Did you know ? |
You can recall the actual workload of the server from |
|
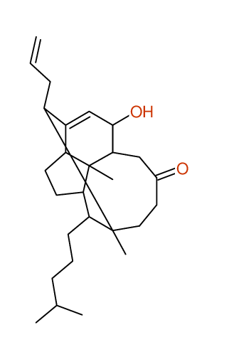
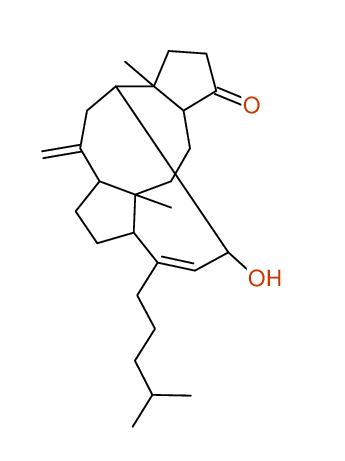
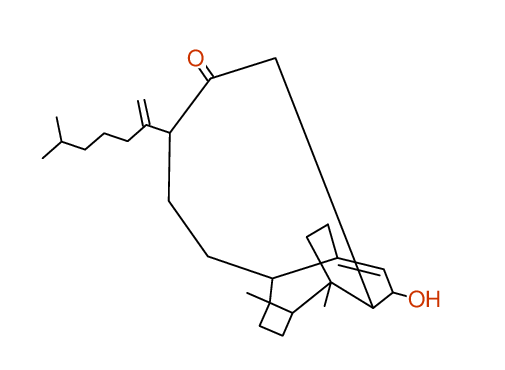
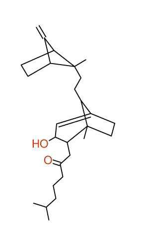
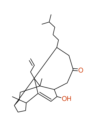
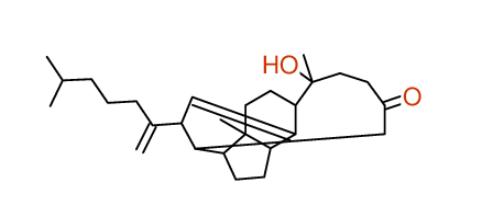
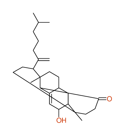
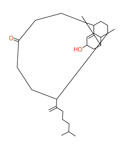
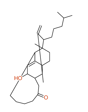
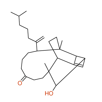
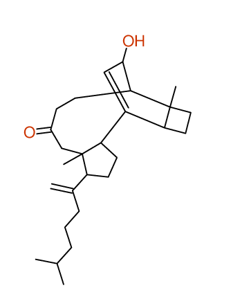
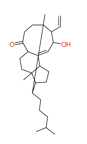
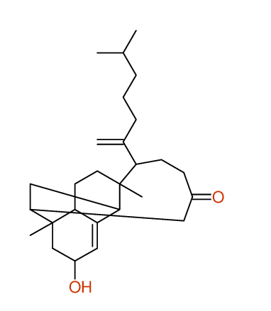
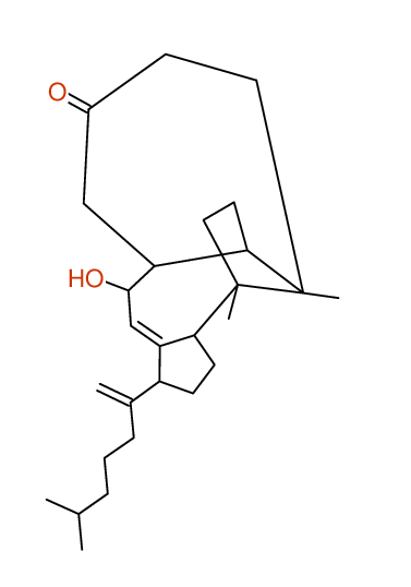
Request from: cpb.kiusianin@robien.org Compound: KIUSIANIN-D_6-BETA-HYDROXY-CHOLEST-7,20-DIENE-3-ONE_COMPOUND-4 Project: CHEM.PHARM.BULL.,62,937[2014]CSEARCH-NUMBER:UWBT013937-20150627 |
![]() |
|
Compound: KIUSIANIN-D_6-BETA-HYDROXY-CHOLEST-7,20-DIENE-3-ONE_COMPOUND-4 Project: CHEM.PHARM.BULL.,62,937[2014]CSEARCH-NUMBER:UWBT013937-20150627 |
|



| Carbon number | Chemical Shift Value | Multiplicity from Structure | Multiplicity from Experiment |
| 1 | 36.80 | T | - |
| 2 | 30.40 | T | - |
| 3 | 199.70 | S | - |
| 4 | 30.30 | T | - |
| 5 | 53.30 | D | - |
| 6 | 70.70 | D | - |
| 7 | 123.00 | D | - |
| 8 | 163.60 | S | - |
| 9 | 50.10 | D | - |
| 10 | 38.20 | S | - |
| 11 | 13.20 | Q | - |
| 12 | 21.90 | T | - |
| 13 | 37.30 | T | - |
| 14 | 45.10 | S | - |
| 15 | 13.20 | Q | - |
| 16 | 55.90 | D | - |
| 17 | 25.20 | T | - |
| 18 | 22.50 | T | - |
| 19 | 55.30 | D | - |
| 20 | 148.10 | S | - |
| 21 | 110.10 | T | - |
| 22 | 37.80 | T | - |
| 23 | 26.20 | T | - |
| 24 | 38.80 | T | - |
| 25 | 27.90 | D | - |
| 26 | 22.70 | Q | - |
| 27 | 22.70 | Q | - |



| Checking lines & multiplicity | Carbons/Lines | Singlet | Dublet | Triplet | Quartet | Odd | Even | None |
| From structure | 27 | 5 | 7 | 11 | 4 | 16 | 11 | 0 |
| From spectrum | 27 | 5 | 7 | 11 | 4 | 16 | 11 | 0 |


| Carbon Number | Neural Network Prediction |
HOSE-Code Prediction |
Preferred Value from both Predictions |
Experimental values |
Difference (Exp-Pred/ppm) |
Assignment | Prediction Quality |
|---|---|---|---|---|---|---|---|
| 1 | 34.6 | 37.7 | 36.2 | 36.8 | 0.6 | Assigned by author | Only reference material with low similarity |
| 2 | 38.1 | 37.5 | 37.7 | 30.4 | 7.3 | Assigned by author Check assignment - maybe 37.80 ? |
|
| 3 | 211.0 | 211.0 | 211.0 | 199.7 | 11.3 | Assigned by author | |
| 4 | 38.3 | 40.5 | 39.4 | 30.3 | 9.1 | Assigned by author Check assignment - maybe 27.90 ? |
Only reference material with low similarity |
| 5 | 45.7 | 43.2 | 45.7 | 53.3 | 7.6 | Assigned by author Check assignment - maybe 55.90 ? |
Only reference material with low similarity |
| 6 | 66.7 | 72.7 | 66.7 | 70.7 | 4.0 | Assigned by author |
Large Difference between NET & HOSE Only reference material with low similarity |
| 7 | 123.3 | 132.0 | 123.3 | 123.0 | 0.3 | Assigned by author |
Large Difference between NET & HOSE Only reference material with low similarity |
| 8 | 140.8 | 142.8 | 141.8 | 163.6 | 21.8 | Assigned by author | Only reference material with low similarity |
| 9 | 50.2 | 49.0 | 49.3 | 50.1 | 0.8 | Assigned by author Check assignment - maybe 53.30 ? |
|
| 10 | 35.3 | 35.2 | 35.3 | 38.2 | 2.9 | Assigned by author Check assignment - maybe 30.40 ? |
Only reference material with low similarity |
| 11 | 16.1 | 15.3 | 15.5 | 13.2 | 2.3 | Assigned by author | |
| 12 | 22.0 | 21.4 | 21.6 | 21.9 | 0.3 | Assigned by author | |
| 13 | 37.6 | 38.7 | 38.4 | 37.3 | 1.1 | Assigned by author | |
| 14 | 45.9 | 43.4 | 44.6 | 45.1 | 0.5 | Assigned by author | Only reference material with low similarity |
| 15 | 14.9 | 12.7 | 13.3 | 13.2 | 0.1 | Assigned by author | |
| 16 | 49.6 | 50.5 | 49.6 | 55.9 | 6.3 | Assigned by author Check assignment - maybe 50.10 ? |
Only reference material with low similarity |
| 17 | 27.8 | 24.1 | 26.0 | 25.2 | 0.8 | Assigned by author | Only reference material with low similarity |
| 18 | 22.4 | 23.1 | 22.8 | 22.5 | 0.3 | Assigned by author Check assignment - maybe 22.70 ? |
|
| 19 | 55.7 | 54.9 | 55.3 | 55.3 | 0.0 | Assigned by author | |
| 20 | 151.7 | 149.5 | 150.6 | 148.1 | 2.5 | Assigned by author | Only very few similar structures |
| 21 | 110.9 | 109.1 | 109.5 | 110.1 | 0.6 | Assigned by author | |
| 22 | 38.8 | 37.9 | 38.1 | 37.8 | 0.3 | Assigned by author Check assignment - maybe 38.20 ? |
|
| 23 | 25.3 | 26.2 | 26.2 | 26.2 | 0.0 | Assigned by author | |
| 24 | 38.8 | 38.8 | 38.8 | 38.8 | 0.0 | Assigned by author | |
| 25 | 28.5 | 29.5 | 29.5 | 27.9 | 1.6 | Assigned by author Check assignment - maybe 30.30 ? |
|
| 26 | 22.7 | 22.2 | 22.2 | 22.7 | 0.5 | Assigned by author Check assignment - maybe 22.50 ? |
|
| 27 | 22.7 | 22.2 | 22.2 | 22.7 | 0.5 | Assigned by author Check assignment - maybe 22.50 ? |







| HOSE | NET | NET&HOSE | NONE |









| ||
![]() |
![]() |
|
![]()
Your evaluation was classified either as
"Major revision" or "Reject", |
|
| Experimental values | ||||
![]() | ||||
| Predicted values | ||||
![]() | ||||
| Matching map | ||||
![]() | ||||
| Deviation per position ( Average is 3.1ppm ) | ||||
![]() | ||||
![]() | ||||
| ||||
![]() | ||||
| Overall Similarity Index is 3.2 0.0 is a "perfect match", up to approximately 3.0 it is "reasonable", above 5.0 it is more or less "unbelievable" |
| ||
![]() |
![]() |
4 Requests have been launched by cpb.kiusianin@robien.org | |||||
Year |
Accept |
Minor Revision |
Major Revision |
Reject | Only Prediction |
| 2018 | 1 | 3 | |||
| Carbon | Experimental shift value |
NN-Value | Difference to experimental value |
HOSE-Value | Difference to experimental value |
Best-Value | Difference to experimental value |
Total Deviation |
| 1 | 36.80 | 34.56 | 2.24 | 37.74 | 0.94 | 36.15 | 0.65 | 3.83 |
| 2 | 30.40 | 38.12 | 7.72 | 37.52 | 7.12 | 37.67 | 7.27 | 22.12 |
| 3 | 199.70 | 210.97 | 11.27 | 211.02 | 11.32 | 210.99 | 11.29 | 33.88 |
| 4 | 30.30 | 38.31 | 8.01 | 40.49 | 10.19 | 39.40 | 9.10 | 27.30 |
| 5 | 53.30 | 45.69 | 7.61 | 43.21 | 10.09 | 45.69 | 7.61 | 25.32 |
| 6 | 70.70 | 66.72 | 3.98 | 72.71 | 2.01 | 66.72 | 3.98 | 9.97 |
| 7 | 123.00 | 123.27 | 0.27 | 131.99 | 8.99 | 123.27 | 0.27 | 9.54 |
| 8 | 163.60 | 140.84 | 22.76 | 142.84 | 20.76 | 141.84 | 21.76 | 65.27 |
| 9 | 50.10 | 50.16 | 0.06 | 48.95 | 1.15 | 49.25 | 0.85 | 2.06 |
| 10 | 38.20 | 35.34 | 2.86 | 35.18 | 3.02 | 35.26 | 2.94 | 8.82 |
| 11 | 13.20 | 16.07 | 2.87 | 15.31 | 2.11 | 15.50 | 2.30 | 7.28 |
| 12 | 21.90 | 22.00 | 0.10 | 21.41 | 0.49 | 21.56 | 0.34 | 0.94 |
| 13 | 37.30 | 37.55 | 0.25 | 38.70 | 1.40 | 38.41 | 1.11 | 2.76 |
| 14 | 45.10 | 45.85 | 0.75 | 43.41 | 1.69 | 44.63 | 0.47 | 2.90 |
| 15 | 13.20 | 14.88 | 1.68 | 12.74 | 0.46 | 13.28 | 0.08 | 2.22 |
| 16 | 55.90 | 49.61 | 6.29 | 50.48 | 5.42 | 49.61 | 6.29 | 17.99 |
| 17 | 25.20 | 27.82 | 2.62 | 24.13 | 1.07 | 25.98 | 0.78 | 4.47 |
| 18 | 22.50 | 22.40 | 0.10 | 23.15 | 0.65 | 22.77 | 0.27 | 1.03 |
| 19 | 55.30 | 55.69 | 0.39 | 54.89 | 0.41 | 55.29 | 0.01 | 0.81 |
| 20 | 148.10 | 151.72 | 3.62 | 149.50 | 1.40 | 150.61 | 2.51 | 7.53 |
| 21 | 110.10 | 110.88 | 0.78 | 109.10 | 1.00 | 109.46 | 0.64 | 2.43 |
| 22 | 37.80 | 38.80 | 1.00 | 37.90 | 0.10 | 38.08 | 0.28 | 1.38 |
| 23 | 26.20 | 25.28 | 0.92 | 26.20 | 0.00 | 26.20 | 0.00 | 0.92 |
| 24 | 38.80 | 38.76 | 0.04 | 38.80 | 0.00 | 38.80 | 0.00 | 0.04 |
| 25 | 27.90 | 28.52 | 0.62 | 29.50 | 1.60 | 29.50 | 1.60 | 3.83 |
| 26 | 22.70 | 22.74 | 0.04 | 22.22 | 0.48 | 22.22 | 0.48 | 1.00 |
| 27 | 22.70 | 22.74 | 0.04 | 22.22 | 0.48 | 22.22 | 0.48 | 1.00 |
| 3.29 | 3.49 | 3.09 | 9.88 |


|
| |
|
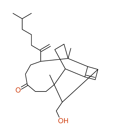
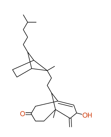
Structure Proposal # 1 KQROLSSKYWDQJE Deviation = 1.20ppm
Search WEB for skeleton |
|
![]()
|
|
|
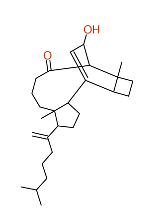
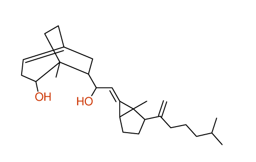
Structure Proposal # 2 SXEWXWZGSPUKQR Deviation = 1.33ppm
Search WEB for skeleton |
|
![]()
|
|
|
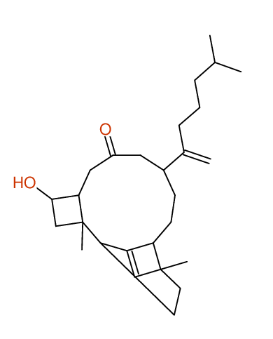
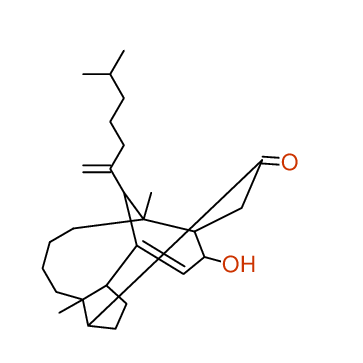
Structure Proposal # 3 ONTJXMUKDCIDID Deviation = 1.38ppm
Search WEB for skeleton |
|
![]()
|
|
|
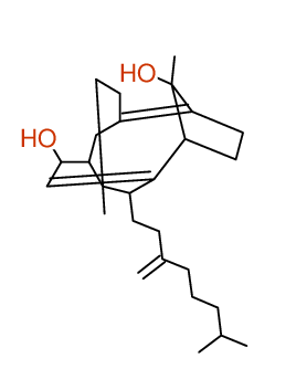
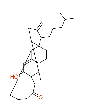
Structure Proposal # 4 NGINMTMWIOTVFF Deviation = 1.38ppm
Search WEB for skeleton |
|
![]()
|
|
|
Structure Proposal # 5 AWNVKTSUQSRIQK Deviation = 1.41ppm
Search WEB for skeleton |
|
![]()
|
|
|
Structure Proposal # 6 LUOREYMEAKBKSI Deviation = 1.41ppm
Search WEB for skeleton |
|
![]()
|
|
|
Structure Proposal # 7 CMPJDYGRCQQQRW Deviation = 1.46ppm
Search WEB for skeleton |
|
![]()
|
|
|
Structure Proposal # 8 WDSLTDQNTZQDLH Deviation = 1.54ppm
Search WEB for skeleton |
|
![]()
|
|
|
Structure Proposal # 9 MTIQEYCAZBMVJV Deviation = 1.55ppm
Search WEB for skeleton |
|
![]()
|
|
|
Structure Proposal # 10 PGWSCJOJHWWACA Deviation = 1.56ppm
Search WEB for skeleton |
|
![]()
|
|
|
Structure Proposal # 11 UHSFDXWWYNVWCR Deviation = 1.60ppm
Search WEB for skeleton |
|
![]()
|
|
|
Structure Proposal # 12 LGPGUWRTWUMSCE Deviation = 1.61ppm
Search WEB for skeleton |
|
![]()
|
|
|
Structure Proposal # 13 YLDXMIXFSUXLLX Deviation = 1.61ppm
Search WEB for skeleton |
|
![]()
|
|
|
Structure Proposal # 14 BIQOLXZKSYJHKU Deviation = 1.63ppm
Search WEB for skeleton |
|
![]()
|
|
|
Structure Proposal # 15 XSBHARZWBVYWOF Deviation = 1.65ppm
Search WEB for skeleton |
|
![]()
|
|
|
Structure Proposal # 16 ZUHSLSWGOBNEBT Deviation = 1.65ppm
Search WEB for skeleton |
|
![]()
|
|
|
Structure Proposal # 17 DRSMVOBWBZZOSW Deviation = 1.67ppm
Search WEB for skeleton |
|
![]()
|
|
|
Structure Proposal # 18 UCNYUIDDJUCXGZ Deviation = 1.67ppm
Search WEB for skeleton |
|
![]()
|
|
|
Structure Proposal # 19 KQQDDZHDMOTEHU Deviation = 1.70ppm
Search WEB for skeleton |
|
![]()
|
|
|
Structure Proposal # 20 DZJYKSHJXVUBPQ Deviation = 1.71ppm
Search WEB for skeleton |
|
![]()
|
|
|
Structure Proposal # 21 UJZRCXZHHYTGCI Deviation = 1.74ppm
Search WEB for skeleton |
|
![]()
|
|
|
Structure Proposal # 22 WRVRHILCVSHXAD Deviation = 1.77ppm
Search WEB for skeleton |
|
![]()
|
|
|
Structure Proposal # 23 UEDHGECXKJHCNP Deviation = 1.78ppm
Search WEB for skeleton |
|
![]()
|
|
|
Structure Proposal # 24 RYZSXHXCPFRSLP Deviation = 1.78ppm
Search WEB for skeleton |
|
![]()
|
|
|
Structure Proposal # 25 BZMMCIWADBDASH Deviation = 1.78ppm
Search WEB for skeleton |
|
![]()
|
|
|
Structure Proposal # 26 CZWUKEHKTSSCIT Deviation = 1.78ppm
Search WEB for skeleton |
|
![]()
|
|
|
Structure Proposal # 27 KJSXBGPZISGFTL Deviation = 1.79ppm
Search WEB for skeleton |
|
![]()
|
|
|
Structure Proposal # 28 GLQKIYPWZBVZSO Deviation = 1.79ppm
Search WEB for skeleton |
|
![]()
|
|
|
Structure Proposal # 29 LNPGBCAGGVMDCA Deviation = 1.80ppm
Search WEB for skeleton |
|
![]()
|
|
|
Structure Proposal # 30 RXIRXEJXIJGTPW Deviation = 1.83ppm
Search WEB for skeleton |
|
![]()
|
|
|
Structure Proposal # 31 HBMFIXTVLUUTCS Deviation = 1.85ppm
Search WEB for skeleton |
|
![]()
|
|
|
Structure Proposal # 32 HKSMDXQAVVLWLP Deviation = 1.85ppm
Search WEB for skeleton |
|
![]()
|
|
|
Structure Proposal # 33 ZMPBKEFVEOCAIW Deviation = 1.86ppm
Search WEB for skeleton |
|
![]()
|
|
|
Structure Proposal # 34 RRNLDNIBMPMTAG Deviation = 1.88ppm
Search WEB for skeleton |
|
![]()
|
|
|
Structure Proposal # 35 INIWWSOHZBHQRT Deviation = 1.90ppm
Search WEB for skeleton |
|
![]()
|
|
|
Structure Proposal # 36 WVZQGTRRWPUXMC Deviation = 1.91ppm
Search WEB for skeleton |
|
![]()
|
|
|
Structure Proposal # 37 OSQXDEHTZOHDPX Deviation = 1.92ppm
Search WEB for skeleton |
|
![]()
|
|
|
Structure Proposal # 38 RLWXXXRYEGYDCO Deviation = 1.93ppm
Search WEB for skeleton respect to your proposal |
|
![]()
|
|
|
Structure Proposal # 39 BYSJAFDJSCQDSY Deviation = 1.93ppm
Search WEB for skeleton |
|
![]()
|
|
|
Structure Proposal # 40 PDCMHYXMOKOBSO Deviation = 1.94ppm
Search WEB for skeleton |
|
![]()
|
|
|
Structure Proposal # 41 HYQJFQZEKKCQFH Deviation = 1.94ppm
Search WEB for skeleton respect to your proposal |
|
![]()
|
|
|
Structure Proposal # 42 KOPSZAUZLCZMRH Deviation = 1.97ppm
Search WEB for skeleton |
|
![]()
|
|
|
Structure Proposal # 43 GIGCMBXTPMBDPX Deviation = 1.98ppm
Search WEB for skeleton |
|
![]()
|
|
|
Structure Proposal # 44 YGBJAGJYTNJJOT Deviation = 2.00ppm
Search WEB for skeleton respect to your proposal |
|
![]()
|
|
|
Structure Proposal # 45 SELZCYUJWXYUMZ Deviation = 2.00ppm
Search WEB for skeleton |
|
![]()
|
|
|
Structure Proposal # 46 ZDTKGUDPBDCAIS Deviation = 2.01ppm
Search WEB for skeleton |
|
![]()
|
|
|
Structure Proposal # 47 AEWCXTVHQFGLEY Deviation = 2.02ppm
Search WEB for skeleton |
|
![]()
|
|
|
Structure Proposal # 48 OXVLTKQXOCCVEP Deviation = 2.05ppm
Search WEB for skeleton |
|
![]()
|
|
|
Structure Proposal # 49 BCQYGPJZNQWLCN Deviation = 2.07ppm
Search WEB for skeleton respect to your proposal |
|
![]()
|
|
|
Structure Proposal # 50 WTDLMHUFBFFEIM Deviation = 2.09ppm
Search WEB for skeleton |
|
![]()
|
|
|
Structure Proposal # 51 VOWORFTZODMTRL Deviation = 2.09ppm
Search WEB for skeleton respect to your proposal |
|
![]()
|
|
|
Structure Proposal # 52 VSIARLGSEUZGJZ Deviation = 2.11ppm
Search WEB for skeleton |
|
![]()
|
|
|
Structure Proposal # 53 XNSNYULBDFBAMP Deviation = 2.13ppm
Search WEB for skeleton respect to your proposal |
|
![]()
|
|
|
Structure Proposal # 54 FBCUTTJTFRQHIJ Deviation = 2.14ppm
Search WEB for skeleton |
|
![]()
|
|
|
Structure Proposal # 55 CNBZOVXSJSIECH Deviation = 2.16ppm
Search WEB for skeleton respect to your proposal |
|
![]()
|
|
|
Structure Proposal # 56 NTIJVIOJPQCVNU Deviation = 2.16ppm
Search WEB for skeleton respect to your proposal |
|
![]()
|
|
|
Structure Proposal # 57 HYUQLSHQWUXNFS Deviation = 2.17ppm
Search WEB for skeleton |
|
![]()
|
|
|
Structure Proposal # 58 PCUQJZOUEZEXEP Deviation = 2.18ppm
Search WEB for skeleton |
|
![]()
|
|
|
Structure Proposal # 59 AGPSNMFBLSGONT Deviation = 2.18ppm
Search WEB for skeleton respect to your proposal |
|
![]()
|
|
|
Structure Proposal # 60 QWHWMFMKMOVBOW Deviation = 2.18ppm
Search WEB for skeleton |
|
![]()
|
|
|
Structure Proposal # 61 AEUVOQPFWXYUEY Deviation = 2.19ppm
Search WEB for skeleton |
|
![]()
|
|
|
Structure Proposal # 62 NHINLSZVRVIMSI Deviation = 2.20ppm
Search WEB for skeleton respect to your proposal |
|
![]()
|
|
|
Structure Proposal # 63 MRKYLBQNMNFRGF Deviation = 2.20ppm
Search WEB for skeleton |
|
![]()
|
|
|
Structure Proposal # 64 AKCXNHBZQXUMCS Deviation = 2.20ppm
Search WEB for skeleton respect to your proposal |
|
![]()
|
|
|
Structure Proposal # 65 UVTQLLWFSANFCN Deviation = 2.21ppm
Search WEB for skeleton |
|
![]()
|
|
|
Structure Proposal # 66 BKZPDHXUJMVWNR Deviation = 2.21ppm
Search WEB for skeleton respect to your proposal |
|
![]()
|
|
|
Structure Proposal # 67 JBSMDUITXVTJBF Deviation = 2.22ppm
Search WEB for skeleton |
|
![]()
|
|
|
Structure Proposal # 68 RNOSIJOQALJVOP Deviation = 2.22ppm
Search WEB for skeleton |
|
![]()
|
|
|
Structure Proposal # 69 DIWOJBTVURRBEB Deviation = 2.23ppm
Search WEB for skeleton respect to your proposal |
|
![]()
|
|
|
Structure Proposal # 70 BJOBSECQQZAYHR Deviation = 2.23ppm
Search WEB for skeleton respect to your proposal |
|
![]()
|
|
|
Structure Proposal # 71 AWMVGSMYLQMUET Deviation = 2.23ppm
Search WEB for skeleton |
|
![]()
|
|
|
Structure Proposal # 72 NGLJTXIVPOLYCN Deviation = 2.23ppm
Search WEB for skeleton respect to your proposal |
|
![]()
|
|
|
Structure Proposal # 73 KVIXTHSDHOWIMT Deviation = 2.23ppm
Search WEB for skeleton |
|
![]()
|
|
|
Structure Proposal # 74 NRCMZPNNCBRRMZ Deviation = 2.23ppm
Search WEB for skeleton |
|
![]()
|
|
|
Structure Proposal # 75 HDNVGWTXBMWDRU Deviation = 2.23ppm
Search WEB for skeleton respect to your proposal |
|
![]()
|
|
|
Structure Proposal # 76 NAUZUPDUUGHSEO Deviation = 2.24ppm
Search WEB for skeleton |
|
![]()
|
|
|
Structure Proposal # 77 RNCCBPXKKQKCLQ Deviation = 2.24ppm
Search WEB for skeleton |
|
![]()
|
|
|
Structure Proposal # 78 NNKAANYHUUVYOF Deviation = 2.25ppm
Search WEB for skeleton |
|
![]()
|
|
|
Structure Proposal # 79 SDWMRLXUMHQURC Deviation = 2.25ppm
Search WEB for skeleton |
|
![]()
|
|
|
Structure Proposal # 80 MPVFMEHUGJWQMY Deviation = 2.25ppm
Search WEB for skeleton respect to your proposal |
|
![]()
|
|
|
Structure Proposal # 81 XYWGRGVCPYXBNM Deviation = 2.25ppm
Search WEB for skeleton |
|
![]()
|
|
|
Structure Proposal # 82 ZIHJBSJADGUKFZ Deviation = 2.26ppm
Search WEB for skeleton respect to your proposal |
|
![]()
|
|
|
Structure Proposal # 83 QCXIJLLZIJQFHW Deviation = 2.28ppm
Search WEB for skeleton respect to your proposal |
|
![]()
|
|
|
Structure Proposal # 84 ZFOISBRBACFMCI Deviation = 2.29ppm
Search WEB for skeleton respect to your proposal |
|
![]()
|
|
|
Structure Proposal # 85 IDOFTBABRQGHPI Deviation = 2.29ppm
Search WEB for skeleton respect to your proposal |
|
![]()
|
|
|
Structure Proposal # 86 BBKAHZMLSHSDGS Deviation = 2.29ppm
Search WEB for skeleton respect to your proposal |
|
![]()
|
|
|
Structure Proposal # 87 FMVOJWYHECTLJF Deviation = 2.29ppm
Search WEB for skeleton respect to your proposal |
