeleton |
|
![]()
|
|
|
Structure Proposal # 1851 AKHBUTUGFIGJJK Deviation = 4.82ppm
Search WEB for skeleton |
|
![]()
|
|
|
Structure Proposal # 1852 CNVZEPCQGKXEFN Deviation = 4.82ppm
Search WEB for skeleton |
|
![]()
|
|
|
Structure Proposal # 1853 LEMLGJHMQKGJBR Deviation = 4.82ppm
Search WEB for skeleton |
|
![]()
|
|
|
Structure Proposal # 1854 MUTXJINPFZCTMR Deviation = 4.82ppm
Search WEB for skeleton |
|
![]()
|
|
|
Structure Proposal # 1855 QQBXZLXNPPRXSS Deviation = 4.82ppm
Search WEB for skeleton |
|
![]()
|
|
|
Structure Proposal # 1856 PBQQRHVBCAJWIP Deviation = 4.82ppm
Search WEB for skeleton |
|
![]()
|
|
|
Structure Proposal # 1857 XMIFNKOORFSZPG Deviation = 4.82ppm
Search WEB for skeleton |
|
![]()
|
|
|
Structure Proposal # 1858 YISCPTGWMSWYIW Deviation = 4.82ppm
Search WEB for skeleton |
|
![]()
|
|
|
Structure Proposal # 1859 XAHKZCGTJANAAR Deviation = 4.82ppm
Search WEB for skeleton |
|
![]()
|
|
|
Structure Proposal # 1860 IGHYRGWXAZHRJD Deviation = 4.82ppm
Search WEB for skeleton |
|
![]()
|
|
|
Structure Proposal # 1861 FLIANVBIKIWQKH Deviation = 4.82ppm
Search WEB for skeleton respect to your proposal |
|
![]()
|
|
|
Structure Proposal # 1862 JBKJCYOPTQJLJX Deviation = 4.82ppm
Search WEB for skeleton |
|
![]()
|
|
|
Structure Proposal # 1863 ZDBLLDQJCOTMOH Deviation = 4.83ppm
Search WEB for skeleton respect to your proposal |
|
![]()
|
|
|
Structure Proposal # 1864 UAGVGWHKZQNNBW Deviation = 4.83ppm
Search WEB for skeleton |
|
![]()
|
|
|
Structure Proposal # 1865 GQMNYWKAZZGMSH Deviation = 4.83ppm
Search WEB for skeleton |
|
![]()
|
|
|
Structure Proposal # 1866 AIVXNHWFCZPEPF Deviation = 4.83ppm
Search WEB for skeleton respect to your proposal |
|
![]()
|
|
|
Structure Proposal # 1867 SQWLWHZGUWCNJL Deviation = 4.83ppm
Search WEB for skeleton |
|
![]()
|
|
|
Structure Proposal # 1868 NBUIYAQVZHPKGD Deviation = 4.83ppm
Search WEB for skeleton |
|
![]()
|
|
|
Structure Proposal # 1869 RCBVFSMZYGEKSO Deviation = 4.83ppm
Search WEB for skeleton |
|
![]()
|
|
|
Structure Proposal # 1870 MNFSTXADGMBOPR Deviation = 4.83ppm
Search WEB for skeleton |
|
![]()
|
|
|
Structure Proposal # 1871 WSRXRUFVJLDQAK Deviation = 4.83ppm
Search WEB for skeleton |
|
![]()
|
|
|
Structure Proposal # 1872 UMSJFJBUNCIUGK Deviation = 4.83ppm
Search WEB for skeleton |
|
![]()
|
|
|
Structure Proposal # 1873 QWXFPMODFHOOSW Deviation = 4.83ppm
Search WEB for skeleton |
|
![]()
|
|
|
Structure Proposal # 1874 MDGJYDADRXTREX Deviation = 4.83ppm
Search WEB for skeleton respect to your proposal |
|
![]()
|
|
|
Structure Proposal # 1875 ACXXPKFAACBJNP Deviation = 4.83ppm
Search WEB for skeleton |
|
![]()
|
|
|
Structure Proposal # 1876 AMWOOLVLHKAMDO Deviation = 4.83ppm
Search WEB for skeleton |
|
![]()
|
|
|
Structure Proposal # 1877 OYQMUPONOXFSRB Deviation = 4.83ppm
Search WEB for skeleton respect to your proposal |
|
![]()
|
|
|
Structure Proposal # 1878 BLAGXJRLSZUUCZ Deviation = 4.83ppm
Search WEB for skeleton |
|
![]()
|
|
|
Structure Proposal # 1879 WBZAABSKFFFTGK Deviation = 4.83ppm
Search WEB for skeleton |
|
![]()
|
|
|
Structure Proposal # 1880 RWSPSIDPVJEJFA Deviation = 4.83ppm
Search WEB for skeleton |
|
![]()
|
|
|
Structure Proposal # 1881 LOJFGDJYDCQWRB Deviation = 4.83ppm
Search WEB for skeleton |
|
![]()
|
|
|
Structure Proposal # 1882 DVKYQIQXZMGKRD Deviation = 4.83ppm
Search WEB for skeleton |
|
![]()
|
|
|
Structure Proposal # 1883 QTOIOGJABKFUHL Deviation = 4.83ppm
Search WEB for skeleton respect to your proposal |
|
![]()
|
|
|
Structure Proposal # 1884 ANTHEMJLMNLSOA Deviation = 4.83ppm
Search WEB for skeleton |
|
![]()
|
|
|
Structure Proposal # 1885 PZBKBCUARIWHSZ Deviation = 4.84ppm
Search WEB for skeleton |
|
![]()
|
|
|
Structure Proposal # 1886 OSQVEVSRTPAIAU Deviation = 4.84ppm
Search WEB for skeleton |
|
![]()
|
|
|
Structure Proposal # 1887 MAYCLEUNSGGNKY Deviation = 4.84ppm
Search WEB for skeleton |
|
![]()
|
|
|
Structure Proposal # 1888 ARLVYHQOWHKREQ Deviation = 4.84ppm
Search WEB for skeleton |
|
![]()
|
|
|
Structure Proposal # 1889 GGTLKKZVROJJHZ Deviation = 4.84ppm
Search WEB for skeleton |
|
![]()
|
|
|
Structure Proposal # 1890 DSEDCBUUENIAEJ Deviation = 4.84ppm
Search WEB for skeleton |
|
![]()
|
|
|
Structure Proposal # 1891 ZEALPFVOTZPUQO Deviation = 4.84ppm
Search WEB for skeleton |
|
![]()
|
|
|
Structure Proposal # 1892 HWUSQSZKUOCQGD Deviation = 4.84ppm
Search WEB for skeleton |
|
![]()
|
|
|
Structure Proposal # 1893 UMPIZJZHKWEAIT Deviation = 4.84ppm
Search WEB for skeleton |
|
![]()
|
|
|
Structure Proposal # 1894 DPGZLDRBJNJJEI Deviation = 4.84ppm
Search WEB for skeleton |
|
![]()
|
|
|
Structure Proposal # 1895 OLHLHJLCCGXCSY Deviation = 4.84ppm
Search WEB for skeleton |
|
![]()
|
|
|
Structure Proposal # 1896 ACVFBQYMBABUNA Deviation = 4.84ppm
Search WEB for skeleton |
|
![]()
|
|
|
Structure Proposal # 1897 QQVPQKUBPJHKNO Deviation = 4.84ppm
Search WEB for skeleton |
|
![]()
|
|
|
Structure Proposal # 1898 UUPGSUHFYSINLR Deviation = 4.84ppm
Search WEB for skeleton |
|
![]()
|
|
|
Structure Proposal # 1899 WNBSFNJOYGGRNZ Deviation = 4.84ppm
Search WEB for skeleton |
|
![]()
|
|
|
Structure Proposal # 1900 BXQHRUWZOSBKIJ Deviation = 4.84ppm
Search WEB for skeleton |
|
![]()
|
|
|
Structure Proposal # 1901 NTNMHTQKEARWHS Deviation = 4.84ppm
Search WEB for skeleton |
|
![]()
|
|
|
Structure Proposal # 1902 JLARLDCORGAAFS Deviation = 4.85ppm
Search WEB for skeleton |
|
![]()
|
|
|
Structure Proposal # 1903 YMLZCVZMWZIGQJ Deviation = 4.85ppm
Search WEB for skeleton |
|
![]()
|
|
|
Structure Proposal # 1904 RQMKNYCLALMGSF Deviation = 4.85ppm
Search WEB for skeleton |
|
![]()
|
|
|
Structure Proposal # 1905 OQFCJUNZWRYLHI Deviation = 4.85ppm
Search WEB for skeleton |
|
![]()
|
|
|
Structure Proposal # 1906 AIUZKEUUDCJEMP Deviation = 4.85ppm
Search WEB for skeleton respect to your proposal |
|
![]()
|
|
|
Structure Proposal # 1907 PPRARBVMUKSDRD Deviation = 4.85ppm
Search WEB for skeleton |
|
![]()
|
|
|
Structure Proposal # 1908 WNHWSQLORLZFOB Deviation = 4.85ppm
Search WEB for skeleton respect to your proposal |
|
![]()
|
|
|
Structure Proposal # 1909 QEAHHVQLPYDUCI Deviation = 4.85ppm
Search WEB for skeleton |
|
![]()
|
|
|
Structure Proposal # 1910 JMDQJSNKPMCJGS Deviation = 4.85ppm
Search WEB for skeleton |
|
![]()
|
|
|
Structure Proposal # 1911 GYYODOMTQKFXJV Deviation = 4.85ppm
Search WEB for skeleton respect to your proposal |
|
![]()
|
|
|
Structure Proposal # 1912 NRUROVKRSIVWAT Deviation = 4.85ppm
Search WEB for skeleton |
|
![]()
|
|
|
Structure Proposal # 1913 OIQPNMBWGJCEQK Deviation = 4.85ppm
Search WEB for skeleton |
|
![]()
|
|
|
Structure Proposal # 1914 CLCQRBXCHXTTAX Deviation = 4.85ppm
Search WEB for skeleton respect to your proposal |
|
![]()
|
|
|
Structure Proposal # 1915 MNEHVAIBYFUVRZ Deviation = 4.85ppm
Search WEB for skeleton |
|
![]()
|
|
|
Structure Proposal # 1916 JEXZNGVANSWKTC Deviation = 4.85ppm
Search WEB for skeleton |
|
![]()
|
|
|
Structure Proposal # 1917 VZEVMOIOGIVUTA Deviation = 4.85ppm
Search WEB for skeleton |
|
![]()
|
|
|
Structure Proposal # 1918 GNFMLZZKSFTFNT Deviation = 4.85ppm
Search WEB for skeleton respect to your proposal |
|
![]()
|
|
|
Structure Proposal # 1919 OTAVLEVBTHRWAM Deviation = 4.85ppm
Search WEB for skeleton respect to your proposal Compound from PUBCHEM |
|
![]()
|
|
|
Structure Proposal # 1920 YKTJBPOFGRHZAN Deviation = 4.85ppm
Search WEB for skeleton |
|
![]()
|
|
|
Structure Proposal # 1921 BWLJKVLFIDBTOG Deviation = 4.85ppm
Search WEB for skeleton |
|
![]()
|
|
|
Structure Proposal # 1922 XUEYAFXGCRMOBR Deviation = 4.86ppm
Search WEB for skeleton |
|
![]()
|
|
|
Structure Proposal # 1923 PESCGDKIXOHNNF Deviation = 4.86ppm
Search WEB for skeleton |
|
![]()
|
|
|
Structure Proposal # 1924 UEHFSFFRJHDDFX Deviation = 4.86ppm
Search WEB for skeleton |
|
![]()
|
|
|
Structure Proposal # 1925 AVOKICYLZHYYJT Deviation = 4.86ppm
Search WEB for skeleton |
|
![]()
|
|
|
Structure Proposal # 1926 HPQIVPSGDHZZQN Deviation = 4.86ppm
Search WEB for skeleton |
|
![]()
|
|
|
Structure Proposal # 1927 NVASDMKMHZJMSN Deviation = 4.86ppm
Search WEB for skeleton |
|
![]()
|
|
|
Structure Proposal # 1928 SYZIZTWNXUFFFM Deviation = 4.86ppm
Search WEB for skeleton |
|
![]()
|
|
|
Structure Proposal # 1929 MEZSIPVZQVMNIS Deviation = 4.86ppm
Search WEB for skeleton respect to your proposal |
|
![]()
|
|
|
Structure Proposal # 1930 AYNXZUBRRIJZCU Deviation = 4.86ppm
Search WEB for skeleton |
|
![]()
|
|
|
Structure Proposal # 1931 MGWCZEBKZLCZTP Deviation = 4.86ppm
Search WEB for skeleton |
|
![]()
|
|
|
Structure Proposal # 1932 FIPTXCMBPOYEGD Deviation = 4.86ppm
Search WEB for skeleton |
|
![]()
|
|
|
Structure Proposal # 1933 ACXJQNONXLDGOP Deviation = 4.86ppm
Search WEB for skeleton |
|
![]()
|
|
|
Structure Proposal # 1934 IUMIDNLEUJNIIH Deviation = 4.86ppm
Search WEB for skeleton |
|
![]()
|
|
|
Structure Proposal # 1935 ONKLWDNQNICUAD Deviation = 4.86ppm
Search WEB for skeleton |
|
![]()
|
|
|
Structure Proposal # 1936 BFTJDRBUBYHVNY Deviation = 4.86ppm
Search WEB for skeleton |
|
![]()
|
|
|
Structure Proposal # 1937 WAMYMKCVYZVECQ Deviation = 4.87ppm
Search WEB for skeleton |
|
![]()
|
|
|
Structure Proposal # 1938 DTUJUNJLEDGMCM Deviation = 4.87ppm
Search WEB for skeleton respect to your proposal |
|
![]()
|
|
|
Structure Proposal # 1939 KTKFTXFXANYERE Deviation = 4.87ppm
Search WEB for skeleton |
|
![]()
|
|
|
Structure Proposal # 1940 JORCLERIRGSRPD Deviation = 4.87ppm
Search WEB for skeleton |
|
![]()
|
|
|
Structure Proposal # 1941 QGAPZOIFYUOETI Deviation = 4.87ppm
Search WEB for skeleton |
|
![]()
|
|
|
Structure Proposal # 1942 ZVNIYYZNPXKLPU Deviation = 4.87ppm
Search WEB for skeleton |
|
![]()
|
|
|
Structure Proposal # 1943 MFNLWZOPEYCALV Deviation = 4.87ppm
Search WEB for skeleton |
|
![]()
|
|
|
Structure Proposal # 1944 CECBVMHPXUVJBW Deviation = 4.87ppm
Search WEB for skeleton |
|
![]()
|
|
|
Structure Proposal # 1945 MUSLRWGXOTZGEG Deviation = 4.87ppm
Search WEB for skeleton |
|
![]()
|
|
|
Structure Proposal # 1946 JCHFYIUIULYHDB Deviation = 4.87ppm
Search WEB for skeleton respect to your proposal |
|
![]()
|
|
|
Structure Proposal # 1947 VGHRECHXKSUDOP Deviation = 4.87ppm
Search WEB for skeleton |
|
![]()
|
|
|
Structure Proposal # 1948 YMEOLDNFNJLHHF Deviation = 4.87ppm
Search WEB for skeleton |
|
![]()
|
|
|
Structure Proposal # 1949 IFBPETAVTGINRI Deviation = 4.87ppm
Search WEB for skeleton |
|
![]()
|
|
|
Structure Proposal # 1950 ZBTNZBWLLOTTII Deviation = 4.87ppm
Search WEB for skeleton |
|
![]()
|
|
|
Structure Proposal # 1951 SHDSCQYDLUQNRC Deviation = 4.87ppm
Search WEB for skeleton respect to your proposal |
|
![]()
|
|
|
Structure Proposal # 1952 RRKULIHFYRHPQM Deviation = 4.87ppm
Search WEB for skeleton |
|
![]()
|
|
|
Structure Proposal # 1953 KBUABPJUDQQXQL Deviation = 4.87ppm
Search WEB for skeleton |
|
![]()
|
|
|
Structure Proposal # 1954 URENIXWZFGWNFV Deviation = 4.87ppm
Search WEB for skeleton respect to your proposal |
|
![]()
|
|
|
Structure Proposal # 1955 TWRIUGWBFDRBJX Deviation = 4.87ppm
Search WEB for skeleton |
|
![]()
|
|
|
Structure Proposal # 1956 YWDCBYCJVCXEPM Deviation = 4.87ppm
Search WEB for skeleton respect to your proposal |
|
![]()
|
|
|
Structure Proposal # 1957 DZKJAIGVFRXTAX Deviation = 4.87ppm
Search WEB for skeleton |
|
![]()
|
|
|
Structure Proposal # 1958 VIELXAZVOMKYSE Deviation = 4.88ppm
Search WEB for skeleton |
|
![]()
|
|
|
Structure Proposal # 1959 XYERHQSLLDXMEO Deviation = 4.88ppm
Search WEB for skeleton |
|
![]()
|
|
|
Structure Proposal # 1960 PBTNYJWBEOLSDF Deviation = 4.88ppm
Search WEB for skeleton |
|
![]()
|
|
|
Structure Proposal # 1961 YXZZJAJAEIYYBA Deviation = 4.88ppm
Search WEB for skeleton |
|
![]()
|
|
|
Structure Proposal # 1962 HVNRWWDATLMZMJ Deviation = 4.88ppm
Search WEB for skeleton respect to your proposal |
|
![]()
|
|
|
Structure Proposal # 1963 GQPKFDGKNAOLFK Deviation = 4.88ppm
Search WEB for skeleton |
|
![]()
|
|
|
Structure Proposal # 1964 PZFSUGKSLPTDHL Deviation = 4.88ppm
Search WEB for skeleton |
|
![]()
|
|
|
Structure Proposal # 1965 UKTHKZJBIATKOX Deviation = 4.88ppm
Search WEB for skeleton |
|
![]()
|
|
|
Structure Proposal # 1966 SQUWARCXGJFSNH Deviation = 4.88ppm
Search WEB for skeleton |
|
![]()
|
|
|
Structure Proposal # 1967 BGAICCWJTSFCEO Deviation = 4.88ppm
Search WEB for skeleton |
|
![]()
|
|
|
Structure Proposal # 1968 WTTQXDLFUPYIGT Deviation = 4.88ppm
Search WEB for skeleton |
|
![]()
|
|
|
Structure Proposal # 1969 OKKKXORNTGEFBJ Deviation = 4.89ppm
Search WEB for skeleton |
|
![]()
|
|
|
Structure Proposal # 1970 VFGNLFBHQNKLPI Deviation = 4.89ppm
Search WEB for skeleton |
|
![]()
|
|
|
Structure Proposal # 1971 PPTUDCKUSHRBOV Deviation = 4.89ppm
Search WEB for skeleton |
|
![]()
|
|
|
Structure Proposal # 1972 YFBROTIRHHQYLJ Deviation = 4.89ppm
Search WEB for skeleton respect to your proposal |
|
![]()
|
|
|
Structure Proposal # 1973 VTPASZBOBLDRSL Deviation = 4.89ppm
Search WEB for skeleton respect to your proposal |
|
![]()
|
|
|
Structure Proposal # 1974 JWLLGMJNDJKQJN Deviation = 4.89ppm
Search WEB for skeleton respect to your proposal |
|
![]()
|
|
|
Structure Proposal # 1975 UAMWDLUEXDMICC Deviation = 4.89ppm
Search WEB for skeleton respect to your proposal |
|
![]()
|
|
|
Structure Proposal # 1976 SMIUQARUBDBIHM Deviation = 4.89ppm
Search WEB for skeleton |
|
![]()
|
|
|
Structure Proposal # 1977 ZAXDRZFCTAWRIJ Deviation = 4.89ppm
Search WEB for skeleton |
|
![]()
|
|
|
Structure Proposal # 1978 YVNYATQMRDIWJG Deviation = 4.89ppm
Search WEB for skeleton |
|
![]()
|
|
|
Structure Proposal # 1979 YEVYTCFRZSJXIY Deviation = 4.89ppm
Search WEB for skeleton respect to your proposal |
|
![]()
|
|
|
Structure Proposal # 1980 SZNIHNMEPUNTCM Deviation = 4.89ppm
Search WEB for skeleton |
|
![]()
|
|
|
Structure Proposal # 1981 DRPXCUORZPDIDD Deviation = 4.89ppm
Search WEB for skeleton |
|
![]()
|
|
|
Structure Proposal # 1982 OMNGZBWHUMANEV Deviation = 4.89ppm
Search WEB for skeleton respect to your proposal |
|
![]()
|
|
|
Structure Proposal # 1983 KSVFAIUBXIOJHU Deviation = 4.89ppm
Search WEB for skeleton |
|
![]()
|
|
|
Structure Proposal # 1984 FTAMCRYDYLTUJQ Deviation = 4.89ppm
Search WEB for skeleton |
|
![]()
|
|
|
Structure Proposal # 1985 XTMXTMSDOMZADL Deviation = 4.89ppm
Search WEB for skeleton |
|
![]()
|
|
|
Structure Proposal # 1986 OIKPZJAJAQQBEY Deviation = 4.89ppm
Search WEB for skeleton |
|
![]()
|
|
|
Structure Proposal # 1987 IOCPHXLCSZWBHV Deviation = 4.90ppm
Search WEB for skeleton |
|
![]()
|
|
|
Structure Proposal # 1988 VUTFQZBWJGSIDE Deviation = 4.90ppm
Search WEB for skeleton |
|
![]()
|
|
|
Structure Proposal # 1989 XMHQJDIWMMCNOD Deviation = 4.90ppm
Search WEB for skeleton |
|
![]()
|
|
|
Structure Proposal # 1990 STAJGUHQTPINDU Deviation = 4.90ppm
Search WEB for skeleton |
|
![]()
|
|
|
Structure Proposal # 1991 VMSXBEKUPZNLHL Deviation = 4.90ppm
Search WEB for skeleton respect to your proposal |
|
![]()
|
|
|
Structure Proposal # 1992 LRZSYJRISLYNNO Deviation = 4.90ppm
Search WEB for skeleton respect to your proposal |
|
![]()
|
|
|
Structure Proposal # 1993 UPMXLBHQMWQIRA Deviation = 4.90ppm
Search WEB for skeleton |
|
![]()
|
|
|
Structure Proposal # 1994 HXQYLFRQLGHOTH Deviation = 4.90ppm
Search WEB for skeleton |
|
![]()
|
|
|
Structure Proposal # 1995 ZRGMMCPIJFECDD Deviation = 4.90ppm
Search WEB for skeleton |
|
![]()
|
|
|
Structure Proposal # 1996 WWUOLRCOGLSWDS Deviation = 4.90ppm
Search WEB for skeleton |
|
![]()
|
|
|
Structure Proposal # 1997 UQWHXQBICYOWNZ Deviation = 4.90ppm
Search WEB for skeleton respect to your proposal |
|
![]()
|
|
|
Structure Proposal # 1998 OQEIAPNNOPWQTQ Deviation = 4.91ppm
Search WEB for skeleton |
|
![]()
|
|
|
Structure Proposal # 1999 QYAKRAKDGKRBSZ Deviation = 4.91ppm
Search WEB for skeleton respect to your proposal |
|
![]()
|
|
|
Structure Proposal # 2000 FWJBTZGJRHSOAE Deviation = 4.91ppm
Search WEB for skeleton |
|
![]()
|
|
|
Structure Proposal # 2001 QIADITQLJJGFDU Deviation = 4.91ppm
Search WEB for skeleton |
|
![]()
|
|
|
Structure Proposal # 2002 ABZBAJWHGVFJRM Deviation = 4.91ppm
Search WEB for skeleton |
|
![]()
|
|
|
Structure Proposal # 2003 WFFMWIBOUNUTPV Deviation = 4.91ppm
Search WEB for skeleton |
|
![]()
|
|
|
Structure Proposal # 2004 FYCHXJWMHVUOCG Deviation = 4.91ppm
Search WEB for skeleton |
|
![]()
|
|
|
Structure Proposal # 2005 XMXOWGFIJYHEKK Deviation = 4.91ppm
Search WEB for skeleton respect to your proposal |
|
![]()
|
|
|
Structure Proposal # 2006 WQQFDJMDILOSRO Deviation = 4.91ppm
Search WEB for skeleton |
|
![]()
|
|
|
Structure Proposal # 2007 KSBLPIBZSFZVDK Deviation = 4.91ppm
Search WEB for skeleton respect to your proposal |
|
![]()
|
|
|
Structure Proposal # 2008 XYWWMAHRLZLHKK Deviation = 4.91ppm
Search WEB for skeleton |
|
![]()
|
|
|
Structure Proposal # 2009 MMTVASUYXZKFNV Deviation = 4.91ppm
Search WEB for skeleton |
|
![]()
|
|
|
Structure Proposal # 2010 BPPZYBZZJQAMMV Deviation = 4.91ppm
Search WEB for skeleton |
|
![]()
|
|
|
Structure Proposal # 2011 YDGKTVXAWIKDSR Deviation = 4.91ppm
Search WEB for skeleton respect to your proposal |
|
![]()
|
|
|
Structure Proposal # 2012 WKPJJCBHSHMRNB Deviation = 4.91ppm
Search WEB for skeleton |
|
![]()
|
|
|
Structure Proposal # 2013 ONHYIBKNOMXFMV Deviation = 4.91ppm
Search WEB for skeleton |
|
![]()
|
|
|
Structure Proposal # 2014 FARGPPPXFDAIBO Deviation = 4.91ppm
Search WEB for skeleton |
|
![]()
|
|
|
Structure Proposal # 2015 YOYCOTQPBRCPFX Deviation = 4.92ppm
Search WEB for skeleton |
|
![]()
|
|
|
Structure Proposal # 2016 DFOWXDFUDSLRKV Deviation = 4.92ppm
Search WEB for skeleton |
|
![]()
|
|
|
Structure Proposal # 2017 AAZRFAZFIGOIGG Deviation = 4.92ppm
Search WEB for skeleton |
|
![]()
|
|
|
Structure Proposal # 2018 RMQITRWCHKJNSG Deviation = 4.92ppm
Search WEB for skeleton respect to your proposal |
|
![]()
|
|
|
Structure Proposal # 2019 HPIJMFNKIULUQR Deviation = 4.92ppm
Search WEB for skeleton |
|
![]()
|
|
|
Structure Proposal # 2020 RPIRQBYTSINWGX Deviation = 4.92ppm
Search WEB for skeleton |
|
![]()
|
|
|
Structure Proposal # 2021 YPWMIUHCFNCBKE Deviation = 4.92ppm
Search WEB for skeleton |
|
![]()
|
|
|
Structure Proposal # 2022 CFQYQEVNXZCWHE Deviation = 4.92ppm
Search WEB for skeleton |
|
![]()
|
|
|
Structure Proposal # 2023 SXCSZLGRICXHHA Deviation = 4.92ppm
Search WEB for skeleton |
|
![]()
|
|
|
Structure Proposal # 2024 YARQLTGIAZOPDR Deviation = 4.92ppm
Search WEB for skeleton respect to your proposal |
|
![]()
|
|
|
Structure Proposal # 2025 OPSZWQCGZZJXTK Deviation = 4.92ppm
Search WEB for skeleton |
|
![]()
|
|
|
Structure Proposal # 2026 NZKYXCRKXDQROX Deviation = 4.92ppm
Search WEB for skeleton |
|
![]()
|
|
|
Structure Proposal # 2027 FOVPXFAKJBLSTM Deviation = 4.92ppm
Search WEB for skeleton |
|
![]()
|
|
|
Structure Proposal # 2028 LQILNPNCRGAPBB Deviation = 4.92ppm
Search WEB for skeleton respect to your proposal |
|
![]()
|
|
|
Structure Proposal # 2029 RXKLXONRUUBLNU Deviation = 4.92ppm
Search WEB for skeleton |
|
![]()
|
|
|
Structure Proposal # 2030 JSNSJKIAXDACIH Deviation = 4.92ppm
Search WEB for skeleton |
|
![]()
|
|
|
Structure Proposal # 2031 KESLMMWZCSUKHF Deviation = 4.92ppm
Search WEB for skeleton |
|
![]()
|
|
|
Structure Proposal # 2032 RJXNARCXUTUOBD Deviation = 4.92ppm
Search WEB for skeleton respect to your proposal |
|
![]()
|
|
|
Structure Proposal # 2033 RJJBJZFLOPNMLB Deviation = 4.92ppm
Search WEB for skeleton respect to your proposal |
|
![]()
|
|
|
Structure Proposal # 2034 NTOGVENZLJFWNZ Deviation = 4.93ppm
Search WEB for skeleton |
|
![]()
|
|
|
Structure Proposal # 2035 GAFOWUHRGQGKMZ Deviation = 4.93ppm
Search WEB for skeleton |
|
![]()
|
|
|
Structure Proposal # 2036 HLBIXJSMMXAKJD Deviation = 4.93ppm
Search WEB for skeleton |
|
![]()
|
|
|
Structure Proposal # 2037 RSPZVMNCKFUBBU Deviation = 4.93ppm
Search WEB for skeleton |
|
![]()
|
|
|
Structure Proposal # 2038 ACLDGGQWYOGIDO Deviation = 4.93ppm
Search WEB for skeleton respect to your proposal |
|
![]()
|
|
|
Structure Proposal # 2039 IEQGNRSRWUQVMW Deviation = 4.93ppm
Search WEB for skeleton |
|
![]()
|
|
|
Structure Proposal # 2040 ZTDPXMDYAHYNNL Deviation = 4.93ppm
Search WEB for skeleton |
|
![]()
|
|
|
Structure Proposal # 2041 YJPHNENWPHNKQC Deviation = 4.93ppm
Search WEB for skeleton |
|
![]()
|
|
|
Structure Proposal # 2042 YDGXRWRRECCANH Deviation = 4.93ppm
Search WEB for skeleton |
|
![]()
|
|
|
Structure Proposal # 2043 GKSRBSVNXHEKNA Deviation = 4.93ppm
Search WEB for skeleton respect to your proposal |
|
![]()
|
|
|
Structure Proposal # 2044 ULVWJAPTFVJPFL Deviation = 4.93ppm
Search WEB for skeleton |
|
![]()
|
|
|
Structure Proposal # 2045 WHSTYJFQNMQRRV Deviation = 4.93ppm
Search WEB for skeleton |
|
![]()
|
|
|
Structure Proposal # 2046 YKELNHUHHSTBFF Deviation = 4.93ppm
Search WEB for skeleton |
|
![]()
|
|
|
Structure Proposal # 2047 CCDIOAYWJKNNQJ Deviation = 4.93ppm
Search WEB for skeleton |
|
![]()
|
|
|
Structure Proposal # 2048 RPALDMUJZPMRCZ Deviation = 4.93ppm
Search WEB for skeleton respect to your proposal |
|
![]()
|
|
|
Structure Proposal # 2049 LLVMEDDCKWBKLQ Deviation = 4.93ppm
Search WEB for skeleton respect to your proposal |
|
![]()
|
|
|
Structure Proposal # 2050 ZFUNVQOVYKXDTL Deviation = 4.93ppm
Search WEB for skeleton |
|
![]()
|
|
|
Structure Proposal # 2051 LXNDUVPEYIPUFU Deviation = 4.93ppm
Search WEB for skeleton |
|
![]()
|
|
|
Structure Proposal # 2052 QDWNOVJRIITLPG Deviation = 4.93ppm
Search WEB for skeleton |
|
![]()
|
|
|
Structure Proposal # 2053 MAPFPGORUGBBDT Deviation = 4.93ppm
Search WEB for skeleton |
|
![]()
|
|
|
Structure Proposal # 2054 GKMOLVFNRIMZQS Deviation = 4.93ppm
Search WEB for skeleton |
|
![]()
|
|
|
Structure Proposal # 2055 YYSDXWHUCNNHET Deviation = 4.93ppm
Search WEB for skeleton |
|
![]()
|
|
|
Structure Proposal # 2056 PTRUQIBLRRONAG Deviation = 4.93ppm
Search WEB for skeleton |
|
![]()
|
|
|
Structure Proposal # 2057 CUUJIYKMHBDMHQ Deviation = 4.94ppm
Search WEB for skeleton |
|
![]()
|
|
|
Structure Proposal # 2058 DREMVRRVGUWZQA Deviation = 4.94ppm
Search WEB for skeleton respect to your proposal |
|
![]()
|
|
|
Structure Proposal # 2059 ADYCUPLCYLHYNB Deviation = 4.94ppm
Search WEB for skeleton |
|
![]()
|
|
|
Structure Proposal # 2060 IRMWOWQCOZVIAA Deviation = 4.94ppm
Search WEB for skeleton respect to your proposal |
|
![]()
|
|
|
Structure Proposal # 2061 LYQBRCRPOBEPKK Deviation = 4.94ppm
Search WEB for skeleton |
|
![]()
|
|
|
Structure Proposal # 2062 XPIGWERKDNUMSQ Deviation = 4.94ppm
Search WEB for skeleton |
|
![]()
|
|
|
Structure Proposal # 2063 CWSPEBNTQZADCV Deviation = 4.94ppm
Search WEB for skeleton respect to your proposal |
|
![]()
|
|
|
Structure Proposal # 2064 CRYSTOXMZHRXEM Deviation = 4.94ppm
Search WEB for skeleton respect to your proposal |
|
![]()
|
|
|
Structure Proposal # 2065 ZFXVLBLPJKIWTM Deviation = 4.94ppm
Search WEB for skeleton |
|
![]()
|
|
|
Structure Proposal # 2066 UCTZBZVGNQXDMY Deviation = 4.94ppm
Search WEB for skeleton |
|
![]()
|
|
|
Structure Proposal # 2067 BLYZSOVHWRSEBQ Deviation = 4.94ppm
Search WEB for skeleton respect to your proposal |
|
![]()
|
|
|
Structure Proposal # 2068 SONQWPZNKVYNDJ Deviation = 4.94ppm
Search WEB for skeleton |
|
![]()
|
|
|
Structure Proposal # 2069 GWSTWMRXACCGNX Deviation = 4.94ppm
Search WEB for skeleton |
|
![]()
|
|
|
Structure Proposal # 2070 CQCAEXVULDGODB Deviation = 4.95ppm
Search WEB for skeleton respect to your proposal |
|
![]()
|
|
|
Structure Proposal # 2071 VLVWBTHRKGSDSK Deviation = 4.95ppm
Search WEB for skeleton |
|
![]()
|
|
|
Structure Proposal # 2072 LFUGUPMPBLEGJX Deviation = 4.95ppm
Search WEB for skeleton respect to your proposal |
|
![]()
|
|
|
Structure Proposal # 2073 BANUDEOTROIPHV Deviation = 4.95ppm
Search WEB for skeleton |
|
![]()
|
|
|
Structure Proposal # 2074 LWNFSYWVZCZDJM Deviation = 4.95ppm
Search WEB for skeleton |
|
![]()
|
|
|
Structure Proposal # 2075 CRABLDBEWPPQPR Deviation = 4.95ppm
Search WEB for skeleton |
|
![]()
|
|
|
Structure Proposal # 2076 BWZQTZVNEBMNAP Deviation = 4.95ppm
Search WEB for skeleton |
|
![]()
|
|
|
Structure Proposal # 2077 PKGZVZCRHDNVJS Deviation = 4.95ppm
Search WEB for skeleton |
|
![]()
|
|
|
Structure Proposal # 2078 MAUARYVXBVLTIF Deviation = 4.95ppm
Search WEB for skeleton respect to your proposal |
|
![]()
|
|
|
Structure Proposal # 2079 OGXZKEZICHTPJC Deviation = 4.95ppm
Search WEB for skeleton |
|
![]()
|
|
|
Structure Proposal # 2080 IUSCGCYFCYAYML Deviation = 4.95ppm
Search WEB for skeleton |
|
![]()
|
|
|
Structure Proposal # 2081 QDAYPZVRJBZQGZ Deviation = 4.95ppm
Search WEB for skeleton |
|
![]()
|
|
|
Structure Proposal # 2082 NTLVPMUQKMFUBB Deviation = 4.95ppm
Search WEB for skeleton |
|
![]()
|
|
|
Structure Proposal # 2083 MUMMGSFJKCWJFP Deviation = 4.95ppm
Search WEB for skeleton |
|
![]()
|
|
|
Structure Proposal # 2084 VZPSKXZCRXWOLR Deviation = 4.95ppm
Search WEB for skeleton |
|
![]()
|
|
|
Structure Proposal # 2085 FGQXVWXDEFPXFX Deviation = 4.95ppm
Search WEB for skeleton |
|
![]()
|
|
|
Structure Proposal # 2086 SXLUPNKQZGBMRH Deviation = 4.95ppm
Search WEB for skeleton |
|
![]()
|
|
|
Structure Proposal # 2087 PKVBKQHCGLPTQH Deviation = 4.95ppm
Search WEB for skeleton |
|
![]()
|
|
|
Structure Proposal # 2088 DTODDYAIJFAUQT Deviation = 4.96ppm
Search WEB for skeleton |
|
![]()
|
|
|
Structure Proposal # 2089 MTBBZHAKBQBDMK Deviation = 4.96ppm
Search WEB for skeleton |
|
![]()
|
|
|
Structure Proposal # 2090 UBKPGMVNDOADBN Deviation = 4.96ppm
Search WEB for skeleton |
|
![]()
|
|
|
Structure Proposal # 2091 NJWMRKPOINSTBB Deviation = 4.96ppm
Search WEB for skeleton |
|
![]()
|
|
|
Structure Proposal # 2092 HIWMGLYUDWNPPM Deviation = 4.96ppm
Search WEB for skeleton |
|
![]()
|
|
|
Structure Proposal # 2093 ISBLKWWQAKHDOZ Deviation = 4.96ppm
Search WEB for skeleton |
|
![]()
|
|
|
Structure Proposal # 2094 CBPHPOGMQDMSAO Deviation = 4.96ppm
Search WEB for skeleton |
|
![]()
|
|
|
Structure Proposal # 2095 LFISLWFJPYCDCH Deviation = 4.96ppm
Search WEB for skeleton respect to your proposal |
|
![]()
|
|
|
Structure Proposal # 2096 ZGYNEDAVWQEZGO Deviation = 4.96ppm
Search WEB for skeleton respect to your proposal |
|
![]()
|
|
|
Structure Proposal # 2097 NUEAWFGWXQUJRN Deviation = 4.96ppm
Search WEB for skeleton |
|
![]()
|
|
|
Structure Proposal # 2098 VEPQEFHFDSGGDA Deviation = 4.96ppm
Search WEB for skeleton |
|
![]()
|
|
|
Structure Proposal # 2099 CICDPXBONKPDAV Deviation = 4.96ppm
Search WEB for skeleton |
|
![]()
|
|
|
Structure Proposal # 2100 GRMNURCMXDRCRB Deviation = 4.97ppm
Search WEB for skeleton |
|
![]()
|
|
|
Structure Proposal # 2101 HXUVCPBQIQWALP Deviation = 4.97ppm
Search WEB for skeleton |
|
![]()
|
|
|
Structure Proposal # 2102 MFGIGHDUZPGCCS Deviation = 4.97ppm
Search WEB for skeleton respect to your proposal |
|
![]()
|
|
|
Structure Proposal # 2103 OFRYVWFYQVVSRS Deviation = 4.97ppm
Search WEB for skeleton |
|
![]()
|
|
|
Structure Proposal # 2104 GPVPWLHPXWXGIA Deviation = 4.97ppm
Search WEB for skeleton respect to your proposal |
|
![]()
|
|
|
Structure Proposal # 2105 VSWZCHABISFZDL Deviation = 4.97ppm
Search WEB for skeleton |
|
![]()
|
|
|
Structure Proposal # 2106 LDBVODGQTQZTJD Deviation = 4.97ppm
Search WEB for skeleton |
|
![]()
|
|
|
Structure Proposal # 2107 ZYIIESQIKXYWDH Deviation = 4.97ppm
Search WEB for skeleton |
|
![]()
|
|
|
Structure Proposal # 2108 NVBRKWLWRUFEMD Deviation = 4.97ppm
Search WEB for skeleton |
|
![]()
|
|
|
Structure Proposal # 2109 HSQPKRSVKJPYRJ Deviation = 4.97ppm
Search WEB for skeleton |
|
![]()
|
|
|
Structure Proposal # 2110 NDOMCJVTSMUHHA Deviation = 4.97ppm
Search WEB for skeleton |
|
![]()
|
|
|
Structure Proposal # 2111 QTMGGCYWABGXJP Deviation = 4.97ppm
Search WEB for skeleton |
|
![]()
|
|
|
Structure Proposal # 2112 XSAFTCSDKZBRMS Deviation = 4.97ppm
Search WEB for skeleton |
|
![]()
|
|
|
Structure Proposal # 2113 UKHBRTWCXBHVBB Deviation = 4.97ppm
Search WEB for skeleton |
|
![]()
|
|
|
Structure Proposal # 2114 BRIQMPCQGZKJPE Deviation = 4.97ppm
Search WEB for skeleton respect to your proposal |
|
![]()
|
|
|
Structure Proposal # 2115 DQZOVXSDUSJIMD Deviation = 4.97ppm
Search WEB for skeleton |
|
![]()
|
|
|
Structure Proposal # 2116 WZCYUIJQBLJTHC Deviation = 4.97ppm
Search WEB for skeleton |
|
![]()
|
|
|
Structure Proposal # 2117 JSJGQYYCFGEBBX Deviation = 4.97ppm
Search WEB for skeleton |
|
![]()
|
|
|
Structure Proposal # 2118 KGVVESHXMFLYIJ Deviation = 4.97ppm
Search WEB for skeleton respect to your proposal |
|
![]()
|
|
|
Structure Proposal # 2119 GXYVBLLJTQHGSW Deviation = 4.97ppm
Search WEB for skeleton |
|
![]()
|
|
|
Structure Proposal # 2120 XMRKEHVPJBGYAX Deviation = 4.98ppm
Search WEB for skeleton |
|
![]()
|
|
|
Structure Proposal # 2121 KXCIPGNUBVDDHJ Deviation = 4.98ppm
Search WEB for skeleton |
|
![]()
|
|
|
Structure Proposal # 2122 RQKFDAGGOKWBBK Deviation = 4.98ppm
Search WEB for skeleton respect to your proposal |
|
![]()
|
|
|
Structure Proposal # 2123 JRHJOFNVKSBQDL Deviation = 4.98ppm
Search WEB for skeleton |
|
![]()
|
|
|
Structure Proposal # 2124 RPQLASUYBWVOMP Deviation = 4.98ppm
Search WEB for skeleton |
|
![]()
|
|
|
Structure Proposal # 2125 RJTYUJTYHKYJPJ Deviation = 4.98ppm
Search WEB for skeleton |
|
![]()
|
|
|
Structure Proposal # 2126 IGAVUUMLKCLZAL Deviation = 4.98ppm
Search WEB for skeleton |
|
![]()
|
|
|
Structure Proposal # 2127 WPLKCANWCYXDOQ Deviation = 4.98ppm
Search WEB for skeleton respect to your proposal |
|
![]()
|
|
|
Structure Proposal # 2128 OMYRSGCDGCDYDR Deviation = 4.98ppm
Search WEB for skeleton |
|
![]()
|
|
|
Structure Proposal # 2129 WLPATDOVUSETGU Deviation = 4.98ppm
Search WEB for skeleton |
|
![]()
|
|
|
Structure Proposal # 2130 LQINUYYELGCFKP Deviation = 4.98ppm
Search WEB for skeleton |
|
![]()
|
|
|
Structure Proposal # 2131 VYUXSHVXZHFCGV Deviation = 4.98ppm
Search WEB for skeleton |
|
![]()
|
|
|
Structure Proposal # 2132 YAFWBBBAZCSYIR Deviation = 4.98ppm
Search WEB for skeleton |
|
![]()
|
|
|
Structure Proposal # 2133 YASZFNHUSHIDCS Deviation = 4.98ppm
Search WEB for skeleton |
|
![]()
|
|
|
Structure Proposal # 2134 WNYXSTIWLUZZCQ Deviation = 4.98ppm
Search WEB for skeleton |
|
![]()
|
|
|
Structure Proposal # 2135 BUXADFUPAVYBGN Deviation = 4.98ppm
Search WEB for skeleton |
|
![]()
|
|
|
Structure Proposal # 2136 BQUBEWYLXJPEIH Deviation = 4.98ppm
Search WEB for skeleton |
|
![]()
|
|
|
Structure Proposal # 2137 BOZJWXFVNALJKZ Deviation = 4.98ppm
Search WEB for skeleton |
|
![]()
|
|
|
Structure Proposal # 2138 AMENSQPKWQTCNS Deviation = 4.98ppm
Search WEB for skeleton respect to your proposal |
|
![]()
|
|
|
Structure Proposal # 2139 OWNDJFFYJHAVDD Deviation = 4.98ppm
Search WEB for skeleton |
|
![]()
|
|
|
Structure Proposal # 2140 GLTWZIJAWLLZMD Deviation = 4.98ppm
Search WEB for skeleton |
|
![]()
|
|
|
Structure Proposal # 2141 APISYFNSSBYRJM Deviation = 4.98ppm
Search WEB for skeleton respect to your proposal |
|
![]()
|
|
|
Structure Proposal # 2142 ZUOYCKOLYBZTDB Deviation = 4.99ppm
Search WEB for skeleton |
|
![]()
|
|
|
Structure Proposal # 2143 ZZLFJGILPILWPH Deviation = 4.99ppm
Search WEB for skeleton |
|
![]()
|
|
|
Structure Proposal # 2144 AGWWUTXQSGUXHU Deviation = 4.99ppm
Search WEB for skeleton |
|
![]()
|
|
|
Structure Proposal # 2145 VFQWEKVSLPKETL Deviation = 4.99ppm
Search WEB for skeleton |
|
![]()
|
|
|
Structure Proposal # 2146 JVCVHYBMXOWUFO Deviation = 4.99ppm
Search WEB for skeleton |
|
![]()
|
|
|
Structure Proposal # 2147 PKHKYMVWOTUCRX Deviation = 4.99ppm
Search WEB for skeleton |
|
![]()
|
|
|
Structure Proposal # 2148 OOKJQZYJHRTEAE Deviation = 4.99ppm
Search WEB for skeleton |
|
![]()
|
|
|
Structure Proposal # 2149 ZYBRSOKBBIRYGH Deviation = 4.99ppm
Search WEB for skeleton |
|
![]()
|
|
|
Structure Proposal # 2150 VSSKSPBYZFJXEF Deviation = 4.99ppm
Search WEB for skeleton respect to your proposal |
|
![]()
|
|
|
Structure Proposal # 2151 TWISVPSKGJFERJ Deviation = 4.99ppm
Search WEB for skeleton |
|
![]()
|
|
|
Structure Proposal # 2152 ZXAKTBLTHIYBQI Deviation = 4.99ppm
Search WEB for skeleton respect to your proposal |
|
![]()
|
|
|
Structure Proposal # 2153 QFJHCYRAFSIODO Deviation = 4.99ppm
Search WEB for skeleton |
|
![]()
|
|
|
Structure Proposal # 2154 WPSQBTAQMAHEQF Deviation = 5.00ppm
Search WEB for skeleton |
|
![]()
|
|
|
Structure Proposal # 2155 KNEIBKCDWAFMBZ Deviation = 5.00ppm
Search WEB for skeleton respect to your proposal |
|
![]()
|
|
|
Structure Proposal # 2156 JMFPVQJRFQOEOP Deviation = 5.00ppm
Search WEB for skeleton respect to your proposal |
|
![]()
|
|
|
Structure Proposal # 2157 ZRYRBBSTZAJCMJ Deviation = 5.00ppm
Search WEB for skeleton |
|
![]()
|
|
|
Structure Proposal # 2158 OGZIUDSVCMHJEE Deviation = 5.00ppm
Search WEB for skeleton |
|
![]()
|
|
|
Structure Proposal # 2159 LLSWWPGHDJNARF Deviation = 5.00ppm
Search WEB for skeleton |
|
![]()
|
|
|
Structure Proposal # 2160 FLRPNSKUGCVRRB Deviation = 5.00ppm
Search WEB for skeleton respect to your proposal Compound from PUBCHEM CSEARCH ![]() |
|
![]()
|
|
|
Structure Proposal # 2161 ZTNCRTANDZKEET Deviation = 5.00ppm
Search WEB for skeleton |
|
![]()
|
|
|
Structure Proposal # 2162 FTTVXIBJRRXHFO Deviation = 5.00ppm
Search WEB for skeleton |
|
![]()
|
|
|
Structure Proposal # 2163 MUXLFCQAWRAYPP Deviation = 5.00ppm
Search WEB for skeleton |
|
![]()
|
|
|
Structure Proposal # 2164 LZDMHPZPNGZGBX Deviation = 5.00ppm
Search WEB for skeleton |
|
![]()
|
|
|
Structure Proposal # 2165 YVEMFADLKDCWFM Deviation = 5.00ppm
Search WEB for skeleton |
|
![]()
|
|
|
Structure Proposal # 2166 VJWQJWZMNHNLBL Deviation = 5.00ppm
Search WEB for skeleton respect to your proposal |
|
![]()
|
|
|
Structure Proposal # 2167 VBZKGMBLHCFSRB Deviation = 5.00ppm
Search WEB for skeleton respect to your proposal |
|
![]()
|
|
|
Structure Proposal # 2168 IWVCPSNSGPDOGP Deviation = 5.00ppm
Search WEB for skeleton |
|
![]()
|
|
|
Structure Proposal # 2169 MKMTZBANQKEBMN Deviation = 5.00ppm
Search WEB for skeleton |
|
![]()
|
|
|
Structure Proposal # 2170 AIDBCYHDHSKCGV Deviation = 5.00ppm
Search WEB for skeleton respect to your proposal |
|
![]()
|
|
|
Structure Proposal # 2171 OEYZWVSNQCFDPQ Deviation = 5.00ppm
Search WEB for skeleton |
|
![]()
|
|
|
Structure Proposal # 2172 ODPJHGWXNNAHKS Deviation = 5.00ppm
Search WEB for skeleton |
|
![]()
|
|
|
Structure Proposal # 2173 SHEZLPAATWBVHI Deviation = 5.01ppm
Search WEB for skeleton respect to your proposal |
|
![]()
|
|
|
Structure Proposal # 2174 WMVJNJGIFUVVCF Deviation = 5.01ppm
Search WEB for skeleton |
|
![]()
|
|
|
Structure Proposal # 2175 GVLNMLGJZRHGNP Deviation = 5.01ppm
Search WEB for skeleton |
|
![]()
|
|
|
Structure Proposal # 2176 NZRVUDZOWPBZRW Deviation = 5.01ppm
Search WEB for skeleton |
|
![]()
|
|
|
Structure Proposal # 2177 HRQHAABSFROZRR Deviation = 5.01ppm
Search WEB for skeleton |
|
![]()
|
|
|
Structure Proposal # 2178 UAXKNSGWGRTIRS Deviation = 5.01ppm
Search WEB for skeleton |
|
![]()
|
|
|
Structure Proposal # 2179 JAMFTCILIXDJLB Deviation = 5.01ppm
Search WEB for skeleton |
|
![]()
|
|
|
Structure Proposal # 2180 MCNPBTRPZZMEPA Deviation = 5.01ppm
Search WEB for skeleton |
|
![]()
|
|
|
Structure Proposal # 2181 ZOYOVKKINSKUAL Deviation = 5.01ppm
Search WEB for skeleton respect to your proposal |
|
![]()
|
|
|
Structure Proposal # 2182 BVMMEGWVHFDJEQ Deviation = 5.01ppm
Search WEB for skeleton |
|
![]()
|
|
|
Structure Proposal # 2183 GZUUNUYMVUYNCU Deviation = 5.01ppm
Search WEB for skeleton |
|
![]()
|
|
|
Structure Proposal # 2184 XBOMWAMVNLQXGB Deviation = 5.02ppm
Search WEB for skeleton |
|
![]()
|
|
|
Structure Proposal # 2185 QEDIAAAQZXFELN Deviation = 5.02ppm
Search WEB for skeleton |
|
![]()
|
|
|
Structure Proposal # 2186 KMNNGVPIMZXZHH Deviation = 5.02ppm
Search WEB for skeleton |
|
![]()
|
|
|
Structure Proposal # 2187 KPDFZKGUPBGZAA Deviation = 5.02ppm
Search WEB for skeleton |
|
![]()
|
|
|
Structure Proposal # 2188 VZKYPBHZVFWOPU Deviation = 5.02ppm
Search WEB for skeleton |
|
![]()
|
|
|
Structure Proposal # 2189 GGDZCRIILMZDBP Deviation = 5.02ppm
Search WEB for skeleton |
|
![]()
|
|
|
Structure Proposal # 2190 GUCJUXTVYOWYJT Deviation = 5.02ppm
Search WEB for skeleton respect to your proposal |
|
![]()
|
|
|
Structure Proposal # 2191 DAQBTUNGRQSYBR Deviation = 5.02ppm
Search WEB for skeleton |
|
![]()
|
|
|
Structure Proposal # 2192 SUWHXGJWKVLFAB Deviation = 5.02ppm
Search WEB for skeleton |
|
![]()
|
|
|
Structure Proposal # 2193 NIKANTVPKLNQFZ Deviation = 5.02ppm
Search WEB for skeleton |
|
![]()
|
|
|
Structure Proposal # 2194 GKTPXYPJMKXRJK Deviation = 5.02ppm
Search WEB for skeleton |
|
![]()
|
|
|
Structure Proposal # 2195 SGBNTPMMQHGCOA Deviation = 5.02ppm
Search WEB for skeleton |
|
![]()
|
|
|
Structure Proposal # 2196 ONYPUTHYFRLXKA Deviation = 5.02ppm
Search WEB for skeleton |
|
![]()
|
|
|
Structure Proposal # 2197 HLYZLJGUZYDASB Deviation = 5.02ppm
Search WEB for skeleton |
|
![]()
|
|
|
Structure Proposal # 2198 ZDIXWKCVDIIEOC Deviation = 5.02ppm
Search WEB for skeleton |
|
![]()
|
|
|
Structure Proposal # 2199 ODUROHMFPXOMPO Deviation = 5.02ppm
Search WEB for skeleton |
|
![]()
|
|
|
Structure Proposal # 2200 CCAXZDKUHLIGDZ Deviation = 5.02ppm
Search WEB for skeleton respect to your proposal |
|
![]()
|
|
|
Structure Proposal # 2201 SZGLKMDJSLUIAI Deviation = 5.02ppm
Search WEB for skeleton |
|
![]()
|
|
|
Structure Proposal # 2202 ORDSNNTZFLMDRT Deviation = 5.03ppm
Search WEB for skeleton respect to your proposal |
|
![]()
|
|
|
Structure Proposal # 2203 QTWXTHHEMYLUOB Deviation = 5.03ppm
Search WEB for skeleton respect to your proposal |
|
![]()
|
|
|
Structure Proposal # 2204 CCBSQUMERSCQBT Deviation = 5.03ppm
Search WEB for skeleton |
|
![]()
|
|
|
Structure Proposal # 2205 BNCMARKMTBIMDV Deviation = 5.03ppm
Search WEB for skeleton |
|
![]()
|
|
|
Structure Proposal # 2206 JYZIINCHNXUAMW Deviation = 5.03ppm
Search WEB for skeleton |
|
![]()
|
|
|
Structure Proposal # 2207 IBINBULFAUKXOP Deviation = 5.03ppm
Search WEB for skeleton |
|
![]()
|
|
|
Structure Proposal # 2208 FECSGBNFTKULBS Deviation = 5.03ppm
Search WEB for skeleton |
|
![]()
|
|
|
Structure Proposal # 2209 YKSZQWINUOYSHP Deviation = 5.03ppm
Search WEB for skeleton respect to your proposal |
|
![]()
|
|
|
Structure Proposal # 2210 PLWUPDJXRCGSNM Deviation = 5.03ppm
Search WEB for skeleton |
|
![]()
|
|
|
Structure Proposal # 2211 FPUJFVOMSPBTTL Deviation = 5.03ppm
Search WEB for skeleton |
|
![]()
|
|
|
Structure Proposal # 2212 BQZRHYWPFWVNIT Deviation = 5.03ppm
Search WEB for skeleton |
|
![]()
|
|
|
Structure Proposal # 2213 ALOZWKMTTRHPAP Deviation = 5.03ppm
Search WEB for skeleton |
|
![]()
|
|
|
Structure Proposal # 2214 ANDTURHTFIENMS Deviation = 5.03ppm
Search WEB for skeleton |
|
![]()
|
|
|
Structure Proposal # 2215 DSKQUGMEXZCOBD Deviation = 5.03ppm
Search WEB for skeleton |
|
![]()
|
|
|
Structure Proposal # 2216 IHYSDALAHZNIQT Deviation = 5.03ppm
Search WEB for skeleton |
|
![]()
|
|
|
Structure Proposal # 2217 HQWMTZHKJGOFCS Deviation = 5.03ppm
Search WEB for skeleton |
|
![]()
|
|
|
Structure Proposal # 2218 GOTFGIXARBFDGO Deviation = 5.03ppm
Search WEB for skeleton |
|
![]()
|
|
|
Structure Proposal # 2219 HPAYXBWVURRJSO Deviation = 5.03ppm
Search WEB for skeleton |
|
![]()
|
|
|
Structure Proposal # 2220 WHXCFUITNXQKHZ Deviation = 5.04ppm
Search WEB for skeleton |
|
![]()
|
|
|
Structure Proposal # 2221 AYOIZWAWAYZMPR Deviation = 5.04ppm
Search WEB for skeleton |
|
![]()
|
|
|
Structure Proposal # 2222 KCBBBLFDYDDMBJ Deviation = 5.04ppm
Search WEB for skeleton |
|
![]()
|
|
|
Structure Proposal # 2223 XVTGEHBBTXCFLI Deviation = 5.04ppm
Search WEB for skeleton |
|
![]()
|
|
|
Structure Proposal # 2224 QZBNQRRWIOPJRL Deviation = 5.04ppm
Search WEB for skeleton |
|
![]()
|
|
|
Structure Proposal # 2225 JQOULTLHDWWXMV Deviation = 5.04ppm
Search WEB for skeleton |
|
![]()
|
|
|
Structure Proposal # 2226 XVYYAYCLOOCSPK Deviation = 5.04ppm
Search WEB for skeleton |
|
![]()
|
|
|
Structure Proposal # 2227 FMNHPEHZNOPUIZ Deviation = 5.04ppm
Search WEB for skeleton |
|
![]()
|
|
|
Structure Proposal # 2228 SMAKOIYJPHYHAL Deviation = 5.04ppm
Search WEB for skeleton respect to your proposal |
|
![]()
|
|
|
Structure Proposal # 2229 KXMHZIORRFCTSA Deviation = 5.04ppm
Search WEB for skeleton |
|
![]()
|
|
|
Structure Proposal # 2230 QYDYJQXPBNPYNH Deviation = 5.04ppm
Search WEB for skeleton |
|
![]()
|
|
|
Structure Proposal # 2231 OJPWJVGCPWSPTI Deviation = 5.04ppm
Search WEB for skeleton |
|
![]()
|
|
|
Structure Proposal # 2232 XIZAGKYWFAUDDK Deviation = 5.04ppm
Search WEB for skeleton |
|
![]()
|
|
|
Structure Proposal # 2233 BHWCXJCVPSDLRJ Deviation = 5.04ppm
Search WEB for skeleton respect to your proposal |
|
![]()
|
|
|
Structure Proposal # 2234 ITAYETFWEKNORV Deviation = 5.04ppm
Search WEB for skeleton |
|
![]()
|
|
|
Structure Proposal # 2235 ATDQVNBLDXLYEG Deviation = 5.04ppm
Search WEB for skeleton |
|
![]()
|
|
|
Structure Proposal # 2236 BCHJKHRWKOOPDL Deviation = 5.04ppm
Search WEB for skeleton |
|
![]()
|
|
|
Structure Proposal # 2237 UDPVKQNOVSQIQL Deviation = 5.04ppm
Search WEB for skeleton |
|
![]()
|
|
|
Structure Proposal # 2238 VZBXMPMMRUCRGS Deviation = 5.05ppm
Search WEB for skeleton |
|
![]()
|
|
|
Structure Proposal # 2239 NMUUTSPCYMSTKX Deviation = 5.05ppm
Search WEB for skeleton |
|
![]()
|
|
|
Structure Proposal # 2240 HLXQVAWTCFLQRE Deviation = 5.05ppm
Search WEB for skeleton |
|
![]()
|
|
|
Structure Proposal # 2241 NTEQQYNAXRSVIA Deviation = 5.05ppm
Search WEB for skeleton |
|
![]()
|
|
|
Structure Proposal # 2242 BULOINCRPOPFCP Deviation = 5.05ppm
Search WEB for skeleton |
|
![]()
|
|
|
Structure Proposal # 2243 LBADEHPGUQNVFG Deviation = 5.05ppm
Search WEB for skeleton respect to your proposal |
|
![]()
|
|
|
Structure Proposal # 2244 FACBUMMAMBEVRK Deviation = 5.05ppm
Search WEB for skeleton |
|
![]()
|
|
|
Structure Proposal # 2245 XPXBAKZCTXJCGK Deviation = 5.05ppm
Search WEB for skeleton respect to your proposal |
|
![]()
|
|
|
Structure Proposal # 2246 HUAHHJYUROCNEJ Deviation = 5.05ppm
Search WEB for skeleton |
|
![]()
|
|
|
Structure Proposal # 2247 GVVUGVMQHXOYFE Deviation = 5.05ppm
Search WEB for skeleton |
|
![]()
|
|
|
Structure Proposal # 2248 ZOCLKGZUDNHHOR Deviation = 5.05ppm
Search WEB for skeleton |
|
![]()
|
|
|
Structure Proposal # 2249 PICCGZMIXPEVSM Deviation = 5.05ppm
Search WEB for skeleton respect to your proposal |
|
![]()
|
|
|
Structure Proposal # 2250 DRQQSMSCHVLBFT Deviation = 5.05ppm
Search WEB for skeleton respect to your proposal |
|
![]()