|
![]()
|
|
|
Structure Proposal # 88 RBCVGXDTELQQSN Deviation = 2.29ppm
Search WEB for skeleton |
|
![]()
|
|
|
Structure Proposal # 89 QSEYRFSQWSQMFI Deviation = 2.30ppm
Search WEB for skeleton |
|
![]()
|
|
|
Structure Proposal # 90 BBPZSMHURYWVLV Deviation = 2.30ppm
Search WEB for skeleton |
|
![]()
|
|
|
Structure Proposal # 91 YVSNGGBISXVANA Deviation = 2.30ppm
Search WEB for skeleton respect to your proposal |
|
![]()
|
|
|
Structure Proposal # 92 WHSBZKPAKPYQSO Deviation = 2.30ppm
Search WEB for skeleton respect to your proposal |
|
![]()
|
|
|
Structure Proposal # 93 GFLIPPWWKMTXRK Deviation = 2.30ppm
Search WEB for skeleton respect to your proposal |
|
![]()
|
|
|
Structure Proposal # 94 JQOVGKJWLIHXGE Deviation = 2.30ppm
Search WEB for skeleton respect to your proposal |
|
![]()
|
|
|
Structure Proposal # 95 YLVYKDMODJGZFL Deviation = 2.31ppm
Search WEB for skeleton respect to your proposal |
|
![]()
|
|
|
Structure Proposal # 96 UCHVGXDXFDMGEA Deviation = 2.31ppm
Search WEB for skeleton |
|
![]()
|
|
|
Structure Proposal # 97 YXZSFVKGMSCGGO Deviation = 2.31ppm
Search WEB for skeleton respect to your proposal |
|
![]()
|
|
|
Structure Proposal # 98 JTMWAQCORWKOPR Deviation = 2.32ppm
Search WEB for skeleton respect to your proposal |
|
![]()
|
|
|
Structure Proposal # 99 IUBDOSLHHMGUKU Deviation = 2.32ppm
Search WEB for skeleton |
|
![]()
|
|
|
Structure Proposal # 100 JTHOFXRJMJFVTC Deviation = 2.32ppm
Search WEB for skeleton |
|
![]()
|
|
|
Structure Proposal # 101 NMPWHFCQCXNCOJ Deviation = 2.33ppm
Search WEB for skeleton respect to your proposal |
|
![]()
|
|
|
Structure Proposal # 102 JMUDFOCCVRWRPA Deviation = 2.33ppm
Search WEB for skeleton respect to your proposal |
|
![]()
|
|
|
Structure Proposal # 103 RTVWCGAMZLCIIB Deviation = 2.33ppm
Search WEB for skeleton respect to your proposal |
|
![]()
|
|
|
Structure Proposal # 104 XOJVULVNEIQYLV Deviation = 2.33ppm
Search WEB for skeleton respect to your proposal |
|
![]()
|
|
|
Structure Proposal # 105 GPXZSEKMGDAZEQ Deviation = 2.33ppm
Search WEB for skeleton respect to your proposal |
|
![]()
|
|
|
Structure Proposal # 106 XHYIYLBIFSAVEN Deviation = 2.33ppm
Search WEB for skeleton respect to your proposal |
|
![]()
|
|
|
Structure Proposal # 107 XBGXPXAWAVVHFP Deviation = 2.34ppm
Search WEB for skeleton |
|
![]()
|
|
|
Structure Proposal # 108 GJHXBZNYIRZGTR Deviation = 2.34ppm
Search WEB for skeleton respect to your proposal |
|
![]()
|
|
|
Structure Proposal # 109 ARACFEPTSFHDSO Deviation = 2.35ppm
Search WEB for skeleton respect to your proposal |
|
![]()
|
|
|
Structure Proposal # 110 UCXSUPOSILFQEL Deviation = 2.35ppm
Search WEB for skeleton respect to your proposal |
|
![]()
|
|
|
Structure Proposal # 111 GFAPWZFMSZKOOY Deviation = 2.35ppm
Search WEB for skeleton respect to your proposal |
|
![]()
|
|
|
Structure Proposal # 112 BMKRUVQHIIFYOV Deviation = 2.36ppm
Search WEB for skeleton respect to your proposal |
|
![]()
|
|
|
Structure Proposal # 113 GNARNWJJNHFIJE Deviation = 2.36ppm
Search WEB for skeleton |
|
![]()
|
|
|
Structure Proposal # 114 GFSBXHXVZWVIGA Deviation = 2.37ppm
Search WEB for skeleton respect to your proposal |
|
![]()
|
|
|
Structure Proposal # 115 UAYNLIDJKARMSJ Deviation = 2.37ppm
Search WEB for skeleton respect to your proposal |
|
![]()
|
|
|
Structure Proposal # 116 VEBQPJVWXKSSFS Deviation = 2.37ppm
Search WEB for skeleton |
|
![]()
|
|
|
Structure Proposal # 117 KOJIOYXZUJHAOE Deviation = 2.37ppm
Search WEB for skeleton respect to your proposal |
|
![]()
|
|
|
Structure Proposal # 118 ZMCZZAXZSMYWGV Deviation = 2.38ppm
Search WEB for skeleton respect to your proposal |
|
![]()
|
|
|
Structure Proposal # 119 JQHWPKQZOVQGIZ Deviation = 2.38ppm
Search WEB for skeleton respect to your proposal |
|
![]()
|
|
|
Structure Proposal # 120 LGMDFRFRUIIUEK Deviation = 2.38ppm
Search WEB for skeleton |
|
![]()
|
|
|
Structure Proposal # 121 YYZQFZCQGRNKFZ Deviation = 2.38ppm
Search WEB for skeleton |
|
![]()
|
|
|
Structure Proposal # 122 PJFZBKQVIVDJMD Deviation = 2.38ppm
Search WEB for skeleton respect to your proposal |
|
![]()
|
|
|
Structure Proposal # 123 JQBANHMHWAOUJV Deviation = 2.39ppm
Search WEB for skeleton |
|
![]()
|
|
|
Structure Proposal # 124 SJKMGDIGSBVNHS Deviation = 2.39ppm
Search WEB for skeleton respect to your proposal |
|
![]()
|
|
|
Structure Proposal # 125 CQMNBNIIFKORSK Deviation = 2.39ppm
Search WEB for skeleton |
|
![]()
|
|
|
Structure Proposal # 126 XEWMBFHYPSKAQN Deviation = 2.39ppm
Search WEB for skeleton respect to your proposal |
|
![]()
|
|
|
Structure Proposal # 127 BKSPZUAPCKGAFJ Deviation = 2.40ppm
Search WEB for skeleton |
|
![]()
|
|
|
Structure Proposal # 128 PSTUYBKKMRYYES Deviation = 2.40ppm
Search WEB for skeleton respect to your proposal |
|
![]()
|
|
|
Structure Proposal # 129 XBENRJPYAHJGBJ Deviation = 2.40ppm
Search WEB for skeleton |
|
![]()
|
|
|
Structure Proposal # 130 BTJBORQVWLBDJX Deviation = 2.40ppm
Search WEB for skeleton |
|
![]()
|
|
|
Structure Proposal # 131 JTXQTTDPPKVAMZ Deviation = 2.40ppm
Search WEB for skeleton respect to your proposal |
|
![]()
|
|
|
Structure Proposal # 132 VSENZQDHVPDIAV Deviation = 2.40ppm
Search WEB for skeleton respect to your proposal |
|
![]()
|
|
|
Structure Proposal # 133 ZJGBUHYUVDQSCU Deviation = 2.40ppm
Search WEB for skeleton respect to your proposal |
|
![]()
|
|
|
Structure Proposal # 134 JJJSXLOBOHLFSB Deviation = 2.41ppm
Search WEB for skeleton respect to your proposal |
|
![]()
|
|
|
Structure Proposal # 135 WJQNFTRGQYVTAR Deviation = 2.41ppm
Search WEB for skeleton respect to your proposal |
|
![]()
|
|
|
Structure Proposal # 136 VEXXPRVALVNZEA Deviation = 2.42ppm
Search WEB for skeleton respect to your proposal |
|
![]()
|
|
|
Structure Proposal # 137 KYGIDDKVNHBUHO Deviation = 2.42ppm
Search WEB for skeleton respect to your proposal |
|
![]()
|
|
|
Structure Proposal # 138 NVXSCXVRWNDERU Deviation = 2.42ppm
Search WEB for skeleton respect to your proposal |
|
![]()
|
|
|
Structure Proposal # 139 MDKGPQQKTKYKMM Deviation = 2.43ppm
Search WEB for skeleton |
|
![]()
|
|
|
Structure Proposal # 140 BHRGZESOTHFHDH Deviation = 2.43ppm
Search WEB for skeleton respect to your proposal |
|
![]()
|
|
|
Structure Proposal # 141 HFJQBKPWJKTPHZ Deviation = 2.43ppm
Search WEB for skeleton |
|
![]()
|
|
|
Structure Proposal # 142 LUGRRECNPDCIOX Deviation = 2.43ppm
Search WEB for skeleton respect to your proposal |
|
![]()
|
|
|
Structure Proposal # 143 KWTRWTNQVYPSAQ Deviation = 2.43ppm
Search WEB for skeleton |
|
![]()
|
|
|
Structure Proposal # 144 MGFIQTPAPMIWNW Deviation = 2.43ppm
Search WEB for skeleton respect to your proposal |
|
![]()
|
|
|
Structure Proposal # 145 XNTRYJQZNUQRGP Deviation = 2.43ppm
Search WEB for skeleton |
|
![]()
|
|
|
Structure Proposal # 146 NWRPCTMFSZSMDC Deviation = 2.43ppm
Search WEB for skeleton |
|
![]()
|
|
|
Structure Proposal # 147 YZHVUTBNSOZCRH Deviation = 2.43ppm
Search WEB for skeleton |
|
![]()
|
|
|
Structure Proposal # 148 SGGRLUDAIXOGKM Deviation = 2.43ppm
Search WEB for skeleton |
|
![]()
|
|
|
Structure Proposal # 149 LSGWVWJLJCULGZ Deviation = 2.44ppm
Search WEB for skeleton |
|
![]()
|
|
|
Structure Proposal # 150 VQMWULRHAQNLTP Deviation = 2.44ppm
Search WEB for skeleton |
|
![]()
|
|
|
Structure Proposal # 151 DSWMUNZMTLJVQI Deviation = 2.44ppm
Search WEB for skeleton |
|
![]()
|
|
|
Structure Proposal # 152 WMFGPKBUCMBLKO Deviation = 2.45ppm
Search WEB for skeleton respect to your proposal |
|
![]()
|
|
|
Structure Proposal # 153 QQLQQJJKTAGUOB Deviation = 2.46ppm
Search WEB for skeleton |
|
![]()
|
|
|
Structure Proposal # 154 FYIGRKOHZKCBKB Deviation = 2.46ppm
Search WEB for skeleton respect to your proposal |
|
![]()
|
|
|
Structure Proposal # 155 QPRXFLYSXCVQJA Deviation = 2.46ppm
Search WEB for skeleton |
|
![]()
|
|
|
Structure Proposal # 156 NHCSDHZEOCSCMZ Deviation = 2.46ppm
Search WEB for skeleton respect to your proposal |
|
![]()
|
|
|
Structure Proposal # 157 XJIGSFHYLRXADM Deviation = 2.46ppm
Search WEB for skeleton |
|
![]()
|
|
|
Structure Proposal # 158 FYRALSUGXOYRRF Deviation = 2.47ppm
Search WEB for skeleton |
|
![]()
|
|
|
Structure Proposal # 159 NTKMQHILMMZIJQ Deviation = 2.47ppm
Search WEB for skeleton respect to your proposal |
|
![]()
|
|
|
Structure Proposal # 160 AVPQIPSJDHDWFY Deviation = 2.48ppm
Search WEB for skeleton |
|
![]()
|
|
|
Structure Proposal # 161 NIBYLFRSDIMQCY Deviation = 2.48ppm
Search WEB for skeleton respect to your proposal |
|
![]()
|
|
|
Structure Proposal # 162 VVUAIXCDWBWBHB Deviation = 2.48ppm
Search WEB for skeleton |
|
![]()
|
|
|
Structure Proposal # 163 CKQHDQXPNLIDSP Deviation = 2.48ppm
Search WEB for skeleton respect to your proposal |
|
![]()
|
|
|
Structure Proposal # 164 YTEXBUHKCQZRTN Deviation = 2.49ppm
Search WEB for skeleton |
|
![]()
|
|
|
Structure Proposal # 165 ZYRZBNKLAMPBDS Deviation = 2.49ppm
Search WEB for skeleton |
|
![]()
|
|
|
Structure Proposal # 166 CPGGUUMCKMROEB Deviation = 2.49ppm
Search WEB for skeleton respect to your proposal |
|
![]()
|
|
|
Structure Proposal # 167 ZBTYVWIDHKRRNJ Deviation = 2.49ppm
Search WEB for skeleton respect to your proposal |
|
![]()
|
|
|
Structure Proposal # 168 BYUHEBIBGHNGLU Deviation = 2.50ppm
Search WEB for skeleton respect to your proposal |
|
![]()
|
|
|
Structure Proposal # 169 JEVVDJDVJTTZTA Deviation = 2.50ppm
Search WEB for skeleton respect to your proposal |
|
![]()
|
|
|
Structure Proposal # 170 UCSGVAABVCVHPN Deviation = 2.50ppm
Search WEB for skeleton respect to your proposal |
|
![]()
|
|
|
Structure Proposal # 171 GIIMEKMKOBJNLG Deviation = 2.51ppm
Search WEB for skeleton respect to your proposal |
|
![]()
|
|
|
Structure Proposal # 172 INACHYXJASFMDW Deviation = 2.51ppm
Search WEB for skeleton |
|
![]()
|
|
|
Structure Proposal # 173 DJAASVLMGXJIPX Deviation = 2.52ppm
Search WEB for skeleton |
|
![]()
|
|
|
Structure Proposal # 174 BRXSXGTYVUBKDM Deviation = 2.52ppm
Search WEB for skeleton |
|
![]()
|
|
|
Structure Proposal # 175 PURSIFIUAIKDGV Deviation = 2.52ppm
Search WEB for skeleton respect to your proposal |
|
![]()
|
|
|
Structure Proposal # 176 ZNXWSXBINCHYKL Deviation = 2.52ppm
Search WEB for skeleton |
|
![]()
|
|
|
Structure Proposal # 177 CVKBETUHAUPAEI Deviation = 2.52ppm
Search WEB for skeleton |
|
![]()
|
|
|
Structure Proposal # 178 NEASQZOSDGZAPF Deviation = 2.53ppm
Search WEB for skeleton respect to your proposal |
|
![]()
|
|
|
Structure Proposal # 179 SPYQUPLXTMEXQU Deviation = 2.53ppm
Search WEB for skeleton respect to your proposal |
|
![]()
|
|
|
Structure Proposal # 180 WOQNTDNEAQOBDW Deviation = 2.53ppm
Search WEB for skeleton respect to your proposal |
|
![]()
|
|
|
Structure Proposal # 181 SRLFVMHUVUDFGO Deviation = 2.53ppm
Search WEB for skeleton respect to your proposal |
|
![]()
|
|
|
Structure Proposal # 182 RJLSZJLGNLQPRA Deviation = 2.54ppm
Search WEB for skeleton |
|
![]()
|
|
|
Structure Proposal # 183 IXDNOSFZHCLPIQ Deviation = 2.54ppm
Search WEB for skeleton respect to your proposal |
|
![]()
|
|
|
Structure Proposal # 184 CFZLHEKRVHQSLO Deviation = 2.54ppm
Search WEB for skeleton respect to your proposal |
|
![]()
|
|
|
Structure Proposal # 185 JLMMBHUBPPGKCS Deviation = 2.54ppm
Search WEB for skeleton respect to your proposal |
|
![]()
|
|
|
Structure Proposal # 186 LFPLPZDKIPHUFI Deviation = 2.55ppm
Search WEB for skeleton |
|
![]()
|
|
|
Structure Proposal # 187 IRDVKFHJHLMDJZ Deviation = 2.55ppm
Search WEB for skeleton respect to your proposal |
|
![]()
|
|
|
Structure Proposal # 188 GDLORQHJKMICRD Deviation = 2.56ppm
Search WEB for skeleton respect to your proposal |
|
![]()
|
|
|
Structure Proposal # 189 PHWHKVVWUNBJFT Deviation = 2.56ppm
Search WEB for skeleton respect to your proposal |
|
![]()
|
|
|
Structure Proposal # 190 FKJRTURJKLJXIK Deviation = 2.56ppm
Search WEB for skeleton respect to your proposal |
|
![]()
|
|
|
Structure Proposal # 191 SYEXQGDIGZQFBD Deviation = 2.56ppm
Search WEB for skeleton respect to your proposal |
|
![]()
|
|
|
Structure Proposal # 192 XVGNOMAZULKGFL Deviation = 2.56ppm
Search WEB for skeleton |
|
![]()
|
|
|
Structure Proposal # 193 JTNQWJDJTJSLSY Deviation = 2.56ppm
Search WEB for skeleton respect to your proposal |
|
![]()
|
|
|
Structure Proposal # 194 JCIBCVCAACTDAL Deviation = 2.57ppm
Search WEB for skeleton respect to your proposal |
|
![]()
|
|
|
Structure Proposal # 195 CNBHUJUGXGZWDS Deviation = 2.57ppm
Search WEB for skeleton |
|
![]()
|
|
|
Structure Proposal # 196 WHDRNYYZVVZBSZ Deviation = 2.57ppm
Search WEB for skeleton |
|
![]()
|
|
|
Structure Proposal # 197 ANKNYWQLHJGUTR Deviation = 2.58ppm
Search WEB for skeleton respect to your proposal |
|
![]()
|
|
|
Structure Proposal # 198 NOLGQCCVYSHSJB Deviation = 2.58ppm
Search WEB for skeleton respect to your proposal |
|
![]()
|
|
|
Structure Proposal # 199 GEWXCGUENKPADQ Deviation = 2.58ppm
Search WEB for skeleton |
|
![]()
|
|
|
Structure Proposal # 200 KSGJSBHXGINIIQ Deviation = 2.58ppm
Search WEB for skeleton |
|
![]()
|
|
|
Structure Proposal # 201 HKJUMNOWFXAOTI Deviation = 2.58ppm
Search WEB for skeleton |
|
![]()
|
|
|
Structure Proposal # 202 FIQKSOWOOGPIEC Deviation = 2.58ppm
Search WEB for skeleton |
|
![]()
|
|
|
Structure Proposal # 203 YEMIKVRTPZEAKN Deviation = 2.59ppm
Search WEB for skeleton |
|
![]()
|
|
|
Structure Proposal # 204 SOEGVSFDUDRRMY Deviation = 2.59ppm
Search WEB for skeleton respect to your proposal |
|
![]()
|
|
|
Structure Proposal # 205 KRCUDZOGFSCXCC Deviation = 2.59ppm
Search WEB for skeleton |
|
![]()
|
|
|
Structure Proposal # 206 HTGZZBKAOCCCLB Deviation = 2.59ppm
Search WEB for skeleton |
|
![]()
|
|
|
Structure Proposal # 207 CGRDGKXPERCVDH Deviation = 2.59ppm
Search WEB for skeleton |
|
![]()
|
|
|
Structure Proposal # 208 SYOIGBJXDIJHHZ Deviation = 2.60ppm
Search WEB for skeleton |
|
![]()
|
|
|
Structure Proposal # 209 SESCFVWAMAACLT Deviation = 2.60ppm
Search WEB for skeleton |
|
![]()
|
|
|
Structure Proposal # 210 HFKIFBNXKOQLFT Deviation = 2.60ppm
Search WEB for skeleton |
|
![]()
|
|
|
Structure Proposal # 211 QIYAOJALHBSNKQ Deviation = 2.60ppm
Search WEB for skeleton respect to your proposal |
|
![]()
|
|
|
Structure Proposal # 212 KNWMICGFNNWPAZ Deviation = 2.60ppm
Search WEB for skeleton |
|
![]()
|
|
|
Structure Proposal # 213 HHHQGGWSNUHENS Deviation = 2.61ppm
Search WEB for skeleton respect to your proposal |
|
![]()
|
|
|
Structure Proposal # 214 NCVWURISAKVCMG Deviation = 2.61ppm
Search WEB for skeleton |
|
![]()
|
|
|
Structure Proposal # 215 VWTSGRRPIYMFAT Deviation = 2.61ppm
Search WEB for skeleton respect to your proposal |
|
![]()
|
|
|
Structure Proposal # 216 IWUYHJCDYLIAFT Deviation = 2.61ppm
Search WEB for skeleton |
|
![]()
|
|
|
Structure Proposal # 217 QVLCTNNPCKICMA Deviation = 2.61ppm
Search WEB for skeleton respect to your proposal |
|
![]()
|
|
|
Structure Proposal # 218 DQXJJIMXEGPDLN Deviation = 2.61ppm
Search WEB for skeleton |
|
![]()
|
|
|
Structure Proposal # 219 ADCPWULXRVFGGT Deviation = 2.61ppm
Search WEB for skeleton |
|
![]()
|
|
|
Structure Proposal # 220 HUYCDJYDOGNTGG Deviation = 2.61ppm
Search WEB for skeleton |
|
![]()
|
|
|
Structure Proposal # 221 VPHCGDJOLITKCX Deviation = 2.61ppm
Search WEB for skeleton respect to your proposal |
|
![]()
|
|
|
Structure Proposal # 222 ATCGRTSMOXPUHB Deviation = 2.62ppm
Search WEB for skeleton |
|
![]()
|
|
|
Structure Proposal # 223 HPWMVIHEMSMZIH Deviation = 2.62ppm
Search WEB for skeleton |
|
![]()
|
|
|
Structure Proposal # 224 KDDXVRFZIMMPLR Deviation = 2.62ppm
Search WEB for skeleton |
|
![]()
|
|
|
Structure Proposal # 225 MQMFHDJQYUDGDR Deviation = 2.62ppm
Search WEB for skeleton respect to your proposal |
|
![]()
|
|
|
Structure Proposal # 226 BZFVNDSFFCJSFE Deviation = 2.62ppm
Search WEB for skeleton |
|
![]()
|
|
|
Structure Proposal # 227 OHIWUWVEXWHTQE Deviation = 2.62ppm
Search WEB for skeleton respect to your proposal |
|
![]()
|
|
|
Structure Proposal # 228 VCFDPEAOHDELIK Deviation = 2.62ppm
Search WEB for skeleton |
|
![]()
|
|
|
Structure Proposal # 229 VZCCWXVUYWBMBO Deviation = 2.63ppm
Search WEB for skeleton |
|
![]()
|
|
|
Structure Proposal # 230 OJWUEJICCXCNMH Deviation = 2.63ppm
Search WEB for skeleton |
|
![]()
|
|
|
Structure Proposal # 231 RWMFKWIPLYRXHC Deviation = 2.63ppm
Search WEB for skeleton |
|
![]()
|
|
|
Structure Proposal # 232 RJHAWRLNKOQIQN Deviation = 2.63ppm
Search WEB for skeleton |
|
![]()
|
|
|
Structure Proposal # 233 IUUFHDLNOSTYNY Deviation = 2.63ppm
Search WEB for skeleton respect to your proposal |
|
![]()
|
|
|
Structure Proposal # 234 CHERYFLNSCRJCF Deviation = 2.64ppm
Search WEB for skeleton respect to your proposal |
|
![]()
|
|
|
Structure Proposal # 235 AEFSVCHWGCUFNX Deviation = 2.64ppm
Search WEB for skeleton respect to your proposal |
|
![]()
|
|
|
Structure Proposal # 236 RWGBCLWMGQAJEO Deviation = 2.64ppm
Search WEB for skeleton |
|
![]()
|
|
|
Structure Proposal # 237 CSIZZJXOPIPXMB Deviation = 2.64ppm
Search WEB for skeleton |
|
![]()
|
|
|
Structure Proposal # 238 LQSBDXQWYAACIK Deviation = 2.65ppm
Search WEB for skeleton respect to your proposal |
|
![]()
|
|
|
Structure Proposal # 239 HMGVRDWZEGFTLY Deviation = 2.65ppm
Search WEB for skeleton respect to your proposal |
|
![]()
|
|
|
Structure Proposal # 240 IXHLNBRDDWHNDT Deviation = 2.65ppm
Search WEB for skeleton respect to your proposal |
|
![]()
|
|
|
Structure Proposal # 241 XJPGLRQVWHDAHO Deviation = 2.65ppm
Search WEB for skeleton respect to your proposal |
|
![]()
|
|
|
Structure Proposal # 242 WPQNWHHJTCZIPX Deviation = 2.65ppm
Search WEB for skeleton |
|
![]()
|
|
|
Structure Proposal # 243 CJEAKLJOBALVKM Deviation = 2.66ppm
Search WEB for skeleton |
|
![]()
|
|
|
Structure Proposal # 244 PZJRHYVEKWCKBK Deviation = 2.66ppm
Search WEB for skeleton respect to your proposal |
|
![]()
|
|
|
Structure Proposal # 245 JSVRIWXYSMPYDW Deviation = 2.66ppm
Search WEB for skeleton |
|
![]()
|
|
|
Structure Proposal # 246 KMYMJGYVWSRMOV Deviation = 2.66ppm
Search WEB for skeleton |
|
![]()
|
|
|
Structure Proposal # 247 CPFLFASCQIZCHR Deviation = 2.66ppm
Search WEB for skeleton |
|
![]()
|
|
|
Structure Proposal # 248 MXESEWUMOYZUMN Deviation = 2.67ppm
Search WEB for skeleton respect to your proposal |
|
![]()
|
|
|
Structure Proposal # 249 ZHXKXDSLTSYSBB Deviation = 2.67ppm
Search WEB for skeleton respect to your proposal |
|
![]()
|
|
|
Structure Proposal # 250 NISDFRYBDSPLEF Deviation = 2.67ppm
Search WEB for skeleton respect to your proposal |
|
![]()
|
|
|
Structure Proposal # 251 HQZUJNLCMJDQKS Deviation = 2.67ppm
Search WEB for skeleton |
|
![]()
|
|
|
Structure Proposal # 252 UYXKCDLDMMFHTN Deviation = 2.67ppm
Search WEB for skeleton |
|
![]()
|
|
|
Structure Proposal # 253 KYNVOEKJRNWMGM Deviation = 2.67ppm
Search WEB for skeleton respect to your proposal |
|
![]()
|
|
|
Structure Proposal # 254 SQIRKLLCUJCEDY Deviation = 2.67ppm
Search WEB for skeleton |
|
![]()
|
|
|
Structure Proposal # 255 QEFPOUYWFROCFC Deviation = 2.67ppm
Search WEB for skeleton |
|
![]()
|
|
|
Structure Proposal # 256 JLMLIWMUFDKQDG Deviation = 2.67ppm
Search WEB for skeleton respect to your proposal |
|
![]()
|
|
|
Structure Proposal # 257 WELJCLVTVYQYCY Deviation = 2.68ppm
Search WEB for skeleton |
|
![]()
|
|
|
Structure Proposal # 258 NERNNCDXVIPVDA Deviation = 2.68ppm
Search WEB for skeleton respect to your proposal |
|
![]()
|
|
|
Structure Proposal # 259 ISQGFRLQRFHEJV Deviation = 2.68ppm
Search WEB for skeleton |
|
![]()
|
|
|
Structure Proposal # 260 UXOQIURXCRVZPA Deviation = 2.68ppm
Search WEB for skeleton |
|
![]()
|
|
|
Structure Proposal # 261 XBLLPZLGBSZBCR Deviation = 2.69ppm
Search WEB for skeleton |
|
![]()
|
|
|
Structure Proposal # 262 NGBPEDUINUYDQJ Deviation = 2.69ppm
Search WEB for skeleton |
|
![]()
|
|
|
Structure Proposal # 263 OMYWPZHKKUIAMQ Deviation = 2.69ppm
Search WEB for skeleton |
|
![]()
|
|
|
Structure Proposal # 264 GSHPHLIHNPIOII Deviation = 2.69ppm
Search WEB for skeleton respect to your proposal |
|
![]()
|
|
|
Structure Proposal # 265 OHBGISNQIPPSMT Deviation = 2.69ppm
Search WEB for skeleton |
|
![]()
|
|
|
Structure Proposal # 266 WTHSACGROMTAKK Deviation = 2.69ppm
Search WEB for skeleton |
|
![]()
|
|
|
Structure Proposal # 267 BLRXYAYFZSMTFI Deviation = 2.70ppm
Search WEB for skeleton respect to your proposal |
|
![]()
|
|
|
Structure Proposal # 268 PYWZTORAJMEKKW Deviation = 2.70ppm
Search WEB for skeleton respect to your proposal |
|
![]()
|
|
|
Structure Proposal # 269 BHNRPZGWEXBLCE Deviation = 2.70ppm
Search WEB for skeleton |
|
![]()
|
|
|
Structure Proposal # 270 RKPXQFJXNVMPIR Deviation = 2.70ppm
Search WEB for skeleton respect to your proposal |
|
![]()
|
|
|
Structure Proposal # 271 GOEMEEOCDDVLDB Deviation = 2.70ppm
Search WEB for skeleton |
|
![]()
|
|
|
Structure Proposal # 272 KDIOCXFOSSABCE Deviation = 2.71ppm
Search WEB for skeleton |
|
![]()
|
|
|
Structure Proposal # 273 PACHDCOMLFFBNJ Deviation = 2.71ppm
Search WEB for skeleton |
|
![]()
|
|
|
Structure Proposal # 274 NODMQNBOMTUIBM Deviation = 2.71ppm
Search WEB for skeleton respect to your proposal |
|
![]()
|
|
|
Structure Proposal # 275 OHCBSNUQFFUZIX Deviation = 2.71ppm
Search WEB for skeleton respect to your proposal |
|
![]()
|
|
|
Structure Proposal # 276 UJVSYVTXUQFDNP Deviation = 2.71ppm
Search WEB for skeleton |
|
![]()
|
|
|
Structure Proposal # 277 LIEWYLNKAXVXFU Deviation = 2.72ppm
Search WEB for skeleton respect to your proposal |
|
![]()
|
|
|
Structure Proposal # 278 RWTRODWPDSEOHW Deviation = 2.72ppm
Search WEB for skeleton respect to your proposal |
|
![]()
|
|
|
Structure Proposal # 279 OYXWAZRKKKNJAH Deviation = 2.72ppm
Search WEB for skeleton respect to your proposal |
|
![]()
|
|
|
Structure Proposal # 280 DYEYIKLYXNKYQO Deviation = 2.72ppm
Search WEB for skeleton respect to your proposal |
|
![]()
|
|
|
Structure Proposal # 281 XCOFRZOPFBOJAK Deviation = 2.72ppm
Search WEB for skeleton respect to your proposal |
|
![]()
|
|
|
Structure Proposal # 282 AAILIDWHNWQBBS Deviation = 2.72ppm
Search WEB for skeleton respect to your proposal |
|
![]()
|
|
|
Structure Proposal # 283 GUBSGXQBQYWWCR Deviation = 2.72ppm
Search WEB for skeleton respect to your proposal |
|
![]()
|
|
|
Structure Proposal # 284 OJSBZIBVGJGZNA Deviation = 2.72ppm
Search WEB for skeleton |
|
![]()
|
|
|
Structure Proposal # 285 HXAFUXZPHHVNMJ Deviation = 2.72ppm
Search WEB for skeleton |
|
![]()
|
|
|
Structure Proposal # 286 INFOAXCUKHZULW Deviation = 2.72ppm
Search WEB for skeleton respect to your proposal |
|
![]()
|
|
|
Structure Proposal # 287 BOGUKONLJJDEHO Deviation = 2.73ppm
Search WEB for skeleton |
|
![]()
|
|
|
Structure Proposal # 288 HTVJULDTAHYQIG Deviation = 2.73ppm
Search WEB for skeleton |
|
![]()
|
|
|
Structure Proposal # 289 NWRLCWULCYZXFM Deviation = 2.73ppm
Search WEB for skeleton |
|
![]()
|
|
|
Structure Proposal # 290 UIIFVYSTFKIOSH Deviation = 2.73ppm
Search WEB for skeleton |
|
![]()
|
|
|
Structure Proposal # 291 YRVOESQUZBKOND Deviation = 2.74ppm
Search WEB for skeleton respect to your proposal |
|
![]()
|
|
|
Structure Proposal # 292 IQCOUNUKMZOTDO Deviation = 2.74ppm
Search WEB for skeleton respect to your proposal |
|
![]()
|
|
|
Structure Proposal # 293 CNIDANGATTVUQJ Deviation = 2.74ppm
Search WEB for skeleton respect to your proposal |
|
![]()
|
|
|
Structure Proposal # 294 GIUBQBMEJANWPT Deviation = 2.74ppm
Search WEB for skeleton |
|
![]()
|
|
|
Structure Proposal # 295 MXJOGHLBXMSFPK Deviation = 2.74ppm
Search WEB for skeleton |
|
![]()
|
|
|
Structure Proposal # 296 UCUORUBQBCNPEL Deviation = 2.75ppm
Search WEB for skeleton |
|
![]()
|
|
|
Structure Proposal # 297 CUPGGQAQEBACOV Deviation = 2.75ppm
Search WEB for skeleton |
|
![]()
|
|
|
Structure Proposal # 298 RSOQELDXMWASFV Deviation = 2.75ppm
Search WEB for skeleton |
|
![]()
|
|
|
Structure Proposal # 299 ZRIBNLYMNRDFQZ Deviation = 2.75ppm
Search WEB for skeleton |
|
![]()
|
|
|
Structure Proposal # 300 AYGBZEVHDVJDKT Deviation = 2.75ppm
Search WEB for skeleton respect to your proposal |
|
![]()
|
|
|
Structure Proposal # 301 JRKSJQROVQWPDI Deviation = 2.75ppm
Search WEB for skeleton |
|
![]()
|
|
|
Structure Proposal # 302 JFLWSVRSPPYJRZ Deviation = 2.75ppm
Search WEB for skeleton |
|
![]()
|
|
|
Structure Proposal # 303 JWEDTFWJVZZNPC Deviation = 2.75ppm
Search WEB for skeleton |
|
![]()
|
|
|
Structure Proposal # 304 ZMEGLPCCOSYGRT Deviation = 2.76ppm
Search WEB for skeleton |
|
![]()
|
|
|
Structure Proposal # 305 IZYADUKYCGYDCP Deviation = 2.76ppm
Search WEB for skeleton respect to your proposal |
|
![]()
|
|
|
Structure Proposal # 306 GHEDOFWCEGKBPX Deviation = 2.76ppm
Search WEB for skeleton respect to your proposal |
|
![]()
|
|
|
Structure Proposal # 307 IROBMERCIFLHAI Deviation = 2.76ppm
Search WEB for skeleton |
|
![]()
|
|
|
Structure Proposal # 308 TZXBSRLRSOLMQG Deviation = 2.76ppm
Search WEB for skeleton respect to your proposal |
|
![]()
|
|
|
Structure Proposal # 309 DDFGIBRYUKHLPO Deviation = 2.77ppm
Search WEB for skeleton |
|
![]()
|
|
|
Structure Proposal # 310 HFWMMQWBORGQDZ Deviation = 2.77ppm
Search WEB for skeleton |
|
![]()
|
|
|
Structure Proposal # 311 XXSHWKUFUVLZAC Deviation = 2.77ppm
Search WEB for skeleton |
|
![]()
|
|
|
Structure Proposal # 312 XRYMDUFBQVCYDL Deviation = 2.77ppm
Search WEB for skeleton |
|
![]()
|
|
|
Structure Proposal # 313 MXMURHPOXWKQOM Deviation = 2.77ppm
Search WEB for skeleton |
|
![]()
|
|
|
Structure Proposal # 314 RSSHCYDKUNKZAZ Deviation = 2.78ppm
Search WEB for skeleton |
|
![]()
|
|
|
Structure Proposal # 315 QKJQUZJEDWNRLY Deviation = 2.78ppm
Search WEB for skeleton |
|
![]()
|
|
|
Structure Proposal # 316 FYEUNZZMGQQUGB Deviation = 2.78ppm
Search WEB for skeleton |
|
![]()
|
|
|
Structure Proposal # 317 QTVKDXBNDCPZLA Deviation = 2.78ppm
Search WEB for skeleton respect to your proposal |
|
![]()
|
|
|
Structure Proposal # 318 DXFPUHLAAANBRL Deviation = 2.78ppm
Search WEB for skeleton |
|
![]()
|
|
|
Structure Proposal # 319 OQOYBGFMEFCQSH Deviation = 2.78ppm
Search WEB for skeleton |
|
![]()
|
|
|
Structure Proposal # 320 VFRKCXZSODFQFC Deviation = 2.78ppm
Search WEB for skeleton |
|
![]()
|
|
|
Structure Proposal # 321 PKIGWPIZCGTUQC Deviation = 2.78ppm
Search WEB for skeleton respect to your proposal |
|
![]()
|
|
|
Structure Proposal # 322 OIWJSPPDGKHUDG Deviation = 2.79ppm
Search WEB for skeleton |
|
![]()
|
|
|
Structure Proposal # 323 RKUGSROPCILOLZ Deviation = 2.79ppm
Search WEB for skeleton |
|
![]()
|
|
|
Structure Proposal # 324 AKDIIYZKRSPXFS Deviation = 2.79ppm
Search WEB for skeleton |
|
![]()
|
|
|
Structure Proposal # 325 MWECGAACERSKGM Deviation = 2.79ppm
Search WEB for skeleton |
|
![]()
|
|
|
Structure Proposal # 326 WNYCRDGVUYGGOA Deviation = 2.79ppm
Search WEB for skeleton |
|
![]()
|
|
|
Structure Proposal # 327 DAMGZHZAVWXVRQ Deviation = 2.79ppm
Search WEB for skeleton |
|
![]()
|
|
|
Structure Proposal # 328 XDCWBAGNVDBYPA Deviation = 2.79ppm
Search WEB for skeleton |
|
![]()
|
|
|
Structure Proposal # 329 MOLCJZUFLUHQKH Deviation = 2.79ppm
Search WEB for skeleton |
|
![]()
|
|
|
Structure Proposal # 330 UCWNIXMXCFXHHW Deviation = 2.79ppm
Search WEB for skeleton |
|
![]()
|
|
|
Structure Proposal # 331 FTHWSSVJBGNVBO Deviation = 2.79ppm
Search WEB for skeleton |
|
![]()
|
|
|
Structure Proposal # 332 MNPMVAGMJQPUCY Deviation = 2.79ppm
Search WEB for skeleton |
|
![]()
|
|
|
Structure Proposal # 333 DEXNOKWWFZOABU Deviation = 2.80ppm
Search WEB for skeleton respect to your proposal |
|
![]()
|
|
|
Structure Proposal # 334 NPXGCUCYIFLUKF Deviation = 2.80ppm
Search WEB for skeleton respect to your proposal |
|
![]()
|
|
|
Structure Proposal # 335 YFGHXAAXMCLBDN Deviation = 2.80ppm
Search WEB for skeleton |
|
![]()
|
|
|
Structure Proposal # 336 YLYRMQWVOYVVEF Deviation = 2.80ppm
Search WEB for skeleton respect to your proposal |
|
![]()
|
|
|
Structure Proposal # 337 KHRKLNPSTGEHDI Deviation = 2.80ppm
Search WEB for skeleton |
|
![]()
|
|
|
Structure Proposal # 338 ZCIZHVWISFWJDM Deviation = 2.80ppm
Search WEB for skeleton |
|
![]()
|
|
|
Structure Proposal # 339 ISLIWNDKKBBCJP Deviation = 2.80ppm
Search WEB for skeleton |
|
![]()
|
|
|
Structure Proposal # 340 VFGMKYYZRSQXDI Deviation = 2.81ppm
Search WEB for skeleton |
|
![]()
|
|
|
Structure Proposal # 341 CAGTVOJVCGTYOS Deviation = 2.81ppm
Search WEB for skeleton respect to your proposal |
|
![]()
|
|
|
Structure Proposal # 342 DJJQSWICLLRLCI Deviation = 2.81ppm
Search WEB for skeleton respect to your proposal |
|
![]()
|
|
|
Structure Proposal # 343 OZXUIUPZAYOECW Deviation = 2.81ppm
Search WEB for skeleton |
|
![]()
|
|
|
Structure Proposal # 344 UFBJJYSOFVRXSM Deviation = 2.81ppm
Search WEB for skeleton |
|
![]()
|
|
|
Structure Proposal # 345 SDCIQCMYJVVYQZ Deviation = 2.81ppm
Search WEB for skeleton |
|
![]()
|
|
|
Structure Proposal # 346 OBMRGBQKCFRCKU Deviation = 2.81ppm
Search WEB for skeleton |
|
![]()
|
|
|
Structure Proposal # 347 WNUABTLVVLVJCM Deviation = 2.81ppm
Search WEB for skeleton |
|
![]()
|
|
|
Structure Proposal # 348 KBRADOVVCBLVNI Deviation = 2.81ppm
Search WEB for skeleton respect to your proposal |
|
![]()
|
|
|
Structure Proposal # 349 UXDJTWMGEJMARV Deviation = 2.81ppm
Search WEB for skeleton respect to your proposal |
|
![]()
|
|
|
Structure Proposal # 350 OACNAULKTLDDJH Deviation = 2.82ppm
Search WEB for skeleton |
|
![]()
|
|
|
Structure Proposal # 351 HXULNQCLKOGEMX Deviation = 2.82ppm
Search WEB for skeleton |
|
![]()
|
|
|
Structure Proposal # 352 KEXZBLIYSSDIPD Deviation = 2.82ppm
Search WEB for skeleton |
|
![]()
|
|
|
Structure Proposal # 353 NCPLPNVCWCUDAD Deviation = 2.82ppm
Search WEB for skeleton |
|
![]()
|
|
|
Structure Proposal # 354 AZOZGFXHFJFBOF Deviation = 2.82ppm
Search WEB for skeleton |
|
![]()
|
|
|
Structure Proposal # 355 RXGFSGNCRNSBCR Deviation = 2.82ppm
Search WEB for skeleton |
|
![]()
|
|
|
Structure Proposal # 356 FUKGKEBXGXFHOJ Deviation = 2.83ppm
Search WEB for skeleton |
|
![]()
|
|
|
Structure Proposal # 357 MWHJFLOXYBXHGE Deviation = 2.83ppm
Search WEB for skeleton |
|
![]()
|
|
|
Structure Proposal # 358 RZQWQIHYCSTBIY Deviation = 2.83ppm
Search WEB for skeleton |
|
![]()
|
|
|
Structure Proposal # 359 XITKUSAPNBILDW Deviation = 2.83ppm
Search WEB for skeleton |
|
![]()
|
|
|
Structure Proposal # 360 ZMLFZGMTNKYKHK Deviation = 2.83ppm
Search WEB for skeleton |
|
![]()
|
|
|
Structure Proposal # 361 INMVVCWTTZYEKC Deviation = 2.83ppm
Search WEB for skeleton |
|
![]()
|
|
|
Structure Proposal # 362 PGVRHUVQXXLVSO Deviation = 2.83ppm
Search WEB for skeleton |
|
![]()
|
|
|
Structure Proposal # 363 YTCMWOSQUYLJDI Deviation = 2.83ppm
Search WEB for skeleton |
|
![]()
|
|
|
Structure Proposal # 364 LHYTWMLCASHOQQ Deviation = 2.83ppm
Search WEB for skeleton |
|
![]()
|
|
|
Structure Proposal # 365 UJTKUKITLCLOJH Deviation = 2.83ppm
Search WEB for skeleton |
|
![]()
|
|
|
Structure Proposal # 366 HITBBXSKRCJEGQ Deviation = 2.83ppm
Search WEB for skeleton respect to your proposal |
|
![]()
|
|
|
Structure Proposal # 367 LIAIPNMPJDPXEB Deviation = 2.84ppm
Search WEB for skeleton |
|
![]()
|
|
|
Structure Proposal # 368 VFCOLZYDWHMLIE Deviation = 2.84ppm
Search WEB for skeleton |
|
![]()
|
|
|
Structure Proposal # 369 NDXARYRAQAYIPB Deviation = 2.84ppm
Search WEB for skeleton |
|
![]()
|
|
|
Structure Proposal # 370 CETBATXEUJQPHN Deviation = 2.84ppm
Search WEB for skeleton |
|
![]()
|
|
|
Structure Proposal # 371 LSHPTCYYVFDCLJ Deviation = 2.84ppm
Search WEB for skeleton |
|
![]()
|
|
|
Structure Proposal # 372 ZELQRXIVSRKTTA Deviation = 2.84ppm
Search WEB for skeleton |
|
![]()
|
|
|
Structure Proposal # 373 GADZZRXGGZXUOR Deviation = 2.84ppm
Search WEB for skeleton |
|
![]()
|
|
|
Structure Proposal # 374 VSZVTCXEXHQHLM Deviation = 2.84ppm
Search WEB for skeleton |
|
![]()
|
|
|
Structure Proposal # 375 CUDVMERCWLMJCN Deviation = 2.84ppm
Search WEB for skeleton |
|
![]()
|
|
|
Structure Proposal # 376 QEMDEOQQYZSLII Deviation = 2.84ppm
Search WEB for skeleton respect to your proposal |
|
![]()
|
|
|
Structure Proposal # 377 MRMHPOBKNFUEIN Deviation = 2.84ppm
Search WEB for skeleton |
|
![]()
|
|
|
Structure Proposal # 378 UDHVRRDDJCSKDX Deviation = 2.84ppm
Search WEB for skeleton |
|
![]()
|
|
|
Structure Proposal # 379 FVOXGQJOMWVNBZ Deviation = 2.84ppm
Search WEB for skeleton |
|
![]()
|
|
|
Structure Proposal # 380 BQJHSTIIZZSDOR Deviation = 2.84ppm
Search WEB for skeleton respect to your proposal |
|
![]()
|
|
|
Structure Proposal # 381 HABYQJSHBAVTCT Deviation = 2.84ppm
Search WEB for skeleton |
|
![]()
|
|
|
Structure Proposal # 382 PJPIILLOMKJMSQ Deviation = 2.84ppm
Search WEB for skeleton |
|
![]()
|
|
|
Structure Proposal # 383 BMAVBDBZWXIUKI Deviation = 2.84ppm
Search WEB for skeleton respect to your proposal |
|
![]()
|
|
|
Structure Proposal # 384 HFHHALQDEHIWBC Deviation = 2.85ppm
Search WEB for skeleton |
|
![]()
|
|
|
Structure Proposal # 385 PUDWYMDPDVRENQ Deviation = 2.85ppm
Search WEB for skeleton |
|
![]()
|
|
|
Structure Proposal # 386 ZWWKJLPJKAYTQU Deviation = 2.85ppm
Search WEB for skeleton |
|
![]()
|
|
|
Structure Proposal # 387 QETWUBVAJHZWBA Deviation = 2.85ppm
Search WEB for skeleton |
|
![]()
|
|
|
Structure Proposal # 388 VBILUFOEZYZOLX Deviation = 2.85ppm
Search WEB for skeleton |
|
![]()
|
|
|
Structure Proposal # 389 SOWFLBCFJLVBET Deviation = 2.85ppm
Search WEB for skeleton |
|
![]()
|
|
|
Structure Proposal # 390 MAIIUODMHLMHRA Deviation = 2.85ppm
Search WEB for skeleton |
|
![]()
|
|
|
Structure Proposal # 391 VIAKDSCRYJCJSC Deviation = 2.85ppm
Search WEB for skeleton |
|
![]()
|
|
|
Structure Proposal # 392 GLNOZELPGWWENJ Deviation = 2.85ppm
Search WEB for skeleton |
|
![]()
|
|
|
Structure Proposal # 393 OVFRHGKVGSHNBB Deviation = 2.86ppm
Search WEB for skeleton respect to your proposal |
|
![]()
|
|
|
Structure Proposal # 394 XLNQPLHMECCTCE Deviation = 2.86ppm
Search WEB for skeleton respect to your proposal |
|
![]()
|
|
|
Structure Proposal # 395 JYIXEXQSDVOQRQ Deviation = 2.86ppm
Search WEB for skeleton |
|
![]()
|
|
|
Structure Proposal # 396 YCKYTCVKSYZESU Deviation = 2.86ppm
Search WEB for skeleton |
|
![]()
|
|
|
Structure Proposal # 397 GRFVKWFCGKVQIK Deviation = 2.86ppm
Search WEB for skeleton |
|
![]()
|
|
|