|
|
|
Structure Proposal # 2251 OQRWZZNRVRJPDK Deviation = 5.05ppm
Search WEB for skeleton |
|
![]()
|
|
|
Structure Proposal # 2252 SMAOQUHADXSWCF Deviation = 5.05ppm
Search WEB for skeleton |
|
![]()
|
|
|
Structure Proposal # 2253 BLEPMBWOKLMPKB Deviation = 5.05ppm
Search WEB for skeleton |
|
![]()
|
|
|
Structure Proposal # 2254 HIBSSNFHZPRNAS Deviation = 5.05ppm
Search WEB for skeleton |
|
![]()
|
|
|
Structure Proposal # 2255 DXUODTNNYGSZMP Deviation = 5.05ppm
Search WEB for skeleton |
|
![]()
|
|
|
Structure Proposal # 2256 MCRXRKQNDKHXLA Deviation = 5.05ppm
Search WEB for skeleton |
|
![]()
|
|
|
Structure Proposal # 2257 ITDCYKYQIWOVLO Deviation = 5.05ppm
Search WEB for skeleton |
|
![]()
|
|
|
Structure Proposal # 2258 YMOFRUVDHCJCFL Deviation = 5.06ppm
Search WEB for skeleton |
|
![]()
|
|
|
Structure Proposal # 2259 KGPZVOUZRNVHOR Deviation = 5.06ppm
Search WEB for skeleton |
|
![]()
|
|
|
Structure Proposal # 2260 KRTQLFOWSUUPHE Deviation = 5.06ppm
Search WEB for skeleton |
|
![]()
|
|
|
Structure Proposal # 2261 FVSCNTMXIPRTNI Deviation = 5.06ppm
Search WEB for skeleton |
|
![]()
|
|
|
Structure Proposal # 2262 QANMFJYYSDBPKA Deviation = 5.06ppm
Search WEB for skeleton |
|
![]()
|
|
|
Structure Proposal # 2263 FUFTVUCYYJLSPD Deviation = 5.06ppm
Search WEB for skeleton |
|
![]()
|
|
|
Structure Proposal # 2264 IITXPHDRGBCVNF Deviation = 5.06ppm
Search WEB for skeleton |
|
![]()
|
|
|
Structure Proposal # 2265 JQTUHUOBBBKGEB Deviation = 5.06ppm
Search WEB for skeleton |
|
![]()
|
|
|
Structure Proposal # 2266 YEQBZXPLCOKVHM Deviation = 5.06ppm
Search WEB for skeleton |
|
![]()
|
|
|
Structure Proposal # 2267 GNUBGABGLUFRCF Deviation = 5.06ppm
Search WEB for skeleton |
|
![]()
|
|
|
Structure Proposal # 2268 UJBNSZHEIKYPQN Deviation = 5.06ppm
Search WEB for skeleton |
|
![]()
|
|
|
Structure Proposal # 2269 GLOLAHQWRFYEPV Deviation = 5.06ppm
Search WEB for skeleton respect to your proposal |
|
![]()
|
|
|
Structure Proposal # 2270 KSYREAXWHUHOSE Deviation = 5.06ppm
Search WEB for skeleton |
|
![]()
|
|
|
Structure Proposal # 2271 HZOYZUQNQVOQPF Deviation = 5.07ppm
Search WEB for skeleton |
|
![]()
|
|
|
Structure Proposal # 2272 USEDODBPDNNMBP Deviation = 5.07ppm
Search WEB for skeleton |
|
![]()
|
|
|
Structure Proposal # 2273 QNNOVYMUTUTQOH Deviation = 5.07ppm
Search WEB for skeleton |
|
![]()
|
|
|
Structure Proposal # 2274 XIXZJYXZACPJRS Deviation = 5.07ppm
Search WEB for skeleton respect to your proposal |
|
![]()
|
|
|
Structure Proposal # 2275 IEBUKPRYZDAANT Deviation = 5.07ppm
Search WEB for skeleton respect to your proposal |
|
![]()
|
|
|
Structure Proposal # 2276 PBIJNVYFEWSEPN Deviation = 5.07ppm
Search WEB for skeleton |
|
![]()
|
|
|
Structure Proposal # 2277 PFYMDYZZWSCEHV Deviation = 5.07ppm
Search WEB for skeleton |
|
![]()
|
|
|
Structure Proposal # 2278 WDENVNWHSSBVGS Deviation = 5.07ppm
Search WEB for skeleton |
|
![]()
|
|
|
Structure Proposal # 2279 FZQYUIBTNZZQHD Deviation = 5.07ppm
Search WEB for skeleton |
|
![]()
|
|
|
Structure Proposal # 2280 NIDSXAFYKJQMFL Deviation = 5.07ppm
Search WEB for skeleton |
|
![]()
|
|
|
Structure Proposal # 2281 MDOQIKYEJDTSLM Deviation = 5.07ppm
Search WEB for skeleton |
|
![]()
|
|
|
Structure Proposal # 2282 HMUGUGUJKUNZIX Deviation = 5.07ppm
Search WEB for skeleton |
|
![]()
|
|
|
Structure Proposal # 2283 ZAZFTHYKRWNUJQ Deviation = 5.07ppm
Search WEB for skeleton |
|
![]()
|
|
|
Structure Proposal # 2284 HOUNCKQOVLNOPJ Deviation = 5.08ppm
Search WEB for skeleton respect to your proposal |
|
![]()
|
|
|
Structure Proposal # 2285 FITDOEGTTUUPAA Deviation = 5.08ppm
Search WEB for skeleton |
|
![]()
|
|
|
Structure Proposal # 2286 RSHSAKJPWWRWQL Deviation = 5.08ppm
Search WEB for skeleton |
|
![]()
|
|
|
Structure Proposal # 2287 DZEBYANVSLSBHC Deviation = 5.08ppm
Search WEB for skeleton |
|
![]()
|
|
|
Structure Proposal # 2288 HDECVTQUFXLJOI Deviation = 5.08ppm
Search WEB for skeleton |
|
![]()
|
|
|
Structure Proposal # 2289 SRHIRLFSQZROBP Deviation = 5.08ppm
Search WEB for skeleton |
|
![]()
|
|
|
Structure Proposal # 2290 FKVQMSLWEFJGSH Deviation = 5.08ppm
Search WEB for skeleton |
|
![]()
|
|
|
Structure Proposal # 2291 KDRPYIJYFLPSEJ Deviation = 5.08ppm
Search WEB for skeleton |
|
![]()
|
|
|
Structure Proposal # 2292 QYYCRAWRSWLKDI Deviation = 5.08ppm
Search WEB for skeleton respect to your proposal |
|
![]()
|
|
|
Structure Proposal # 2293 LZISVZURZNMQRP Deviation = 5.08ppm
Search WEB for skeleton |
|
![]()
|
|
|
Structure Proposal # 2294 WZRDENWQPCCXKV Deviation = 5.08ppm
Search WEB for skeleton |
|
![]()
|
|
|
Structure Proposal # 2295 PZLDSTITKPMDHS Deviation = 5.08ppm
Search WEB for skeleton |
|
![]()
|
|
|
Structure Proposal # 2296 CINGSDPAMLWEJR Deviation = 5.08ppm
Search WEB for skeleton |
|
![]()
|
|
|
Structure Proposal # 2297 ZUNUUWASBHPSSZ Deviation = 5.08ppm
Search WEB for skeleton |
|
![]()
|
|
|
Structure Proposal # 2298 OKYZQZWPFVARRC Deviation = 5.08ppm
Search WEB for skeleton |
|
![]()
|
|
|
Structure Proposal # 2299 RPVVZDNIWGYGLS Deviation = 5.08ppm
Search WEB for skeleton |
|
![]()
|
|
|
Structure Proposal # 2300 QYAXTCPEIXWMKF Deviation = 5.09ppm
Search WEB for skeleton |
|
![]()
|
|
|
Structure Proposal # 2301 OCSMGUZMYYQMGP Deviation = 5.09ppm
Search WEB for skeleton respect to your proposal |
|
![]()
|
|
|
Structure Proposal # 2302 ZAUFYOXEULRCCP Deviation = 5.09ppm
Search WEB for skeleton |
|
![]()
|
|
|
Structure Proposal # 2303 PGOPSAVHCOXCQG Deviation = 5.09ppm
Search WEB for skeleton |
|
![]()
|
|
|
Structure Proposal # 2304 CEZXWMSBYXOCSD Deviation = 5.09ppm
Search WEB for skeleton |
|
![]()
|
|
|
Structure Proposal # 2305 JPBVDQOKIHJJLT Deviation = 5.09ppm
Search WEB for skeleton |
|
![]()
|
|
|
Structure Proposal # 2306 JIVNBPAXTNTVTL Deviation = 5.09ppm
Search WEB for skeleton |
|
![]()
|
|
|
Structure Proposal # 2307 RZGDTOZEBSVLDF Deviation = 5.09ppm
Search WEB for skeleton |
|
![]()
|
|
|
Structure Proposal # 2308 PWVJGLWXGPWHCF Deviation = 5.09ppm
Search WEB for skeleton |
|
![]()
|
|
|
Structure Proposal # 2309 GAPFRUXJCZSKTR Deviation = 5.09ppm
Search WEB for skeleton respect to your proposal |
|
![]()
|
|
|
Structure Proposal # 2310 SMYMVUDJXDGOBC Deviation = 5.09ppm
Search WEB for skeleton respect to your proposal |
|
![]()
|
|
|
Structure Proposal # 2311 ZFXUVJLQENQWEK Deviation = 5.09ppm
Search WEB for skeleton |
|
![]()
|
|
|
Structure Proposal # 2312 YQNCVMJLZYUBEW Deviation = 5.10ppm
Search WEB for skeleton |
|
![]()
|
|
|
Structure Proposal # 2313 CXYVWQKREZFWRS Deviation = 5.10ppm
Search WEB for skeleton respect to your proposal |
|
![]()
|
|
|
Structure Proposal # 2314 FBKJAIKKCIXWPD Deviation = 5.10ppm
Search WEB for skeleton |
|
![]()
|
|
|
Structure Proposal # 2315 JAPQZBXJPTUDTJ Deviation = 5.10ppm
Search WEB for skeleton |
|
![]()
|
|
|
Structure Proposal # 2316 HCNJXOISAALULA Deviation = 5.10ppm
Search WEB for skeleton |
|
![]()
|
|
|
Structure Proposal # 2317 QCTAIRPJAGZHHN Deviation = 5.10ppm
Search WEB for skeleton |
|
![]()
|
|
|
Structure Proposal # 2318 QBCNNMQQJRRLQY Deviation = 5.10ppm
Search WEB for skeleton |
|
![]()
|
|
|
Structure Proposal # 2319 NPZGEXIZDAISAJ Deviation = 5.10ppm
Search WEB for skeleton |
|
![]()
|
|
|
Structure Proposal # 2320 XCVUJTWVFZZMOT Deviation = 5.10ppm
Search WEB for skeleton respect to your proposal |
|
![]()
|
|
|
Structure Proposal # 2321 NPGPWXPHEPTJQG Deviation = 5.10ppm
Search WEB for skeleton |
|
![]()
|
|
|
Structure Proposal # 2322 ARUBQMDXEQLELB Deviation = 5.10ppm
Search WEB for skeleton |
|
![]()
|
|
|
Structure Proposal # 2323 MZENOJFRNQESNZ Deviation = 5.10ppm
Search WEB for skeleton |
|
![]()
|
|
|
Structure Proposal # 2324 AQLWWALACRCMBE Deviation = 5.10ppm
Search WEB for skeleton |
|
![]()
|
|
|
Structure Proposal # 2325 DIDFNCXMNGMPQO Deviation = 5.10ppm
Search WEB for skeleton |
|
![]()
|
|
|
Structure Proposal # 2326 NWXHPWOMWCGXPA Deviation = 5.10ppm
Search WEB for skeleton respect to your proposal |
|
![]()
|
|
|
Structure Proposal # 2327 XLYQCVQHJUYLSE Deviation = 5.10ppm
Search WEB for skeleton |
|
![]()
|
|
|
Structure Proposal # 2328 JVTNWCXDTNHEDR Deviation = 5.10ppm
Search WEB for skeleton |
|
![]()
|
|
|
Structure Proposal # 2329 PBWNGTMWRHUSCH Deviation = 5.10ppm
Search WEB for skeleton |
|
![]()
|
|
|
Structure Proposal # 2330 WQHGSFUMLUQDFM Deviation = 5.10ppm
Search WEB for skeleton |
|
![]()
|
|
|
Structure Proposal # 2331 NHWCDOXZVJCWHY Deviation = 5.10ppm
Search WEB for skeleton respect to your proposal |
|
![]()
|
|
|
Structure Proposal # 2332 CFYHBUQZIMZQMV Deviation = 5.11ppm
Search WEB for skeleton |
|
![]()
|
|
|
Structure Proposal # 2333 QXEHKURKYJCLNC Deviation = 5.11ppm
Search WEB for skeleton |
|
![]()
|
|
|
Structure Proposal # 2334 QVXIBOYXPFSFTB Deviation = 5.11ppm
Search WEB for skeleton |
|
![]()
|
|
|
Structure Proposal # 2335 PVEGXBFAWRSXBI Deviation = 5.11ppm
Search WEB for skeleton |
|
![]()
|
|
|
Structure Proposal # 2336 WBWWYCAHLASPNI Deviation = 5.11ppm
Search WEB for skeleton |
|
![]()
|
|
|
Structure Proposal # 2337 BXTXIDIYCNQZDB Deviation = 5.11ppm
Search WEB for skeleton |
|
![]()
|
|
|
Structure Proposal # 2338 BKXWYKWBFZHDKQ Deviation = 5.11ppm
Search WEB for skeleton |
|
![]()
|
|
|
Structure Proposal # 2339 FRXPBTDOCQDWQW Deviation = 5.11ppm
Search WEB for skeleton |
|
![]()
|
|
|
Structure Proposal # 2340 XAXDSVABFYVIQM Deviation = 5.11ppm
Search WEB for skeleton |
|
![]()
|
|
|
Structure Proposal # 2341 BQZNQBWAOXYANH Deviation = 5.11ppm
Search WEB for skeleton |
|
![]()
|
|
|
Structure Proposal # 2342 WFIIGXADCGXDMX Deviation = 5.11ppm
Search WEB for skeleton |
|
![]()
|
|
|
Structure Proposal # 2343 WRJXERVWRMUKAR Deviation = 5.11ppm
Search WEB for skeleton |
|
![]()
|
|
|
Structure Proposal # 2344 BHCHACIRNBNWFX Deviation = 5.11ppm
Search WEB for skeleton |
|
![]()
|
|
|
Structure Proposal # 2345 PRXIZZISYFOSSM Deviation = 5.11ppm
Search WEB for skeleton respect to your proposal |
|
![]()
|
|
|
Structure Proposal # 2346 HMESRLLCXKAJBF Deviation = 5.11ppm
Search WEB for skeleton |
|
![]()
|
|
|
Structure Proposal # 2347 QOUIEUPDEUGBSK Deviation = 5.11ppm
Search WEB for skeleton |
|
![]()
|
|
|
Structure Proposal # 2348 XIUPFJGSCVMXCY Deviation = 5.12ppm
Search WEB for skeleton respect to your proposal |
|
![]()
|
|
|
Structure Proposal # 2349 QQJZCXJAGFVJLK Deviation = 5.12ppm
Search WEB for skeleton |
|
![]()
|
|
|
Structure Proposal # 2350 WNOXORQWJDZBJS Deviation = 5.12ppm
Search WEB for skeleton |
|
![]()
|
|
|
Structure Proposal # 2351 XMDSCQCPOWYMAD Deviation = 5.12ppm
Search WEB for skeleton respect to your proposal |
|
![]()
|
|
|
Structure Proposal # 2352 HVRVKMUORZFXFK Deviation = 5.12ppm
Search WEB for skeleton |
|
![]()
|
|
|
Structure Proposal # 2353 SKHORJOOLINQBJ Deviation = 5.12ppm
Search WEB for skeleton |
|
![]()
|
|
|
Structure Proposal # 2354 RLHKHHKSUPYIQP Deviation = 5.12ppm
Search WEB for skeleton |
|
![]()
|
|
|
Structure Proposal # 2355 UKLUJKMDMUYFPJ Deviation = 5.12ppm
Search WEB for skeleton |
|
![]()
|
|
|
Structure Proposal # 2356 SHPVXCOJBLWJPX Deviation = 5.12ppm
Search WEB for skeleton |
|
![]()
|
|
|
Structure Proposal # 2357 XTGSQPLBWTTXLQ Deviation = 5.12ppm
Search WEB for skeleton respect to your proposal |
|
![]()
|
|
|
Structure Proposal # 2358 NDLYQLKFKSOFJZ Deviation = 5.12ppm
Search WEB for skeleton |
|
![]()
|
|
|
Structure Proposal # 2359 NRJDOJDKRMYNDG Deviation = 5.12ppm
Search WEB for skeleton |
|
![]()
|
|
|
Structure Proposal # 2360 IWFOADAJVPBOIH Deviation = 5.12ppm
Search WEB for skeleton |
|
![]()
|
|
|
Structure Proposal # 2361 DEDSOASIEVCNOX Deviation = 5.12ppm
Search WEB for skeleton |
|
![]()
|
|
|
Structure Proposal # 2362 JPOLWQKWMFJRFL Deviation = 5.13ppm
Search WEB for skeleton |
|
![]()
|
|
|
Structure Proposal # 2363 INQJMLMYALMSCL Deviation = 5.13ppm
Search WEB for skeleton |
|
![]()
|
|
|
Structure Proposal # 2364 PVXGAPGFXHHMJT Deviation = 5.13ppm
Search WEB for skeleton |
|
![]()
|
|
|
Structure Proposal # 2365 PNQIPIIUEYZFKE Deviation = 5.13ppm
Search WEB for skeleton |
|
![]()
|
|
|
Structure Proposal # 2366 LFLFEWPRWCKEMI Deviation = 5.13ppm
Search WEB for skeleton |
|
![]()
|
|
|
Structure Proposal # 2367 UBZBUMWCJKAJEN Deviation = 5.13ppm
Search WEB for skeleton respect to your proposal |
|
![]()
|
|
|
Structure Proposal # 2368 FOKCWGOHFJTPKH Deviation = 5.13ppm
Search WEB for skeleton |
|
![]()
|
|
|
Structure Proposal # 2369 HHIXEHXMMIPDCJ Deviation = 5.13ppm
Search WEB for skeleton |
|
![]()
|
|
|
Structure Proposal # 2370 ZFYGXOFBZACJFH Deviation = 5.13ppm
Search WEB for skeleton respect to your proposal |
|
![]()
|
|
|
Structure Proposal # 2371 JSFFKXLSEPRGDI Deviation = 5.13ppm
Search WEB for skeleton |
|
![]()
|
|
|
Structure Proposal # 2372 OGMBAXIDVULSSH Deviation = 5.13ppm
Search WEB for skeleton respect to your proposal |
|
![]()
|
|
|
Structure Proposal # 2373 VANQJBWJARBBSD Deviation = 5.13ppm
Search WEB for skeleton |
|
![]()
|
|
|
Structure Proposal # 2374 JGVXVYPFUNYPKX Deviation = 5.13ppm
Search WEB for skeleton respect to your proposal |
|
![]()
|
|
|
Structure Proposal # 2375 HUKAOJNGHUOHOR Deviation = 5.13ppm
Search WEB for skeleton |
|
![]()
|
|
|
Structure Proposal # 2376 ZLHMPXNSSAMXPQ Deviation = 5.13ppm
Search WEB for skeleton |
|
![]()
|
|
|
Structure Proposal # 2377 XRIKABXJLYWQEV Deviation = 5.13ppm
Search WEB for skeleton |
|
![]()
|
|
|
Structure Proposal # 2378 LNGHFFGTLMFHPM Deviation = 5.14ppm
Search WEB for skeleton |
|
![]()
|
|
|
Structure Proposal # 2379 AQEYZGDVNGUWSV Deviation = 5.14ppm
Search WEB for skeleton |
|
![]()
|
|
|
Structure Proposal # 2380 AOBSNLBRNNHUOU Deviation = 5.14ppm
Search WEB for skeleton |
|
![]()
|
|
|
Structure Proposal # 2381 BJLAIPNUHANRHV Deviation = 5.14ppm
Search WEB for skeleton respect to your proposal |
|
![]()
|
|
|
Structure Proposal # 2382 HVTJGCFKHHNKAX Deviation = 5.14ppm
Search WEB for skeleton |
|
![]()
|
|
|
Structure Proposal # 2383 KBFCSSDIRJREFM Deviation = 5.14ppm
Search WEB for skeleton |
|
![]()
|
|
|
Structure Proposal # 2384 NBDUJWXNGVPEJI Deviation = 5.14ppm
Search WEB for skeleton |
|
![]()
|
|
|
Structure Proposal # 2385 ULSPUEVTJYDLSG Deviation = 5.14ppm
Search WEB for skeleton |
|
![]()
|
|
|
Structure Proposal # 2386 FXNXQZPNOVVJPY Deviation = 5.14ppm
Search WEB for skeleton |
|
![]()
|
|
|
Structure Proposal # 2387 SMKLZZXAJYZZSD Deviation = 5.14ppm
Search WEB for skeleton |
|
![]()
|
|
|
Structure Proposal # 2388 MZDXGXJBJBVAQW Deviation = 5.15ppm
Search WEB for skeleton |
|
![]()
|
|
|
Structure Proposal # 2389 JDGMONHEWPVPGI Deviation = 5.15ppm
Search WEB for skeleton respect to your proposal |
|
![]()
|
|
|
Structure Proposal # 2390 QGCRQNLRIWMIHR Deviation = 5.15ppm
Search WEB for skeleton |
|
![]()
|
|
|
Structure Proposal # 2391 VVOXPRVTBNZLRZ Deviation = 5.15ppm
Search WEB for skeleton respect to your proposal |
|
![]()
|
|
|
Structure Proposal # 2392 RDGPGOIIUYYEMO Deviation = 5.15ppm
Search WEB for skeleton |
|
![]()
|
|
|
Structure Proposal # 2393 GFQJCBSNYFFLBU Deviation = 5.15ppm
Search WEB for skeleton |
|
![]()
|
|
|
Structure Proposal # 2394 LBMJVICKMVCNGV Deviation = 5.15ppm
Search WEB for skeleton |
|
![]()
|
|
|
Structure Proposal # 2395 VQORXLNTLIFXGG Deviation = 5.15ppm
Search WEB for skeleton respect to your proposal |
|
![]()
|
|
|
Structure Proposal # 2396 WJFSHYXGGBXAFJ Deviation = 5.15ppm
Search WEB for skeleton |
|
![]()
|
|
|
Structure Proposal # 2397 RCQBGRWKDFBTPB Deviation = 5.15ppm
Search WEB for skeleton respect to your proposal |
|
![]()
|
|
|
Structure Proposal # 2398 BOQPKUNLHOPAHL Deviation = 5.15ppm
Search WEB for skeleton respect to your proposal |
|
![]()
|
|
|
Structure Proposal # 2399 YVWWOVKIFHJVSF Deviation = 5.15ppm
Search WEB for skeleton |
|
![]()
|
|
|
Structure Proposal # 2400 STLOJKYLCBOCLP Deviation = 5.15ppm
Search WEB for skeleton |
|
![]()
|
|
|
Structure Proposal # 2401 JQUWWBYBZOQADM Deviation = 5.15ppm
Search WEB for skeleton |
|
![]()
|
|
|
Structure Proposal # 2402 BBHIKSCNNFAXNB Deviation = 5.15ppm
Search WEB for skeleton respect to your proposal |
|
![]()
|
|
|
Structure Proposal # 2403 ZPIZZIKUOVCPIN Deviation = 5.15ppm
Search WEB for skeleton |
|
![]()
|
|
|
Structure Proposal # 2404 UFVWMZZYEAXXIY Deviation = 5.15ppm
Search WEB for skeleton |
|
![]()
|
|
|
Structure Proposal # 2405 KRCRUTFAXFQNJI Deviation = 5.15ppm
Search WEB for skeleton respect to your proposal |
|
![]()
|
|
|
Structure Proposal # 2406 SHZCFOKXHXTNJK Deviation = 5.16ppm
Search WEB for skeleton |
|
![]()
|
|
|
Structure Proposal # 2407 MCULGDAYYZJZAN Deviation = 5.16ppm
Search WEB for skeleton |
|
![]()
|
|
|
Structure Proposal # 2408 WVVLKOKEWKIQPJ Deviation = 5.16ppm
Search WEB for skeleton respect to your proposal |
|
![]()
|
|
|
Structure Proposal # 2409 UIMBDTOKWDADNP Deviation = 5.16ppm
Search WEB for skeleton |
|
![]()
|
|
|
Structure Proposal # 2410 SSZYZUVPGWZEJT Deviation = 5.16ppm
Search WEB for skeleton respect to your proposal |
|
![]()
|
|
|
Structure Proposal # 2411 QNEFYYQIOKJSGS Deviation = 5.16ppm
Search WEB for skeleton |
|
![]()
|
|
|
Structure Proposal # 2412 GVMOMNXCJOEAQU Deviation = 5.16ppm
Search WEB for skeleton |
|
![]()
|
|
|
Structure Proposal # 2413 NYGNJIXKDQYUPX Deviation = 5.16ppm
Search WEB for skeleton respect to your proposal |
|
![]()
|
|
|
Structure Proposal # 2414 GJBUNOSZVGIJRZ Deviation = 5.16ppm
Search WEB for skeleton |
|
![]()
|
|
|
Structure Proposal # 2415 OWNSYKGCBJKDMB Deviation = 5.16ppm
Search WEB for skeleton |
|
![]()
|
|
|
Structure Proposal # 2416 IFRQSEHKGCJFEA Deviation = 5.16ppm
Search WEB for skeleton |
|
![]()
|
|
|
Structure Proposal # 2417 HMHNMMHVIMBWFJ Deviation = 5.16ppm
Search WEB for skeleton |
|
![]()
|
|
|
Structure Proposal # 2418 XNWAWHPFDMCFHM Deviation = 5.17ppm
Search WEB for skeleton |
|
![]()
|
|
|
Structure Proposal # 2419 LHJJBRTWGXNVIR Deviation = 5.17ppm
Search WEB for skeleton |
|
![]()
|
|
|
Structure Proposal # 2420 JCAYVQIKCIFIFR Deviation = 5.17ppm
Search WEB for skeleton respect to your proposal |
|
![]()
|
|
|
Structure Proposal # 2421 BDVOPNXLQFLGDZ Deviation = 5.17ppm
Search WEB for skeleton respect to your proposal |
|
![]()
|
|
|
Structure Proposal # 2422 OIJOSBOXDSRPJN Deviation = 5.17ppm
Search WEB for skeleton |
|
![]()
|
|
|
Structure Proposal # 2423 RWORKZQGXKMRDA Deviation = 5.17ppm
Search WEB for skeleton respect to your proposal |
|
![]()
|
|
|
Structure Proposal # 2424 HDDFLQYYDLVYEV Deviation = 5.17ppm
Search WEB for skeleton |
|
![]()
|
|
|
Structure Proposal # 2425 BMECZXRHGUHTRG Deviation = 5.17ppm
Search WEB for skeleton |
|
![]()
|
|
|
Structure Proposal # 2426 CJZFHQSLZVXZQR Deviation = 5.17ppm
Search WEB for skeleton respect to your proposal |
|
![]()
|
|
|
Structure Proposal # 2427 UHAKLGFGHFSBJG Deviation = 5.17ppm
Search WEB for skeleton |
|
![]()
|
|
|
Structure Proposal # 2428 HIXPSTBOYZNRHV Deviation = 5.17ppm
Search WEB for skeleton |
|
![]()
|
|
|
Structure Proposal # 2429 DKAHPHMMSTXHPG Deviation = 5.17ppm
Search WEB for skeleton |
|
![]()
|
|
|
Structure Proposal # 2430 AMXQKMABFZMTTF Deviation = 5.17ppm
Search WEB for skeleton |
|
![]()
|
|
|
Structure Proposal # 2431 WZBOUMYQVNPTLO Deviation = 5.17ppm
Search WEB for skeleton respect to your proposal |
|
![]()
|
|
|
Structure Proposal # 2432 ONVKXQLGBJUREF Deviation = 5.17ppm
Search WEB for skeleton |
|
![]()
|
|
|
Structure Proposal # 2433 NWIOHIMHCQCSEM Deviation = 5.18ppm
Search WEB for skeleton |
|
![]()
|
|
|
Structure Proposal # 2434 YZFMDQWDEAYSFK Deviation = 5.18ppm
Search WEB for skeleton respect to your proposal |
|
![]()
|
|
|
Structure Proposal # 2435 ARLKAILWUXTNPU Deviation = 5.18ppm
Search WEB for skeleton |
|
![]()
|
|
|
Structure Proposal # 2436 GJAKKLPKNAHYDE Deviation = 5.18ppm
Search WEB for skeleton |
|
![]()
|
|
|
Structure Proposal # 2437 JKZYVJJWHVTUKI Deviation = 5.18ppm
Search WEB for skeleton |
|
![]()
|
|
|
Structure Proposal # 2438 ZCBCPBJQZGIUBF Deviation = 5.18ppm
Search WEB for skeleton |
|
![]()
|
|
|
Structure Proposal # 2439 UCNCAMNHJKPXAZ Deviation = 5.18ppm
Search WEB for skeleton |
|
![]()
|
|
|
Structure Proposal # 2440 MRLOTMKPQGNODZ Deviation = 5.18ppm
Search WEB for skeleton |
|
![]()
|
|
|
Structure Proposal # 2441 KYHWTWGKINUYKB Deviation = 5.18ppm
Search WEB for skeleton |
|
![]()
|
|
|
Structure Proposal # 2442 IRVQUYWARUTOHL Deviation = 5.18ppm
Search WEB for skeleton respect to your proposal |
|
![]()
|
|
|
Structure Proposal # 2443 IAGQSLUGACTJOV Deviation = 5.18ppm
Search WEB for skeleton respect to your proposal |
|
![]()
|
|
|
Structure Proposal # 2444 NZAHYUZCBGJSMA Deviation = 5.18ppm
Search WEB for skeleton |
|
![]()
|
|
|
Structure Proposal # 2445 XBZWQCCQRGCDNS Deviation = 5.18ppm
Search WEB for skeleton |
|
![]()
|
|
|
Structure Proposal # 2446 HJICKDSVMKGRIN Deviation = 5.18ppm
Search WEB for skeleton |
|
![]()
|
|
|
Structure Proposal # 2447 QBVQQIUAAUPBIT Deviation = 5.18ppm
Search WEB for skeleton |
|
![]()
|
|
|
Structure Proposal # 2448 VDJHWSLTJCGQOR Deviation = 5.18ppm
Search WEB for skeleton |
|
![]()
|
|
|
Structure Proposal # 2449 FPOHKGQQELCGDZ Deviation = 5.18ppm
Search WEB for skeleton |
|
![]()
|
|
|
Structure Proposal # 2450 XIOHHTKKRLEHQN Deviation = 5.18ppm
Search WEB for skeleton respect to your proposal |
|
![]()
|
|
|
Structure Proposal # 2451 NKMASIYNXRLPIB Deviation = 5.18ppm
Search WEB for skeleton |
|
![]()
|
|
|
Structure Proposal # 2452 FQCHGRGMTOYWSZ Deviation = 5.18ppm
Search WEB for skeleton respect to your proposal |
|
![]()
|
|
|
Structure Proposal # 2453 MKIWIXLUDSJUGL Deviation = 5.19ppm
Search WEB for skeleton respect to your proposal |
|
![]()
|
|
|
Structure Proposal # 2454 CDUXHPYDAUFROI Deviation = 5.19ppm
Search WEB for skeleton |
|
![]()
|
|
|
Structure Proposal # 2455 MFGOQSICFKJTDO Deviation = 5.19ppm
Search WEB for skeleton |
|
![]()
|
|
|
Structure Proposal # 2456 PTVFFZZBZANGGR Deviation = 5.19ppm
Search WEB for skeleton |
|
![]()
|
|
|
Structure Proposal # 2457 SZOJVISNWYEXFQ Deviation = 5.19ppm
Search WEB for skeleton |
|
![]()
|
|
|
Structure Proposal # 2458 PQDZWLFMOIRZGB Deviation = 5.19ppm
Search WEB for skeleton |
|
![]()
|
|
|
Structure Proposal # 2459 TWQGTGPXVTVXIL Deviation = 5.19ppm
Search WEB for skeleton |
|
![]()
|
|
|
Structure Proposal # 2460 ABOSBIJJWYXHQA Deviation = 5.19ppm
Search WEB for skeleton |
|
![]()
|
|
|
Structure Proposal # 2461 XWAPFHKFJFNDSZ Deviation = 5.19ppm
Search WEB for skeleton respect to your proposal |
|
![]()
|
|
|
Structure Proposal # 2462 BTEXXVHSTREYHF Deviation = 5.19ppm
Search WEB for skeleton |
|
![]()
|
|
|
Structure Proposal # 2463 WOVUBEBRLWDGBW Deviation = 5.20ppm
Search WEB for skeleton respect to your proposal |
|
![]()
|
|
|
Structure Proposal # 2464 QDJAXESBYFCRIK Deviation = 5.20ppm
Search WEB for skeleton respect to your proposal |
|
![]()
|
|
|
Structure Proposal # 2465 MQYDOZKDDFDROB Deviation = 5.20ppm
Search WEB for skeleton |
|
![]()
|
|
|
Structure Proposal # 2466 IDSSZZPFIKOXFF Deviation = 5.20ppm
Search WEB for skeleton |
|
![]()
|
|
|
Structure Proposal # 2467 LABIPDJEOFIYSP Deviation = 5.20ppm
Search WEB for skeleton |
|
![]()
|
|
|
Structure Proposal # 2468 PRBPNQMIBSZCME Deviation = 5.20ppm
Search WEB for skeleton |
|
![]()
|
|
|
Structure Proposal # 2469 MXXZTSAXJGXQIS Deviation = 5.20ppm
Search WEB for skeleton |
|
![]()
|
|
|
Structure Proposal # 2470 LRYXIEYEYXMUNA Deviation = 5.20ppm
Search WEB for skeleton |
|
![]()
|
|
|
Structure Proposal # 2471 GTXJJEGPGPAWQG Deviation = 5.20ppm
Search WEB for skeleton |
|
![]()
|
|
|
Structure Proposal # 2472 XZMUFQYHVACJAP Deviation = 5.20ppm
Search WEB for skeleton |
|
![]()
|
|
|
Structure Proposal # 2473 XEMBYAVVWCYBTL Deviation = 5.21ppm
Search WEB for skeleton respect to your proposal |
|
![]()
|
|
|
Structure Proposal # 2474 PMYULSYWTIENFC Deviation = 5.21ppm
Search WEB for skeleton |
|
![]()
|
|
|
Structure Proposal # 2475 BXPPKHCODHUPTA Deviation = 5.21ppm
Search WEB for skeleton |
|
![]()
|
|
|
Structure Proposal # 2476 YAYJLWUQPXZXTL Deviation = 5.21ppm
Search WEB for skeleton |
|
![]()
|
|
|
Structure Proposal # 2477 QNPBHBKDQGPAET Deviation = 5.21ppm
Search WEB for skeleton respect to your proposal |
|
![]()
|
|
|
Structure Proposal # 2478 UPFPSTMSLLOGJC Deviation = 5.21ppm
Search WEB for skeleton |
|
![]()
|
|
|
Structure Proposal # 2479 RYLJEFZNEJUDPF Deviation = 5.21ppm
Search WEB for skeleton |
|
![]()
|
|
|
Structure Proposal # 2480 IPJJWPNINOPRGK Deviation = 5.21ppm
Search WEB for skeleton |
|
![]()
|
|
|
Structure Proposal # 2481 OLQIGMCBMHFLED Deviation = 5.21ppm
Search WEB for skeleton respect to your proposal |
|
![]()
|
|
|
Structure Proposal # 2482 BAYPDCOEJSJKFB Deviation = 5.21ppm
Search WEB for skeleton |
|
![]()
|
|
|
Structure Proposal # 2483 ZRNSQKZFFZORCA Deviation = 5.21ppm
Search WEB for skeleton respect to your proposal |
|
![]()
|
|
|
Structure Proposal # 2484 ATHRFLBOVHFMIC Deviation = 5.21ppm
Search WEB for skeleton |
|
![]()
|
|
|
Structure Proposal # 2485 KXYUHBKWVURBDM Deviation = 5.21ppm
Search WEB for skeleton |
|
![]()
|
|
|
Structure Proposal # 2486 YNEIHWQEUNHLBT Deviation = 5.21ppm
Search WEB for skeleton respect to your proposal |
|
![]()
|
|
|
Structure Proposal # 2487 XDFDWLCPHNSBGC Deviation = 5.21ppm
Search WEB for skeleton |
|
![]()
|
|
|
Structure Proposal # 2488 PSMKXZYPQHTLIY Deviation = 5.21ppm
Search WEB for skeleton |
|
![]()
|
|
|
Structure Proposal # 2489 FGSJNJAAMGIZCU Deviation = 5.22ppm
Search WEB for skeleton respect to your proposal |
|
![]()
|
|
|
Structure Proposal # 2490 TVIYZONBSLTIAU Deviation = 5.22ppm
Search WEB for skeleton |
|
![]()
|
|
|
Structure Proposal # 2491 DWPUJQHBATVQRJ Deviation = 5.22ppm
Search WEB for skeleton |
|
![]()
|
|
|
Structure Proposal # 2492 MVJUSICDXGCGDG Deviation = 5.22ppm
Search WEB for skeleton |
|
![]()
|
|
|
Structure Proposal # 2493 ARQQQQSWUYTBKN Deviation = 5.22ppm
Search WEB for skeleton |
|
![]()
|
|
|
Structure Proposal # 2494 ZMDSRMCGWUTNIY Deviation = 5.22ppm
Search WEB for skeleton |
|
![]()
|
|
|
Structure Proposal # 2495 HQXUXCLYYHWRAE Deviation = 5.22ppm
Search WEB for skeleton |
|
![]()
|
|
|
Structure Proposal # 2496 AJFMWMUNJWSRRS Deviation = 5.22ppm
Search WEB for skeleton |
|
![]()
|
|
|
Structure Proposal # 2497 SDKBJLNWUVNKEJ Deviation = 5.22ppm
Search WEB for skeleton respect to your proposal |
|
![]()
|
|
|
Structure Proposal # 2498 PNMGLINKELBSHM Deviation = 5.22ppm
Search WEB for skeleton |
|
![]()
|
|
|
Structure Proposal # 2499 HYWVGIAXGNKOAI Deviation = 5.22ppm
Search WEB for skeleton respect to your proposal |
|
![]()
|
|
|
Structure Proposal # 2500 XLSPHTDGGBQNHF Deviation = 5.22ppm
Search WEB for skeleton respect to your proposal |
|
![]()
|
|
|
Structure Proposal # 2501 IWFURGCSFFTTCP Deviation = 5.23ppm
Search WEB for skeleton |
|
![]()
|
|
|
Structure Proposal # 2502 XMBLKTDMFAPPOT Deviation = 5.23ppm
Search WEB for skeleton |
|
![]()
|
|
|
Structure Proposal # 2503 DKXCBZBQWKJBQH Deviation = 5.23ppm
Search WEB for skeleton respect to your proposal |
|
![]()
|
|
|
Structure Proposal # 2504 FGHWGDKSNWFFBX Deviation = 5.23ppm
Search WEB for skeleton respect to your proposal |
|
![]()
|
|
|
Structure Proposal # 2505 NYFOCIXETNUTOJ Deviation = 5.23ppm
Search WEB for skeleton |
|
![]()
|
|
|
Structure Proposal # 2506 NPFRPFCLFHCWIE Deviation = 5.23ppm
Search WEB for skeleton |
|
![]()
|
|
|
Structure Proposal # 2507 VPVJFAXNUNXHPC Deviation = 5.23ppm
Search WEB for skeleton |
|
![]()
|
|
|
Structure Proposal # 2508 DCBIJAATDYYNJQ Deviation = 5.23ppm
Search WEB for skeleton |
|
![]()
|
|
|
Structure Proposal # 2509 VYZGSMJBKDYVTO Deviation = 5.23ppm
Search WEB for skeleton |
|
![]()
|
|
|
Structure Proposal # 2510 NKXSAZBBIOHJAX Deviation = 5.23ppm
Search WEB for skeleton |
|
![]()
|
|
|
Structure Proposal # 2511 KMIVAXUQXLUHQA Deviation = 5.23ppm
Search WEB for skeleton |
|
![]()
|
|
|
Structure Proposal # 2512 MVMBWCYOIKXJGY Deviation = 5.23ppm
Search WEB for skeleton |
|
![]()
|
|
|
Structure Proposal # 2513 GZNWINGIHHUNMY Deviation = 5.23ppm
Search WEB for skeleton |
|
![]()
|
|
|
Structure Proposal # 2514 SJTUXIKZDBTCCX Deviation = 5.23ppm
Search WEB for skeleton |
|
![]()
|
|
|
Structure Proposal # 2515 ZDQHXUYMTZRIGS Deviation = 5.23ppm
Search WEB for skeleton |
|
![]()
|
|
|
Structure Proposal # 2516 HWLGQHWMYIRWPC Deviation = 5.24ppm
Search WEB for skeleton |
|
![]()
|
|
|
Structure Proposal # 2517 SZDNBVFBYRZBFE Deviation = 5.24ppm
Search WEB for skeleton respect to your proposal |
|
![]()
|
|
|
Structure Proposal # 2518 MCFVZFMWMRRTLR Deviation = 5.24ppm
Search WEB for skeleton respect to your proposal |
|
![]()
|
|
|
Structure Proposal # 2519 OVFPHDNCUCUKOC Deviation = 5.24ppm
Search WEB for skeleton |
|
![]()
|
|
|
Structure Proposal # 2520 IDZHPHFCOQNRRU Deviation = 5.24ppm
Search WEB for skeleton |
|
![]()
|
|
|
Structure Proposal # 2521 WLUSUMHJBXFEHO Deviation = 5.24ppm
Search WEB for skeleton respect to your proposal |
|
![]()
|
|
|
Structure Proposal # 2522 KAMLHNHUEIYMLL Deviation = 5.24ppm
Search WEB for skeleton |
|
![]()
|
|
|
Structure Proposal # 2523 VUWBZGBXQFSMHE Deviation = 5.24ppm
Search WEB for skeleton respect to your proposal |
|
![]()
|
|
|
Structure Proposal # 2524 ZOWRDQLAXZVNDE Deviation = 5.24ppm
Search WEB for skeleton |
|
![]()
|
|
|
Structure Proposal # 2525 YBOOIEJYBFFEQJ Deviation = 5.24ppm
Search WEB for skeleton |
|
![]()
|
|
|
Structure Proposal # 2526 CLNIBRVRXPQCGV Deviation = 5.24ppm
Search WEB for skeleton |
|
![]()
|
|
|
Structure Proposal # 2527 DBVGTSANMSJZEQ Deviation = 5.24ppm
Search WEB for skeleton respect to your proposal |
|
![]()
|
|
|
Structure Proposal # 2528 UZAUSRDMDQDXEL Deviation = 5.24ppm
Search WEB for skeleton |
|
![]()
|
|
|
Structure Proposal # 2529 WMNYHCFRFOQVPA Deviation = 5.24ppm
Search WEB for skeleton |
|
![]()
|
|
|
Structure Proposal # 2530 ADJAJLCWOBKIHW Deviation = 5.24ppm
Search WEB for skeleton |
|
![]()
|
|
|
Structure Proposal # 2531 XIWOYCBUSXOLAZ Deviation = 5.25ppm
Search WEB for skeleton |
|
![]()
|
|
|
Structure Proposal # 2532 XOSWYGGKLHSIDL Deviation = 5.25ppm
Search WEB for skeleton |
|
![]()
|
|
|
Structure Proposal # 2533 YJZUZEBQKUCGFQ Deviation = 5.25ppm
Search WEB for skeleton |
|
![]()
|
|
|
Structure Proposal # 2534 FWZYERBQBXDTTH Deviation = 5.25ppm
Search WEB for skeleton |
|
![]()
|
|
|
Structure Proposal # 2535 VWSGGKQZRYLVMW Deviation = 5.25ppm
Search WEB for skeleton respect to your proposal |
|
![]()
|
|
|
Structure Proposal # 2536 NHSGBAALRJRNJM Deviation = 5.25ppm
Search WEB for skeleton |
|
![]()
|
|
|
Structure Proposal # 2537 NETGNUZDWUTDSR Deviation = 5.25ppm
Search WEB for skeleton |
|
![]()
|
|
|
Structure Proposal # 2538 IWBLQEXNLGVOGO Deviation = 5.25ppm
Search WEB for skeleton |
|
![]()
|
|
|
Structure Proposal # 2539 NYFYUADIWOEKDO Deviation = 5.25ppm
Search WEB for skeleton respect to your proposal |
|
![]()
|
|
|
Structure Proposal # 2540 GFUIKSVBSKHOAU Deviation = 5.25ppm
Search WEB for skeleton |
|
![]()
|
|
|
Structure Proposal # 2541 WHUCJEBODDOQFE Deviation = 5.25ppm
Search WEB for skeleton |
|
![]()
|
|
|
Structure Proposal # 2542 DUCDZYTXJLBBGQ Deviation = 5.25ppm
Search WEB for skeleton respect to your proposal |
|
![]()
|
|
|
Structure Proposal # 2543 LQDXCFHELDTCIW Deviation = 5.25ppm
Search WEB for skeleton |
|
![]()
|
|
|
Structure Proposal # 2544 PQYOTKLIROHWGZ Deviation = 5.25ppm
Search WEB for skeleton |
|
![]()
|
|
|
Structure Proposal # 2545 CRZVMZRHTXXDJN Deviation = 5.25ppm
Search WEB for skeleton |
|
![]()
|
|
|
Structure Proposal # 2546 HKSNEFIETCEIDC Deviation = 5.25ppm
Search WEB for skeleton |
|
![]()
|
|
|
Structure Proposal # 2547 ITOPETPGSVXNCX Deviation = 5.25ppm
Search WEB for skeleton respect to your proposal |
|
![]()
|
|
|
Structure Proposal # 2548 LRUJBIVBXHMGRU Deviation = 5.25ppm
Search WEB for skeleton respect to your proposal |
|
![]()
|
|
|
Structure Proposal # 2549 PJRQHUAUQBZGSS Deviation = 5.26ppm
Search WEB for skeleton |
|
![]()
|
|
|
Structure Proposal # 2550 VRFUQHNPWDYWEJ Deviation = 5.26ppm
Search WEB for skeleton |
|
![]()
|
|
|
Structure Proposal # 2551 KOAHXTCGXQUTKV Deviation = 5.26ppm
Search WEB for skeleton |
|
![]()
|
|
|
Structure Proposal # 2552 XAHNTXAYEKUDRB Deviation = 5.26ppm
Search WEB for skeleton respect to your proposal |
|
![]()
|
|
|
Structure Proposal # 2553 UYROTZARFKROIJ Deviation = 5.26ppm
Search WEB for skeleton respect to your proposal |
|
![]()
|
|
|
Structure Proposal # 2554 STDXEAVJSHJKST Deviation = 5.26ppm
Search WEB for skeleton respect to your proposal |
|
![]()
|
|
|
Structure Proposal # 2555 PQWPGGMQGNMKSU Deviation = 5.26ppm
Search WEB for skeleton |
|
![]()
|
|
|
Structure Proposal # 2556 MXGYJTGTSFCRPY Deviation = 5.26ppm
Search WEB for skeleton |
|
![]()
|
|
|
Structure Proposal # 2557 QBITUVLTFVBFGZ Deviation = 5.26ppm
Search WEB for skeleton |
|
![]()
|
|
|
Structure Proposal # 2558 GIEXYYGYAYPGCU Deviation = 5.26ppm
Search WEB for skeleton |
|
![]()
|
|
|
Structure Proposal # 2559 ZUDGWHRDMIGBLA Deviation = 5.26ppm
Search WEB for skeleton |
|
![]()
|
|
|
Structure Proposal # 2560 DNNMVHHCXWUZCT Deviation = 5.26ppm
Search WEB for skeleton |
|
![]()
|
|
|
Structure Proposal # 2561 HSFROLRKBPFWCE Deviation = 5.27ppm
Search WEB for skeleton respect to your proposal |
|
![]()
|
|
|
Structure Proposal # 2562 ZJEVRNFVXJHSML Deviation = 5.27ppm
Search WEB for skeleton |
|
![]()
|
|
|
Structure Proposal # 2563 KOJDEEULDPZSSY Deviation = 5.27ppm
Search WEB for skeleton |
|
![]()
|
|
|
Structure Proposal # 2564 MTNWSKOKNJHPMX Deviation = 5.27ppm
Search WEB for skeleton respect to your proposal |
|
![]()
|
|
|
Structure Proposal # 2565 FKCULUFKMLVBTN Deviation = 5.27ppm
Search WEB for skeleton respect to your proposal |
|
![]()
|
|
|
Structure Proposal # 2566 ONILRNBJQAISMN Deviation = 5.27ppm
Search WEB for skeleton |
|
![]()
|
|
|
Structure Proposal # 2567 RDWKDHGGABRSGU Deviation = 5.27ppm
Search WEB for skeleton |
|
![]()
|
|
|
Structure Proposal # 2568 DAMFHOPJACBISA Deviation = 5.27ppm
Search WEB for skeleton respect to your proposal |
|
![]()
|
|
|
Structure Proposal # 2569 BHHJJHZHGYPLAX Deviation = 5.27ppm
Search WEB for skeleton |
|
![]()
|
|
|
Structure Proposal # 2570 VAMCGXNTUNVHRJ Deviation = 5.27ppm
Search WEB for skeleton |
|
![]()
|
|
|
Structure Proposal # 2571 XYLSXNPXNBCQPO Deviation = 5.27ppm
Search WEB for skeleton |
|
![]()
|
|
|
Structure Proposal # 2572 PPPIBXYDOMLNCG Deviation = 5.27ppm
Search WEB for skeleton |
|
![]()
|
|
|
Structure Proposal # 2573 CNYPRBXFFJFGKB Deviation = 5.27ppm
Search WEB for skeleton |
|
![]()
|
|
|
Structure Proposal # 2574 PKGCZMWOSSIZHX Deviation = 5.27ppm
Search WEB for skeleton |
|
![]()
|
|
|
Structure Proposal # 2575 FRRHWTIRJBGSHY Deviation = 5.27ppm
Search WEB for skeleton |
|
![]()
|
|
|
Structure Proposal # 2576 SYVQEJQATBFQIH Deviation = 5.28ppm
Search WEB for skeleton |
|
![]()
|
|
|
Structure Proposal # 2577 MKISFXNQRQXJPC Deviation = 5.28ppm
Search WEB for skeleton respect to your proposal |
|
![]()
|
|
|
Structure Proposal # 2578 NOTHLWDVHZILBQ Deviation = 5.28ppm
Search WEB for skeleton |
|
![]()
|
|
|
Structure Proposal # 2579 DYMOFYXGYPORPS Deviation = 5.28ppm
Search WEB for skeleton respect to your proposal |
|
![]()
|
|
|
Structure Proposal # 2580 GKZVJEMBAWVDKA Deviation = 5.28ppm
Search WEB for skeleton |
|
![]()
|
|
|
Structure Proposal # 2581 KTGVOJQOGTXUFV Deviation = 5.28ppm
Search WEB for skeleton |
|
![]()
|
|
|
Structure Proposal # 2582 BUSDRFORXPDJOQ Deviation = 5.28ppm
Search WEB for skeleton respect to your proposal |
|
![]()
|
|
|
Structure Proposal # 2583 GRDRWPBYCXHJHV Deviation = 5.28ppm
Search WEB for skeleton |
|
![]()
|
|
|
Structure Proposal # 2584 ONYUYQMDXNMPCF Deviation = 5.29ppm
Search WEB for skeleton |
|
![]()
|
|
|
Structure Proposal # 2585 AHRKUWADRAFDNV Deviation = 5.29ppm
Search WEB for skeleton |
|
![]()
|
|
|
Structure Proposal # 2586 HQLJHOUQPLNUHR Deviation = 5.29ppm
Search WEB for skeleton |
|
![]()
|
|
|
Structure Proposal # 2587 GULKNRIAKOZKDM Deviation = 5.29ppm
Search WEB for skeleton |
|
![]()
|
|
|
Structure Proposal # 2588 NBUQMBRZEGQCOV Deviation = 5.29ppm
Search WEB for skeleton |
|
![]()
|
|
|
Structure Proposal # 2589 VSXVPSOKNWDGII Deviation = 5.29ppm
Search WEB for skeleton |
|
![]()
|
|
|
Structure Proposal # 2590 PIDQWVJMXDRRIT Deviation = 5.29ppm
Search WEB for skeleton |
|
![]()
|
|
|
Structure Proposal # 2591 DBQCGJBFFXHSNU Deviation = 5.29ppm
Search WEB for skeleton |
|
![]()
|
|
|
Structure Proposal # 2592 ORZNBRSEGBAFJB Deviation = 5.29ppm
Search WEB for skeleton |
|
![]()
|
|
|
Structure Proposal # 2593 TZXRWFDONSLGKT Deviation = 5.29ppm
Search WEB for skeleton |
|
![]()
|
|
|
Structure Proposal # 2594 MNGITNPFHWUAOM Deviation = 5.29ppm
Search WEB for skeleton respect to your proposal |
|
![]()
|
|
|
Structure Proposal # 2595 QWHYEABPAGCJJK Deviation = 5.30ppm
Search WEB for skeleton |
|
![]()
|
|
|
Structure Proposal # 2596 NICWWZBBHOMVPS Deviation = 5.30ppm
Search WEB for skeleton |
|
![]()
|
|
|
Structure Proposal # 2597 AHPNIKTYUDVYBE Deviation = 5.30ppm
Search WEB for skeleton respect to your proposal |
|
![]()
|
|
|
Structure Proposal # 2598 OCGYSUSULMVJCO Deviation = 5.30ppm
Search WEB for skeleton respect to your proposal |
|
![]()
|
|
|
Structure Proposal # 2599 RTZKAFUGCZMSRQ Deviation = 5.30ppm
Search WEB for skeleton |
|
![]()
|
|
|
Structure Proposal # 2600 YEWMCPCGQSURTR Deviation = 5.30ppm
Search WEB for skeleton |
|
![]()
|
|
|
Structure Proposal # 2601 PWLHKIJABUWVSP Deviation = 5.30ppm
Search WEB for skeleton |
|
![]()
|
|
|
Structure Proposal # 2602 RUHLOYZYJQFBFS Deviation = 5.30ppm
Search WEB for skeleton |
|
![]()
|
|
|
Structure Proposal # 2603 WMMJZZZMNHIGIB Deviation = 5.30ppm
Search WEB for skeleton |
|
![]()
|
|
|
Structure Proposal # 2604 WEMSGPXPCPYTRS Deviation = 5.30ppm
Search WEB for skeleton |
|
![]()
|
|
|
Structure Proposal # 2605 UBHQWLNMZSLOOL Deviation = 5.30ppm
Search WEB for skeleton |
|
![]()
|
|
|
Structure Proposal # 2606 LNFAHZBHEVNKMC Deviation = 5.30ppm
Search WEB for skeleton |
|
![]()
|
|
|
Structure Proposal # 2607 LOWRWQWMRABJEY Deviation = 5.30ppm
Search WEB for skeleton |
|
![]()
|
|
|
Structure Proposal # 2608 YLWRTQAQXSMHMU Deviation = 5.30ppm
Search WEB for skeleton |
|
![]()
|
|
|
Structure Proposal # 2609 BIWLRDBNHJYAFI Deviation = 5.30ppm
Search WEB for skeleton |
|
![]()
|
|
|
Structure Proposal # 2610 PXJALFNELNVKIK Deviation = 5.31ppm
Search WEB for skeleton respect to your proposal |
|
![]()
|
|
|
Structure Proposal # 2611 QWWOFNZIYVEWSL Deviation = 5.31ppm
Search WEB for skeleton |
|
![]()
|
|
|
Structure Proposal # 2612 SLTXYYGASPARSC Deviation = 5.31ppm
Search WEB for skeleton respect to your proposal |
|
![]()
|
|
|
Structure Proposal # 2613 ANWSDZVZXPJMEN Deviation = 5.31ppm
Search WEB for skeleton |
|
![]()
|
|
|
Structure Proposal # 2614 KMIAQGTZNCWYGU Deviation = 5.31ppm
Search WEB for skeleton |
|
![]()
|
|
|
Structure Proposal # 2615 MOGGPFMYVVCGLU Deviation = 5.31ppm
Search WEB for skeleton |
|
![]()
|
|
|
Structure Proposal # 2616 RPRSUQZUUPMMLI Deviation = 5.31ppm
Search WEB for skeleton |
|
![]()
|
|
|
Structure Proposal # 2617 YFJIWNGQUPTPGF Deviation = 5.31ppm
Search WEB for skeleton |
|
![]()
|
|
|
Structure Proposal # 2618 XNAQWDHTEUCBFG Deviation = 5.31ppm
Search WEB for skeleton |
|
![]()
|
|
|
Structure Proposal # 2619 JIONJYAEGOFILS Deviation = 5.31ppm
Search WEB for skeleton |
|
![]()
|
|
|
Structure Proposal # 2620 OIXNLNWXDZJBSL Deviation = 5.31ppm
Search WEB for skeleton |
|
![]()
|
|
|
Structure Proposal # 2621 WOADBGVJJISVSN Deviation = 5.31ppm
Search WEB for skeleton respect to your proposal |
|
![]()
|
|
|
Structure Proposal # 2622 XGCRFJKXMSFCEU Deviation = 5.31ppm
Search WEB for skeleton |
|
![]()
|
|
|
Structure Proposal # 2623 GPWZNOPGDKKDFA Deviation = 5.32ppm
Search WEB for skeleton respect to your proposal |
|
![]()
|
|
|
Structure Proposal # 2624 VMACKWHKJLYNDB Deviation = 5.32ppm
Search WEB for skeleton |
|
![]()
|
|
|
Structure Proposal # 2625 RIFAJHJDOQMUDJ Deviation = 5.32ppm
Search WEB for skeleton |
|
![]()
|
|
|
Structure Proposal # 2626 ZMRZXPPLUVYLIA Deviation = 5.32ppm
Search WEB for skeleton respect to your proposal |
|
![]()
|
|
|
Structure Proposal # 2627 UREFSJGXJGSNOX Deviation = 5.32ppm
Search WEB for skeleton respect to your proposal |
|
![]()
|
|
|
Structure Proposal # 2628 NUQIUEBIEIOBMQ Deviation = 5.32ppm
Search WEB for skeleton |
|
![]()
|
|
|
Structure Proposal # 2629 SNMGSEBSMONNPX Deviation = 5.32ppm
Search WEB for skeleton |
|
![]()
|
|
|
Structure Proposal # 2630 RIVBXEMRFIDCRI Deviation = 5.32ppm
Search WEB for skeleton respect to your proposal |
|
![]()
|
|
|
Structure Proposal # 2631 XHXTUTHQAMTUDV Deviation = 5.32ppm
Search WEB for skeleton respect to your proposal |
|
![]()
|
|
|
Structure Proposal # 2632 NWKGJENQIZGQCY Deviation = 5.32ppm
Search WEB for skeleton |
|
![]()
|
|
|
Structure Proposal # 2633 KDXYSQKYMHMVQP Deviation = 5.32ppm
Search WEB for skeleton |
|
![]()
|
|
|
Structure Proposal # 2634 FMQITPSXVWELDK Deviation = 5.32ppm
Search WEB for skeleton respect to your proposal |
|
![]()
|
|
|
Structure Proposal # 2635 CNYCPJILYRQBIH Deviation = 5.33ppm
Search WEB for skeleton |
|
![]()
|
|
|
Structure Proposal # 2636 IMZFRIDOCRKJGV Deviation = 5.33ppm
Search WEB for skeleton |
|
![]()
|
|
|
Structure Proposal # 2637 DVVASNJAJBDAQT Deviation = 5.33ppm
Search WEB for skeleton |
|
![]()
|
|
|
Structure Proposal # 2638 ONBWOMAYMFNRQP Deviation = 5.33ppm
Search WEB for skeleton |
|
![]()
|
|
|
Structure Proposal # 2639 VHWTUGLWQVUVGE Deviation = 5.33ppm
Search WEB for skeleton |
|
![]()
|
|
|
Structure Proposal # 2640 QVBLLEBCZPVZGN Deviation = 5.33ppm
Search WEB for skeleton |
|
![]()
|
|
|
Structure Proposal # 2641 LHUJDJGXFFXAJY Deviation = 5.33ppm
Search WEB for skeleton respect to your proposal |
|
![]()
|
|
|
Structure Proposal # 2642 KOWYTOQHKNDEOP Deviation = 5.33ppm
Search WEB for skeleton |
|
![]()
|
|
|
Structure Proposal # 2643 IXAUWMOQAFVDSU Deviation = 5.33ppm
Search WEB for skeleton |
|
![]()
|
|
|
Structure Proposal # 2644 NRCRBEXOMPLHHH Deviation = 5.33ppm
Search WEB for skeleton |
|
![]()
|
|
|
Structure Proposal # 2645 GXOQVLTWEOQGRA Deviation = 5.33ppm
Search WEB for skeleton respect to your proposal |
|
![]()
|
|
|
Structure Proposal # 2646 QYOGKDXUAUMNSI Deviation = 5.33ppm
Search WEB for skeleton |
|
![]()
|
|
|
Structure Proposal # 2647 BXXKVCDDILNWGO Deviation = 5.33ppm
Search WEB for skeleton respect to your proposal |
|
![]()
|
|
|
Structure Proposal # 2648 JIPRZOWCBAMPSN Deviation = 5.33ppm
Search WEB for skeleton |
|
![]()
|
|
|
Structure Proposal # 2649 YCHBRFPLPRGLNX Deviation = 5.33ppm
Search WEB for skeleton |
|
![]()
|
|
|
Structure Proposal # 2650 LZFJAPHUJKSOCA Deviation = 5.33ppm
Search WEB for skeleton |
|
![]()
|
|
|
Structure Proposal # 2651 PWVKQBGADINLJW Deviation = 5.33ppm
Search WEB for skeleton |
|
![]()
|
|
|
Structure Proposal # 2652 OFLXLVUMGWVOCD Deviation = 5.33ppm
Search WEB for skeleton |
|
![]()
|
|
|
Structure Proposal # 2653 SYOQKXWOYVTRQH Deviation = 5.33ppm
Search WEB for skeleton |
|
![]()
|
|
|
Structure Proposal # 2654 DJFHKOWIZVEPCO Deviation = 5.34ppm
Search WEB for skeleton respect to your proposal |
|
![]()
|
|
|
Structure Proposal # 2655 SHGBUBQEKHONBX Deviation = 5.34ppm
Search WEB for skeleton |
|
![]()
|
|
|
Structure Proposal # 2656 LZSQNKSVSPFLDV Deviation = 5.34ppm
Search WEB for skeleton |
|
![]()
|
|
|
Structure Proposal # 2657 HVCQAUCKMBBBOY Deviation = 5.34ppm
Search WEB for skeleton |
|
![]()
|
|
|
Structure Proposal # 2658 BEALGXXCVCWWME Deviation = 5.34ppm
Search WEB for skeleton |
|
![]()
|
|
|
Structure Proposal # 2659 KITDDRYFNZIYJK Deviation = 5.34ppm
Search WEB for skeleton respect to your proposal |
|
![]()
|
|
|
Structure Proposal # 2660 GSLAWLBXQPJSSI Deviation = 5.34ppm
Search WEB for skeleton respect to your proposal |
|
![]()
|
|
|
Structure Proposal # 2661 FXOIKGJVWZAVKT Deviation = 5.34ppm
Search WEB for skeleton respect to your proposal |
|
![]()
|
|
|
Structure Proposal # 2662 FPAMOJHOTZRUSZ Deviation = 5.35ppm
Search WEB for skeleton |
|
![]()
|
|
|
Structure Proposal # 2663 YPYOAOCQTMOCQW Deviation = 5.35ppm
Search WEB for skeleton respect to your proposal |
|
![]()
|
|
|
Structure Proposal # 2664 GPMXZGRLCWMLFU Deviation = 5.35ppm
Search WEB for skeleton |
|
![]()
|
|
|
Structure Proposal # 2665 CVKAFGYDBJJMRE Deviation = 5.35ppm
Search WEB for skeleton respect to your proposal |
|
![]()
|
|
|
Structure Proposal # 2666 HLRGFGOOVLHCIF Deviation = 5.35ppm
Search WEB for skeleton |
|
![]()
|
|
|
Structure Proposal # 2667 FKJHDAZESGAFJZ Deviation = 5.35ppm
Search WEB for skeleton respect to your proposal |
|
![]()
|
|
|
Structure Proposal # 2668 GRNQPJRDPQYJLU Deviation = 5.35ppm
Search WEB for skeleton |
|
![]()
|
|
|
Structure Proposal # 2669 KTHUTNYENUQMLB Deviation = 5.35ppm
Search WEB for skeleton |
|
![]()
|
|
|
Structure Proposal # 2670 CSTLYETVTQRSPZ Deviation = 5.35ppm
Search WEB for skeleton respect to your proposal |
|
![]()
|
|
|
Structure Proposal # 2671 WUYAIPWVEPHBEF Deviation = 5.36ppm
Search WEB for skeleton |
|
![]()
|
|
|
Structure Proposal # 2672 OATMYAQHMNJAFO Deviation = 5.36ppm
Search WEB for skeleton |
|
![]()
|
|
|
Structure Proposal # 2673 IZXVNXKLORCGTI Deviation = 5.36ppm
Search WEB for skeleton |
|
![]()
|
|
|
Structure Proposal # 2674 YAWCREAVIBRQJK Deviation = 5.36ppm
Search WEB for skeleton |
|
![]()
|
|
|
Structure Proposal # 2675 QIVYFSJYINFTPN Deviation = 5.36ppm
Search WEB for skeleton |
|
![]()
|
|
|
Structure Proposal # 2676 KJUZEWAPJRQFKI Deviation = 5.36ppm
Search WEB for skeleton respect to your proposal |
|
![]()
|
|
|
Structure Proposal # 2677 ZRCGAPWVLZUMOE Deviation = 5.36ppm
Search WEB for skeleton |
|
![]()
|
|
|
Structure Proposal # 2678 POPXWJWNTRGMOK Deviation = 5.36ppm
Search WEB for skeleton |
|
![]()
|
|
|
Structure Proposal # 2679 ZNXZGWKEVPWERO Deviation = 5.36ppm
Search WEB for skeleton |
|
![]()
|
|
|
Structure Proposal # 2680 LQPDLUIOSXIYOU Deviation = 5.36ppm
Search WEB for skeleton |
|
![]()
|
|
|
Structure Proposal # 2681 VOJSALLCVGZJIL Deviation = 5.36ppm
Search WEB for skeleton |
|
![]()
|
|
|
Structure Proposal # 2682 LPTDGLXRUDJRHH Deviation = 5.37ppm
Search WEB for skeleton |
|
![]()
|
|
|
Structure Proposal # 2683 SDMSDVLEGSFAJU Deviation = 5.37ppm
Search WEB for skeleton |
|
![]()
|
|
|
Structure Proposal # 2684 LGICIQFPDTZTAD Deviation = 5.37ppm
Search WEB for skeleton |
|
![]()
|
|
|
Structure Proposal # 2685 MJCHUJQEGGXJFM Deviation = 5.37ppm
Search WEB for skeleton |
|
![]()
|
|
|
Structure Proposal # 2686 NLWQLSYFSGRBLH Deviation = 5.37ppm
Search WEB for skeleton |
|
![]()
|
|
|
Structure Proposal # 2687 NIAKHBZDEHZNAC Deviation = 5.37ppm
Search WEB for skeleton |
|
![]()
|
|
|
Structure Proposal # 2688 KQPIQHSXJMWTPE Deviation = 5.37ppm
Search WEB for skeleton |
|
![]()
|
|
|
Structure Proposal # 2689 PBVKNPYHQLLXTG Deviation = 5.38ppm
Search WEB for skeleton respect to your proposal |
|
![]()
|
|
|
Structure Proposal # 2690 IEJWYGQLYKQJED Deviation = 5.38ppm
Search WEB for skeleton respect to your proposal |
|
![]()
|
|
|
Structure Proposal # 2691 LAYVGBLRUVWXNF Deviation = 5.38ppm
Search WEB for skeleton respect to your proposal |
|
![]()
|
|
|
Structure Proposal # 2692 NETDSGFOAHIPAG Deviation = 5.38ppm
Search WEB for skeleton |
|
![]()
|
|
|
Structure Proposal # 2693 KEJGPGJTQZDCEQ Deviation = 5.38ppm
Search WEB for skeleton respect to your proposal |
|
![]()
|
|
|
Structure Proposal # 2694 IYUCWNVKVMPGFF Deviation = 5.38ppm
Search WEB for skeleton |
|
![]()
|
|
|
Structure Proposal # 2695 WIDRLPCFLNNHRL Deviation = 5.38ppm
Search WEB for skeleton respect to your proposal |
|
![]()
|
|
|
Structure Proposal # 2696 HXBYZKMWKAXXEG Deviation = 5.38ppm
Search WEB for skeleton |
|
![]()
|
|
|
Structure Proposal # 2697 NWXIVBHUCSDNQM Deviation = 5.38ppm
Search WEB for skeleton |
|
![]()
|
|
|
Structure Proposal # 2698 SIIQFGTULKIRFK Deviation = 5.38ppm
Search WEB for skeleton respect to your proposal |
|
![]()
|
|
|
Structure Proposal # 2699 YIHVIUGZHBGEST Deviation = 5.38ppm
Search WEB for skeleton respect to your proposal |
|
![]()
|
|
|
Structure Proposal # 2700 LOOWQQKYMUAPSK Deviation = 5.38ppm
Search WEB for skeleton |
|
![]()
|
|
|
Structure Proposal # 2701 FDYVDCJGBWOSFT Deviation = 5.38ppm
Search WEB for skeleton |
|
![]()
|
|
|
Structure Proposal # 2702 MBEOUNSEXNAOSU Deviation = 5.39ppm
Search WEB for skeleton respect to your proposal |
|
![]()
|
|
|
Structure Proposal # 2703 WJXRPQRGBTXHFB Deviation = 5.39ppm
Search WEB for skeleton |
|
![]()
|
|
|
Structure Proposal # 2704 NNFBHURUVQCFIZ Deviation = 5.39ppm
Search WEB for skeleton respect to your proposal |
|
![]()
|
|
|
Structure Proposal # 2705 NXCJDDOWCJAPTI Deviation = 5.39ppm
Search WEB for skeleton |
|
![]()
|
|
|
Structure Proposal # 2706 SQAKVGWSITZSDX Deviation = 5.39ppm
Search WEB for skeleton |
|
![]()
|
|
|
Structure Proposal # 2707 QMMRMNNSLYOYPB Deviation = 5.39ppm
Search WEB for skeleton |
|
![]()
|
|
|
Structure Proposal # 2708 BRMNMTPACPNNQX Deviation = 5.39ppm
Search WEB for skeleton |
|
![]()
|
|
|
Structure Proposal # 2709 WSXIYSCNDUOKLZ Deviation = 5.39ppm
Search WEB for skeleton respect to your proposal |
|
![]()
|
|
|
Structure Proposal # 2710 NODYJGGPGQCLDH Deviation = 5.39ppm
Search WEB for skeleton respect to your proposal |
|
![]()
|
|
|
Structure Proposal # 2711 HRDGPMPCJUNRSR Deviation = 5.39ppm
Search WEB for skeleton |
|
![]()
|
|
|
Structure Proposal # 2712 YSGJVJIZSSTTMS Deviation = 5.39ppm
Search WEB for skeleton |
|
![]()
|
|
|
Structure Proposal # 2713 UXEPWYQFLITKTO Deviation = 5.39ppm
Search WEB for skeleton |
|
![]()
|
|
|
Structure Proposal # 2714 BRRNABGFWISXRK Deviation = 5.39ppm
Search WEB for skeleton respect to your proposal |
|
![]()
|
|
|
Structure Proposal # 2715 XDMTUZUDZSWEGT Deviation = 5.40ppm
Search WEB for skeleton respect to your proposal |
|
![]()
|
|
|
Structure Proposal # 2716 IZGCWGPBQHHMHN Deviation = 5.40ppm
Search WEB for skeleton |
|
![]()
|
|
|
Structure Proposal # 2717 CPCBCTODRPSVSW Deviation = 5.40ppm
Search WEB for skeleton |
|
![]()
|
|
|
Structure Proposal # 2718 UESCJHYQGNHGIC Deviation = 5.40ppm
Search WEB for skeleton |
|
![]()
|
|
|
Structure Proposal # 2719 ANBWBIVYGMHNJS Deviation = 5.40ppm
Search WEB for skeleton respect to your proposal |
|
![]()
|
|
|
Structure Proposal # 2720 NBJSEJPQRBZMCU Deviation = 5.40ppm
Search WEB for skeleton |
|
![]()
|
|
|
Structure Proposal # 2721 QVGWURCPWDQCSJ Deviation = 5.40ppm
Search WEB for skeleton |
|
![]()
|
|
|
Structure Proposal # 2722 NEYCLUWKYRXLLV Deviation = 5.40ppm
Search WEB for skeleton |
|
![]()
|
|
|
Structure Proposal # 2723 YGQQYVKGRRGXOK Deviation = 5.40ppm
Search WEB for skeleton |
|
![]()
|
|
|
Structure Proposal # 2724 LTFFTWXGHIOSEJ Deviation = 5.40ppm
Search WEB for skeleton |
|
![]()
|
|
|
Structure Proposal # 2725 ZEAVPBBPFJIZRQ Deviation = 5.40ppm
Search WEB for skeleton respect to your proposal |
|
![]()
|
|
|
Structure Proposal # 2726 JVKLFEMHROFGOG Deviation = 5.40ppm
Search WEB for skeleton |
|
![]()
|
|
|
Structure Proposal # 2727 SGKCLTLJUXAUID Deviation = 5.40ppm
Search WEB for skeleton |
|
![]()
|
|
|
Structure Proposal # 2728 BBHKVSORCTXCEZ Deviation = 5.41ppm
Search WEB for skeleton respect to your proposal |
|
![]()
|
|
|
Structure Proposal # 2729 TWLBMTACUULKAR Deviation = 5.41ppm
Search WEB for skeleton respect to your proposal |
|
![]()
|
|
|
Structure Proposal # 2730 AULOFQFKFJUOEF Deviation = 5.41ppm
Search WEB for skeleton |
|
![]()
|
|
|
Structure Proposal # 2731 DYTHRDBFRBCAQI Deviation = 5.41ppm
Search WEB for skeleton respect to your proposal |
|
![]()
|
|
|
Structure Proposal # 2732 XYGXQUQYLRUELP Deviation = 5.41ppm
Search WEB for skeleton |
|
![]()
|
|
|
Structure Proposal # 2733 DNNCFHLBMCCWNH Deviation = 5.42ppm
Search WEB for skeleton |
|
![]()
|
|
|
Structure Proposal # 2734 VFJGOSMIXMFFQD Deviation = 5.42ppm
Search WEB for skeleton respect to your proposal |
|
![]()
|
|
|
Structure Proposal # 2735 HZMGJARJNIDRMC Deviation = 5.42ppm
Search WEB for skeleton |
|
![]()
|
|
|
Structure Proposal # 2736 MUIKYZDZGYCRDS Deviation = 5.42ppm
Search WEB for skeleton |
|
![]()
|
|
|
Structure Proposal # 2737 SVISRKPXFDTPGP Deviation = 5.42ppm
Search WEB for skeleton |
|
![]()
|
|
|
Structure Proposal # 2738 HWCQFAPYNWFGDU Deviation = 5.42ppm
Search WEB for skeleton |
|
![]()
|
|
|
Structure Proposal # 2739 CDPKHZGQRDNSSL Deviation = 5.42ppm
Search WEB for skeleton |
|
![]()
|
|
|
Structure Proposal # 2740 MLENYNDLMBISKV Deviation = 5.42ppm
Search WEB for skeleton |
|
![]()
|
|
|
Structure Proposal # 2741 BGTWNPFZLLAHBG Deviation = 5.42ppm
Search WEB for skeleton |
|
![]()
|
|
|
Structure Proposal # 2742 LJJYIHLDIZYZQB Deviation = 5.42ppm
Search WEB for skeleton |
|
![]()
|
|
|
Structure Proposal # 2743 WXFQOGCWLPBMKE Deviation = 5.42ppm
Search WEB for skeleton respect to your proposal |
|
![]()
|
|
|
Structure Proposal # 2744 UGGUZLNGSYUHQD Deviation = 5.42ppm
Search WEB for skeleton |
|
![]()
|
|
|
Structure Proposal # 2745 DRIIBDCQQHAPEP Deviation = 5.42ppm
Search WEB for skeleton respect to your proposal |
|
![]()
|
|
|
Structure Proposal # 2746 CYICBNOFKISVAX Deviation = 5.43ppm
Search WEB for skeleton |
|
![]()
|
|
|
Structure Proposal # 2747 DNADZIAUDUQDRW Deviation = 5.43ppm
Search WEB for skeleton |
|
![]()
|
|
|
Structure Proposal # 2748 KRGIWQHZWVIACE Deviation = 5.43ppm
Search WEB for skeleton respect to your proposal |
|
![]()
|
|
|
Structure Proposal # 2749 ZDGKOFWZMXIOCE Deviation = 5.43ppm
Search WEB for skeleton |
|
![]()
|
|
|
Structure Proposal # 2750 GNJJOGCAUNBFRB Deviation = 5.43ppm
Search WEB for skeleton |
|
![]()
|
|
|
Structure Proposal # 2751 MJYQCLYBRPTOSM Deviation = 5.43ppm
Search WEB for skeleton |
|
![]()
|
|
|
Structure Proposal # 2752 UKAAUMYZBIXULY Deviation = 5.43ppm
Search WEB for skeleton |
|
![]()
|
|
|
Structure Proposal # 2753 XZCOOAUXUIPRSD Deviation = 5.43ppm
Search WEB for skeleton |
|
![]()
|
|
|
Structure Proposal # 2754 YTESNZHQIVLWEC Deviation = 5.43ppm
Search WEB for skeleton |
|
![]()
|
|
|
Structure Proposal # 2755 CBFLVEDBCPFFPS Deviation = 5.43ppm
Search WEB for skeleton |
|
![]()
|
|
|
Structure Proposal # 2756 RARCJDDGZGXZMJ Deviation = 5.44ppm
Search WEB for skeleton respect to your proposal |
|
![]()
|
|
|
Structure Proposal # 2757 SZYXORXREWVRQY Deviation = 5.44ppm
Search WEB for skeleton |
|
![]()
|
|
|
Structure Proposal # 2758 JXQDHBXUKQWRQW Deviation = 5.44ppm
Search WEB for skeleton |
|
![]()
|
|
|
Structure Proposal # 2759 WPPYSEIOULOTEQ Deviation = 5.44ppm
Search WEB for skeleton |
|
![]()
|
|
|
Structure Proposal # 2760 BNNWKWYPKAVWSQ Deviation = 5.44ppm
Search WEB for skeleton |
|
![]()
|
|
|
Structure Proposal # 2761 NWCJNOOARGZTIZ Deviation = 5.44ppm
Search WEB for skeleton |
|
![]()
|
|
|
Structure Proposal # 2762 AFKCXJQEOBGQHI Deviation = 5.44ppm
Search WEB for skeleton |
|
![]()
|
|
|
Structure Proposal # 2763 SNJYIILZQHUASU Deviation = 5.44ppm
Search WEB for skeleton respect to your proposal |
|
![]()
|
|
|
Structure Proposal # 2764 UUNLMNHYQODCBT Deviation = 5.44ppm
Search WEB for skeleton |
|
![]()
|
|
|
Structure Proposal # 2765 XFPJZPBTMUJBHV Deviation = 5.45ppm
Search WEB for skeleton |
|
![]()
|
|
|
Structure Proposal # 2766 AQWGRIZFYMWVFA Deviation = 5.45ppm
Search WEB for skeleton respect to your proposal |
|
![]()
|
|
|
Structure Proposal # 2767 QAQKOZUKUPIIDQ Deviation = 5.45ppm
Search WEB for skeleton |
|
![]()
|
|
|
Structure Proposal # 2768 KVKNHVFYSOXVGK Deviation = 5.45ppm
Search WEB for skeleton respect to your proposal |
|
![]()
|
|
|
Structure Proposal # 2769 AEIRUHDZUXAXDO Deviation = 5.45ppm
Search WEB for skeleton |
|
![]()
|
|
|
Structure Proposal # 2770 IBNZYVCOBMSTCB Deviation = 5.45ppm
Search WEB for skeleton respect to your proposal |
|
![]()
|
|
|
Structure Proposal # 2771 XPJRAVPMNPIXEH Deviation = 5.45ppm
Search WEB for skeleton |
|
![]()
|
|
|
Structure Proposal # 2772 GRUZYLJLJYNGNB Deviation = 5.45ppm
Search WEB for skeleton |
|
![]()
|
|
|
Structure Proposal # 2773 IITBCRSPCZXIBC Deviation = 5.45ppm
Search WEB for skeleton respect to your proposal |
|
![]()
|
|
|
Structure Proposal # 2774 ZRWSUNVEGKKUOI Deviation = 5.45ppm
Search WEB for skeleton |
|
![]()
|
|
|
Structure Proposal # 2775 WWJXYAICCOVKGY Deviation = 5.45ppm
Search WEB for skeleton |
|
![]()
|
|
|
Structure Proposal # 2776 QVCQRACNEVFGJR Deviation = 5.46ppm
Search WEB for skeleton respect to your proposal |
|
![]()
|
|
|
Structure Proposal # 2777 ROVBYHUIMBYVGD Deviation = 5.46ppm
Search WEB for skeleton respect to your proposal |
|
![]()
|
|
|
Structure Proposal # 2778 IOAJPHYVJANXGT Deviation = 5.46ppm
Search WEB for skeleton respect to your proposal |
|
![]()
|
|
|
Structure Proposal # 2779 LMCWOCCJZUOTSE Deviation = 5.46ppm
Search WEB for skeleton |
|
![]()
|
|
|
Structure Proposal # 2780 BVYASAKTLHXHTA Deviation = 5.46ppm
Search WEB for skeleton respect to your proposal |
|
![]()
|
|
|
Structure Proposal # 2781 ZYIYLROKKAAIQQ Deviation = 5.46ppm
Search WEB for skeleton |
|
![]()
|
|
|
Structure Proposal # 2782 PWZADXXSRZBVOG Deviation = 5.46ppm
Search WEB for skeleton |
|
![]()
|
|
|
Structure Proposal # 2783 NGDTYZYKHXLECS Deviation = 5.46ppm
Search WEB for skeleton |
|
![]()
|
|
|
Structure Proposal # 2784 CZIIRVMZNPNKCK Deviation = 5.46ppm
Search WEB for skeleton |
|
![]()
|
|
|
Structure Proposal # 2785 VOYYFDKAYIYUMV Deviation = 5.46ppm
Search WEB for skeleton |
|
![]()
|
|
|
Structure Proposal # 2786 FJXYUCBVBJXISZ Deviation = 5.47ppm
Search WEB for skeleton |
|
![]()
|
|
|
Structure Proposal # 2787 AZCHRJSRHIRGCM Deviation = 5.47ppm
Search WEB for skeleton |
|
![]()
|
|
|
Structure Proposal # 2788 LPJOHLNSJJHNTK Deviation = 5.47ppm
Search WEB for skeleton respect to your proposal |
|
![]()
|
|
|
Structure Proposal # 2789 PCFZTFWSSKREEQ Deviation = 5.47ppm
Search WEB for skeleton |
|
![]()
|
|
|
Structure Proposal # 2790 OXUHJOSBOWUVGP Deviation = 5.47ppm
Search WEB for skeleton respect to your proposal |
|
![]()
|
|
|
Structure Proposal # 2791 COMRWBNKLFCKTO Deviation = 5.47ppm
Search WEB for skeleton |
|
![]()
|
|
|
Structure Proposal # 2792 VUNIIDWOIIJMKO Deviation = 5.47ppm
Search WEB for skeleton |
|
![]()
|
|
|
Structure Proposal # 2793 VIGJFAQJWDHJEW Deviation = 5.47ppm
Search WEB for skeleton |
|
![]()
|
|
|
Structure Proposal # 2794 CLOSWTUAKPLLQK Deviation = 5.47ppm
Search WEB for skeleton respect to your proposal |
|
![]()
|
|
|
Structure Proposal # 2795 MGNIMHXSEIBWDU Deviation = 5.48ppm
Search WEB for skeleton |
|
![]()
|
|
|
Structure Proposal # 2796 RRTLBOQFVABMBP Deviation = 5.48ppm
Search WEB for skeleton respect to your proposal |
|
![]()
|
|
|
Structure Proposal # 2797 DIBQIZOXIJMALZ Deviation = 5.48ppm
Search WEB for skeleton |
|
![]()
|
|
|
Structure Proposal # 2798 CBHFWDMPBLYFSO Deviation = 5.48ppm
Search WEB for skeleton |
|
![]()
|
|
|
Structure Proposal # 2799 RQHKKEKQCUBWTJ Deviation = 5.48ppm
Search WEB for skeleton |
|
![]()
|
|
|
Structure Proposal # 2800 FKVBFNABOTXDBE Deviation = 5.48ppm
Search WEB for skeleton respect to your proposal |
|
![]()
|
|
|
Structure Proposal # 2801 XNGNUZBBOIEPGH Deviation = 5.48ppm
Search WEB for skeleton respect to your proposal |
|
![]()
|
|
|
Structure Proposal # 2802 ZXLPILYRGAKKCW Deviation = 5.48ppm
Search WEB for skeleton respect to your proposal |
|
![]()
|
|
|
Structure Proposal # 2803 GLKCDYNKZILAQG Deviation = 5.48ppm
Search WEB for skeleton |
|
![]()
|
|
|
Structure Proposal # 2804 IPQMFNSTTPEZFA Deviation = 5.48ppm
Search WEB for skeleton |
|
![]()
|
|
|
Structure Proposal # 2805 KBLGNDREKPJZNK Deviation = 5.49ppm
Search WEB for skeleton |
|
![]()
|
|
|
Structure Proposal # 2806 KQRFXNVXISLQBK Deviation = 5.49ppm
Search WEB for skeleton |
|
![]()
|
|
|
Structure Proposal # 2807 PCXDBZLVPXTQKI Deviation = 5.49ppm
Search WEB for skeleton |
|
![]()
|
|
|
Structure Proposal # 2808 KDGYCNFGWGXXPH Deviation = 5.49ppm
Search WEB for skeleton respect to your proposal |
|
![]()
|
|
|
Structure Proposal # 2809 LJEQFRVUURUGCC Deviation = 5.49ppm
Search WEB for skeleton |
|
![]()
|
|
|
Structure Proposal # 2810 XJLVGHIVVHJDKM Deviation = 5.49ppm
Search WEB for skeleton respect to your proposal |
|
![]()
|
|
|
Structure Proposal # 2811 MHSVGKKVPZZLRU Deviation = 5.50ppm
Search WEB for skeleton |
|
![]()
|
|
|
Structure Proposal # 2812 CCZRVDOOLARTIV Deviation = 5.50ppm
Search WEB for skeleton respect to your proposal |
|
![]()
|
|
|
Structure Proposal # 2813 RPWXIZBOIJEPME Deviation = 5.50ppm
Search WEB for skeleton |
|
![]()
|
|
|
Structure Proposal # 2814 HXTUIGOAEWYKGJ Deviation = 5.50ppm
Search WEB for skeleton |
|
![]()
|
|
|
Structure Proposal # 2815 ZEGNTZZDYBOGRU Deviation = 5.50ppm
Search WEB for skeleton |
|
![]()
|
|
|
Structure Proposal # 2816 WOWKVNMIPDPWPY Deviation = 5.50ppm
Search WEB for skeleton |
|
![]()
|
|
|
Structure Proposal # 2817 ZIYQMYNWWSSWKU Deviation = 5.50ppm
Search WEB for skeleton |
|
![]()
|
|
|
Structure Proposal # 2818 IRGYQOUZPCWTQB Deviation = 5.50ppm
Search WEB for skeleton |
|
![]()
|
|
|
Structure Proposal # 2819 UUFYASIOKNYPGX Deviation = 5.50ppm
Search WEB for skeleton |
|
![]()
|
|
|
Structure Proposal # 2820 HZVPZGSBLIIGPL Deviation = 5.50ppm
Search WEB for skeleton |
|
![]()
|
|
|
Structure Proposal # 2821 LNLLBCWZSACNMY Deviation = 5.50ppm
Search WEB for skeleton |
|
![]()
|
|
|
Structure Proposal # 2822 VWYTXYZLQGVNSK Deviation = 5.50ppm
Search WEB for skeleton respect to your proposal |
|
![]()
|
|
|
Structure Proposal # 2823 BSYBTAMCWQSZGN Deviation = 5.51ppm
Search WEB for skeleton |
|
![]()
|
|
|
Structure Proposal # 2824 GUYMQVDXTPIMAQ Deviation = 5.51ppm
Search WEB for skeleton |
|
![]()
|
|
|
Structure Proposal # 2825 XHMDXEUJYGEICB Deviation = 5.51ppm
Search WEB for skeleton |
|
![]()
|
|
|
Structure Proposal # 2826 CRELDPWTHUYCKH Deviation = 5.51ppm
Search WEB for skeleton |
|
![]()
|
|
|
Structure Proposal # 2827 KQSQUJRDVGGVRG Deviation = 5.51ppm
Search WEB for skeleton |
|
![]()
|
|
|
Structure Proposal # 2828 FFOFGRWCLVNNBM Deviation = 5.51ppm
Search WEB for skeleton |
|
![]()
|
|
|
Structure Proposal # 2829 LWNDPZYJKANLSU Deviation = 5.51ppm
Search WEB for skeleton |
|
![]()
|
|
|
Structure Proposal # 2830 WWVNMEJVFAMDHH Deviation = 5.51ppm
Search WEB for skeleton |
|
![]()
|
|
|
Structure Proposal # 2831 OBBMNYIHAMOIDY Deviation = 5.51ppm
Search WEB for skeleton respect to your proposal |
|
![]()
|
|
|
Structure Proposal # 2832 LEJYZBLHMVODAK Deviation = 5.52ppm
Search WEB for skeleton |
|
![]()
|
|
|
Structure Proposal # 2833 AMBHFLYINRHYNJ Deviation = 5.52ppm
Search WEB for skeleton |
|
![]()
|
|
|
Structure Proposal # 2834 QZMHLCNTUGCPGU Deviation = 5.52ppm
Search WEB for skeleton |
|
![]()
|
|
|
Structure Proposal # 2835 YWDPMSDTMPTLKF Deviation = 5.52ppm
Search WEB for skeleton |
|
![]()
|
|
|
Structure Proposal # 2836 OZEDMQZJPMLVST Deviation = 5.52ppm
Search WEB for skeleton |
|
![]()
|
|
|
Structure Proposal # 2837 CKBGAECIKPKZOA Deviation = 5.53ppm
Search WEB for skeleton respect to your proposal |
|
![]()
|
|
|
Structure Proposal # 2838 PURVHDFYCGRUQG Deviation = 5.53ppm
Search WEB for skeleton respect to your proposal |
|
![]()
|
|
|
Structure Proposal # 2839 KKAMSEUFQPYKKH Deviation = 5.53ppm
Search WEB for skeleton |
|
![]()
|
|
|
Structure Proposal # 2840 CBHUAQQUDGPCHE Deviation = 5.53ppm
Search WEB for skeleton respect to your proposal |
|
![]()
|
|
|
Structure Proposal # 2841 STIMFYVBITVWDT Deviation = 5.53ppm
Search WEB for skeleton respect to your proposal |
|
![]()
|
|
|
Structure Proposal # 2842 DIPXMWOTBOAPKH Deviation = 5.54ppm
Search WEB for skeleton |
|
![]()
|
|
|
Structure Proposal # 2843 WNBNEFWWPLZFMS Deviation = 5.54ppm
Search WEB for skeleton |
|
![]()
|
|
|
Structure Proposal # 2844 MCOJZIGDMNJRDU Deviation = 5.54ppm
Search WEB for skeleton respect to your proposal |
|
![]()
|
|
|
Structure Proposal # 2845 AOCYSSBOTVOKOL Deviation = 5.54ppm
Search WEB for skeleton |
|
![]()
|
|
|
Structure Proposal # 2846 BPSQKVCPURDHDE Deviation = 5.54ppm
Search WEB for skeleton |
|
![]()
|
|
|
Structure Proposal # 2847 UDNYCBXBSAAFBO Deviation = 5.54ppm
Search WEB for skeleton respect to your proposal |
|
![]()
|
|
|
Structure Proposal # 2848 GSSJZRWXCCSUOW Deviation = 5.54ppm
Search WEB for skeleton |
|
![]()
|
|
|
Structure Proposal # 2849 XNLJFLVPCUSMKM Deviation = 5.54ppm
Search WEB for skeleton respect to your proposal |
|
![]()
|
|
|
Structure Proposal # 2850 NWGPIQJAKVMLFU Deviation = 5.54ppm
Search WEB for skeleton |
|
![]()
|
|
|
Structure Proposal # 2851 SJKVDXNUTVXZOQ Deviation = 5.55ppm
Search WEB for skeleton respect to your proposal |
|
![]()
|
|
|
Structure Proposal # 2852 CKOGYQAEFMZLID Deviation = 5.55ppm
Search WEB for skeleton |
|
![]()
|
|
|
Structure Proposal # 2853 GOIFIPZTXBPJNA Deviation = 5.55ppm
Search WEB for skeleton respect to your proposal |
|
![]()
|
|
|
Structure Proposal # 2854 LZEASYXMQNZLJR Deviation = 5.55ppm
Search WEB for skeleton respect to your proposal |
|
![]()
|
|
|
Structure Proposal # 2855 LQKIAFJYFWPHIE Deviation = 5.55ppm
Search WEB for skeleton |
|
![]()
|
|
|
Structure Proposal # 2856 NXJYKZUFSFJBIE Deviation = 5.55ppm
Search WEB for skeleton |
|
![]()
|
|
|
Structure Proposal # 2857 IRRYGHXGPPICAM Deviation = 5.55ppm
Search WEB for skeleton |
|
![]()
|
|
|
Structure Proposal # 2858 CBCILPHPZIHCAZ Deviation = 5.55ppm
Search WEB for skeleton |
|
![]()
|
|
|
Structure Proposal # 2859 XRIBUODZLCKLHJ Deviation = 5.55ppm
Search WEB for skeleton respect to your proposal |
|
![]()
|
|
|
Structure Proposal # 2860 QMXIQEJYWSJPRP Deviation = 5.55ppm
Search WEB for skeleton respect to your proposal |
|
![]()
|
|
|
Structure Proposal # 2861 HWWJGLRYVMDOIH Deviation = 5.55ppm
Search WEB for skeleton |
|
![]()
|
|
|
Structure Proposal # 2862 WYANGNAULJBYAI Deviation = 5.55ppm
Search WEB for skeleton |
|
![]()
|
|
|
Structure Proposal # 2863 YFODLIMHKKEXGG Deviation = 5.56ppm
Search WEB for skeleton respect to your proposal |
|
![]()
|
|
|
Structure Proposal # 2864 OBSRULQRUZGCKA Deviation = 5.56ppm
Search WEB for skeleton |
|
![]()
|
|
|
Structure Proposal # 2865 MUKZGLDIBCIFCF Deviation = 5.56ppm
Search WEB for skeleton respect to your proposal |
|
![]()
|
|
|
Structure Proposal # 2866 VZOYCJWYEFUSGP Deviation = 5.56ppm
Search WEB for skeleton respect to your proposal |
|
![]()
|
|
|
Structure Proposal # 2867 CDWSYMGBJFYSEG Deviation = 5.56ppm
Search WEB for skeleton respect to your proposal |
|
![]()
|
|
|
Structure Proposal # 2868 NCTDDJNFEDOANX Deviation = 5.56ppm
Search WEB for skeleton |
|
![]()
|
|
|
Structure Proposal # 2869 DXLAESXFLHTCSZ Deviation = 5.56ppm
Search WEB for skeleton |
|
![]()
|
|
|
Structure Proposal # 2870 ZPPRMLVXELOEFH Deviation = 5.56ppm
Search WEB for skeleton |
|
![]()
|
|
|
Structure Proposal # 2871 DEWKQOHNCLCNJP Deviation = 5.56ppm
Search WEB for skeleton |
|
![]()
|
|
|
Structure Proposal # 2872 PWZOOBLFSXWOIK Deviation = 5.56ppm
Search WEB for skeleton |
|
![]()
|
|
|
Structure Proposal # 2873 XISKRADZTAORKH Deviation = 5.57ppm
Search WEB for skeleton |
|
![]()
|
|
|
Structure Proposal # 2874 WIBTUNIGIMCPKE Deviation = 5.57ppm
Search WEB for skeleton |
|
![]()
|
|
|
Structure Proposal # 2875 MRKUHVCCBFVXGH Deviation = 5.57ppm
Search WEB for skeleton |
|
![]()
|
|
|
Structure Proposal # 2876 DVINQDMJRXPYRB Deviation = 5.58ppm
Search WEB for skeleton |
|
![]()
|
|
|
Structure Proposal # 2877 DQCPASQNDPQANR Deviation = 5.58ppm
Search WEB for skeleton respect to your proposal |
|
![]()
|
|
|
Structure Proposal # 2878 COJUOCLTQSQKMK Deviation = 5.58ppm
Search WEB for skeleton |
|
![]()
|
|
|
Structure Proposal # 2879 VMAUMUROXFAGAU Deviation = 5.58ppm
Search WEB for skeleton |
|
![]()
|
|
|
Structure Proposal # 2880 FXYGVTUWJGWBMC Deviation = 5.58ppm
Search WEB for skeleton |
|
![]()
|
|
|
Structure Proposal # 2881 QQUBRSRZRVVMHP Deviation = 5.58ppm
Search WEB for skeleton |
|
![]()
|
|
|
Structure Proposal # 2882 VZHKKGZOWHPFRY Deviation = 5.58ppm
Search WEB for skeleton |
|
![]()
|
|
|
Structure Proposal # 2883 CGTQUJAJGSFXIT Deviation = 5.58ppm
Search WEB for skeleton |
|
![]()
|
|
|
Structure Proposal # 2884 MFYFBLPPQPWSGH Deviation = 5.58ppm
Search WEB for skeleton |
|
![]()
|
|
|
Structure Proposal # 2885 FMVBSUNSXWXBLR Deviation = 5.58ppm
Search WEB for skeleton |
|
![]()
|
|
|
Structure Proposal # 2886 JAEFXVTUSWKSCJ Deviation = 5.59ppm
Search WEB for skeleton |
|
![]()
|
|
|
Structure Proposal # 2887 NPEOLTJUKAQHGS Deviation = 5.59ppm
Search WEB for skeleton |
|
![]()
|
|
|
Structure Proposal # 2888 GLIVSAFCMZIVDY Deviation = 5.59ppm
Search WEB for skeleton |
|
![]()
|
|
|
Structure Proposal # 2889 GABRGQAPWUVKSC Deviation = 5.59ppm
Search WEB for skeleton respect to your proposal |
|
![]()
|
|
|
Structure Proposal # 2890 XCXUPVOMBNSBBG Deviation = 5.60ppm
Search WEB for skeleton |
|
![]()
|
|
|
Structure Proposal # 2891 OMMHLCHVGSXEEN Deviation = 5.60ppm
Search WEB for skeleton |
|
![]()
|
|
|
Structure Proposal # 2892 LJPZTAZFQPRBRS Deviation = 5.60ppm
Search WEB for skeleton |
|
![]()
|
|
|
Structure Proposal # 2893 MNVQTDGBSAKLLY Deviation = 5.60ppm
Search WEB for skeleton |
|
![]()
|
|
|
Structure Proposal # 2894 QEUXGCAPWRAAMS Deviation = 5.60ppm
Search WEB for skeleton |
|
![]()
|
|
|
Structure Proposal # 2895 YYHOFZHWVZKBNW Deviation = 5.60ppm
Search WEB for skeleton |
|
![]()
|
|
|
Structure Proposal # 2896 QXAQWRWFIBHPNB Deviation = 5.60ppm
Search WEB for skeleton |
|
![]()
|
|
|
Structure Proposal # 2897 NFZZGKFCXHZLMA Deviation = 5.60ppm
Search WEB for skeleton |
|
![]()
|
|
|
Structure Proposal # 2898 OZGNMTYQKFBJMC Deviation = 5.60ppm
Search WEB for skeleton |
|
![]()
|
|
|
Structure Proposal # 2899 JMNWFQSBRDRUEV Deviation = 5.60ppm
Search WEB for skeleton respect to your proposal |
|
![]()
|
|
|
Structure Proposal # 2900 ZQNDHBANSJAHRT Deviation = 5.60ppm
Search WEB for skeleton |
|
![]()
|
|
|
Structure Proposal # 2901 STADWJAFUHXYFP Deviation = 5.61ppm
Search WEB for skeleton |
|
![]()
|
|
|
Structure Proposal # 2902 OSGLUQUMFDDDPR Deviation = 5.61ppm
Search WEB for skeleton |
|
![]()
|
|
|
Structure Proposal # 2903 UZDQTURYMOKMPZ Deviation = 5.61ppm
Search WEB for skeleton |
|
![]()
|
|
|
Structure Proposal # 2904 VSYLNFVMHRTCTF Deviation = 5.61ppm
Search WEB for skeleton |
|
![]()
|
|
|
Structure Proposal # 2905 SFZJQRNXOWWIMV Deviation = 5.61ppm
Search WEB for skeleton respect to your proposal |
|
![]()
|
|
|
Structure Proposal # 2906 VHOHYHQEPWHLDK Deviation = 5.62ppm
Search WEB for skeleton |
|
![]()
|
|
|
Structure Proposal # 2907 GIKZHBJOZWFIFS Deviation = 5.62ppm
Search WEB for skeleton respect to your proposal |
|
![]()
|
|
|
Structure Proposal # 2908 PTJWJEBASDBRJB Deviation = 5.62ppm
Search WEB for skeleton respect to your proposal |
|
![]()
|
|
|
Structure Proposal # 2909 DBFYQXMQYPNMFZ Deviation = 5.62ppm
Search WEB for skeleton |
|
![]()
|
|
|
Structure Proposal # 2910 JQRPGSZUIRBAAW Deviation = 5.62ppm
Search WEB for skeleton |
|
![]()
|
|
|
Structure Proposal # 2911 FIKJZPYTFDQSMS Deviation = 5.63ppm
Search WEB for skeleton |
|
![]()
|
|
|
Structure Proposal # 2912 OMHQXFSEEWBJQP Deviation = 5.63ppm
Search WEB for skeleton |
|
![]()
|
|
|
Structure Proposal # 2913 MEBJWCDKLGOROP Deviation = 5.63ppm
Search WEB for skeleton |
|
![]()
|
|
|
Structure Proposal # 2914 YRJFELLIJCNOHF Deviation = 5.63ppm
Search WEB for skeleton |
|
![]()
|
|
|
Structure Proposal # 2915 IETRIQSHTICMHX Deviation = 5.63ppm
Search WEB for skeleton |
|
![]()
|
|
|
Structure Proposal # 2916 HZHCTGVFWJVMAU Deviation = 5.63ppm
Search WEB for skeleton |
|
![]()
|
|
|
Structure Proposal # 2917 FXFYQXRFYXIDBO Deviation = 5.63ppm
Search WEB for skeleton |
|
![]()
|
|
|
Structure Proposal # 2918 CONIHLIBTSVOHR Deviation = 5.63ppm
Search WEB for skeleton |
|
![]()
|
|
|
Structure Proposal # 2919 SLJWMYVMPAXPLO Deviation = 5.64ppm
Search WEB for skeleton |
|
![]()
|
|
|
Structure Proposal # 2920 YFDDXVQASQWDGZ Deviation = 5.64ppm
Search WEB for skeleton |
|
![]()
|
|
|
Structure Proposal # 2921 PBKRNVQFMFEFEP Deviation = 5.64ppm
Search WEB for skeleton |
|
![]()
|
|
|
Structure Proposal # 2922 YFZQPEALHKROHG Deviation = 5.64ppm
Search WEB for skeleton respect to your proposal |
|
![]()
|
|
|
Structure Proposal # 2923 YRKKWFSDAKRUDJ Deviation = 5.64ppm
Search WEB for skeleton |
|
![]()
|
|
|
Structure Proposal # 2924 BWXUXQSNVHWSGU Deviation = 5.64ppm
Search WEB for skeleton |
|
![]()
|
|
|
Structure Proposal # 2925 ICEZDZLBPJHHEF Deviation = 5.64ppm
Search WEB for skeleton respect to your proposal |
|
![]()
|
|
|
Structure Proposal # 2926 GSXCFXQNTOBAOJ Deviation = 5.64ppm
Search WEB for skeleton |
|
![]()
|
|
|
Structure Proposal # 2927 ISUFLWZGEXNNIW Deviation = 5.64ppm
Search WEB for skeleton |
|
![]()
|
|
|
Structure Proposal # 2928 RMSGFQPDCCBVGE Deviation = 5.64ppm
Search WEB for skeleton |
|
![]()
|
|
|
Structure Proposal # 2929 GRHSCFHVIHVBLO Deviation = 5.64ppm
Search WEB for skeleton respect to your proposal |
|
![]()
|
|
|
Structure Proposal # 2930 KMZPBMSGJLMYGJ Deviation = 5.65ppm
Search WEB for skeleton |
|
![]()
|
|
|
Structure Proposal # 2931 MYVHFZRXSJMWSB Deviation = 5.65ppm
Search WEB for skeleton respect to your proposal |
|
![]()
|
|
|
Structure Proposal # 2932 RCMUKJIONFJRJL Deviation = 5.65ppm
Search WEB for skeleton |
|
![]()
|
|
|
Structure Proposal # 2933 GLSBMPGQXVTJKJ Deviation = 5.65ppm
Search WEB for skeleton respect to your proposal |
|
![]()
|
|
|
Structure Proposal # 2934 AXJKKBSUJKFDGG Deviation = 5.65ppm
Search WEB for skeleton respect to your proposal |
|
![]()
|
|
|
Structure Proposal # 2935 GFBKVFUUANZGQO Deviation = 5.65ppm
Search WEB for skeleton |
|
![]()
|
|
|
Structure Proposal # 2936 MOCMDLWNUFRJIB Deviation = 5.66ppm
Search WEB for skeleton respect to your proposal |
|
![]()
|
|
|
Structure Proposal # 2937 UUGPXXHPCRPNAD Deviation = 5.66ppm
Search WEB for skeleton |
|
![]()
|
|
|
Structure Proposal # 2938 NCINUYTZWXCQPT Deviation = 5.66ppm
Search WEB for skeleton |
|
![]()
|
|
|
Structure Proposal # 2939 LPMDDJYKLDAJKE Deviation = 5.66ppm
Search WEB for skeleton respect to your proposal |
|
![]()
|
|
|
Structure Proposal # 2940 RMXIRKZCDRQEGZ Deviation = 5.67ppm
Search WEB for skeleton |
|
![]()
|
|
|
Structure Proposal # 2941 LCWKWVYZKVIKSL Deviation = 5.67ppm
Search WEB for skeleton |
|
![]()
|
|
|
Structure Proposal # 2942 JMJFSIPFANDQCM Deviation = 5.67ppm
Search WEB for skeleton |
|
![]()
|
|
|
Structure Proposal # 2943 WEXRHZLYWMQPIO Deviation = 5.67ppm
Search WEB for skeleton respect to your proposal |
|
![]()
|
|
|
Structure Proposal # 2944 SZVVMFRKKFQPTQ Deviation = 5.67ppm
Search WEB for skeleton |
|
![]()
|
|
|
Structure Proposal # 2945 ZNFNDUJZJCQTRA Deviation = 5.67ppm
Search WEB for skeleton respect to your proposal |
|
![]()
|
|
|
Structure Proposal # 2946 BBZWQJVEKCMBQJ Deviation = 5.67ppm
Search WEB for skeleton |
|
![]()
|
|
|
Structure Proposal # 2947 MPUJGUAODVUUAW Deviation = 5.67ppm
Search WEB for skeleton |
|
![]()
|
|
|
Structure Proposal # 2948 XUAUCZCHHDUSLS Deviation = 5.67ppm
Search WEB for skeleton |
|
![]()
|
|
|
Structure Proposal # 2949 YBRAGFFPCISDJQ Deviation = 5.68ppm
Search WEB for skeleton |
|
![]()
|
|
|
Structure Proposal # 2950 IVOOZEVQGRVWOE Deviation = 5.68ppm
Search WEB for skeleton |
|
![]()
|
|
|
Structure Proposal # 2951 OIIFGSKBBPQPIL Deviation = 5.68ppm
Search WEB for skeleton |
|
![]()
|
|
|
Structure Proposal # 2952 UOWYKTQXFXMXOJ Deviation = 5.68ppm
Search WEB for skeleton respect to your proposal |
|
![]()
|
|
|
Structure Proposal # 2953 SDULGYJXQXSEPO Deviation = 5.68ppm
Search WEB for skeleton |
|
![]()
|
|
|
Structure Proposal # 2954 MDSNNJHUYGFQDD Deviation = 5.68ppm
Search WEB for skeleton respect to your proposal |
|
![]()
|
|
|
Structure Proposal # 2955 CYEFDTIZVAYQPJ Deviation = 5.69ppm
Search WEB for skeleton respect to your proposal |
|
![]()
|
|
|
Structure Proposal # 2956 VILBJPVEYIHSBK Deviation = 5.69ppm
Search WEB for skeleton |
|
![]()
|
|
|
Structure Proposal # 2957 JUJZPUWXNDGUCO Deviation = 5.69ppm
Search WEB for skeleton |
|
![]()
|
|
|
Structure Proposal # 2958 DDMDTWNWLXHUFN Deviation = 5.69ppm
Search WEB for skeleton |
|
![]()
|
|
|
Structure Proposal # 2959 NXTCJZVXZRTCPY Deviation = 5.69ppm
Search WEB for skeleton |
|
![]()
|
|
|
Structure Proposal # 2960 SAAUOZGBFXGNDX Deviation = 5.70ppm
Search WEB for skeleton respect to your proposal |
|
![]()
|
|
|
Structure Proposal # 2961 PABXLFFXJKUZAX Deviation = 5.70ppm
Search WEB for skeleton |
|
![]()
|
|
|
Structure Proposal # 2962 FLWRDWZRZXLQMX Deviation = 5.70ppm
Search WEB for skeleton respect to your proposal |
|
![]()
|
|
|
Structure Proposal # 2963 ANORDSIKDXURNG Deviation = 5.71ppm
Search WEB for skeleton respect to your proposal |
|
![]()
|
|
|
Structure Proposal # 2964 YVIMVLMMLCQROW Deviation = 5.71ppm
Search WEB for skeleton |
|
![]()
|
|
|
Structure Proposal # 2965 GQAKUZHNEVIHCB Deviation = 5.71ppm
Search WEB for skeleton |
|
![]()
|
|
|
Structure Proposal # 2966 KWWLALIYLJUSJS Deviation = 5.71ppm
Search WEB for skeleton |
|
![]()
|
|
|
Structure Proposal # 2967 SIEMLPGKQIZYBD Deviation = 5.71ppm
Search WEB for skeleton |
|
![]()
|
|
|
Structure Proposal # 2968 BCCASFXIXQVKHG Deviation = 5.71ppm
Search WEB for skeleton |
|
![]()
|
|
|
Structure Proposal # 2969 LGNBDNUXGRDGCJ Deviation = 5.71ppm
Search WEB for skeleton |
|
![]()
|
|
|
Structure Proposal # 2970 TXFZKWIHYKXQAD Deviation = 5.71ppm
Search WEB for skeleton |
|
![]()
|
|
|
Structure Proposal # 2971 DAZFFZVHILHPLK Deviation = 5.72ppm
Search WEB for skeleton respect to your proposal |
|
![]()
|
|
|
Structure Proposal # 2972 JGIQUAOSRKLTGF Deviation = 5.72ppm
Search WEB for skeleton |
|
![]()
|
|
|
Structure Proposal # 2973 RDHKYWQXUBZTGY Deviation = 5.72ppm
Search WEB for skeleton |
|
![]()
|
|
|
Structure Proposal # 2974 ZXUOBIILKOFBOR Deviation = 5.72ppm
Search WEB for skeleton |
|
![]()
|
|
|
Structure Proposal # 2975 UWPRCNLBOLHNGX Deviation = 5.72ppm
Search WEB for skeleton respect to your proposal |
|
![]()
|
|
|
Structure Proposal # 2976 MNWWXEGUEJQBDN Deviation = 5.72ppm
Search WEB for skeleton |
|
![]()
|
|
|
Structure Proposal # 2977 ZVRUARCDYXVACA Deviation = 5.72ppm
Search WEB for skeleton respect to your proposal |
|
![]()
|
|
|
Structure Proposal # 2978 PNONKCCBLGHJMG Deviation = 5.72ppm
Search WEB for skeleton |
|
![]()
|
|
|
Structure Proposal # 2979 DTYQACBFZSXKBP Deviation = 5.72ppm
Search WEB for skeleton |
|
![]()
|
|
|
Structure Proposal # 2980 MEDYELRLSXFONH Deviation = 5.72ppm
Search WEB for skeleton |
|
![]()
|
|
|
Structure Proposal # 2981 ORUINISVWWMUON Deviation = 5.72ppm
Search WEB for skeleton |
|
![]()
|
|
|
Structure Proposal # 2982 DMMXXVJMEVHRJD Deviation = 5.72ppm
Search WEB for skeleton respect to your proposal |
|
![]()
|
|
|
Structure Proposal # 2983 CIKJQLXCIAFQOR Deviation = 5.73ppm
Search WEB for skeleton |
|
![]()
|
|
|
Structure Proposal # 2984 SVABYJIQXPCWEH Deviation = 5.73ppm
Search WEB for skeleton respect to your proposal |
|
![]()
|
|
|
Structure Proposal # 2985 LBVPYMNMCQAJBU Deviation = 5.73ppm
Search WEB for skeleton |
|
![]()
|
|
|
Structure Proposal # 2986 FUKVIWMVZBOZII Deviation = 5.73ppm
Search WEB for skeleton |
|
![]()
|
|
|
Structure Proposal # 2987 IWYAZOIPJKLYGY Deviation = 5.73ppm
Search WEB for skeleton respect to your proposal |
|
![]()
|
|
|
Structure Proposal # 2988 CRLMHOAARNDLTC Deviation = 5.73ppm
Search WEB for skeleton |
|
![]()
|
|
|
Structure Proposal # 2989 PYJJYRBAGGYQAQ Deviation = 5.74ppm
Search WEB for skeleton |
|
![]()
|
|
|
Structure Proposal # 2990 ZHPDVDHHIGBHEJ Deviation = 5.74ppm
Search WEB for skeleton respect to your proposal |
|
![]()
|
|
|
Structure Proposal # 2991 NAVDPJNDMFREJC Deviation = 5.74ppm
Search WEB for skeleton |
|
![]()
|
|
|
Structure Proposal # 2992 LUNCIEBKWFDKJO Deviation = 5.74ppm
Search WEB for skeleton respect to your proposal |
|
![]()
|
|
|
Structure Proposal # 2993 FOBUXIAYTGSHNW Deviation = 5.74ppm
Search WEB for skeleton |
|
![]()
|
|
|
Structure Proposal # 2994 ADJLXYBFLGKFNJ Deviation = 5.74ppm
Search WEB for skeleton respect to your proposal |
|
![]()
|
|
|
Structure Proposal # 2995 HTYFNAURSDADDJ Deviation = 5.74ppm
Search WEB for skeleton respect to your proposal |
|
![]()
|
|
|
Structure Proposal # 2996 IFSKQKMGFCCELN Deviation = 5.74ppm
Search WEB for skeleton |
|
![]()
|
|
|
Structure Proposal # 2997 SMRHONLQFGHOSW Deviation = 5.74ppm
Search WEB for skeleton |
|
![]()
|
|
|
Structure Proposal # 2998 LNCMOEBYRFIEPU Deviation = 5.75ppm
Search WEB for skeleton |
|
![]()
|
|
|
Structure Proposal # 2999 YUCPSUDISIZPRK Deviation = 5.75ppm
Search WEB for skeleton respect to your proposal |
|
![]()
|
|
|
Structure Proposal # 3000 IXBWMLLXPKNHFZ Deviation = 5.75ppm
Search WEB for skeleton |
|
![]()
|
|
|
Structure Proposal # 3001 NGQVINNCPNMPID Deviation = 5.76ppm
Search WEB for skeleton respect to your proposal |
|
![]()
|
|
|
Structure Proposal # 3002 JCNWLOBREYBMOS Deviation = 5.76ppm
Search WEB for skeleton |
|
![]()
|
|
|
Structure Proposal # 3003 FCIWVESTKJWGOQ Deviation = 5.76ppm
Search WEB for skeleton |
|
![]()
|
|
|
Structure Proposal # 3004 UPMVRMNWCZIZED Deviation = 5.76ppm
Search WEB for skeleton respect to your proposal |
|
![]()
|
|
|
Structure Proposal # 3005 JPLPFHKGYDKGFM Deviation = 5.76ppm
Search WEB for skeleton |
|
![]()
|
|
|
Structure Proposal # 3006 PHBVWNWZRKUYCB Deviation = 5.77ppm
Search WEB for skeleton respect to your proposal |
|
![]()
|
|
|
Structure Proposal # 3007 ODORAFVQENBSAP Deviation = 5.77ppm
Search WEB for skeleton respect to your proposal |
|
![]()
|
|
|
Structure Proposal # 3008 AAWJMDHMUIKMFV Deviation = 5.77ppm
Search WEB for skeleton |
|
![]()
|
|
|
Structure Proposal # 3009 RWXLTVDEGBUFTH Deviation = 5.77ppm
Search WEB for skeleton |
|
![]()
|
|
|
Structure Proposal # 3010 BJDORLCOFSSASC Deviation = 5.77ppm
Search WEB for skeleton |
|
![]()
|
|
|
Structure Proposal # 3011 QHSGURJZABZMKR Deviation = 5.77ppm
Search WEB for skeleton |
|
![]()
|
|
|
Structure Proposal # 3012 JUPMDNGNJDGZAS Deviation = 5.78ppm
Search WEB for skeleton |
|
![]()
|
|
|
Structure Proposal # 3013 JPTNYARAGZVCDA Deviation = 5.78ppm
Search WEB for skeleton |
|
![]()
|
|
|
Structure Proposal # 3014 DEJCMTSXTKPPLN Deviation = 5.78ppm
Search WEB for skeleton |
|
![]()
|
|
|
Structure Proposal # 3015 QKYRFDLOEKJEPU Deviation = 5.78ppm
Search WEB for skeleton |
|
![]()
|
|
|
Structure Proposal # 3016 VPYWFOPOWYOIIP Deviation = 5.79ppm
Search WEB for skeleton |
|
![]()
|
|
|
Structure Proposal # 3017 MSAYWZGOGKGELW Deviation = 5.79ppm
Search WEB for skeleton |
|
![]()
|
|
|
Structure Proposal # 3018 KHQALJZATSGGDR Deviation = 5.79ppm
Search WEB for skeleton respect to your proposal |
|
![]()
|
|
|
Structure Proposal # 3019 IDMGNXWMQKAYDK Deviation = 5.80ppm
Search WEB for skeleton |
|
![]()
|
|
|
Structure Proposal # 3020 QSZWUCLCIPPOCB Deviation = 5.80ppm
Search WEB for skeleton |
|
![]()
|
|
|
Structure Proposal # 3021 YWKDAPWHOYAPNG Deviation = 5.80ppm
Search WEB for skeleton |
|
![]()
|
|
|
Structure Proposal # 3022 OTSUVGNVJKDETC Deviation = 5.80ppm
Search WEB for skeleton |
|
![]()
|
|
|
Structure Proposal # 3023 BIZKJGMUWISQIQ Deviation = 5.80ppm
Search WEB for skeleton |
|
![]()
|
|
|
Structure Proposal # 3024 DIHMQLHCZLWCQH Deviation = 5.81ppm
Search WEB for skeleton |
|
![]()
|
|
|
Structure Proposal # 3025 ZRKZARTZBOVJFF Deviation = 5.81ppm
Search WEB for skeleton respect to your proposal |
|
![]()
|
|
|
Structure Proposal # 3026 OWQBPBBQPPKTPI Deviation = 5.81ppm
Search WEB for skeleton |
|
![]()
|
|
|
Structure Proposal # 3027 MKQPWHDBCZFJPJ Deviation = 5.81ppm
Search WEB for skeleton |
|
![]()
|
|
|
Structure Proposal # 3028 DOLGYMOPPWMXSA Deviation = 5.82ppm
Search WEB for skeleton respect to your proposal |
|
![]()
|
|
|
Structure Proposal # 3029 PMCSCJPVTLIGGI Deviation = 5.82ppm
Search WEB for skeleton respect to your proposal |
|
![]()
|
|
|
Structure Proposal # 3030 PMBAXVFSZZVBBR Deviation = 5.82ppm
Search WEB for skeleton |
|
![]()
|
|
|
Structure Proposal # 3031 SYBFOXOANCIDDH Deviation = 5.82ppm
Search WEB for skeleton |
|
![]()
|
|
|
Structure Proposal # 3032 RJPBHHWNKDEOLL Deviation = 5.82ppm
Search WEB for skeleton respect to your proposal |
|
![]()
|
|
|
Structure Proposal # 3033 QKUMGNMCXDNMQX Deviation = 5.82ppm
Search WEB for skeleton |
|
![]()
|
|
|
Structure Proposal # 3034 SRWMXOPJQHMASE Deviation = 5.83ppm
Search WEB for skeleton |
|
![]()
|
|
|
Structure Proposal # 3035 VMIINRVFWKDQKF Deviation = 5.83ppm
Search WEB for skeleton |
|
![]()
|
|
|
Structure Proposal # 3036 OXWZQVWPZYQQAB Deviation = 5.83ppm
Search WEB for skeleton |
|
![]()
|
|
|
Structure Proposal # 3037 RSHNUJWHWAXRKX Deviation = 5.84ppm
Search WEB for skeleton respect to your proposal |
|
![]()
|
|
|
Structure Proposal # 3038 XRYKAEPMXAMICT Deviation = 5.84ppm
Search WEB for skeleton respect to your proposal |
|
![]()
|
|
|
Structure Proposal # 3039 JVORZDYOBCTTOC Deviation = 5.84ppm
Search WEB for skeleton |
|
![]()
|
|
|
Structure Proposal # 3040 AXSFWXNQQDTHIH Deviation = 5.84ppm
Search WEB for skeleton respect to your proposal |
|
![]()
|
|
|
Structure Proposal # 3041 RRERUELKTBRLPV Deviation = 5.84ppm