Structure Proposal # 398 ASNYFLINDRVSJK Deviation = 2.86ppm
Search WEB for skeleton respect to your proposal |
|
![]()
|
|
|
Structure Proposal # 399 WKXYLSSKICNIHI Deviation = 2.86ppm
Search WEB for skeleton |
|
![]()
|
|
|
Structure Proposal # 400 XMWSAOKYQWUONQ Deviation = 2.86ppm
Search WEB for skeleton respect to your proposal |
|
![]()
|
|
|
Structure Proposal # 401 LBNMMCIDISRKCK Deviation = 2.86ppm
Search WEB for skeleton |
|
![]()
|
|
|
Structure Proposal # 402 XXNLSNLYLNSYDN Deviation = 2.86ppm
Search WEB for skeleton |
|
![]()
|
|
|
Structure Proposal # 403 MMTPUAOCTXNVHZ Deviation = 2.86ppm
Search WEB for skeleton |
|
![]()
|
|
|
Structure Proposal # 404 JCPNHRFGDYHBNI Deviation = 2.86ppm
Search WEB for skeleton respect to your proposal |
|
![]()
|
|
|
Structure Proposal # 405 APNXUEAWKOESIZ Deviation = 2.86ppm
Search WEB for skeleton |
|
![]()
|
|
|
Structure Proposal # 406 MZRWJMWRTYJOAV Deviation = 2.86ppm
Search WEB for skeleton |
|
![]()
|
|
|
Structure Proposal # 407 UUPIFKIPWBJCHZ Deviation = 2.87ppm
Search WEB for skeleton |
|
![]()
|
|
|
Structure Proposal # 408 KNJUWHJLXWEEIZ Deviation = 2.87ppm
Search WEB for skeleton |
|
![]()
|
|
|
Structure Proposal # 409 NPEOGYBHGRKZSF Deviation = 2.87ppm
Search WEB for skeleton |
|
![]()
|
|
|
Structure Proposal # 410 QRKIRZHVKAGLHV Deviation = 2.87ppm
Search WEB for skeleton |
|
![]()
|
|
|
Structure Proposal # 411 QGEPASATHFGVMX Deviation = 2.87ppm
Search WEB for skeleton |
|
![]()
|
|
|
Structure Proposal # 412 HWVAMCJNFLFNMY Deviation = 2.87ppm
Search WEB for skeleton |
|
![]()
|
|
|
Structure Proposal # 413 NKCWUKNNEJZCNT Deviation = 2.87ppm
Search WEB for skeleton |
|
![]()
|
|
|
Structure Proposal # 414 WGUPIPDBZMPPNC Deviation = 2.87ppm
Search WEB for skeleton respect to your proposal |
|
![]()
|
|
|
Structure Proposal # 415 PGHHLVHTTGQSIS Deviation = 2.87ppm
Search WEB for skeleton respect to your proposal |
|
![]()
|
|
|
Structure Proposal # 416 KKUOBXNLNHSEGW Deviation = 2.88ppm
Search WEB for skeleton |
|
![]()
|
|
|
Structure Proposal # 417 DOSKSSUPFYKLCZ Deviation = 2.88ppm
Search WEB for skeleton |
|
![]()
|
|
|
Structure Proposal # 418 KYYRXAXEPPGQJW Deviation = 2.88ppm
Search WEB for skeleton respect to your proposal |
|
![]()
|
|
|
Structure Proposal # 419 DTWXHTODAZDINY Deviation = 2.88ppm
Search WEB for skeleton |
|
![]()
|
|
|
Structure Proposal # 420 FRABKTSKNKBKGZ Deviation = 2.88ppm
Search WEB for skeleton |
|
![]()
|
|
|
Structure Proposal # 421 BWIYWMIMYZPJIU Deviation = 2.88ppm
Search WEB for skeleton |
|
![]()
|
|
|
Structure Proposal # 422 DMVKZBUTIDQALQ Deviation = 2.88ppm
Search WEB for skeleton |
|
![]()
|
|
|
Structure Proposal # 423 QWMPKNIVTQYJBH Deviation = 2.88ppm
Search WEB for skeleton |
|
![]()
|
|
|
Structure Proposal # 424 IWPLFFNPXBHVBQ Deviation = 2.88ppm
Search WEB for skeleton |
|
![]()
|
|
|
Structure Proposal # 425 HODXUVDCASJTJB Deviation = 2.88ppm
Search WEB for skeleton respect to your proposal |
|
![]()
|
|
|
Structure Proposal # 426 BFXNUGGNTXOGAJ Deviation = 2.88ppm
Search WEB for skeleton |
|
![]()
|
|
|
Structure Proposal # 427 LDMXBNMYBZLUMK Deviation = 2.88ppm
Search WEB for skeleton |
|
![]()
|
|
|
Structure Proposal # 428 OQJGVGHUILPXSW Deviation = 2.89ppm
Search WEB for skeleton |
|
![]()
|
|
|
Structure Proposal # 429 XMLIHQYVLSLABZ Deviation = 2.89ppm
Search WEB for skeleton respect to your proposal |
|
![]()
|
|
|
Structure Proposal # 430 PRQTUHLZIVFULV Deviation = 2.89ppm
Search WEB for skeleton |
|
![]()
|
|
|
Structure Proposal # 431 SQYJTJXYVVIJLW Deviation = 2.89ppm
Search WEB for skeleton |
|
![]()
|
|
|
Structure Proposal # 432 FPKXIROVKIZZCC Deviation = 2.89ppm
Search WEB for skeleton |
|
![]()
|
|
|
Structure Proposal # 433 ICZXHVQFMHLADG Deviation = 2.89ppm
Search WEB for skeleton |
|
![]()
|
|
|
Structure Proposal # 434 ZACPGLDDZDKIRK Deviation = 2.89ppm
Search WEB for skeleton |
|
![]()
|
|
|
Structure Proposal # 435 KNXVLJKEKMRCFG Deviation = 2.89ppm
Search WEB for skeleton |
|
![]()
|
|
|
Structure Proposal # 436 BLMWKCVJIIWQRT Deviation = 2.89ppm
Search WEB for skeleton |
|
![]()
|
|
|
Structure Proposal # 437 IRJUFHIMSHWCBA Deviation = 2.89ppm
Search WEB for skeleton respect to your proposal |
|
![]()
|
|
|
Structure Proposal # 438 CSCRBCDIGDHDEL Deviation = 2.89ppm
Search WEB for skeleton |
|
![]()
|
|
|
Structure Proposal # 439 MQKBKUTXRIXLNV Deviation = 2.89ppm
Search WEB for skeleton |
|
![]()
|
|
|
Structure Proposal # 440 ANRYZKBXRFBGIH Deviation = 2.89ppm
Search WEB for skeleton |
|
![]()
|
|
|
Structure Proposal # 441 OGLBNCVMRSUJFI Deviation = 2.90ppm
Search WEB for skeleton respect to your proposal |
|
![]()
|
|
|
Structure Proposal # 442 OGIIXMGSANKYRZ Deviation = 2.90ppm
Search WEB for skeleton |
|
![]()
|
|
|
Structure Proposal # 443 YWJLYNMMUZLDIU Deviation = 2.90ppm
Search WEB for skeleton |
|
![]()
|
|
|
Structure Proposal # 444 JDTCKRCRGOMGQW Deviation = 2.90ppm
Search WEB for skeleton |
|
![]()
|
|
|
Structure Proposal # 445 OTWYFTVYBHBKPX Deviation = 2.90ppm
Search WEB for skeleton respect to your proposal |
|
![]()
|
|
|
Structure Proposal # 446 FFWVVPXPLXNDPN Deviation = 2.90ppm
Search WEB for skeleton |
|
![]()
|
|
|
Structure Proposal # 447 PWCVFULGDLDHPT Deviation = 2.90ppm
Search WEB for skeleton |
|
![]()
|
|
|
Structure Proposal # 448 HVRLZYLRYZBPRJ Deviation = 2.90ppm
Search WEB for skeleton |
|
![]()
|
|
|
Structure Proposal # 449 YNKQVHDKWFDLPC Deviation = 2.90ppm
Search WEB for skeleton |
|
![]()
|
|
|
Structure Proposal # 450 KWINTOHFJRFOJB Deviation = 2.90ppm
Search WEB for skeleton |
|
![]()
|
|
|
Structure Proposal # 451 XFTWZWRZZHEJFP Deviation = 2.90ppm
Search WEB for skeleton |
|
![]()
|
|
|
Structure Proposal # 452 APNPRSCQEUGNLA Deviation = 2.90ppm
Search WEB for skeleton |
|
![]()
|
|
|
Structure Proposal # 453 CBUNSBFFMCKIDI Deviation = 2.90ppm
Search WEB for skeleton |
|
![]()
|
|
|
Structure Proposal # 454 VFOYPPHBYALKEQ Deviation = 2.90ppm
Search WEB for skeleton |
|
![]()
|
|
|
Structure Proposal # 455 YGMLAALGDUHBKF Deviation = 2.90ppm
Search WEB for skeleton |
|
![]()
|
|
|
Structure Proposal # 456 UMWWKGLFGSXTDS Deviation = 2.90ppm
Search WEB for skeleton |
|
![]()
|
|
|
Structure Proposal # 457 ZDLKMJWHNWCRGH Deviation = 2.90ppm
Search WEB for skeleton |
|
![]()
|
|
|
Structure Proposal # 458 KTJKQUQGQWRUDC Deviation = 2.91ppm
Search WEB for skeleton |
|
![]()
|
|
|
Structure Proposal # 459 BOOIEMPZZXHOEA Deviation = 2.91ppm
Search WEB for skeleton respect to your proposal |
|
![]()
|
|
|
Structure Proposal # 460 KQGDDSVWEDYGAK Deviation = 2.91ppm
Search WEB for skeleton |
|
![]()
|
|
|
Structure Proposal # 461 ANRICQPWYHRYKO Deviation = 2.91ppm
Search WEB for skeleton |
|
![]()
|
|
|
Structure Proposal # 462 CDTHRMVPKQVPPR Deviation = 2.91ppm
Search WEB for skeleton |
|
![]()
|
|
|
Structure Proposal # 463 JDOGDSRAHAFLJH Deviation = 2.91ppm
Search WEB for skeleton |
|
![]()
|
|
|
Structure Proposal # 464 VDWVHJLDSYTYIH Deviation = 2.92ppm
Search WEB for skeleton |
|
![]()
|
|
|
Structure Proposal # 465 GBXQKQZIFJWCEG Deviation = 2.92ppm
Search WEB for skeleton |
|
![]()
|
|
|
Structure Proposal # 466 DDEQSZYLVDQJSF Deviation = 2.92ppm
Search WEB for skeleton |
|
![]()
|
|
|
Structure Proposal # 467 JBLOIGZTRGQFTA Deviation = 2.92ppm
Search WEB for skeleton Compound from PUBCHEM CSEARCH ![]() |
|
![]()
|
|
|
Structure Proposal # 468 GMZPJJFDKNIHOJ Deviation = 2.92ppm
Search WEB for skeleton |
|
![]()
|
|
|
Structure Proposal # 469 OXUWDAHZWJBSER Deviation = 2.92ppm
Search WEB for skeleton |
|
![]()
|
|
|
Structure Proposal # 470 AVNZMDDWQPCFFL Deviation = 2.92ppm
Search WEB for skeleton |
|
![]()
|
|
|
Structure Proposal # 471 PXZYKSQSNLGGCR Deviation = 2.92ppm
Search WEB for skeleton |
|
![]()
|
|
|
Structure Proposal # 472 VKKSSEMUIJQQAT Deviation = 2.92ppm
Search WEB for skeleton |
|
![]()
|
|
|
Structure Proposal # 473 JPUFUBAZOIOESU Deviation = 2.92ppm
Search WEB for skeleton |
|
![]()
|
|
|
Structure Proposal # 474 QKTJUMDGHXXBNK Deviation = 2.92ppm
Search WEB for skeleton |
|
![]()
|
|
|
Structure Proposal # 475 QBHSHYMTJSVLTN Deviation = 2.92ppm
Search WEB for skeleton |
|
![]()
|
|
|
Structure Proposal # 476 AGVUUAUWMDJYOG Deviation = 2.92ppm
Search WEB for skeleton |
|
![]()
|
|
|
Structure Proposal # 477 JUGGSUUTBRMWBT Deviation = 2.92ppm
Search WEB for skeleton |
|
![]()
|
|
|
Structure Proposal # 478 WWUSEBNOIRPAEV Deviation = 2.93ppm
Search WEB for skeleton |
|
![]()
|
|
|
Structure Proposal # 479 YAKAHYCRUFUWOT Deviation = 2.93ppm
Search WEB for skeleton |
|
![]()
|
|
|
Structure Proposal # 480 CWHYOUQFWZOQNE Deviation = 2.93ppm
Search WEB for skeleton |
|
![]()
|
|
|
Structure Proposal # 481 ZNYXVFWQGPALGR Deviation = 2.93ppm
Search WEB for skeleton |
|
![]()
|
|
|
Structure Proposal # 482 YHHWBJZBNAVJCF Deviation = 2.93ppm
Search WEB for skeleton |
|
![]()
|
|
|
Structure Proposal # 483 IYOYCPFZKNAFFT Deviation = 2.93ppm
Search WEB for skeleton |
|
![]()
|
|
|
Structure Proposal # 484 SYCGZRLOKISOFD Deviation = 2.93ppm
Search WEB for skeleton |
|
![]()
|
|
|
Structure Proposal # 485 BASKHRONNILLDE Deviation = 2.93ppm
Search WEB for skeleton |
|
![]()
|
|
|
Structure Proposal # 486 YIXCLGXLYWWPSS Deviation = 2.93ppm
Search WEB for skeleton |
|
![]()
|
|
|
Structure Proposal # 487 UDAVTXWRUNEPLP Deviation = 2.93ppm
Search WEB for skeleton |
|
![]()
|
|
|
Structure Proposal # 488 SYAKHVHZFUQSMT Deviation = 2.93ppm
Search WEB for skeleton |
|
![]()
|
|
|
Structure Proposal # 489 CLOKSWUEZYDOGQ Deviation = 2.94ppm
Search WEB for skeleton |
|
![]()
|
|
|
Structure Proposal # 490 KUWROFAIFQEOTM Deviation = 2.94ppm
Search WEB for skeleton |
|
![]()
|
|
|
Structure Proposal # 491 VVAUCAMTJCOXJS Deviation = 2.94ppm
Search WEB for skeleton |
|
![]()
|
|
|
Structure Proposal # 492 HSPRCVXDFJMLBY Deviation = 2.94ppm
Search WEB for skeleton |
|
![]()
|
|
|
Structure Proposal # 493 BMDHGLXDAATBIR Deviation = 2.94ppm
Search WEB for skeleton |
|
![]()
|
|
|
Structure Proposal # 494 DRGDHHRLOIASEN Deviation = 2.94ppm
Search WEB for skeleton |
|
![]()
|
|
|
Structure Proposal # 495 QINLBCRJLCTAMQ Deviation = 2.94ppm
Search WEB for skeleton |
|
![]()
|
|
|
Structure Proposal # 496 WAHBYLUSMPAVOX Deviation = 2.94ppm
Search WEB for skeleton |
|
![]()
|
|
|
Structure Proposal # 497 ONLPWFYMBGXXLO Deviation = 2.94ppm
Search WEB for skeleton |
|
![]()
|
|
|
Structure Proposal # 498 HUCSJZDAZSIJAF Deviation = 2.94ppm
Search WEB for skeleton |
|
![]()
|
|
|
Structure Proposal # 499 JRUSKGMKKFPIEK Deviation = 2.94ppm
Search WEB for skeleton |
|
![]()
|
|
|
Structure Proposal # 500 FLMTYWYDOSAOIZ Deviation = 2.94ppm
Search WEB for skeleton |
|
![]()
|
|
|
Structure Proposal # 501 GNMVNJPWOCPXKH Deviation = 2.94ppm
Search WEB for skeleton |
|
![]()
|
|
|
Structure Proposal # 502 FWMRZWBFKKQNRH Deviation = 2.94ppm
Search WEB for skeleton respect to your proposal |
|
![]()
|
|
|
Structure Proposal # 503 RWDQIMSEJKYUPF Deviation = 2.94ppm
Search WEB for skeleton |
|
![]()
|
|
|
Structure Proposal # 504 WNCNHMPCSQUCEC Deviation = 2.94ppm
Search WEB for skeleton |
|
![]()
|
|
|
Structure Proposal # 505 SMUPPZVGJFWKMF Deviation = 2.95ppm
Search WEB for skeleton |
|
![]()
|
|
|
Structure Proposal # 506 XQSDXEXQXHNYDF Deviation = 2.95ppm
Search WEB for skeleton |
|
![]()
|
|
|
Structure Proposal # 507 XGUNKTOFOIEQFU Deviation = 2.95ppm
Search WEB for skeleton |
|
![]()
|
|
|
Structure Proposal # 508 JCAWBKFOOJDBLS Deviation = 2.95ppm
Search WEB for skeleton |
|
![]()
|
|
|
Structure Proposal # 509 HRFZSZKJLHMYLK Deviation = 2.95ppm
Search WEB for skeleton |
|
![]()
|
|
|
Structure Proposal # 510 FWVIEECZIJSKQM Deviation = 2.95ppm
Search WEB for skeleton |
|
![]()
|
|
|
Structure Proposal # 511 FPTHCRNEFDNOID Deviation = 2.95ppm
Search WEB for skeleton |
|
![]()
|
|
|
Structure Proposal # 512 ILGRHKLBPVITGQ Deviation = 2.95ppm
Search WEB for skeleton |
|
![]()
|
|
|
Structure Proposal # 513 YFRQVPVRQRQZPR Deviation = 2.95ppm
Search WEB for skeleton |
|
![]()
|
|
|
Structure Proposal # 514 GUHMGRAKLDIUSI Deviation = 2.95ppm
Search WEB for skeleton |
|
![]()
|
|
|
Structure Proposal # 515 DBACNGUBPCMOMS Deviation = 2.95ppm
Search WEB for skeleton |
|
![]()
|
|
|
Structure Proposal # 516 WFXJGIZSEKKICP Deviation = 2.95ppm
Search WEB for skeleton |
|
![]()
|
|
|
Structure Proposal # 517 BDFUZRSMXRRTTR Deviation = 2.95ppm
Search WEB for skeleton |
|
![]()
|
|
|
Structure Proposal # 518 JFQPLQMGUCAEDO Deviation = 2.96ppm
Search WEB for skeleton |
|
![]()
|
|
|
Structure Proposal # 519 PVEDJDBWDXUXKN Deviation = 2.96ppm
Search WEB for skeleton respect to your proposal |
|
![]()
|
|
|
Structure Proposal # 520 RCYOYWIFGUCUOE Deviation = 2.96ppm
Search WEB for skeleton |
|
![]()
|
|
|
Structure Proposal # 521 AJRYQCPDXBWJGZ Deviation = 2.96ppm
Search WEB for skeleton |
|
![]()
|
|
|
Structure Proposal # 522 RKGDFDUANSZHHO Deviation = 2.96ppm
Search WEB for skeleton |
|
![]()
|
|
|
Structure Proposal # 523 UPPWLSPBLYPUBQ Deviation = 2.96ppm
Search WEB for skeleton |
|
![]()
|
|
|
Structure Proposal # 524 AKWPNFXHUKYBQY Deviation = 2.96ppm
Search WEB for skeleton |
|
![]()
|
|
|
Structure Proposal # 525 XPGZQRWRCNCVPU Deviation = 2.96ppm
Search WEB for skeleton |
|
![]()
|
|
|
Structure Proposal # 526 LQYIBCPQVZKLQV Deviation = 2.96ppm
Search WEB for skeleton |
|
![]()
|
|
|
Structure Proposal # 527 POLAZGQNDUWLCO Deviation = 2.96ppm
Search WEB for skeleton |
|
![]()
|
|
|
Structure Proposal # 528 CLRANPVOEBONCG Deviation = 2.96ppm
Search WEB for skeleton |
|
![]()
|
|
|
Structure Proposal # 529 YFXFWQOTGZCMGE Deviation = 2.97ppm
Search WEB for skeleton |
|
![]()
|
|
|
Structure Proposal # 530 CLBFMTKQARRTHY Deviation = 2.97ppm
Search WEB for skeleton |
|
![]()
|
|
|
Structure Proposal # 531 ULZMAGLGBIPPGK Deviation = 2.97ppm
Search WEB for skeleton |
|
![]()
|
|
|
Structure Proposal # 532 DZQZUBXPMHTHGY Deviation = 2.97ppm
Search WEB for skeleton |
|
![]()
|
|
|
Structure Proposal # 533 KMSKGJSOGLZWSI Deviation = 2.97ppm
Search WEB for skeleton |
|
![]()
|
|
|
Structure Proposal # 534 DHJWDOMCVUXRJU Deviation = 2.97ppm
Search WEB for skeleton |
|
![]()
|
|
|
Structure Proposal # 535 MQJHQROVSPSVRP Deviation = 2.97ppm
Search WEB for skeleton |
|
![]()
|
|
|
Structure Proposal # 536 AAIXGAADHJKPIW Deviation = 2.97ppm
Search WEB for skeleton |
|
![]()
|
|
|
Structure Proposal # 537 RBSFHPLJIDMTNN Deviation = 2.97ppm
Search WEB for skeleton |
|
![]()
|
|
|
Structure Proposal # 538 KHRKFMZMQULUMO Deviation = 2.97ppm
Search WEB for skeleton |
|
![]()
|
|
|
Structure Proposal # 539 BOQUFIPDVHGCBG Deviation = 2.97ppm
Search WEB for skeleton respect to your proposal |
|
![]()
|
|
|
Structure Proposal # 540 UFKQRHHCZYBYQB Deviation = 2.97ppm
Search WEB for skeleton |
|
![]()
|
|
|
Structure Proposal # 541 MEWNIVOYCLPDQC Deviation = 2.97ppm
Search WEB for skeleton |
|
![]()
|
|
|
Structure Proposal # 542 UPFWNYONXPHGKQ Deviation = 2.97ppm
Search WEB for skeleton |
|
![]()
|
|
|
Structure Proposal # 543 SFLJNGYAIOUZDF Deviation = 2.97ppm
Search WEB for skeleton |
|
![]()
|
|
|
Structure Proposal # 544 XTHBYCPKGACQLB Deviation = 2.97ppm
Search WEB for skeleton |
|
![]()
|
|
|
Structure Proposal # 545 BQOBPEOJAOPXJF Deviation = 2.97ppm
Search WEB for skeleton |
|
![]()
|
|
|
Structure Proposal # 546 UUICMQXJFUZDRE Deviation = 2.97ppm
Search WEB for skeleton |
|
![]()
|
|
|
Structure Proposal # 547 BATXBHIMSCDWRX Deviation = 2.98ppm
Search WEB for skeleton |
|
![]()
|
|
|
Structure Proposal # 548 CIAIBPHLOHQQAY Deviation = 2.98ppm
Search WEB for skeleton respect to your proposal |
|
![]()
|
|
|
Structure Proposal # 549 QDSSYYREHSENJT Deviation = 2.98ppm
Search WEB for skeleton |
|
![]()
|
|
|
Structure Proposal # 550 QZXNKXOQECKMFI Deviation = 2.98ppm
Search WEB for skeleton |
|
![]()
|
|
|
Structure Proposal # 551 GDCHXCRZFVMBEG Deviation = 2.98ppm
Search WEB for skeleton |
|
![]()
|
|
|
Structure Proposal # 552 AJPRAIWONJMUNB Deviation = 2.98ppm
Search WEB for skeleton |
|
![]()
|
|
|
Structure Proposal # 553 SVZGXTWNTKESMO Deviation = 2.98ppm
Search WEB for skeleton |
|
![]()
|
|
|
Structure Proposal # 554 ILRXKFBIXOTNAS Deviation = 2.98ppm
Search WEB for skeleton |
|
![]()
|
|
|
Structure Proposal # 555 NLQDMHJXUIUULL Deviation = 2.98ppm
Search WEB for skeleton |
|
![]()
|
|
|
Structure Proposal # 556 HKXZJKKFLMPZRJ Deviation = 2.98ppm
Search WEB for skeleton |
|
![]()
|
|
|
Structure Proposal # 557 JNTVYDTVJAWUBE Deviation = 2.98ppm
Search WEB for skeleton |
|
![]()
|
|
|
Structure Proposal # 558 NEJUUWQMBPUHPL Deviation = 2.98ppm
Search WEB for skeleton |
|
![]()
|
|
|
Structure Proposal # 559 GMSWELPYKNYMQY Deviation = 2.98ppm
Search WEB for skeleton respect to your proposal |
|
![]()
|
|
|
Structure Proposal # 560 CQVSNBADOOCRQL Deviation = 2.98ppm
Search WEB for skeleton |
|
![]()
|
|
|
Structure Proposal # 561 ZCAWHURIPMXRLX Deviation = 2.98ppm
Search WEB for skeleton respect to your proposal |
|
![]()
|
|
|
Structure Proposal # 562 GOWJUQHBCKMUPG Deviation = 2.98ppm
Search WEB for skeleton respect to your proposal |
|
![]()
|
|
|
Structure Proposal # 563 GASGOBUEVIDKRN Deviation = 2.99ppm
Search WEB for skeleton |