Search WEB for skeleton respect to your proposal |
|
![]()
|
|
|
Structure Proposal # 3042 JIYHMDLMCUGRNZ Deviation = 5.85ppm
Search WEB for skeleton respect to your proposal |
|
![]()
|
|
|
Structure Proposal # 3043 YITZRYHWIKUVJE Deviation = 5.85ppm
Search WEB for skeleton |
|
![]()
|
|
|
Structure Proposal # 3044 RCUNOZMYAPBWKE Deviation = 5.85ppm
Search WEB for skeleton |
|
![]()
|
|
|
Structure Proposal # 3045 KOJWKDOTHMEMEI Deviation = 5.85ppm
Search WEB for skeleton respect to your proposal |
|
![]()
|
|
|
Structure Proposal # 3046 UCFKIKKQZVSCEC Deviation = 5.86ppm
Search WEB for skeleton |
|
![]()
|
|
|
Structure Proposal # 3047 OQTDYWTWWRVMMQ Deviation = 5.86ppm
Search WEB for skeleton |
|
![]()
|
|
|
Structure Proposal # 3048 BJTSOUIOROEFDG Deviation = 5.86ppm
Search WEB for skeleton |
|
![]()
|
|
|
Structure Proposal # 3049 YAWFQHIZOPZZFH Deviation = 5.86ppm
Search WEB for skeleton |
|
![]()
|
|
|
Structure Proposal # 3050 FHUJYRVMWGKUQF Deviation = 5.86ppm
Search WEB for skeleton |
|
![]()
|
|
|
Structure Proposal # 3051 MLLXVHLFADFDTB Deviation = 5.86ppm
Search WEB for skeleton respect to your proposal |
|
![]()
|
|
|
Structure Proposal # 3052 WLDWBHQISHWUEL Deviation = 5.87ppm
Search WEB for skeleton |
|
![]()
|
|
|
Structure Proposal # 3053 ORKQSELCNOHYGY Deviation = 5.87ppm
Search WEB for skeleton |
|
![]()
|
|
|
Structure Proposal # 3054 GORLRTDLVYYENT Deviation = 5.87ppm
Search WEB for skeleton |
|
![]()
|
|
|
Structure Proposal # 3055 HGWLJDFYNHTSFA Deviation = 5.89ppm
Search WEB for skeleton |
|
![]()
|
|
|
Structure Proposal # 3056 IZAOAOLPTGBJBY Deviation = 5.89ppm
Search WEB for skeleton respect to your proposal |
|
![]()
|
|
|
Structure Proposal # 3057 GLKINRKBGVHSTI Deviation = 5.90ppm
Search WEB for skeleton |
|
![]()
|
|
|
Structure Proposal # 3058 OKBISAYJFCGGCZ Deviation = 5.90ppm
Search WEB for skeleton |
|
![]()
|
|
|
Structure Proposal # 3059 ULODIPQUZPMGPX Deviation = 5.90ppm
Search WEB for skeleton respect to your proposal |
|
![]()
|
|
|
Structure Proposal # 3060 CWBPIPNHULMDRJ Deviation = 5.91ppm
Search WEB for skeleton respect to your proposal |
|
![]()
|
|
|
Structure Proposal # 3061 SZOVPTWWKSVITN Deviation = 5.91ppm
Search WEB for skeleton |
|
![]()
|
|
|
Structure Proposal # 3062 MUJDNROJQCSIDC Deviation = 5.91ppm
Search WEB for skeleton |
|
![]()
|
|
|
Structure Proposal # 3063 DLUHXCJCHLRUGJ Deviation = 5.91ppm
Search WEB for skeleton |
|
![]()
|
|
|
Structure Proposal # 3064 NLXWRVLAMQDKDY Deviation = 5.92ppm
Search WEB for skeleton |
|
![]()
|
|
|
Structure Proposal # 3065 MNMUWIDLZDOPCB Deviation = 5.92ppm
Search WEB for skeleton |
|
![]()
|
|
|
Structure Proposal # 3066 PYIVZRACHZCBGW Deviation = 5.92ppm
Search WEB for skeleton |
|
![]()
|
|
|
Structure Proposal # 3067 ABECLNBGKIHZEY Deviation = 5.92ppm
Search WEB for skeleton |
|
![]()
|
|
|
Structure Proposal # 3068 NLAUQPBGWQUPMI Deviation = 5.92ppm
Search WEB for skeleton respect to your proposal |
|
![]()
|
|
|
Structure Proposal # 3069 YXUIYXIXWGQACC Deviation = 5.93ppm
Search WEB for skeleton respect to your proposal |
|
![]()
|
|
|
Structure Proposal # 3070 IPIUVEPJKDNGOP Deviation = 5.93ppm
Search WEB for skeleton respect to your proposal |
|
![]()
|
|
|
Structure Proposal # 3071 BJQBGCPLBDRWDP Deviation = 5.94ppm
Search WEB for skeleton |
|
![]()
|
|
|
Structure Proposal # 3072 SXSPWAWNYOISCD Deviation = 5.94ppm
Search WEB for skeleton respect to your proposal |
|
![]()
|
|
|
Structure Proposal # 3073 DHOUXJQTXFDJOG Deviation = 5.94ppm
Search WEB for skeleton |
|
![]()
|
|
|
Structure Proposal # 3074 OBBUQSYAIKYWEM Deviation = 5.94ppm
Search WEB for skeleton respect to your proposal |
|
![]()
|
|
|
Structure Proposal # 3075 CWLNUKDJVDUERU Deviation = 5.94ppm
Search WEB for skeleton |
|
![]()
|
|
|
Structure Proposal # 3076 DIOVBTDWFNXIIQ Deviation = 5.94ppm
Search WEB for skeleton |
|
![]()
|
|
|
Structure Proposal # 3077 YABZIZDFMOGBMB Deviation = 5.94ppm
Search WEB for skeleton |
|
![]()
|
|
|
Structure Proposal # 3078 SORVBPQYDPDYQA Deviation = 5.95ppm
Search WEB for skeleton |
|
![]()
|
|
|
Structure Proposal # 3079 QSANBIMUYHHBDB Deviation = 5.95ppm
Search WEB for skeleton respect to your proposal |
|
![]()
|
|
|
Structure Proposal # 3080 WGCCKMPQQRFBIZ Deviation = 5.96ppm
Search WEB for skeleton respect to your proposal |
|
![]()
|
|
|
Structure Proposal # 3081 HJWJDGBCVNHYFC Deviation = 5.96ppm
Search WEB for skeleton respect to your proposal |
|
![]()
|
|
|
Structure Proposal # 3082 FZRCDFSEOXCKBM Deviation = 5.96ppm
Search WEB for skeleton respect to your proposal |
|
![]()
|
|
|
Structure Proposal # 3083 GOGLSXKGKSXTBH Deviation = 5.96ppm
Search WEB for skeleton respect to your proposal |
|
![]()
|
|
|
Structure Proposal # 3084 DFXJGJJVFFSDMI Deviation = 5.96ppm
Search WEB for skeleton respect to your proposal |
|
![]()
|
|
|
Structure Proposal # 3085 OMHBLWQNOHYULV Deviation = 5.97ppm
Search WEB for skeleton respect to your proposal |
|
![]()
|
|
|
Structure Proposal # 3086 RQUVDYMIEOWBII Deviation = 5.97ppm
Search WEB for skeleton |
|
![]()
|
|
|
Structure Proposal # 3087 VHSHSAQACQSINO Deviation = 5.97ppm
Search WEB for skeleton respect to your proposal |
|
![]()
|
|
|
Structure Proposal # 3088 ZRPOEKJHRZNXBS Deviation = 5.97ppm
Search WEB for skeleton |
|
![]()
|
|
|
Structure Proposal # 3089 NBCFVAAYBYMDGK Deviation = 5.97ppm
Search WEB for skeleton |
|
![]()
|
|
|
Structure Proposal # 3090 GUFWWWDXFVFTEB Deviation = 5.98ppm
Search WEB for skeleton |
|
![]()
|
|
|
Structure Proposal # 3091 FXMYOTLMXIOGTN Deviation = 5.98ppm
Search WEB for skeleton |
|
![]()
|
|
|
Structure Proposal # 3092 BDNUNTXCTYGHDZ Deviation = 5.99ppm
Search WEB for skeleton |
|
![]()
|
|
|
Structure Proposal # 3093 LMQNIWQHRLQBKA Deviation = 5.99ppm
Search WEB for skeleton |
|
![]()
|
|
|
Structure Proposal # 3094 HBIFFTKRZYLMEH Deviation = 5.99ppm
Search WEB for skeleton |
|
![]()
|
|
|
Structure Proposal # 3095 AFOKKXRIMRZGLG Deviation = 5.99ppm
Search WEB for skeleton |
|
![]()
|
|
|
Structure Proposal # 3096 CKAHKWSZCNVJBF Deviation = 5.99ppm
Search WEB for skeleton |
|
![]()
|
|
|
Structure Proposal # 3097 NKAIYJYNWCKDNY Deviation = 5.99ppm
Search WEB for skeleton |
|
![]()
|
|
|
Structure Proposal # 3098 BQCIKGFCXZWBNB Deviation = 6.00ppm
Search WEB for skeleton |
|
![]()
|
|
|
Structure Proposal # 3099 QKBYJUYLFLHMNG Deviation = 6.00ppm
Search WEB for skeleton respect to your proposal |
|
![]()
|
|
|
Structure Proposal # 3100 LZQLURGYWLURAX Deviation = 6.00ppm
Search WEB for skeleton |
|
![]()
|
|
|
Structure Proposal # 3101 PYGJCMJDEGIIFK Deviation = 6.02ppm
Search WEB for skeleton respect to your proposal |
|
![]()
|
|
|
Structure Proposal # 3102 LBSCZGHKADXLGM Deviation = 6.02ppm
Search WEB for skeleton respect to your proposal |
|
![]()
|
|
|
Structure Proposal # 3103 BHHPKUYBJKXNBK Deviation = 6.02ppm
Search WEB for skeleton |
|
![]()
|
|
|
Structure Proposal # 3104 VWYSLQOWUBAOKS Deviation = 6.02ppm
Search WEB for skeleton |
|
![]()
|
|
|
Structure Proposal # 3105 UVVPTYGZNKASCM Deviation = 6.03ppm
Search WEB for skeleton |
|
![]()
|
|
|
Structure Proposal # 3106 PTHHBYRSBYIEFE Deviation = 6.04ppm
Search WEB for skeleton |
|
![]()
|
|
|
Structure Proposal # 3107 XHDHVLUQUKWQEJ Deviation = 6.04ppm
Search WEB for skeleton respect to your proposal |
|
![]()
|
|
|
Structure Proposal # 3108 IMGYDPNMTOWZFA Deviation = 6.04ppm
Search WEB for skeleton |
|
![]()
|
|
|
Structure Proposal # 3109 PHFCAFSVERAURC Deviation = 6.05ppm
Search WEB for skeleton |
|
![]()
|
|
|
Structure Proposal # 3110 DIQUCWCQWXWHIM Deviation = 6.05ppm
Search WEB for skeleton respect to your proposal |
|
![]()
|
|
|
Structure Proposal # 3111 GVCNLYYTDQXTPC Deviation = 6.05ppm
Search WEB for skeleton |
|
![]()
|
|
|
Structure Proposal # 3112 PUFGNCJNRAJSJH Deviation = 6.05ppm
Search WEB for skeleton respect to your proposal |
|
![]()
|
|
|
Structure Proposal # 3113 MUMPWUNNLOUTBH Deviation = 6.07ppm
Search WEB for skeleton |
|
![]()
|
|
|
Structure Proposal # 3114 LCSVOEYKKHQIGH Deviation = 6.07ppm
Search WEB for skeleton |
|
![]()
|
|
|
Structure Proposal # 3115 FPXRSOHWWBJVRT Deviation = 6.07ppm
Search WEB for skeleton |
|
![]()
|
|
|
Structure Proposal # 3116 IPKCQALWSPHZCO Deviation = 6.07ppm
Search WEB for skeleton |
|
![]()
|
|
|
Structure Proposal # 3117 OCVHZCRKJFDCAM Deviation = 6.07ppm
Search WEB for skeleton respect to your proposal |
|
![]()
|
|
|
Structure Proposal # 3118 VHENKYOZZLXBPA Deviation = 6.07ppm
Search WEB for skeleton respect to your proposal |
|
![]()
|
|
|
Structure Proposal # 3119 YXWYDBHUJPDDET Deviation = 6.08ppm
Search WEB for skeleton respect to your proposal |
|
![]()
|
|
|
Structure Proposal # 3120 LDPBXBLXJIJQLC Deviation = 6.08ppm
Search WEB for skeleton |
|
![]()
|
|
|
Structure Proposal # 3121 RZDLRQFZKSYYHX Deviation = 6.08ppm
Search WEB for skeleton |
|
![]()
|
|
|
Structure Proposal # 3122 DMIDYXVFIJDGEV Deviation = 6.08ppm
Search WEB for skeleton respect to your proposal |
|
![]()
|
|
|
Structure Proposal # 3123 KVSQVHOFJJSMCC Deviation = 6.09ppm
Search WEB for skeleton |
|
![]()
|
|
|
Structure Proposal # 3124 KQNNQMZSQSJASQ Deviation = 6.09ppm
Search WEB for skeleton |
|
![]()
|
|
|
Structure Proposal # 3125 WDWRIRCPNBADDN Deviation = 6.09ppm
Search WEB for skeleton |
|
![]()
|
|
|
Structure Proposal # 3126 IKWMTVVBCYAUNM Deviation = 6.09ppm
Search WEB for skeleton respect to your proposal |
|
![]()
|
|
|
Structure Proposal # 3127 LLJDYQUIKCPPQF Deviation = 6.09ppm
Search WEB for skeleton |
|
![]()
|
|
|
Structure Proposal # 3128 QRMGMCHWBYFWAB Deviation = 6.09ppm
Search WEB for skeleton |
|
![]()
|
|
|
Structure Proposal # 3129 PVEGMWHVBTXYLH Deviation = 6.09ppm
Search WEB for skeleton |
|
![]()
|
|
|
Structure Proposal # 3130 FREMIOWPQUXWKS Deviation = 6.10ppm
Search WEB for skeleton respect to your proposal |
|
![]()
|
|
|
Structure Proposal # 3131 ZJWUTCSCIVAASB Deviation = 6.10ppm
Search WEB for skeleton respect to your proposal |
|
![]()
|
|
|
Structure Proposal # 3132 XHLYRAGYIKYRJS Deviation = 6.10ppm
Search WEB for skeleton |
|
![]()
|
|
|
Structure Proposal # 3133 LMJJIGFBBRFPGF Deviation = 6.10ppm
Search WEB for skeleton |
|
![]()
|
|
|
Structure Proposal # 3134 UDOXQOPHIFXABT Deviation = 6.10ppm
Search WEB for skeleton respect to your proposal |
|
![]()
|
|
|
Structure Proposal # 3135 RWOYSIVJKAZQJI Deviation = 6.10ppm
Search WEB for skeleton respect to your proposal |
|
![]()
|
|
|
Structure Proposal # 3136 LBNZOUXBVGLVNH Deviation = 6.11ppm
Search WEB for skeleton respect to your proposal |
|
![]()
|
|
|
Structure Proposal # 3137 LPZYEBBKODBQSS Deviation = 6.12ppm
Search WEB for skeleton respect to your proposal |
|
![]()
|
|
|
Structure Proposal # 3138 CETSPMMMFJUPNL Deviation = 6.12ppm
Search WEB for skeleton |
|
![]()
|
|
|
Structure Proposal # 3139 AMSGUMNVBRZAMC Deviation = 6.12ppm
Search WEB for skeleton |
|
![]()
|
|
|
Structure Proposal # 3140 BHOHZBSWYVOECD Deviation = 6.12ppm
Search WEB for skeleton |
|
![]()
|
|
|
Structure Proposal # 3141 QZLATFYOELUSLN Deviation = 6.14ppm
Search WEB for skeleton respect to your proposal |
|
![]()
|
|
|
Structure Proposal # 3142 STXRQXGBJRNARR Deviation = 6.14ppm
Search WEB for skeleton |
|
![]()
|
|
|
Structure Proposal # 3143 CFAPASZIMKHWMK Deviation = 6.14ppm
Search WEB for skeleton respect to your proposal |
|
![]()
|
|
|
Structure Proposal # 3144 KQCYRBOQAGREAI Deviation = 6.15ppm
Search WEB for skeleton respect to your proposal |
|
![]()
|
|
|
Structure Proposal # 3145 APXQHMKUOKHJNX Deviation = 6.16ppm
Search WEB for skeleton respect to your proposal |
|
![]()
|
|
|
Structure Proposal # 3146 HVEXFDKHCSVETH Deviation = 6.16ppm
Search WEB for skeleton |
|
![]()
|
|
|
Structure Proposal # 3147 FMWSJJQVMPOKEY Deviation = 6.16ppm
Search WEB for skeleton |
|
![]()
|
|
|
Structure Proposal # 3148 JCDQJWAUQPAZGD Deviation = 6.16ppm
Search WEB for skeleton |
|
![]()
|
|
|
Structure Proposal # 3149 UZRSCZYGMIMDPO Deviation = 6.16ppm
Search WEB for skeleton |
|
![]()
|
|
|
Structure Proposal # 3150 OGZGOZFJXVQQKJ Deviation = 6.17ppm
Search WEB for skeleton |
|
![]()
|
|
|
Structure Proposal # 3151 MPQLQXILUIAGEC Deviation = 6.18ppm
Search WEB for skeleton |
|
![]()
|
|
|
Structure Proposal # 3152 MJWOETFVWVDUTR Deviation = 6.18ppm
Search WEB for skeleton |
|
![]()
|
|
|
Structure Proposal # 3153 ZPKBKVPHNNEYHF Deviation = 6.18ppm
Search WEB for skeleton respect to your proposal |
|
![]()
|
|
|
Structure Proposal # 3154 SAAQNELNPVWCSQ Deviation = 6.18ppm
Search WEB for skeleton |
|
![]()
|
|
|
Structure Proposal # 3155 AKGSFXNGKHQONP Deviation = 6.19ppm
Search WEB for skeleton |
|
![]()
|
|
|
Structure Proposal # 3156 ZHRNVATUMKTUAN Deviation = 6.19ppm
Search WEB for skeleton respect to your proposal |
|
![]()
|
|
|
Structure Proposal # 3157 AQLZTMFOFQNGBD Deviation = 6.19ppm
Search WEB for skeleton |
|
![]()
|
|
|
Structure Proposal # 3158 YVKYKVXRVZQZSR Deviation = 6.19ppm
Search WEB for skeleton respect to your proposal |
|
![]()
|
|
|
Structure Proposal # 3159 ZRBYAMUFDODTFA Deviation = 6.21ppm
Search WEB for skeleton respect to your proposal |
|
![]()
|
|
|
Structure Proposal # 3160 DYRKLBSOHADWOF Deviation = 6.22ppm
Search WEB for skeleton respect to your proposal |
|
![]()
|
|
|
Structure Proposal # 3161 SCTABMPOASEZFW Deviation = 6.22ppm
Search WEB for skeleton |
|
![]()
|
|
|
Structure Proposal # 3162 HGPQHEXWBSUWDO Deviation = 6.22ppm
Search WEB for skeleton |
|
![]()
|
|
|
Structure Proposal # 3163 UWPFIUMRPXPXTB Deviation = 6.25ppm
Search WEB for skeleton respect to your proposal |
|
![]()
|
|
|
Structure Proposal # 3164 VEJXSTFJQKZSCV Deviation = 6.25ppm
Search WEB for skeleton respect to your proposal |
|
![]()
|
|
|
Structure Proposal # 3165 OKDSZCCUKQOPCS Deviation = 6.26ppm
Search WEB for skeleton respect to your proposal |
|
![]()
|
|
|
Structure Proposal # 3166 CMYHRZKXOOLSRW Deviation = 6.27ppm
Search WEB for skeleton |
|
![]()
|
|
|
Structure Proposal # 3167 LYBJHWSQJOGNIK Deviation = 6.27ppm
Search WEB for skeleton respect to your proposal |
|
![]()
|
|
|
Structure Proposal # 3168 RUGRORYHANZRMB Deviation = 6.28ppm
Search WEB for skeleton |
|
![]()
|
|
|
Structure Proposal # 3169 CJZNSVBIILSOAY Deviation = 6.28ppm
Search WEB for skeleton |
|
![]()
|
|
|
Structure Proposal # 3170 KPXSPMMSCYWJNS Deviation = 6.29ppm
Search WEB for skeleton |
|
![]()
|
|
|
Structure Proposal # 3171 QORSGMSEXRGIQT Deviation = 6.29ppm
Search WEB for skeleton respect to your proposal |
|
![]()
|
|
|
Structure Proposal # 3172 FEJDPBANGRRLML Deviation = 6.29ppm
Search WEB for skeleton |
|
![]()
|
|
|
Structure Proposal # 3173 UVFXEBDDOIWFFC Deviation = 6.29ppm
Search WEB for skeleton respect to your proposal |
|
![]()
|
|
|
Structure Proposal # 3174 JZRZAAGKDGBUBI Deviation = 6.29ppm
Search WEB for skeleton |
|
![]()
|
|
|
Structure Proposal # 3175 LFMAXZRQXVRJBC Deviation = 6.30ppm
Search WEB for skeleton respect to your proposal |
|
![]()
|
|
|
Structure Proposal # 3176 JQKZQEJVNZHVDL Deviation = 6.30ppm
Search WEB for skeleton respect to your proposal |
|
![]()
|
|
|
Structure Proposal # 3177 ODVSJRFVXCWARU Deviation = 6.30ppm
Search WEB for skeleton |
|
![]()
|
|
|
Structure Proposal # 3178 ZCQSSTWMZIVSSK Deviation = 6.30ppm
Search WEB for skeleton |
|
![]()
|
|
|
Structure Proposal # 3179 GZJPLKSDVLQHKW Deviation = 6.31ppm
Search WEB for skeleton |
|
![]()
|
|
|
Structure Proposal # 3180 SGNQIKMVARIAGN Deviation = 6.31ppm
Search WEB for skeleton respect to your proposal |
|
![]()
|
|
|
Structure Proposal # 3181 VGDNOMCJHXKZBP Deviation = 6.31ppm
Search WEB for skeleton respect to your proposal |
|
![]()
|
|
|
Structure Proposal # 3182 WMYPWQIEKAHFEB Deviation = 6.31ppm
Search WEB for skeleton respect to your proposal |
|
![]()
|
|
|
Structure Proposal # 3183 ZGDDDMZTRDFIIK Deviation = 6.31ppm
Search WEB for skeleton respect to your proposal |
|
![]()
|
|
|
Structure Proposal # 3184 LUJOINMKGVXIMV Deviation = 6.31ppm
Search WEB for skeleton |
|
![]()
|
|
|
Structure Proposal # 3185 KTCRJBNJIAVXKP Deviation = 6.32ppm
Search WEB for skeleton respect to your proposal |
|
![]()
|
|
|
Structure Proposal # 3186 ZGVFDPIGEMZLMQ Deviation = 6.32ppm
Search WEB for skeleton respect to your proposal |
|
![]()
|
|
|
Structure Proposal # 3187 DIMYQYHDZDKOHD Deviation = 6.32ppm
Search WEB for skeleton respect to your proposal |
|
![]()
|
|
|
Structure Proposal # 3188 KMFJYCPEQXUQQC Deviation = 6.32ppm
Search WEB for skeleton |
|
![]()
|
|
|
Structure Proposal # 3189 SXSAXBZCYMCXRN Deviation = 6.32ppm
Search WEB for skeleton |
|
![]()
|
|
|
Structure Proposal # 3190 PNZFXXVZDRQEON Deviation = 6.32ppm
Search WEB for skeleton respect to your proposal |
|
![]()
|
|
|
Structure Proposal # 3191 VGRLPDLZSPOVMB Deviation = 6.32ppm
Search WEB for skeleton respect to your proposal |
|
![]()
|
|
|
Structure Proposal # 3192 RSAKTOWQCVSJBP Deviation = 6.32ppm
Search WEB for skeleton respect to your proposal |
|
![]()
|
|
|
Structure Proposal # 3193 CLEXIIUGUVHILU Deviation = 6.34ppm
Search WEB for skeleton |
|
![]()
|
|
|
Structure Proposal # 3194 IRRKFQGGEYPCEY Deviation = 6.34ppm
Search WEB for skeleton respect to your proposal |
|
![]()
|
|
|
Structure Proposal # 3195 XZBWCRHPDHDUPK Deviation = 6.35ppm
Search WEB for skeleton |
|
![]()
|
|
|
Structure Proposal # 3196 OPHRVLLKGZJOPY Deviation = 6.36ppm
Search WEB for skeleton respect to your proposal |
|
![]()
|
|
|
Structure Proposal # 3197 VXLRCPZXEPUGIW Deviation = 6.36ppm
Search WEB for skeleton |
|
![]()
|
|
|
Structure Proposal # 3198 ONGFRHFOENFTDY Deviation = 6.36ppm
Search WEB for skeleton |
|
![]()
|
|
|
Structure Proposal # 3199 NMSDUBYHFUYEHL Deviation = 6.37ppm
Search WEB for skeleton respect to your proposal |
|
![]()
|
|
|
Structure Proposal # 3200 LXLZFYGVWMZPCD Deviation = 6.38ppm
Search WEB for skeleton respect to your proposal |
|
![]()
|
|
|
Structure Proposal # 3201 CBAZKUCALHWVKD Deviation = 6.38ppm
Search WEB for skeleton |
|
![]()
|
|
|
Structure Proposal # 3202 PYTQMVHOXYNTKN Deviation = 6.38ppm
Search WEB for skeleton respect to your proposal |
|
![]()
|
|
|
Structure Proposal # 3203 WKGWILZLMIUCFW Deviation = 6.39ppm
Search WEB for skeleton respect to your proposal |
|
![]()
|
|
|
Structure Proposal # 3204 TUAINZOQOPLTGJ Deviation = 6.40ppm
Search WEB for skeleton |
|
![]()
|
|
|
Structure Proposal # 3205 NEXPOABUXPVBEI Deviation = 6.41ppm
Search WEB for skeleton respect to your proposal |
|
![]()
|
|
|
Structure Proposal # 3206 YCDPCQQHUCVKLX Deviation = 6.41ppm
Search WEB for skeleton |
|
![]()
|
|
|
Structure Proposal # 3207 STACJFGOHVMYIW Deviation = 6.41ppm
Search WEB for skeleton |
|
![]()
|
|
|
Structure Proposal # 3208 GGPJMKVYKHJXMW Deviation = 6.42ppm
Search WEB for skeleton |
|
![]()
|
|
|
Structure Proposal # 3209 TUSZUMNXLQCCIL Deviation = 6.42ppm
Search WEB for skeleton |
|
![]()
|
|
|
Structure Proposal # 3210 XPPSJOAXXQMMHO Deviation = 6.42ppm
Search WEB for skeleton respect to your proposal |
|
![]()
|
|
|
Structure Proposal # 3211 ADMSTZVCABDGIY Deviation = 6.42ppm
Search WEB for skeleton |
|
![]()
|
|
|
Structure Proposal # 3212 BKROGVDGBNIKGL Deviation = 6.43ppm
Search WEB for skeleton respect to your proposal |
|
![]()
|
|
|
Structure Proposal # 3213 KZUWJSMZQFPWDA Deviation = 6.44ppm
Search WEB for skeleton |
|
![]()
|
|
|
Structure Proposal # 3214 BHSQXHUGZJYCOX Deviation = 6.44ppm
Search WEB for skeleton respect to your proposal |
|
![]()
|
|
|
Structure Proposal # 3215 RECUZLZJLQATLU Deviation = 6.44ppm
Search WEB for skeleton |
|
![]()
|
|
|
Structure Proposal # 3216 QHQZFRJBZXKYEY Deviation = 6.45ppm
Search WEB for skeleton respect to your proposal |
|
![]()
|
|
|
Structure Proposal # 3217 LEAWZUQUGUWQSF Deviation = 6.46ppm
Search WEB for skeleton |
|
![]()
|
|
|
Structure Proposal # 3218 GYCWZLPAFMMODH Deviation = 6.47ppm
Search WEB for skeleton respect to your proposal |
|
![]()
|
|
|
Structure Proposal # 3219 VDVSKQFNXCSIHP Deviation = 6.47ppm
Search WEB for skeleton respect to your proposal |
|
![]()
|
|
|
Structure Proposal # 3220 KPVSLSCJUPJALW Deviation = 6.49ppm
Search WEB for skeleton respect to your proposal |
|
![]()
|
|
|
Structure Proposal # 3221 RCLXEHUEAJCWHQ Deviation = 6.49ppm
Search WEB for skeleton |
|
![]()
|
|
|
Structure Proposal # 3222 DRGBNOCZHCVENW Deviation = 6.51ppm
Search WEB for skeleton respect to your proposal |
|
![]()
|
|
|
Structure Proposal # 3223 YWSHWWCTSLWIIE Deviation = 6.52ppm
Search WEB for skeleton respect to your proposal |
|
![]()
|
|
|
Structure Proposal # 3224 DBNNPSLOEMAFDR Deviation = 6.53ppm
Search WEB for skeleton respect to your proposal |
|
![]()
|
|
|
Structure Proposal # 3225 NWNGGOYSYKIPEP Deviation = 6.55ppm
Search WEB for skeleton respect to your proposal |
|
![]()
|
|
|
Structure Proposal # 3226 BQLVLCHDDAWBIO Deviation = 6.56ppm
Search WEB for skeleton respect to your proposal |
|
![]()
|
|
|
Structure Proposal # 3227 WXBIMPOHWARSSF Deviation = 6.57ppm
Search WEB for skeleton respect to your proposal |
|
![]()
|
|
|
Structure Proposal # 3228 NXQWWRQZYDNRPQ Deviation = 6.57ppm
Search WEB for skeleton respect to your proposal |
|
![]()
|
|
|
Structure Proposal # 3229 OPHZTLMNMTXRCV Deviation = 6.58ppm
Search WEB for skeleton |
|
![]()
|
|
|
Structure Proposal # 3230 CGZJRLZWYGZQOG Deviation = 6.58ppm
Search WEB for skeleton |
|
![]()
|
|
|
Structure Proposal # 3231 QRXQVTGNBFIUHI Deviation = 6.58ppm
Search WEB for skeleton |
|
![]()
|
|
|
Structure Proposal # 3232 BQUPGQWBILJUNK Deviation = 6.59ppm
Search WEB for skeleton respect to your proposal |
|
![]()
|
|
|
Structure Proposal # 3233 IDOJUSYBXUVGNR Deviation = 6.63ppm
Search WEB for skeleton respect to your proposal |
|
![]()
|
|
|
Structure Proposal # 3234 VKRHGPDBXAGASL Deviation = 6.63ppm
Search WEB for skeleton |
|
![]()
|
|
|
Structure Proposal # 3235 MAYWKJYHGCQZIG Deviation = 6.63ppm
Search WEB for skeleton respect to your proposal |
|
![]()
|
|
|
Structure Proposal # 3236 YMIDVJJGOIVQLV Deviation = 6.64ppm
Search WEB for skeleton respect to your proposal |
|
![]()
|
|
|
Structure Proposal # 3237 RWFMFHWAGPRCLT Deviation = 6.64ppm
Search WEB for skeleton |
|
![]()
|
|
|
Structure Proposal # 3238 UBMHHARVNRAZEO Deviation = 6.65ppm
Search WEB for skeleton respect to your proposal |
|
![]()
|
|
|
Structure Proposal # 3239 LAGIMXSPZQMLIN Deviation = 6.65ppm
Search WEB for skeleton respect to your proposal |
|
![]()
|
|
|
Structure Proposal # 3240 QJJCIKBYHNPOAJ Deviation = 6.65ppm
Search WEB for skeleton |
|
![]()
|
|
|
Structure Proposal # 3241 GAZSMNHPYUJFPN Deviation = 6.67ppm
Search WEB for skeleton respect to your proposal |
|
![]()
|
|
|
Structure Proposal # 3242 UADOWYOKHNBQEJ Deviation = 6.67ppm
Search WEB for skeleton |
|
![]()
|
|
|
Structure Proposal # 3243 LQGDKBZWFPYOBN Deviation = 6.70ppm
Search WEB for skeleton respect to your proposal |
|
![]()
|
|
|
Structure Proposal # 3244 VHFOHBDXCXPEAT Deviation = 6.70ppm
Search WEB for skeleton respect to your proposal |
|
![]()
|
|
|
Structure Proposal # 3245 DNDLNBJOSNGDHG Deviation = 6.71ppm
Search WEB for skeleton respect to your proposal |
|
![]()
|
|
|
Structure Proposal # 3246 YYQGRCYQYAVQON Deviation = 6.72ppm
Search WEB for skeleton respect to your proposal |
|
![]()
|
|
|
Structure Proposal # 3247 QQZGEYJXFMMRDM Deviation = 6.72ppm
Search WEB for skeleton respect to your proposal |
|
![]()
|
|
|
Structure Proposal # 3248 WPLXVVXKHLZYBG Deviation = 6.73ppm
Search WEB for skeleton respect to your proposal |
|
![]()
|
|
|
Structure Proposal # 3249 KNTXEMMFEVDAQJ Deviation = 6.74ppm
Search WEB for skeleton respect to your proposal |
|
![]()
|
|
|
Structure Proposal # 3250 BNMQBDCXZOFFSZ Deviation = 6.75ppm
Search WEB for skeleton |
|
![]()
|
|
|
Structure Proposal # 3251 PMGWNLJWWMVJNO Deviation = 6.75ppm
Search WEB for skeleton respect to your proposal |
|
![]()
|
|
|
Structure Proposal # 3252 LGCQJAPALQOUJC Deviation = 6.76ppm
Search WEB for skeleton respect to your proposal |
|
![]()
|
|
|
Structure Proposal # 3253 FACKYQFPILORGU Deviation = 6.76ppm
Search WEB for skeleton respect to your proposal |
|
![]()
|
|
|
Structure Proposal # 3254 UXJUYLUEAOHVMX Deviation = 6.80ppm
Search WEB for skeleton respect to your proposal |
|
![]()
|
|
|
Structure Proposal # 3255 LAPXSEMKCJQAEW Deviation = 6.81ppm
Search WEB for skeleton respect to your proposal |
|
![]()
|
|
|
Structure Proposal # 3256 JKNICTSNBLIUND Deviation = 6.81ppm
Search WEB for skeleton respect to your proposal |
|
![]()
|
|
|
Structure Proposal # 3257 DIWGOVSQKQXZKP Deviation = 6.82ppm
Search WEB for skeleton respect to your proposal |
|
![]()
|
|
|
Structure Proposal # 3258 JNOMKBMUBHVCCR Deviation = 6.83ppm
Search WEB for skeleton respect to your proposal |
|
![]()
|
|
|
Structure Proposal # 3259 UCQSXRZVRALTAK Deviation = 6.83ppm
Search WEB for skeleton respect to your proposal |
|
![]()
|
|
|
Structure Proposal # 3260 XXWRJJKXAUZXJJ Deviation = 6.83ppm
Search WEB for skeleton |
|
![]()
|
|
|
Structure Proposal # 3261 PDMODFMBAUGEPW Deviation = 6.84ppm
Search WEB for skeleton respect to your proposal |
|
![]()
|
|
|
Structure Proposal # 3262 CKRDJQRUFPQMDI Deviation = 6.84ppm
Search WEB for skeleton respect to your proposal |
|
![]()
|
|
|
Structure Proposal # 3263 ZJXCXFKVPAIRQV Deviation = 6.84ppm
Search WEB for skeleton respect to your proposal |
|
![]()
|
|
|
Structure Proposal # 3264 MRNIEJOCZHQSLZ Deviation = 6.85ppm
Search WEB for skeleton respect to your proposal |
|
![]()
|
|
|
Structure Proposal # 3265 YJSITTGDWJJZBQ Deviation = 6.86ppm
Search WEB for skeleton respect to your proposal |
|
![]()
|
|
|
Structure Proposal # 3266 KYGZUIFCSQZRGS Deviation = 6.87ppm
Search WEB for skeleton respect to your proposal |
|
![]()
|
|
|
Structure Proposal # 3267 ZNVHZTHTCAAOFO Deviation = 6.87ppm
Search WEB for skeleton |
|
![]()
|
|
|
Structure Proposal # 3268 MQYYQRCUTHTWKU Deviation = 6.90ppm
Search WEB for skeleton respect to your proposal |
|
![]()
|
|
|
Structure Proposal # 3269 YVQFDGJGKMRLEF Deviation = 6.93ppm
Search WEB for skeleton respect to your proposal |
|
![]()
|
|
|
Structure Proposal # 3270 VWMKAABKQVZIBY Deviation = 6.94ppm
Search WEB for skeleton respect to your proposal |
|
![]()
|
|
|
Structure Proposal # 3271 MZGPRKBRSIGBAU Deviation = 6.95ppm
Search WEB for skeleton |
|
![]()
|
|
|
Structure Proposal # 3272 WUAJTMFWUDRVNY Deviation = 6.95ppm
Search WEB for skeleton respect to your proposal |
|
![]()
|
|
|
Structure Proposal # 3273 ABQCXUPZRFDCTQ Deviation = 6.96ppm
Search WEB for skeleton respect to your proposal |
|
![]()
|
|
|
Structure Proposal # 3274 QUXTVVNPVKRGPB Deviation = 6.98ppm
Search WEB for skeleton |
|
![]()
|
|
|
Structure Proposal # 3275 GGVOAHBHLVERQB Deviation = 7.00ppm
Search WEB for skeleton respect to your proposal |
|
![]()
|
|
|
Structure Proposal # 3276 DTGPYUVJWUHAJQ Deviation = 7.02ppm
Search WEB for skeleton respect to your proposal |
|
![]()
|
|
|
Structure Proposal # 3277 MHEIIQZNSBBPDV Deviation = 7.02ppm
Search WEB for skeleton respect to your proposal |
|
![]()
|
|
|
Structure Proposal # 3278 RFRWXJBOJWKZRQ Deviation = 7.04ppm
Search WEB for skeleton respect to your proposal |
|
![]()
|
|
|
Structure Proposal # 3279 AQNLPPRJQTWBKH Deviation = 7.04ppm
Search WEB for skeleton respect to your proposal |
|
![]()
|
|
|
Structure Proposal # 3280 OUZDVFLLXNJQBB Deviation = 7.06ppm
Search WEB for skeleton |
|
![]()
|
|
|
Structure Proposal # 3281 YBZDNCBRSCLOKV Deviation = 7.07ppm
Search WEB for skeleton respect to your proposal |
|
![]()
|
|
|
Structure Proposal # 3282 FKBBJPAQGCPACH Deviation = 7.08ppm
Search WEB for skeleton respect to your proposal |
|
![]()
|
|
|
Structure Proposal # 3283 CWKLHFFISFCDJN Deviation = 7.08ppm
Search WEB for skeleton respect to your proposal |
|
![]()
|
|
|
Structure Proposal # 3284 OAIJZOJROGLECS Deviation = 7.08ppm
Search WEB for skeleton respect to your proposal |
|
![]()
|
|
|
Structure Proposal # 3285 YNHQCRHHALLFOT Deviation = 7.10ppm
Search WEB for skeleton |
|
![]()
|
|
|
Structure Proposal # 3286 STEDIHXKUXECLF Deviation = 7.10ppm
Search WEB for skeleton respect to your proposal |
|
![]()
|
|
|
Structure Proposal # 3287 WOCYNXODEGKFKD Deviation = 7.11ppm
Search WEB for skeleton respect to your proposal |
|
![]()
|
|
|
Structure Proposal # 3288 YSQSJNWCJIPAHU Deviation = 7.12ppm
Search WEB for skeleton respect to your proposal |
|
![]()
|
|
|
Structure Proposal # 3289 ATYZBCWFLIILHM Deviation = 7.14ppm
Search WEB for skeleton respect to your proposal |
|
![]()
|
|
|
Structure Proposal # 3290 FKZFXJKWIWAENO Deviation = 7.14ppm
Search WEB for skeleton respect to your proposal |
|
![]()
|
|
|
Structure Proposal # 3291 YDASKPWIVAOACX Deviation = 7.14ppm
Search WEB for skeleton respect to your proposal |
|
![]()
|
|
|
Structure Proposal # 3292 DDMDMWHBFSJMQP Deviation = 7.15ppm
Search WEB for skeleton respect to your proposal |
|
![]()
|
|
|
Structure Proposal # 3293 RVKODQGITDQJKO Deviation = 7.15ppm
Search WEB for skeleton respect to your proposal |
|
![]()
|
|
|
Structure Proposal # 3294 ONZGLMUSDBXQGW Deviation = 7.15ppm
Search WEB for skeleton |
|
![]()
|
|
|
Structure Proposal # 3295 WYRNDJCTGPJBPX Deviation = 7.15ppm
Search WEB for skeleton respect to your proposal |
|
![]()
|
|
|
Structure Proposal # 3296 WZBPKHIYFZUXSC Deviation = 7.16ppm
Search WEB for skeleton respect to your proposal |
|
![]()
|
|
|
Structure Proposal # 3297 CNLAIMDOFRAISY Deviation = 7.16ppm
Search WEB for skeleton respect to your proposal |
|
![]()
|
|
|
Structure Proposal # 3298 XMVXKNXYOYYVHQ Deviation = 7.16ppm
Search WEB for skeleton respect to your proposal |
|
![]()
|
|
|
Structure Proposal # 3299 RZRJEYYBRFUNGF Deviation = 7.18ppm
Search WEB for skeleton |
|
![]()
|
|
|
Structure Proposal # 3300 RXAKGUQGEKDZRH Deviation = 7.19ppm
Search WEB for skeleton respect to your proposal |
|
![]()
|
|
|
Structure Proposal # 3301 BRUZKHZTZRUDKN Deviation = 7.20ppm
Search WEB for skeleton |
|
![]()
|
|
|
Structure Proposal # 3302 ZEDVMICTUDWGGY Deviation = 7.21ppm
Search WEB for skeleton |
|
![]()
|
|
|
Structure Proposal # 3303 KBIVRSUVHOEFJY Deviation = 7.22ppm
Search WEB for skeleton respect to your proposal |
|
![]()
|
|
|
Structure Proposal # 3304 UIIDCQHRHOXLIM Deviation = 7.23ppm
Search WEB for skeleton |
|
![]()
|
|
|
Structure Proposal # 3305 ULYABZZZAIMIQB Deviation = 7.24ppm
Search WEB for skeleton respect to your proposal |
|
![]()
|
|
|
Structure Proposal # 3306 NKGDAUMXNRTOJC Deviation = 7.25ppm
Search WEB for skeleton respect to your proposal |
|
![]()
|
|
|
Structure Proposal # 3307 QXCBQGCSEBPTRC Deviation = 7.25ppm
Search WEB for skeleton respect to your proposal |
|
![]()
|
|
|
Structure Proposal # 3308 LKIXKOZUAKEQFD Deviation = 7.26ppm
Search WEB for skeleton respect to your proposal |
|
![]()
|
|
|
Structure Proposal # 3309 DMYZHOMPTHOUFZ Deviation = 7.27ppm
Search WEB for skeleton respect to your proposal |
|
![]()
|
|
|
Structure Proposal # 3310 YKOJESZCSMYXBT Deviation = 7.28ppm
Search WEB for skeleton respect to your proposal |
|
![]()
|
|
|
Structure Proposal # 3311 MZZJLZZSUAKXEN Deviation = 7.29ppm
Search WEB for skeleton respect to your proposal |
|
![]()
|
|
|
Structure Proposal # 3312 NGEVEOBPSMBQPF Deviation = 7.29ppm
Search WEB for skeleton |
|
![]()
|
|
|
Structure Proposal # 3313 LUDAFHNIMFRWEM Deviation = 7.29ppm
Search WEB for skeleton respect to your proposal |
|
![]()
|
|
|
Structure Proposal # 3314 CKLVBNPDARJJHE Deviation = 7.32ppm
Search WEB for skeleton respect to your proposal |
|
![]()
|
|
|
Structure Proposal # 3315 MCHVGHSPRJXMHK Deviation = 7.34ppm
Search WEB for skeleton |
|
![]()
|
|
|
Structure Proposal # 3316 GRDZNPVLWAXJLY Deviation = 7.36ppm
Search WEB for skeleton respect to your proposal |
|
![]()
|
|
|
Structure Proposal # 3317 FYEOPBSDXQMLLG Deviation = 7.37ppm
Search WEB for skeleton respect to your proposal |
|
![]()
|
|
|
Structure Proposal # 3318 MATZZYMDXSLSCT Deviation = 7.37ppm
Search WEB for skeleton respect to your proposal |
|
![]()
|
|
|
Structure Proposal # 3319 YZBIDNWCZAJEHX Deviation = 7.38ppm
Search WEB for skeleton respect to your proposal |
|
![]()
|
|
|
Structure Proposal # 3320 RVARMBXKPFZIBX Deviation = 7.40ppm
Search WEB for skeleton respect to your proposal |
|
![]()
|
|
|
Structure Proposal # 3321 CLMGCQRBXXMFEU Deviation = 7.42ppm
Search WEB for skeleton respect to your proposal |
|
![]()
|
|
|
Structure Proposal # 3322 OZQPLASVARDFDO Deviation = 7.42ppm
Search WEB for skeleton respect to your proposal Compound from PUBCHEM |
|
![]()
|
|
|
Structure Proposal # 3323 QLOQEUAFRJIOKZ Deviation = 7.43ppm
Search WEB for skeleton respect to your proposal |
|
![]()
|
|
|
Structure Proposal # 3324 RKMHUNGKGCISOJ Deviation = 7.44ppm
Search WEB for skeleton respect to your proposal |
|
![]()
|
|
|
Structure Proposal # 3325 HZDPIPFWLISYOF Deviation = 7.47ppm
Search WEB for skeleton respect to your proposal |
|
![]()
|
|
|
Structure Proposal # 3326 DYQVAOPVOORKBZ Deviation = 7.49ppm
Search WEB for skeleton respect to your proposal |
|
![]()
|
|
|
Structure Proposal # 3327 JUYBHQKANHQXPF Deviation = 7.49ppm
Search WEB for skeleton |
|
![]()
|
|
|
Structure Proposal # 3328 VPUHNMOFHPQFBT Deviation = 7.55ppm
Search WEB for skeleton respect to your proposal |
|
![]()
|
|
|
Structure Proposal # 3329 WHYAFAPWTZNNHF Deviation = 7.55ppm
Search WEB for skeleton respect to your proposal |
|
![]()
|
|
|
Structure Proposal # 3330 JKUBMRJQHBKUJZ Deviation = 7.57ppm
Search WEB for skeleton respect to your proposal |
|
![]()
|
|
|
Structure Proposal # 3331 NFJCIXNJFGMBCK Deviation = 7.61ppm
Search WEB for skeleton respect to your proposal |
|
![]()
|
|
|
Structure Proposal # 3332 OTVQZUWFCFFSMX Deviation = 7.62ppm
Search WEB for skeleton respect to your proposal |
|
![]()
|
|
|
Structure Proposal # 3333 BRCQTRXKOMUBQT Deviation = 7.63ppm
Search WEB for skeleton respect to your proposal |
|
![]()
|
|
|
Structure Proposal # 3334 RSXYDSFVSWFLBB Deviation = 7.64ppm
Search WEB for skeleton respect to your proposal |
|
![]()
|
|
|
Structure Proposal # 3335 RJYXXPICGGHKGA Deviation = 7.64ppm
Search WEB for skeleton respect to your proposal |
|
![]()
|
|
|
Structure Proposal # 3336 UXSPVNXNRUHQAZ Deviation = 7.64ppm
Search WEB for skeleton respect to your proposal |
|
![]()
|
|
|
Structure Proposal # 3337 ZIYDYSWCYOVZOH Deviation = 7.64ppm
Search WEB for skeleton respect to your proposal |
|
![]()
|
|
|
Structure Proposal # 3338 PGUAQQVUCPHILS Deviation = 7.64ppm
Search WEB for skeleton respect to your proposal |
|
![]()
|
|
|
Structure Proposal # 3339 NHIYVHAALKLXDV Deviation = 7.65ppm
Search WEB for skeleton |
|
![]()
|
|
|
Structure Proposal # 3340 RZVYUMVYASOYBB Deviation = 7.66ppm
Search WEB for skeleton respect to your proposal |
|
![]()
|
|
|
Structure Proposal # 3341 IFZCEYGYGQSFLN Deviation = 7.66ppm
Search WEB for skeleton respect to your proposal Compound from PUBCHEM |
|
![]()
|
|
|
Structure Proposal # 3342 RGTBEYXIIOKOCL Deviation = 7.66ppm
Search WEB for skeleton respect to your proposal |
|
![]()
|
|
|
Structure Proposal # 3343 ZFGAFEFLFYSMLU Deviation = 7.68ppm
Search WEB for skeleton respect to your proposal |
|
![]()
|
|
|
Structure Proposal # 3344 FHTKGFCQYHYEPB Deviation = 7.68ppm
Search WEB for skeleton respect to your proposal |
|
![]()
|
|
|
Structure Proposal # 3345 BCMIBOBAHPMXFH Deviation = 7.71ppm
Search WEB for skeleton respect to your proposal |
|
![]()
|
|
|
Structure Proposal # 3346 IACZLCVLBAIKBD Deviation = 7.73ppm
Search WEB for skeleton respect to your proposal |
|
![]()
|
|
|
Structure Proposal # 3347 FSTCDPUFWIBPHP Deviation = 7.74ppm
Search WEB for skeleton respect to your proposal |
|
![]()
|
|
|
Structure Proposal # 3348 RBGOUZJNXQWXPN Deviation = 7.74ppm
Search WEB for skeleton respect to your proposal |
|
![]()
|
|
|
Structure Proposal # 3349 WXJCLRUSGNBPOC Deviation = 7.76ppm
Search WEB for skeleton respect to your proposal |
|
![]()
|
|
|
Structure Proposal # 3350 BSUJFUCQZHMLRP Deviation = 7.77ppm
Search WEB for skeleton respect to your proposal |
|
![]()
|
|
|
Structure Proposal # 3351 UTRRJKMMIIMIPW Deviation = 7.77ppm
Search WEB for skeleton respect to your proposal |
|
![]()
|
|
|
Structure Proposal # 3352 PINXQIVMBXTBNU Deviation = 7.78ppm
Search WEB for skeleton respect to your proposal |
|
![]()
|
|
|
Structure Proposal # 3353 NYDMDXWPUJHJOQ Deviation = 7.78ppm
Search WEB for skeleton respect to your proposal |
|
![]()
|
|
|
Structure Proposal # 3354 QJRZQKLXWJDXIB Deviation = 7.79ppm
Search WEB for skeleton respect to your proposal |
|
![]()
|
|
|
Structure Proposal # 3355 ZFZDUJGXCKNADJ Deviation = 7.79ppm
Search WEB for skeleton respect to your proposal |
|
![]()
|
|
|
Structure Proposal # 3356 ATIGUPDLYNPHSZ Deviation = 7.80ppm
Search WEB for skeleton respect to your proposal |
|
![]()
|
|
|
Structure Proposal # 3357 SKWXLFUDMZYVBZ Deviation = 7.81ppm
Search WEB for skeleton respect to your proposal |
|
![]()
|
|
|
Structure Proposal # 3358 OVPLPQCZDNOKOR Deviation = 7.83ppm
Search WEB for skeleton |
|
![]()
|
|
|
Structure Proposal # 3359 QRHRGNCKYWYGRC Deviation = 7.83ppm
Search WEB for skeleton respect to your proposal |
|
![]()
|
|
|
Structure Proposal # 3360 XBMCOQKZYUBRJM Deviation = 7.84ppm
Search WEB for skeleton respect to your proposal |
|
![]()
|
|
|
Structure Proposal # 3361 PAXGJZDIPDXXDM Deviation = 7.85ppm
Search WEB for skeleton |
|
![]()
|
|
|
Structure Proposal # 3362 ZYMGYZJRERIQOX Deviation = 7.85ppm
Search WEB for skeleton respect to your proposal |
|
![]()
|
|
|
Structure Proposal # 3363 UDOJCHGLVDYDTG Deviation = 7.85ppm
Search WEB for skeleton respect to your proposal |
|
![]()
|
|
|
Structure Proposal # 3364 LKUQFGTZRYHSRJ Deviation = 7.88ppm
Search WEB for skeleton respect to your proposal |
|
![]()
|
|
|
Structure Proposal # 3365 MFBIMGJYCBVYQC Deviation = 7.88ppm
Search WEB for skeleton respect to your proposal |
|
![]()
|
|
|
Structure Proposal # 3366 HTFPGTKKPFEYGM Deviation = 7.90ppm
Search WEB for skeleton respect to your proposal |
|
![]()
|
|
|
Structure Proposal # 3367 LWXDMDBSUHBIDI Deviation = 7.90ppm
Search WEB for skeleton respect to your proposal |
|
![]()
|
|
|
Structure Proposal # 3368 IPQCQBVXROGTGW Deviation = 7.91ppm
Search WEB for skeleton respect to your proposal |
|
![]()
|
|
|
Structure Proposal # 3369 BQHHIBJHWZZHPH Deviation = 7.91ppm
Search WEB for skeleton respect to your proposal |
|
![]()
|
|
|
Structure Proposal # 3370 KUDFBZCLVOVXRX Deviation = 7.91ppm
Search WEB for skeleton respect to your proposal |
|
![]()
|
|
|
Structure Proposal # 3371 FIYOVJHCMMUPNG Deviation = 7.92ppm
Search WEB for skeleton respect to your proposal |
|
![]()
|
|
|
Structure Proposal # 3372 JLJILBHFSDIRMI Deviation = 7.94ppm
Search WEB for skeleton respect to your proposal |
|
![]()
|
|
|
Structure Proposal # 3373 VJUPANYRCSOKBG Deviation = 7.95ppm
Search WEB for skeleton respect to your proposal |
|
![]()
|
|
|
Structure Proposal # 3374 NHSLZTOEKOYSQI Deviation = 7.96ppm
Search WEB for skeleton respect to your proposal |
|
![]()
|
|
|
Structure Proposal # 3375 JJKBZHZYJBICTN Deviation = 7.96ppm
Search WEB for skeleton |
|
![]()
|
|
|
Structure Proposal # 3376 LEFMTUKKNUBNNG Deviation = 7.97ppm
Search WEB for skeleton respect to your proposal |
|
![]()
|
|
|
Structure Proposal # 3377 FQNRBXUVDKKMHI Deviation = 7.97ppm
Search WEB for skeleton respect to your proposal |
|
![]()
|
|
|
Structure Proposal # 3378 HESKRYWSONKPPH Deviation = 7.98ppm
Search WEB for skeleton |
|
![]()
|
|
|
Structure Proposal # 3379 GRVFJRFHMIAICK Deviation = 7.99ppm
Search WEB for skeleton respect to your proposal |
|
![]()
|
|
|
Structure Proposal # 3380 IXEMEOFPXXZOLE Deviation = 8.00ppm
Search WEB for skeleton respect to your proposal |
|
![]()
|
|
|
Structure Proposal # 3381 JPGVKSKAFIFRCZ Deviation = 8.00ppm
Search WEB for skeleton respect to your proposal |
|
![]()
|
|
|
Structure Proposal # 3382 XHVVZDHJDLNOSK Deviation = 8.01ppm
Search WEB for skeleton respect to your proposal |
|
![]()
|
|
|
Structure Proposal # 3383 JOEMZJADAKITNO Deviation = 8.02ppm
Search WEB for skeleton respect to your proposal |
|
![]()
|
|
|
Structure Proposal # 3384 DIHIQXUNDUMUOQ Deviation = 8.03ppm
Search WEB for skeleton respect to your proposal |
|
![]()
|
|
|
Structure Proposal # 3385 STGJDMHIRDKZLF Deviation = 8.04ppm
Search WEB for skeleton respect to your proposal |
|
![]()
|
|
|
Structure Proposal # 3386 BLPQEKYHENQXKI Deviation = 8.04ppm
Search WEB for skeleton respect to your proposal |
|
![]()
|
|
|
Structure Proposal # 3387 MPEZAKIUGSJOFC Deviation = 8.05ppm
Search WEB for skeleton respect to your proposal |
|
![]()
|
|
|
Structure Proposal # 3388 QHROZEOOWQMRAV Deviation = 8.05ppm
Search WEB for skeleton respect to your proposal |
|
![]()
|
|
|
Structure Proposal # 3389 VTPLFLKUPPHBMI Deviation = 8.06ppm
Search WEB for skeleton respect to your proposal |
|
![]()
|
|
|
Structure Proposal # 3390 VKQQMNJIUAMSII Deviation = 8.06ppm
Search WEB for skeleton respect to your proposal |
|
![]()
|
|
|
Structure Proposal # 3391 BINOSJYCWLNDJD Deviation = 8.07ppm
Search WEB for skeleton respect to your proposal |
|
![]()
|
|
|
Structure Proposal # 3392 IUILMPLFNODZQV Deviation = 8.08ppm
Search WEB for skeleton respect to your proposal |
|
![]()
|
|
|
Structure Proposal # 3393 LLLYOGBEAUSUIR Deviation = 8.08ppm
Search WEB for skeleton respect to your proposal |
|
![]()
|
|
|
Structure Proposal # 3394 LEBIWWCMSLJCOD Deviation = 8.09ppm
Search WEB for skeleton respect to your proposal |
|
![]()
|
|
|
Structure Proposal # 3395 RAOPWXQWFOXOGH Deviation = 8.10ppm
Search WEB for skeleton respect to your proposal |
|
![]()
|
|
|
Structure Proposal # 3396 KNNKGIQWZNYWQT Deviation = 8.11ppm
Search WEB for skeleton respect to your proposal |
|
![]()
|
|
|
Structure Proposal # 3397 UWFOAMQIJCOOIW Deviation = 8.11ppm
Search WEB for skeleton respect to your proposal |
|
![]()
|
|
|
Structure Proposal # 3398 IKUBGMHRZCBRDI Deviation = 8.13ppm
Search WEB for skeleton respect to your proposal |
|
![]()
|
|
|
Structure Proposal # 3399 YZANAPDAAIXCKF Deviation = 8.14ppm
Search WEB for skeleton respect to your proposal |
|
![]()
|
|
|
Structure Proposal # 3400 OXXMXWXAWVRWAB Deviation = 8.15ppm
Search WEB for skeleton respect to your proposal |
|
![]()
|
|
|
Structure Proposal # 3401 HDMYMJAZDJXOBT Deviation = 8.15ppm
Search WEB for skeleton respect to your proposal |
|
![]()
|
|
|
Structure Proposal # 3402 ZEPHOZXUBKVGAA Deviation = 8.17ppm
Search WEB for skeleton respect to your proposal |
|
![]()
|
|
|
Structure Proposal # 3403 AOLISJIPVQFSCU Deviation = 8.19ppm
Search WEB for skeleton respect to your proposal |
|
![]()
|
|
|
Structure Proposal # 3404 CIHQLRFBCUOXIS Deviation = 8.19ppm
Search WEB for skeleton respect to your proposal |
|
![]()
|
|
|
Structure Proposal # 3405 SIBJMUWKTSRJLO Deviation = 8.20ppm
Search WEB for skeleton respect to your proposal |
|
![]()
|
|
|
Structure Proposal # 3406 KTQQIOPTDXFTMX Deviation = 8.20ppm
Search WEB for skeleton respect to your proposal |
|
![]()
|
|
|
Structure Proposal # 3407 MYASXZIQIUNNCU Deviation = 8.20ppm
Search WEB for skeleton respect to your proposal |
|
![]()
|
|
|
Structure Proposal # 3408 YNWGIHSULOVHHG Deviation = 8.21ppm
Search WEB for skeleton respect to your proposal |
|
![]()
|
|
|
Structure Proposal # 3409 JLRJGZOYOZNYAZ Deviation = 8.21ppm
Search WEB for skeleton respect to your proposal |
|
![]()
|
|
|
Structure Proposal # 3410 FKENYOZPCCSDCL Deviation = 8.22ppm
Search WEB for skeleton respect to your proposal |
|
![]()
|
|
|
Structure Proposal # 3411 JSFUQUYRGRSGOB Deviation = 8.23ppm
Search WEB for skeleton respect to your proposal |
|
![]()
|
|
|
Structure Proposal # 3412 DRMJCRFNZDORAB Deviation = 8.23ppm
Search WEB for skeleton respect to your proposal |
|
![]()
|
|
|
Structure Proposal # 3413 DBEUULIGDHKFHA Deviation = 8.23ppm
Search WEB for skeleton respect to your proposal |
|
![]()
|
|
|
Structure Proposal # 3414 SFJDBSLSFLNQSG Deviation = 8.24ppm
Search WEB for skeleton respect to your proposal |
|
![]()
|
|
|
Structure Proposal # 3415 QGJBKPGYXHANEH Deviation = 8.26ppm
Search WEB for skeleton respect to your proposal |
|
![]()
|
|
|
Structure Proposal # 3416 FBXZWHYSVIISGD Deviation = 8.26ppm
Search WEB for skeleton respect to your proposal |
|
![]()
|
|
|
Structure Proposal # 3417 ZIQHJIXKTQUNJS Deviation = 8.27ppm
Search WEB for skeleton respect to your proposal |
|
![]()
|
|
|
Structure Proposal # 3418 YEHBFQBQGHZVTE Deviation = 8.27ppm
Search WEB for skeleton respect to your proposal |
|
![]()
|
|
|
Structure Proposal # 3419 FNEDYBOKEPNVEW Deviation = 8.27ppm
Search WEB for skeleton respect to your proposal |
|
![]()
|
|
|
Structure Proposal # 3420 GMLNJPRSQPHXOD Deviation = 8.31ppm
Search WEB for skeleton respect to your proposal |
|
![]()
|
|
|
Structure Proposal # 3421 WWTGEVIHSJEASI Deviation = 8.31ppm
Search WEB for skeleton respect to your proposal |
|
![]()
|
|
|
Structure Proposal # 3422 BMRXKOPBSYGREK Deviation = 8.32ppm
Search WEB for skeleton respect to your proposal |
|
![]()
|
|
|
Structure Proposal # 3423 NFLPYOOWZDIKQA Deviation = 8.32ppm
Search WEB for skeleton respect to your proposal |
|
![]()
|
|
|
Structure Proposal # 3424 OWXMOJLYTXHGPO Deviation = 8.32ppm
Search WEB for skeleton respect to your proposal |
|
![]()
|
|
|
Structure Proposal # 3425 RCBWMJJIGMICDV Deviation = 8.32ppm
Search WEB for skeleton respect to your proposal |
|
![]()
|
|
|
Structure Proposal # 3426 IYGVJZQVXZPFEF Deviation = 8.34ppm
Search WEB for skeleton respect to your proposal |
|
![]()
|
|
|
Structure Proposal # 3427 DGBXQWKHWHKWRA Deviation = 8.34ppm
Search WEB for skeleton respect to your proposal |
|
![]()
|
|
|
Structure Proposal # 3428 NIMBYLUEFRNTCC Deviation = 8.34ppm
Search WEB for skeleton respect to your proposal |
|
![]()
|
|
|
Structure Proposal # 3429 CHMANRRLUXCXNV Deviation = 8.34ppm
Search WEB for skeleton respect to your proposal |
|
![]()
|
|
|
Structure Proposal # 3430 MPDTUDSMCMZYSO Deviation = 8.35ppm
Search WEB for skeleton respect to your proposal |
|
![]()
|
|
|
Structure Proposal # 3431 WSLINOXJWMQYAA Deviation = 8.36ppm
Search WEB for skeleton respect to your proposal |
|
![]()
|
|
|
Structure Proposal # 3432 CUEOHKJCTSCVKL Deviation = 8.36ppm
Search WEB for skeleton respect to your proposal |
|
![]()
|
|
|
Structure Proposal # 3433 OWKMNHZJNCISPU Deviation = 8.37ppm
Search WEB for skeleton respect to your proposal |
|
![]()
|
|
|
Structure Proposal # 3434 MQIYRXKKZRIEKP Deviation = 8.37ppm
Search WEB for skeleton respect to your proposal |
|
![]()
|
|
|
Structure Proposal # 3435 IRQYAXSTSRTTNX Deviation = 8.37ppm
Search WEB for skeleton respect to your proposal |
|
![]()
|
|
|
Structure Proposal # 3436 FTVWBJZCJHLNRS Deviation = 8.37ppm
Search WEB for skeleton respect to your proposal |
|
![]()
|
|
|
Structure Proposal # 3437 LOZULMLVMSTTDI Deviation = 8.39ppm
Search WEB for skeleton respect to your proposal |
|
![]()
|
|
|
Structure Proposal # 3438 KEPSFKJGIGGPCB Deviation = 8.40ppm
Search WEB for skeleton respect to your proposal |
|
![]()
|
|
|
Structure Proposal # 3439 IHFQQRXCYRQBMP Deviation = 8.40ppm
Search WEB for skeleton respect to your proposal |
|
![]()
|
|
|
Structure Proposal # 3440 DBJOGZKGVJAGKW Deviation = 8.41ppm
Search WEB for skeleton respect to your proposal |
|
![]()
|
|
|
Structure Proposal # 3441 ZCAUOSNBXCVRDC Deviation = 8.42ppm
Search WEB for skeleton respect to your proposal |
|
![]()
|
|
|
Structure Proposal # 3442 FRMAKUSCXHBMFY Deviation = 8.42ppm
Search WEB for skeleton respect to your proposal |
|
![]()
|
|
|
Structure Proposal # 3443 GZGZBPFJEIXYCX Deviation = 8.44ppm
Search WEB for skeleton respect to your proposal |
|
![]()
|
|
|
Structure Proposal # 3444 VEIFWFBQJOAVDT Deviation = 8.45ppm
Search WEB for skeleton respect to your proposal |
|
![]()
|
|
|
Structure Proposal # 3445 KVMSLUVFIGXYAY Deviation = 8.45ppm
Search WEB for skeleton respect to your proposal |
|
![]()
|
|
|
Structure Proposal # 3446 RGSDPPVMSVDTMB Deviation = 8.46ppm
Search WEB for skeleton respect to your proposal |
|
![]()
|
|
|
Structure Proposal # 3447 MIQVEYRFWMAFIQ Deviation = 8.46ppm
Search WEB for skeleton respect to your proposal |
|
![]()
|
|
|
Structure Proposal # 3448 XPEKDUGMIDOPNY Deviation = 8.47ppm
Search WEB for skeleton respect to your proposal |
|
![]()
|
|
|
Structure Proposal # 3449 MUZOIKPNMIKXIA Deviation = 8.47ppm
Search WEB for skeleton respect to your proposal |
|
![]()
|
|
|
Structure Proposal # 3450 KQQCHMOMIZGPKI Deviation = 8.47ppm
Search WEB for skeleton respect to your proposal |
|
![]()
|
|
|
Structure Proposal # 3451 FGRFMVXWQOYEES Deviation = 8.47ppm
Search WEB for skeleton respect to your proposal |
|
![]()
|
|
|
Structure Proposal # 3452 JJTVXSIXYFKWDU Deviation = 8.48ppm
Search WEB for skeleton respect to your proposal |
|
![]()
|
|
|
Structure Proposal # 3453 HRGHWWQAYQUSMO Deviation = 8.48ppm
Search WEB for skeleton respect to your proposal |
|
![]()
|
|
|
Structure Proposal # 3454 KMOMKUHJURUEIH Deviation = 8.48ppm
Search WEB for skeleton respect to your proposal |
|
![]()
|
|
|
Structure Proposal # 3455 FWXPOPBPYWZJPV Deviation = 8.48ppm
Search WEB for skeleton respect to your proposal |
|
![]()
|
|
|
Structure Proposal # 3456 GQZMVJOCDWNFHK Deviation = 8.49ppm
Search WEB for skeleton respect to your proposal |
|
![]()
|
|
|
Structure Proposal # 3457 NRGODJUEQMRQHE Deviation = 8.50ppm
Search WEB for skeleton respect to your proposal |
|
![]()
|
|
|
Structure Proposal # 3458 MVBIUHMBTCJFEG Deviation = 8.51ppm
Search WEB for skeleton respect to your proposal |
|
![]()
|
|
|
Structure Proposal # 3459 LCKNDTZADFCWCM Deviation = 8.51ppm
Search WEB for skeleton respect to your proposal |
|
![]()
|
|
|
Structure Proposal # 3460 YDARFSSKVASNPX Deviation = 8.52ppm
Search WEB for skeleton respect to your proposal |
|
![]()
|
|
|
Structure Proposal # 3461 CYKCTUAKSAPCBL Deviation = 8.52ppm
Search WEB for skeleton respect to your proposal |
|
![]()
|
|
|
Structure Proposal # 3462 QMZWDABXHAZFOX Deviation = 8.52ppm
Search WEB for skeleton respect to your proposal |
|
![]()
|
|
|
Structure Proposal # 3463 UARQLFPDOQNKFW Deviation = 8.53ppm
Search WEB for skeleton respect to your proposal |
|
![]()
|
|
|
Structure Proposal # 3464 YHRODZAJFLNKHR Deviation = 8.53ppm
Search WEB for skeleton respect to your proposal |
|
![]()
|
|
|
Structure Proposal # 3465 LBUUTJFEECXPTN Deviation = 8.53ppm
Search WEB for skeleton respect to your proposal |
|
![]()
|
|
|
Structure Proposal # 3466 PMQLRVNRUUUYQH Deviation = 8.55ppm
Search WEB for skeleton respect to your proposal |
|
![]()
|
|
|
Structure Proposal # 3467 DSGYXEHDPBGCIN Deviation = 8.55ppm
Search WEB for skeleton respect to your proposal |
|
![]()
|
|
|
Structure Proposal # 3468 XZJOLEBTBFATMD Deviation = 8.55ppm
Search WEB for skeleton respect to your proposal |
|
![]()
|
|
|
Structure Proposal # 3469 DIXQDCBYGPSVOU Deviation = 8.56ppm
Search WEB for skeleton respect to your proposal |
|
![]()
|
|
|
Structure Proposal # 3470 DMKVCCKRBULOFC Deviation = 8.56ppm
Search WEB for skeleton respect to your proposal |
|
![]()
|
|
|
Structure Proposal # 3471 XZNOHVDVCNYNFU Deviation = 8.57ppm
Search WEB for skeleton respect to your proposal |
|
![]()
|
|
|
Structure Proposal # 3472 ACVMKGJKPUGXSO Deviation = 8.57ppm
Search WEB for skeleton respect to your proposal |
|
![]()
|
|
|
Structure Proposal # 3473 NXGCYBJEMYTQNR Deviation = 8.57ppm
Search WEB for skeleton respect to your proposal |
|
![]()
|
|
|
Structure Proposal # 3474 PVYQQHQTZPOMPM Deviation = 8.58ppm
Search WEB for skeleton respect to your proposal |
|
![]()
|
|
|
Structure Proposal # 3475 UXWYLLAFVDINTE Deviation = 8.58ppm
Search WEB for skeleton respect to your proposal |
|
![]()
|
|
|
Structure Proposal # 3476 IKYQMOKSVUOFCY Deviation = 8.58ppm
Search WEB for skeleton respect to your proposal |
|
![]()
|
|
|
Structure Proposal # 3477 DBNZJNSIKMSXHU Deviation = 8.59ppm
Search WEB for skeleton respect to your proposal |
|
![]()
|
|
|
Structure Proposal # 3478 WOPXHTGEXFDMCC Deviation = 8.59ppm
Search WEB for skeleton respect to your proposal |
|
![]()
|
|
|
Structure Proposal # 3479 LLOGXWPZAIDDMH Deviation = 8.60ppm
Search WEB for skeleton respect to your proposal |
|
![]()
|
|
|
Structure Proposal # 3480 CZDIUWFTQDJLFQ Deviation = 8.60ppm
Search WEB for skeleton respect to your proposal |
|
![]()
|
|
|
Structure Proposal # 3481 IATONMYFVBPEKY Deviation = 8.60ppm
Search WEB for skeleton respect to your proposal |
|
![]()
|
|
|
Structure Proposal # 3482 VQXGMVVJZVROAG Deviation = 8.61ppm
Search WEB for skeleton respect to your proposal |
|
![]()
|
|
|
Structure Proposal # 3483 QXXUCQDPIOTPNS Deviation = 8.62ppm
Search WEB for skeleton respect to your proposal |
|
![]()
|
|
|
Structure Proposal # 3484 OVEGURXBBGHVKB Deviation = 8.63ppm
Search WEB for skeleton respect to your proposal |
|
![]()
|
|
|
Structure Proposal # 3485 XTBZDFSUYUYCBM Deviation = 8.63ppm
Search WEB for skeleton respect to your proposal |
|
![]()
|
|
|
Structure Proposal # 3486 GUYLHUMJDRAHHO Deviation = 8.63ppm
Search WEB for skeleton respect to your proposal |
|
![]()
|
|
|
Structure Proposal # 3487 BZJARFDHLMFIMY Deviation = 8.63ppm
Search WEB for skeleton respect to your proposal |
|
![]()
|
|
|
Structure Proposal # 3488 YIWGPYSAPSXRQA Deviation = 8.63ppm
Search WEB for skeleton respect to your proposal |
|
![]()
|
|
|
Structure Proposal # 3489 KGSRUWKCRHEEJK Deviation = 8.63ppm
Search WEB for skeleton respect to your proposal |
|
![]()
|
|
|
Structure Proposal # 3490 BMLPUEIAVMVRAB Deviation = 8.63ppm
Search WEB for skeleton respect to your proposal |
|
![]()
|
|
|
Structure Proposal # 3491 BPDGYUOWRWISEX Deviation = 8.64ppm
Search WEB for skeleton respect to your proposal |
|
![]()
|
|
|
Structure Proposal # 3492 ZZHDUVRYMVGKPH Deviation = 8.64ppm
Search WEB for skeleton respect to your proposal |
|
![]()
|
|
|
Structure Proposal # 3493 ROKXNGBSVXXPIT Deviation = 8.64ppm
Search WEB for skeleton respect to your proposal |
|
![]()
|
|
|
Structure Proposal # 3494 NYAKWHDLMSKGSP Deviation = 8.65ppm
Search WEB for skeleton respect to your proposal |
|
![]()
|
|
|
Structure Proposal # 3495 YAQZMTCKFQDGQM Deviation = 8.65ppm
Search WEB for skeleton respect to your proposal |
|
![]()
|
|
|
Structure Proposal # 3496 GNRVAPMHDCJZGZ Deviation = 8.66ppm
Search WEB for skeleton respect to your proposal |
|
![]()
|
|
|
Structure Proposal # 3497 AUNVLAISOCJWTH Deviation = 8.66ppm
Search WEB for skeleton respect to your proposal |
|
![]()
|
|
|
Structure Proposal # 3498 COABCXYARQQZSQ Deviation = 8.66ppm
Search WEB for skeleton respect to your proposal |
|
![]()
|
|
|
Structure Proposal # 3499 WGYMKHSEZBFCIB Deviation = 8.66ppm
Search WEB for skeleton respect to your proposal |
|
![]()
|
|
|
Structure Proposal # 3500 VJRMZQDMUPMCGS Deviation = 8.66ppm
Search WEB for skeleton respect to your proposal |
|
![]()
|
|
|
Structure Proposal # 3501 CPOGUNQBDIAZBN Deviation = 8.68ppm
Search WEB for skeleton respect to your proposal |
|
![]()
|
|
|
Structure Proposal # 3502 RDLDRIAITBBXHA Deviation = 8.68ppm
Search WEB for skeleton respect to your proposal |
|
![]()
|
|
|
Structure Proposal # 3503 HFMASBHSPMYGQC Deviation = 8.68ppm
Search WEB for skeleton respect to your proposal |
|
![]()
|
|
|
Structure Proposal # 3504 LYLZJGSDTVZACP Deviation = 8.69ppm
Search WEB for skeleton respect to your proposal |
|
![]()
|
|
|
Structure Proposal # 3505 STIARVAQVRZCKL Deviation = 8.70ppm
Search WEB for skeleton respect to your proposal |
|
![]()
|
|
|
Structure Proposal # 3506 MXSOQSCILGJRMS Deviation = 8.70ppm
Search WEB for skeleton respect to your proposal |
|
![]()
|
|
|
Structure Proposal # 3507 BECADFQRZNCKOP Deviation = 8.71ppm
Search WEB for skeleton respect to your proposal |
|
![]()
|
|
|
Structure Proposal # 3508 YMQUFYJNFJYDAV Deviation = 8.71ppm
Search WEB for skeleton respect to your proposal |
|
![]()
|
|
|
Structure Proposal # 3509 WKBUFPCNSVLYOS Deviation = 8.72ppm
Search WEB for skeleton respect to your proposal |
|
![]()
|
|
|
Structure Proposal # 3510 FWFZBNGKMZRYJR Deviation = 8.72ppm
Search WEB for skeleton respect to your proposal |
|
![]()
|
|
|
Structure Proposal # 3511 DLDQEUCRLLLICX Deviation = 8.72ppm
Search WEB for skeleton respect to your proposal |
|
![]()
|
|
|
Structure Proposal # 3512 OPAVKXDVUNFBQG Deviation = 8.72ppm
Search WEB for skeleton respect to your proposal |
|
![]()
|
|
|
Structure Proposal # 3513 IADYQYZAGNOGMR Deviation = 8.73ppm
Search WEB for skeleton respect to your proposal |
|
![]()
|
|
|
Structure Proposal # 3514 IBWOBYDNJMSUDR Deviation = 8.73ppm
Search WEB for skeleton respect to your proposal |
|
![]()
|
|
|
Structure Proposal # 3515 KHGFIXTVPNVPMW Deviation = 8.73ppm
Search WEB for skeleton respect to your proposal |
|
![]()
|
|
|
Structure Proposal # 3516 VSYWIMNRBJNJNI Deviation = 8.73ppm
Search WEB for skeleton respect to your proposal |
|
![]()
|
|
|
Structure Proposal # 3517 MXFXGVAJHHFXBH Deviation = 8.74ppm
Search WEB for skeleton respect to your proposal |
|
![]()
|
|
|
Structure Proposal # 3518 GZSRJBYODNVTAN Deviation = 8.74ppm
Search WEB for skeleton respect to your proposal |
|
![]()
|
|
|
Structure Proposal # 3519 VTEQSLIXIYNBTF Deviation = 8.75ppm
Search WEB for skeleton respect to your proposal |
|
![]()
|
|
|
Structure Proposal # 3520 BPUOMRHDUUXLNY Deviation = 8.75ppm
Search WEB for skeleton respect to your proposal |
|
![]()
|
|
|
Structure Proposal # 3521 BGOBXLPJJDSTMU Deviation = 8.75ppm
Search WEB for skeleton respect to your proposal |
|
![]()
|
|
|
Structure Proposal # 3522 ANSJJHKSNWWHTJ Deviation = 8.76ppm
Search WEB for skeleton respect to your proposal |
|
![]()
|
|
|
Structure Proposal # 3523 RXFXTPYFPUPBDS Deviation = 8.76ppm
Search WEB for skeleton respect to your proposal |
|
![]()
|
|
|
Structure Proposal # 3524 LWARUBOHMYGACX Deviation = 8.78ppm
Search WEB for skeleton respect to your proposal |
|
![]()
|
|
|
Structure Proposal # 3525 LBADCVXRSBZFNS Deviation = 8.79ppm
Search WEB for skeleton respect to your proposal |
|
![]()
|
|
|
Structure Proposal # 3526 FNHSWLLGFWQAEF Deviation = 8.80ppm
Search WEB for skeleton respect to your proposal |
|
![]()
|
|
|
Structure Proposal # 3527 MVNQJFNUDYHTCP Deviation = 8.80ppm
Search WEB for skeleton respect to your proposal |
|
![]()
|
|
|
Structure Proposal # 3528 LMGOCOGAFRLLRQ Deviation = 8.81ppm
Search WEB for skeleton respect to your proposal |
|
![]()
|
|
|
Structure Proposal # 3529 MSTVYXWLUNJTAY Deviation = 8.82ppm
Search WEB for skeleton respect to your proposal |
|
![]()
|
|
|
Structure Proposal # 3530 BVEXKPUTQMUXQC Deviation = 8.83ppm
Search WEB for skeleton respect to your proposal |
|
![]()
|
|
|
Structure Proposal # 3531 QFTOHZRFLMREQV Deviation = 8.83ppm
Search WEB for skeleton respect to your proposal |
|
![]()
|
|
|
Structure Proposal # 3532 AUJOZDDLENEAIZ Deviation = 8.83ppm
Search WEB for skeleton respect to your proposal |
|
![]()
|
|
|
Structure Proposal # 3533 MUONJKJSFKRFKG Deviation = 8.84ppm
Search WEB for skeleton respect to your proposal |
|
![]()
|
|
|
Structure Proposal # 3534 CUJAUEQOTMJKGB Deviation = 8.84ppm
Search WEB for skeleton respect to your proposal |
|
![]()
|
|
|
Structure Proposal # 3535 MTXSFNUTHWYZHW Deviation = 8.85ppm
Search WEB for skeleton respect to your proposal |
|
![]()
|
|
|
Structure Proposal # 3536 AMHXHCKVXLKSMW Deviation = 8.85ppm
Search WEB for skeleton respect to your proposal |
|
![]()
|
|
|
Structure Proposal # 3537 MLJBFNSHOIZFQO Deviation = 8.87ppm
Search WEB for skeleton respect to your proposal |
|
![]()
|
|
|
Structure Proposal # 3538 ATDMEFWSCSEWED Deviation = 8.87ppm
Search WEB for skeleton respect to your proposal |
|
![]()
|
|
|
Structure Proposal # 3539 BWJVOGKVGWETRZ Deviation = 8.87ppm
Search WEB for skeleton respect to your proposal |
|
![]()
|
|
|
Structure Proposal # 3540 ORXVENWANLSWDN Deviation = 8.87ppm
Search WEB for skeleton respect to your proposal |
|
![]()
|
|
|
Structure Proposal # 3541 GYIUJHIIBSJQMM Deviation = 8.88ppm
Search WEB for skeleton respect to your proposal |
|
![]()
|
|
|
Structure Proposal # 3542 GMLHZGQGROHLMI Deviation = 8.89ppm
Search WEB for skeleton respect to your proposal |
|
![]()
|
|
|
Structure Proposal # 3543 LDGSKROMECEFPR Deviation = 8.92ppm
Search WEB for skeleton respect to your proposal |
|
![]()
|
|
|
Structure Proposal # 3544 PAOPIEPLTCYRSH Deviation = 8.94ppm
Search WEB for skeleton respect to your proposal |
|
![]()
|
|
|
Structure Proposal # 3545 YZIYETWQBIVWNI Deviation = 8.95ppm
Search WEB for skeleton respect to your proposal |
|
![]()
|
|
|
Structure Proposal # 3546 VNBPJRUHSNLDGH Deviation = 8.97ppm
Search WEB for skeleton respect to your proposal |
|
![]()
|
|
|
Structure Proposal # 3547 UIWYICYSUABWJL Deviation = 8.98ppm
Search WEB for skeleton respect to your proposal |
|
![]()
|
|
|
Structure Proposal # 3548 DZZPVEDFUQYTAQ Deviation = 8.98ppm
Search WEB for skeleton respect to your proposal |
|
![]()
|
|
|
Structure Proposal # 3549 JFZRHOUUSBSXDV Deviation = 8.98ppm
Search WEB for skeleton respect to your proposal |
|
![]()
|
|
|
Structure Proposal # 3550 QWOLIDSXLRNPEL Deviation = 8.98ppm
Search WEB for skeleton respect to your proposal |
|
![]()
|
|
|
Structure Proposal # 3551 SPBBTNATQABYSS Deviation = 8.99ppm
Search WEB for skeleton respect to your proposal |
|
![]()
|
|
|
Structure Proposal # 3552 DTWHDHYINNLPKI Deviation = 9.00ppm
Search WEB for skeleton respect to your proposal |
|
![]()
|
|
|
Structure Proposal # 3553 RMWUWNYLVICASS Deviation = 9.02ppm
Search WEB for skeleton respect to your proposal |
|
![]()
|
|
|
Structure Proposal # 3554 KSOKKIMCPMQQNB Deviation = 9.02ppm
Search WEB for skeleton respect to your proposal |
|
![]()
|
|
|
Structure Proposal # 3555 ZQXXNXCRFDHEEL Deviation = 9.03ppm
Search WEB for skeleton respect to your proposal |
|
![]()
|
|
|
Structure Proposal # 3556 ASFDZXVSXCMHDE Deviation = 9.04ppm
Search WEB for skeleton respect to your proposal |
|
![]()
|
|
|
Structure Proposal # 3557 CTISYIPTTFGIEG Deviation = 9.04ppm
Search WEB for skeleton respect to your proposal |
|
![]()
|
|
|
Structure Proposal # 3558 KCJYJUJKGJMXQJ Deviation = 9.04ppm
Search WEB for skeleton respect to your proposal |
|
![]()
|
|
|
Structure Proposal # 3559 PTXZZICZADFVLK Deviation = 9.05ppm
Search WEB for skeleton respect to your proposal |
|
![]()
|
|
|
Structure Proposal # 3560 LRROISFNLISYGJ Deviation = 9.05ppm
Search WEB for skeleton respect to your proposal |
|
![]()
|
|
|
Structure Proposal # 3561 KPYJYVNCVWBXAJ Deviation = 9.06ppm
Search WEB for skeleton respect to your proposal |
|
![]()
|
|
|
Structure Proposal # 3562 GAKRYRMTTICIAK Deviation = 9.07ppm
Search WEB for skeleton respect to your proposal |
|
![]()
|
|
|
Structure Proposal # 3563 VMKJLUJRGCSSRW Deviation = 9.08ppm
Search WEB for skeleton respect to your proposal |
|
![]()
|
|
|
Structure Proposal # 3564 DTDUXRBFFCJDOO Deviation = 9.08ppm
Search WEB for skeleton respect to your proposal |
|
![]()
|
|
|
Structure Proposal # 3565 LXYAFXSIZCJBIZ Deviation = 9.09ppm
Search WEB for skeleton respect to your proposal |
|
![]()
|
|
|
Structure Proposal # 3566 BTMHEECZGXRGDH Deviation = 9.10ppm
Search WEB for skeleton respect to your proposal |
|
![]()
|
|
|
Structure Proposal # 3567 UYVUUKLKFCVXLI Deviation = 9.11ppm
Search WEB for skeleton respect to your proposal |
|
![]()
|
|
|
Structure Proposal # 3568 VPGFNMCKAGIJHY Deviation = 9.11ppm
Search WEB for skeleton respect to your proposal |
|
![]()
|
|
|
Structure Proposal # 3569 RRKJDYBHIBAVSF Deviation = 9.13ppm
Search WEB for skeleton respect to your proposal |
|
![]()
|
|
|
Structure Proposal # 3570 ZCRAJPCUQOXGEO Deviation = 9.13ppm
Search WEB for skeleton respect to your proposal |
|
![]()
|
|
|
Structure Proposal # 3571 YEJVIXSHGLJYRS Deviation = 9.14ppm
Search WEB for skeleton respect to your proposal |
|
![]()
|
|
|
Structure Proposal # 3572 XANQQLYIRTZGIF Deviation = 9.15ppm
Search WEB for skeleton respect to your proposal |
|
![]()
|
|
|
Structure Proposal # 3573 STQGFTKKGBHTEC Deviation = 9.18ppm
Search WEB for skeleton respect to your proposal |
|
![]()
|
|
|
Structure Proposal # 3574 SRQQWZWBJIYVBI Deviation = 9.20ppm
Search WEB for skeleton respect to your proposal |
|
![]()
|
|
|
Structure Proposal # 3575 XREUKIJSLFSKDI Deviation = 9.20ppm
Search WEB for skeleton respect to your proposal |
|
![]()
|
|
|
Structure Proposal # 3576 GPZFLPTYHPNKKE Deviation = 9.23ppm
Search WEB for skeleton respect to your proposal |
|
![]()
|
|
|
Structure Proposal # 3577 QBOBFXRTNQCRIC Deviation = 9.23ppm
Search WEB for skeleton respect to your proposal |
|
![]()
|
|
|
Structure Proposal # 3578 RUVWEAUQMOVSDR Deviation = 9.24ppm
Search WEB for skeleton respect to your proposal |
|
![]()
|
|
|
Structure Proposal # 3579 VHYSRCJZBHMEOJ Deviation = 9.30ppm
Search WEB for skeleton respect to your proposal |
|
![]()
|
|
|
Structure Proposal # 3580 VJDQEVFYILSFIR Deviation = 9.34ppm
Search WEB for skeleton respect to your proposal |
|
![]()
|
|
|
Structure Proposal # 3581 PXVCYYFPESBFBY Deviation = 9.34ppm
Search WEB for skeleton respect to your proposal |
|
![]()
|
|
|
Structure Proposal # 3582 BLBFMIKJRGQTFT Deviation = 9.45ppm
Search WEB for skeleton respect to your proposal |
|
![]()
|
|
|
Structure Proposal # 3583 LNGLEOIUQBVRRY Deviation = 9.46ppm
Search WEB for skeleton respect to your proposal Compound from PUBCHEM CSEARCH ![]() |
|
![]()
|
|
|
Structure Proposal # 3584 URZZWCQKEAREJB Deviation = 9.48ppm
Search WEB for skeleton respect to your proposal |
|
![]()
|
|
|
Structure Proposal # 3585 LOGATBFBWWJTFG Deviation = 9.48ppm
Search WEB for skeleton respect to your proposal |
|
![]()
|
|
|
Structure Proposal # 3586 RFAUZRRZEPXBET Deviation = 9.51ppm
Search WEB for skeleton respect to your proposal |
|
![]()
|
|
|
Structure Proposal # 3587 VXJMEWBHZQULGH Deviation = 9.58ppm
Search WEB for skeleton respect to your proposal |
|
![]()
|
|
|
Structure Proposal # 3588 QKYUXWMOHGXINE Deviation = 9.61ppm
Search WEB for skeleton respect to your proposal |
|
![]()
|
|
|
Structure Proposal # 3589 QRWUZPFJZAZPMB Deviation = 9.61ppm
Search WEB for skeleton respect to your proposal |
|
![]()
|
|
|
Structure Proposal # 3590 UAMIUDZREZZGON Deviation = 9.61ppm
Search WEB for skeleton respect to your proposal |
|
![]()
|
|
|
Structure Proposal # 3591 ZQBWJBYOKYAFON Deviation = 9.62ppm
Search WEB for skeleton respect to your proposal |
|
![]()
|
|
|
Structure Proposal # 3592 WUDASGNKEVMLHQ Deviation = 9.66ppm
Search WEB for skeleton respect to your proposal |
|
![]()
|
|
|
Structure Proposal # 3593 ZHBPTIKXIZSDCI Deviation = 9.66ppm
Search WEB for skeleton respect to your proposal |
|
![]()
|
|
|
Structure Proposal # 3594 XFAJNQUDGLXFQV Deviation = 9.69ppm
Search WEB for skeleton respect to your proposal |
|
![]()
|
|
|
Structure Proposal # 3595 NOLUHCVFNOCBOF Deviation = 9.69ppm
Search WEB for skeleton respect to your proposal |
|
![]()
|
|
|
Structure Proposal # 3596 LISCXULFUPTVAU Deviation = 9.71ppm
Search WEB for skeleton respect to your proposal |
|
![]()
|
|
|
Structure Proposal # 3597 VPZKVOOKYDEBHP Deviation = 9.72ppm
Search WEB for skeleton respect to your proposal |
|
![]()
|
|
|
Structure Proposal # 3598 UFDXDUCGHUSQJF Deviation = 9.72ppm
Search WEB for skeleton respect to your proposal |
|
![]()
|
|
|
Structure Proposal # 3599 BAYXHMXDGPSUKS Deviation = 9.75ppm
Search WEB for skeleton |
|
![]()
|
|
|
Structure Proposal # 3600 TUVOITSIGMVQLA Deviation = 9.75ppm
Search WEB for skeleton respect to your proposal |
|
![]()
|
|
|
Structure Proposal # 3601 GJUMORZVVAHGJT Deviation = 9.76ppm
Search WEB for skeleton respect to your proposal |
|
![]()
|
|
|
Structure Proposal # 3602 BIZMKOYDGIZFLE Deviation = 9.81ppm
Search WEB for skeleton respect to your proposal |
|
![]()
|
|
|
Structure Proposal # 3603 UWDMMVOPLTUMSA Deviation = 9.81ppm
Search WEB for skeleton respect to your proposal |
|
![]()
|
|
|
Structure Proposal # 3604 YOZLFATVSRUMST Deviation = 9.83ppm
Search WEB for skeleton respect to your proposal |
|
![]()
|
|
|
Structure Proposal # 3605 DCFSGPVYRKHQIU Deviation = 9.87ppm
Search WEB for skeleton respect to your proposal |
|
![]()
|
|
|
Structure Proposal # 3606 BHBJEYOQEJMWOU Deviation = 9.91ppm
Search WEB for skeleton respect to your proposal |
|
![]()
|
|
|
Structure Proposal # 3607 WIYAIKSOVOMTFT Deviation = 9.91ppm
Search WEB for skeleton respect to your proposal |
|
![]()
|
|
|
Structure Proposal # 3608 RKRKPXFZLJUIKZ Deviation = 9.93ppm
Search WEB for skeleton respect to your proposal |
|
![]()
|
|
|
Structure Proposal # 3609 AWVHKYPYTOHRFL Deviation = 9.97ppm
Search WEB for skeleton respect to your proposal |
|
![]()
|
|
|
Structure Proposal # 3610 SMWZKMYFSUIBRB Deviation = 9.98ppm
Search WEB for skeleton respect to your proposal |
|
![]()
|
|
|
Structure Proposal # 3611 YFHZNVXNXWAPBF Deviation = 10.12ppm
Search WEB for skeleton |
|
![]()
|
|
|
Structure Proposal # 3612 CLVLFSRFZXRNRO Deviation = 10.19ppm
Search WEB for skeleton respect to your proposal |
|
![]()
|
|
|
Structure Proposal # 3613 SKGBZFFXHKKGBT Deviation = 10.23ppm
Search WEB for skeleton respect to your proposal |
|
![]()
|
|
|
Structure Proposal # 3614 BGQSETIBIHMYSH Deviation = 10.24ppm
Search WEB for skeleton respect to your proposal |
|
![]()
|
|
|
Structure Proposal # 3615 ORXDJZIKBBDYKL Deviation = 10.27ppm
Search WEB for skeleton respect to your proposal |
|
![]()
|
|
|
Structure Proposal # 3616 SWDFDCJJHIWGCB Deviation = 10.32ppm
Search WEB for skeleton |
|
![]()
|
|
|
Structure Proposal # 3617 FLIBBKSYTPFTJV Deviation = 10.43ppm
Search WEB for skeleton respect to your proposal |
|
![]()
|
|
|
Structure Proposal # 3618 RDESMHAGRQOUBN Deviation = 10.59ppm
Search WEB for skeleton |
|
![]()
|
|
|
Structure Proposal # 3619 GWKCMYULLCGFPI Deviation = 10.78ppm
Search WEB for skeleton respect to your proposal |
|
![]()
|
|
|
Structure Proposal # 3620 DHEKKGDDCPBPEG Deviation = 10.87ppm
Search WEB for skeleton respect to your proposal |
|
![]()
|
|
|
Structure Proposal # 3621 RMHSYTAQZLWQTQ Deviation = 10.99ppm
Search WEB for skeleton |
|
![]()
|
|
|
Structure Proposal # 3622 OCSYLGBNHRYTGV Deviation = 11.37ppm
Search WEB for skeleton |
|
![]()
|
|
|
Structure Proposal # 3623 ZAOBWCGRYOJYCL Deviation = 11.48ppm
Search WEB for skeleton |
|
![]()
|
|
|
Structure Proposal # 3624 AKLFWBKUISWWBS Deviation = 11.65ppm
Search WEB for skeleton respect to your proposal |
|
![]()
|
|
|
Structure Proposal # 3625 ZWSJNURBYKQAPN Deviation = 11.72ppm
Search WEB for skeleton respect to your proposal |
|
![]()
|
|
|
Structure Proposal # 3626 RVTAEZWSFMKKNK Deviation = 11.89ppm
Search WEB for skeleton |
|
![]()
|
|
|
Structure Proposal # 3627 YGQAUEYOCLFXBK Deviation = 12.01ppm
Search WEB for skeleton |
|
![]()
|
|
|
Structure Proposal # 3628 ITMVFQDAPBBQGN Deviation = 13.69ppm
Search WEB for skeleton respect to your proposal |
|
![]()
|
|
|
Structure Proposal # 3629 OGJHBRFFDXOIJM Deviation = 14.39ppm
Search WEB for skeleton respect to your proposal |
|
![]()
|
|
|
Structure Proposal # 3630 DJFSFMNWIFYMSE Deviation = 14.45ppm
Search WEB for skeleton |
|
![]()
|
|
|
Structure Proposal # 3631 HZPFNECISFRITR Deviation = 14.47ppm
Search WEB for skeleton |
|
![]()
|
|
|
Structure Proposal # 3632 YHQHSBNLFZNNTI Deviation = 15.55ppm
Search WEB for skeleton respect to your proposal |
|
![]()
|
|
|
Structure Proposal # 3633 YWTYQGGFFMHBBA Deviation = 15.57ppm
Search WEB for skeleton respect to your proposal |
|
![]()
|
|
|
Structure Proposal # 3634 UDBIHYHPXMXAAX Deviation = 17.36ppm
Search WEB for skeleton respect to your proposal |
|
![]()
|
|
|
Structure Proposal # 3635 IVVLGDIOVUUPRA Deviation = 17.39ppm
Search WEB for skeleton |
|
![]()
|
|
|
Structure Proposal # 3636 BGDXXTQFZKSDCO Deviation = 17.54ppm
Search WEB for skeleton respect to your proposal |
|
![]()
|
|
|
Structure Proposal # 3637 USMPDQJMJQUXNF Deviation = 17.60ppm
Search WEB for skeleton respect to your proposal |
|
![]()
|
|
|
Structure Proposal # 3638 VFVMIPGUZPWXBA Deviation = 17.71ppm
Search WEB for skeleton respect to your proposal |
|
![]()
|
|
|
Structure Proposal # 3639 LVCGDCUQBLLNLY Deviation = 18.57ppm
Search WEB for skeleton |
|
![]()
|
|
|
Structure Proposal # 3640 YXTOYOGAIGDEMI Deviation = 18.57ppm
Search WEB for skeleton |
|
![]()
|
|
|
Structure Proposal # 3641 OUYUTZXZSFOCNW Deviation = 18.67ppm
Search WEB for skeleton respect to your proposal |
|
![]()
|
|
|
Structure Proposal # 3642 IBTXYBAPITXDGF Deviation = 19.42ppm
Search WEB for skeleton |
|
![]()
|
|
|
Structure Proposal # 3643 ZCDDOROKSMWROR Deviation = 20.04ppm
Search WEB for skeleton respect to your proposal |
|
![]()
|
|
|
Structure Proposal # 3644 IQRLKXUBVMBTJS Deviation = 20.08ppm
Search WEB for skeleton respect to your proposal |
|
![]()
|
|
|
Structure Proposal # 3645 VGFRDCHNAZJZOT Deviation = 20.33ppm
Search WEB for skeleton respect to your proposal |
|
![]()
|
|
|
Structure Proposal # 3646 LSPYEJAJZGHDKS Deviation = 20.48ppm
Search WEB for skeleton respect to your proposal |
|
![]()
|
|
|
Structure Proposal # 3647 GTNSDPPZAVGXOA Deviation = 20.49ppm
Search WEB for skeleton |
|
![]()
|
|
|
Structure Proposal # 3648 ONDGERCHOMNBNV Deviation = 20.69ppm
Search WEB for skeleton respect to your proposal |
|
![]()
|
|
|
Structure Proposal # 3649 FHPFZVFSKIMSKT Deviation = 20.84ppm
Search WEB for skeleton |
|
![]()
|
|
|
Structure Proposal # 3650 OKMGIWNXRDBYKI Deviation = 21.50ppm
Search WEB for skeleton |
|
![]()
|
|
|
Structure Proposal # 3651 BYETXRANKVMIOI Deviation = 21.78ppm
Search WEB for skeleton |
|
![]()
|
|
|
Structure Proposal # 3652 MVZRGTDEYSSMMJ Deviation = 21.78ppm
Search WEB for skeleton |
|
![]()
|
|
|
Structure Proposal # 3653 URIAABVRYIWDNY Deviation = 21.79ppm
Search WEB for skeleton |
|
![]()
|
|
|
Structure Proposal # 3654 XNUKCQJFFNMUNQ Deviation = 21.82ppm
Search WEB for skeleton |
|
![]()
|
|
|
Structure Proposal # 3655 BVWCINDFHMWHJL Deviation = 22.03ppm
Search WEB for skeleton |
|
![]()
|
|
|
Structure Proposal # 3656 SDICDTNQQWZHGN Deviation = 22.04ppm
Search WEB for skeleton |
|
![]()
|
|
|
Structure Proposal # 3657 SGMWAXLWXJELQK Deviation = 22.49ppm
Search WEB for skeleton |
|
![]()
|
|
|
Structure Proposal # 3658 YGTAUUMFWPZLBR Deviation = 23.94ppm
Search WEB for skeleton |
|
![]()
|
|
|
Structure Proposal # 3659 CAOKHHXVEUXOGY Deviation = 24.83ppm
Search WEB for skeleton |
|
![]()
|
|
|
Structure Proposal # 3660 DPBRCOQWTBAAJN Deviation = 25.52ppm
Search WEB for skeleton |
|
![]()
|
|
|
Proposal # 1 Similarity: 0.79ppm AVFLDWQHIWZEHL PUBCHEM
|
Proposal # 2 Similarity: 0.96ppm VGLPMHUEAJTQBR
|
Proposal # 3 Similarity: 1.01ppm ZKTIEHLXAOPEHR
|
|
Proposal # 4 Similarity: 1.05ppm QDPBEVFYBKMDFR
|
Proposal # 5 Similarity: 1.12ppm RGFKDZISHHCBNY
|
Proposal # 6 Similarity: 1.13ppm WZEOKYLZUWXWEA
|
|
Proposal # 7 Similarity: 1.16ppm MDOPOZXBIYASRK
|
Proposal # 8 Similarity: 1.22ppm WALQVBVNXVDURD
|
Proposal # 9 Similarity: 1.27ppm DNMRWWKZAWBTEP
|
|
Proposal # 10 Similarity: 1.29ppm ZAOYHWUWYMKWGI
|
Proposal # 11 Similarity: 1.32ppm XGLZWOYLFJALEZ
|
Proposal # 12 Similarity: 1.32ppm VHKYYZJNXWXNGA
|
|
Proposal # 13 Similarity: 1.33ppm ZQFCVMVFQJGYBI
|
Proposal # 14 Similarity: 1.40ppm HFXMRHOCLCSWOQ
|
Proposal # 15 Similarity: 1.41ppm XUBIQPCNOGDIOO
|
|
Proposal # 16 Similarity: 1.41ppm XOAHXRFOMODKIL
|
Proposal # 17 Similarity: 1.42ppm YAWDFDKXFRVNTM
|
Proposal # 18 Similarity: 1.42ppm WIDYXBGQHYEHAU
|
|
Proposal # 19 Similarity: 1.43ppm LUBIFAQRPVZGEO
|
Proposal # 20 Similarity: 1.43ppm VHGHHSILJPCZGH
|
Proposal # 21 Similarity: 1.44ppm CGUCUJPGTIRUQP
|
|
Proposal # 22 Similarity: 1.45ppm QFWJXUMEPQQQJJ
|
Proposal # 23 Similarity: 1.45ppm VEBLHAQCRGGART
|
Proposal # 24 Similarity: 1.46ppm QMJQCLYPDJPSFY
|
|
Proposal # 25 Similarity: 1.47ppm USPMORJCROOAEN
|
Proposal # 26 Similarity: 1.48ppm QOPMCHZVTGFLTM
|
Proposal # 27 Similarity: 1.54ppm VVLNXJMNOQHTMI
|
|
Proposal # 28 Similarity: 1.56ppm NXVCJFLYOUIXIS
|
Proposal # 29 Similarity: 1.56ppm ZWQAJPKNMCFHTP
|
Proposal # 30 Similarity: 1.60ppm WDBDZOYMAUWBLP
|
|
Proposal # 31 Similarity: 1.60ppm WSBWNQXIIHTBSN
|
Proposal # 32 Similarity: 1.60ppm MCIFLTOBDISLFI
|
Proposal # 33 Similarity: 1.62ppm YFJDZZIPFMVCSR
|
|
Proposal # 34 Similarity: 1.65ppm JWDQIBOGVXSUSQ
|
Proposal # 35 Similarity: 1.68ppm AEIADIAICSBWFO
|
Proposal # 36 Similarity: 1.70ppm DQZNQUMECHGQGV
|
|
Proposal # 37 Similarity: 1.71ppm MHHLKWYYWMBVEQ
|
Proposal # 38 Similarity: 1.72ppm QCBQWOBIRQZFNN
|
Proposal # 39 Similarity: 1.72ppm SALAONBAGWJCLY
|
|
Proposal # 40 Similarity: 1.75ppm QDJQICKQHIYPNG
|
Proposal # 41 Similarity: 1.78ppm RZASBEQMBZVXQQ
|
Proposal # 42 Similarity: 1.78ppm DKIGPKNDYPYVRV
|
|
Proposal # 43 Similarity: 1.79ppm SMJWGIOHHICURL
|
Proposal # 44 Similarity: 1.82ppm IUYXKXDMUJNSKY
|
Proposal # 45 Similarity: 1.87ppm YQXBWYHHXAVEGY
|
|
Proposal # 46 Similarity: 1.88ppm NPEOSBGCBJWUIM
|
Proposal # 47 Similarity: 1.94ppm GLSZVGXBPUVAMQ
|
Proposal # 48 Similarity: 1.95ppm ITHOTGPLEVXTRV
|
|
Proposal # 49 Similarity: 1.95ppm HWHOWBNBWMZGJZ
|
Proposal # 50 Similarity: 1.96ppm RIMOUTFMNJBVMR
|
Proposal # 51 Similarity: 1.96ppm ZNPIXFVWHVQBMK
|
|
Proposal # 52 Similarity: 1.98ppm CVJPKMGCVIUKLR
|
Proposal # 53 Similarity: 1.98ppm CLNWSEWODNJBEJ
|
Proposal # 54 Similarity: 2.00ppm VGTNKDYFPOKFTK
|
|
Proposal # 55 Similarity: 2.01ppm GHFXGIJGNXGVTB
|
Proposal # 56 Similarity: 2.03ppm CWLYSLCQASAXKC
|
Proposal # 57 Similarity: 2.03ppm VTZCSBRUAVIHMF
|
|
Proposal # 58 Similarity: 2.03ppm RMGRTCAEZWGSIT
|
Proposal # 59 Similarity: 2.06ppm HICAWGIWTJLYPK
|
Proposal # 60 Similarity: 2.07ppm OKNJHNJQSFKTLW
|
|
Proposal # 61 Similarity: 2.09ppm UWFCEHVJOWEMQV
|
Proposal # 62 Similarity: 2.09ppm VUCDSTCRVYGRSG PUBCHEM
|
Proposal # 63 Similarity: 2.12ppm NBKFMGOPGMNFAM
|
|
Proposal # 64 Similarity: 2.13ppm CWIBBIJKKMYSKX
|
Proposal # 65 Similarity: 2.14ppm GGJUQYPPOWKZPL
|
Proposal # 66 Similarity: 2.15ppm JVVGFDQAOVCWFX
|
|
Proposal # 67 Similarity: 2.18ppm OGTBGJVZPISWKC
|
Proposal # 68 Similarity: 2.19ppm NTBBHUFEFYVHOS
|
Proposal # 69 Similarity: 2.20ppm VTZWLWRMKPNDOM
|
|
Proposal # 70 Similarity: 2.23ppm JGZRYEHWTONZTP
|
Proposal # 71 Similarity: 2.31ppm KVKSIOHFFUIVFK
|
Proposal # 72 Similarity: 2.35ppm OGBAIBZUAFLBQQ
|
|
Proposal # 73 Similarity: 2.35ppm OJVFSMPLUCLZOD
|
Proposal # 74 Similarity: 2.37ppm VVGBYLYTKPLNMH
|
Proposal # 75 Similarity: 2.39ppm ADZFTMLHASXOTP
|
|
Proposal # 76 Similarity: 2.39ppm KLVBQVHUBPJYLY
|
Proposal # 77 Similarity: 2.41ppm YXPUSOGQUHLJMN
|
Proposal # 78 Similarity: 2.41ppm VZWWYPNWPHQZNK
|
|
Proposal # 79 Similarity: 2.45ppm GDVBWCWGZAGZSQ
|
Proposal # 80 Similarity: 2.45ppm NVPQNZYINUEXON
|
Proposal # 81 Similarity: 2.45ppm HCTXIHCTGWWJKV
|
|
Proposal # 82 Similarity: 2.49ppm NBUQOYPIGMHJAH
|
Proposal # 83 Similarity: 2.50ppm UQIHYBKHHAJBST
|
Proposal # 84 Similarity: 2.52ppm UKUGVRIOLGRNKG
|
|
Proposal # 85 Similarity: 2.53ppm KFGQAGWKYLLAOZ
|
Proposal # 86 Similarity: 2.53ppm WRNBZCRTYSVUKG
|
Proposal # 87 Similarity: 2.53ppm PREBEMXRYODFLT
|
|
Proposal # 88 Similarity: 2.54ppm FYLJFILQZDQTRM
|
Proposal # 89 Similarity: 2.56ppm ZWOSYYRVLPUDMC
|
Proposal # 90 Similarity: 2.56ppm ZMANWTMKOUDGRE
|
|
Proposal # 91 Similarity: 2.56ppm OGJBRRKHHKIENW
|
Proposal # 92 Similarity: 2.56ppm QBTMBHLXHQZLRC
|
Proposal # 93 Similarity: 2.56ppm IWGPACMUVVCEKZ
|
|
Proposal # 94 Similarity: 2.58ppm UPGHIUZGAQGJNV
|
Proposal # 95 Similarity: 2.59ppm GZSOCPAGKHTPFM
|
Proposal # 96 Similarity: 2.59ppm PHOGFDCVJBOLBM
|
|
Proposal # 97 Similarity: 2.60ppm PDVDRBYRQUMKFO
|
Proposal # 98 Similarity: 2.62ppm LVUGPFSQFLNQLR
|
Proposal # 99 Similarity: 2.62ppm MAWZFENYHUNWDM
|
|
Proposal # 100 Similarity: 2.63ppm XKZYYWCWEXFGGF
|
Proposal # 101 Similarity: 2.63ppm IAHYOHYNYJVYEZ
|
Proposal # 102 Similarity: 2.64ppm MTEJNRPARVOZEH
|
|
Proposal # 103 Similarity: 2.65ppm QODIARDOPXSJKG
|
Proposal # 104 Similarity: 2.66ppm GWQPSLLGGVKODA
|
Proposal # 105 Similarity: 2.66ppm ZMHHWPNFJKIXRB
|
|
Proposal # 106 Similarity: 2.67ppm FYIWBJFOHJXJHI
|
Proposal # 107 Similarity: 2.70ppm DYQHRRRKZBBXAJ
|
Proposal # 108 Similarity: 2.70ppm DSAZEJHPVXVUPB
|
|
Proposal # 109 Similarity: 2.72ppm YLOLSSPLJUGAQF
|
Proposal # 110 Similarity: 2.72ppm QLMYRXTYZFZDRO
|
Proposal # 111 Similarity: 2.75ppm MTIGRKQWUUWOID
|
|
Proposal # 112 Similarity: 2.76ppm RGNUQBDGRYONEP
|
Proposal # 113 Similarity: 2.77ppm MPXGIMKIPRNSNV
|
Proposal # 114 Similarity: 2.77ppm NBEJYLKDCNXWAL
|
|
Proposal # 115 Similarity: 2.78ppm MZRONUURBLAANV
|
Proposal # 116 Similarity: 2.79ppm BKLAMHCEQHOOMM
|
Proposal # 117 Similarity: 2.79ppm NFCKRABYXZCGIC
|
|
Proposal # 118 Similarity: 2.79ppm GPIPOQMZAJBDDJ
|
Proposal # 119 Similarity: 2.80ppm DJTLSNQTGFRWNH
|
Proposal # 120 Similarity: 2.81ppm CPEVFTPRNVSCRC
|
|
Proposal # 121 Similarity: 2.81ppm FWJJWBRLFYHAQY
|
Proposal # 122 Similarity: 2.81ppm LHHTXKWWZKZYQM
|
Proposal # 123 Similarity: 2.82ppm JMFFLZLKOXCKOD
|
|
Proposal # 124 Similarity: 2.83ppm CMSBSETUKIUXKA
|
Proposal # 125 Similarity: 2.83ppm UKYSLVKQLBDZLY
|
Proposal # 126 Similarity: 2.83ppm JERZLXIXRYVRPO
|
|
Proposal # 127 Similarity: 2.85ppm DCSYCZHJKHTOIW
|
Proposal # 128 Similarity: 2.85ppm UXEBIBDJOSRIAN
|
Proposal # 129 Similarity: 2.86ppm RVBFOBCVSFWYDY
|
|
Proposal # 130 Similarity: 2.86ppm IOQZWWWLVQEFEQ
|
Proposal # 131 Similarity: 2.88ppm KUYIGSNWYJWJKI
|
Proposal # 132 Similarity: 2.89ppm CDVPXDZPWHILMV
|
|
Proposal # 133 Similarity: 2.89ppm QKJBHDXKROODIM
|
Proposal # 134 Similarity: 2.89ppm NAYBNBPWOKHRQW
|
Proposal # 135 Similarity: 2.89ppm JGOQQFULUWPKPJ
|
|
Proposal # 136 Similarity: 2.90ppm GTAVNYGIMJNMRN
|
Proposal # 137 Similarity: 2.90ppm GLVNJDNKCLPMJK
|
Proposal # 138 Similarity: 2.91ppm WCZVKHYSHKJGAD
|
|
Proposal # 139 Similarity: 2.91ppm DCKOUAAVLRFCDA
|
Proposal # 140 Similarity: 2.92ppm YWEWQDXAUMZCNW
|
Proposal # 141 Similarity: 2.92ppm MXFCNWLZOGUTES
|
|
Proposal # 142 Similarity: 2.92ppm MZTFHGDKJSLHTH
|
Proposal # 143 Similarity: 2.92ppm LBCUXRCIOKQRIL
|
Proposal # 144 Similarity: 2.93ppm LUBSCKFENVYTKX
|
|
Proposal # 145 Similarity: 2.93ppm HFPKSVIAFBVGOT
|
Proposal # 146 Similarity: 2.95ppm XJHJIOCBDJVPAQ
|
Proposal # 147 Similarity: 2.95ppm UJPYCSASFLCXRC
|
|
Proposal # 148 Similarity: 2.96ppm OJAVGQZRZQOYKG
|
Proposal # 149 Similarity: 2.97ppm RMNYLTNTKUCEBU
|
Proposal # 150 Similarity: 2.99ppm CNPKUYXKSXTORR
|
|
Proposal # 151 Similarity: 3.00ppm JCFIEDNGWSXZEH
|
Proposal # 152 Similarity: 3.00ppm QPKFEKDBBPJIKG
|
Proposal # 153 Similarity: 3.00ppm VDKGRVRKXMXYTG
|
|
Proposal # 154 Similarity: 3.00ppm GJWPSRLQXNJMIE
|
Proposal # 155 Similarity: 3.00ppm KOQXUEISPAMETL
|
Proposal # 156 Similarity: 3.00ppm LDVZQAXGXPDPHL
|
|
Proposal # 157 Similarity: 3.01ppm CWOMJRRHANJZQH
|
Proposal # 158 Similarity: 3.01ppm QBZDZCHNKOPYSA
|
Proposal # 159 Similarity: 3.01ppm DAPVXLCBYZZRKU
|
|
Proposal # 160 Similarity: 3.01ppm ZIQCKQBMGUBIKT
|
Proposal # 161 Similarity: 3.02ppm LZYFUNGKHLMIHS
|
Proposal # 162 Similarity: 3.02ppm NBGGYWMSSWLLKA
|
|
Proposal # 163 Similarity: 3.03ppm HKOXDWNWZAHICE
|
Proposal # 164 Similarity: 3.04ppm NVJDIPFPEHXDEW
|
Proposal # 165 Similarity: 3.04ppm UOSRHCQGEVONFB
|
|
Proposal # 166 Similarity: 3.05ppm YUOGFZGCTMDYJU
|
Proposal # 167 Similarity: 3.06ppm HKGFSTUNTGYZPB
|
Proposal # 168 Similarity: 3.06ppm PQLGLSGJAQPGKN
|
|
Proposal # 169 Similarity: 3.06ppm HMWFNOKHXNBVMT
|
Proposal # 170 Similarity: 3.06ppm SXZIWXCLLLJNIE
|
Proposal # 171 Similarity: 3.07ppm VJXAEYHDJKAFJF
|
|
Proposal # 172 Similarity: 3.07ppm JFYABQVCAQIVHW
|
Proposal # 173 Similarity: 3.08ppm OKMPKJDRHYWOJR
|
Proposal # 174 Similarity: 3.08ppm MJZWNJYRIHGWEC
|
|
Proposal # 175 Similarity: 3.08ppm ZPSFGGIIHLQQIM
|
Proposal # 176 Similarity: 3.09ppm KEBWIWJBWILMKE
|
Proposal # 177 Similarity: 3.09ppm IAFNMVNPOMXMFW
|
|
Proposal # 178 Similarity: 3.09ppm XSMRYMHHPWMNCI
|
Proposal # 179 Similarity: 3.09ppm OWLXTXXZFAJFRN
|
Proposal # 180 Similarity: 3.10ppm GMFMGWAZAFKENJ
|
|
Proposal # 181 Similarity: 3.10ppm SMZOGNZTZKRUNV
|
Proposal # 182 Similarity: 3.10ppm RNDDZHGNECFFTI
|
Proposal # 183 Similarity: 3.10ppm ILYJMWZOKVEXMD
|
|
Proposal # 184 Similarity: 3.10ppm XHPYTVCDJBRBNF
|
Proposal # 185 Similarity: 3.10ppm LEZMYGOLFPFGCF
|
Proposal # 186 Similarity: 3.11ppm JIOJLKYNFAFDFK
|
|
Proposal # 187 Similarity: 3.11ppm CDEWUGZFQZIKLN
|
Proposal # 188 Similarity: 3.12ppm CJZPJKCVZUDYER
|
Proposal # 189 Similarity: 3.12ppm MUIRRXGOVHXGKM
|
|
Proposal # 190 Similarity: 3.12ppm QTHFNFRINVFAKC
|
Proposal # 191 Similarity: 3.12ppm MPGRHUXAULDIOY
|
Proposal # 192 Similarity: 3.12ppm SWLDFXWNESJGFI
|
|
Proposal # 193 Similarity: 3.12ppm VOVBPKQDPPZDES
|
Proposal # 194 Similarity: 3.13ppm SIXKVIZOAXSOHM
|
Proposal # 195 Similarity: 3.13ppm DMOGOUYEBVBTDO
|
|
Proposal # 196 Similarity: 3.13ppm BXCVILIRQTZTLX
|
Proposal # 197 Similarity: 3.13ppm GDFMBEYHVXZLDH
|
Proposal # 198 Similarity: 3.13ppm PJDFNNRJSBKIAS
|
|
Proposal # 199 Similarity: 3.13ppm VSHUBYCPTLIATG
|
Proposal # 200 Similarity: 3.14ppm HBTFPTYIKCVIRL
|
Proposal # 201 Similarity: 3.14ppm KKWGLECDFAHZLY
|
|
Proposal # 202 Similarity: 3.14ppm PHSKQBRBJVOSQU
|
Proposal # 203 Similarity: 3.14ppm ZZAZWSPSQPCHJJ
|
Proposal # 204 Similarity: 3.14ppm HWRFVKWTCOQEHE
|
|
Proposal # 205 Similarity: 3.14ppm BSGOWPHUXGFGAB