|
![]()
|
|
|
Structure Proposal # 564 JESXOUFHQAMBBY Deviation = 2.99ppm
Search WEB for skeleton |
|
![]()
|
|
|
Structure Proposal # 565 HALMMWYBQWLEDT Deviation = 2.99ppm
Search WEB for skeleton |
|
![]()
|
|
|
Structure Proposal # 566 IYIOESCPGZCONN Deviation = 2.99ppm
Search WEB for skeleton |
|
![]()
|
|
|
Structure Proposal # 567 NRIBLGQRBOXKQZ Deviation = 2.99ppm
Search WEB for skeleton |
|
![]()
|
|
|
Structure Proposal # 568 TZHAGNPALGRXSW Deviation = 2.99ppm
Search WEB for skeleton |
|
![]()
|
|
|
Structure Proposal # 569 BCNLNNHZTDQBAQ Deviation = 2.99ppm
Search WEB for skeleton |
|
![]()
|
|
|
Structure Proposal # 570 KFXPZHMLMWBWBQ Deviation = 2.99ppm
Search WEB for skeleton |
|
![]()
|
|
|
Structure Proposal # 571 VTDQEKWKWYHCQF Deviation = 2.99ppm
Search WEB for skeleton |
|
![]()
|
|
|
Structure Proposal # 572 SOWHJRBIOYCVQY Deviation = 2.99ppm
Search WEB for skeleton |
|
![]()
|
|
|
Structure Proposal # 573 DJNHSLAHGXXNKT Deviation = 2.99ppm
Search WEB for skeleton respect to your proposal |
|
![]()
|
|
|
Structure Proposal # 574 CXMIMDYCXIUVCZ Deviation = 2.99ppm
Search WEB for skeleton |
|
![]()
|
|
|
Structure Proposal # 575 JTQIXXSAFBIGEM Deviation = 2.99ppm
Search WEB for skeleton |
|
![]()
|
|
|
Structure Proposal # 576 MPMNZJSSVHGUDI Deviation = 2.99ppm
Search WEB for skeleton |
|
![]()
|
|
|
Structure Proposal # 577 JPMWHAYIPDWWEY Deviation = 2.99ppm
Search WEB for skeleton |
|
![]()
|
|
|
Structure Proposal # 578 GSEBIYYBZWKGIR Deviation = 2.99ppm
Search WEB for skeleton |
|
![]()
|
|
|
Structure Proposal # 579 SGLYZJHQCSWCRF Deviation = 2.99ppm
Search WEB for skeleton |
|
![]()
|
|
|
Structure Proposal # 580 XBTUZZMAODRDHN Deviation = 2.99ppm
Search WEB for skeleton |
|
![]()
|
|
|
Structure Proposal # 581 AFIHBSVAJAKYNV Deviation = 2.99ppm
Search WEB for skeleton |
|
![]()
|
|
|
Structure Proposal # 582 HBHFWLXETZRVQM Deviation = 3.00ppm
Search WEB for skeleton |
|
![]()
|
|
|
Structure Proposal # 583 UIMUGVPKCOHHIC Deviation = 3.00ppm
Search WEB for skeleton |
|
![]()
|
|
|
Structure Proposal # 584 RKINAPXWHQAGCM Deviation = 3.00ppm
Search WEB for skeleton |
|
![]()
|
|
|
Structure Proposal # 585 WTASAAWFUBOLQJ Deviation = 3.00ppm
Search WEB for skeleton |
|
![]()
|
|
|
Structure Proposal # 586 SXEYZTRBFJDKIG Deviation = 3.00ppm
Search WEB for skeleton |
|
![]()
|
|
|
Structure Proposal # 587 NUJLSMVPJWCUDK Deviation = 3.00ppm
Search WEB for skeleton |
|
![]()
|
|
|
Structure Proposal # 588 OFBVUSKNCZCUFP Deviation = 3.00ppm
Search WEB for skeleton |
|
![]()
|
|
|
Structure Proposal # 589 CDRVDZOUCNSRNU Deviation = 3.00ppm
Search WEB for skeleton |
|
![]()
|
|
|
Structure Proposal # 590 VWXDGGXUAZDWEX Deviation = 3.00ppm
Search WEB for skeleton |
|
![]()
|
|
|
Structure Proposal # 591 HITNUQFGYDBEAC Deviation = 3.00ppm
Search WEB for skeleton |
|
![]()
|
|
|
Structure Proposal # 592 CQDFJYIJNJOHFH Deviation = 3.00ppm
Search WEB for skeleton |
|
![]()
|
|
|
Structure Proposal # 593 WNZZJQKOOJHSPY Deviation = 3.00ppm
Search WEB for skeleton |
|
![]()
|
|
|
Structure Proposal # 594 FVOGQNXCLYGAAW Deviation = 3.00ppm
Search WEB for skeleton respect to your proposal |
|
![]()
|
|
|
Structure Proposal # 595 FRKPJJNJBZKWSC Deviation = 3.00ppm
Search WEB for skeleton |
|
![]()
|
|
|
Structure Proposal # 596 OLARKBWXSAMJMS Deviation = 3.00ppm
Search WEB for skeleton |
|
![]()
|
|
|
Structure Proposal # 597 CDPGJXWUIQAHLX Deviation = 3.00ppm
Search WEB for skeleton |
|
![]()
|
|
|
Structure Proposal # 598 VKTNOKGCUCPJJS Deviation = 3.00ppm
Search WEB for skeleton |
|
![]()
|
|
|
Structure Proposal # 599 QATQKRPGWGYXKG Deviation = 3.00ppm
Search WEB for skeleton |
|
![]()
|
|
|
Structure Proposal # 600 LBSDMCZNVYJYSE Deviation = 3.01ppm
Search WEB for skeleton |
|
![]()
|
|
|
Structure Proposal # 601 RODMPPBTHCSPQF Deviation = 3.01ppm
Search WEB for skeleton |
|
![]()
|
|
|
Structure Proposal # 602 JHHRZULKBDZDSX Deviation = 3.01ppm
Search WEB for skeleton |
|
![]()
|
|
|
Structure Proposal # 603 DBYXDVBNKOVYAO Deviation = 3.01ppm
Search WEB for skeleton |
|
![]()
|
|
|
Structure Proposal # 604 WIHBMBUJQKJFRL Deviation = 3.01ppm
Search WEB for skeleton respect to your proposal |
|
![]()
|
|
|
Structure Proposal # 605 SEIXVMREFASRKK Deviation = 3.01ppm
Search WEB for skeleton |
|
![]()
|
|
|
Structure Proposal # 606 PFQXJCGJMDISIT Deviation = 3.01ppm
Search WEB for skeleton |
|
![]()
|
|
|
Structure Proposal # 607 ANLLZYVKGDNBQE Deviation = 3.01ppm
Search WEB for skeleton |
|
![]()
|
|
|
Structure Proposal # 608 TYYQEZWAGXCXRE Deviation = 3.01ppm
Search WEB for skeleton |
|
![]()
|
|
|
Structure Proposal # 609 REVDDSDSEGSGOU Deviation = 3.01ppm
Search WEB for skeleton |
|
![]()
|
|
|
Structure Proposal # 610 KYJMQUCSMOOIEB Deviation = 3.01ppm
Search WEB for skeleton respect to your proposal |
|
![]()
|
|
|
Structure Proposal # 611 OKLUITKSFWTSSE Deviation = 3.01ppm
Search WEB for skeleton |
|
![]()
|
|
|
Structure Proposal # 612 JGJHEHALBVQJGL Deviation = 3.01ppm
Search WEB for skeleton |
|
![]()
|
|
|
Structure Proposal # 613 AFENCGIKEMSHJB Deviation = 3.01ppm
Search WEB for skeleton |
|
![]()
|
|
|
Structure Proposal # 614 DWJXNAGPCXVTKZ Deviation = 3.01ppm
Search WEB for skeleton |
|
![]()
|
|
|
Structure Proposal # 615 VACLYXOGEQOCAM Deviation = 3.01ppm
Search WEB for skeleton |
|
![]()
|
|
|
Structure Proposal # 616 YPPVFHNTRYWBIL Deviation = 3.01ppm
Search WEB for skeleton |
|
![]()
|
|
|
Structure Proposal # 617 VHCDHZDZCPRIDC Deviation = 3.01ppm
Search WEB for skeleton |
|
![]()
|
|
|
Structure Proposal # 618 GMENVPFJHNYDLP Deviation = 3.01ppm
Search WEB for skeleton |
|
![]()
|
|
|
Structure Proposal # 619 KYYTWFMUXSURFS Deviation = 3.01ppm
Search WEB for skeleton respect to your proposal |
|
![]()
|
|
|
Structure Proposal # 620 HHXBNSFJSCJMGW Deviation = 3.02ppm
Search WEB for skeleton |
|
![]()
|
|
|
Structure Proposal # 621 UXCGAXATIFSKGO Deviation = 3.02ppm
Search WEB for skeleton |
|
![]()
|
|
|
Structure Proposal # 622 OTKCEAKDWRVKMN Deviation = 3.02ppm
Search WEB for skeleton |
|
![]()
|
|
|
Structure Proposal # 623 DTQXFTBBZQWMPU Deviation = 3.02ppm
Search WEB for skeleton |
|
![]()
|
|
|
Structure Proposal # 624 FTNFVZAOIXRLJM Deviation = 3.02ppm
Search WEB for skeleton |
|
![]()
|
|
|
Structure Proposal # 625 AXKUQBQITVKFBM Deviation = 3.02ppm
Search WEB for skeleton |
|
![]()
|
|
|
Structure Proposal # 626 YBUGOJMYNCEJHR Deviation = 3.02ppm
Search WEB for skeleton |
|
![]()
|
|
|
Structure Proposal # 627 WCRDTWSFZBUSMS Deviation = 3.02ppm
Search WEB for skeleton |
|
![]()
|
|
|
Structure Proposal # 628 CDRXPSSHZQLQAN Deviation = 3.02ppm
Search WEB for skeleton |
|
![]()
|
|
|
Structure Proposal # 629 SRFHMSNNKIKZQU Deviation = 3.02ppm
Search WEB for skeleton |
|
![]()
|
|
|
Structure Proposal # 630 CYRIOGRHJIKQSR Deviation = 3.02ppm
Search WEB for skeleton |
|
![]()
|
|
|
Structure Proposal # 631 JSMVNVJFKASHDO Deviation = 3.02ppm
Search WEB for skeleton |
|
![]()
|
|
|
Structure Proposal # 632 XQCZBFOKVAHYCD Deviation = 3.02ppm
Search WEB for skeleton respect to your proposal |
|
![]()
|
|
|
Structure Proposal # 633 KTBAZYZNIYGFBS Deviation = 3.02ppm
Search WEB for skeleton |
|
![]()
|
|
|
Structure Proposal # 634 CQSNFCUVYFOYAB Deviation = 3.02ppm
Search WEB for skeleton |
|
![]()
|
|
|
Structure Proposal # 635 KNXWAPTYRXWPRU Deviation = 3.02ppm
Search WEB for skeleton |
|
![]()
|
|
|
Structure Proposal # 636 OVBOYQZUBPVNGQ Deviation = 3.02ppm
Search WEB for skeleton |
|
![]()
|
|
|
Structure Proposal # 637 YIRXPIUNMCDFKN Deviation = 3.02ppm
Search WEB for skeleton respect to your proposal |
|
![]()
|
|
|
Structure Proposal # 638 AZESOPWNFAOJKA Deviation = 3.02ppm
Search WEB for skeleton |
|
![]()
|
|
|
Structure Proposal # 639 VEEAYDKANVFMSG Deviation = 3.02ppm
Search WEB for skeleton |
|
![]()
|
|
|
Structure Proposal # 640 HQLWMIXPIUPGOM Deviation = 3.02ppm
Search WEB for skeleton |
|
![]()
|
|
|
Structure Proposal # 641 AIUOPXXJLCPQKQ Deviation = 3.02ppm
Search WEB for skeleton |
|
![]()
|
|
|
Structure Proposal # 642 AZZAMYFGARJLMY Deviation = 3.02ppm
Search WEB for skeleton |
|
![]()
|
|
|
Structure Proposal # 643 PQRSLQLHCNRLHO Deviation = 3.02ppm
Search WEB for skeleton |
|
![]()
|
|
|
Structure Proposal # 644 UHHACQYDEPHXHP Deviation = 3.03ppm
Search WEB for skeleton |
|
![]()
|
|
|
Structure Proposal # 645 KGPUKPFZTGGIET Deviation = 3.03ppm
Search WEB for skeleton |
|
![]()
|
|
|
Structure Proposal # 646 SSXOVVRJYVMVKB Deviation = 3.03ppm
Search WEB for skeleton |
|
![]()
|
|
|
Structure Proposal # 647 MGWZAZVJIHAUHN Deviation = 3.03ppm
Search WEB for skeleton respect to your proposal |
|
![]()
|
|
|
Structure Proposal # 648 IODZKYQRECGXNU Deviation = 3.03ppm
Search WEB for skeleton |
|
![]()
|
|
|
Structure Proposal # 649 UXAHCUGVKCYOBB Deviation = 3.03ppm
Search WEB for skeleton respect to your proposal |
|
![]()
|
|
|
Structure Proposal # 650 JZJOIANMXPWQEA Deviation = 3.03ppm
Search WEB for skeleton |
|
![]()
|
|
|
Structure Proposal # 651 FDWJISYRXNBSRG Deviation = 3.03ppm
Search WEB for skeleton |
|
![]()
|
|
|
Structure Proposal # 652 NJJCCDVYYOEQEX Deviation = 3.03ppm
Search WEB for skeleton |
|
![]()
|
|
|
Structure Proposal # 653 UNTRICQMDRJAHH Deviation = 3.03ppm
Search WEB for skeleton |
|
![]()
|
|
|
Structure Proposal # 654 JJHHUSBRSUFSOY Deviation = 3.03ppm
Search WEB for skeleton |
|
![]()
|
|
|
Structure Proposal # 655 OJGRZCNRCXARDL Deviation = 3.03ppm
Search WEB for skeleton |
|
![]()
|
|
|
Structure Proposal # 656 LTQWGUPJYKLSOB Deviation = 3.03ppm
Search WEB for skeleton |
|
![]()
|
|
|
Structure Proposal # 657 SDHLGSMPOPSDEG Deviation = 3.03ppm
Search WEB for skeleton |
|
![]()
|
|
|
Structure Proposal # 658 OYWABQGNPFKRSX Deviation = 3.03ppm
Search WEB for skeleton |
|
![]()
|
|
|
Structure Proposal # 659 QRTLHQVJTRLAAT Deviation = 3.03ppm
Search WEB for skeleton |
|
![]()
|
|
|
Structure Proposal # 660 KXOVRMVNKNGOQC Deviation = 3.03ppm
Search WEB for skeleton |
|
![]()
|
|
|
Structure Proposal # 661 CGAQKLWILJFITP Deviation = 3.03ppm
Search WEB for skeleton |
|
![]()
|
|
|
Structure Proposal # 662 BTATVNBSEVRZSG Deviation = 3.03ppm
Search WEB for skeleton |
|
![]()
|
|
|
Structure Proposal # 663 VZVARDXWWWKBAK Deviation = 3.04ppm
Search WEB for skeleton |
|
![]()
|
|
|
Structure Proposal # 664 YJQYUDYTOZXNFW Deviation = 3.04ppm
Search WEB for skeleton |
|
![]()
|
|
|
Structure Proposal # 665 WZECEJQDFYRBJT Deviation = 3.04ppm
Search WEB for skeleton |
|
![]()
|
|
|
Structure Proposal # 666 FQCMYUJIPWDWOX Deviation = 3.04ppm
Search WEB for skeleton respect to your proposal |
|
![]()
|
|
|
Structure Proposal # 667 GVMWSFJYGOETQY Deviation = 3.04ppm
Search WEB for skeleton |
|
![]()
|
|
|
Structure Proposal # 668 RMOYFSNRVSDXDP Deviation = 3.04ppm
Search WEB for skeleton |
|
![]()
|
|
|
Structure Proposal # 669 WGGHBQZIYOQQSO Deviation = 3.04ppm
Search WEB for skeleton |
|
![]()
|
|
|
Structure Proposal # 670 FAHXUUOBCBFERY Deviation = 3.04ppm
Search WEB for skeleton |
|
![]()
|
|
|
Structure Proposal # 671 KGZWYOGWQMHUSN Deviation = 3.04ppm
Search WEB for skeleton |
|
![]()
|
|
|
Structure Proposal # 672 BOLZLQALMCDYIO Deviation = 3.04ppm
Search WEB for skeleton |
|
![]()
|
|
|
Structure Proposal # 673 UNJFZGVQPNEHMV Deviation = 3.04ppm
Search WEB for skeleton |
|
![]()
|
|
|
Structure Proposal # 674 OMYXSYXAKRETHC Deviation = 3.04ppm
Search WEB for skeleton |
|
![]()
|
|
|
Structure Proposal # 675 BDQSGMROKJAYEA Deviation = 3.04ppm
Search WEB for skeleton |
|
![]()
|
|
|
Structure Proposal # 676 DRFQBHWRFMFWEL Deviation = 3.04ppm
Search WEB for skeleton |
|
![]()
|
|
|
Structure Proposal # 677 GKJFOVDOCNZAEB Deviation = 3.04ppm
Search WEB for skeleton |
|
![]()
|
|
|
Structure Proposal # 678 CNMITXFOVUMGIO Deviation = 3.04ppm
Search WEB for skeleton |
|
![]()
|
|
|
Structure Proposal # 679 NBDHRCLKRYMPRZ Deviation = 3.04ppm
Search WEB for skeleton respect to your proposal |
|
![]()
|
|
|
Structure Proposal # 680 MCRBANLIFRQVHN Deviation = 3.04ppm
Search WEB for skeleton |
|
![]()
|
|
|
Structure Proposal # 681 JTDDWDQXRGDNNU Deviation = 3.04ppm
Search WEB for skeleton |
|
![]()
|
|
|
Structure Proposal # 682 MBSCUDMITMLUMO Deviation = 3.04ppm
Search WEB for skeleton |
|
![]()
|
|
|
Structure Proposal # 683 SRGXBFOUTKIHPF Deviation = 3.04ppm
Search WEB for skeleton |
|
![]()
|
|
|
Structure Proposal # 684 PZCSQCRWGTXVNW Deviation = 3.04ppm
Search WEB for skeleton respect to your proposal |
|
![]()
|
|
|
Structure Proposal # 685 JMDNVGKMYRPDEQ Deviation = 3.05ppm
Search WEB for skeleton |
|
![]()
|
|
|
Structure Proposal # 686 LJOYFRIIUTTYLV Deviation = 3.05ppm
Search WEB for skeleton |
|
![]()
|
|
|
Structure Proposal # 687 DVRYPVQISSQFER Deviation = 3.05ppm
Search WEB for skeleton |
|
![]()
|
|
|
Structure Proposal # 688 TUOPWSAVKKBKCD Deviation = 3.05ppm
Search WEB for skeleton |
|
![]()
|
|
|
Structure Proposal # 689 KEFLPWZZTGNSOW Deviation = 3.05ppm
Search WEB for skeleton |
|
![]()
|
|
|
Structure Proposal # 690 QMKZUAMBSLNYOY Deviation = 3.05ppm
Search WEB for skeleton |
|
![]()
|
|
|
Structure Proposal # 691 DUTOBGGYUOLNKY Deviation = 3.05ppm
Search WEB for skeleton |
|
![]()
|
|
|
Structure Proposal # 692 DNSRTXKNYJJLAS Deviation = 3.05ppm
Search WEB for skeleton |
|
![]()
|
|
|
Structure Proposal # 693 BUOGHQDREPCMHG Deviation = 3.05ppm
Search WEB for skeleton |
|
![]()
|
|
|
Structure Proposal # 694 CQUNBGRBNNAOLX Deviation = 3.05ppm
Search WEB for skeleton |
|
![]()
|
|
|
Structure Proposal # 695 NIDBURHMPCJNNH Deviation = 3.05ppm
Search WEB for skeleton |
|
![]()
|
|
|
Structure Proposal # 696 UAQDBAOXUYTGQN Deviation = 3.05ppm
Search WEB for skeleton |
|
![]()
|
|
|
Structure Proposal # 697 OSOBBRZREZZASI Deviation = 3.05ppm
Search WEB for skeleton |
|
![]()
|
|
|
Structure Proposal # 698 AGMTUCOJQXVHCN Deviation = 3.05ppm
Search WEB for skeleton |
|
![]()
|
|
|
Structure Proposal # 699 VWQUODYIEGIVQH Deviation = 3.05ppm
Search WEB for skeleton |
|
![]()
|
|
|
Structure Proposal # 700 IKUWIXSCPUNVLB Deviation = 3.06ppm
Search WEB for skeleton |
|
![]()
|
|
|
Structure Proposal # 701 DUPRQPKDFRPNCQ Deviation = 3.06ppm
Search WEB for skeleton |
|
![]()
|
|
|
Structure Proposal # 702 NRBDGZKCXWBJPQ Deviation = 3.06ppm
Search WEB for skeleton |
|
![]()
|
|
|
Structure Proposal # 703 NEPJJHWALCTQHM Deviation = 3.06ppm
Search WEB for skeleton |
|
![]()
|
|
|
Structure Proposal # 704 LGOZWBFLPKBXBS Deviation = 3.06ppm
Search WEB for skeleton |
|
![]()
|
|
|
Structure Proposal # 705 FKUFPSKBMGRPMV Deviation = 3.06ppm
Search WEB for skeleton |
|
![]()
|
|
|
Structure Proposal # 706 DTWRTJDBJOVOOB Deviation = 3.06ppm
Search WEB for skeleton |
|
![]()
|
|
|
Structure Proposal # 707 GOHQCLJQGZPLAT Deviation = 3.06ppm
Search WEB for skeleton |
|
![]()
|
|
|
Structure Proposal # 708 AGPHCCIIHPHQAT Deviation = 3.06ppm
Search WEB for skeleton |
|
![]()
|
|
|
Structure Proposal # 709 GUASLMNUPIBGMW Deviation = 3.06ppm
Search WEB for skeleton |
|
![]()
|
|
|
Structure Proposal # 710 WZNGXEAOAMGYPA Deviation = 3.06ppm
Search WEB for skeleton |
|
![]()
|
|
|
Structure Proposal # 711 DQEIDMODLLVDPM Deviation = 3.06ppm
Search WEB for skeleton |
|
![]()
|
|
|
Structure Proposal # 712 NVIBDQCYGXXLEB Deviation = 3.06ppm
Search WEB for skeleton |
|
![]()
|
|
|
Structure Proposal # 713 MIKXWGPTKBAYAU Deviation = 3.06ppm
Search WEB for skeleton |
|
![]()
|
|
|
Structure Proposal # 714 AREDJFGOGWUVQY Deviation = 3.06ppm
Search WEB for skeleton |
|
![]()
|
|
|
Structure Proposal # 715 QURLPYHLDNTBTG Deviation = 3.06ppm
Search WEB for skeleton |
|
![]()
|
|
|
Structure Proposal # 716 WNHDNPGGLXSYJJ Deviation = 3.06ppm
Search WEB for skeleton |
|
![]()
|
|
|
Structure Proposal # 717 ZIDMNHNOGGKVRT Deviation = 3.06ppm
Search WEB for skeleton |
|
![]()
|
|
|
Structure Proposal # 718 TVHFCMDWOAATEM Deviation = 3.06ppm
Search WEB for skeleton |
|
![]()
|
|
|
Structure Proposal # 719 UUYSEBBYRWIXTB Deviation = 3.06ppm
Search WEB for skeleton |
|
![]()
|
|
|
Structure Proposal # 720 OSSNVMVMXLGHOO Deviation = 3.06ppm
Search WEB for skeleton |
|
![]()
|
|
|
Structure Proposal # 721 OROUWRVZROZROJ Deviation = 3.06ppm
Search WEB for skeleton |
|
![]()
|
|
|
Structure Proposal # 722 XBEKNKLVQVQOFZ Deviation = 3.06ppm
Search WEB for skeleton |
|
![]()
|
|
|
Structure Proposal # 723 JFEUXFVJTHFVRB Deviation = 3.07ppm
Search WEB for skeleton |
|
![]()
|
|
|
Structure Proposal # 724 VZZCARYKJJOXPT Deviation = 3.07ppm
Search WEB for skeleton |
|
![]()
|
|
|
Structure Proposal # 725 KVUKMUFCKSPOLX Deviation = 3.07ppm
Search WEB for skeleton |
|
![]()
|
|
|
Structure Proposal # 726 FZAMWYKKKDMVIG Deviation = 3.07ppm
Search WEB for skeleton |
|
![]()
|
|
|
Structure Proposal # 727 LNTHFHFUWGESKO Deviation = 3.07ppm
Search WEB for skeleton |
|
![]()
|
|
|
Structure Proposal # 728 MXKXRNROCVOSAT Deviation = 3.07ppm
Search WEB for skeleton |
|
![]()
|
|
|
Structure Proposal # 729 RXFZZDUIQVCKEK Deviation = 3.07ppm
Search WEB for skeleton |
|
![]()
|
|
|
Structure Proposal # 730 XCJHIOVHPYWWNJ Deviation = 3.07ppm
Search WEB for skeleton |
|
![]()
|
|
|
Structure Proposal # 731 DNJCREXWTNJRCY Deviation = 3.07ppm
Search WEB for skeleton |
|
![]()
|
|
|
Structure Proposal # 732 TXIBQQIKADYYST Deviation = 3.07ppm
Search WEB for skeleton |
|
![]()
|
|
|
Structure Proposal # 733 QBTAQRYZGHKBDH Deviation = 3.07ppm
Search WEB for skeleton |
|
![]()
|
|
|
Structure Proposal # 734 XEWPQZMTZYKAEX Deviation = 3.07ppm
Search WEB for skeleton respect to your proposal |
|
![]()
|
|
|
Structure Proposal # 735 HJHBOQLVUNUBAG Deviation = 3.07ppm
Search WEB for skeleton |
|
![]()
|
|
|
Structure Proposal # 736 DJYLSCPKWRVOMJ Deviation = 3.07ppm
Search WEB for skeleton |
|
![]()
|
|
|
Structure Proposal # 737 OVOXPWJYIPKDRI Deviation = 3.07ppm
Search WEB for skeleton |
|
![]()
|
|
|
Structure Proposal # 738 RLQXQCHXUJMSKC Deviation = 3.07ppm
Search WEB for skeleton |
|
![]()
|
|
|
Structure Proposal # 739 BNXVZYQACXHLMS Deviation = 3.07ppm
Search WEB for skeleton |
|
![]()
|
|
|
Structure Proposal # 740 RDHBYWHHKZHUNU Deviation = 3.07ppm
Search WEB for skeleton |
|
![]()
|
|
|
Structure Proposal # 741 OEKRPGBBRXXUSF Deviation = 3.07ppm
Search WEB for skeleton |
|
![]()
|
|
|
Structure Proposal # 742 KPIDFLQWLLJASB Deviation = 3.07ppm
Search WEB for skeleton |
|
![]()
|
|
|
Structure Proposal # 743 IGOVLBSUZGJZBG Deviation = 3.07ppm
Search WEB for skeleton |
|
![]()
|
|
|
Structure Proposal # 744 UEDRCKZFWBGGCN Deviation = 3.07ppm
Search WEB for skeleton |
|
![]()
|
|
|
Structure Proposal # 745 BZQHRFOPUMGUCB Deviation = 3.07ppm
Search WEB for skeleton |
|
![]()
|
|
|
Structure Proposal # 746 RDOIYWLLSGFQKC Deviation = 3.07ppm
Search WEB for skeleton |
|
![]()
|
|
|
Structure Proposal # 747 YHBBUKUFRKADCF Deviation = 3.07ppm
Search WEB for skeleton |
|
![]()
|
|
|
Structure Proposal # 748 AMVZBLITFVSSDX Deviation = 3.07ppm
Search WEB for skeleton |
|
![]()
|
|
|
Structure Proposal # 749 MAECZOPCOODLPY Deviation = 3.07ppm
Search WEB for skeleton |
|
![]()
|
|
|
Structure Proposal # 750 MUDUWVJKWHZDBZ Deviation = 3.08ppm
Search WEB for skeleton |
|
![]()
|
|
|
Structure Proposal # 751 FVSJDGGVMKMZPH Deviation = 3.08ppm
Search WEB for skeleton |
|
![]()
|
|
|
Structure Proposal # 752 VRDJJRVFDVIYLT Deviation = 3.08ppm
Search WEB for skeleton |
|
![]()
|
|
|
Structure Proposal # 753 NJLVMKILRBOJLF Deviation = 3.08ppm
Search WEB for skeleton |
|
![]()
|
|
|
Structure Proposal # 754 NABPVMUSHFLNOF Deviation = 3.08ppm
Search WEB for skeleton |
|
![]()
|
|
|
Structure Proposal # 755 HVZDMJMZJIXWDF Deviation = 3.08ppm
Search WEB for skeleton |
|
![]()
|
|
|
Structure Proposal # 756 FQTSBJPEGRLSKP Deviation = 3.08ppm
Search WEB for skeleton |
|
![]()
|
|
|
Structure Proposal # 757 IMUDBXOVMBHAFP Deviation = 3.08ppm
Search WEB for skeleton |
|
![]()
|
|
|
Structure Proposal # 758 UVPFLSMPFOXXQQ Deviation = 3.08ppm
Search WEB for skeleton |
|
![]()
|
|
|
Structure Proposal # 759 PXFHHDWJRQLYRF Deviation = 3.08ppm
Search WEB for skeleton |
|
![]()
|
|
|
Structure Proposal # 760 HCBQLAMTKKTMIV Deviation = 3.08ppm
Search WEB for skeleton |
|
![]()
|
|
|
Structure Proposal # 761 XATKFKQVYYZNQO Deviation = 3.08ppm
Search WEB for skeleton |
|
![]()
|
|
|
Structure Proposal # 762 GCLSJWYZLIOZLO Deviation = 3.08ppm
Search WEB for skeleton |
|
![]()
|
|
|
Structure Proposal # 763 AEAHDUVBVDFASJ Deviation = 3.08ppm
Search WEB for skeleton |
|
![]()
|
|
|
Structure Proposal # 764 HIGREIRUUCNCOB Deviation = 3.08ppm
Search WEB for skeleton respect to your proposal |
|
![]()
|
|
|
Structure Proposal # 765 HCMHTCFKBLEGDU Deviation = 3.08ppm
Search WEB for skeleton |
|
![]()
|
|
|
Structure Proposal # 766 PHTSLXQSKDQLBE Deviation = 3.08ppm
Search WEB for skeleton |
|
![]()
|
|
|
Structure Proposal # 767 BKRHQAVLQCMRQW Deviation = 3.08ppm
Search WEB for skeleton respect to your proposal |
|
![]()
|
|
|
Structure Proposal # 768 GAAOYFKZNQMKTC Deviation = 3.08ppm
Search WEB for skeleton |
|
![]()
|
|
|
Structure Proposal # 769 WBEIFBXPWNBXIR Deviation = 3.08ppm
Search WEB for skeleton |
|
![]()
|
|
|
Structure Proposal # 770 DMWPJDNOKFSNJN Deviation = 3.08ppm
Search WEB for skeleton |
|
![]()
|
|
|
Structure Proposal # 771 YFCQHRBDVRMUBN Deviation = 3.08ppm
Search WEB for skeleton |
|
![]()
|
|
|
Structure Proposal # 772 UFTGMLLYGFVMFR Deviation = 3.08ppm
Search WEB for skeleton |
|
![]()
|
|
|
Structure Proposal # 773 ZSQREHDGWSBWDC Deviation = 3.09ppm
Search WEB for skeleton |
|
![]()
|
|
|
Structure Proposal # 774 RJUNMKYCZZEVGX Deviation = 3.09ppm
Search WEB for skeleton |
|
![]()
|
|
|
Structure Proposal # 775 GWKIZIOAWNCNDS Deviation = 3.09ppm
Search WEB for skeleton respect to your proposal |
|
![]()
|
|
|
Structure Proposal # 776 QMHSDCDXUJPPIB Deviation = 3.09ppm
Search WEB for skeleton respect to your proposal |
|
![]()
|
|
|
Structure Proposal # 777 VZLZMWWGEIMCAI Deviation = 3.09ppm
Search WEB for skeleton |
|
![]()
|
|
|
Structure Proposal # 778 DMLGIHINWVLTCX Deviation = 3.09ppm
Search WEB for skeleton |
|
![]()
|
|
|
Structure Proposal # 779 KKFHAXUZUMPUPZ Deviation = 3.09ppm
Search WEB for skeleton |
|
![]()
|
|
|
Structure Proposal # 780 FISLZOQPORYEEV Deviation = 3.09ppm
Search WEB for skeleton |
|
![]()
|
|
|
Structure Proposal # 781 JGQKWCOPQRYDDQ Deviation = 3.09ppm
Search WEB for skeleton |
|
![]()
|
|
|
Structure Proposal # 782 ZIZDGXJSDDDMRC Deviation = 3.09ppm
Search WEB for skeleton |
|
![]()
|
|
|
Structure Proposal # 783 FISQCFAMYHLXMW Deviation = 3.09ppm
Search WEB for skeleton |
|
![]()
|
|
|
Structure Proposal # 784 VBKHBDDKXDMIEA Deviation = 3.09ppm
Search WEB for skeleton |
|
![]()
|
|
|
Structure Proposal # 785 QKXIMEPARKEJRH Deviation = 3.09ppm
Search WEB for skeleton respect to your proposal |
|
![]()
|
|
|
Structure Proposal # 786 OAUHUBKWVKMNES Deviation = 3.09ppm
Search WEB for skeleton |
|
![]()
|
|
|
Structure Proposal # 787 RUMSCAJOMNBLEJ Deviation = 3.09ppm
Search WEB for skeleton |
|
![]()
|
|
|
Structure Proposal # 788 ZIFMAIZKAIMAET Deviation = 3.09ppm
Search WEB for skeleton |
|
![]()
|
|
|
Structure Proposal # 789 RHDASZMUMYKUFG Deviation = 3.09ppm
Search WEB for skeleton |
|
![]()
|
|
|
Structure Proposal # 790 BTKLVVMLHLCYPG Deviation = 3.09ppm
Search WEB for skeleton |
|
![]()
|
|
|
Structure Proposal # 791 NOYUGRDAJOMJGU Deviation = 3.09ppm
Search WEB for skeleton |
|
![]()
|
|
|
Structure Proposal # 792 BMDJAIKSFWCGLB Deviation = 3.09ppm
Search WEB for skeleton |
|
![]()
|
|
|
Structure Proposal # 793 ZLIIIPPDRNNJKE Deviation = 3.09ppm
Search WEB for skeleton |
|
![]()
|
|
|
Structure Proposal # 794 INJJLADQPUKLMD Deviation = 3.09ppm
Search WEB for skeleton |
|
![]()
|
|
|
Structure Proposal # 795 MJQSUBHBROCBHS Deviation = 3.09ppm
Search WEB for skeleton |
|
![]()
|
|
|
Structure Proposal # 796 ZMELHELJTMNICQ Deviation = 3.09ppm
Search WEB for skeleton |
|
![]()
|
|
|
Structure Proposal # 797 FYJUFMPOZKYIPL Deviation = 3.09ppm
Search WEB for skeleton |
|
![]()
|
|
|
Structure Proposal # 798 SPNGGZLZRLQIMQ Deviation = 3.09ppm
Search WEB for skeleton |
|
![]()
|
|
|
Structure Proposal # 799 PTLHWDVJGAKUDD Deviation = 3.09ppm
Search WEB for skeleton respect to your proposal |
|
![]()
|
|
|
Structure Proposal # 800 XQCASCLSEYPHCF Deviation = 3.09ppm
Search WEB for skeleton |
|
![]()
|
|
|
Structure Proposal # 801 SHXKAPBSNHLUIF Deviation = 3.09ppm
Search WEB for skeleton respect to your proposal |
|
![]()
|
|
|
Structure Proposal # 802 ASCPLYSIWUZJIA Deviation = 3.09ppm
Search WEB for skeleton |
|
![]()
|
|
|
Structure Proposal # 803 PBDTZXGNWDFHCR Deviation = 3.10ppm
Search WEB for skeleton |
|
![]()
|
|
|
Structure Proposal # 804 WMPQBZPRMWKNPN Deviation = 3.10ppm
Search WEB for skeleton |
|
![]()
|
|
|
Structure Proposal # 805 IIOZHSMDAVCHAX Deviation = 3.10ppm
Search WEB for skeleton |
|
![]()
|
|
|
Structure Proposal # 806 XBNOPIMZTLNHOS Deviation = 3.10ppm
Search WEB for skeleton |
|
![]()
|
|
|
Structure Proposal # 807 RHXKLJQVSMKOCY Deviation = 3.10ppm
Search WEB for skeleton |
|
![]()
|
|
|
Structure Proposal # 808 BHEQAUDAFDNKJH Deviation = 3.10ppm
Search WEB for skeleton |
|
![]()
|
|
|
Structure Proposal # 809 SYDMBELCZKFMBC Deviation = 3.10ppm
Search WEB for skeleton |
|
![]()
|
|
|
Structure Proposal # 810 DRIWKMYKHCOTGL Deviation = 3.10ppm
Search WEB for skeleton |
|
![]()
|
|
|
Structure Proposal # 811 UZZDVZCWNHTXRP Deviation = 3.10ppm
Search WEB for skeleton |
|
![]()
|
|
|
Structure Proposal # 812 WIAMOZVFDCOYBC Deviation = 3.10ppm
Search WEB for skeleton |
|
![]()
|
|
|
Structure Proposal # 813 ZOOPKCJDDFVJHN Deviation = 3.10ppm
Search WEB for skeleton |
|
![]()
|
|
|
Structure Proposal # 814 NVXHWODSHKYYAD Deviation = 3.10ppm
Search WEB for skeleton |
|
![]()
|
|
|
Structure Proposal # 815 JFBGHGNUMLCKER Deviation = 3.10ppm
Search WEB for skeleton |
|
![]()
|
|
|
Structure Proposal # 816 FMCKTVNRRDGKLR Deviation = 3.10ppm
Search WEB for skeleton |
|
![]()
|
|
|
Structure Proposal # 817 RQPIEYOBMJKUCD Deviation = 3.10ppm
Search WEB for skeleton respect to your proposal |
|
![]()
|
|
|
Structure Proposal # 818 DBFSRVAAGCNCIE Deviation = 3.10ppm
Search WEB for skeleton |
|
![]()
|
|
|
Structure Proposal # 819 INTDIFJZHSSOIV Deviation = 3.10ppm
Search WEB for skeleton |
|
![]()
|
|
|
Structure Proposal # 820 IDDBIJGPMKGQIS Deviation = 3.10ppm
Search WEB for skeleton |
|
![]()
|
|
|
Structure Proposal # 821 DAADXMCNXAIAPA Deviation = 3.10ppm
Search WEB for skeleton |
|
![]()
|
|
|
Structure Proposal # 822 ZHIRRVFJEVZZEU Deviation = 3.10ppm
Search WEB for skeleton respect to your proposal |
|
![]()
|
|
|
Structure Proposal # 823 NWOSHQUZAFDCDU Deviation = 3.10ppm
Search WEB for skeleton respect to your proposal |
|
![]()
|
|
|
Structure Proposal # 824 WEQQWSFMMNMAAK Deviation = 3.11ppm
Search WEB for skeleton |
|
![]()
|
|
|
Structure Proposal # 825 DBHAMMBUXKHWRA Deviation = 3.11ppm
Search WEB for skeleton |
|
![]()
|
|
|
Structure Proposal # 826 SZDWEQFBKSHUQI Deviation = 3.11ppm
Search WEB for skeleton |
|
![]()
|
|
|
Structure Proposal # 827 FGUOMQTVWDPWAN Deviation = 3.11ppm
Search WEB for skeleton |
|
![]()
|
|
|
Structure Proposal # 828 NUNXZEZDXYBGJA Deviation = 3.11ppm
Search WEB for skeleton respect to your proposal |
|
![]()
|
|
|
Structure Proposal # 829 MEASLZHRRZWENJ Deviation = 3.11ppm
Search WEB for skeleton |
|
![]()
|
|
|
Structure Proposal # 830 KZMFAANFRAOVCF Deviation = 3.11ppm
Search WEB for skeleton |
|
![]()
|
|
|
Structure Proposal # 831 FYLVRDIJSGLHAA Deviation = 3.11ppm
Search WEB for skeleton |
|
![]()
|
|
|
Structure Proposal # 832 MTTXEHYNFXVGSG Deviation = 3.11ppm
Search WEB for skeleton |
|
![]()
|
|
|
Structure Proposal # 833 ZIOKTERJTNUDNZ Deviation = 3.11ppm
Search WEB for skeleton |
|
![]()
|
|
|
Structure Proposal # 834 DVSLBRYAJGBOGM Deviation = 3.11ppm
Search WEB for skeleton |
|
![]()
|
|
|
Structure Proposal # 835 MXFMACFGVHLXIA Deviation = 3.11ppm
Search WEB for skeleton |
|
![]()
|
|
|
Structure Proposal # 836 RKVSPLAXFHGGAI Deviation = 3.11ppm
Search WEB for skeleton |
|
![]()
|
|
|
Structure Proposal # 837 RJWZEGLUVIDHHR Deviation = 3.11ppm
Search WEB for skeleton |
|
![]()
|
|
|
Structure Proposal # 838 MZTLTTTUWXLQKA Deviation = 3.11ppm
Search WEB for skeleton |
|
![]()
|
|
|
Structure Proposal # 839 ZPSZLLFDLMBSEY Deviation = 3.11ppm
Search WEB for skeleton |
|
![]()
|
|
|
Structure Proposal # 840 GTAPBNRNRKKKOD Deviation = 3.11ppm
Search WEB for skeleton |
|
![]()
|
|
|
Structure Proposal # 841 QVVROOMOZSKXGV Deviation = 3.11ppm
Search WEB for skeleton |
|
![]()
|
|
|
Structure Proposal # 842 HRHGJFVKTCTGQJ Deviation = 3.11ppm
Search WEB for skeleton |
|
![]()
|
|
|
Structure Proposal # 843 GQHLINXFOINZGK Deviation = 3.11ppm
Search WEB for skeleton |
|
![]()
|
|
|
Structure Proposal # 844 XWPFSUPYLMHTPF Deviation = 3.12ppm
Search WEB for skeleton |
|
![]()
|
|
|
Structure Proposal # 845 BSXHVMDOWRFIRP Deviation = 3.12ppm
Search WEB for skeleton |
|
![]()
|
|
|
Structure Proposal # 846 OZHBXTJKCAYYCE Deviation = 3.12ppm
Search WEB for skeleton |
|
![]()
|
|
|
Structure Proposal # 847 KOAXWMMQADDBSS Deviation = 3.12ppm
Search WEB for skeleton |
|
![]()
|
|
|
Structure Proposal # 848 HQJAOFMYOYBUKR Deviation = 3.12ppm
Search WEB for skeleton |
|
![]()
|
|
|
Structure Proposal # 849 XQBNRDFGLRQTGZ Deviation = 3.12ppm
Search WEB for skeleton |
|
![]()
|
|
|
Structure Proposal # 850 LJORXCNPZMXEPH Deviation = 3.12ppm
Search WEB for skeleton |
|
![]()
|
|
|
Structure Proposal # 851 NQDWNPCGGKAPLK Deviation = 3.12ppm
Search WEB for skeleton |
|
![]()
|
|
|
Structure Proposal # 852 UTTWAVMGRPBSMQ Deviation = 3.12ppm
Search WEB for skeleton |
|
![]()
|
|
|
Structure Proposal # 853 PVECXOCAVVOESP Deviation = 3.12ppm
Search WEB for skeleton |
|
![]()
|
|
|
Structure Proposal # 854 WGDIKYYFDCEDRS Deviation = 3.12ppm
Search WEB for skeleton |
|
![]()
|
|
|
Structure Proposal # 855 GQHOFGJWTLFDOB Deviation = 3.12ppm
Search WEB for skeleton |
|
![]()
|
|
|
Structure Proposal # 856 WGMURGYOVNBSSE Deviation = 3.12ppm
Search WEB for skeleton |
|
![]()
|
|
|
Structure Proposal # 857 WBZGZKAVUABSSF Deviation = 3.12ppm
Search WEB for skeleton |
|
![]()
|
|
|
Structure Proposal # 858 JKAHEJKZJHGAKI Deviation = 3.12ppm
Search WEB for skeleton |
|
![]()
|
|
|
Structure Proposal # 859 WHLQVUPYXQACCM Deviation = 3.12ppm
Search WEB for skeleton |
|
![]()
|
|
|
Structure Proposal # 860 URRBJOCQPBODOF Deviation = 3.12ppm
Search WEB for skeleton |
|
![]()
|
|
|
Structure Proposal # 861 VABBWWRWNHPOIA Deviation = 3.12ppm
Search WEB for skeleton |
|
![]()
|
|
|
Structure Proposal # 862 JIKSQUBHHJQFAK Deviation = 3.12ppm
Search WEB for skeleton |
|
![]()
|
|
|
Structure Proposal # 863 MKRUJPZZPQTPGZ Deviation = 3.12ppm
Search WEB for skeleton |
|
![]()
|
|
|
Structure Proposal # 864 JVHQWBCSDYILIR Deviation = 3.13ppm
Search WEB for skeleton |
|
![]()
|
|
|
Structure Proposal # 865 SFTWXVWJOHIBPC Deviation = 3.13ppm
Search WEB for skeleton |
|
![]()
|
|
|
Structure Proposal # 866 BHULHPKCUFCHAU Deviation = 3.13ppm
Search WEB for skeleton |
|
![]()
|
|
|
Structure Proposal # 867 QWRDCEVTFZRECW Deviation = 3.13ppm
Search WEB for skeleton |
|
![]()
|
|
|
Structure Proposal # 868 DLNVRJONABFHCG Deviation = 3.13ppm
Search WEB for skeleton |
|
![]()
|
|
|
Structure Proposal # 869 ZZLPRQRAJUSSRN Deviation = 3.13ppm
Search WEB for skeleton |
|
![]()
|
|
|
Structure Proposal # 870 MUNVKZHLYYUNFW Deviation = 3.13ppm
Search WEB for skeleton |
|
![]()
|
|
|
Structure Proposal # 871 XTWMRCZJFLVNFB Deviation = 3.13ppm
Search WEB for skeleton |
|
![]()
|
|
|
Structure Proposal # 872 PBECDHINQIBGKX Deviation = 3.13ppm
Search WEB for skeleton |
|
![]()
|
|
|
Structure Proposal # 873 OZYPWTPDDNTRFL Deviation = 3.13ppm
Search WEB for skeleton |
|
![]()
|
|
|
Structure Proposal # 874 PTMJRCSIGVBWAW Deviation = 3.13ppm
Search WEB for skeleton |
|
![]()
|
|
|
Structure Proposal # 875 PJJHAJIRCGUUFE Deviation = 3.13ppm
Search WEB for skeleton |
|
![]()
|
|
|
Structure Proposal # 876 DSPUAIHITHOFAZ Deviation = 3.13ppm
Search WEB for skeleton |
|
![]()
|
|
|
Structure Proposal # 877 PQEIUZAOBJRMQY Deviation = 3.13ppm
Search WEB for skeleton |
|
![]()
|
|
|
Structure Proposal # 878 OKAXHNFROABUEV Deviation = 3.13ppm
Search WEB for skeleton |
|
![]()
|
|
|
Structure Proposal # 879 MVMGDHQZVPGUDV Deviation = 3.13ppm
Search WEB for skeleton |
|
![]()
|
|
|
Structure Proposal # 880 GIIXSKFAPVLOCY Deviation = 3.13ppm
Search WEB for skeleton |
|
![]()
|
|
|
Structure Proposal # 881 PMKRFIWXTRNZNF Deviation = 3.13ppm
Search WEB for skeleton respect to your proposal |
|
![]()
|
|
|
Structure Proposal # 882 ONGDEEJYNMAHDR Deviation = 3.13ppm
Search WEB for skeleton |
|
![]()
|
|
|
Structure Proposal # 883 BGOHLLWSDWPNDJ Deviation = 3.13ppm
Search WEB for skeleton |
|
![]()
|
|
|
Structure Proposal # 884 IJKVYBDZHRRMIH Deviation = 3.13ppm
Search WEB for skeleton |
|
![]()
|
|
|
Structure Proposal # 885 BBBMHXSQDNUIQG Deviation = 3.13ppm
Search WEB for skeleton |
|
![]()
|
|
|
Structure Proposal # 886 JUBRSFLWGCNUSO Deviation = 3.13ppm
Search WEB for skeleton |
|
![]()
|
|
|
Structure Proposal # 887 YSMAAJIWYGYQNJ Deviation = 3.14ppm
Search WEB for skeleton |
|
![]()
|
|
|
Structure Proposal # 888 GCPIDRVTTJMXPG Deviation = 3.14ppm
Search WEB for skeleton |
|
![]()
|
|
|
Structure Proposal # 889 NVRMVJRINNBJNU Deviation = 3.14ppm
Search WEB for skeleton |
|
![]()
|
|
|
Structure Proposal # 890 OIQUPCCGNUTGKK Deviation = 3.14ppm
Search WEB for skeleton |
|
![]()
|
|
|
Structure Proposal # 891 VTRDYVPEELMISX Deviation = 3.14ppm
Search WEB for skeleton respect to your proposal |
|
![]()
|
|
|
Structure Proposal # 892 GTCNYXJGFGDZKB Deviation = 3.14ppm
Search WEB for skeleton |
|
![]()
|
|
|
Structure Proposal # 893 CJQDXFRQFCWKIZ Deviation = 3.14ppm
Search WEB for skeleton |
|
![]()
|
|
|
Structure Proposal # 894 IMLXWSRSEYVCDX Deviation = 3.14ppm
Search WEB for skeleton |
|
![]()
|
|
|
Structure Proposal # 895 IJLMUOMECVHURI Deviation = 3.14ppm
Search WEB for skeleton |
|
![]()
|
|
|
Structure Proposal # 896 GADUZBNPTFGDJP Deviation = 3.14ppm
Search WEB for skeleton |
|
![]()
|
|
|
Structure Proposal # 897 ONVSFUOGLZOGCH Deviation = 3.14ppm
Search WEB for skeleton |
|
![]()
|
|
|
Structure Proposal # 898 VOZKRNYDPKWOOT Deviation = 3.14ppm
Search WEB for skeleton |