|
Proposal # 206 Similarity: 3.14ppm RBPWTCWDUASSII
|
Proposal # 207 Similarity: 3.14ppm LROCKLCTCDURAQ
|
|
Proposal # 208 Similarity: 3.16ppm DXTPFFHKHZUNBF
|
Proposal # 209 Similarity: 3.16ppm FXALLAADWMBQFY
|
Proposal # 210 Similarity: 3.17ppm WDFCQYFJNHUCGN
|
|
Proposal # 211 Similarity: 3.17ppm MXDUIBAICMHOKU
|
Proposal # 212 Similarity: 3.18ppm MATCISRUSGSQLD
|
Proposal # 213 Similarity: 3.18ppm LEKCKSLUFJVZFF
|
|
Proposal # 214 Similarity: 3.18ppm IBFYBCRFWPARDM
|
Proposal # 215 Similarity: 3.19ppm OAXMQZCBVUIPJM
|
Proposal # 216 Similarity: 3.19ppm WVXDOGODQBDRCP
|
|
Proposal # 217 Similarity: 3.19ppm ZXZMMIRTKCZVKL
|
Proposal # 218 Similarity: 3.19ppm CLJKXTZHCDRPFE
|
Proposal # 219 Similarity: 3.20ppm VXIKGBRWQZMEHB
|
|
Proposal # 220 Similarity: 3.20ppm PKRUKZBJADCAGP
|
Proposal # 221 Similarity: 3.20ppm VAXNXWVSYLHFGK
|
Proposal # 222 Similarity: 3.21ppm WNTQNEABLYZJCD
|
|
Proposal # 223 Similarity: 3.22ppm YHXIMMINKQPYQU
|
Proposal # 224 Similarity: 3.22ppm PRPANWKZDQQIKY
|
Proposal # 225 Similarity: 3.22ppm XOFRNNGGIUQTED
|
|
Proposal # 226 Similarity: 3.22ppm UGJQMYYCBICWPU
|
Proposal # 227 Similarity: 3.22ppm YCAZLMSOEIUJRW
|
Proposal # 228 Similarity: 3.22ppm WULKIFNJIAHYTK
|
|
Proposal # 229 Similarity: 3.23ppm IKKBBWXLFGTLCG
|
Proposal # 230 Similarity: 3.23ppm KNZQUHCEXXUMAS
|
Proposal # 231 Similarity: 3.23ppm VLXRHPGUUMMGEK
|
|
Proposal # 232 Similarity: 3.23ppm RTDCRTPERDHWCZ
|
Proposal # 233 Similarity: 3.24ppm JEZCKPBDKNAMCZ
|
Proposal # 234 Similarity: 3.24ppm KNGKHIZZJAQWKD
|
|
Proposal # 235 Similarity: 3.25ppm PJARJFZDHMQSLU
|
Proposal # 236 Similarity: 3.25ppm YVRKSBYUUKQBLF
|
Proposal # 237 Similarity: 3.25ppm WWYYQCHEHODBPU
|
|
Proposal # 238 Similarity: 3.25ppm XKQQKHLEJRGHDJ
|
Proposal # 239 Similarity: 3.25ppm GTSWZUFUIIKPEV
|
Proposal # 240 Similarity: 3.25ppm HWXHIYWRPLSWNR
|
|
Proposal # 241 Similarity: 3.26ppm WHEYLZHOCYRJSA
|
Proposal # 242 Similarity: 3.27ppm ZUDFMHSOGVOKFN
|
Proposal # 243 Similarity: 3.27ppm OMDPPGNCCQXNRL
|
|
Proposal # 244 Similarity: 3.27ppm CBKZCHDGBBKZGB
|
Proposal # 245 Similarity: 3.27ppm AYILIVWMFSPYJG
|
Proposal # 246 Similarity: 3.28ppm WYPYCRGXQUNBNV
|
|
Proposal # 247 Similarity: 3.28ppm FGKTZOPVYJKJQH
|
Proposal # 248 Similarity: 3.28ppm CCBMHWJKKCCMMQ
|
Proposal # 249 Similarity: 3.29ppm WWZHKYXMLPPAGA
|
|
Proposal # 250 Similarity: 3.29ppm PQPSDZUVLCYZAU
|
Proposal # 251 Similarity: 3.29ppm FFPCMJFBQDGOCF
|
Proposal # 252 Similarity: 3.29ppm SQAHBBFGXTTZJW
|
|
Proposal # 253 Similarity: 3.29ppm BKTHUKCKRDHTFD
|
Proposal # 254 Similarity: 3.29ppm JRTFKNKFFRJGAO
|
Proposal # 255 Similarity: 3.30ppm IWFQDZKJHSVVIL
|
|
Proposal # 256 Similarity: 3.30ppm MAEPEMTVUWTJDP
|
Proposal # 257 Similarity: 3.30ppm MVOTZRDHDKXHIX
|
Proposal # 258 Similarity: 3.30ppm MFELSLPPBRJQCF
|
|
Proposal # 259 Similarity: 3.30ppm RAXTTXXPUBYQBV
|
Proposal # 260 Similarity: 3.31ppm SEAKCLZVRFMVFC
|
Proposal # 261 Similarity: 3.31ppm LUOXCCQDDVJWND
|
|
Proposal # 262 Similarity: 3.31ppm YWNJOMIDZUWTLW
|
Proposal # 263 Similarity: 3.32ppm YSQSVRUXXMXWNL
|
Proposal # 264 Similarity: 3.32ppm QVGJOJLGHPJNNO
|
|
Proposal # 265 Similarity: 3.32ppm ZOOAZPHLZTZQRG
|
Proposal # 266 Similarity: 3.32ppm HYTBULMKUSSICJ
|
Proposal # 267 Similarity: 3.32ppm SKTPFPFBNAIOBO
|
|
Proposal # 268 Similarity: 3.32ppm HGZWQHOSQCCFHI
|
Proposal # 269 Similarity: 3.33ppm NTGMCBIUBHZSHA
|
Proposal # 270 Similarity: 3.33ppm WDMHZPMBMZUOOE
|
|
Proposal # 271 Similarity: 3.33ppm JDFKQKOPZIZQPL
|
Proposal # 272 Similarity: 3.33ppm MNDPEQVNILBNCY
|
Proposal # 273 Similarity: 3.33ppm BWSLQYQUNHKCTC
|
|
Proposal # 274 Similarity: 3.34ppm ZUGXZCSXTFUVJX
|
Proposal # 275 Similarity: 3.34ppm QGGCIKDFHWFNCB
|
Proposal # 276 Similarity: 3.34ppm SYRPRDROACRKNR
|
|
Proposal # 277 Similarity: 3.34ppm RLHDHFXJBZHFLR
|
Proposal # 278 Similarity: 3.34ppm DYUCVWMUNQWUSK
|
Proposal # 279 Similarity: 3.34ppm HFCPELGSKDOCDL
|
|
Proposal # 280 Similarity: 3.35ppm MIGSXYNRFJKUEQ
|
Proposal # 281 Similarity: 3.35ppm DFBMDYYBELXXAF
|
Proposal # 282 Similarity: 3.35ppm OGZIEYLWLFXAEO
|
|
Proposal # 283 Similarity: 3.35ppm SUKCFRDCLZZPPL
|
Proposal # 284 Similarity: 3.35ppm YEFMAZZWBQNPQP
|
Proposal # 285 Similarity: 3.36ppm POKBMRLLQZFIMY
|
|
Proposal # 286 Similarity: 3.36ppm IWWROJPUIRHBIN
|
Proposal # 287 Similarity: 3.36ppm SCXFITHHVSRIPV
|
Proposal # 288 Similarity: 3.37ppm YGUFIHVTYUMLBV
|
|
Proposal # 289 Similarity: 3.37ppm WGHNYVJGHIAOEO
|
Proposal # 290 Similarity: 3.37ppm BASWGWBZOQIZKD
|
Proposal # 291 Similarity: 3.38ppm OVBAMVMECJUJKN
|
|
Proposal # 292 Similarity: 3.38ppm VIWUTPYEIGVOOR
|
Proposal # 293 Similarity: 3.38ppm STQAOWBUNCLHQP
|
Proposal # 294 Similarity: 3.38ppm ZPDYMZJMMDSGNI
|
|
Proposal # 295 Similarity: 3.38ppm IABKMTIAMMCFKB
|
Proposal # 296 Similarity: 3.39ppm CZUCWLNDNHMRGZ
|
Proposal # 297 Similarity: 3.39ppm XUQPUVKDZCICTF
|
|
Proposal # 298 Similarity: 3.39ppm IAAJJJNFRRQGBB
|
Proposal # 299 Similarity: 3.39ppm VYOYRLAAXNNRBY
|
Proposal # 300 Similarity: 3.39ppm GAILSGCKTKWCDY
|
|
Proposal # 301 Similarity: 3.40ppm BNWSUKPGEJOUQN
|
Proposal # 302 Similarity: 3.40ppm JXRNYWZADDOCTA
|
Proposal # 303 Similarity: 3.40ppm SKJNMTSANMWOKJ
|
|
Proposal # 304 Similarity: 3.40ppm VGUOWETVBASRKD
|
Proposal # 305 Similarity: 3.40ppm FHUNSPUHQLRXQX
|
Proposal # 306 Similarity: 3.40ppm AGJUYJLEPXFIMF
|
|
Proposal # 307 Similarity: 3.41ppm UEDXGADWJOVMHT
|
Proposal # 308 Similarity: 3.41ppm AVAUAYBFAYCRER
|
Proposal # 309 Similarity: 3.41ppm HUWZWKWJLHFSNL
|
|
Proposal # 310 Similarity: 3.41ppm NXJRXIYDHQIDHR
|
Proposal # 311 Similarity: 3.41ppm KZNBDBMYRJNMNI
|
Proposal # 312 Similarity: 3.42ppm SHMLVDNTTVASQT
|
|
Proposal # 313 Similarity: 3.42ppm UAOPEKSLJWXREA
|
Proposal # 314 Similarity: 3.42ppm RSVKSCSMLKNJJF
|
Proposal # 315 Similarity: 3.42ppm CUYZKPCWUOSOCC
|
|
Proposal # 316 Similarity: 3.42ppm DRKSKXCNOZWKGQ
|
Proposal # 317 Similarity: 3.42ppm JZMBBAABICTSIB
|
Proposal # 318 Similarity: 3.42ppm NEIJCEADGAAZRI
|
|
Proposal # 319 Similarity: 3.43ppm ITLLDTZSKHWODV
|
Proposal # 320 Similarity: 3.43ppm ZUYLXFSGBMTGJM
|
Proposal # 321 Similarity: 3.43ppm SYXSQSRDDSOBQC
|
|
Proposal # 322 Similarity: 3.43ppm AAVJRVVKGZUYSX
|
Proposal # 323 Similarity: 3.43ppm HXFIRQUXPBNHJY
|
Proposal # 324 Similarity: 3.43ppm LFOYKMFBSDHZAW
|
|
Proposal # 325 Similarity: 3.44ppm GBGOEIUJSVDTKJ
|
Proposal # 326 Similarity: 3.44ppm LASQRMXOKSWNQZ
|
Proposal # 327 Similarity: 3.44ppm XAIUGZFNJSMWJR
|
|
Proposal # 328 Similarity: 3.44ppm VGZVOGGKPXPMAZ
|
Proposal # 329 Similarity: 3.44ppm AKMILBAEKINFIS
|
Proposal # 330 Similarity: 3.44ppm BQIPCWJQVRJGGJ
|
|
Proposal # 331 Similarity: 3.44ppm PDILJBHISOIRFB
|
Proposal # 332 Similarity: 3.44ppm QXUBQCJMPHBAMR
|
Proposal # 333 Similarity: 3.45ppm IDFDQTLXBUCEAG
|
|
Proposal # 334 Similarity: 3.45ppm DRMWKXKHRZMCPT
|
Proposal # 335 Similarity: 3.45ppm WOQNLWONGGCEKP
|
Proposal # 336 Similarity: 3.46ppm RBHNSGIUTRLZGC
|
|
Proposal # 337 Similarity: 3.46ppm SCLIPTCCRWLJNY
|
Proposal # 338 Similarity: 3.46ppm CWVZPQNTEHFULR
|
Proposal # 339 Similarity: 3.46ppm IWIOTBRIQASVIP
|
|
Proposal # 340 Similarity: 3.46ppm VAJXEVBLGDOTAC
|
Proposal # 341 Similarity: 3.46ppm XKZSCEIASACRLT
|
Proposal # 342 Similarity: 3.47ppm RSMAGLBGFRBPQU
|
|
Proposal # 343 Similarity: 3.47ppm NOZVDVUTDSQCCY
|
Proposal # 344 Similarity: 3.47ppm GQEDBKCSAFJFBL
|
Proposal # 345 Similarity: 3.47ppm OXQXGIRKIWRAGQ
|
|
Proposal # 346 Similarity: 3.47ppm CVYWZVFGJDOFPF
|
Proposal # 347 Similarity: 3.48ppm SLHSDLRTXJRXRH
|
Proposal # 348 Similarity: 3.48ppm IZGIIECAVPXZSQ
|
|
Proposal # 349 Similarity: 3.48ppm TXJVWSRNNOHHMH
|
Proposal # 350 Similarity: 3.48ppm KUORZWVZKHASLD
|
Proposal # 351 Similarity: 3.48ppm DJKFDLSTFPKJAB
|
|
Proposal # 352 Similarity: 3.48ppm BCBJENDVRKNNKW
|
Proposal # 353 Similarity: 3.48ppm IWNOQVIELBDTLH
|
Proposal # 354 Similarity: 3.49ppm JYBBTXLAHRXLAO
|
|
Proposal # 355 Similarity: 3.49ppm LBBDCGKJRMODID
|
Proposal # 356 Similarity: 3.49ppm MMSDCGBBPNEYQT
|
Proposal # 357 Similarity: 3.50ppm IJUHAUSHRBFTDQ
|
|
Proposal # 358 Similarity: 3.50ppm JZHQTOIKQAMZJJ
|
Proposal # 359 Similarity: 3.50ppm DCLDUJGYOFSDPI
|
Proposal # 360 Similarity: 3.50ppm RYNBOXRZDQHZKT
|
|
Proposal # 361 Similarity: 3.50ppm ODDSSPGMWVZSJZ
|
Proposal # 362 Similarity: 3.50ppm KVKRPSGFFMIVDZ
|
Proposal # 363 Similarity: 3.51ppm SLQMUOZZFDPXNO
|
|
Proposal # 364 Similarity: 3.51ppm TVCHHDRPOHJQIC
|
Proposal # 365 Similarity: 3.51ppm ZKNLRNUOLJEHBG
|
Proposal # 366 Similarity: 3.51ppm VCCXFSIUOGVJGM
|
|
Proposal # 367 Similarity: 3.51ppm DFDJIHVILCZLDK
|
Proposal # 368 Similarity: 3.51ppm GEISGYPYUYLADK
|
Proposal # 369 Similarity: 3.51ppm MFJBTIOGOQHHHF
|
|
Proposal # 370 Similarity: 3.52ppm SCJBBYLDXCQUFB
|
Proposal # 371 Similarity: 3.52ppm RAWFJXYIAWNWMY
|
Proposal # 372 Similarity: 3.52ppm HGKNKYSULUMUOU
|
|
Proposal # 373 Similarity: 3.52ppm GGSZZXURGWGTPJ
|
Proposal # 374 Similarity: 3.52ppm KFSHZCOBHISCHN
|
Proposal # 375 Similarity: 3.52ppm KKOSOWKNWHHXRS
|
|
Proposal # 376 Similarity: 3.52ppm GAQOCVHTDRPRTB
|
Proposal # 377 Similarity: 3.53ppm JIQJYTPFCFHMFB
|
Proposal # 378 Similarity: 3.53ppm JAIZNTQKFHRDAM
|
|
Proposal # 379 Similarity: 3.54ppm ZRYFICOLOPFAPZ
|
Proposal # 380 Similarity: 3.54ppm WGKMHWGAHGVLHX
|
Proposal # 381 Similarity: 3.54ppm OYAYODHXUDBQFI
|
|
Proposal # 382 Similarity: 3.54ppm KIGSMRKJMRPECU
|
Proposal # 383 Similarity: 3.54ppm GZZMAOFUWWLADF
|
Proposal # 384 Similarity: 3.55ppm QFXDVPHRJGGRNF
|
|
Proposal # 385 Similarity: 3.55ppm NELBUGCFVSIVHU
|
Proposal # 386 Similarity: 3.55ppm FEHXYUKSVBJWCD
|
Proposal # 387 Similarity: 3.55ppm CQWIHQWYDAHHBV
|
|
Proposal # 388 Similarity: 3.55ppm ODKWZEGPPQGIDJ
|
Proposal # 389 Similarity: 3.56ppm CWWTWFGZGOWTER
|
Proposal # 390 Similarity: 3.57ppm IFEFJLATTYIYPW
|
|
Proposal # 391 Similarity: 3.57ppm QFFDUFPEQIRVBO
|
Proposal # 392 Similarity: 3.57ppm KJGPCJVEXJWCLR
|
Proposal # 393 Similarity: 3.58ppm OUCDBHIBNANTEE
|
|
Proposal # 394 Similarity: 3.58ppm RHEDPLSGWSFLCG
|
Proposal # 395 Similarity: 3.58ppm XYZUTMLVIGEGQX
|
Proposal # 396 Similarity: 3.59ppm HZGXRIQHRPQZDI
|
|
Proposal # 397 Similarity: 3.59ppm UZIPIENXGPLXED
|
Proposal # 398 Similarity: 3.59ppm PFBVETHGCYOARB
|
Proposal # 399 Similarity: 3.59ppm WQTGBUOQUWIHRO
|
|
Proposal # 400 Similarity: 3.59ppm ODZOCYKISIMZPD
|
Proposal # 401 Similarity: 3.59ppm WJFVPCSLEDUSFE
|
Proposal # 402 Similarity: 3.60ppm JSUCBEZHCCBTCB
|
|
Proposal # 403 Similarity: 3.60ppm MCUODNKWDSUXHZ
|
Proposal # 404 Similarity: 3.60ppm HHIGNISWPAHKSY
|
Proposal # 405 Similarity: 3.60ppm WEHMKIVZNHTEBU
|
|
Proposal # 406 Similarity: 3.60ppm CQKDNRBYUJGRQL
|
Proposal # 407 Similarity: 3.60ppm QDPPZVJGISZSRP
|
Proposal # 408 Similarity: 3.60ppm LBWQUQKNXWBMCE
|
|
Proposal # 409 Similarity: 3.61ppm DKCIHLCZYMIPKQ
|
Proposal # 410 Similarity: 3.61ppm GJNYADUPWNGSMX
|
Proposal # 411 Similarity: 3.61ppm SSQYRTLQTFAUEE
|
|
Proposal # 412 Similarity: 3.61ppm MZFAHTGUDVMHAN
|
Proposal # 413 Similarity: 3.62ppm FOBLMWRDLDVTRV
|
Proposal # 414 Similarity: 3.62ppm TXKBZZWKYKUDLJ
|
|
Proposal # 415 Similarity: 3.62ppm QNVBJLFMFBVCIW
|
Proposal # 416 Similarity: 3.62ppm HTNKGRLGSAZQNT
|
Proposal # 417 Similarity: 3.62ppm KOAQIEQLIJFWSF
|
|
Proposal # 418 Similarity: 3.62ppm BYERGFPZQGOHCT
|
Proposal # 419 Similarity: 3.62ppm RXNXSILUYMGKKX
|
Proposal # 420 Similarity: 3.63ppm BMNWMRHXYWHMIA
|
|
Proposal # 421 Similarity: 3.63ppm HPXYCDMQBGJUGX
|
Proposal # 422 Similarity: 3.63ppm FTPCOMYSOCSRHH
|
Proposal # 423 Similarity: 3.64ppm ONVROJXUSLDZIG
|
|
Proposal # 424 Similarity: 3.64ppm YISBSQKRVIVRPW
|
Proposal # 425 Similarity: 3.64ppm JTTXOHQGDCOIPQ
|
Proposal # 426 Similarity: 3.65ppm GCKVPFAUYHOHHI
|
|
Proposal # 427 Similarity: 3.65ppm ITSVJDIGXKUJPO
|
Proposal # 428 Similarity: 3.65ppm WQFFVOLNLJRYAY
|
Proposal # 429 Similarity: 3.65ppm JCXUKGZFVXCWDQ
|
|
Proposal # 430 Similarity: 3.66ppm KIVROSVELBGCJN
|
Proposal # 431 Similarity: 3.66ppm PWVXFQGRZFGSNC
|
Proposal # 432 Similarity: 3.66ppm TZRZQZAWPYAPOX
|
|
Proposal # 433 Similarity: 3.66ppm NDVRGAAPKKBHFP
|
Proposal # 434 Similarity: 3.66ppm WVXCJLIICJMTFL
|
Proposal # 435 Similarity: 3.67ppm DLEAXXDLZFXKMP
|
|
Proposal # 436 Similarity: 3.67ppm TYHGFCYIYXCLER
|
Proposal # 437 Similarity: 3.67ppm IMAAYUJVYYFTEG
|
Proposal # 438 Similarity: 3.67ppm ZYHNJCBJIVWPHV
|
|
Proposal # 439 Similarity: 3.67ppm SHIYDSOBXISXBW
|
Proposal # 440 Similarity: 3.67ppm BAXMDDMMYSIBET
|
Proposal # 441 Similarity: 3.67ppm ZPDUWWRBICKYMY
|
|
Proposal # 442 Similarity: 3.67ppm LSXFWLPIGFFGNW
|
Proposal # 443 Similarity: 3.67ppm RJVUZOORPJIXBZ
|
Proposal # 444 Similarity: 3.67ppm BCTGQSAFEZRTME
|
|
Proposal # 445 Similarity: 3.68ppm XWLYLVMLTDIDHL
|
Proposal # 446 Similarity: 3.68ppm ZLSVJBOXKBVMMW
|
Proposal # 447 Similarity: 3.68ppm IWJTXPINYFIHDO
|
|
Proposal # 448 Similarity: 3.68ppm RHDNTIVEWGOPLG
|
Proposal # 449 Similarity: 3.68ppm BZZUPNMLSUWHRJ
|
Proposal # 450 Similarity: 3.68ppm DBSIWBQTQJRXNO
|
|
Proposal # 451 Similarity: 3.68ppm WOLOLHJDVPKVHK
|
Proposal # 452 Similarity: 3.69ppm RMLSCDOVMYNTLW
|
Proposal # 453 Similarity: 3.69ppm RNSWAFWIVAUGTN
|
|
Proposal # 454 Similarity: 3.69ppm VLJJFHJAKYMXOF
|
Proposal # 455 Similarity: 3.69ppm HXRAAESLOPSDKZ
|
Proposal # 456 Similarity: 3.69ppm IVRCVHPLTKIGMQ
|
|
Proposal # 457 Similarity: 3.69ppm ZSYAOQDKKYUCRO
|
Proposal # 458 Similarity: 3.69ppm RUHAAVOLJJTASI
|
Proposal # 459 Similarity: 3.70ppm KDGYIHCKDUOTJU
|
|
Proposal # 460 Similarity: 3.70ppm CHYMJKYCMBUINA
|
Proposal # 461 Similarity: 3.70ppm WMJFLOYBXWZYCS
|
Proposal # 462 Similarity: 3.70ppm JIZABQKYFCIHFN
|
|
Proposal # 463 Similarity: 3.71ppm DAKCBSUUJVAICA
|
Proposal # 464 Similarity: 3.71ppm LQJLFCILZDYAIF
|
Proposal # 465 Similarity: 3.71ppm BSYOSXVOCKXPOT
|
|
Proposal # 466 Similarity: 3.71ppm NFAMVEMAXVOOKS
|
Proposal # 467 Similarity: 3.71ppm OUJCWWDGQQBZSX
|
Proposal # 468 Similarity: 3.72ppm BKQOBXUAMKKJFE
|
|
Proposal # 469 Similarity: 3.72ppm LCSZGBIFCCJTLZ
|
Proposal # 470 Similarity: 3.72ppm CGFLOYYUESZTNI
|
Proposal # 471 Similarity: 3.73ppm IHADGKUZIGCMQZ
|
|
Proposal # 472 Similarity: 3.73ppm GTRNRHJMLDIZIE
|
Proposal # 473 Similarity: 3.73ppm HQAFTKUIGSYQIW
|
Proposal # 474 Similarity: 3.73ppm ZTUQMTRRGZMTSN
|
|
Proposal # 475 Similarity: 3.73ppm IUNYHPMHWMWLPY
|
Proposal # 476 Similarity: 3.73ppm GFYYZLLOMADCPM
|
Proposal # 477 Similarity: 3.73ppm QPMISQOZCBRDNW
|
|
Proposal # 478 Similarity: 3.74ppm RXWKRZXHFSUPJE
|
Proposal # 479 Similarity: 3.74ppm FYKZFFWROXYCGI
|
Proposal # 480 Similarity: 3.74ppm NBYICGISHTXUKK
|
|
Proposal # 481 Similarity: 3.74ppm MZIDJWFTDNXMCI
|
Proposal # 482 Similarity: 3.75ppm HJKHDVFTBTVVGN
|
Proposal # 483 Similarity: 3.75ppm OCFBHNSWWBRKEK
|
|
Proposal # 484 Similarity: 3.75ppm YJARLNFIEXYUDN
|
Proposal # 485 Similarity: 3.75ppm RUVMOMQAPQAARF
|
Proposal # 486 Similarity: 3.75ppm YXPXSGAIPKKHLD
|
|
Proposal # 487 Similarity: 3.76ppm HGQSWPSMSBRTKI
|
Proposal # 488 Similarity: 3.76ppm DZKVYVBVPHYCPK
|
Proposal # 489 Similarity: 3.76ppm WTXWNMWUYPEJMB
|
|
Proposal # 490 Similarity: 3.76ppm JRCUNBXGFPMTJC
|
Proposal # 491 Similarity: 3.76ppm ATVUJLDMJKQGJS
|
Proposal # 492 Similarity: 3.76ppm UXIWGKYLVMTSHA
|
|
Proposal # 493 Similarity: 3.76ppm IQMRBFNLKSLGGF
|
Proposal # 494 Similarity: 3.76ppm CUKMHIFURIVNOK
|
Proposal # 495 Similarity: 3.77ppm DBDUULMGAXLBQO
|
|
Proposal # 496 Similarity: 3.77ppm ZMFWIMKDBSBUME
|
Proposal # 497 Similarity: 3.78ppm XMAVTTJMDOKNQM
|
Proposal # 498 Similarity: 3.78ppm FOCCWXONJIUSMS
|
|
Proposal # 499 Similarity: 3.78ppm SAZLYZHWSABEFP
|
Proposal # 500 Similarity: 3.78ppm HTOUUMHBXKNKQB
|
Proposal # 501 Similarity: 3.79ppm BFIUVAXDDCSGOD
|
|
Proposal # 502 Similarity: 3.79ppm WVPWWPDHVLQURY
|
Proposal # 503 Similarity: 3.79ppm MZNJYENISXEEDD
|
Proposal # 504 Similarity: 3.79ppm FLKNUINTRRFGKP
|
|
Proposal # 505 Similarity: 3.79ppm ZESJBGVUHATNBC
|
Proposal # 506 Similarity: 3.79ppm ORZREKNUJDSZLE
|
Proposal # 507 Similarity: 3.80ppm DGJNGUWFKJZKQC
|
|
Proposal # 508 Similarity: 3.80ppm KKQSAJLUASWDGG
|
Proposal # 509 Similarity: 3.80ppm JJJAGKUOJDVQTR
|
Proposal # 510 Similarity: 3.80ppm SKJFNHYXQRJHGE
|
|
Proposal # 511 Similarity: 3.80ppm ZHTCRUSYSFTAOU
|
Proposal # 512 Similarity: 3.80ppm AEAHXXKLGSGJJK
|
Proposal # 513 Similarity: 3.80ppm UHIVAMURSHQMEJ
|
|
Proposal # 514 Similarity: 3.80ppm SOWQBKGCGFBCJO
|
Proposal # 515 Similarity: 3.81ppm UAUMCSBTDYTESE
|
Proposal # 516 Similarity: 3.81ppm URNPJIRGHWHWJU
|
|
Proposal # 517 Similarity: 3.81ppm BEPQEVMVCDDVLO
|
Proposal # 518 Similarity: 3.82ppm FGXIRBVSCZIGNJ
|
Proposal # 519 Similarity: 3.82ppm NEWBAHOUQFMFKW
|
|
Proposal # 520 Similarity: 3.82ppm WVMOCJHFTIVECJ
|
Proposal # 521 Similarity: 3.82ppm VUHKDTHMCUDZQK
|
Proposal # 522 Similarity: 3.82ppm QCKXHBLZBJTKDU
|
|
Proposal # 523 Similarity: 3.82ppm HBCJCQBULNEJPG
|
Proposal # 524 Similarity: 3.82ppm HAMVKQIHFZAFOI
|
Proposal # 525 Similarity: 3.82ppm HBUDZOLRZCKTDM
|
|
Proposal # 526 Similarity: 3.82ppm NNERHLUBDGFPKW
|
Proposal # 527 Similarity: 3.82ppm QASMZGISSAUBDF
|
Proposal # 528 Similarity: 3.82ppm IWTYUWVSKSCSFD
|
|
Proposal # 529 Similarity: 3.83ppm VJFTXUOIKOKHNQ
|
Proposal # 530 Similarity: 3.83ppm DPNIYFDAGCCZAH
|
Proposal # 531 Similarity: 3.83ppm QQIPIRSJINLSHQ
|
|
Proposal # 532 Similarity: 3.83ppm QGJPGWKSTUHUJZ
|
Proposal # 533 Similarity: 3.83ppm JLNSUOLXPQCGMX
|
Proposal # 534 Similarity: 3.83ppm RVCASNRWPLNSCV
|
|
Proposal # 535 Similarity: 3.83ppm DYLYBTXJVAQQIB
|
Proposal # 536 Similarity: 3.84ppm VIXVHUIGCVHXOV
|
Proposal # 537 Similarity: 3.84ppm NQPDBSTWGYWGQV
|
|
Proposal # 538 Similarity: 3.84ppm PETMWMPARDYRBJ
|
Proposal # 539 Similarity: 3.84ppm MLXKEMQZBDJFGB
|
Proposal # 540 Similarity: 3.84ppm IFDNFAIKFGHQRA
|
|
Proposal # 541 Similarity: 3.84ppm WOYBFZWMNQKVBP
|
Proposal # 542 Similarity: 3.85ppm RYFYGGPGMQILDC
|
Proposal # 543 Similarity: 3.85ppm GFEKMAZUTVWFBY
|
|
Proposal # 544 Similarity: 3.85ppm OSISZPOJPGUECR
|
Proposal # 545 Similarity: 3.85ppm YEGWIJLLTFSDHN
|
Proposal # 546 Similarity: 3.85ppm XZHKXFZSSVMTGQ
|
|
Proposal # 547 Similarity: 3.85ppm LRTGLHGVXJHMTR
|
Proposal # 548 Similarity: 3.85ppm DNAFWGMCJDFVCB
|
Proposal # 549 Similarity: 3.86ppm RGANVMRHBICJCT
|
|
Proposal # 550 Similarity: 3.86ppm ZPXMXZHFUYADED
|
Proposal # 551 Similarity: 3.86ppm AWZRGKVBUCQTDT
|
Proposal # 552 Similarity: 3.86ppm BGGLPZODTCXKQG
|
|
Proposal # 553 Similarity: 3.86ppm WFHYPHACASPLBU
|
Proposal # 554 Similarity: 3.87ppm PJUMBQNWOKBFNC
|
Proposal # 555 Similarity: 3.87ppm SWUZWQRMBJBSJL
|
|
Proposal # 556 Similarity: 3.87ppm DECJPSKNHXJKBO
|
Proposal # 557 Similarity: 3.87ppm OOPWWXBTPSAKGC
|
Proposal # 558 Similarity: 3.87ppm NSHCLPWVAZUJHM
|
|
Proposal # 559 Similarity: 3.87ppm HPNWLLPIAMWOTH
|
Proposal # 560 Similarity: 3.87ppm FUYZASXNEOZRIN
|
Proposal # 561 Similarity: 3.87ppm LHMPZVUDMJBYKH
|
|
Proposal # 562 Similarity: 3.88ppm TZONOYICSYAWPA
|
Proposal # 563 Similarity: 3.88ppm CKQLSCJTUKIEEC
|
Proposal # 564 Similarity: 3.88ppm RVHLFUOIXZIJPC
|
|
Proposal # 565 Similarity: 3.88ppm OJHBRFKPROZUES
|
Proposal # 566 Similarity: 3.88ppm XTEWPJCSIPXLGP
|
Proposal # 567 Similarity: 3.88ppm WDOPHBTYIMOLPL
|
|
Proposal # 568 Similarity: 3.88ppm WKFYESULMZAWGI
|
Proposal # 569 Similarity: 3.89ppm MQTLXFAKVCWRIA
|
Proposal # 570 Similarity: 3.89ppm BEWJAMBDNMVSSB
|
|
Proposal # 571 Similarity: 3.89ppm OHHJJGXRWGHDDG
|
Proposal # 572 Similarity: 3.89ppm ALCOGGQRRPPFLC
|
Proposal # 573 Similarity: 3.89ppm LTWYIUNZNCQXKU
|
|
Proposal # 574 Similarity: 3.89ppm HGGCRJKODHNGFO
|
Proposal # 575 Similarity: 3.89ppm YHWRXQJJEVNQAM
|
Proposal # 576 Similarity: 3.90ppm FCYYNUVMNJFHNK
|
|
Proposal # 577 Similarity: 3.90ppm OLRFWAYXMHLRHJ
|
Proposal # 578 Similarity: 3.90ppm TYXMRHCLVHDVEY
|
Proposal # 579 Similarity: 3.90ppm MZDMTUCNLMLSOM
|
|
Proposal # 580 Similarity: 3.90ppm DUWHUHZLIOOYOJ
|
Proposal # 581 Similarity: 3.90ppm ZGERGCHNOLNUFY
|
Proposal # 582 Similarity: 3.90ppm CZFLTCTWDSEIDC
|
|
Proposal # 583 Similarity: 3.90ppm FPDJAKQBOFRHLD
|
Proposal # 584 Similarity: 3.90ppm CEEXGBUORIHNMR
|
Proposal # 585 Similarity: 3.90ppm ZYCCBDGBWRTHGZ
|
|
Proposal # 586 Similarity: 3.91ppm QTJXBKPKFKYMCD
|
Proposal # 587 Similarity: 3.91ppm UJJYKGVFNCWDFL
|
Proposal # 588 Similarity: 3.91ppm SBGDTFQAVBZCQY
|
|
Proposal # 589 Similarity: 3.92ppm JLCHHPTVBWEJOY
|
Proposal # 590 Similarity: 3.92ppm GOUAIPXGZBTZFS
|
Proposal # 591 Similarity: 3.92ppm AJHDKGUIHHUPPW
|
|
Proposal # 592 Similarity: 3.92ppm OZPRJSQRZMMYCA
|
Proposal # 593 Similarity: 3.92ppm HMQTYRLVUWCEFM
|
Proposal # 594 Similarity: 3.93ppm XTHAITXLUHTVOF
|
|
Proposal # 595 Similarity: 3.93ppm ICYTZOQNTVPDSP
|
Proposal # 596 Similarity: 3.93ppm DWOFZVJIMJQMNF
|
Proposal # 597 Similarity: 3.93ppm RHAPOGOMBGUDQA PUBCHEM
|
|
Proposal # 598 Similarity: 3.93ppm MOCNVWYDSXSIBL
|
Proposal # 599 Similarity: 3.93ppm XLYBMFKVEIXJQK
|
Proposal # 600 Similarity: 3.94ppm SBURQJMWWSTSMQ
|
|
Proposal # 601 Similarity: 3.94ppm QXPHZRJHKIPWGK
|
Proposal # 602 Similarity: 3.94ppm MTOOKDVEZCCWCG
|
Proposal # 603 Similarity: 3.94ppm LWPRLAANRDFZBK
|
|
Proposal # 604 Similarity: 3.94ppm POPLMNQFEQPLSY
|
Proposal # 605 Similarity: 3.94ppm HSTYZTYRYHVPOP
|
Proposal # 606 Similarity: 3.94ppm ZFOMYGGHXSFEDE
|
|
Proposal # 607 Similarity: 3.94ppm PYMXHIGNDDQEPX
|
Proposal # 608 Similarity: 3.94ppm LELVRFIDBIISKM
|
Proposal # 609 Similarity: 3.94ppm AURCCCNLIFKZBZ
|
|
Proposal # 610 Similarity: 3.95ppm ZONIUHCBMKIFFN
|
Proposal # 611 Similarity: 3.95ppm HWXDFCZIECKFIG
|
Proposal # 612 Similarity: 3.95ppm BSZZEBAMVMRFEY
|
|
Proposal # 613 Similarity: 3.95ppm OVQYHMVICDWWOF
|
Proposal # 614 Similarity: 3.95ppm VAIOBVCSXHLSPG
|
Proposal # 615 Similarity: 3.96ppm LKPKKOWTHHGOND
|
|
Proposal # 616 Similarity: 3.96ppm AJVUMKFGGWCNPM
|
Proposal # 617 Similarity: 3.96ppm IYMJNSCLAPTOSW
|
Proposal # 618 Similarity: 3.96ppm OABWKWBXLZUCPW
|
|
Proposal # 619 Similarity: 3.96ppm WHWJCAPWNJZTSZ
|
Proposal # 620 Similarity: 3.96ppm KTZLDTPQEDEFQZ
|
Proposal # 621 Similarity: 3.97ppm NSOLQZIMHLUMGQ
|
|
Proposal # 622 Similarity: 3.97ppm WFFURKYALHQFKY
|
Proposal # 623 Similarity: 3.97ppm NFSGVOBSPZJAII
|
Proposal # 624 Similarity: 3.98ppm COSSNOOWKPWUBS
|
|
Proposal # 625 Similarity: 3.98ppm JELWNWISDKZHSJ
|
Proposal # 626 Similarity: 3.98ppm GTNLCHFVKHOUCO
|
Proposal # 627 Similarity: 3.98ppm HHXVSSRFKYXVQH
|
|
Proposal # 628 Similarity: 3.98ppm RNGNVQGQGGQPDW
|
Proposal # 629 Similarity: 3.98ppm OBVXSZQNVGSODB
|
Proposal # 630 Similarity: 3.98ppm FHDKTJGRZBFESZ
|
|
Proposal # 631 Similarity: 3.98ppm CLKSGUUUVKLQAE
|
Proposal # 632 Similarity: 3.98ppm XTHDNDNWCSSBQN
|
Proposal # 633 Similarity: 3.99ppm RIDUBUATLGRHIB
|
|
Proposal # 634 Similarity: 3.99ppm BPNIYUZNXBSPMJ
|
Proposal # 635 Similarity: 3.99ppm OQBXNTAAMVVLCH
|
Proposal # 636 Similarity: 3.99ppm VJFPMGAMNLHHBE
|
|
Proposal # 637 Similarity: 4.00ppm SIYSDAZYHCGYJY
|
Proposal # 638 Similarity: 4.00ppm CNSKKQFCTWGQGJ
|
Proposal # 639 Similarity: 4.00ppm HBMVPZLZTKXISZ
|
|
Proposal # 640 Similarity: 4.01ppm PJHRKJVHOCBLKO
|
Proposal # 641 Similarity: 4.01ppm UDTLUVUKWQMUFF
|
Proposal # 642 Similarity: 4.01ppm CODKSQFLGNPQLW
|
|
Proposal # 643 Similarity: 4.01ppm SUWCEQLYHGZEAJ
|
Proposal # 644 Similarity: 4.01ppm UCFYUOAFBQYKPN
|
Proposal # 645 Similarity: 4.01ppm GGPJYQUCQNOYEX
|
|
Proposal # 646 Similarity: 4.01ppm PJUFYYUVCQQJQM
|
Proposal # 647 Similarity: 4.01ppm UNBOCLPVPDLIAI
|
Proposal # 648 Similarity: 4.02ppm HYRBVZJAYQUWBE
|
|
Proposal # 649 Similarity: 4.02ppm FHGNQHUBKRUNEO
|
Proposal # 650 Similarity: 4.02ppm NPSNQGOYBADWJX
|
Proposal # 651 Similarity: 4.02ppm VQUFQLACEFYBLP
|
|
Proposal # 652 Similarity: 4.02ppm PVXOQFDICNQKHU
|
Proposal # 653 Similarity: 4.02ppm PXVQVDDYXBQIKR
|
Proposal # 654 Similarity: 4.02ppm MMKCHFTWPCAPLK
|
|
Proposal # 655 Similarity: 4.02ppm ZMBOBJLRNRPNLF
|
Proposal # 656 Similarity: 4.03ppm AHCXGUSTYMKWCD
|
Proposal # 657 Similarity: 4.03ppm XVDPGLWFLMZAFH
|
|
Proposal # 658 Similarity: 4.03ppm CKLRNIWQJJBWAL
|
Proposal # 659 Similarity: 4.03ppm RLIYBJRIRNZFRT
|
Proposal # 660 Similarity: 4.04ppm YMOJVBBOVWNKDW
|
|
Proposal # 661 Similarity: 4.04ppm FBFWNKYUANYJGZ
|
Proposal # 662 Similarity: 4.04ppm JSPMAOLPXIDTMI
|
Proposal # 663 Similarity: 4.04ppm UEEUBJCXBDAMGR
|
|
Proposal # 664 Similarity: 4.04ppm SZLPWDGGQSSVJU
|
Proposal # 665 Similarity: 4.04ppm YQSVSTBTWXVCJQ
|
Proposal # 666 Similarity: 4.04ppm KQNKEVJWDOOIKD
|
|
Proposal # 667 Similarity: 4.04ppm DMMLZUHOVQXWCM
|
Proposal # 668 Similarity: 4.04ppm ABAIDRBSYIWIPZ
|
Proposal # 669 Similarity: 4.05ppm ZWQKPGBCLXTUQG
|
|
Proposal # 670 Similarity: 4.05ppm CHSQZQTWSJXNDW
|
Proposal # 671 Similarity: 4.05ppm SSRYYSIJMXPCOW
|
Proposal # 672 Similarity: 4.05ppm DNQKBJXXOWBCCJ
|
|
Proposal # 673 Similarity: 4.05ppm UQCUTYLYGJSERP
|
Proposal # 674 Similarity: 4.05ppm NBJULILFWHKQPO
|
Proposal # 675 Similarity: 4.05ppm LLZKHGOKCDCITO
|
|
Proposal # 676 Similarity: 4.05ppm CLDUSIPDJDEIKZ
|
Proposal # 677 Similarity: 4.05ppm NUCROLZOEPAEAB
|
Proposal # 678 Similarity: 4.05ppm HNCCILUBRRHAHS
|
|
Proposal # 679 Similarity: 4.05ppm XYOSRSWPRVUYNT
|
Proposal # 680 Similarity: 4.06ppm IBDOXMZYJWHWCI
|
Proposal # 681 Similarity: 4.06ppm HPBYIICXEXVNLO
|
|
Proposal # 682 Similarity: 4.06ppm FMLHEMQDTPTERP
|
Proposal # 683 Similarity: 4.06ppm GITBQZDRETYSQK
|
Proposal # 684 Similarity: 4.06ppm FCMMUZSTCNFTMH
|
|
Proposal # 685 Similarity: 4.07ppm NJKRDKMBBNRBNL
|
Proposal # 686 Similarity: 4.07ppm QQYVMCXQHVWGJU
|
Proposal # 687 Similarity: 4.07ppm JTTXIESGOXTTKA
|
|
Proposal # 688 Similarity: 4.07ppm HCWAWYHOPJJPML
|
Proposal # 689 Similarity: 4.07ppm VCOJNFAQWZYIFI
|
Proposal # 690 Similarity: 4.07ppm VPMNMGNSFSDFQS
|
|
Proposal # 691 Similarity: 4.08ppm XMLKSURUEMSAKA
|
Proposal # 692 Similarity: 4.08ppm OCZOQOJDCKOTIG
|
Proposal # 693 Similarity: 4.08ppm RMHDOSBHWXZUCG
|
|
Proposal # 694 Similarity: 4.08ppm SUMKVBSYXVLFMG
|
Proposal # 695 Similarity: 4.08ppm NLAAHSDWIKEASL
|
Proposal # 696 Similarity: 4.08ppm OLPIXPIQYKIUPL
|
|
Proposal # 697 Similarity: 4.08ppm FWCUQWOMTJCXEB
|
Proposal # 698 Similarity: 4.08ppm PLHBOPMUQNYASU
|
Proposal # 699 Similarity: 4.08ppm MGZSGUWMEWGIOX
|
|
Proposal # 700 Similarity: 4.08ppm LEEWPLUKWPBUGB
|
Proposal # 701 Similarity: 4.09ppm MTEARLKVECGUAK
|
Proposal # 702 Similarity: 4.09ppm LZAWCWMFTBKXRG
|
|
Proposal # 703 Similarity: 4.09ppm OEYRYXRPSTYFLR
|
Proposal # 704 Similarity: 4.10ppm SSCHMILKJUXLEL
|
Proposal # 705 Similarity: 4.10ppm ZCSXCAPKBIGOBZ
|
|
Proposal # 706 Similarity: 4.10ppm MCBNSMHRMQGDLI
|
Proposal # 707 Similarity: 4.10ppm SIZQKOWVQVJYPO
|
Proposal # 708 Similarity: 4.10ppm PSRQDHUVJUYKBP
|
|
Proposal # 709 Similarity: 4.10ppm KQSAEGFQLVILCH
|
Proposal # 710 Similarity: 4.10ppm UNVGUJSWEPRKGV
|
Proposal # 711 Similarity: 4.11ppm GYJFJJSMDMVYHY
|
|
Proposal # 712 Similarity: 4.11ppm ZDMSTDHMCMGBLH
|
Proposal # 713 Similarity: 4.11ppm QFKPKWGCNULDKI
|
Proposal # 714 Similarity: 4.11ppm RQDLZVBIKNYYIR
|
|
Proposal # 715 Similarity: 4.11ppm ACVMFJRAOAPGIF
|
Proposal # 716 Similarity: 4.11ppm BJXUTVVOYUGEJL
|
Proposal # 717 Similarity: 4.12ppm NXMWPKVJLUFTTL
|
|
Proposal # 718 Similarity: 4.12ppm OSTVCSLMAFKYBJ
|
Proposal # 719 Similarity: 4.12ppm JWBAPPYHAZVEMS
|
Proposal # 720 Similarity: 4.12ppm OENBYBDXDSULLV
|
|
Proposal # 721 Similarity: 4.12ppm FEHTXNRPGHFEMI
|
Proposal # 722 Similarity: 4.12ppm JRMJWBZUFOFXNQ
|
Proposal # 723 Similarity: 4.12ppm VVCWSDSRWMMQHY
|
|
Proposal # 724 Similarity: 4.12ppm JUXIBURCGVEKCK
|
Proposal # 725 Similarity: 4.12ppm OVGUWGCDJSJWLM
|
Proposal # 726 Similarity: 4.12ppm VPZLZHYKTCBOAA
|
|
Proposal # 727 Similarity: 4.12ppm FLMRWXUAEUNCBK
|
Proposal # 728 Similarity: 4.12ppm LAQYLAMQORWEHK
|
Proposal # 729 Similarity: 4.13ppm GRAMIBARRQKXRM
|
|
Proposal # 730 Similarity: 4.13ppm GMDVPCKCSBNQPW
|
Proposal # 731 Similarity: 4.13ppm RJSWSFUPVLFZSN
|
Proposal # 732 Similarity: 4.13ppm NYYOIWUUGOODOZ
|
|
Proposal # 733 Similarity: 4.13ppm LZCKZYUZGODUSW
|
Proposal # 734 Similarity: 4.13ppm GWZLVWGREZORSC
|
Proposal # 735 Similarity: 4.13ppm CEKSFGWVYPJHFY
|
|
Proposal # 736 Similarity: 4.13ppm ZEXIUZRNAQCHDO
|
Proposal # 737 Similarity: 4.13ppm DFMBSGCUPCEWEL
|
Proposal # 738 Similarity: 4.14ppm SYHOPAYXGUYUJP
|
|
Proposal # 739 Similarity: 4.14ppm SVBZJZZFTOQEPP
|
Proposal # 740 Similarity: 4.14ppm ZSOYFJSEQCMJBV
|
Proposal # 741 Similarity: 4.14ppm DIQQTLRCUCQQID
|
|
Proposal # 742 Similarity: 4.14ppm DPRLWBLQSCTPPH
|
Proposal # 743 Similarity: 4.14ppm KCZSHLWJCLJZTL
|
Proposal # 744 Similarity: 4.14ppm RPNNTZVFFVHUSG
|
|
Proposal # 745 Similarity: 4.14ppm XBTWVWDAOWFNBN
|
Proposal # 746 Similarity: 4.14ppm YBOULSARGAPGDR
|
Proposal # 747 Similarity: 4.14ppm LGDZDYNRZWXIJE
|
|
Proposal # 748 Similarity: 4.15ppm IXSURJORAHJOGO
|
Proposal # 749 Similarity: 4.15ppm UZYRUKDCHXPJAQ
|
Proposal # 750 Similarity: 4.15ppm VKMXKLMWEBDMOK
|
|
Proposal # 751 Similarity: 4.15ppm CMZWPYQNILTPRC
|
Proposal # 752 Similarity: 4.15ppm NRRHVMIOIRMELZ
|
Proposal # 753 Similarity: 4.15ppm HMRAQHRESVJCHP
|
|
Proposal # 754 Similarity: 4.15ppm VXJBETDSLMRXBX
|
Proposal # 755 Similarity: 4.15ppm JRNGMVCAVYPFDV
|
Proposal # 756 Similarity: 4.15ppm BQFPHORUTSSJSO
|
|
Proposal # 757 Similarity: 4.15ppm HSLLLRDYQKGOSA
|
Proposal # 758 Similarity: 4.15ppm KNXIIUGLIUHJAD
|
Proposal # 759 Similarity: 4.15ppm DWPBWQSUVJBYPQ
|
|
Proposal # 760 Similarity: 4.15ppm OCBOOMFSQMEWRQ
|
Proposal # 761 Similarity: 4.15ppm DDPNPFMRFCZRPM
|
Proposal # 762 Similarity: 4.15ppm ZINMDTVMOFNSKE
|
|
Proposal # 763 Similarity: 4.15ppm MQXDUERWNFCZGK
|
Proposal # 764 Similarity: 4.15ppm DKZJSEMKLWVDTL
|
Proposal # 765 Similarity: 4.15ppm YOFYOTKFOQHFLC
|
|
Proposal # 766 Similarity: 4.16ppm ISSGFUIPSNIBND
|
Proposal # 767 Similarity: 4.16ppm PHFUMAMKSPAPMQ
|
Proposal # 768 Similarity: 4.16ppm UPBCVNWCOZWBHH
|
|
Proposal # 769 Similarity: 4.16ppm WTIQZKGHKXCJPO
|
Proposal # 770 Similarity: 4.17ppm JZYAIZLVUKITKN
|
Proposal # 771 Similarity: 4.17ppm PMRSLWDESYROBR
|
|
Proposal # 772 Similarity: 4.17ppm YAJYGPSGXHVGCB
|
Proposal # 773 Similarity: 4.17ppm FAFILOPNSSKCNP
|
Proposal # 774 Similarity: 4.17ppm IFFGCGNPHSGJGY
|
|
Proposal # 775 Similarity: 4.17ppm YCVRANNBMRVFJL
|
Proposal # 776 Similarity: 4.17ppm GOWOMVFAOSUICO
|
Proposal # 777 Similarity: 4.17ppm WYYRYEZAFDXSRA
|
|
Proposal # 778 Similarity: 4.17ppm ISWVGZTWKAUHKW
|
Proposal # 779 Similarity: 4.18ppm YLKPRAWXTRDEPN
|
Proposal # 780 Similarity: 4.18ppm QULWKXIENHKUKY
|
|
Proposal # 781 Similarity: 4.18ppm MKUWFHWMKXEUFJ
|
Proposal # 782 Similarity: 4.18ppm DHDDNDVALGKLHR
|
Proposal # 783 Similarity: 4.18ppm YAFIWBAGVUPHBP
|
|
Proposal # 784 Similarity: 4.18ppm OLGVCYLWTCRNFA
|
Proposal # 785 Similarity: 4.18ppm NYEFCNVRRUAMHN
|
Proposal # 786 Similarity: 4.18ppm GGVIBZAKGCPEPE
|
|
Proposal # 787 Similarity: 4.18ppm JIZSEDHMKIYHND
|
Proposal # 788 Similarity: 4.18ppm OKAAEAPGGLZYIW
|
Proposal # 789 Similarity: 4.18ppm ZROLOYQXXTXHQR
|
|
Proposal # 790 Similarity: 4.18ppm WXKUTIKBAHLXAW
|
Proposal # 791 Similarity: 4.19ppm SPVSZHQQPHFGBZ
|
Proposal # 792 Similarity: 4.19ppm KCGWVLDHBLCYRC
|
|
Proposal # 793 Similarity: 4.19ppm OKPSZEBQKNAXDO
|
Proposal # 794 Similarity: 4.19ppm HAPFKFGYOCZSDZ
|
Proposal # 795 Similarity: 4.19ppm RUOPQGIVAGPEPG
|
|
Proposal # 796 Similarity: 4.19ppm IYILSWUTKOIXHH
|
Proposal # 797 Similarity: 4.19ppm ZWHBXKUFBIXNEY
|
Proposal # 798 Similarity: 4.19ppm DTMPXHFPVWPIFB
|
|
Proposal # 799 Similarity: 4.20ppm ZBPCTNIOYNOQJT
|
Proposal # 800 Similarity: 4.20ppm HAZYULYWGQIUFJ
|
Proposal # 801 Similarity: 4.20ppm NZJAGYXDIQMKMJ
|
|
Proposal # 802 Similarity: 4.20ppm VBHPZZHIGIIGTM
|
Proposal # 803 Similarity: 4.20ppm WMZPIZZIMLILNH
|
Proposal # 804 Similarity: 4.20ppm VAWOTDGRTVQXGE
|
|
Proposal # 805 Similarity: 4.20ppm NBXLNIWIAWLJLP
|
Proposal # 806 Similarity: 4.21ppm MAKSVYCUICHCIH
|
Proposal # 807 Similarity: 4.21ppm WRNYFWSXCHYPRZ
|
|
Proposal # 808 Similarity: 4.21ppm UKQJPPMOUVJNBJ
|
Proposal # 809 Similarity: 4.21ppm SXXFDEZBDKIWSK
|
Proposal # 810 Similarity: 4.21ppm UKMDTXAUGZZTFN
|
|
Proposal # 811 Similarity: 4.21ppm GLGGFHNRNHYRJE
|
Proposal # 812 Similarity: 4.21ppm DDDLTVSMHYBELZ
|
Proposal # 813 Similarity: 4.22ppm VOXGCNUOYYYDNR
|
|
Proposal # 814 Similarity: 4.22ppm SIOLRWNJGHOJDU
|
Proposal # 815 Similarity: 4.22ppm UFCXGZYSOZNDTC
|
Proposal # 816 Similarity: 4.22ppm ZYRXBZRRDQENEX
|
|
Proposal # 817 Similarity: 4.22ppm JPXVQGUIRDULFW
|
Proposal # 818 Similarity: 4.22ppm DFIXOUYSFRNLJD
|
Proposal # 819 Similarity: 4.22ppm DQTWZVAWIAMCDZ
|
|
Proposal # 820 Similarity: 4.22ppm QWSYCDVDSMZGJE
|
Proposal # 821 Similarity: 4.22ppm QJVVSORQBGIBAW
|
Proposal # 822 Similarity: 4.22ppm WQXNZPYLGLGCBI
|
|
Proposal # 823 Similarity: 4.22ppm UYRIDQWXDCUZHU
|
Proposal # 824 Similarity: 4.22ppm XKEOEVGMYJNXGS
|
Proposal # 825 Similarity: 4.22ppm BBGKQJZGOFZRSS
|
|
Proposal # 826 Similarity: 4.22ppm SXHBUNYNANSRTA
|
Proposal # 827 Similarity: 4.23ppm RGHSUPQIEVBEPZ
|
Proposal # 828 Similarity: 4.23ppm USBLOHQNXPVDEC
|
|
Proposal # 829 Similarity: 4.23ppm QKDHPEJRVBLTAW
|
Proposal # 830 Similarity: 4.23ppm GLLDITQSDMXFAX
|
Proposal # 831 Similarity: 4.24ppm XXNSMYUQEJLVLT
|
|
Proposal # 832 Similarity: 4.24ppm HGKRQSNKHDFIIV
|
Proposal # 833 Similarity: 4.24ppm WQMMCPVWVBCMKS
|
Proposal # 834 Similarity: 4.24ppm YXTKIGFRIWGPEY
|
|
Proposal # 835 Similarity: 4.24ppm GAMSGEZACMFHDX
|
Proposal # 836 Similarity: 4.24ppm ZEUCTCRXMGNPPM
|
Proposal # 837 Similarity: 4.25ppm OWRLJNYBVIJPFV
|
|
Proposal # 838 Similarity: 4.25ppm IKXOBBSXIVNGMZ
|
Proposal # 839 Similarity: 4.25ppm HSRNHESYMHVKJG
|
Proposal # 840 Similarity: 4.25ppm ZBKQWDAUXXJDBG
|
|
Proposal # 841 Similarity: 4.25ppm SFGHMJKGKAETKT
|
Proposal # 842 Similarity: 4.25ppm RJYJDVAAWYXEJI
|
Proposal # 843 Similarity: 4.25ppm RFBJJRPHQPDJHZ
|
|
Proposal # 844 Similarity: 4.25ppm BIESZGJVADIDLX
|
Proposal # 845 Similarity: 4.26ppm NOUSEMXPOZUTFW
|
Proposal # 846 Similarity: 4.26ppm WBNVIEYTVOYTAT
|
|
Proposal # 847 Similarity: 4.26ppm PTWJZLYSBKJUSM
|
Proposal # 848 Similarity: 4.26ppm RPQJNWCHARFPLX
|
Proposal # 849 Similarity: 4.26ppm OOVUHFBYLXGEKY
|
|
Proposal # 850 Similarity: 4.26ppm SCMBSKTVEJRTJE
|
Proposal # 851 Similarity: 4.26ppm MUDKKLRPMFSWDM
|
Proposal # 852 Similarity: 4.26ppm PFTGNRBCCWANBA
|
|
Proposal # 853 Similarity: 4.26ppm RSOUKTYUJJGXLM
|
Proposal # 854 Similarity: 4.26ppm LJWOKKNUEREYRK
|
Proposal # 855 Similarity: 4.27ppm SKDNRTSOPGYPCE
|
|
Proposal # 856 Similarity: 4.27ppm RAIWEMJDMZQPET
|
Proposal # 857 Similarity: 4.27ppm DGLAPBAGHIHJEB PUBCHEM
|
Proposal # 858 Similarity: 4.27ppm WSBSQICZESVWMS
|
|
Proposal # 859 Similarity: 4.27ppm RTSRVPLGIFRXMO
|
Proposal # 860 Similarity: 4.27ppm JIUHZENQIADOOI
|
Proposal # 861 Similarity: 4.27ppm VCXJTSNFFOYFCX
|
|
Proposal # 862 Similarity: 4.27ppm UFMXQYOBIUHCCW
|
Proposal # 863 Similarity: 4.28ppm GDVGOBQWJIFZHE
|
Proposal # 864 Similarity: 4.28ppm WJOGJTJGNCIOKD
|
|
Proposal # 865 Similarity: 4.28ppm PRWPDDQAWNFHAL
|
Proposal # 866 Similarity: 4.28ppm GOTZWOGLXPBPQI
|
Proposal # 867 Similarity: 4.28ppm RRPJKQKQFVPWOC
|
|
Proposal # 868 Similarity: 4.28ppm JRQGUYNVMNQWOL
|
Proposal # 869 Similarity: 4.28ppm GHGUTTSMIOOWRQ
|
Proposal # 870 Similarity: 4.29ppm WRQYQPWVRMLGFF
|
|
Proposal # 871 Similarity: 4.29ppm LCXPUJOJBNLEDE
|
Proposal # 872 Similarity: 4.29ppm ARPGZPCOWPQJSF
|
Proposal # 873 Similarity: 4.29ppm LIAWZQYZCPFHJR
|
|
Proposal # 874 Similarity: 4.29ppm LYDQBZJUUCMHEO
|
Proposal # 875 Similarity: 4.29ppm BHIXHFQCXQWCPL
|
Proposal # 876 Similarity: 4.30ppm GPQPZRZMUVXBAG
|
|
Proposal # 877 Similarity: 4.30ppm PTWZFQDCUAWZHK
|
Proposal # 878 Similarity: 4.30ppm IJSFBTLMMSOGFP
|
Proposal # 879 Similarity: 4.30ppm OKFCGYZXSJWWHA
|
|
Proposal # 880 Similarity: 4.30ppm SMSUYLITCMRAQY
|
Proposal # 881 Similarity: 4.30ppm JKROEFMZNVDZDS
|
Proposal # 882 Similarity: 4.30ppm XWRPUCMZQABCIC
|
|
Proposal # 883 Similarity: 4.30ppm NXXDDPXBOYMXHA
|
Proposal # 884 Similarity: 4.30ppm OGFJJHMKHRMJHH
|
Proposal # 885 Similarity: 4.30ppm BSLYNTBIVKYMBK
|
|
Proposal # 886 Similarity: 4.31ppm JYMHZCIMMLKYEC
|
Proposal # 887 Similarity: 4.31ppm VMGWIGBFNGZWNU
|
Proposal # 888 Similarity: 4.31ppm VZXXKMCDZUDJCC
|
|
Proposal # 889 Similarity: 4.31ppm FUIKMRHFXOQQLS
|
Proposal # 890 Similarity: 4.31ppm YPLRQRZRYWIDMM
|
Proposal # 891 Similarity: 4.31ppm AAWXVANTJRQKFZ
|
|
Proposal # 892 Similarity: 4.31ppm MOKOUJCEJXQAQV
|
Proposal # 893 Similarity: 4.31ppm WEWYZESAAIFVBZ
|
Proposal # 894 Similarity: 4.31ppm PPEVMEVQOJZESZ
|
|
Proposal # 895 Similarity: 4.32ppm UXJWOIPAQLJSJX
|
Proposal # 896 Similarity: 4.32ppm SDRJRUCCFLGJGL
|
Proposal # 897 Similarity: 4.32ppm ZOSXFTKBNKIGPQ
|
|
Proposal # 898 Similarity: 4.32ppm MDAANFBXLZCYNU
|
Proposal # 899 Similarity: 4.32ppm ZMSCFPZKCNGCIU
|
Proposal # 900 Similarity: 4.32ppm CQQNCLIJWVDBER
|
|
Proposal # 901 Similarity: 4.32ppm CDDFENUTDVUZOU
|
Proposal # 902 Similarity: 4.32ppm FCNMSVAQDHNONF
|
Proposal # 903 Similarity: 4.32ppm LJJWVPDOGWBGKZ
|
|
Proposal # 904 Similarity: 4.33ppm XYUCGBSAXPIIEX
|
Proposal # 905 Similarity: 4.33ppm BVNNKMXJFQRUJG
|
Proposal # 906 Similarity: 4.33ppm PXKJGJGFEYSJGU
|
|
Proposal # 907 Similarity: 4.33ppm FXSWIICISLZBKZ
|
Proposal # 908 Similarity: 4.33ppm TYZIIIAJHSZXSP
|
Proposal # 909 Similarity: 4.33ppm YRIVROVDTFLIEE
|
|
Proposal # 910 Similarity: 4.33ppm TVDGUCNEERJAIJ
|
Proposal # 911 Similarity: 4.33ppm UXBFLMJLAYIHLT
|
Proposal # 912 Similarity: 4.34ppm ATIINTMZQBKKIB
|
|
Proposal # 913 Similarity: 4.34ppm RLNHOQDSYRYIJC
|
Proposal # 914 Similarity: 4.34ppm FGSQYVDCUTXJGD
|
Proposal # 915 Similarity: 4.34ppm NUMQPXBZYSYTFW
|
|
Proposal # 916 Similarity: 4.34ppm NSSXIEMXSZGNNW
|
Proposal # 917 Similarity: 4.34ppm ZKEWWGXAQGISRF
|
Proposal # 918 Similarity: 4.34ppm ICXGMMPFJIKPOA
|
|
Proposal # 919 Similarity: 4.34ppm JILKEHHVIQXIHI
|
Proposal # 920 Similarity: 4.34ppm WPJKMVSNEACNGP
|
Proposal # 921 Similarity: 4.34ppm LXTFCADZOYNUFT
|
|
Proposal # 922 Similarity: 4.34ppm HYSKQJQVZAFKBI
|
Proposal # 923 Similarity: 4.34ppm BKXUGVAXCSQPLT
|
Proposal # 924 Similarity: 4.34ppm BXRPTIPRPAFLBB
|
|
Proposal # 925 Similarity: 4.34ppm JOMDKFQQMJLIDE
|
Proposal # 926 Similarity: 4.35ppm WBIUVVSWACXLFK
|
Proposal # 927 Similarity: 4.35ppm LFHCTQRGRCCNEC
|
|
Proposal # 928 Similarity: 4.35ppm UDZWEZMRWYBJCB
|
Proposal # 929 Similarity: 4.35ppm MXGWGIVYTGVKRC
|
Proposal # 930 Similarity: 4.35ppm XGMNBSAQDYLPFZ
|
|
Proposal # 931 Similarity: 4.35ppm OTHUTAZQTHMAOM
|
Proposal # 932 Similarity: 4.35ppm XLTPFZOGHRJYCR
|
Proposal # 933 Similarity: 4.35ppm DNIVNNFYRJXKSP
|
|
Proposal # 934 Similarity: 4.35ppm YRUMVMXWSNCVGA
|
Proposal # 935 Similarity: 4.35ppm FLGWRIQKOTWYDY
|
Proposal # 936 Similarity: 4.35ppm XPTHZKKPJPRZGX
|
|
Proposal # 937 Similarity: 4.36ppm IGHFMAOZVJQAFA
|
Proposal # 938 Similarity: 4.36ppm HTLRIKVLUJIZDN
|
Proposal # 939 Similarity: 4.36ppm XPHUCXQFGNVTES
|
|
Proposal # 940 Similarity: 4.36ppm XSPIMFVTMRFMEJ
|
Proposal # 941 Similarity: 4.36ppm AEBNZDBJPVSARJ
|
Proposal # 942 Similarity: 4.36ppm ZAQIVBVZQMICCZ
|
|
Proposal # 943 Similarity: 4.36ppm TTZREMUDFHABPZ
|
Proposal # 944 Similarity: 4.36ppm NTDIXFIEWVQTTG
|
Proposal # 945 Similarity: 4.36ppm ZBXGZEKWVQLGHE
|
|
Proposal # 946 Similarity: 4.36ppm HUYMACVMWKHYAW
|
Proposal # 947 Similarity: 4.36ppm ICZLUSBLMKXQNZ
|
Proposal # 948 Similarity: 4.37ppm LLXMBWRFCDNAGV
|
|
Proposal # 949 Similarity: 4.37ppm OMNJTMMOJTZCFD
|
Proposal # 950 Similarity: 4.37ppm NQMAXUSIZSIHRR
|
Proposal # 951 Similarity: 4.37ppm WJUDQNJUWGXMFX
|
|
Proposal # 952 Similarity: 4.37ppm PRDTXRXKDGELLH
|
Proposal # 953 Similarity: 4.37ppm ZKLUMYRMJNPPBT
|
Proposal # 954 Similarity: 4.37ppm CWWFDCCWEKMKDN
|
|
Proposal # 955 Similarity: 4.37ppm RTXBJJPVTSFHMV
|
Proposal # 956 Similarity: 4.37ppm JIULDEJEJZZFBR
|
Proposal # 957 Similarity: 4.37ppm ARWRLFGWDBIVPI
|
|
Proposal # 958 Similarity: 4.37ppm BCQBEQNLYPVHAX
|
Proposal # 959 Similarity: 4.37ppm QTOZQMNVDSKWBD
|
Proposal # 960 Similarity: 4.37ppm CYIZZFBIMYBYOF
|
|
Proposal # 961 Similarity: 4.37ppm UNVSXMQJAQXVBR
|
Proposal # 962 Similarity: 4.37ppm KFZZGAWVWYSDNE
|
Proposal # 963 Similarity: 4.37ppm HEMHRUMBRMOJIR
|
|
Proposal # 964 Similarity: 4.37ppm HAUNILOPISFYPJ
|
Proposal # 965 Similarity: 4.37ppm FFTZWURZWXFBAI
|
Proposal # 966 Similarity: 4.37ppm FUATZMWJYUXNOL
|
|
Proposal # 967 Similarity: 4.38ppm ZHGBIKRJEJWAFP
|
Proposal # 968 Similarity: 4.38ppm LGZUFGHGLVRZSN
|
Proposal # 969 Similarity: 4.38ppm FZMMQHIWHQKNJD
|
|
Proposal # 970 Similarity: 4.38ppm LYHKAHGYGRHSOM
|
Proposal # 971 Similarity: 4.38ppm MIUOVMBIIIXUOJ
|
Proposal # 972 Similarity: 4.38ppm ZXUUTUDDKYDYIB
|
|
Proposal # 973 Similarity: 4.38ppm VEMADLKSHGCOQM
|
Proposal # 974 Similarity: 4.38ppm ZAWHVDFAHDNCPA
|
Proposal # 975 Similarity: 4.38ppm VUEKEJLQHBOPNV
|
|
Proposal # 976 Similarity: 4.38ppm IWMYMFVSIWBWRK
|
Proposal # 977 Similarity: 4.39ppm RFMWKKFRUZRTLJ
|
Proposal # 978 Similarity: 4.39ppm GCONGFAHLQNFEM
|
|
Proposal # 979 Similarity: 4.39ppm ZNMGQAPTSGFLDV
|
Proposal # 980 Similarity: 4.39ppm JWYKEFJOOMUCMC
|
Proposal # 981 Similarity: 4.39ppm HCMUIWRQRUUEOE
|
|
Proposal # 982 Similarity: 4.39ppm FRZXTTNSYPSJJB
|
Proposal # 983 Similarity: 4.39ppm KFOOWWLWAQYPRD
|
Proposal # 984 Similarity: 4.39ppm HFBAVDLUTFZVJS
|
|
Proposal # 985 Similarity: 4.39ppm PCFLIOOQZHBAHZ
|
Proposal # 986 Similarity: 4.39ppm LPLVIGKGIJWOBV
|
Proposal # 987 Similarity: 4.39ppm DXHBPXSMRJKSGF
|
|
Proposal # 988 Similarity: 4.39ppm XRPFMTCKXZPNKW
|
Proposal # 989 Similarity: 4.40ppm OYRHQMHFBSRBKO
|
Proposal # 990 Similarity: 4.40ppm ORDZYXIHURFTSK
|
|
Proposal # 991 Similarity: 4.40ppm INWAAQDKZXZBRM
|
Proposal # 992 Similarity: 4.40ppm OZKBQAPNMNPZLD
|
Proposal # 993 Similarity: 4.40ppm SHEJBWRUEWFPLO
|
|
Proposal # 994 Similarity: 4.40ppm HWKVIZKCBPHCCQ
|
Proposal # 995 Similarity: 4.40ppm RIZPHBMNQSVZIO
|
Proposal # 996 Similarity: 4.40ppm GBEGDPOAEVKUHE
|
|
Proposal # 997 Similarity: 4.40ppm LJWMWOUXPNKYTB
|
Proposal # 998 Similarity: 4.41ppm MCXHSEOYOOIOOU
|
Proposal # 999 Similarity: 4.41ppm ZICXNXPBMNBNSU
|
|
Proposal # 1000 Similarity: 4.41ppm GPOZBFFHCNNXMI
|
Proposal # 1001 Similarity: 4.41ppm WXMACPROJDMZCE
|
Proposal # 1002 Similarity: 4.41ppm ZBTMECXXYPKBKC
|
|
Proposal # 1003 Similarity: 4.41ppm MZHIKRGWYRAAED
|
Proposal # 1004 Similarity: 4.41ppm SZNZGCUIKITLFT
|
Proposal # 1005 Similarity: 4.41ppm OOUJVJUUSIRWTI
|
|
Proposal # 1006 Similarity: 4.41ppm ZIUNFKRTQNDFHM
|
Proposal # 1007 Similarity: 4.41ppm NBHSUBJPINVFPL
|
Proposal # 1008 Similarity: 4.41ppm YLYFSXSHECUVIE
|
|
Proposal # 1009 Similarity: 4.41ppm DKBQNTLRMXQICB
|
Proposal # 1010 Similarity: 4.42ppm NTGXIBODMIEUSY
|
Proposal # 1011 Similarity: 4.42ppm ZCAKUTAQMBNPKT
|
|
Proposal # 1012 Similarity: 4.42ppm NDDFLQIBPJTXRY
|
Proposal # 1013 Similarity: 4.42ppm LFOYQAPSRWAAFH
|
Proposal # 1014 Similarity: 4.42ppm XBMIZPFUMUTRBL
|
|
Proposal # 1015 Similarity: 4.42ppm AYISYVABHSSJJG
|
Proposal # 1016 Similarity: 4.42ppm JJISBYWJYVHIEH
|
Proposal # 1017 Similarity: 4.42ppm LVGFDYSZZRRMRU
|
|
Proposal # 1018 Similarity: 4.42ppm MCUGTWWEJNBHFG
|
Proposal # 1019 Similarity: 4.42ppm WMXMTOVSQXXHSV
|
Proposal # 1020 Similarity: 4.42ppm OWIMPHASSJUFRP
|
|
Proposal # 1021 Similarity: 4.42ppm BMZQWBMOSVCROT
|
Proposal # 1022 Similarity: 4.42ppm IWRAROADOSJTBE
|
Proposal # 1023 Similarity: 4.43ppm NWASTPGYSCJBRO
|
|
Proposal # 1024 Similarity: 4.43ppm RTWXKVVCTSGEFF
|
Proposal # 1025 Similarity: 4.43ppm LRUYMIGZNCEJMJ
|
Proposal # 1026 Similarity: 4.43ppm WJHDVGWXDIDJHY
|
|
Proposal # 1027 Similarity: 4.43ppm HTNZMHRYSJODEF
|
Proposal # 1028 Similarity: 4.43ppm RQESUOYHSQBKLH
|
Proposal # 1029 Similarity: 4.43ppm BJSYBNZNRLHIJG
|
|
Proposal # 1030 Similarity: 4.43ppm CHDAGEFBCCOHQT
|
Proposal # 1031 Similarity: 4.43ppm LJNFBYSMPBFKGN
|
Proposal # 1032 Similarity: 4.43ppm UGXJYRGYRYCJCY
|
|
Proposal # 1033 Similarity: 4.43ppm VPRXUJXHEWWJCF
|
Proposal # 1034 Similarity: 4.43ppm ZDOXQTPWQUHYMD
|
Proposal # 1035 Similarity: 4.43ppm ZPEXZQWGSMPOLD
|
|
Proposal # 1036 Similarity: 4.43ppm HPTQFKXBUKBSTE
|
Proposal # 1037 Similarity: 4.43ppm QAJNOOADPKUSKZ
|
Proposal # 1038 Similarity: 4.43ppm RPLNXJIRKIHSMD
|
|
Proposal # 1039 Similarity: 4.43ppm GMCYCUBPAPNKEH
|
Proposal # 1040 Similarity: 4.44ppm LJCNWPJILVDTIB
|
Proposal # 1041 Similarity: 4.44ppm FJAKOELKOKAKHC
|
|
Proposal # 1042 Similarity: 4.44ppm MWQLGRKVDSLXTB
|
Proposal # 1043 Similarity: 4.44ppm SLUFDRFORSLJOO
|
Proposal # 1044 Similarity: 4.44ppm MIWHMNLGTAJHJZ
|
|
Proposal # 1045 Similarity: 4.44ppm KWPXEEZALRRNQJ
|
Proposal # 1046 Similarity: 4.44ppm CQVFKPKZDCKMFT
|
Proposal # 1047 Similarity: 4.44ppm VHVCVTCFJUOYAF
|
|
Proposal # 1048 Similarity: 4.44ppm FNHZVKLMXSAZJD
|
Proposal # 1049 Similarity: 4.44ppm WEAXHLDQTFYJDN
|
Proposal # 1050 Similarity: 4.44ppm DIZIRHYSOJGXIE
|
|
Proposal # 1051 Similarity: 4.44ppm NOPAXJTVCMLBKQ
|
Proposal # 1052 Similarity: 4.44ppm ACQWLPDORVJZGX
|
Proposal # 1053 Similarity: 4.44ppm AGJMXZKBZHKPBP
|
|
Proposal # 1054 Similarity: 4.45ppm UMVUOEJJDQYKAC
|
Proposal # 1055 Similarity: 4.45ppm YVMBPENOCZSDGA PUBCHEM
|
Proposal # 1056 Similarity: 4.45ppm HHHHCDWYFQONJJ
|
|
Proposal # 1057 Similarity: 4.45ppm KRVIKKBYPKCNLU
|
Proposal # 1058 Similarity: 4.45ppm FJFRLAILQBJCTD
|
Proposal # 1059 Similarity: 4.45ppm QMSPFRKZLFSDHT
|
|
Proposal # 1060 Similarity: 4.45ppm JZNTVRYDQOFOJH
|
Proposal # 1061 Similarity: 4.46ppm YQIWOMQELGWTIY
|
Proposal # 1062 Similarity: 4.46ppm YBOLJDFYOLOPHC
|
|
Proposal # 1063 Similarity: 4.46ppm MHVHUQPCXFGELT
|
Proposal # 1064 Similarity: 4.46ppm WYKIJEMXZNZXPL
|
Proposal # 1065 Similarity: 4.46ppm FUKQNUFUNHUWMJ
|
|
Proposal # 1066 Similarity: 4.46ppm BGZQKWUTAJHOLM
|
Proposal # 1067 Similarity: 4.46ppm YBWODXJMYUUVDY
|
Proposal # 1068 Similarity: 4.46ppm ZNIWRUJQVMWTKS
|
|
Proposal # 1069 Similarity: 4.46ppm MLQCBVLVXQBVKI
|
Proposal # 1070 Similarity: 4.46ppm JBYJGGDIDVSHFG
|
Proposal # 1071 Similarity: 4.46ppm OTLXVFGZGOGJEK
|
|
Proposal # 1072 Similarity: 4.47ppm YQFCGZGUDDPNMX
|
Proposal # 1073 Similarity: 4.47ppm RLSPWRWHKZUEDO
|
Proposal # 1074 Similarity: 4.47ppm YFPKMMBQUGKNOE
|
|
Proposal # 1075 Similarity: 4.47ppm NYIZWKCLHAKHGE
|
Proposal # 1076 Similarity: 4.47ppm MLEZEJGLIPVHFM
|
Proposal # 1077 Similarity: 4.47ppm XJATVUUFICHWLI
|
|
Proposal # 1078 Similarity: 4.47ppm FLMDSOUAAUDYGH
|
Proposal # 1079 Similarity: 4.47ppm XSFQWFHDFYONJO
|
Proposal # 1080 Similarity: 4.47ppm MJPZHOIQQIHWMM
|
|
Proposal # 1081 Similarity: 4.48ppm UJOLHGLIEXTREB
|
Proposal # 1082 Similarity: 4.48ppm IOVJFNNSBKRICK
|
Proposal # 1083 Similarity: 4.48ppm NPDRUZDPGFANEF
|
|
Proposal # 1084 Similarity: 4.48ppm LBYHFZOEWJUXMF
|
Proposal # 1085 Similarity: 4.48ppm WLRLYYJXRJVKIF
|
Proposal # 1086 Similarity: 4.48ppm ZWSGGEWQCPAPSI
|
|
Proposal # 1087 Similarity: 4.48ppm KXSJXUGFGSZMGN
|
Proposal # 1088 Similarity: 4.49ppm BGNGPAKSCHOLCB
|
Proposal # 1089 Similarity: 4.49ppm GIUOCGVWYYYBLI
|
|
Proposal # 1090 Similarity: 4.49ppm XPXYRJVXWRGODA
|
Proposal # 1091 Similarity: 4.49ppm YTTAGLXEPWLIGI
|
Proposal # 1092 Similarity: 4.49ppm FEIXCMKOUCJGGP
|
|
Proposal # 1093 Similarity: 4.49ppm CIDOYTWGSHFXDA
|
Proposal # 1094 Similarity: 4.49ppm KBMLLSMXDSOULV
|
Proposal # 1095 Similarity: 4.49ppm TXDYBIJYFBIOTB
|
|
Proposal # 1096 Similarity: 4.49ppm GSXFWLBYUVGKLZ
|
Proposal # 1097 Similarity: 4.49ppm MEGWTCPWMJGCLT
|
Proposal # 1098 Similarity: 4.49ppm YYMNWUUDJLNYFB
|
|
Proposal # 1099 Similarity: 4.50ppm MOAQXNJCAOEXCX
|
Proposal # 1100 Similarity: 4.50ppm KXKBHDJPBZNABE
|
Proposal # 1101 Similarity: 4.50ppm JMFSSCBPYCGMPW
|
|
Proposal # 1102 Similarity: 4.50ppm WKRKLGNHVNAZNJ
|
Proposal # 1103 Similarity: 4.50ppm FSUNMNVXQVJECT
|
Proposal # 1104 Similarity: 4.50ppm NOUSQPYEOFEJJO
|
|
Proposal # 1105 Similarity: 4.50ppm UKMFFIRSJXOBEE
|
Proposal # 1106 Similarity: 4.50ppm UNORTDGAHOGYAZ
|
Proposal # 1107 Similarity: 4.50ppm JBIILGMARVPFHW
|
|
Proposal # 1108 Similarity: 4.50ppm YLMOWCHXCFKRSO
|
Proposal # 1109 Similarity: 4.50ppm AAKWXZPLSUWZNY
|
Proposal # 1110 Similarity: 4.51ppm RSVQGWQFMTVFKS
|
|
Proposal # 1111 Similarity: 4.51ppm JORMOKKJVRYVMD
|
Proposal # 1112 Similarity: 4.51ppm UERJCEHEULVNMK
|
Proposal # 1113 Similarity: 4.51ppm HPPGPBIRUUQRFH
|
|
Proposal # 1114 Similarity: 4.51ppm HXRYQFSQWQCBEZ
|
Proposal # 1115 Similarity: 4.52ppm UCJOYGPWZAYXLT
|
Proposal # 1116 Similarity: 4.52ppm GRAUOPABILXVKI
|
|
Proposal # 1117 Similarity: 4.52ppm BLRXEFRBOMAQJR
|
Proposal # 1118 Similarity: 4.52ppm AVURFWRIDGHXHR
|
Proposal # 1119 Similarity: 4.52ppm DRCJRTNYOQWKNL
|
|
Proposal # 1120 Similarity: 4.52ppm AQAGAFZFPSRDRA
|
Proposal # 1121 Similarity: 4.52ppm BUVSDUAAHPZOBC
|
Proposal # 1122 Similarity: 4.52ppm VYBKXZZZRYCCTD
|
|
Proposal # 1123 Similarity: 4.52ppm PBUVMLBHCBMYOE
|
Proposal # 1124 Similarity: 4.52ppm KKBUSFDCVYPGFA
|
Proposal # 1125 Similarity: 4.52ppm KQAFZUVUPWDWDZ
|
|
Proposal # 1126 Similarity: 4.52ppm MKQOJTPHPZWDBY
|
Proposal # 1127 Similarity: 4.53ppm BPQRYBAYIMGOLI
|
Proposal # 1128 Similarity: 4.53ppm VCEPLMYLXVGYJR
|
|
Proposal # 1129 Similarity: 4.53ppm DCESDMWXFHNKAC
|
Proposal # 1130 Similarity: 4.53ppm MVWSACQGHPOSGW
|
Proposal # 1131 Similarity: 4.53ppm VJNTXDNYZHXTHH
|
|
Proposal # 1132 Similarity: 4.53ppm HBEDPMMULAUFJB
|
Proposal # 1133 Similarity: 4.53ppm UKZSNZKWZIZAND
|
Proposal # 1134 Similarity: 4.53ppm ORJNUNVNMFEURR
|
|
Proposal # 1135 Similarity: 4.53ppm WDJNSPSQWSRUKV
|
Proposal # 1136 Similarity: 4.54ppm DHBKSQHCKUJYLB
|
Proposal # 1137 Similarity: 4.54ppm AZRLOHUWGGLHPI
|
|
Proposal # 1138 Similarity: 4.54ppm HAKJHQLJTCSFAL
|
Proposal # 1139 Similarity: 4.54ppm VUMIXHWSZQJCLL
|
Proposal # 1140 Similarity: 4.54ppm ZVERFGUOPNKOAC
|
|
Proposal # 1141 Similarity: 4.54ppm YUKXTJQHKHXTBG
|
Proposal # 1142 Similarity: 4.54ppm OHYQBESPUVFUJG
|
Proposal # 1143 Similarity: 4.54ppm XNWYHBZVQUPOPA
|
|
Proposal # 1144 Similarity: 4.54ppm XVPXOPHTJUPROV
|
Proposal # 1145 Similarity: 4.54ppm ZEPAEZILPCGQFS
|
Proposal # 1146 Similarity: 4.54ppm MDLIZLYVFJVXOH
|
|
Proposal # 1147 Similarity: 4.54ppm QUTDZJODMJCFAN
|
Proposal # 1148 Similarity: 4.54ppm ZKTDERTXCSWDKB
|
Proposal # 1149 Similarity: 4.54ppm OJBHRDALOYALPZ
|
|
Proposal # 1150 Similarity: 4.55ppm VGIVYBMEDQDACL
|
Proposal # 1151 Similarity: 4.55ppm WDOHJNTUJLRKRE
|
Proposal # 1152 Similarity: 4.55ppm PVNBBUOQDYBLKL
|
|
Proposal # 1153 Similarity: 4.55ppm BZCMTCOHOHBSCZ
|
Proposal # 1154 Similarity: 4.55ppm SWPPMLWWLCYRGA
|
Proposal # 1155 Similarity: 4.55ppm WDAPMBCLRIRRBP
|
|
Proposal # 1156 Similarity: 4.55ppm QOAQIYGQGXRCBW
|
Proposal # 1157 Similarity: 4.55ppm QHRFBWDLTDPIES
|
Proposal # 1158 Similarity: 4.56ppm UWJRTFTWMAECLN
|
|
Proposal # 1159 Similarity: 4.56ppm RTIURQZHHYKKCY
|
Proposal # 1160 Similarity: 4.56ppm QBTGGCZTHNJUJI
|
Proposal # 1161 Similarity: 4.56ppm ZHIGQFYKTQFUBK
|
|
Proposal # 1162 Similarity: 4.56ppm QPJGHNBEHXTMOK
|
Proposal # 1163 Similarity: 4.56ppm UPMWQTUVJUJSFB
|
Proposal # 1164 Similarity: 4.56ppm LBKFLLZBSZKOGZ
|
|
Proposal # 1165 Similarity: 4.56ppm CSZWGALCTSFHDC
|
Proposal # 1166 Similarity: 4.56ppm PRJQTAOYIQGDLI
|
Proposal # 1167 Similarity: 4.56ppm ORQRLWUHOYCGRN
|
|
Proposal # 1168 Similarity: 4.56ppm GLXLYZMYYKFJLK
|
Proposal # 1169 Similarity: 4.56ppm OYPHOFJUDGOYTM
|
Proposal # 1170 Similarity: 4.56ppm QGYSIWUTTGARQM
|
|
Proposal # 1171 Similarity: 4.56ppm OVYYFFIHROMXHJ
|
Proposal # 1172 Similarity: 4.57ppm KRIJTCZLSYGRRB
|
Proposal # 1173 Similarity: 4.57ppm SOQIQGZUBRUMEV
|
|
Proposal # 1174 Similarity: 4.57ppm NOLWIRCKBRJPCD
|
Proposal # 1175 Similarity: 4.57ppm RXWAAIKHGDIXMV
|
Proposal # 1176 Similarity: 4.57ppm LCBUEPZXMORQCX
|
|
Proposal # 1177 Similarity: 4.57ppm AAGJIDWSKYBEAB
|
Proposal # 1178 Similarity: 4.57ppm IUWBGRSQTPORLU
|
Proposal # 1179 Similarity: 4.57ppm RQTQVXIJMOBVGN
|
|
Proposal # 1180 Similarity: 4.57ppm DVNZDGUVTSSANP
|
Proposal # 1181 Similarity: 4.57ppm MXXHXAJKPUEWSI
|
Proposal # 1182 Similarity: 4.57ppm USJROFIHJOMDNI
|
|
Proposal # 1183 Similarity: 4.57ppm YHTXTTWTQBLKRO
|
Proposal # 1184 Similarity: 4.57ppm BZMIRDMGKKGXQZ
|
Proposal # 1185 Similarity: 4.57ppm OXKACAKOHZVUND
|
|
Proposal # 1186 Similarity: 4.57ppm BINNATQZDQLBOY
|
Proposal # 1187 Similarity: 4.57ppm XSPFTKCKWVGZOI
|
Proposal # 1188 Similarity: 4.57ppm AHVBFUOSAKGQTD
|
|
Proposal # 1189 Similarity: 4.58ppm NPRAPDBOELYUQI
|
Proposal # 1190 Similarity: 4.58ppm JTBYKWVDSIACHI
|
Proposal # 1191 Similarity: 4.58ppm BODYOLSOFNZFEO
|
|
Proposal # 1192 Similarity: 4.58ppm RROHLPMUNKEQBN
|
Proposal # 1193 Similarity: 4.58ppm VRLVRVIGWKVVDG
|
Proposal # 1194 Similarity: 4.58ppm ZFFIGPALZJSCEH
|
|
Proposal # 1195 Similarity: 4.58ppm JMIPCVJFVFARSA
|
Proposal # 1196 Similarity: 4.58ppm CDROXJYFVXAZLF
|
Proposal # 1197 Similarity: 4.58ppm VGAALRIRODDYFU
|
|
Proposal # 1198 Similarity: 4.58ppm QFCMKLWHDBDINO
|
Proposal # 1199 Similarity: 4.58ppm JIADVUMTQSLJHU
|
Proposal # 1200 Similarity: 4.58ppm RZQXWAFLCAAVHA
|
|
Proposal # 1201 Similarity: 4.58ppm PPJKRUCTEFNQOK
|
Proposal # 1202 Similarity: 4.58ppm UFIZTKYPKUDBBZ
|
Proposal # 1203 Similarity: 4.58ppm NKTHMUJRFZVYAN
|
|
Proposal # 1204 Similarity: 4.58ppm PQIXOLTXVICADL
|
Proposal # 1205 Similarity: 4.58ppm WYZZIFWSBNJJNX
|
Proposal # 1206 Similarity: 4.59ppm KVQPTEUXCFSWMV
|
|
Proposal # 1207 Similarity: 4.59ppm RUWMFACYABMKNE
|
Proposal # 1208 Similarity: 4.59ppm HKSUIAYLMCSDAU
|
Proposal # 1209 Similarity: 4.59ppm LZZFKUKAJKXSLK
|
|
Proposal # 1210 Similarity: 4.59ppm BPEQPWPFKCLPJC
|
Proposal # 1211 Similarity: 4.59ppm JEXFQZICAWNLLV
|
Proposal # 1212 Similarity: 4.59ppm BVBJHZRYRFSPIR
|
|
Proposal # 1213 Similarity: 4.59ppm PIQDNKGSCNDTGE
|
Proposal # 1214 Similarity: 4.59ppm LKMJOGZCMBRSPL
|
Proposal # 1215 Similarity: 4.59ppm ZPYOJRQBGAZQCS
|
|
Proposal # 1216 Similarity: 4.59ppm JZGIQRXFCWZZNO
|
Proposal # 1217 Similarity: 4.59ppm DICHFNNUOJISIH
|
Proposal # 1218 Similarity: 4.59ppm AEYZNHWUNSVGNW
|
|
Proposal # 1219 Similarity: 4.59ppm LOBLCYPIBIQFLB
|
Proposal # 1220 Similarity: 4.60ppm JEPLRVOWWOZATJ
|
Proposal # 1221 Similarity: 4.60ppm GZPWMVVXKVDIIS
|
|
Proposal # 1222 Similarity: 4.60ppm WGBGUXMHLIVKEB
|
Proposal # 1223 Similarity: 4.60ppm ISVJACDNRJAHGJ
|
Proposal # 1224 Similarity: 4.60ppm ZBVFWNFHTLEIFI
|
|
Proposal # 1225 Similarity: 4.60ppm DNKHZJIEANQLQA
|
Proposal # 1226 Similarity: 4.60ppm QCURQVCTPSGMRV
|
Proposal # 1227 Similarity: 4.60ppm RDDDWGXXCUFGNS
|
|
Proposal # 1228 Similarity: 4.60ppm RCOCBOKEAUFNRJ
|
Proposal # 1229 Similarity: 4.60ppm WEMGMBMBVGPJOW
|
Proposal # 1230 Similarity: 4.60ppm DCJMBEAXCQNJEY
|
|
Proposal # 1231 Similarity: 4.60ppm NGUFOJDBIIECHR
|
Proposal # 1232 Similarity: 4.61ppm LHQURKSMGOTLRR
|
Proposal # 1233 Similarity: 4.61ppm RJYBBWVMZJMFOP
|
|
Proposal # 1234 Similarity: 4.61ppm IGIOKSDXQQEISK
|
Proposal # 1235 Similarity: 4.61ppm HOMDZPJRQKUPFA
|
Proposal # 1236 Similarity: 4.61ppm NDNPZTDZEUNXEA
|
|
Proposal # 1237 Similarity: 4.61ppm XKWPGONLURMWRG
|
Proposal # 1238 Similarity: 4.61ppm XPZYVFFJTMRDQO
|
Proposal # 1239 Similarity: 4.61ppm VEBBYOOHEJYSBT
|
|
Proposal # 1240 Similarity: 4.61ppm RQRCPGZRWKQWDG
|
Proposal # 1241 Similarity: 4.61ppm GDDNRKRYUPOACU
|
Proposal # 1242 Similarity: 4.61ppm IZPGMTQIGMBOHC
|
|
Proposal # 1243 Similarity: 4.61ppm PPRHITIXZMXAHK
|
Proposal # 1244 Similarity: 4.62ppm YKMBOWMSZINDQU
|
Proposal # 1245 Similarity: 4.62ppm GFQJOOROAQBNQW
|
|
Proposal # 1246 Similarity: 4.62ppm ACZFGFCNVPEPQG
|
Proposal # 1247 Similarity: 4.62ppm CVQUMPUETLIXBV
|
Proposal # 1248 Similarity: 4.62ppm KHCUVYSXHCPGKV
|
|
Proposal # 1249 Similarity: 4.62ppm BBFPDAOQVSNZHM
|
Proposal # 1250 Similarity: 4.62ppm XPRBQZPEKQQDMW
|
Proposal # 1251 Similarity: 4.62ppm URCIHXLXSPKXRC
|
|
Proposal # 1252 Similarity: 4.62ppm VVYSRZBFWRLQFZ
|
Proposal # 1253 Similarity: 4.62ppm KHUCCFUATVKKLM
|
Proposal # 1254 Similarity: 4.63ppm JCMAYBVNXDCTMY
|
|
Proposal # 1255 Similarity: 4.63ppm RNKRJCBQFHWYEP
|
Proposal # 1256 Similarity: 4.63ppm HRATUUOMUFPVRX
|
Proposal # 1257 Similarity: 4.63ppm QOMOARWXWDZZCX
|
|
Proposal # 1258 Similarity: 4.63ppm UXLWRXDEWOOULP
|
Proposal # 1259 Similarity: 4.63ppm ZJXXFOPYIOZKBS
|
Proposal # 1260 Similarity: 4.63ppm FICXWAMSIPEWHZ
|
|
Proposal # 1261 Similarity: 4.63ppm JMTAVZKRIMKXCY
|
Proposal # 1262 Similarity: 4.63ppm QWLPWQSGVLXAJC
|
Proposal # 1263 Similarity: 4.63ppm BHAYUZQWWXWUOO
|
|
Proposal # 1264 Similarity: 4.63ppm MNRBSHCOEICSDX
|
Proposal # 1265 Similarity: 4.63ppm DJTBKTCEVYMKPL
|
Proposal # 1266 Similarity: 4.63ppm SIBAKXRTCHOTJH
|
|
Proposal # 1267 Similarity: 4.63ppm LYMRCXZEFMFYOI
|
Proposal # 1268 Similarity: 4.63ppm IOAIZKTZCGLJGL
|
Proposal # 1269 Similarity: 4.64ppm ZOSFLGOQICXUJP
|
|
Proposal # 1270 Similarity: 4.64ppm KKEQFMWYKOJUIU
|
Proposal # 1271 Similarity: 4.64ppm AFEWDYFEWRYFOM
|
Proposal # 1272 Similarity: 4.64ppm XKVMMIKOACMGJA
|
|
Proposal # 1273 Similarity: 4.64ppm KZSOAOZSMMXAHU
|
Proposal # 1274 Similarity: 4.64ppm RWEGVWFEBFOMQS
|
Proposal # 1275 Similarity: 4.64ppm ZKTWXHOMGCWQQI
|
|
Proposal # 1276 Similarity: 4.64ppm MPJDDHRQQKFXDW
|
Proposal # 1277 Similarity: 4.64ppm XUIGMKDBFQALOM
|
Proposal # 1278 Similarity: 4.64ppm JWXMWMCAERJFIH
|
|
Proposal # 1279 Similarity: 4.64ppm QIANCALOTBNBFA
|
Proposal # 1280 Similarity: 4.64ppm UBJMXIYNGQRTGZ
|
Proposal # 1281 Similarity: 4.64ppm PZIMHZYYEFUKMD
|
|
Proposal # 1282 Similarity: 4.64ppm WJYRZQCYZRFNOK
|
Proposal # 1283 Similarity: 4.65ppm KUTLMWJMKJFIDI
|
Proposal # 1284 Similarity: 4.65ppm UKBIWJLXFQWALR
|
|
Proposal # 1285 Similarity: 4.65ppm DUOGSSYYPWKAML
|
Proposal # 1286 Similarity: 4.65ppm SZROCZFSYFPPCA
|
Proposal # 1287 Similarity: 4.65ppm AJBDKHWJFAQBOR
|
|
Proposal # 1288 Similarity: 4.65ppm SCKMWYAPOWPFFW
|
Proposal # 1289 Similarity: 4.65ppm QWXXGHIKLFZPPB
|
Proposal # 1290 Similarity: 4.65ppm HQWPARZJKLTWKP
|
|
Proposal # 1291 Similarity: 4.65ppm MADRAPAKMFJIGQ
|
Proposal # 1292 Similarity: 4.65ppm PMBMSHCLHLEAAN
|
Proposal # 1293 Similarity: 4.65ppm FOHJSJPIRYWLQE
|
|
Proposal # 1294 Similarity: 4.66ppm BPLRHRHVNHVAFD
|
Proposal # 1295 Similarity: 4.66ppm KPLOVTNQPUSXQE
|
Proposal # 1296 Similarity: 4.66ppm ZWMRNSLVBFHZRJ
|
|
Proposal # 1297 Similarity: 4.66ppm RBZGVXIPZDHVOY
|
Proposal # 1298 Similarity: 4.66ppm YHCMEOOPVNVDPL
|
Proposal # 1299 Similarity: 4.66ppm IDBWJUMVTVILCU
|
|
Proposal # 1300 Similarity: 4.66ppm DEPBCROLPBBRMI
|
Proposal # 1301 Similarity: 4.66ppm JBGSQMJAQSFYGV
|
Proposal # 1302 Similarity: 4.66ppm NLSNSTPJWTUGFR
|
|
Proposal # 1303 Similarity: 4.66ppm RNROQSZQSIRRQZ
|
Proposal # 1304 Similarity: 4.66ppm YKCXRIVVLAGYJZ
|
Proposal # 1305 Similarity: 4.66ppm WCPYIAPYBXIMKF
|
|
Proposal # 1306 Similarity: 4.66ppm XQSWZFDFTFCNTK
|
Proposal # 1307 Similarity: 4.66ppm FMBXEDJDZRRFMY
|
Proposal # 1308 Similarity: 4.66ppm OAFVLUPXNBNRET
|
|
Proposal # 1309 Similarity: 4.66ppm WVTGTGAFEJXCRV
|
Proposal # 1310 Similarity: 4.67ppm SVXWWNHBVDZDHO
|
Proposal # 1311 Similarity: 4.67ppm NNEKZJVOXOQYBF
|
|
Proposal # 1312 Similarity: 4.67ppm MUGYOMDBSXECND
|
Proposal # 1313 Similarity: 4.67ppm RQOWQRBKPOJAPY
|
Proposal # 1314 Similarity: 4.67ppm JNWWVMMYVRRNCA
|
|
Proposal # 1315 Similarity: 4.67ppm DFYVLLSKZMVMNA
|
Proposal # 1316 Similarity: 4.67ppm ZFDRPLJODFLLIF
|
Proposal # 1317 Similarity: 4.67ppm KTZUESIEOZFVOK
|
|
Proposal # 1318 Similarity: 4.67ppm NDJPLRKBUFNGTR
|
Proposal # 1319 Similarity: 4.67ppm UEJHZYKJQBMDJH
|
Proposal # 1320 Similarity: 4.67ppm DJSOJPBIXBICSK
|
|
Proposal # 1321 Similarity: 4.67ppm SUWMLBFEJDFCCL
|
Proposal # 1322 Similarity: 4.67ppm TWEOTDHDPPFOBD
|
Proposal # 1323 Similarity: 4.68ppm XSBWDXAQNDLCMX
|
|
Proposal # 1324 Similarity: 4.68ppm DITPOJYLAZASFS
|
Proposal # 1325 Similarity: 4.68ppm QXIGFCZVNGDGKD
|
Proposal # 1326 Similarity: 4.68ppm BYDQTTBVXMSGON
|
|
Proposal # 1327 Similarity: 4.68ppm SAVGWLOBLLEEKK
|
Proposal # 1328 Similarity: 4.68ppm WECKADIVLDQOBV
|
Proposal # 1329 Similarity: 4.68ppm JCQYBSNDTZVXDS
|
|
Proposal # 1330 Similarity: 4.68ppm PHUPPXXKESGESH
|
Proposal # 1331 Similarity: 4.68ppm OHHUAQXURPAUBO
|
Proposal # 1332 Similarity: 4.68ppm ZUFBZOFNOJGDCP
|
|
Proposal # 1333 Similarity: 4.68ppm WWGLFUKPMQXWOM
|
Proposal # 1334 Similarity: 4.68ppm OJNSNNBJKXWWAA
|
Proposal # 1335 Similarity: 4.69ppm GWGPITKRVWREJV
|
|
Proposal # 1336 Similarity: 4.69ppm MTDVDUHBSRHHRI
|
Proposal # 1337 Similarity: 4.69ppm QPRNOUWLAYCZLR
|
Proposal # 1338 Similarity: 4.69ppm MJLUYHHDTZJNFK
|
|
Proposal # 1339 Similarity: 4.69ppm KQSAYBYHWVXQJA
|
Proposal # 1340 Similarity: 4.69ppm SOEFBMHOABAKQK
|
Proposal # 1341 Similarity: 4.69ppm GUXTYSJXGUWEAX
|
|
Proposal # 1342 Similarity: 4.69ppm MDRJPKNKOOFEAS
|
Proposal # 1343 Similarity: 4.69ppm FANKXUZKRGNOGB
|
Proposal # 1344 Similarity: 4.69ppm RYOUCEGTNJMQIC
|
|
Proposal # 1345 Similarity: 4.69ppm MNPUUSYZXIZTRE
|
Proposal # 1346 Similarity: 4.69ppm ZELHLAVRULWGOX
|
Proposal # 1347 Similarity: 4.69ppm PQTCGUQIUDMQHA
|
|
Proposal # 1348 Similarity: 4.70ppm NLOBJINVKNYRKQ
|
Proposal # 1349 Similarity: 4.70ppm WJVSPGOKBQQOPV
|
Proposal # 1350 Similarity: 4.70ppm UTQGDMCVJCUFTC
|
|
Proposal # 1351 Similarity: 4.70ppm NYCVDTNBTGQFCS
|
Proposal # 1352 Similarity: 4.70ppm OEMRVJWWOIAXEA
|
Proposal # 1353 Similarity: 4.70ppm XAEYJNXAGMGBBZ
|
|
Proposal # 1354 Similarity: 4.70ppm QFNPKBBRDADEGU
|
Proposal # 1355 Similarity: 4.70ppm FVBKIGJRBRZMRE
|
Proposal # 1356 Similarity: 4.70ppm AOROSARFMFYQFE
|
|
Proposal # 1357 Similarity: 4.70ppm MITRHJXIQHYTMX
|
Proposal # 1358 Similarity: 4.70ppm YHYLIHOZUGSUOT
|
Proposal # 1359 Similarity: 4.70ppm NTMZMGRTGXRTCM
|
|
Proposal # 1360 Similarity: 4.70ppm HZKJNZMXSULXQA
|
Proposal # 1361 Similarity: 4.70ppm UXGGIGPRKGNFTQ
|
Proposal # 1362 Similarity: 4.71ppm VIUYPZXBCGJUBC
|
|
Proposal # 1363 Similarity: 4.71ppm AULHVXJQMIFUJV
|
Proposal # 1364 Similarity: 4.71ppm SIDVAFOGNHFRPN
|
Proposal # 1365 Similarity: 4.71ppm WQDXFUFALUUKJZ
|
|
Proposal # 1366 Similarity: 4.71ppm UFLBTWVUUOWDOV
|
Proposal # 1367 Similarity: 4.71ppm LMNVVEBPGDUATP
|
Proposal # 1368 Similarity: 4.71ppm NMRIUCGXXYQQHD
|
|
Proposal # 1369 Similarity: 4.71ppm UCEGPUXUTAZDHJ
|
Proposal # 1370 Similarity: 4.71ppm VWPOVVLLVXDPNK
|
Proposal # 1371 Similarity: 4.71ppm RGJSVKAQJCKJPS
|
|
Proposal # 1372 Similarity: 4.71ppm ZFFIURJPPVLSBR
|
Proposal # 1373 Similarity: 4.71ppm MTBHUEMDGALNQY
|
Proposal # 1374 Similarity: 4.71ppm MWUFVVUCERWYSK
|
|
Proposal # 1375 Similarity: 4.72ppm UXMBGOKAUWNUFP
|
Proposal # 1376 Similarity: 4.72ppm ONBHQKNENCLEDU
|
Proposal # 1377 Similarity: 4.72ppm STKFXGVCDDGPBH
|
|
Proposal # 1378 Similarity: 4.72ppm ZEFODXVMFNTRPA
|
Proposal # 1379 Similarity: 4.72ppm QLCYADWTVAAWDP
|
Proposal # 1380 Similarity: 4.72ppm SUJDEVIVQRXKDY
|
|
Proposal # 1381 Similarity: 4.72ppm KSRMHBJNKMAFRT
|
Proposal # 1382 Similarity: 4.72ppm BAEIQZSIJQNKEU
|
Proposal # 1383 Similarity: 4.72ppm BUUKZYNOHXUIRE
|
|
Proposal # 1384 Similarity: 4.72ppm ZUKMQZMBHZMEIS
|
Proposal # 1385 Similarity: 4.72ppm CLTJMFLPBUKPFX
|
Proposal # 1386 Similarity: 4.72ppm FBRKBUGVQLEKBG
|
|
Proposal # 1387 Similarity: 4.72ppm AFVDLXBFNFUYCE
|
Proposal # 1388 Similarity: 4.72ppm AWYOMFLRISTHNO
|
Proposal # 1389 Similarity: 4.72ppm GTVPBMFSNQINCJ
|
|
Proposal # 1390 Similarity: 4.72ppm HHFBVUBMESKHJI
|
Proposal # 1391 Similarity: 4.72ppm WVGLTBZOTFDOTP
|
Proposal # 1392 Similarity: 4.73ppm VFQZDKKVRUMIAZ
|
|
Proposal # 1393 Similarity: 4.73ppm HEEOFEOBYSEULQ
|
Proposal # 1394 Similarity: 4.73ppm BYFYCHPGUMKZEG
|
Proposal # 1395 Similarity: 4.73ppm NSXFRDSQZKIHDH
|
|
Proposal # 1396 Similarity: 4.73ppm IVTGGCRRIMWBBI
|
Proposal # 1397 Similarity: 4.73ppm UNOBZEUJQNFDNO
|
Proposal # 1398 Similarity: 4.73ppm IGRCDJONYDSKLP
|
|
Proposal # 1399 Similarity: 4.73ppm QFMWGMWTEIGNAX
|
Proposal # 1400 Similarity: 4.73ppm MSXLRIVRHQRCAV
|
Proposal # 1401 Similarity: 4.73ppm OQJNFMRZIHGCRJ
|
|
Proposal # 1402 Similarity: 4.73ppm NPCTXWOOMKRIFI
|
Proposal # 1403 Similarity: 4.73ppm SVRVSKDJDZQAML
|
Proposal # 1404 Similarity: 4.73ppm MKCLJYNFLBZIQW
|
|
Proposal # 1405 Similarity: 4.74ppm BIYCHLWBBFNUDM
|
Proposal # 1406 Similarity: 4.74ppm CUQWSNBKYALHTQ
|
Proposal # 1407 Similarity: 4.74ppm VCPZPCNJJXYNJD
|
|
Proposal # 1408 Similarity: 4.74ppm SSHDAQXOBICBEH
|
Proposal # 1409 Similarity: 4.74ppm UEHGCLQQBINYHN
|
Proposal # 1410 Similarity: 4.74ppm QIXBWCDYLVHJPF
|
|
Proposal # 1411 Similarity: 4.74ppm GGSIPLPWVOQQDX
|
Proposal # 1412 Similarity: 4.75ppm NFLBKGYQWMAQOX
|
Proposal # 1413 Similarity: 4.75ppm QCDDLDCGRJBULR
|
|
Proposal # 1414 Similarity: 4.75ppm DWOFPBNFAFMNAG
|
Proposal # 1415 Similarity: 4.75ppm CHBIJDNUGWSJRM
|
Proposal # 1416 Similarity: 4.75ppm PBUWWDYONQXKNF
|
|
Proposal # 1417 Similarity: 4.75ppm KQBXRMLHGZUNHH
|
Proposal # 1418 Similarity: 4.75ppm FQMAACSQSXWXMA
|
Proposal # 1419 Similarity: 4.75ppm YIOMHIXCKZSLGJ
|
|
Proposal # 1420 Similarity: 4.75ppm NIOPHBKILQSOJI
|
Proposal # 1421 Similarity: 4.75ppm OVIROOOHKKLKOA
|
Proposal # 1422 Similarity: 4.75ppm RLVIJCZPZTYDTO
|
|
Proposal # 1423 Similarity: 4.75ppm OWLROEIAHPFKQQ
|
Proposal # 1424 Similarity: 4.76ppm IBWXYXDZLPQGPL
|
Proposal # 1425 Similarity: 4.76ppm XEDGJPKVFUSQOL
|
|
Proposal # 1426 Similarity: 4.76ppm OQDPEAJCNGVWCE
|
Proposal # 1427 Similarity: 4.76ppm PVIYPCLFFGJZEB
|
Proposal # 1428 Similarity: 4.76ppm PNWHOEXMJZSYTI
|
|
Proposal # 1429 Similarity: 4.76ppm ZNQPCRWVVLTQJX
|
Proposal # 1430 Similarity: 4.76ppm XZZCCFIPJLARGY
|
Proposal # 1431 Similarity: 4.76ppm WWDIGQYUQXVTBO
|
|
Proposal # 1432 Similarity: 4.76ppm YMQRGEFSVQSKEM
|
Proposal # 1433 Similarity: 4.76ppm DHPXCFNSEHPAKO
|
Proposal # 1434 Similarity: 4.76ppm AYVKWXSPAGTDNZ
|
|
Proposal # 1435 Similarity: 4.76ppm DFPAVVDJAULWCI
|
Proposal # 1436 Similarity: 4.76ppm DWIHFHHGFLUOIO
|
Proposal # 1437 Similarity: 4.76ppm AOCRUDQYWSEDSF
|
|
Proposal # 1438 Similarity: 4.77ppm WZATWURPCSNGCG
|
Proposal # 1439 Similarity: 4.77ppm XLKMGNXABANBGL
|
Proposal # 1440 Similarity: 4.77ppm QBBVXROWQMMNDE
|
|
Proposal # 1441 Similarity: 4.77ppm SDEFPOMNLRQJSK
|
Proposal # 1442 Similarity: 4.77ppm OOUQHPDOGWJBJP
|
Proposal # 1443 Similarity: 4.77ppm PUNVENJTDIJEHZ
|
|
Proposal # 1444 Similarity: 4.77ppm ZGNAKGIXLFOWEE
|
Proposal # 1445 Similarity: 4.77ppm RJRRYKKIRXAMIB
|
Proposal # 1446 Similarity: 4.77ppm YQXUTNVJQYIHKL
|
|
Proposal # 1447 Similarity: 4.77ppm VEGRIWIVPOEWAP
|
Proposal # 1448 Similarity: 4.77ppm XZQJTJSSIPAWLM
|
Proposal # 1449 Similarity: 4.77ppm ZWNCMLJSIRWHJR
|
|
Proposal # 1450 Similarity: 4.77ppm JPCSOSPDZCUYMX
|
Proposal # 1451 Similarity: 4.77ppm MXIVMKOKKFQMTF
|
Proposal # 1452 Similarity: 4.78ppm YVXSAROVZUNMIJ
|
|
Proposal # 1453 Similarity: 4.78ppm VGHBNQCQBZDUBR
|
Proposal # 1454 Similarity: 4.78ppm JYIRTBMCEFMBBI
|
Proposal # 1455 Similarity: 4.78ppm NMJGKWBFAIRPDC
|
|
Proposal # 1456 Similarity: 4.78ppm YBOGLADAZAHASB
|
Proposal # 1457 Similarity: 4.78ppm NCNVDPJWJRVILH
|
Proposal # 1458 Similarity: 4.78ppm IXNRHRQPPWRSOO
|
|
Proposal # 1459 Similarity: 4.78ppm YXLAGITVHCCTQZ
|
Proposal # 1460 Similarity: 4.78ppm PFVXZJUASKEUEQ
|
Proposal # 1461 Similarity: 4.78ppm XTQHRRPXPHHPHB
|
|
Proposal # 1462 Similarity: 4.78ppm MSUXQLVGOOYJTE
|
Proposal # 1463 Similarity: 4.78ppm YMUSSUHVKCPMFT
|
Proposal # 1464 Similarity: 4.78ppm PQONMIVTQDNYNJ
|
|
Proposal # 1465 Similarity: 4.78ppm AIKVASAGABESLJ
|
Proposal # 1466 Similarity: 4.78ppm PRHNAQNNZCVBNI
|
Proposal # 1467 Similarity: 4.78ppm GENUUZPYTMXWFL
|
|
Proposal # 1468 Similarity: 4.78ppm WNCPBPNZRWATLW
|
Proposal # 1469 Similarity: 4.78ppm GKUFQPBLUQDUTH
|
Proposal # 1470 Similarity: 4.78ppm KIGKDQAHAYYQIN
|
|
Proposal # 1471 Similarity: 4.79ppm CIDCJPBQTFNQBU
|
Proposal # 1472 Similarity: 4.79ppm ZNDMECAWFMHLJP
|
Proposal # 1473 Similarity: 4.79ppm SLOHLDHHLRRKFE
|
|
Proposal # 1474 Similarity: 4.79ppm BRQHWAHRLDHMHE
|
Proposal # 1475 Similarity: 4.79ppm CIESSGMMENEENY
|
Proposal # 1476 Similarity: 4.79ppm UEEUBQNRMNZNBJ
|
|
Proposal # 1477 Similarity: 4.79ppm JNWDFKYEPUHULG
|
Proposal # 1478 Similarity: 4.79ppm SIQFZNDTSUPYTA
|
Proposal # 1479 Similarity: 4.79ppm JNVWNEXQOYMLMI
|
|
Proposal # 1480 Similarity: 4.79ppm TZPJXSCLFINTQQ
|
Proposal # 1481 Similarity: 4.79ppm UDMRUYIRDJCLLV
|
Proposal # 1482 Similarity: 4.80ppm BPFHCKUBBUFLSI
|
|
Proposal # 1483 Similarity: 4.80ppm RVBWUVZNUVUQRZ
|
Proposal # 1484 Similarity: 4.80ppm YNKNCIYGCOUZBV
|
Proposal # 1485 Similarity: 4.80ppm RRJLJXMJMFQMAQ
|
|
Proposal # 1486 Similarity: 4.80ppm ONAFXLXHNPQLFN
|
Proposal # 1487 Similarity: 4.80ppm OGATZCASOGCMET
|
Proposal # 1488 Similarity: 4.80ppm PXXDVLAMQGEZJB
|
|
Proposal # 1489 Similarity: 4.80ppm FOYXCMRDVDVLQW
|
Proposal # 1490 Similarity: 4.80ppm BSIJGJRAYPLGAF
|
Proposal # 1491 Similarity: 4.80ppm ODPVRTHTIPWENN
|
|
Proposal # 1492 Similarity: 4.80ppm VKSANWPDYSWBBS
|
Proposal # 1493 Similarity: 4.80ppm NPGODZBUAORHCZ
|
Proposal # 1494 Similarity: 4.81ppm NKNSNUJDWGAMMT
|
|
Proposal # 1495 Similarity: 4.81ppm WYQCUTVCYBQOCS
|
Proposal # 1496 Similarity: 4.81ppm UJJZHJVNLODODX
|
Proposal # 1497 Similarity: 4.81ppm OGLOLCWAFADGMC
|
|
Proposal # 1498 Similarity: 4.81ppm GDQLIUOBAAMXSH
|
Proposal # 1499 Similarity: 4.81ppm OUEHUCGHLMUDFI
|
Proposal # 1500 Similarity: 4.81ppm JDNNUTUPSKZURV
|
|
Proposal # 1501 Similarity: 4.81ppm DBJUMXYOOLHCJS
|
Proposal # 1502 Similarity: 4.81ppm LNUYDHYVBXQIPI
|
Proposal # 1503 Similarity: 4.81ppm CBISLHQCNMFXQM
|
|
Proposal # 1504 Similarity: 4.81ppm NGWWPLJIXCPHQM
|
Proposal # 1505 Similarity: 4.81ppm YUKAHJDAUFVBMP
|
Proposal # 1506 Similarity: 4.81ppm YPVFIFAPJPVULU
|
|
Proposal # 1507 Similarity: 4.81ppm ZSXXDHXXERHJDO
|
Proposal # 1508 Similarity: 4.81ppm YSVORPWLLDUGJV
|
Proposal # 1509 Similarity: 4.81ppm SLEBKJQILKTLIW
|
|
Proposal # 1510 Similarity: 4.82ppm YBUMAXRZTUVAHZ
|
Proposal # 1511 Similarity: 4.82ppm AOBDYWUPYVQKBZ
|
Proposal # 1512 Similarity: 4.82ppm LWYGKBWJFRUPJY
|
|
Proposal # 1513 Similarity: 4.82ppm AKHBUTUGFIGJJK
|
Proposal # 1514 Similarity: 4.82ppm CNVZEPCQGKXEFN
|
Proposal # 1515 Similarity: 4.82ppm LEMLGJHMQKGJBR
|
|
Proposal # 1516 Similarity: 4.82ppm MUTXJINPFZCTMR
|
Proposal # 1517 Similarity: 4.82ppm QQBXZLXNPPRXSS
|
Proposal # 1518 Similarity: 4.82ppm PBQQRHVBCAJWIP
|
|
Proposal # 1519 Similarity: 4.82ppm XMIFNKOORFSZPG
|
Proposal # 1520 Similarity: 4.82ppm YISCPTGWMSWYIW
|
Proposal # 1521 Similarity: 4.82ppm XAHKZCGTJANAAR
|
|
Proposal # 1522 Similarity: 4.82ppm IGHYRGWXAZHRJD
|
Proposal # 1523 Similarity: 4.82ppm JBKJCYOPTQJLJX
|
Proposal # 1524 Similarity: 4.83ppm UAGVGWHKZQNNBW
|
|
Proposal # 1525 Similarity: 4.83ppm GQMNYWKAZZGMSH
|
Proposal # 1526 Similarity: 4.83ppm SQWLWHZGUWCNJL
|
Proposal # 1527 Similarity: 4.83ppm NBUIYAQVZHPKGD
|
|
Proposal # 1528 Similarity: 4.83ppm RCBVFSMZYGEKSO
|
Proposal # 1529 Similarity: 4.83ppm MNFSTXADGMBOPR
|
Proposal # 1530 Similarity: 4.83ppm WSRXRUFVJLDQAK
|
|
Proposal # 1531 Similarity: 4.83ppm UMSJFJBUNCIUGK
|
Proposal # 1532 Similarity: 4.83ppm QWXFPMODFHOOSW
|
Proposal # 1533 Similarity: 4.83ppm ACXXPKFAACBJNP
|
|
Proposal # 1534 Similarity: 4.83ppm AMWOOLVLHKAMDO
|
Proposal # 1535 Similarity: 4.83ppm BLAGXJRLSZUUCZ
|
Proposal # 1536 Similarity: 4.83ppm WBZAABSKFFFTGK
|
|
Proposal # 1537 Similarity: 4.83ppm RWSPSIDPVJEJFA
|
Proposal # 1538 Similarity: 4.83ppm LOJFGDJYDCQWRB
|
Proposal # 1539 Similarity: 4.83ppm DVKYQIQXZMGKRD
|
|
Proposal # 1540 Similarity: 4.83ppm ANTHEMJLMNLSOA
|
Proposal # 1541 Similarity: 4.84ppm PZBKBCUARIWHSZ
|
Proposal # 1542 Similarity: 4.84ppm OSQVEVSRTPAIAU
|
|
Proposal # 1543 Similarity: 4.84ppm MAYCLEUNSGGNKY
|
Proposal # 1544 Similarity: 4.84ppm ARLVYHQOWHKREQ
|
Proposal # 1545 Similarity: 4.84ppm GGTLKKZVROJJHZ
|
|
Proposal # 1546 Similarity: 4.84ppm DSEDCBUUENIAEJ
|
Proposal # 1547 Similarity: 4.84ppm ZEALPFVOTZPUQO
|
Proposal # 1548 Similarity: 4.84ppm HWUSQSZKUOCQGD
|
|
Proposal # 1549 Similarity: 4.84ppm UMPIZJZHKWEAIT
|
Proposal # 1550 Similarity: 4.84ppm DPGZLDRBJNJJEI
|
Proposal # 1551 Similarity: 4.84ppm OLHLHJLCCGXCSY
|
|
Proposal # 1552 Similarity: 4.84ppm ACVFBQYMBABUNA
|
Proposal # 1553 Similarity: 4.84ppm QQVPQKUBPJHKNO
|
Proposal # 1554 Similarity: 4.84ppm UUPGSUHFYSINLR
|
|
Proposal # 1555 Similarity: 4.84ppm WNBSFNJOYGGRNZ
|
Proposal # 1556 Similarity: 4.84ppm BXQHRUWZOSBKIJ
|
Proposal # 1557 Similarity: 4.84ppm NTNMHTQKEARWHS
|
|
Proposal # 1558 Similarity: 4.85ppm JLARLDCORGAAFS
|
Proposal # 1559 Similarity: 4.85ppm YMLZCVZMWZIGQJ
|
Proposal # 1560 Similarity: 4.85ppm RQMKNYCLALMGSF
|
|
Proposal # 1561 Similarity: 4.85ppm OQFCJUNZWRYLHI
|
Proposal # 1562 Similarity: 4.85ppm PPRARBVMUKSDRD
|
Proposal # 1563 Similarity: 4.85ppm QEAHHVQLPYDUCI
|
|
Proposal # 1564 Similarity: 4.85ppm JMDQJSNKPMCJGS
|
Proposal # 1565 Similarity: 4.85ppm NRUROVKRSIVWAT
|
Proposal # 1566 Similarity: 4.85ppm OIQPNMBWGJCEQK
|
|
Proposal # 1567 Similarity: 4.85ppm MNEHVAIBYFUVRZ
|
Proposal # 1568 Similarity: 4.85ppm JEXZNGVANSWKTC
|
Proposal # 1569 Similarity: 4.85ppm VZEVMOIOGIVUTA
|
|
Proposal # 1570 Similarity: 4.85ppm YKTJBPOFGRHZAN
|
Proposal # 1571 Similarity: 4.85ppm BWLJKVLFIDBTOG
|
Proposal # 1572 Similarity: 4.86ppm XUEYAFXGCRMOBR
|
|
Proposal # 1573 Similarity: 4.86ppm PESCGDKIXOHNNF
|
Proposal # 1574 Similarity: 4.86ppm UEHFSFFRJHDDFX
|
Proposal # 1575 Similarity: 4.86ppm AVOKICYLZHYYJT
|
|
Proposal # 1576 Similarity: 4.86ppm HPQIVPSGDHZZQN
|
Proposal # 1577 Similarity: 4.86ppm NVASDMKMHZJMSN
|
Proposal # 1578 Similarity: 4.86ppm SYZIZTWNXUFFFM
|
|
Proposal # 1579 Similarity: 4.86ppm AYNXZUBRRIJZCU
|
Proposal # 1580 Similarity: 4.86ppm MGWCZEBKZLCZTP
|
Proposal # 1581 Similarity: 4.86ppm FIPTXCMBPOYEGD
|
|
Proposal # 1582 Similarity: 4.86ppm ACXJQNONXLDGOP
|
Proposal # 1583 Similarity: 4.86ppm IUMIDNLEUJNIIH
|
Proposal # 1584 Similarity: 4.86ppm ONKLWDNQNICUAD
|
|
Proposal # 1585 Similarity: 4.86ppm BFTJDRBUBYHVNY
|
Proposal # 1586 Similarity: 4.87ppm WAMYMKCVYZVECQ
|
Proposal # 1587 Similarity: 4.87ppm KTKFTXFXANYERE
|
|
Proposal # 1588 Similarity: 4.87ppm JORCLERIRGSRPD
|
Proposal # 1589 Similarity: 4.87ppm QGAPZOIFYUOETI
|
Proposal # 1590 Similarity: 4.87ppm ZVNIYYZNPXKLPU
|
|
Proposal # 1591 Similarity: 4.87ppm MFNLWZOPEYCALV
|
Proposal # 1592 Similarity: 4.87ppm CECBVMHPXUVJBW
|
Proposal # 1593 Similarity: 4.87ppm MUSLRWGXOTZGEG
|
|
Proposal # 1594 Similarity: 4.87ppm VGHRECHXKSUDOP
|
Proposal # 1595 Similarity: 4.87ppm YMEOLDNFNJLHHF
|
Proposal # 1596 Similarity: 4.87ppm IFBPETAVTGINRI
|
|
Proposal # 1597 Similarity: 4.87ppm ZBTNZBWLLOTTII
|
Proposal # 1598 Similarity: 4.87ppm RRKULIHFYRHPQM
|
Proposal # 1599 Similarity: 4.87ppm KBUABPJUDQQXQL
|
|
Proposal # 1600 Similarity: 4.87ppm TWRIUGWBFDRBJX
|
Proposal # 1601 Similarity: 4.87ppm DZKJAIGVFRXTAX
|
Proposal # 1602 Similarity: 4.88ppm VIELXAZVOMKYSE
|
|
Proposal # 1603 Similarity: 4.88ppm XYERHQSLLDXMEO
|
Proposal # 1604 Similarity: 4.88ppm PBTNYJWBEOLSDF
|
Proposal # 1605 Similarity: 4.88ppm YXZZJAJAEIYYBA
|
|
Proposal # 1606 Similarity: 4.88ppm GQPKFDGKNAOLFK
|
Proposal # 1607 Similarity: 4.88ppm PZFSUGKSLPTDHL
|
Proposal # 1608 Similarity: 4.88ppm UKTHKZJBIATKOX
|
|
Proposal # 1609 Similarity: 4.88ppm SQUWARCXGJFSNH
|
Proposal # 1610 Similarity: 4.88ppm BGAICCWJTSFCEO
|
Proposal # 1611 Similarity: 4.88ppm WTTQXDLFUPYIGT
|
|
Proposal # 1612 Similarity: 4.89ppm OKKKXORNTGEFBJ
|
Proposal # 1613 Similarity: 4.89ppm VFGNLFBHQNKLPI
|
Proposal # 1614 Similarity: 4.89ppm PPTUDCKUSHRBOV
|
|
Proposal # 1615 Similarity: 4.89ppm SMIUQARUBDBIHM
|
Proposal # 1616 Similarity: 4.89ppm ZAXDRZFCTAWRIJ
|
Proposal # 1617 Similarity: 4.89ppm YVNYATQMRDIWJG
|
|
Proposal # 1618 Similarity: 4.89ppm SZNIHNMEPUNTCM
|
Proposal # 1619 Similarity: 4.89ppm DRPXCUORZPDIDD
|
Proposal # 1620 Similarity: 4.89ppm KSVFAIUBXIOJHU
|
|
Proposal # 1621 Similarity: 4.89ppm FTAMCRYDYLTUJQ
|
Proposal # 1622 Similarity: 4.89ppm XTMXTMSDOMZADL
|
Proposal # 1623 Similarity: 4.89ppm OIKPZJAJAQQBEY
|
|
Proposal # 1624 Similarity: 4.90ppm IOCPHXLCSZWBHV
|
Proposal # 1625 Similarity: 4.90ppm VUTFQZBWJGSIDE
|
Proposal # 1626 Similarity: 4.90ppm XMHQJDIWMMCNOD
|
|
Proposal # 1627 Similarity: 4.90ppm STAJGUHQTPINDU
|
Proposal # 1628 Similarity: 4.90ppm UPMXLBHQMWQIRA
|
Proposal # 1629 Similarity: 4.90ppm HXQYLFRQLGHOTH
|
|
Proposal # 1630 Similarity: 4.90ppm ZRGMMCPIJFECDD
|
Proposal # 1631 Similarity: 4.90ppm WWUOLRCOGLSWDS
|
Proposal # 1632 Similarity: 4.91ppm OQEIAPNNOPWQTQ
|
|
Proposal # 1633 Similarity: 4.91ppm FWJBTZGJRHSOAE
|
Proposal # 1634 Similarity: 4.91ppm QIADITQLJJGFDU
|
Proposal # 1635 Similarity: 4.91ppm ABZBAJWHGVFJRM
|
|
Proposal # 1636 Similarity: 4.91ppm WFFMWIBOUNUTPV
|
Proposal # 1637 Similarity: 4.91ppm FYCHXJWMHVUOCG
|
Proposal # 1638 Similarity: 4.91ppm WQQFDJMDILOSRO
|
|
Proposal # 1639 Similarity: 4.91ppm XYWWMAHRLZLHKK
|
Proposal # 1640 Similarity: 4.91ppm MMTVASUYXZKFNV
|
Proposal # 1641 Similarity: 4.91ppm BPPZYBZZJQAMMV
|
|
Proposal # 1642 Similarity: 4.91ppm WKPJJCBHSHMRNB
|
Proposal # 1643 Similarity: 4.91ppm ONHYIBKNOMXFMV
|
Proposal # 1644 Similarity: 4.91ppm FARGPPPXFDAIBO
|
|
Proposal # 1645 Similarity: 4.92ppm YOYCOTQPBRCPFX
|
Proposal # 1646 Similarity: 4.92ppm DFOWXDFUDSLRKV
|
Proposal # 1647 Similarity: 4.92ppm AAZRFAZFIGOIGG
|
|
Proposal # 1648 Similarity: 4.92ppm HPIJMFNKIULUQR
|
Proposal # 1649 Similarity: 4.92ppm RPIRQBYTSINWGX
|
Proposal # 1650 Similarity: 4.92ppm YPWMIUHCFNCBKE
|
|
Proposal # 1651 Similarity: 4.92ppm CFQYQEVNXZCWHE
|
Proposal # 1652 Similarity: 4.92ppm SXCSZLGRICXHHA
|
Proposal # 1653 Similarity: 4.92ppm OPSZWQCGZZJXTK
|
|
Proposal # 1654 Similarity: 4.92ppm NZKYXCRKXDQROX
|
Proposal # 1655 Similarity: 4.92ppm FOVPXFAKJBLSTM
|
Proposal # 1656 Similarity: 4.92ppm RXKLXONRUUBLNU
|
|
Proposal # 1657 Similarity: 4.92ppm JSNSJKIAXDACIH
|
Proposal # 1658 Similarity: 4.92ppm KESLMMWZCSUKHF
|
Proposal # 1659 Similarity: 4.93ppm NTOGVENZLJFWNZ
|
|
Proposal # 1660 Similarity: 4.93ppm GAFOWUHRGQGKMZ
|
Proposal # 1661 Similarity: 4.93ppm HLBIXJSMMXAKJD
|
Proposal # 1662 Similarity: 4.93ppm RSPZVMNCKFUBBU
|
|
Proposal # 1663 Similarity: 4.93ppm IEQGNRSRWUQVMW
|
Proposal # 1664 Similarity: 4.93ppm ZTDPXMDYAHYNNL
|
Proposal # 1665 Similarity: 4.93ppm YJPHNENWPHNKQC
|
|
Proposal # 1666 Similarity: 4.93ppm YDGXRWRRECCANH
|
Proposal # 1667 Similarity: 4.93ppm ULVWJAPTFVJPFL
|
Proposal # 1668 Similarity: 4.93ppm WHSTYJFQNMQRRV
|
|
Proposal # 1669 Similarity: 4.93ppm YKELNHUHHSTBFF
|
Proposal # 1670 Similarity: 4.93ppm CCDIOAYWJKNNQJ
|
Proposal # 1671 Similarity: 4.93ppm ZFUNVQOVYKXDTL
|
|
Proposal # 1672 Similarity: 4.93ppm LXNDUVPEYIPUFU
|
Proposal # 1673 Similarity: 4.93ppm QDWNOVJRIITLPG
|
Proposal # 1674 Similarity: 4.93ppm MAPFPGORUGBBDT
|
|
Proposal # 1675 Similarity: 4.93ppm GKMOLVFNRIMZQS
|
Proposal # 1676 Similarity: 4.93ppm YYSDXWHUCNNHET
|
Proposal # 1677 Similarity: 4.93ppm PTRUQIBLRRONAG
|
|
Proposal # 1678 Similarity: 4.94ppm CUUJIYKMHBDMHQ
|
Proposal # 1679 Similarity: 4.94ppm ADYCUPLCYLHYNB
|
Proposal # 1680 Similarity: 4.94ppm LYQBRCRPOBEPKK
|
|
Proposal # 1681 Similarity: 4.94ppm XPIGWERKDNUMSQ
|
Proposal # 1682 Similarity: 4.94ppm ZFXVLBLPJKIWTM
|
Proposal # 1683 Similarity: 4.94ppm UCTZBZVGNQXDMY
|
|
Proposal # 1684 Similarity: 4.94ppm SONQWPZNKVYNDJ
|
Proposal # 1685 Similarity: 4.94ppm GWSTWMRXACCGNX
|
Proposal # 1686 Similarity: 4.95ppm VLVWBTHRKGSDSK
|
|
Proposal # 1687 Similarity: 4.95ppm BANUDEOTROIPHV
|
Proposal # 1688 Similarity: 4.95ppm LWNFSYWVZCZDJM
|
Proposal # 1689 Similarity: 4.95ppm CRABLDBEWPPQPR
|
|
Proposal # 1690 Similarity: 4.95ppm BWZQTZVNEBMNAP
|
Proposal # 1691 Similarity: 4.95ppm PKGZVZCRHDNVJS
|
Proposal # 1692 Similarity: 4.95ppm OGXZKEZICHTPJC
|
|
Proposal # 1693 Similarity: 4.95ppm IUSCGCYFCYAYML
|
Proposal # 1694 Similarity: 4.95ppm QDAYPZVRJBZQGZ
|
Proposal # 1695 Similarity: 4.95ppm NTLVPMUQKMFUBB
|
|
Proposal # 1696 Similarity: 4.95ppm MUMMGSFJKCWJFP
|
Proposal # 1697 Similarity: 4.95ppm VZPSKXZCRXWOLR
|
Proposal # 1698 Similarity: 4.95ppm FGQXVWXDEFPXFX
|
|
Proposal # 1699 Similarity: 4.95ppm SXLUPNKQZGBMRH
|
Proposal # 1700 Similarity: 4.95ppm PKVBKQHCGLPTQH
|
Proposal # 1701 Similarity: 4.96ppm DTODDYAIJFAUQT
|
|
Proposal # 1702 Similarity: 4.96ppm MTBBZHAKBQBDMK
|
Proposal # 1703 Similarity: 4.96ppm UBKPGMVNDOADBN
|
Proposal # 1704 Similarity: 4.96ppm NJWMRKPOINSTBB
|
|
Proposal # 1705 Similarity: 4.96ppm HIWMGLYUDWNPPM
|
Proposal # 1706 Similarity: 4.96ppm ISBLKWWQAKHDOZ
|
Proposal # 1707 Similarity: 4.96ppm CBPHPOGMQDMSAO
|
|
Proposal # 1708 Similarity: 4.96ppm NUEAWFGWXQUJRN
|
Proposal # 1709 Similarity: 4.96ppm VEPQEFHFDSGGDA
|
Proposal # 1710 Similarity: 4.96ppm CICDPXBONKPDAV
|
|
Proposal # 1711 Similarity: 4.97ppm GRMNURCMXDRCRB
|
Proposal # 1712 Similarity: 4.97ppm HXUVCPBQIQWALP
|
Proposal # 1713 Similarity: 4.97ppm OFRYVWFYQVVSRS
|
|
Proposal # 1714 Similarity: 4.97ppm VSWZCHABISFZDL
|
Proposal # 1715 Similarity: 4.97ppm LDBVODGQTQZTJD
|
Proposal # 1716 Similarity: 4.97ppm ZYIIESQIKXYWDH
|
|
Proposal # 1717 Similarity: 4.97ppm NVBRKWLWRUFEMD
|
Proposal # 1718 Similarity: 4.97ppm HSQPKRSVKJPYRJ
|
Proposal # 1719 Similarity: 4.97ppm NDOMCJVTSMUHHA
|
|
Proposal # 1720 Similarity: 4.97ppm QTMGGCYWABGXJP
|
Proposal # 1721 Similarity: 4.97ppm XSAFTCSDKZBRMS
|
Proposal # 1722 Similarity: 4.97ppm UKHBRTWCXBHVBB
|
|
Proposal # 1723 Similarity: 4.97ppm DQZOVXSDUSJIMD
|
Proposal # 1724 Similarity: 4.97ppm WZCYUIJQBLJTHC
|
Proposal # 1725 Similarity: 4.97ppm JSJGQYYCFGEBBX
|
|
Proposal # 1726 Similarity: 4.97ppm GXYVBLLJTQHGSW
|
Proposal # 1727 Similarity: 4.98ppm XMRKEHVPJBGYAX
|
Proposal # 1728 Similarity: 4.98ppm KXCIPGNUBVDDHJ
|
|
Proposal # 1729 Similarity: 4.98ppm JRHJOFNVKSBQDL
|
Proposal # 1730 Similarity: 4.98ppm RPQLASUYBWVOMP
|
Proposal # 1731 Similarity: 4.98ppm RJTYUJTYHKYJPJ
|
|
Proposal # 1732 Similarity: 4.98ppm IGAVUUMLKCLZAL
|
Proposal # 1733 Similarity: 4.98ppm OMYRSGCDGCDYDR
|
Proposal # 1734 Similarity: 4.98ppm WLPATDOVUSETGU
|
|
Proposal # 1735 Similarity: 4.98ppm LQINUYYELGCFKP
|
Proposal # 1736 Similarity: 4.98ppm VYUXSHVXZHFCGV
|
Proposal # 1737 Similarity: 4.98ppm YAFWBBBAZCSYIR
|
|
Proposal # 1738 Similarity: 4.98ppm YASZFNHUSHIDCS
|
Proposal # 1739 Similarity: 4.98ppm WNYXSTIWLUZZCQ
|
Proposal # 1740 Similarity: 4.98ppm BUXADFUPAVYBGN
|
|
Proposal # 1741 Similarity: 4.98ppm BQUBEWYLXJPEIH
|
Proposal # 1742 Similarity: 4.98ppm BOZJWXFVNALJKZ
|
Proposal # 1743 Similarity: 4.98ppm OWNDJFFYJHAVDD
|
|
Proposal # 1744 Similarity: 4.98ppm GLTWZIJAWLLZMD
|
Proposal # 1745 Similarity: 4.99ppm ZUOYCKOLYBZTDB
|
Proposal # 1746 Similarity: 4.99ppm ZZLFJGILPILWPH
|
|
Proposal # 1747 Similarity: 4.99ppm AGWWUTXQSGUXHU
|
Proposal # 1748 Similarity: 4.99ppm VFQWEKVSLPKETL
|
Proposal # 1749 Similarity: 4.99ppm JVCVHYBMXOWUFO
|
|
Proposal # 1750 Similarity: 4.99ppm PKHKYMVWOTUCRX
|
Proposal # 1751 Similarity: 4.99ppm OOKJQZYJHRTEAE
|
Proposal # 1752 Similarity: 4.99ppm ZYBRSOKBBIRYGH
|
|
Proposal # 1753 Similarity: 4.99ppm TWISVPSKGJFERJ
|
Proposal # 1754 Similarity: 4.99ppm QFJHCYRAFSIODO
|
Proposal # 1755 Similarity: 5.00ppm WPSQBTAQMAHEQF
|
|
Proposal # 1756 Similarity: 5.00ppm ZRYRBBSTZAJCMJ
|
Proposal # 1757 Similarity: 5.00ppm OGZIUDSVCMHJEE
|
Proposal # 1758 Similarity: 5.00ppm LLSWWPGHDJNARF
|
|
Proposal # 1759 Similarity: 5.00ppm ZTNCRTANDZKEET
|
Proposal # 1760 Similarity: 5.00ppm FTTVXIBJRRXHFO
|
Proposal # 1761 Similarity: 5.00ppm MUXLFCQAWRAYPP
|
|
Proposal # 1762 Similarity: 5.00ppm LZDMHPZPNGZGBX
|
Proposal # 1763 Similarity: 5.00ppm YVEMFADLKDCWFM
|
Proposal # 1764 Similarity: 5.00ppm IWVCPSNSGPDOGP
|
|
Proposal # 1765 Similarity: 5.00ppm MKMTZBANQKEBMN
|
Proposal # 1766 Similarity: 5.00ppm OEYZWVSNQCFDPQ
|
Proposal # 1767 Similarity: 5.00ppm ODPJHGWXNNAHKS
|
|
Proposal # 1768 Similarity: 5.01ppm WMVJNJGIFUVVCF
|
Proposal # 1769 Similarity: 5.01ppm GVLNMLGJZRHGNP
|
Proposal # 1770 Similarity: 5.01ppm NZRVUDZOWPBZRW
|
|
Proposal # 1771 Similarity: 5.01ppm HRQHAABSFROZRR
|
Proposal # 1772 Similarity: 5.01ppm UAXKNSGWGRTIRS
|
Proposal # 1773 Similarity: 5.01ppm JAMFTCILIXDJLB
|
|
Proposal # 1774 Similarity: 5.01ppm MCNPBTRPZZMEPA
|
Proposal # 1775 Similarity: 5.01ppm BVMMEGWVHFDJEQ
|
Proposal # 1776 Similarity: 5.01ppm GZUUNUYMVUYNCU
|
|
Proposal # 1777 Similarity: 5.02ppm XBOMWAMVNLQXGB
|
Proposal # 1778 Similarity: 5.02ppm QEDIAAAQZXFELN
|
Proposal # 1779 Similarity: 5.02ppm KMNNGVPIMZXZHH
|
|
Proposal # 1780 Similarity: 5.02ppm KPDFZKGUPBGZAA
|
Proposal # 1781 Similarity: 5.02ppm VZKYPBHZVFWOPU
|
Proposal # 1782 Similarity: 5.02ppm GGDZCRIILMZDBP
|
|
Proposal # 1783 Similarity: 5.02ppm DAQBTUNGRQSYBR
|
Proposal # 1784 Similarity: 5.02ppm SUWHXGJWKVLFAB
|
Proposal # 1785 Similarity: 5.02ppm NIKANTVPKLNQFZ
|
|
Proposal # 1786 Similarity: 5.02ppm GKTPXYPJMKXRJK
|
Proposal # 1787 Similarity: 5.02ppm SGBNTPMMQHGCOA
|
Proposal # 1788 Similarity: 5.02ppm ONYPUTHYFRLXKA
|
|
Proposal # 1789 Similarity: 5.02ppm HLYZLJGUZYDASB
|
Proposal # 1790 Similarity: 5.02ppm ZDIXWKCVDIIEOC
|
Proposal # 1791 Similarity: 5.02ppm ODUROHMFPXOMPO
|
|
Proposal # 1792 Similarity: 5.02ppm SZGLKMDJSLUIAI
|
Proposal # 1793 Similarity: 5.03ppm CCBSQUMERSCQBT
|
Proposal # 1794 Similarity: 5.03ppm BNCMARKMTBIMDV
|
|
Proposal # 1795 Similarity: 5.03ppm JYZIINCHNXUAMW
|
Proposal # 1796 Similarity: 5.03ppm IBINBULFAUKXOP
|
Proposal # 1797 Similarity: 5.03ppm FECSGBNFTKULBS
|
|
Proposal # 1798 Similarity: 5.03ppm PLWUPDJXRCGSNM
|
Proposal # 1799 Similarity: 5.03ppm FPUJFVOMSPBTTL
|
Proposal # 1800 Similarity: 5.03ppm BQZRHYWPFWVNIT
|
|
Proposal # 1801 Similarity: 5.03ppm ALOZWKMTTRHPAP
|
Proposal # 1802 Similarity: 5.03ppm ANDTURHTFIENMS