|
![]()
|
|
|
Structure Proposal # 899 XQZHYMXHIYVMRB Deviation = 3.14ppm
Search WEB for skeleton |
|
![]()
|
|
|
Structure Proposal # 900 BLCQJBUAUHNOIL Deviation = 3.14ppm
Search WEB for skeleton |
|
![]()
|
|
|
Structure Proposal # 901 GUIBLJBLFNCRCW Deviation = 3.14ppm
Search WEB for skeleton |
|
![]()
|
|
|
Structure Proposal # 902 NVDJIEBABRJNQL Deviation = 3.14ppm
Search WEB for skeleton |
|
![]()
|
|
|
Structure Proposal # 903 RLTGFFHSOZUUBR Deviation = 3.14ppm
Search WEB for skeleton |
|
![]()
|
|
|
Structure Proposal # 904 USJCJINPPCLPOP Deviation = 3.14ppm
Search WEB for skeleton |
|
![]()
|
|
|
Structure Proposal # 905 UYMMDZZBCNUNAA Deviation = 3.14ppm
Search WEB for skeleton |
|
![]()
|
|
|
Structure Proposal # 906 ACWZCXABXKTGFS Deviation = 3.14ppm
Search WEB for skeleton |
|
![]()
|
|
|
Structure Proposal # 907 ZMSGGNBRCFCCTH Deviation = 3.14ppm
Search WEB for skeleton |
|
![]()
|
|
|
Structure Proposal # 908 IDVCIUGUFUJPID Deviation = 3.14ppm
Search WEB for skeleton |
|
![]()
|
|
|
Structure Proposal # 909 HUQAEORWZYDYTI Deviation = 3.14ppm
Search WEB for skeleton |
|
![]()
|
|
|
Structure Proposal # 910 XOYZZVDVVGWRBZ Deviation = 3.14ppm
Search WEB for skeleton |
|
![]()
|
|
|
Structure Proposal # 911 SUXFZNWCSPHOTB Deviation = 3.14ppm
Search WEB for skeleton |
|
![]()
|
|
|
Structure Proposal # 912 WKVDGIDOXLOOMU Deviation = 3.14ppm
Search WEB for skeleton |
|
![]()
|
|
|
Structure Proposal # 913 ANZSRKLSIUVKHO Deviation = 3.14ppm
Search WEB for skeleton |
|
![]()
|
|
|
Structure Proposal # 914 JPZKILIVKFJAKU Deviation = 3.14ppm
Search WEB for skeleton |
|
![]()
|
|
|
Structure Proposal # 915 TTYHMEDKNLEVJX Deviation = 3.14ppm
Search WEB for skeleton |
|
![]()
|
|
|
Structure Proposal # 916 LAFWVBHBNPACHW Deviation = 3.15ppm
Search WEB for skeleton |
|
![]()
|
|
|
Structure Proposal # 917 PVHCWSVFIPMTBH Deviation = 3.15ppm
Search WEB for skeleton |
|
![]()
|
|
|
Structure Proposal # 918 QJNQOEIZCMGEKJ Deviation = 3.15ppm
Search WEB for skeleton |
|
![]()
|
|
|
Structure Proposal # 919 BYRYRAFMTMTEJT Deviation = 3.15ppm
Search WEB for skeleton |
|
![]()
|
|
|
Structure Proposal # 920 ATHFJDLAUCPDKU Deviation = 3.15ppm
Search WEB for skeleton |
|
![]()
|
|
|
Structure Proposal # 921 XKLPGZFAFZZFHG Deviation = 3.15ppm
Search WEB for skeleton |
|
![]()
|
|
|
Structure Proposal # 922 PHFDFRAKTCCOSG Deviation = 3.15ppm
Search WEB for skeleton |
|
![]()
|
|
|
Structure Proposal # 923 UBIOVEZQGZHNBY Deviation = 3.15ppm
Search WEB for skeleton |
|
![]()
|
|
|
Structure Proposal # 924 XBBTXAOCWZAOLQ Deviation = 3.15ppm
Search WEB for skeleton |
|
![]()
|
|
|
Structure Proposal # 925 RNQQLTKJNJRADW Deviation = 3.15ppm
Search WEB for skeleton |
|
![]()
|
|
|
Structure Proposal # 926 PIOWOFMJRFTRNH Deviation = 3.15ppm
Search WEB for skeleton |
|
![]()
|
|
|
Structure Proposal # 927 MZQSDCJVTDJABB Deviation = 3.15ppm
Search WEB for skeleton |
|
![]()
|
|
|
Structure Proposal # 928 MILMMMRFSDWFSS Deviation = 3.15ppm
Search WEB for skeleton |
|
![]()
|
|
|
Structure Proposal # 929 PEGNELINDLCFLW Deviation = 3.15ppm
Search WEB for skeleton |
|
![]()
|
|
|
Structure Proposal # 930 IQYNNRFQTIGFQT Deviation = 3.15ppm
Search WEB for skeleton |
|
![]()
|
|
|
Structure Proposal # 931 FIAROUNXIOPRQF Deviation = 3.15ppm
Search WEB for skeleton |
|
![]()
|
|
|
Structure Proposal # 932 JTUHRPFFAQSULU Deviation = 3.15ppm
Search WEB for skeleton |
|
![]()
|
|
|
Structure Proposal # 933 XECVGXHWILLSED Deviation = 3.15ppm
Search WEB for skeleton |
|
![]()
|
|
|
Structure Proposal # 934 OKMGXYKEQMCVNG Deviation = 3.15ppm
Search WEB for skeleton |
|
![]()
|
|
|
Structure Proposal # 935 IYGRIRDRJVLRNS Deviation = 3.15ppm
Search WEB for skeleton |
|
![]()
|
|
|
Structure Proposal # 936 VOHNIQYDIPWTDG Deviation = 3.15ppm
Search WEB for skeleton |
|
![]()
|
|
|
Structure Proposal # 937 KGQRTEGFMJWJHE Deviation = 3.15ppm
Search WEB for skeleton |
|
![]()
|
|
|
Structure Proposal # 938 LIOZIBMTWDDOJE Deviation = 3.15ppm
Search WEB for skeleton |
|
![]()
|
|
|
Structure Proposal # 939 NZGHPCLAGPMNDH Deviation = 3.15ppm
Search WEB for skeleton |
|
![]()
|
|
|
Structure Proposal # 940 GJLAMBDHYABOQG Deviation = 3.15ppm
Search WEB for skeleton |
|
![]()
|
|
|
Structure Proposal # 941 PIQICNDZIJGCCR Deviation = 3.15ppm
Search WEB for skeleton |
|
![]()
|
|
|
Structure Proposal # 942 KJWRJUCYHIFGCS Deviation = 3.15ppm
Search WEB for skeleton |
|
![]()
|
|
|
Structure Proposal # 943 ZYFNKEXEVDDTQJ Deviation = 3.16ppm
Search WEB for skeleton |
|
![]()
|
|
|
Structure Proposal # 944 RNLAHONRGIGFJM Deviation = 3.16ppm
Search WEB for skeleton respect to your proposal |
|
![]()
|
|
|
Structure Proposal # 945 DFFCEXRJQGLCAV Deviation = 3.16ppm
Search WEB for skeleton |
|
![]()
|
|
|
Structure Proposal # 946 NVRSZRVARNLAMS Deviation = 3.16ppm
Search WEB for skeleton |
|
![]()
|
|
|
Structure Proposal # 947 RVNRMYXAIZMPLL Deviation = 3.16ppm
Search WEB for skeleton |
|
![]()
|
|
|
Structure Proposal # 948 XOPPPRULHCGTOG Deviation = 3.16ppm
Search WEB for skeleton respect to your proposal |
|
![]()
|
|
|
Structure Proposal # 949 LCWLLWSTUBIRFK Deviation = 3.16ppm
Search WEB for skeleton |
|
![]()
|
|
|
Structure Proposal # 950 AGBNHXMFWWBLOZ Deviation = 3.16ppm
Search WEB for skeleton |
|
![]()
|
|
|
Structure Proposal # 951 ZYISVNPVPJGZHP Deviation = 3.16ppm
Search WEB for skeleton |
|
![]()
|
|
|
Structure Proposal # 952 RIAKOERBMRHFMI Deviation = 3.16ppm
Search WEB for skeleton |
|
![]()
|
|
|
Structure Proposal # 953 FNEWCDQDZLEQGB Deviation = 3.16ppm
Search WEB for skeleton |
|
![]()
|
|
|
Structure Proposal # 954 PWSDPRHXOMFUPU Deviation = 3.16ppm
Search WEB for skeleton |
|
![]()
|
|
|
Structure Proposal # 955 XVUGIQOAZRFJLH Deviation = 3.16ppm
Search WEB for skeleton |
|
![]()
|
|
|
Structure Proposal # 956 KGKBDLZMFWHGNM Deviation = 3.16ppm
Search WEB for skeleton |
|
![]()
|
|
|
Structure Proposal # 957 ZXWJNXYAZBWRSN Deviation = 3.16ppm
Search WEB for skeleton |
|
![]()
|
|
|
Structure Proposal # 958 XWCAIJFSGLNXJG Deviation = 3.16ppm
Search WEB for skeleton |
|
![]()
|
|
|
Structure Proposal # 959 LFKBCVWNVOKNOD Deviation = 3.16ppm
Search WEB for skeleton |
|
![]()
|
|
|
Structure Proposal # 960 HTPMMFFGAQLHDJ Deviation = 3.16ppm
Search WEB for skeleton |
|
![]()
|
|
|
Structure Proposal # 961 WZYBSMHFBKTTHQ Deviation = 3.16ppm
Search WEB for skeleton |
|
![]()
|
|
|
Structure Proposal # 962 FZTJADMWGSHBSQ Deviation = 3.16ppm
Search WEB for skeleton |
|
![]()
|
|
|
Structure Proposal # 963 ZMQFZNJVKHAMOK Deviation = 3.16ppm
Search WEB for skeleton |
|
![]()
|
|
|
Structure Proposal # 964 ZHHIZQBNWOSHBR Deviation = 3.16ppm
Search WEB for skeleton |
|
![]()
|
|
|
Structure Proposal # 965 CIDFIUJVMJUUTN Deviation = 3.16ppm
Search WEB for skeleton |
|
![]()
|
|
|
Structure Proposal # 966 HTKNORQWWVKLPD Deviation = 3.16ppm
Search WEB for skeleton |
|
![]()
|
|
|
Structure Proposal # 967 DKTWRCSPKPUFIK Deviation = 3.16ppm
Search WEB for skeleton |
|
![]()
|
|
|
Structure Proposal # 968 FFMAMNUQYUHQBB Deviation = 3.16ppm
Search WEB for skeleton |
|
![]()
|
|
|
Structure Proposal # 969 GEWURZPCECVXIB Deviation = 3.16ppm
Search WEB for skeleton |
|
![]()
|
|
|
Structure Proposal # 970 JLHYYNKHKAOPFR Deviation = 3.16ppm
Search WEB for skeleton |
|
![]()
|
|
|
Structure Proposal # 971 NHTBYEGOYUDAMN Deviation = 3.16ppm
Search WEB for skeleton |
|
![]()
|
|
|
Structure Proposal # 972 QADDOQWNGWJOHG Deviation = 3.16ppm
Search WEB for skeleton |
|
![]()
|
|
|
Structure Proposal # 973 ANDUVNLJYLCRDQ Deviation = 3.16ppm
Search WEB for skeleton |
|
![]()
|
|
|
Structure Proposal # 974 DMWUBKAQIKGPCC Deviation = 3.16ppm
Search WEB for skeleton |
|
![]()
|
|
|
Structure Proposal # 975 JUYWENLYEOYORK Deviation = 3.16ppm
Search WEB for skeleton |
|
![]()
|
|
|
Structure Proposal # 976 ACDKKKWRXHVZTO Deviation = 3.16ppm
Search WEB for skeleton |
|
![]()
|
|
|
Structure Proposal # 977 DWKIZNVBWYKFQQ Deviation = 3.16ppm
Search WEB for skeleton |
|
![]()
|
|
|
Structure Proposal # 978 QENVKKZTGFBOGX Deviation = 3.16ppm
Search WEB for skeleton |
|
![]()
|
|
|
Structure Proposal # 979 DVLUNGKQCMHFAA Deviation = 3.16ppm
Search WEB for skeleton |
|
![]()
|
|
|
Structure Proposal # 980 CXZOMSBZDNKCHU Deviation = 3.17ppm
Search WEB for skeleton respect to your proposal |
|
![]()
|
|
|
Structure Proposal # 981 WTKLUHATSDTGKA Deviation = 3.17ppm
Search WEB for skeleton |
|
![]()
|
|
|
Structure Proposal # 982 RHSHRUIQMJYKLK Deviation = 3.17ppm
Search WEB for skeleton |
|
![]()
|
|
|
Structure Proposal # 983 DFXRSLYAFBXGSZ Deviation = 3.17ppm
Search WEB for skeleton |
|
![]()
|
|
|
Structure Proposal # 984 MMGLLDAAEZLPNI Deviation = 3.17ppm
Search WEB for skeleton |
|
![]()
|
|
|
Structure Proposal # 985 OCWJMAKQDJRFQF Deviation = 3.17ppm
Search WEB for skeleton |
|
![]()
|
|
|
Structure Proposal # 986 VNBWKDRRVCPBNM Deviation = 3.17ppm
Search WEB for skeleton |
|
![]()
|
|
|
Structure Proposal # 987 LNNFXBOUMKSKJT Deviation = 3.17ppm
Search WEB for skeleton |
|
![]()
|
|
|
Structure Proposal # 988 GIXLERMIMUCSNA Deviation = 3.17ppm
Search WEB for skeleton |
|
![]()
|
|
|
Structure Proposal # 989 XIXLQAMBWPKKIP Deviation = 3.17ppm
Search WEB for skeleton respect to your proposal |
|
![]()
|
|
|
Structure Proposal # 990 SLZBCVKMVODLBI Deviation = 3.17ppm
Search WEB for skeleton |
|
![]()
|
|
|
Structure Proposal # 991 HXKYRZCCWAQVMP Deviation = 3.17ppm
Search WEB for skeleton |
|
![]()
|
|
|
Structure Proposal # 992 BKYGIXNODISTIO Deviation = 3.17ppm
Search WEB for skeleton |
|
![]()
|
|
|
Structure Proposal # 993 KHSZSNVWUPBWRD Deviation = 3.17ppm
Search WEB for skeleton |
|
![]()
|
|
|
Structure Proposal # 994 TWTRBTBJDBOCCM Deviation = 3.17ppm
Search WEB for skeleton |
|
![]()
|
|
|
Structure Proposal # 995 NPGMMYPPJRYWEN Deviation = 3.17ppm
Search WEB for skeleton |
|
![]()
|
|
|
Structure Proposal # 996 RKWGGRANPONSBT Deviation = 3.17ppm
Search WEB for skeleton respect to your proposal |
|
![]()
|
|
|
Structure Proposal # 997 QNFIWPHWGZJHPV Deviation = 3.17ppm
Search WEB for skeleton |
|
![]()
|
|
|
Structure Proposal # 998 SPTJPOXOSWMCQT Deviation = 3.17ppm
Search WEB for skeleton |
|
![]()
|
|
|
Structure Proposal # 999 NCWMOZDEXVWRHD Deviation = 3.17ppm
Search WEB for skeleton |
|
![]()
|
|
|
Structure Proposal # 1000 ABCGKXIYZDPNTF Deviation = 3.17ppm
Search WEB for skeleton |
|
![]()
|
|
|
Structure Proposal # 1001 ZTTYEUFQTVHVSR Deviation = 3.17ppm
Search WEB for skeleton |
|
![]()
|
|
|
Structure Proposal # 1002 OTMXVKQZFJVHOK Deviation = 3.17ppm
Search WEB for skeleton |
|
![]()
|
|
|
Structure Proposal # 1003 YEMIQAFVPQTMPQ Deviation = 3.17ppm
Search WEB for skeleton |
|
![]()
|
|
|
Structure Proposal # 1004 ZPMXTRIHOMVFTH Deviation = 3.17ppm
Search WEB for skeleton |
|
![]()
|
|
|
Structure Proposal # 1005 AUKJYBWPBSOOSI Deviation = 3.17ppm
Search WEB for skeleton |
|
![]()
|
|
|
Structure Proposal # 1006 RHJMJZPOLBXMJD Deviation = 3.17ppm
Search WEB for skeleton |
|
![]()
|
|
|
Structure Proposal # 1007 XIBDYWMYNJDLRV Deviation = 3.17ppm
Search WEB for skeleton |
|
![]()
|
|
|
Structure Proposal # 1008 YIYCUXBIEGTRIR Deviation = 3.17ppm
Search WEB for skeleton |
|
![]()
|
|
|
Structure Proposal # 1009 HZDLHPMPGNSFRA Deviation = 3.17ppm
Search WEB for skeleton |
|
![]()
|
|
|
Structure Proposal # 1010 OHZPLXQRFUGUIJ Deviation = 3.18ppm
Search WEB for skeleton |
|
![]()
|
|
|
Structure Proposal # 1011 IVWPKEZLQHVBSS Deviation = 3.18ppm
Search WEB for skeleton |
|
![]()
|
|
|
Structure Proposal # 1012 KUAXXCQUCKOJSP Deviation = 3.18ppm
Search WEB for skeleton |
|
![]()
|
|
|
Structure Proposal # 1013 KEHSRLSNHZCPAW Deviation = 3.18ppm
Search WEB for skeleton respect to your proposal |
|
![]()
|
|
|
Structure Proposal # 1014 UXMOOHSKVHYFLQ Deviation = 3.18ppm
Search WEB for skeleton |
|
![]()
|
|
|
Structure Proposal # 1015 HJYNEGTYAWDOGJ Deviation = 3.18ppm
Search WEB for skeleton |
|
![]()
|
|
|
Structure Proposal # 1016 OOCUTJMURSIROW Deviation = 3.18ppm
Search WEB for skeleton |
|
![]()
|
|
|
Structure Proposal # 1017 GRRCRLCVMDMNEG Deviation = 3.18ppm
Search WEB for skeleton |
|
![]()
|
|
|
Structure Proposal # 1018 QTPZIGUBTZCNMZ Deviation = 3.18ppm
Search WEB for skeleton |
|
![]()
|
|
|
Structure Proposal # 1019 YCKVWLSOIPSKQO Deviation = 3.18ppm
Search WEB for skeleton |
|
![]()
|
|
|
Structure Proposal # 1020 UWDHJPRQZSVRBM Deviation = 3.18ppm
Search WEB for skeleton |
|
![]()
|
|
|
Structure Proposal # 1021 FFESTXDDCDZORW Deviation = 3.18ppm
Search WEB for skeleton |
|
![]()
|
|
|
Structure Proposal # 1022 BORRYDBTIMVXDL Deviation = 3.18ppm
Search WEB for skeleton |
|
![]()
|
|
|
Structure Proposal # 1023 WMAUNWFCCUOLQI Deviation = 3.18ppm
Search WEB for skeleton |
|
![]()
|
|
|
Structure Proposal # 1024 JDYVFQDZGOUNBJ Deviation = 3.18ppm
Search WEB for skeleton |
|
![]()
|
|
|
Structure Proposal # 1025 XEQQHPIHRQJURL Deviation = 3.18ppm
Search WEB for skeleton |
|
![]()
|
|
|
Structure Proposal # 1026 JOAYSEWBJVDVEP Deviation = 3.18ppm
Search WEB for skeleton |
|
![]()
|
|
|
Structure Proposal # 1027 UHOXGVIPPADMOK Deviation = 3.18ppm
Search WEB for skeleton |
|
![]()
|
|
|
Structure Proposal # 1028 NJXMGCKEMBACHF Deviation = 3.18ppm
Search WEB for skeleton |
|
![]()
|
|
|
Structure Proposal # 1029 AYFQJFMOGPZHSP Deviation = 3.18ppm
Search WEB for skeleton |
|
![]()
|
|
|
Structure Proposal # 1030 FXWFQCHKIMUXJJ Deviation = 3.18ppm
Search WEB for skeleton |
|
![]()
|
|
|
Structure Proposal # 1031 DQYHXTWPFNUPEM Deviation = 3.18ppm
Search WEB for skeleton |
|
![]()
|
|
|
Structure Proposal # 1032 LXAADXSBCFTRBV Deviation = 3.18ppm
Search WEB for skeleton |
|
![]()
|
|
|
Structure Proposal # 1033 ZADUFIIJXRCIQL Deviation = 3.18ppm
Search WEB for skeleton |
|
![]()
|
|
|
Structure Proposal # 1034 UYTZEPWFYVVSEW Deviation = 3.18ppm
Search WEB for skeleton |
|
![]()
|
|
|
Structure Proposal # 1035 QYHZQVDFSGAULW Deviation = 3.18ppm
Search WEB for skeleton |
|
![]()
|
|
|
Structure Proposal # 1036 LIRJBHRCTZEZFV Deviation = 3.18ppm
Search WEB for skeleton |
|
![]()
|
|
|
Structure Proposal # 1037 AXWUOLLVWXUDRF Deviation = 3.18ppm
Search WEB for skeleton |
|
![]()
|
|
|
Structure Proposal # 1038 ZWEHSHPYRNKIHD Deviation = 3.18ppm
Search WEB for skeleton |
|
![]()
|
|
|
Structure Proposal # 1039 MHIDKHPILIUKJA Deviation = 3.18ppm
Search WEB for skeleton |
|
![]()
|
|
|
Structure Proposal # 1040 XZMCMMUGXDHSLM Deviation = 3.18ppm
Search WEB for skeleton respect to your proposal |
|
![]()
|
|
|
Structure Proposal # 1041 ZQUOWZOTUOQGJF Deviation = 3.18ppm
Search WEB for skeleton |
|
![]()
|
|
|
Structure Proposal # 1042 CVQWGXRFRMUIMF Deviation = 3.18ppm
Search WEB for skeleton |
|
![]()
|
|
|
Structure Proposal # 1043 IUERHMDJQKXCMU Deviation = 3.18ppm
Search WEB for skeleton |
|
![]()
|
|
|
Structure Proposal # 1044 XHQPDCMGRSPCPU Deviation = 3.18ppm
Search WEB for skeleton |
|
![]()
|
|
|
Structure Proposal # 1045 QZCNWFCZKQCGRN Deviation = 3.18ppm
Search WEB for skeleton |
|
![]()
|
|
|
Structure Proposal # 1046 FFBVGCDXBMPXDY Deviation = 3.18ppm
Search WEB for skeleton |
|
![]()
|
|
|
Structure Proposal # 1047 BTEZNZMURRJIPG Deviation = 3.18ppm
Search WEB for skeleton |
|
![]()
|
|
|
Structure Proposal # 1048 AHPJWSFJKTXSAN Deviation = 3.19ppm
Search WEB for skeleton |
|
![]()
|
|
|
Structure Proposal # 1049 JVEMAXGPQBAUQO Deviation = 3.19ppm
Search WEB for skeleton |
|
![]()
|
|
|
Structure Proposal # 1050 YJGROPDBXXOTQQ Deviation = 3.19ppm
Search WEB for skeleton |
|
![]()
|
|
|
Structure Proposal # 1051 WEUYWBCLXASBAG Deviation = 3.19ppm
Search WEB for skeleton |
|
![]()
|
|
|
Structure Proposal # 1052 COWFGRGKDVAUOS Deviation = 3.19ppm
Search WEB for skeleton |
|
![]()
|
|
|
Structure Proposal # 1053 ARASGFRSRLOESS Deviation = 3.19ppm
Search WEB for skeleton |
|
![]()
|
|
|
Structure Proposal # 1054 NOFDJXNUMNSOMH Deviation = 3.19ppm
Search WEB for skeleton |
|
![]()
|
|
|
Structure Proposal # 1055 HCOWSKJMDFSUBC Deviation = 3.19ppm
Search WEB for skeleton |
|
![]()
|
|
|
Structure Proposal # 1056 NSVCMCFERNANTP Deviation = 3.19ppm
Search WEB for skeleton |
|
![]()
|
|
|
Structure Proposal # 1057 RZVYASKLKXRZNP Deviation = 3.19ppm
Search WEB for skeleton |
|
![]()
|
|
|
Structure Proposal # 1058 VOHWSNPBCFVDNA Deviation = 3.19ppm
Search WEB for skeleton |
|
![]()
|
|
|
Structure Proposal # 1059 FZLVADVDHHAZNH Deviation = 3.19ppm
Search WEB for skeleton |
|
![]()
|
|
|
Structure Proposal # 1060 HDCHDURMZGBPCX Deviation = 3.19ppm
Search WEB for skeleton |
|
![]()
|
|
|
Structure Proposal # 1061 CUOIGJKBSVAOFK Deviation = 3.19ppm
Search WEB for skeleton |
|
![]()
|
|
|
Structure Proposal # 1062 VAHGPLSIWCWYBJ Deviation = 3.19ppm
Search WEB for skeleton |
|
![]()
|
|
|
Structure Proposal # 1063 BYKICWLSUINTJV Deviation = 3.19ppm
Search WEB for skeleton |
|
![]()
|
|
|
Structure Proposal # 1064 XHUXCIJBYHZCSN Deviation = 3.19ppm
Search WEB for skeleton |
|
![]()
|
|
|
Structure Proposal # 1065 YAOKESNLIPOAJC Deviation = 3.19ppm
Search WEB for skeleton |
|
![]()
|
|
|
Structure Proposal # 1066 LXDCSOPZFDDQKP Deviation = 3.19ppm
Search WEB for skeleton |
|
![]()
|
|
|