|
Proposal # 1803 Similarity: 5.03ppm DSKQUGMEXZCOBD
|
|
Proposal # 1804 Similarity: 5.03ppm IHYSDALAHZNIQT
|
Proposal # 1805 Similarity: 5.03ppm HQWMTZHKJGOFCS
|
Proposal # 1806 Similarity: 5.03ppm GOTFGIXARBFDGO
|
|
Proposal # 1807 Similarity: 5.03ppm HPAYXBWVURRJSO
|
Proposal # 1808 Similarity: 5.04ppm WHXCFUITNXQKHZ
|
Proposal # 1809 Similarity: 5.04ppm AYOIZWAWAYZMPR
|
|
Proposal # 1810 Similarity: 5.04ppm KCBBBLFDYDDMBJ
|
Proposal # 1811 Similarity: 5.04ppm XVTGEHBBTXCFLI
|
Proposal # 1812 Similarity: 5.04ppm QZBNQRRWIOPJRL
|
|
Proposal # 1813 Similarity: 5.04ppm JQOULTLHDWWXMV
|
Proposal # 1814 Similarity: 5.04ppm XVYYAYCLOOCSPK
|
Proposal # 1815 Similarity: 5.04ppm FMNHPEHZNOPUIZ
|
|
Proposal # 1816 Similarity: 5.04ppm KXMHZIORRFCTSA
|
Proposal # 1817 Similarity: 5.04ppm QYDYJQXPBNPYNH
|
Proposal # 1818 Similarity: 5.04ppm OJPWJVGCPWSPTI
|
|
Proposal # 1819 Similarity: 5.04ppm XIZAGKYWFAUDDK
|
Proposal # 1820 Similarity: 5.04ppm ITAYETFWEKNORV
|
Proposal # 1821 Similarity: 5.04ppm ATDQVNBLDXLYEG
|
|
Proposal # 1822 Similarity: 5.04ppm BCHJKHRWKOOPDL
|
Proposal # 1823 Similarity: 5.04ppm UDPVKQNOVSQIQL
|
Proposal # 1824 Similarity: 5.05ppm VZBXMPMMRUCRGS
|
|
Proposal # 1825 Similarity: 5.05ppm NMUUTSPCYMSTKX
|
Proposal # 1826 Similarity: 5.05ppm HLXQVAWTCFLQRE
|
Proposal # 1827 Similarity: 5.05ppm NTEQQYNAXRSVIA
|
|
Proposal # 1828 Similarity: 5.05ppm BULOINCRPOPFCP
|
Proposal # 1829 Similarity: 5.05ppm FACBUMMAMBEVRK
|
Proposal # 1830 Similarity: 5.05ppm HUAHHJYUROCNEJ
|
|
Proposal # 1831 Similarity: 5.05ppm GVVUGVMQHXOYFE
|
Proposal # 1832 Similarity: 5.05ppm ZOCLKGZUDNHHOR
|
Proposal # 1833 Similarity: 5.05ppm OQRWZZNRVRJPDK
|
|
Proposal # 1834 Similarity: 5.05ppm SMAOQUHADXSWCF
|
Proposal # 1835 Similarity: 5.05ppm BLEPMBWOKLMPKB
|
Proposal # 1836 Similarity: 5.05ppm HIBSSNFHZPRNAS
|
|
Proposal # 1837 Similarity: 5.05ppm DXUODTNNYGSZMP
|
Proposal # 1838 Similarity: 5.05ppm MCRXRKQNDKHXLA
|
Proposal # 1839 Similarity: 5.05ppm ITDCYKYQIWOVLO
|
|
Proposal # 1840 Similarity: 5.06ppm YMOFRUVDHCJCFL
|
Proposal # 1841 Similarity: 5.06ppm KGPZVOUZRNVHOR
|
Proposal # 1842 Similarity: 5.06ppm KRTQLFOWSUUPHE
|
|
Proposal # 1843 Similarity: 5.06ppm FVSCNTMXIPRTNI
|
Proposal # 1844 Similarity: 5.06ppm QANMFJYYSDBPKA
|
Proposal # 1845 Similarity: 5.06ppm FUFTVUCYYJLSPD
|
|
Proposal # 1846 Similarity: 5.06ppm IITXPHDRGBCVNF
|
Proposal # 1847 Similarity: 5.06ppm JQTUHUOBBBKGEB
|
Proposal # 1848 Similarity: 5.06ppm YEQBZXPLCOKVHM
|
|
Proposal # 1849 Similarity: 5.06ppm GNUBGABGLUFRCF
|
Proposal # 1850 Similarity: 5.06ppm UJBNSZHEIKYPQN
|
Proposal # 1851 Similarity: 5.06ppm KSYREAXWHUHOSE
|
|
Proposal # 1852 Similarity: 5.07ppm HZOYZUQNQVOQPF
|
Proposal # 1853 Similarity: 5.07ppm USEDODBPDNNMBP
|
Proposal # 1854 Similarity: 5.07ppm QNNOVYMUTUTQOH
|
|
Proposal # 1855 Similarity: 5.07ppm PBIJNVYFEWSEPN
|
Proposal # 1856 Similarity: 5.07ppm PFYMDYZZWSCEHV
|
Proposal # 1857 Similarity: 5.07ppm WDENVNWHSSBVGS
|
|
Proposal # 1858 Similarity: 5.07ppm FZQYUIBTNZZQHD
|
Proposal # 1859 Similarity: 5.07ppm NIDSXAFYKJQMFL
|
Proposal # 1860 Similarity: 5.07ppm MDOQIKYEJDTSLM
|
|
Proposal # 1861 Similarity: 5.07ppm HMUGUGUJKUNZIX
|
Proposal # 1862 Similarity: 5.07ppm ZAZFTHYKRWNUJQ
|
Proposal # 1863 Similarity: 5.08ppm FITDOEGTTUUPAA
|
|
Proposal # 1864 Similarity: 5.08ppm RSHSAKJPWWRWQL
|
Proposal # 1865 Similarity: 5.08ppm DZEBYANVSLSBHC
|
Proposal # 1866 Similarity: 5.08ppm HDECVTQUFXLJOI
|
|
Proposal # 1867 Similarity: 5.08ppm SRHIRLFSQZROBP
|
Proposal # 1868 Similarity: 5.08ppm FKVQMSLWEFJGSH
|
Proposal # 1869 Similarity: 5.08ppm KDRPYIJYFLPSEJ
|
|
Proposal # 1870 Similarity: 5.08ppm LZISVZURZNMQRP
|
Proposal # 1871 Similarity: 5.08ppm WZRDENWQPCCXKV
|
Proposal # 1872 Similarity: 5.08ppm PZLDSTITKPMDHS
|
|
Proposal # 1873 Similarity: 5.08ppm CINGSDPAMLWEJR
|
Proposal # 1874 Similarity: 5.08ppm ZUNUUWASBHPSSZ
|
Proposal # 1875 Similarity: 5.08ppm OKYZQZWPFVARRC
|
|
Proposal # 1876 Similarity: 5.08ppm RPVVZDNIWGYGLS
|
Proposal # 1877 Similarity: 5.09ppm QYAXTCPEIXWMKF
|
Proposal # 1878 Similarity: 5.09ppm ZAUFYOXEULRCCP
|
|
Proposal # 1879 Similarity: 5.09ppm PGOPSAVHCOXCQG
|
Proposal # 1880 Similarity: 5.09ppm CEZXWMSBYXOCSD
|
Proposal # 1881 Similarity: 5.09ppm JPBVDQOKIHJJLT
|
|
Proposal # 1882 Similarity: 5.09ppm JIVNBPAXTNTVTL
|
Proposal # 1883 Similarity: 5.09ppm RZGDTOZEBSVLDF
|
Proposal # 1884 Similarity: 5.09ppm PWVJGLWXGPWHCF
|
|
Proposal # 1885 Similarity: 5.09ppm ZFXUVJLQENQWEK
|
Proposal # 1886 Similarity: 5.10ppm YQNCVMJLZYUBEW
|
Proposal # 1887 Similarity: 5.10ppm FBKJAIKKCIXWPD
|
|
Proposal # 1888 Similarity: 5.10ppm JAPQZBXJPTUDTJ
|
Proposal # 1889 Similarity: 5.10ppm HCNJXOISAALULA
|
Proposal # 1890 Similarity: 5.10ppm QCTAIRPJAGZHHN
|
|
Proposal # 1891 Similarity: 5.10ppm QBCNNMQQJRRLQY
|
Proposal # 1892 Similarity: 5.10ppm NPZGEXIZDAISAJ
|
Proposal # 1893 Similarity: 5.10ppm NPGPWXPHEPTJQG
|
|
Proposal # 1894 Similarity: 5.10ppm ARUBQMDXEQLELB
|
Proposal # 1895 Similarity: 5.10ppm MZENOJFRNQESNZ
|
Proposal # 1896 Similarity: 5.10ppm AQLWWALACRCMBE
|
|
Proposal # 1897 Similarity: 5.10ppm DIDFNCXMNGMPQO
|
Proposal # 1898 Similarity: 5.10ppm XLYQCVQHJUYLSE
|
Proposal # 1899 Similarity: 5.10ppm JVTNWCXDTNHEDR
|
|
Proposal # 1900 Similarity: 5.10ppm PBWNGTMWRHUSCH
|
Proposal # 1901 Similarity: 5.10ppm WQHGSFUMLUQDFM
|
Proposal # 1902 Similarity: 5.11ppm CFYHBUQZIMZQMV
|
|
Proposal # 1903 Similarity: 5.11ppm QXEHKURKYJCLNC
|
Proposal # 1904 Similarity: 5.11ppm QVXIBOYXPFSFTB
|
Proposal # 1905 Similarity: 5.11ppm PVEGXBFAWRSXBI
|
|
Proposal # 1906 Similarity: 5.11ppm WBWWYCAHLASPNI
|
Proposal # 1907 Similarity: 5.11ppm BXTXIDIYCNQZDB
|
Proposal # 1908 Similarity: 5.11ppm BKXWYKWBFZHDKQ
|
|
Proposal # 1909 Similarity: 5.11ppm FRXPBTDOCQDWQW
|
Proposal # 1910 Similarity: 5.11ppm XAXDSVABFYVIQM
|
Proposal # 1911 Similarity: 5.11ppm BQZNQBWAOXYANH
|
|
Proposal # 1912 Similarity: 5.11ppm WFIIGXADCGXDMX
|
Proposal # 1913 Similarity: 5.11ppm WRJXERVWRMUKAR
|
Proposal # 1914 Similarity: 5.11ppm BHCHACIRNBNWFX
|
|
Proposal # 1915 Similarity: 5.11ppm HMESRLLCXKAJBF
|
Proposal # 1916 Similarity: 5.11ppm QOUIEUPDEUGBSK
|
Proposal # 1917 Similarity: 5.12ppm QQJZCXJAGFVJLK
|
|
Proposal # 1918 Similarity: 5.12ppm WNOXORQWJDZBJS
|
Proposal # 1919 Similarity: 5.12ppm HVRVKMUORZFXFK
|
Proposal # 1920 Similarity: 5.12ppm SKHORJOOLINQBJ
|
|
Proposal # 1921 Similarity: 5.12ppm RLHKHHKSUPYIQP
|
Proposal # 1922 Similarity: 5.12ppm UKLUJKMDMUYFPJ
|
Proposal # 1923 Similarity: 5.12ppm SHPVXCOJBLWJPX
|
|
Proposal # 1924 Similarity: 5.12ppm NDLYQLKFKSOFJZ
|
Proposal # 1925 Similarity: 5.12ppm NRJDOJDKRMYNDG
|
Proposal # 1926 Similarity: 5.12ppm IWFOADAJVPBOIH
|
|
Proposal # 1927 Similarity: 5.12ppm DEDSOASIEVCNOX
|
Proposal # 1928 Similarity: 5.13ppm JPOLWQKWMFJRFL
|
Proposal # 1929 Similarity: 5.13ppm INQJMLMYALMSCL
|
|
Proposal # 1930 Similarity: 5.13ppm PVXGAPGFXHHMJT
|
Proposal # 1931 Similarity: 5.13ppm PNQIPIIUEYZFKE
|
Proposal # 1932 Similarity: 5.13ppm LFLFEWPRWCKEMI
|
|
Proposal # 1933 Similarity: 5.13ppm FOKCWGOHFJTPKH
|
Proposal # 1934 Similarity: 5.13ppm HHIXEHXMMIPDCJ
|
Proposal # 1935 Similarity: 5.13ppm JSFFKXLSEPRGDI
|
|
Proposal # 1936 Similarity: 5.13ppm VANQJBWJARBBSD
|
Proposal # 1937 Similarity: 5.13ppm HUKAOJNGHUOHOR
|
Proposal # 1938 Similarity: 5.13ppm ZLHMPXNSSAMXPQ
|
|
Proposal # 1939 Similarity: 5.13ppm XRIKABXJLYWQEV
|
Proposal # 1940 Similarity: 5.14ppm LNGHFFGTLMFHPM
|
Proposal # 1941 Similarity: 5.14ppm AQEYZGDVNGUWSV
|
|
Proposal # 1942 Similarity: 5.14ppm AOBSNLBRNNHUOU
|
Proposal # 1943 Similarity: 5.14ppm HVTJGCFKHHNKAX
|
Proposal # 1944 Similarity: 5.14ppm KBFCSSDIRJREFM
|
|
Proposal # 1945 Similarity: 5.14ppm NBDUJWXNGVPEJI
|
Proposal # 1946 Similarity: 5.14ppm ULSPUEVTJYDLSG
|
Proposal # 1947 Similarity: 5.14ppm FXNXQZPNOVVJPY
|
|
Proposal # 1948 Similarity: 5.14ppm SMKLZZXAJYZZSD
|
Proposal # 1949 Similarity: 5.15ppm MZDXGXJBJBVAQW
|
Proposal # 1950 Similarity: 5.15ppm QGCRQNLRIWMIHR
|
|
Proposal # 1951 Similarity: 5.15ppm RDGPGOIIUYYEMO
|
Proposal # 1952 Similarity: 5.15ppm GFQJCBSNYFFLBU
|
Proposal # 1953 Similarity: 5.15ppm LBMJVICKMVCNGV
|
|
Proposal # 1954 Similarity: 5.15ppm WJFSHYXGGBXAFJ
|
Proposal # 1955 Similarity: 5.15ppm YVWWOVKIFHJVSF
|
Proposal # 1956 Similarity: 5.15ppm STLOJKYLCBOCLP
|
|
Proposal # 1957 Similarity: 5.15ppm JQUWWBYBZOQADM
|
Proposal # 1958 Similarity: 5.15ppm ZPIZZIKUOVCPIN
|
Proposal # 1959 Similarity: 5.15ppm UFVWMZZYEAXXIY
|
|
Proposal # 1960 Similarity: 5.16ppm SHZCFOKXHXTNJK
|
Proposal # 1961 Similarity: 5.16ppm MCULGDAYYZJZAN
|
Proposal # 1962 Similarity: 5.16ppm UIMBDTOKWDADNP
|
|
Proposal # 1963 Similarity: 5.16ppm QNEFYYQIOKJSGS
|
Proposal # 1964 Similarity: 5.16ppm GVMOMNXCJOEAQU
|
Proposal # 1965 Similarity: 5.16ppm GJBUNOSZVGIJRZ
|
|
Proposal # 1966 Similarity: 5.16ppm OWNSYKGCBJKDMB
|
Proposal # 1967 Similarity: 5.16ppm IFRQSEHKGCJFEA
|
Proposal # 1968 Similarity: 5.16ppm HMHNMMHVIMBWFJ
|
|
Proposal # 1969 Similarity: 5.17ppm XNWAWHPFDMCFHM
|
Proposal # 1970 Similarity: 5.17ppm LHJJBRTWGXNVIR
|
Proposal # 1971 Similarity: 5.17ppm OIJOSBOXDSRPJN
|
|
Proposal # 1972 Similarity: 5.17ppm HDDFLQYYDLVYEV
|
Proposal # 1973 Similarity: 5.17ppm BMECZXRHGUHTRG
|
Proposal # 1974 Similarity: 5.17ppm UHAKLGFGHFSBJG
|
|
Proposal # 1975 Similarity: 5.17ppm HIXPSTBOYZNRHV
|
Proposal # 1976 Similarity: 5.17ppm DKAHPHMMSTXHPG
|
Proposal # 1977 Similarity: 5.17ppm AMXQKMABFZMTTF
|
|
Proposal # 1978 Similarity: 5.17ppm ONVKXQLGBJUREF
|
Proposal # 1979 Similarity: 5.18ppm NWIOHIMHCQCSEM
|
Proposal # 1980 Similarity: 5.18ppm ARLKAILWUXTNPU
|
|
Proposal # 1981 Similarity: 5.18ppm GJAKKLPKNAHYDE
|
Proposal # 1982 Similarity: 5.18ppm JKZYVJJWHVTUKI
|
Proposal # 1983 Similarity: 5.18ppm ZCBCPBJQZGIUBF
|
|
Proposal # 1984 Similarity: 5.18ppm UCNCAMNHJKPXAZ
|
Proposal # 1985 Similarity: 5.18ppm MRLOTMKPQGNODZ
|
Proposal # 1986 Similarity: 5.18ppm KYHWTWGKINUYKB
|
|
Proposal # 1987 Similarity: 5.18ppm NZAHYUZCBGJSMA
|
Proposal # 1988 Similarity: 5.18ppm XBZWQCCQRGCDNS
|
Proposal # 1989 Similarity: 5.18ppm HJICKDSVMKGRIN
|
|
Proposal # 1990 Similarity: 5.18ppm QBVQQIUAAUPBIT
|
Proposal # 1991 Similarity: 5.18ppm VDJHWSLTJCGQOR
|
Proposal # 1992 Similarity: 5.18ppm FPOHKGQQELCGDZ
|
|
Proposal # 1993 Similarity: 5.18ppm NKMASIYNXRLPIB
|
Proposal # 1994 Similarity: 5.19ppm CDUXHPYDAUFROI
|
Proposal # 1995 Similarity: 5.19ppm MFGOQSICFKJTDO
|
|
Proposal # 1996 Similarity: 5.19ppm PTVFFZZBZANGGR
|
Proposal # 1997 Similarity: 5.19ppm SZOJVISNWYEXFQ
|
Proposal # 1998 Similarity: 5.19ppm PQDZWLFMOIRZGB
|
|
Proposal # 1999 Similarity: 5.19ppm TWQGTGPXVTVXIL
|
Proposal # 2000 Similarity: 5.19ppm ABOSBIJJWYXHQA
|
Proposal # 2001 Similarity: 5.19ppm BTEXXVHSTREYHF
|
|
Proposal # 2002 Similarity: 5.20ppm MQYDOZKDDFDROB
|
Proposal # 2003 Similarity: 5.20ppm IDSSZZPFIKOXFF
|
Proposal # 2004 Similarity: 5.20ppm LABIPDJEOFIYSP
|
|
Proposal # 2005 Similarity: 5.20ppm PRBPNQMIBSZCME
|
Proposal # 2006 Similarity: 5.20ppm MXXZTSAXJGXQIS
|
Proposal # 2007 Similarity: 5.20ppm LRYXIEYEYXMUNA
|
|
Proposal # 2008 Similarity: 5.20ppm GTXJJEGPGPAWQG
|
Proposal # 2009 Similarity: 5.20ppm XZMUFQYHVACJAP
|
Proposal # 2010 Similarity: 5.21ppm PMYULSYWTIENFC
|
|
Proposal # 2011 Similarity: 5.21ppm BXPPKHCODHUPTA
|
Proposal # 2012 Similarity: 5.21ppm YAYJLWUQPXZXTL
|
Proposal # 2013 Similarity: 5.21ppm UPFPSTMSLLOGJC
|
|
Proposal # 2014 Similarity: 5.21ppm RYLJEFZNEJUDPF
|
Proposal # 2015 Similarity: 5.21ppm IPJJWPNINOPRGK
|
Proposal # 2016 Similarity: 5.21ppm BAYPDCOEJSJKFB
|
|
Proposal # 2017 Similarity: 5.21ppm ATHRFLBOVHFMIC
|
Proposal # 2018 Similarity: 5.21ppm KXYUHBKWVURBDM
|
Proposal # 2019 Similarity: 5.21ppm XDFDWLCPHNSBGC
|
|
Proposal # 2020 Similarity: 5.21ppm PSMKXZYPQHTLIY
|
Proposal # 2021 Similarity: 5.22ppm TVIYZONBSLTIAU
|
Proposal # 2022 Similarity: 5.22ppm DWPUJQHBATVQRJ
|
|
Proposal # 2023 Similarity: 5.22ppm MVJUSICDXGCGDG
|
Proposal # 2024 Similarity: 5.22ppm ARQQQQSWUYTBKN
|
Proposal # 2025 Similarity: 5.22ppm ZMDSRMCGWUTNIY
|
|
Proposal # 2026 Similarity: 5.22ppm HQXUXCLYYHWRAE
|
Proposal # 2027 Similarity: 5.22ppm AJFMWMUNJWSRRS
|
Proposal # 2028 Similarity: 5.22ppm PNMGLINKELBSHM
|
|
Proposal # 2029 Similarity: 5.23ppm IWFURGCSFFTTCP
|
Proposal # 2030 Similarity: 5.23ppm XMBLKTDMFAPPOT
|
Proposal # 2031 Similarity: 5.23ppm NYFOCIXETNUTOJ
|
|
Proposal # 2032 Similarity: 5.23ppm NPFRPFCLFHCWIE
|
Proposal # 2033 Similarity: 5.23ppm VPVJFAXNUNXHPC
|
Proposal # 2034 Similarity: 5.23ppm DCBIJAATDYYNJQ
|
|
Proposal # 2035 Similarity: 5.23ppm VYZGSMJBKDYVTO
|
Proposal # 2036 Similarity: 5.23ppm NKXSAZBBIOHJAX
|
Proposal # 2037 Similarity: 5.23ppm KMIVAXUQXLUHQA
|
|
Proposal # 2038 Similarity: 5.23ppm MVMBWCYOIKXJGY
|
Proposal # 2039 Similarity: 5.23ppm GZNWINGIHHUNMY
|
Proposal # 2040 Similarity: 5.23ppm SJTUXIKZDBTCCX
|
|
Proposal # 2041 Similarity: 5.23ppm ZDQHXUYMTZRIGS
|
Proposal # 2042 Similarity: 5.24ppm HWLGQHWMYIRWPC
|
Proposal # 2043 Similarity: 5.24ppm OVFPHDNCUCUKOC
|
|
Proposal # 2044 Similarity: 5.24ppm IDZHPHFCOQNRRU
|
Proposal # 2045 Similarity: 5.24ppm KAMLHNHUEIYMLL
|
Proposal # 2046 Similarity: 5.24ppm ZOWRDQLAXZVNDE
|
|
Proposal # 2047 Similarity: 5.24ppm YBOOIEJYBFFEQJ
|
Proposal # 2048 Similarity: 5.24ppm CLNIBRVRXPQCGV
|
Proposal # 2049 Similarity: 5.24ppm UZAUSRDMDQDXEL
|
|
Proposal # 2050 Similarity: 5.24ppm WMNYHCFRFOQVPA
|
Proposal # 2051 Similarity: 5.24ppm ADJAJLCWOBKIHW
|
Proposal # 2052 Similarity: 5.25ppm XIWOYCBUSXOLAZ
|
|
Proposal # 2053 Similarity: 5.25ppm XOSWYGGKLHSIDL
|
Proposal # 2054 Similarity: 5.25ppm YJZUZEBQKUCGFQ
|
Proposal # 2055 Similarity: 5.25ppm FWZYERBQBXDTTH
|
|
Proposal # 2056 Similarity: 5.25ppm NHSGBAALRJRNJM
|
Proposal # 2057 Similarity: 5.25ppm NETGNUZDWUTDSR
|
Proposal # 2058 Similarity: 5.25ppm IWBLQEXNLGVOGO
|
|
Proposal # 2059 Similarity: 5.25ppm GFUIKSVBSKHOAU
|
Proposal # 2060 Similarity: 5.25ppm WHUCJEBODDOQFE
|
Proposal # 2061 Similarity: 5.25ppm LQDXCFHELDTCIW
|
|
Proposal # 2062 Similarity: 5.25ppm PQYOTKLIROHWGZ
|
Proposal # 2063 Similarity: 5.25ppm CRZVMZRHTXXDJN
|
Proposal # 2064 Similarity: 5.25ppm HKSNEFIETCEIDC
|
|
Proposal # 2065 Similarity: 5.26ppm PJRQHUAUQBZGSS
|
Proposal # 2066 Similarity: 5.26ppm VRFUQHNPWDYWEJ
|
Proposal # 2067 Similarity: 5.26ppm KOAHXTCGXQUTKV
|
|
Proposal # 2068 Similarity: 5.26ppm PQWPGGMQGNMKSU
|
Proposal # 2069 Similarity: 5.26ppm MXGYJTGTSFCRPY
|
Proposal # 2070 Similarity: 5.26ppm QBITUVLTFVBFGZ
|
|
Proposal # 2071 Similarity: 5.26ppm GIEXYYGYAYPGCU
|
Proposal # 2072 Similarity: 5.26ppm ZUDGWHRDMIGBLA
|
Proposal # 2073 Similarity: 5.26ppm DNNMVHHCXWUZCT
|
|
Proposal # 2074 Similarity: 5.27ppm ZJEVRNFVXJHSML
|
Proposal # 2075 Similarity: 5.27ppm KOJDEEULDPZSSY
|
Proposal # 2076 Similarity: 5.27ppm ONILRNBJQAISMN
|
|
Proposal # 2077 Similarity: 5.27ppm RDWKDHGGABRSGU
|
Proposal # 2078 Similarity: 5.27ppm BHHJJHZHGYPLAX
|
Proposal # 2079 Similarity: 5.27ppm VAMCGXNTUNVHRJ
|
|
Proposal # 2080 Similarity: 5.27ppm XYLSXNPXNBCQPO
|
Proposal # 2081 Similarity: 5.27ppm PPPIBXYDOMLNCG
|
Proposal # 2082 Similarity: 5.27ppm CNYPRBXFFJFGKB
|
|
Proposal # 2083 Similarity: 5.27ppm PKGCZMWOSSIZHX
|
Proposal # 2084 Similarity: 5.27ppm FRRHWTIRJBGSHY
|
Proposal # 2085 Similarity: 5.28ppm SYVQEJQATBFQIH
|
|
Proposal # 2086 Similarity: 5.28ppm NOTHLWDVHZILBQ
|
Proposal # 2087 Similarity: 5.28ppm GKZVJEMBAWVDKA
|
Proposal # 2088 Similarity: 5.28ppm KTGVOJQOGTXUFV
|
|
Proposal # 2089 Similarity: 5.28ppm GRDRWPBYCXHJHV
|
Proposal # 2090 Similarity: 5.29ppm ONYUYQMDXNMPCF
|
Proposal # 2091 Similarity: 5.29ppm AHRKUWADRAFDNV
|
|
Proposal # 2092 Similarity: 5.29ppm HQLJHOUQPLNUHR
|
Proposal # 2093 Similarity: 5.29ppm GULKNRIAKOZKDM
|
Proposal # 2094 Similarity: 5.29ppm NBUQMBRZEGQCOV
|
|
Proposal # 2095 Similarity: 5.29ppm VSXVPSOKNWDGII
|
Proposal # 2096 Similarity: 5.29ppm PIDQWVJMXDRRIT
|
Proposal # 2097 Similarity: 5.29ppm DBQCGJBFFXHSNU
|
|
Proposal # 2098 Similarity: 5.29ppm ORZNBRSEGBAFJB
|
Proposal # 2099 Similarity: 5.29ppm TZXRWFDONSLGKT
|
Proposal # 2100 Similarity: 5.30ppm QWHYEABPAGCJJK
|
|
Proposal # 2101 Similarity: 5.30ppm NICWWZBBHOMVPS
|
Proposal # 2102 Similarity: 5.30ppm RTZKAFUGCZMSRQ
|
Proposal # 2103 Similarity: 5.30ppm YEWMCPCGQSURTR
|
|
Proposal # 2104 Similarity: 5.30ppm PWLHKIJABUWVSP
|
Proposal # 2105 Similarity: 5.30ppm RUHLOYZYJQFBFS
|
Proposal # 2106 Similarity: 5.30ppm WMMJZZZMNHIGIB
|
|
Proposal # 2107 Similarity: 5.30ppm WEMSGPXPCPYTRS
|
Proposal # 2108 Similarity: 5.30ppm UBHQWLNMZSLOOL
|
Proposal # 2109 Similarity: 5.30ppm LNFAHZBHEVNKMC
|
|
Proposal # 2110 Similarity: 5.30ppm LOWRWQWMRABJEY
|
Proposal # 2111 Similarity: 5.30ppm YLWRTQAQXSMHMU
|
Proposal # 2112 Similarity: 5.30ppm BIWLRDBNHJYAFI
|
|
Proposal # 2113 Similarity: 5.31ppm QWWOFNZIYVEWSL
|
Proposal # 2114 Similarity: 5.31ppm ANWSDZVZXPJMEN
|
Proposal # 2115 Similarity: 5.31ppm KMIAQGTZNCWYGU
|
|
Proposal # 2116 Similarity: 5.31ppm MOGGPFMYVVCGLU
|
Proposal # 2117 Similarity: 5.31ppm RPRSUQZUUPMMLI
|
Proposal # 2118 Similarity: 5.31ppm YFJIWNGQUPTPGF
|
|
Proposal # 2119 Similarity: 5.31ppm XNAQWDHTEUCBFG
|
Proposal # 2120 Similarity: 5.31ppm JIONJYAEGOFILS
|
Proposal # 2121 Similarity: 5.31ppm OIXNLNWXDZJBSL
|
|
Proposal # 2122 Similarity: 5.31ppm XGCRFJKXMSFCEU
|
Proposal # 2123 Similarity: 5.32ppm VMACKWHKJLYNDB
|
Proposal # 2124 Similarity: 5.32ppm RIFAJHJDOQMUDJ
|
|
Proposal # 2125 Similarity: 5.32ppm NUQIUEBIEIOBMQ
|
Proposal # 2126 Similarity: 5.32ppm SNMGSEBSMONNPX
|
Proposal # 2127 Similarity: 5.32ppm NWKGJENQIZGQCY
|
|
Proposal # 2128 Similarity: 5.32ppm KDXYSQKYMHMVQP
|
Proposal # 2129 Similarity: 5.33ppm CNYCPJILYRQBIH
|
Proposal # 2130 Similarity: 5.33ppm IMZFRIDOCRKJGV
|
|
Proposal # 2131 Similarity: 5.33ppm DVVASNJAJBDAQT
|
Proposal # 2132 Similarity: 5.33ppm ONBWOMAYMFNRQP
|
Proposal # 2133 Similarity: 5.33ppm VHWTUGLWQVUVGE
|
|
Proposal # 2134 Similarity: 5.33ppm QVBLLEBCZPVZGN
|
Proposal # 2135 Similarity: 5.33ppm KOWYTOQHKNDEOP
|
Proposal # 2136 Similarity: 5.33ppm IXAUWMOQAFVDSU
|
|
Proposal # 2137 Similarity: 5.33ppm NRCRBEXOMPLHHH
|
Proposal # 2138 Similarity: 5.33ppm QYOGKDXUAUMNSI
|
Proposal # 2139 Similarity: 5.33ppm JIPRZOWCBAMPSN
|
|
Proposal # 2140 Similarity: 5.33ppm YCHBRFPLPRGLNX
|
Proposal # 2141 Similarity: 5.33ppm LZFJAPHUJKSOCA
|
Proposal # 2142 Similarity: 5.33ppm PWVKQBGADINLJW
|
|
Proposal # 2143 Similarity: 5.33ppm OFLXLVUMGWVOCD
|
Proposal # 2144 Similarity: 5.33ppm SYOQKXWOYVTRQH
|
Proposal # 2145 Similarity: 5.34ppm SHGBUBQEKHONBX
|
|
Proposal # 2146 Similarity: 5.34ppm LZSQNKSVSPFLDV
|
Proposal # 2147 Similarity: 5.34ppm HVCQAUCKMBBBOY
|
Proposal # 2148 Similarity: 5.34ppm BEALGXXCVCWWME
|
|
Proposal # 2149 Similarity: 5.35ppm FPAMOJHOTZRUSZ
|
Proposal # 2150 Similarity: 5.35ppm GPMXZGRLCWMLFU
|
Proposal # 2151 Similarity: 5.35ppm HLRGFGOOVLHCIF
|
|
Proposal # 2152 Similarity: 5.35ppm GRNQPJRDPQYJLU
|
Proposal # 2153 Similarity: 5.35ppm KTHUTNYENUQMLB
|
Proposal # 2154 Similarity: 5.36ppm WUYAIPWVEPHBEF
|
|
Proposal # 2155 Similarity: 5.36ppm OATMYAQHMNJAFO
|
Proposal # 2156 Similarity: 5.36ppm IZXVNXKLORCGTI
|
Proposal # 2157 Similarity: 5.36ppm YAWCREAVIBRQJK
|
|
Proposal # 2158 Similarity: 5.36ppm QIVYFSJYINFTPN
|
Proposal # 2159 Similarity: 5.36ppm ZRCGAPWVLZUMOE
|
Proposal # 2160 Similarity: 5.36ppm POPXWJWNTRGMOK
|
|
Proposal # 2161 Similarity: 5.36ppm ZNXZGWKEVPWERO
|
Proposal # 2162 Similarity: 5.36ppm LQPDLUIOSXIYOU
|
Proposal # 2163 Similarity: 5.36ppm VOJSALLCVGZJIL
|
|
Proposal # 2164 Similarity: 5.37ppm LPTDGLXRUDJRHH
|
Proposal # 2165 Similarity: 5.37ppm SDMSDVLEGSFAJU
|
Proposal # 2166 Similarity: 5.37ppm LGICIQFPDTZTAD
|
|
Proposal # 2167 Similarity: 5.37ppm MJCHUJQEGGXJFM
|
Proposal # 2168 Similarity: 5.37ppm NLWQLSYFSGRBLH
|
Proposal # 2169 Similarity: 5.37ppm NIAKHBZDEHZNAC
|
|
Proposal # 2170 Similarity: 5.37ppm KQPIQHSXJMWTPE
|
Proposal # 2171 Similarity: 5.38ppm NETDSGFOAHIPAG
|
Proposal # 2172 Similarity: 5.38ppm IYUCWNVKVMPGFF
|
|
Proposal # 2173 Similarity: 5.38ppm HXBYZKMWKAXXEG
|
Proposal # 2174 Similarity: 5.38ppm NWXIVBHUCSDNQM
|
Proposal # 2175 Similarity: 5.38ppm LOOWQQKYMUAPSK
|
|
Proposal # 2176 Similarity: 5.38ppm FDYVDCJGBWOSFT
|
Proposal # 2177 Similarity: 5.39ppm WJXRPQRGBTXHFB
|
Proposal # 2178 Similarity: 5.39ppm NXCJDDOWCJAPTI
|
|
Proposal # 2179 Similarity: 5.39ppm SQAKVGWSITZSDX
|
Proposal # 2180 Similarity: 5.39ppm QMMRMNNSLYOYPB
|
Proposal # 2181 Similarity: 5.39ppm BRMNMTPACPNNQX
|
|
Proposal # 2182 Similarity: 5.39ppm HRDGPMPCJUNRSR
|
Proposal # 2183 Similarity: 5.39ppm YSGJVJIZSSTTMS
|
Proposal # 2184 Similarity: 5.39ppm UXEPWYQFLITKTO
|
|
Proposal # 2185 Similarity: 5.40ppm IZGCWGPBQHHMHN
|
Proposal # 2186 Similarity: 5.40ppm CPCBCTODRPSVSW
|
Proposal # 2187 Similarity: 5.40ppm UESCJHYQGNHGIC
|
|
Proposal # 2188 Similarity: 5.40ppm NBJSEJPQRBZMCU
|
Proposal # 2189 Similarity: 5.40ppm QVGWURCPWDQCSJ
|
Proposal # 2190 Similarity: 5.40ppm NEYCLUWKYRXLLV
|
|
Proposal # 2191 Similarity: 5.40ppm YGQQYVKGRRGXOK
|
Proposal # 2192 Similarity: 5.40ppm LTFFTWXGHIOSEJ
|
Proposal # 2193 Similarity: 5.40ppm JVKLFEMHROFGOG
|
|
Proposal # 2194 Similarity: 5.40ppm SGKCLTLJUXAUID
|
Proposal # 2195 Similarity: 5.41ppm AULOFQFKFJUOEF
|
Proposal # 2196 Similarity: 5.41ppm XYGXQUQYLRUELP
|
|
Proposal # 2197 Similarity: 5.42ppm DNNCFHLBMCCWNH
|
Proposal # 2198 Similarity: 5.42ppm HZMGJARJNIDRMC
|
Proposal # 2199 Similarity: 5.42ppm MUIKYZDZGYCRDS
|
|
Proposal # 2200 Similarity: 5.42ppm SVISRKPXFDTPGP
|
Proposal # 2201 Similarity: 5.42ppm HWCQFAPYNWFGDU
|
Proposal # 2202 Similarity: 5.42ppm CDPKHZGQRDNSSL
|
|
Proposal # 2203 Similarity: 5.42ppm MLENYNDLMBISKV
|
Proposal # 2204 Similarity: 5.42ppm BGTWNPFZLLAHBG
|
Proposal # 2205 Similarity: 5.42ppm LJJYIHLDIZYZQB
|
|
Proposal # 2206 Similarity: 5.42ppm UGGUZLNGSYUHQD
|
Proposal # 2207 Similarity: 5.43ppm CYICBNOFKISVAX
|
Proposal # 2208 Similarity: 5.43ppm DNADZIAUDUQDRW
|
|
Proposal # 2209 Similarity: 5.43ppm ZDGKOFWZMXIOCE
|
Proposal # 2210 Similarity: 5.43ppm GNJJOGCAUNBFRB
|
Proposal # 2211 Similarity: 5.43ppm MJYQCLYBRPTOSM
|
|
Proposal # 2212 Similarity: 5.43ppm UKAAUMYZBIXULY
|
Proposal # 2213 Similarity: 5.43ppm XZCOOAUXUIPRSD
|
Proposal # 2214 Similarity: 5.43ppm YTESNZHQIVLWEC
|
|
Proposal # 2215 Similarity: 5.43ppm CBFLVEDBCPFFPS
|
Proposal # 2216 Similarity: 5.44ppm SZYXORXREWVRQY
|
Proposal # 2217 Similarity: 5.44ppm JXQDHBXUKQWRQW
|
|
Proposal # 2218 Similarity: 5.44ppm WPPYSEIOULOTEQ
|
Proposal # 2219 Similarity: 5.44ppm BNNWKWYPKAVWSQ
|
Proposal # 2220 Similarity: 5.44ppm NWCJNOOARGZTIZ
|
|
Proposal # 2221 Similarity: 5.44ppm AFKCXJQEOBGQHI
|
Proposal # 2222 Similarity: 5.44ppm UUNLMNHYQODCBT
|
Proposal # 2223 Similarity: 5.45ppm XFPJZPBTMUJBHV
|
|
Proposal # 2224 Similarity: 5.45ppm QAQKOZUKUPIIDQ
|
Proposal # 2225 Similarity: 5.45ppm AEIRUHDZUXAXDO
|
Proposal # 2226 Similarity: 5.45ppm XPJRAVPMNPIXEH
|
|
Proposal # 2227 Similarity: 5.45ppm GRUZYLJLJYNGNB
|
Proposal # 2228 Similarity: 5.45ppm ZRWSUNVEGKKUOI
|
Proposal # 2229 Similarity: 5.45ppm WWJXYAICCOVKGY
|
|
Proposal # 2230 Similarity: 5.46ppm LMCWOCCJZUOTSE
|
Proposal # 2231 Similarity: 5.46ppm ZYIYLROKKAAIQQ
|
Proposal # 2232 Similarity: 5.46ppm PWZADXXSRZBVOG
|
|
Proposal # 2233 Similarity: 5.46ppm NGDTYZYKHXLECS
|
Proposal # 2234 Similarity: 5.46ppm CZIIRVMZNPNKCK
|
Proposal # 2235 Similarity: 5.46ppm VOYYFDKAYIYUMV
|
|
Proposal # 2236 Similarity: 5.47ppm FJXYUCBVBJXISZ
|
Proposal # 2237 Similarity: 5.47ppm AZCHRJSRHIRGCM
|
Proposal # 2238 Similarity: 5.47ppm PCFZTFWSSKREEQ
|
|
Proposal # 2239 Similarity: 5.47ppm COMRWBNKLFCKTO
|
Proposal # 2240 Similarity: 5.47ppm VUNIIDWOIIJMKO
|
Proposal # 2241 Similarity: 5.47ppm VIGJFAQJWDHJEW
|
|
Proposal # 2242 Similarity: 5.48ppm MGNIMHXSEIBWDU
|
Proposal # 2243 Similarity: 5.48ppm DIBQIZOXIJMALZ
|
Proposal # 2244 Similarity: 5.48ppm CBHFWDMPBLYFSO
|
|
Proposal # 2245 Similarity: 5.48ppm RQHKKEKQCUBWTJ
|
Proposal # 2246 Similarity: 5.48ppm GLKCDYNKZILAQG
|
Proposal # 2247 Similarity: 5.48ppm IPQMFNSTTPEZFA
|
|
Proposal # 2248 Similarity: 5.49ppm KBLGNDREKPJZNK
|
Proposal # 2249 Similarity: 5.49ppm KQRFXNVXISLQBK
|
Proposal # 2250 Similarity: 5.49ppm PCXDBZLVPXTQKI
|
|
Proposal # 2251 Similarity: 5.49ppm LJEQFRVUURUGCC
|
Proposal # 2252 Similarity: 5.50ppm MHSVGKKVPZZLRU
|
Proposal # 2253 Similarity: 5.50ppm RPWXIZBOIJEPME
|
|
Proposal # 2254 Similarity: 5.50ppm HXTUIGOAEWYKGJ
|
Proposal # 2255 Similarity: 5.50ppm ZEGNTZZDYBOGRU
|
Proposal # 2256 Similarity: 5.50ppm WOWKVNMIPDPWPY
|
|
Proposal # 2257 Similarity: 5.50ppm ZIYQMYNWWSSWKU
|
Proposal # 2258 Similarity: 5.50ppm IRGYQOUZPCWTQB
|
Proposal # 2259 Similarity: 5.50ppm UUFYASIOKNYPGX
|
|
Proposal # 2260 Similarity: 5.50ppm HZVPZGSBLIIGPL
|
Proposal # 2261 Similarity: 5.50ppm LNLLBCWZSACNMY
|
Proposal # 2262 Similarity: 5.51ppm BSYBTAMCWQSZGN
|
|
Proposal # 2263 Similarity: 5.51ppm GUYMQVDXTPIMAQ
|
Proposal # 2264 Similarity: 5.51ppm XHMDXEUJYGEICB
|
Proposal # 2265 Similarity: 5.51ppm CRELDPWTHUYCKH
|
|
Proposal # 2266 Similarity: 5.51ppm KQSQUJRDVGGVRG
|
Proposal # 2267 Similarity: 5.51ppm FFOFGRWCLVNNBM
|
Proposal # 2268 Similarity: 5.51ppm LWNDPZYJKANLSU
|
|
Proposal # 2269 Similarity: 5.51ppm WWVNMEJVFAMDHH
|
Proposal # 2270 Similarity: 5.52ppm LEJYZBLHMVODAK
|
Proposal # 2271 Similarity: 5.52ppm AMBHFLYINRHYNJ
|
|
Proposal # 2272 Similarity: 5.52ppm QZMHLCNTUGCPGU
|
Proposal # 2273 Similarity: 5.52ppm YWDPMSDTMPTLKF
|
Proposal # 2274 Similarity: 5.52ppm OZEDMQZJPMLVST
|
|
Proposal # 2275 Similarity: 5.53ppm KKAMSEUFQPYKKH
|
Proposal # 2276 Similarity: 5.54ppm DIPXMWOTBOAPKH
|
Proposal # 2277 Similarity: 5.54ppm WNBNEFWWPLZFMS
|
|
Proposal # 2278 Similarity: 5.54ppm AOCYSSBOTVOKOL
|
Proposal # 2279 Similarity: 5.54ppm BPSQKVCPURDHDE
|
Proposal # 2280 Similarity: 5.54ppm GSSJZRWXCCSUOW
|
|
Proposal # 2281 Similarity: 5.54ppm NWGPIQJAKVMLFU
|
Proposal # 2282 Similarity: 5.55ppm CKOGYQAEFMZLID
|
Proposal # 2283 Similarity: 5.55ppm LQKIAFJYFWPHIE
|
|
Proposal # 2284 Similarity: 5.55ppm NXJYKZUFSFJBIE
|
Proposal # 2285 Similarity: 5.55ppm IRRYGHXGPPICAM
|
Proposal # 2286 Similarity: 5.55ppm CBCILPHPZIHCAZ
|
|
Proposal # 2287 Similarity: 5.55ppm HWWJGLRYVMDOIH
|
Proposal # 2288 Similarity: 5.55ppm WYANGNAULJBYAI
|
Proposal # 2289 Similarity: 5.56ppm OBSRULQRUZGCKA
|
|
Proposal # 2290 Similarity: 5.56ppm NCTDDJNFEDOANX
|
Proposal # 2291 Similarity: 5.56ppm DXLAESXFLHTCSZ
|
Proposal # 2292 Similarity: 5.56ppm ZPPRMLVXELOEFH
|
|
Proposal # 2293 Similarity: 5.56ppm DEWKQOHNCLCNJP
|
Proposal # 2294 Similarity: 5.56ppm PWZOOBLFSXWOIK
|
Proposal # 2295 Similarity: 5.57ppm XISKRADZTAORKH
|
|
Proposal # 2296 Similarity: 5.57ppm WIBTUNIGIMCPKE
|
Proposal # 2297 Similarity: 5.57ppm MRKUHVCCBFVXGH
|
Proposal # 2298 Similarity: 5.58ppm DVINQDMJRXPYRB
|
|
Proposal # 2299 Similarity: 5.58ppm COJUOCLTQSQKMK
|
Proposal # 2300 Similarity: 5.58ppm VMAUMUROXFAGAU
|
Proposal # 2301 Similarity: 5.58ppm FXYGVTUWJGWBMC
|
|
Proposal # 2302 Similarity: 5.58ppm QQUBRSRZRVVMHP
|
Proposal # 2303 Similarity: 5.58ppm VZHKKGZOWHPFRY
|
Proposal # 2304 Similarity: 5.58ppm CGTQUJAJGSFXIT
|
|
Proposal # 2305 Similarity: 5.58ppm MFYFBLPPQPWSGH
|
Proposal # 2306 Similarity: 5.58ppm FMVBSUNSXWXBLR
|
Proposal # 2307 Similarity: 5.59ppm JAEFXVTUSWKSCJ
|
|
Proposal # 2308 Similarity: 5.59ppm NPEOLTJUKAQHGS
|
Proposal # 2309 Similarity: 5.59ppm GLIVSAFCMZIVDY
|
Proposal # 2310 Similarity: 5.60ppm XCXUPVOMBNSBBG
|
|
Proposal # 2311 Similarity: 5.60ppm OMMHLCHVGSXEEN
|
Proposal # 2312 Similarity: 5.60ppm LJPZTAZFQPRBRS
|
Proposal # 2313 Similarity: 5.60ppm MNVQTDGBSAKLLY
|
|
Proposal # 2314 Similarity: 5.60ppm QEUXGCAPWRAAMS
|
Proposal # 2315 Similarity: 5.60ppm YYHOFZHWVZKBNW
|
Proposal # 2316 Similarity: 5.60ppm QXAQWRWFIBHPNB
|
|
Proposal # 2317 Similarity: 5.60ppm NFZZGKFCXHZLMA
|
Proposal # 2318 Similarity: 5.60ppm OZGNMTYQKFBJMC
|
Proposal # 2319 Similarity: 5.60ppm ZQNDHBANSJAHRT
|
|
Proposal # 2320 Similarity: 5.61ppm STADWJAFUHXYFP
|
Proposal # 2321 Similarity: 5.61ppm OSGLUQUMFDDDPR
|
Proposal # 2322 Similarity: 5.61ppm UZDQTURYMOKMPZ
|
|
Proposal # 2323 Similarity: 5.61ppm VSYLNFVMHRTCTF
|
Proposal # 2324 Similarity: 5.62ppm VHOHYHQEPWHLDK
|
Proposal # 2325 Similarity: 5.62ppm DBFYQXMQYPNMFZ
|
|
Proposal # 2326 Similarity: 5.62ppm JQRPGSZUIRBAAW
|
Proposal # 2327 Similarity: 5.63ppm FIKJZPYTFDQSMS
|
Proposal # 2328 Similarity: 5.63ppm OMHQXFSEEWBJQP
|
|
Proposal # 2329 Similarity: 5.63ppm MEBJWCDKLGOROP
|
Proposal # 2330 Similarity: 5.63ppm YRJFELLIJCNOHF
|
Proposal # 2331 Similarity: 5.63ppm IETRIQSHTICMHX
|
|
Proposal # 2332 Similarity: 5.63ppm HZHCTGVFWJVMAU
|
Proposal # 2333 Similarity: 5.63ppm FXFYQXRFYXIDBO
|
Proposal # 2334 Similarity: 5.63ppm CONIHLIBTSVOHR
|
|
Proposal # 2335 Similarity: 5.64ppm SLJWMYVMPAXPLO
|
Proposal # 2336 Similarity: 5.64ppm YFDDXVQASQWDGZ
|
Proposal # 2337 Similarity: 5.64ppm PBKRNVQFMFEFEP
|
|
Proposal # 2338 Similarity: 5.64ppm YRKKWFSDAKRUDJ
|
Proposal # 2339 Similarity: 5.64ppm BWXUXQSNVHWSGU
|
Proposal # 2340 Similarity: 5.64ppm GSXCFXQNTOBAOJ
|
|
Proposal # 2341 Similarity: 5.64ppm ISUFLWZGEXNNIW
|
Proposal # 2342 Similarity: 5.64ppm RMSGFQPDCCBVGE
|
Proposal # 2343 Similarity: 5.65ppm KMZPBMSGJLMYGJ
|
|
Proposal # 2344 Similarity: 5.65ppm RCMUKJIONFJRJL
|
Proposal # 2345 Similarity: 5.65ppm GFBKVFUUANZGQO
|
Proposal # 2346 Similarity: 5.66ppm UUGPXXHPCRPNAD
|
|
Proposal # 2347 Similarity: 5.66ppm NCINUYTZWXCQPT
|
Proposal # 2348 Similarity: 5.67ppm RMXIRKZCDRQEGZ
|
Proposal # 2349 Similarity: 5.67ppm LCWKWVYZKVIKSL
|
|
Proposal # 2350 Similarity: 5.67ppm JMJFSIPFANDQCM
|
Proposal # 2351 Similarity: 5.67ppm SZVVMFRKKFQPTQ
|
Proposal # 2352 Similarity: 5.67ppm BBZWQJVEKCMBQJ
|
|
Proposal # 2353 Similarity: 5.67ppm MPUJGUAODVUUAW
|
Proposal # 2354 Similarity: 5.67ppm XUAUCZCHHDUSLS
|
Proposal # 2355 Similarity: 5.68ppm YBRAGFFPCISDJQ
|
|
Proposal # 2356 Similarity: 5.68ppm IVOOZEVQGRVWOE
|
Proposal # 2357 Similarity: 5.68ppm OIIFGSKBBPQPIL
|
Proposal # 2358 Similarity: 5.68ppm SDULGYJXQXSEPO
|
|
Proposal # 2359 Similarity: 5.69ppm VILBJPVEYIHSBK
|
Proposal # 2360 Similarity: 5.69ppm JUJZPUWXNDGUCO
|
Proposal # 2361 Similarity: 5.69ppm DDMDTWNWLXHUFN
|
|
Proposal # 2362 Similarity: 5.69ppm NXTCJZVXZRTCPY
|
Proposal # 2363 Similarity: 5.70ppm PABXLFFXJKUZAX
|
Proposal # 2364 Similarity: 5.71ppm YVIMVLMMLCQROW
|
|
Proposal # 2365 Similarity: 5.71ppm GQAKUZHNEVIHCB
|
Proposal # 2366 Similarity: 5.71ppm KWWLALIYLJUSJS
|
Proposal # 2367 Similarity: 5.71ppm SIEMLPGKQIZYBD
|
|
Proposal # 2368 Similarity: 5.71ppm BCCASFXIXQVKHG
|
Proposal # 2369 Similarity: 5.71ppm LGNBDNUXGRDGCJ
|
Proposal # 2370 Similarity: 5.71ppm TXFZKWIHYKXQAD
|
|
Proposal # 2371 Similarity: 5.72ppm JGIQUAOSRKLTGF
|
Proposal # 2372 Similarity: 5.72ppm RDHKYWQXUBZTGY
|
Proposal # 2373 Similarity: 5.72ppm ZXUOBIILKOFBOR
|
|
Proposal # 2374 Similarity: 5.72ppm MNWWXEGUEJQBDN
|
Proposal # 2375 Similarity: 5.72ppm PNONKCCBLGHJMG
|
Proposal # 2376 Similarity: 5.72ppm DTYQACBFZSXKBP
|
|
Proposal # 2377 Similarity: 5.72ppm MEDYELRLSXFONH
|
Proposal # 2378 Similarity: 5.72ppm ORUINISVWWMUON
|
Proposal # 2379 Similarity: 5.73ppm CIKJQLXCIAFQOR
|
|
Proposal # 2380 Similarity: 5.73ppm LBVPYMNMCQAJBU
|
Proposal # 2381 Similarity: 5.73ppm FUKVIWMVZBOZII
|
Proposal # 2382 Similarity: 5.73ppm CRLMHOAARNDLTC
|
|
Proposal # 2383 Similarity: 5.74ppm PYJJYRBAGGYQAQ
|
Proposal # 2384 Similarity: 5.74ppm NAVDPJNDMFREJC
|
Proposal # 2385 Similarity: 5.74ppm FOBUXIAYTGSHNW
|
|
Proposal # 2386 Similarity: 5.74ppm IFSKQKMGFCCELN
|
Proposal # 2387 Similarity: 5.74ppm SMRHONLQFGHOSW
|
Proposal # 2388 Similarity: 5.75ppm LNCMOEBYRFIEPU
|
|
Proposal # 2389 Similarity: 5.75ppm IXBWMLLXPKNHFZ
|
Proposal # 2390 Similarity: 5.76ppm JCNWLOBREYBMOS
|
Proposal # 2391 Similarity: 5.76ppm FCIWVESTKJWGOQ
|
|
Proposal # 2392 Similarity: 5.76ppm JPLPFHKGYDKGFM
|
Proposal # 2393 Similarity: 5.77ppm AAWJMDHMUIKMFV
|
Proposal # 2394 Similarity: 5.77ppm RWXLTVDEGBUFTH
|
|
Proposal # 2395 Similarity: 5.77ppm BJDORLCOFSSASC
|
Proposal # 2396 Similarity: 5.77ppm QHSGURJZABZMKR
|
Proposal # 2397 Similarity: 5.78ppm JUPMDNGNJDGZAS
|
|
Proposal # 2398 Similarity: 5.78ppm JPTNYARAGZVCDA
|
Proposal # 2399 Similarity: 5.78ppm DEJCMTSXTKPPLN
|
Proposal # 2400 Similarity: 5.78ppm QKYRFDLOEKJEPU
|
|
Proposal # 2401 Similarity: 5.79ppm VPYWFOPOWYOIIP
|
Proposal # 2402 Similarity: 5.79ppm MSAYWZGOGKGELW
|
Proposal # 2403 Similarity: 5.80ppm IDMGNXWMQKAYDK
|
|
Proposal # 2404 Similarity: 5.80ppm QSZWUCLCIPPOCB
|
Proposal # 2405 Similarity: 5.80ppm YWKDAPWHOYAPNG
|
Proposal # 2406 Similarity: 5.80ppm OTSUVGNVJKDETC
|
|
Proposal # 2407 Similarity: 5.80ppm BIZKJGMUWISQIQ
|
Proposal # 2408 Similarity: 5.81ppm DIHMQLHCZLWCQH
|
Proposal # 2409 Similarity: 5.81ppm OWQBPBBQPPKTPI
|
|
Proposal # 2410 Similarity: 5.81ppm MKQPWHDBCZFJPJ
|
Proposal # 2411 Similarity: 5.82ppm PMBAXVFSZZVBBR
|
Proposal # 2412 Similarity: 5.82ppm SYBFOXOANCIDDH
|
|
Proposal # 2413 Similarity: 5.82ppm QKUMGNMCXDNMQX
|
Proposal # 2414 Similarity: 5.83ppm SRWMXOPJQHMASE
|
Proposal # 2415 Similarity: 5.83ppm VMIINRVFWKDQKF
|
|
Proposal # 2416 Similarity: 5.83ppm OXWZQVWPZYQQAB
|
Proposal # 2417 Similarity: 5.84ppm JVORZDYOBCTTOC
|
Proposal # 2418 Similarity: 5.85ppm YITZRYHWIKUVJE
|
|
Proposal # 2419 Similarity: 5.85ppm RCUNOZMYAPBWKE
|
Proposal # 2420 Similarity: 5.86ppm UCFKIKKQZVSCEC
|
Proposal # 2421 Similarity: 5.86ppm OQTDYWTWWRVMMQ
|
|
Proposal # 2422 Similarity: 5.86ppm BJTSOUIOROEFDG
|
Proposal # 2423 Similarity: 5.86ppm YAWFQHIZOPZZFH
|
Proposal # 2424 Similarity: 5.86ppm FHUJYRVMWGKUQF
|
|
Proposal # 2425 Similarity: 5.87ppm WLDWBHQISHWUEL
|
Proposal # 2426 Similarity: 5.87ppm ORKQSELCNOHYGY
|
Proposal # 2427 Similarity: 5.87ppm GORLRTDLVYYENT
|
|
Proposal # 2428 Similarity: 5.89ppm HGWLJDFYNHTSFA
|
Proposal # 2429 Similarity: 5.90ppm GLKINRKBGVHSTI
|
Proposal # 2430 Similarity: 5.90ppm OKBISAYJFCGGCZ
|
|
Proposal # 2431 Similarity: 5.91ppm SZOVPTWWKSVITN
|
Proposal # 2432 Similarity: 5.91ppm MUJDNROJQCSIDC
|
Proposal # 2433 Similarity: 5.91ppm DLUHXCJCHLRUGJ
|
|
Proposal # 2434 Similarity: 5.92ppm NLXWRVLAMQDKDY
|
Proposal # 2435 Similarity: 5.92ppm MNMUWIDLZDOPCB
|
Proposal # 2436 Similarity: 5.92ppm PYIVZRACHZCBGW
|
|
Proposal # 2437 Similarity: 5.92ppm ABECLNBGKIHZEY
|
Proposal # 2438 Similarity: 5.94ppm BJQBGCPLBDRWDP
|
Proposal # 2439 Similarity: 5.94ppm DHOUXJQTXFDJOG
|
|
Proposal # 2440 Similarity: 5.94ppm CWLNUKDJVDUERU
|
Proposal # 2441 Similarity: 5.94ppm DIOVBTDWFNXIIQ
|
Proposal # 2442 Similarity: 5.94ppm YABZIZDFMOGBMB
|
|
Proposal # 2443 Similarity: 5.95ppm SORVBPQYDPDYQA
|
Proposal # 2444 Similarity: 5.97ppm RQUVDYMIEOWBII
|
Proposal # 2445 Similarity: 5.97ppm ZRPOEKJHRZNXBS
|
|
Proposal # 2446 Similarity: 5.97ppm NBCFVAAYBYMDGK
|
Proposal # 2447 Similarity: 5.98ppm GUFWWWDXFVFTEB
|
Proposal # 2448 Similarity: 5.98ppm FXMYOTLMXIOGTN
|
|
Proposal # 2449 Similarity: 5.99ppm BDNUNTXCTYGHDZ
|
Proposal # 2450 Similarity: 5.99ppm LMQNIWQHRLQBKA
|
Proposal # 2451 Similarity: 5.99ppm HBIFFTKRZYLMEH
|
|
Proposal # 2452 Similarity: 5.99ppm AFOKKXRIMRZGLG
|
Proposal # 2453 Similarity: 5.99ppm CKAHKWSZCNVJBF
|
Proposal # 2454 Similarity: 5.99ppm NKAIYJYNWCKDNY
|
|
Proposal # 2455 Similarity: 6.00ppm BQCIKGFCXZWBNB
|
Proposal # 2456 Similarity: 6.00ppm LZQLURGYWLURAX
|
Proposal # 2457 Similarity: 6.02ppm BHHPKUYBJKXNBK
|
|
Proposal # 2458 Similarity: 6.02ppm VWYSLQOWUBAOKS
|
Proposal # 2459 Similarity: 6.03ppm UVVPTYGZNKASCM
|
Proposal # 2460 Similarity: 6.04ppm PTHHBYRSBYIEFE
|
|
Proposal # 2461 Similarity: 6.04ppm IMGYDPNMTOWZFA
|
Proposal # 2462 Similarity: 6.05ppm PHFCAFSVERAURC
|
Proposal # 2463 Similarity: 6.05ppm GVCNLYYTDQXTPC
|
|
Proposal # 2464 Similarity: 6.07ppm MUMPWUNNLOUTBH
|
Proposal # 2465 Similarity: 6.07ppm LCSVOEYKKHQIGH
|
Proposal # 2466 Similarity: 6.07ppm FPXRSOHWWBJVRT
|
|
Proposal # 2467 Similarity: 6.07ppm IPKCQALWSPHZCO
|
Proposal # 2468 Similarity: 6.08ppm LDPBXBLXJIJQLC
|
Proposal # 2469 Similarity: 6.08ppm RZDLRQFZKSYYHX
|
|
Proposal # 2470 Similarity: 6.09ppm KVSQVHOFJJSMCC
|
Proposal # 2471 Similarity: 6.09ppm KQNNQMZSQSJASQ
|
Proposal # 2472 Similarity: 6.09ppm WDWRIRCPNBADDN
|
|
Proposal # 2473 Similarity: 6.09ppm LLJDYQUIKCPPQF
|
Proposal # 2474 Similarity: 6.09ppm QRMGMCHWBYFWAB
|
Proposal # 2475 Similarity: 6.09ppm PVEGMWHVBTXYLH
|
|
Proposal # 2476 Similarity: 6.10ppm XHLYRAGYIKYRJS
|
Proposal # 2477 Similarity: 6.10ppm LMJJIGFBBRFPGF
|
Proposal # 2478 Similarity: 6.12ppm CETSPMMMFJUPNL
|
|
Proposal # 2479 Similarity: 6.12ppm AMSGUMNVBRZAMC
|
Proposal # 2480 Similarity: 6.12ppm BHOHZBSWYVOECD
|
Proposal # 2481 Similarity: 6.14ppm STXRQXGBJRNARR
|
|
Proposal # 2482 Similarity: 6.16ppm HVEXFDKHCSVETH
|
Proposal # 2483 Similarity: 6.16ppm FMWSJJQVMPOKEY
|
Proposal # 2484 Similarity: 6.16ppm JCDQJWAUQPAZGD
|
|
Proposal # 2485 Similarity: 6.16ppm UZRSCZYGMIMDPO
|
Proposal # 2486 Similarity: 6.17ppm OGZGOZFJXVQQKJ
|
Proposal # 2487 Similarity: 6.18ppm MPQLQXILUIAGEC
|
|
Proposal # 2488 Similarity: 6.18ppm MJWOETFVWVDUTR
|
Proposal # 2489 Similarity: 6.18ppm SAAQNELNPVWCSQ
|
Proposal # 2490 Similarity: 6.19ppm AKGSFXNGKHQONP
|
|
Proposal # 2491 Similarity: 6.19ppm AQLZTMFOFQNGBD
|
Proposal # 2492 Similarity: 6.22ppm SCTABMPOASEZFW
|
Proposal # 2493 Similarity: 6.22ppm HGPQHEXWBSUWDO
|
|
Proposal # 2494 Similarity: 6.27ppm CMYHRZKXOOLSRW
|
Proposal # 2495 Similarity: 6.28ppm RUGRORYHANZRMB
|
Proposal # 2496 Similarity: 6.28ppm CJZNSVBIILSOAY
|
|
Proposal # 2497 Similarity: 6.29ppm KPXSPMMSCYWJNS
|
Proposal # 2498 Similarity: 6.29ppm FEJDPBANGRRLML
|
Proposal # 2499 Similarity: 6.29ppm JZRZAAGKDGBUBI
|
|
Proposal # 2500 Similarity: 6.30ppm ODVSJRFVXCWARU
|
Proposal # 2501 Similarity: 6.30ppm ZCQSSTWMZIVSSK
|
Proposal # 2502 Similarity: 6.31ppm GZJPLKSDVLQHKW
|
|
Proposal # 2503 Similarity: 6.31ppm LUJOINMKGVXIMV
|
Proposal # 2504 Similarity: 6.32ppm KMFJYCPEQXUQQC
|
Proposal # 2505 Similarity: 6.32ppm SXSAXBZCYMCXRN
|
|
Proposal # 2506 Similarity: 6.34ppm CLEXIIUGUVHILU
|
Proposal # 2507 Similarity: 6.35ppm XZBWCRHPDHDUPK
|
Proposal # 2508 Similarity: 6.36ppm VXLRCPZXEPUGIW
|
|
Proposal # 2509 Similarity: 6.36ppm ONGFRHFOENFTDY
|
Proposal # 2510 Similarity: 6.38ppm CBAZKUCALHWVKD
|
Proposal # 2511 Similarity: 6.40ppm TUAINZOQOPLTGJ
|
|
Proposal # 2512 Similarity: 6.41ppm YCDPCQQHUCVKLX
|
Proposal # 2513 Similarity: 6.41ppm STACJFGOHVMYIW
|
Proposal # 2514 Similarity: 6.42ppm GGPJMKVYKHJXMW
|
|
Proposal # 2515 Similarity: 6.42ppm TUSZUMNXLQCCIL
|
Proposal # 2516 Similarity: 6.42ppm ADMSTZVCABDGIY
|
Proposal # 2517 Similarity: 6.44ppm KZUWJSMZQFPWDA
|
|
Proposal # 2518 Similarity: 6.44ppm RECUZLZJLQATLU
|
Proposal # 2519 Similarity: 6.46ppm LEAWZUQUGUWQSF
|
Proposal # 2520 Similarity: 6.49ppm RCLXEHUEAJCWHQ
|
|
Proposal # 2521 Similarity: 6.58ppm OPHZTLMNMTXRCV
|
Proposal # 2522 Similarity: 6.58ppm CGZJRLZWYGZQOG
|
Proposal # 2523 Similarity: 6.58ppm QRXQVTGNBFIUHI
|
|
Proposal # 2524 Similarity: 6.63ppm VKRHGPDBXAGASL
|
Proposal # 2525 Similarity: 6.64ppm RWFMFHWAGPRCLT
|
Proposal # 2526 Similarity: 6.65ppm QJJCIKBYHNPOAJ
|
|
Proposal # 2527 Similarity: 6.67ppm UADOWYOKHNBQEJ
|
Proposal # 2528 Similarity: 6.75ppm BNMQBDCXZOFFSZ
|
Proposal # 2529 Similarity: 6.83ppm XXWRJJKXAUZXJJ
|
|
Proposal # 2530 Similarity: 6.87ppm ZNVHZTHTCAAOFO
|
Proposal # 2531 Similarity: 6.95ppm MZGPRKBRSIGBAU
|
Proposal # 2532 Similarity: 6.98ppm QUXTVVNPVKRGPB
|
|
Proposal # 2533 Similarity: 7.06ppm OUZDVFLLXNJQBB
|
Proposal # 2534 Similarity: 7.10ppm YNHQCRHHALLFOT
|
Proposal # 2535 Similarity: 7.15ppm ONZGLMUSDBXQGW
|
|
Proposal # 2536 Similarity: 7.18ppm RZRJEYYBRFUNGF
|
Proposal # 2537 Similarity: 7.20ppm BRUZKHZTZRUDKN
|
Proposal # 2538 Similarity: 7.21ppm ZEDVMICTUDWGGY
|
|
Proposal # 2539 Similarity: 7.23ppm UIIDCQHRHOXLIM
|
Proposal # 2540 Similarity: 7.29ppm NGEVEOBPSMBQPF
|
Proposal # 2541 Similarity: 7.34ppm MCHVGHSPRJXMHK
|
|
Proposal # 2542 Similarity: 7.49ppm JUYBHQKANHQXPF
|
Proposal # 2543 Similarity: 7.65ppm NHIYVHAALKLXDV
|
Proposal # 2544 Similarity: 7.83ppm OVPLPQCZDNOKOR
|
|
Proposal # 2545 Similarity: 7.85ppm PAXGJZDIPDXXDM
|
Proposal # 2546 Similarity: 7.96ppm JJKBZHZYJBICTN
|
Proposal # 2547 Similarity: 7.98ppm HESKRYWSONKPPH
|
|
Proposal # 2548 Similarity: 9.75ppm BAYXHMXDGPSUKS
|
Proposal # 2549 Similarity: 10.12ppm YFHZNVXNXWAPBF
|
Proposal # 2550 Similarity: 10.32ppm SWDFDCJJHIWGCB
|
|
Proposal # 2551 Similarity: 10.59ppm RDESMHAGRQOUBN
|
Proposal # 2552 Similarity: 10.99ppm RMHSYTAQZLWQTQ
|
Proposal # 2553 Similarity: 11.37ppm OCSYLGBNHRYTGV
|
|
Proposal # 2554 Similarity: 11.48ppm ZAOBWCGRYOJYCL
|
Proposal # 2555 Similarity: 11.89ppm RVTAEZWSFMKKNK
|
Proposal # 2556 Similarity: 12.01ppm YGQAUEYOCLFXBK
|
|
Proposal # 2557 Similarity: 14.45ppm DJFSFMNWIFYMSE
|
Proposal # 2558 Similarity: 14.47ppm HZPFNECISFRITR
|
Proposal # 2559 Similarity: 17.39ppm IVVLGDIOVUUPRA
|
|
Proposal # 2560 Similarity: 18.57ppm LVCGDCUQBLLNLY
|
Proposal # 2561 Similarity: 18.57ppm YXTOYOGAIGDEMI
|
Proposal # 2562 Similarity: 19.42ppm IBTXYBAPITXDGF
|
|
Proposal # 2563 Similarity: 20.49ppm GTNSDPPZAVGXOA
|
Proposal # 2564 Similarity: 20.84ppm FHPFZVFSKIMSKT
|
Proposal # 2565 Similarity: 21.50ppm OKMGIWNXRDBYKI
|
|
Proposal # 2566 Similarity: 21.78ppm BYETXRANKVMIOI
|
Proposal # 2567 Similarity: 21.78ppm MVZRGTDEYSSMMJ
|
Proposal # 2568 Similarity: 21.79ppm URIAABVRYIWDNY
|
|
Proposal # 2569 Similarity: 21.82ppm XNUKCQJFFNMUNQ
|
Proposal # 2570 Similarity: 22.03ppm BVWCINDFHMWHJL
|
Proposal # 2571 Similarity: 22.04ppm SDICDTNQQWZHGN
|
|
Proposal # 2572 Similarity: 22.49ppm SGMWAXLWXJELQK
|
Proposal # 2573 Similarity: 23.94ppm YGTAUUMFWPZLBR
|
Proposal # 2574 Similarity: 24.83ppm CAOKHHXVEUXOGY
|
|
Proposal # 2575 Similarity: 25.52ppm DPBRCOQWTBAAJN
|
|
Proposal # 1 Similarity: 0.79ppm AVFLDWQHIWZEHL PUBCHEM
|
Proposal # 62 Similarity: 2.09ppm VUCDSTCRVYGRSG PUBCHEM
|
Proposal # 597 Similarity: 3.93ppm RHAPOGOMBGUDQA PUBCHEM
|
|
Proposal # 857 Similarity: 4.27ppm DGLAPBAGHIHJEB PUBCHEM
|
Proposal # 1055 Similarity: 4.45ppm YVMBPENOCZSDGA PUBCHEM
|
Summary of searching for alternative Structures
Project: CHEM.PHARM.BULL.,62,937[2014]CSEARCH-NUMBER:UWBT013936-20150627 | ||||||||||||||||
| ||||||||||||||||
| Your proposal | Best proposal | Best proposal (out of 5) which exists either in CSEARCH or PUBCHEM |
||||||||||||||
|
Deviation = 4.27 ppm Position = 857 |
Deviation = 0.79 ppm |
Deviation = 0.79 ppm Position = 1 |
||||||||||||||
Number of reasonable alternative structures: 267 Project: CHEM.PHARM.BULL.,62,937[2014]CSEARCH-NUMBER:UWBT013936-20150627 Compound: KIUSIANIN-C_6-BETA-HYDROXY-CHOLEST-7-EN-3-ONE_COMPOUND-3 | ||||||||||||||||
![]() |
![]() |
![]() |
||||||||||||||
| ||||||||||||||||