Structure Proposal # 1067 OUUPVMDVRRAGGE Deviation = 3.19ppm
Search WEB for skeleton |
|
![]()
|
|
|
Structure Proposal # 1068 KRJYKBPMZIURBK Deviation = 3.19ppm
Search WEB for skeleton |
|
![]()
|
|
|
Structure Proposal # 1069 QGQNFVKUSGXSGA Deviation = 3.19ppm
Search WEB for skeleton |
|
![]()
|
|
|
Structure Proposal # 1070 LQYDWOORPMXKAK Deviation = 3.19ppm
Search WEB for skeleton |
|
![]()
|
|
|
Structure Proposal # 1071 PYTNCRNCNZJICC Deviation = 3.19ppm
Search WEB for skeleton |
|
![]()
|
|
|
Structure Proposal # 1072 UCGVZQMKFUWKJI Deviation = 3.19ppm
Search WEB for skeleton |
|
![]()
|
|
|
Structure Proposal # 1073 ZWAXQTCFIOQFQV Deviation = 3.19ppm
Search WEB for skeleton |
|
![]()
|
|
|
Structure Proposal # 1074 OVAYQPNEEXESQP Deviation = 3.19ppm
Search WEB for skeleton |
|
![]()
|
|
|
Structure Proposal # 1075 RFOQDXHDICBKHC Deviation = 3.19ppm
Search WEB for skeleton |
|
![]()
|
|
|
Structure Proposal # 1076 AAGMUEFGFQEGTP Deviation = 3.19ppm
Search WEB for skeleton |
|
![]()
|
|
|
Structure Proposal # 1077 JWWIBWVNXGAEIS Deviation = 3.19ppm
Search WEB for skeleton |
|
![]()
|
|
|
Structure Proposal # 1078 LDCUGSBJDBQAHK Deviation = 3.19ppm
Search WEB for skeleton |
|
![]()
|
|
|
Structure Proposal # 1079 KJXDQIHXMHBLFR Deviation = 3.19ppm
Search WEB for skeleton |
|
![]()
|
|
|
Structure Proposal # 1080 TWMROPYBPMHVEN Deviation = 3.19ppm
Search WEB for skeleton |
|
![]()
|
|
|
Structure Proposal # 1081 HCENUMHLFYLWBX Deviation = 3.19ppm
Search WEB for skeleton respect to your proposal |
|
![]()
|
|
|
Structure Proposal # 1082 AYMDFTWXCVFGQJ Deviation = 3.19ppm
Search WEB for skeleton |
|
![]()
|
|
|
Structure Proposal # 1083 RMFVNUDYJZXKNB Deviation = 3.20ppm
Search WEB for skeleton |
|
![]()
|
|
|
Structure Proposal # 1084 JDNCVWFLRUXGQW Deviation = 3.20ppm
Search WEB for skeleton |
|
![]()
|
|
|
Structure Proposal # 1085 CKHQCKNXHUNGSO Deviation = 3.20ppm
Search WEB for skeleton |
|
![]()
|
|
|
Structure Proposal # 1086 HUCRMCOTCAAPDY Deviation = 3.20ppm
Search WEB for skeleton |
|
![]()
|
|
|
Structure Proposal # 1087 WAKYBYPCFYXOQA Deviation = 3.20ppm
Search WEB for skeleton |
|
![]()
|
|
|
Structure Proposal # 1088 CRRFUTDGNNIGRA Deviation = 3.20ppm
Search WEB for skeleton |
|
![]()
|
|
|
Structure Proposal # 1089 DVDLEDKBRBMZDW Deviation = 3.20ppm
Search WEB for skeleton |
|
![]()
|
|
|
Structure Proposal # 1090 IAQUNOMSQSDOGG Deviation = 3.20ppm
Search WEB for skeleton |
|
![]()
|
|
|
Structure Proposal # 1091 NJNLYOBJMMMANT Deviation = 3.20ppm
Search WEB for skeleton respect to your proposal |
|
![]()
|
|
|
Structure Proposal # 1092 LHHOHRDBPWIDCL Deviation = 3.20ppm
Search WEB for skeleton |
|
![]()
|
|
|
Structure Proposal # 1093 NZNCUMDJEHOILJ Deviation = 3.20ppm
Search WEB for skeleton |
|
![]()
|
|
|
Structure Proposal # 1094 AXRMCWOJDZWHDV Deviation = 3.20ppm
Search WEB for skeleton respect to your proposal |
|
![]()
|
|
|
Structure Proposal # 1095 MXEIUEDPUMMJCI Deviation = 3.20ppm
Search WEB for skeleton |
|
![]()
|
|
|
Structure Proposal # 1096 FXWYICITOVBJHO Deviation = 3.20ppm
Search WEB for skeleton |
|
![]()
|
|
|
Structure Proposal # 1097 FOEWJMBVOSDDIT Deviation = 3.20ppm
Search WEB for skeleton |
|
![]()
|
|
|
Structure Proposal # 1098 DMOURVKBSGNTND Deviation = 3.20ppm
Search WEB for skeleton |
|
![]()
|
|
|
Structure Proposal # 1099 AEEOGCCFNDIREI Deviation = 3.20ppm
Search WEB for skeleton |
|
![]()
|
|
|
Structure Proposal # 1100 IIEAIBIDPKYSHP Deviation = 3.20ppm
Search WEB for skeleton |
|
![]()
|
|
|
Structure Proposal # 1101 DJCYXLDFRNQQLW Deviation = 3.20ppm
Search WEB for skeleton |
|
![]()
|
|
|
Structure Proposal # 1102 PVBLWTVKOULRMC Deviation = 3.20ppm
Search WEB for skeleton |
|
![]()
|
|
|
Structure Proposal # 1103 KFRIUPLOQPUPFF Deviation = 3.20ppm
Search WEB for skeleton |
|
![]()
|
|
|
Structure Proposal # 1104 KQYCNOKIDBOKOO Deviation = 3.20ppm
Search WEB for skeleton |
|
![]()
|
|
|
Structure Proposal # 1105 CUKBOCARZNMADH Deviation = 3.20ppm
Search WEB for skeleton |
|
![]()
|
|
|
Structure Proposal # 1106 LHSJBXYBQHKHHW Deviation = 3.20ppm
Search WEB for skeleton |
|
![]()
|
|
|
Structure Proposal # 1107 IFYGBXCEWBOGEA Deviation = 3.20ppm
Search WEB for skeleton |
|
![]()
|
|
|
Structure Proposal # 1108 DFJDMRCIKQLUSX Deviation = 3.20ppm
Search WEB for skeleton |
|
![]()
|
|
|
Structure Proposal # 1109 MPOABPAYSRRMNA Deviation = 3.20ppm
Search WEB for skeleton |
|
![]()
|
|
|
Structure Proposal # 1110 DYYLUCFTLFBLIN Deviation = 3.20ppm
Search WEB for skeleton |
|
![]()
|
|
|
Structure Proposal # 1111 BTNYTTWKSGJUIV Deviation = 3.20ppm
Search WEB for skeleton |
|
![]()
|
|
|
Structure Proposal # 1112 DMOZMXDZMXDGCN Deviation = 3.20ppm
Search WEB for skeleton |
|
![]()
|
|
|
Structure Proposal # 1113 MHYBMBHYGWIYND Deviation = 3.20ppm
Search WEB for skeleton |
|
![]()
|
|
|
Structure Proposal # 1114 KEXUZUKCULTDSD Deviation = 3.20ppm
Search WEB for skeleton |
|
![]()
|
|
|
Structure Proposal # 1115 RPAANXDKDCZCMV Deviation = 3.20ppm
Search WEB for skeleton |
|
![]()
|
|
|
Structure Proposal # 1116 RDOIHSVUPFQPSR Deviation = 3.20ppm
Search WEB for skeleton |
|
![]()
|
|
|
Structure Proposal # 1117 TZPJIIXBVZXTEQ Deviation = 3.20ppm
Search WEB for skeleton |
|
![]()
|
|
|
Structure Proposal # 1118 CKSIRHULAVULPU Deviation = 3.20ppm
Search WEB for skeleton |
|
![]()
|
|
|
Structure Proposal # 1119 RFKZXDHDMSHPEA Deviation = 3.20ppm
Search WEB for skeleton |
|
![]()
|
|
|
Structure Proposal # 1120 CZWDQEANWOKGAL Deviation = 3.20ppm
Search WEB for skeleton |
|
![]()
|
|
|
Structure Proposal # 1121 MKQNWOAHIQXDTL Deviation = 3.21ppm
Search WEB for skeleton |
|
![]()
|
|
|
Structure Proposal # 1122 RLHLARZXRVRWSS Deviation = 3.21ppm
Search WEB for skeleton |
|
![]()
|
|
|
Structure Proposal # 1123 PVWBEESFQMSEFS Deviation = 3.21ppm
Search WEB for skeleton |
|
![]()
|
|
|
Structure Proposal # 1124 IOJCLZNEROXFHL Deviation = 3.21ppm
Search WEB for skeleton |
|
![]()
|
|
|
Structure Proposal # 1125 OIPFICNTXGZTDA Deviation = 3.21ppm
Search WEB for skeleton |
|
![]()
|
|
|
Structure Proposal # 1126 LFQFYQLFZREYNK Deviation = 3.21ppm
Search WEB for skeleton |
|
![]()
|
|
|
Structure Proposal # 1127 ZFXVWSODFQNCTD Deviation = 3.21ppm
Search WEB for skeleton |
|
![]()
|
|
|
Structure Proposal # 1128 XNJCJNQFQICOAC Deviation = 3.21ppm
Search WEB for skeleton |
|
![]()
|
|
|
Structure Proposal # 1129 INZXMECLTNUHIU Deviation = 3.21ppm
Search WEB for skeleton |
|
![]()
|
|
|
Structure Proposal # 1130 VFLPEYFBSJXERE Deviation = 3.21ppm
Search WEB for skeleton |
|
![]()
|
|
|
Structure Proposal # 1131 WYJGLWUQOBTHRI Deviation = 3.21ppm
Search WEB for skeleton |
|
![]()
|
|
|
Structure Proposal # 1132 NFUTUYFJQBEPTO Deviation = 3.21ppm
Search WEB for skeleton |
|
![]()
|
|
|
Structure Proposal # 1133 BPJRGPOQSAFOJI Deviation = 3.21ppm
Search WEB for skeleton |
|
![]()
|
|
|
Structure Proposal # 1134 HYYDSSFBFVMWBX Deviation = 3.21ppm
Search WEB for skeleton |
|
![]()
|
|
|
Structure Proposal # 1135 JJBHOXJFIBZQRW Deviation = 3.21ppm
Search WEB for skeleton |
|
![]()
|
|
|
Structure Proposal # 1136 ISEHIYDLJGKDAS Deviation = 3.21ppm
Search WEB for skeleton |
|
![]()
|
|
|
Structure Proposal # 1137 QWTXYXPBQZAINN Deviation = 3.21ppm
Search WEB for skeleton |
|
![]()
|
|
|
Structure Proposal # 1138 VMNCTABTZUKHLX Deviation = 3.21ppm
Search WEB for skeleton |
|
![]()
|
|
|
Structure Proposal # 1139 BQIBQWHLPWIDMM Deviation = 3.21ppm
Search WEB for skeleton |
|
![]()
|
|
|
Structure Proposal # 1140 PIIDQNOIHGCEIL Deviation = 3.21ppm
Search WEB for skeleton |
|
![]()
|
|
|
Structure Proposal # 1141 XSZAPKZXEHFJST Deviation = 3.21ppm
Search WEB for skeleton |
|
![]()
|
|
|
Structure Proposal # 1142 CPCOPYMNVYUZTB Deviation = 3.21ppm
Search WEB for skeleton |
|
![]()
|
|
|
Structure Proposal # 1143 SDQVHYSJZZHERA Deviation = 3.21ppm
Search WEB for skeleton |
|
![]()
|
|
|
Structure Proposal # 1144 PZRWERMSDPEBMQ Deviation = 3.21ppm
Search WEB for skeleton |
|
![]()
|
|
|
Structure Proposal # 1145 WRXFTTJKTQSDAT Deviation = 3.21ppm
Search WEB for skeleton |
|
![]()
|
|
|
Structure Proposal # 1146 BAPCPQJGRMCWDO Deviation = 3.21ppm
Search WEB for skeleton |
|
![]()
|
|
|
Structure Proposal # 1147 QKYBUWDHHCMRCM Deviation = 3.21ppm
Search WEB for skeleton respect to your proposal |
|
![]()
|
|
|
Structure Proposal # 1148 JVIFXFLDPMNMTL Deviation = 3.21ppm
Search WEB for skeleton |
|
![]()
|
|
|
Structure Proposal # 1149 TYOZVTMSYFZEJO Deviation = 3.21ppm
Search WEB for skeleton |
|
![]()
|
|
|
Structure Proposal # 1150 YJCYDPHHVPSNDB Deviation = 3.21ppm
Search WEB for skeleton |
|
![]()
|
|
|
Structure Proposal # 1151 VBVXOSUNMBOMHG Deviation = 3.21ppm
Search WEB for skeleton |
|
![]()
|
|
|
Structure Proposal # 1152 KYNGZSVFUHFNHH Deviation = 3.21ppm
Search WEB for skeleton |
|
![]()
|
|
|
Structure Proposal # 1153 SHQQCTJLRZUVQR Deviation = 3.21ppm
Search WEB for skeleton respect to your proposal |
|
![]()
|
|
|
Structure Proposal # 1154 QGIKJFBFBYSDIV Deviation = 3.21ppm
Search WEB for skeleton |
|
![]()
|
|
|
Structure Proposal # 1155 CPPYVJSYPDAVSI Deviation = 3.21ppm
Search WEB for skeleton |
|
![]()
|
|
|
Structure Proposal # 1156 LRPCETLZJICVKS Deviation = 3.22ppm
Search WEB for skeleton |
|
![]()
|
|
|
Structure Proposal # 1157 VWYRHLOOLFFEHR Deviation = 3.22ppm
Search WEB for skeleton |
|
![]()
|
|
|
Structure Proposal # 1158 NHNJNVJBSJJFEF Deviation = 3.22ppm
Search WEB for skeleton |
|
![]()
|
|
|
Structure Proposal # 1159 JLZJZEKVKQCOGS Deviation = 3.22ppm
Search WEB for skeleton |
|
![]()
|
|
|
Structure Proposal # 1160 XXUJONARDNOWGO Deviation = 3.22ppm
Search WEB for skeleton |
|
![]()
|
|
|
Structure Proposal # 1161 XHPYSBDUICXTDX Deviation = 3.22ppm
Search WEB for skeleton |
|
![]()
|
|
|
Structure Proposal # 1162 MCKHGWWECMBMBL Deviation = 3.22ppm
Search WEB for skeleton |
|
![]()
|
|
|
Structure Proposal # 1163 XIVNQYQQWXNMNL Deviation = 3.22ppm
Search WEB for skeleton |
|
![]()
|
|
|
Structure Proposal # 1164 YVYANSLJLJAFFF Deviation = 3.22ppm
Search WEB for skeleton |
|
![]()
|
|
|
Structure Proposal # 1165 MJBWHWXWNLPCSS Deviation = 3.22ppm
Search WEB for skeleton |
|
![]()
|
|
|
Structure Proposal # 1166 PPHBNWOITIIRJO Deviation = 3.22ppm
Search WEB for skeleton |
|
![]()
|
|
|
Structure Proposal # 1167 QCPMYUSYLXWKIE Deviation = 3.22ppm
Search WEB for skeleton |
|
![]()
|
|
|
Structure Proposal # 1168 FTVDEZDWNRKIQY Deviation = 3.22ppm
Search WEB for skeleton |
|
![]()
|
|
|
Structure Proposal # 1169 TZWWGUFJZUJIEV Deviation = 3.22ppm
Search WEB for skeleton |
|
![]()
|
|
|
Structure Proposal # 1170 NOZTTZCTRIGDKB Deviation = 3.22ppm
Search WEB for skeleton |
|
![]()
|
|
|
Structure Proposal # 1171 MFMMHVLJRLVGRM Deviation = 3.22ppm
Search WEB for skeleton |
|
![]()
|
|
|
Structure Proposal # 1172 WHYWFIATAUVCBD Deviation = 3.22ppm
Search WEB for skeleton |
|
![]()
|
|
|
Structure Proposal # 1173 ACXWAQPXVPPPRI Deviation = 3.22ppm
Search WEB for skeleton |
|
![]()
|
|
|
Structure Proposal # 1174 HOAHUIGMIMFMCI Deviation = 3.22ppm
Search WEB for skeleton |
|
![]()
|
|
|
Structure Proposal # 1175 SQTYOZTXLFNDOJ Deviation = 3.22ppm
Search WEB for skeleton |
|
![]()
|
|
|
Structure Proposal # 1176 GEYWWNNZPSXSST Deviation = 3.22ppm
Search WEB for skeleton |
|
![]()
|
|
|
Structure Proposal # 1177 HNILIBZDCUJIRJ Deviation = 3.22ppm
Search WEB for skeleton |
|
![]()
|
|
|
Structure Proposal # 1178 RYAXXBUJHWCIKI Deviation = 3.22ppm
Search WEB for skeleton |
|
![]()
|
|
|
Structure Proposal # 1179 IOLSVRPFKAQERA Deviation = 3.22ppm
Search WEB for skeleton respect to your proposal |
|
![]()
|
|
|
Structure Proposal # 1180 LGIHUXAHBZNGKM Deviation = 3.22ppm
Search WEB for skeleton |
|
![]()
|
|
|
Structure Proposal # 1181 WOKRBZJNRSVLNW Deviation = 3.22ppm
Search WEB for skeleton |
|
![]()
|
|
|
Structure Proposal # 1182 HGUYFTLXPYULFJ Deviation = 3.22ppm
Search WEB for skeleton |
|
![]()
|
|
|
Structure Proposal # 1183 RRSQTUPBGHKYOD Deviation = 3.22ppm
Search WEB for skeleton |
|
![]()
|
|
|
Structure Proposal # 1184 TUICHNAXEWWZSS Deviation = 3.22ppm
Search WEB for skeleton |
|
![]()
|
|
|
Structure Proposal # 1185 PAQWJNSOWSPMSM Deviation = 3.22ppm
Search WEB for skeleton |
|
![]()
|
|
|
Structure Proposal # 1186 VWDBPJATZROABW Deviation = 3.22ppm
Search WEB for skeleton |
|
![]()
|
|
|
Structure Proposal # 1187 YMHLUTDPOFYQKY Deviation = 3.22ppm
Search WEB for skeleton |
|
![]()
|
|
|
Structure Proposal # 1188 IXMNXWAJMQTCGB Deviation = 3.23ppm
Search WEB for skeleton |
|
![]()
|
|
|
Structure Proposal # 1189 OPMJBMWFJMVBHK Deviation = 3.23ppm
Search WEB for skeleton |
|
![]()
|
|
|
Structure Proposal # 1190 KJRICORVJVXIAN Deviation = 3.23ppm
Search WEB for skeleton |
|
![]()
|
|
|
Structure Proposal # 1191 RXOLMQLXIRTHFM Deviation = 3.23ppm
Search WEB for skeleton |
|
![]()
|
|
|
Structure Proposal # 1192 WBOPORLLIQJAQG Deviation = 3.23ppm
Search WEB for skeleton |
|
![]()
|
|
|
Structure Proposal # 1193 CNWRYQFSNVJLTA Deviation = 3.23ppm
Search WEB for skeleton |
|
![]()
|
|
|
Structure Proposal # 1194 SNOPFNVBEOHBPB Deviation = 3.23ppm
Search WEB for skeleton |
|
![]()
|
|
|
Structure Proposal # 1195 XIGWMXVZNZKQMR Deviation = 3.23ppm
Search WEB for skeleton |
|
![]()
|
|
|
Structure Proposal # 1196 ZDYZXCFCQTZZIL Deviation = 3.23ppm
Search WEB for skeleton |
|
![]()
|
|
|
Structure Proposal # 1197 HNWBTXPNUPNMFT Deviation = 3.23ppm
Search WEB for skeleton |
|
![]()
|
|
|
Structure Proposal # 1198 FAUOXNYRFDGESJ Deviation = 3.23ppm
Search WEB for skeleton |
|
![]()
|
|
|
Structure Proposal # 1199 CBMKYCWSNNKQSC Deviation = 3.23ppm
Search WEB for skeleton |
|
![]()
|
|
|
Structure Proposal # 1200 BFUMJSIOMAHNOM Deviation = 3.23ppm
Search WEB for skeleton |
|
![]()
|
|
|
Structure Proposal # 1201 AJDFKNOSRPQVLQ Deviation = 3.23ppm
Search WEB for skeleton |
|
![]()
|
|
|
Structure Proposal # 1202 MNUSKNFYCMUEJQ Deviation = 3.23ppm
Search WEB for skeleton |
|
![]()
|
|
|
Structure Proposal # 1203 QZSLEGSWTXMQDC Deviation = 3.23ppm
Search WEB for skeleton |
|
![]()
|
|
|
Structure Proposal # 1204 UNOKEAXRMMBBTM Deviation = 3.23ppm
Search WEB for skeleton |
|
![]()
|
|
|
Structure Proposal # 1205 RLBWQVNBHKNAIV Deviation = 3.23ppm
Search WEB for skeleton |
|
![]()
|
|
|
Structure Proposal # 1206 LLJIQWIOWAYMAP Deviation = 3.23ppm
Search WEB for skeleton |
|
![]()
|
|
|
Structure Proposal # 1207 LZTTUMAVXXJMGY Deviation = 3.23ppm
Search WEB for skeleton |
|
![]()
|
|
|
Structure Proposal # 1208 UCUHXBUSWPLJOC Deviation = 3.23ppm
Search WEB for skeleton |
|
![]()
|
|
|
Structure Proposal # 1209 SPKUHQAXKXGLKA Deviation = 3.23ppm
Search WEB for skeleton |
|
![]()
|
|
|
Structure Proposal # 1210 RHALZELKKVEJFS Deviation = 3.23ppm
Search WEB for skeleton respect to your proposal |
|
![]()
|
|
|
Structure Proposal # 1211 GSZDSMDAKPSUJS Deviation = 3.23ppm
Search WEB for skeleton |
|
![]()
|
|
|
Structure Proposal # 1212 GWYOZOONXVNVPQ Deviation = 3.23ppm
Search WEB for skeleton |
|
![]()
|
|
|
Structure Proposal # 1213 PGAUHPHEYDNJBM Deviation = 3.23ppm
Search WEB for skeleton |
|
![]()
|
|
|
Structure Proposal # 1214 HEZBYMOTWOZKIO Deviation = 3.23ppm
Search WEB for skeleton |
|
![]()
|
|
|
Structure Proposal # 1215 PYNVWKIGVSSWMR Deviation = 3.23ppm
Search WEB for skeleton |
|
![]()
|
|
|
Structure Proposal # 1216 UIIQHUKMCXSDNF Deviation = 3.23ppm
Search WEB for skeleton |
|
![]()
|
|
|
Structure Proposal # 1217 HBQXLTGLDASNCJ Deviation = 3.23ppm
Search WEB for skeleton |
|
![]()
|
|
|
Structure Proposal # 1218 SVHGIRCFEGAJSM Deviation = 3.23ppm
Search WEB for skeleton |
|
![]()
|
|
|
Structure Proposal # 1219 SWJWZOYFMMDTDP Deviation = 3.23ppm
Search WEB for skeleton respect to your proposal |
|
![]()
|
|
|
Structure Proposal # 1220 MJNFGYRZNZSVQC Deviation = 3.23ppm
Search WEB for skeleton |
|
![]()
|
|
|
Structure Proposal # 1221 NXFPRHSRXVQERT Deviation = 3.23ppm
Search WEB for skeleton |
|
![]()
|
|
|
Structure Proposal # 1222 AQPRHEBHLPPUGB Deviation = 3.24ppm
Search WEB for skeleton |
|
![]()
|
|
|
Structure Proposal # 1223 OQZUCBBXZXVIDG Deviation = 3.24ppm
Search WEB for skeleton |
|
![]()
|
|
|
Structure Proposal # 1224 HRQDVJQGCVRCPV Deviation = 3.24ppm
Search WEB for skeleton |
|
![]()
|
|
|
Structure Proposal # 1225 CFYLIBHHBFQNGR Deviation = 3.24ppm
Search WEB for skeleton |
|
![]()
|
|
|
Structure Proposal # 1226 CKEDNIMZIIFTDR Deviation = 3.24ppm
Search WEB for skeleton |
|
![]()
|
|
|
Structure Proposal # 1227 XWIWIILSQCSIPX Deviation = 3.24ppm
Search WEB for skeleton |
|
![]()
|
|
|
Structure Proposal # 1228 MKNZFYTXKQBOBB Deviation = 3.24ppm
Search WEB for skeleton |
|
![]()
|
|
|
Structure Proposal # 1229 YVEFCDFLGUVITH Deviation = 3.24ppm
Search WEB for skeleton |
|
![]()
|
|
|
Structure Proposal # 1230 DJNZSMMFOQEHHJ Deviation = 3.24ppm
Search WEB for skeleton |
|
![]()
|
|
|
Structure Proposal # 1231 WZXSFZHKLWNLJE Deviation = 3.24ppm
Search WEB for skeleton |
|
![]()
|
|
|
Structure Proposal # 1232 HBHOHRIPVUXBIL Deviation = 3.24ppm
Search WEB for skeleton |
|
![]()
|
|
|
Structure Proposal # 1233 SYRMLYUNMSLTGQ Deviation = 3.24ppm
Search WEB for skeleton |
|
![]()
|
|
|
Structure Proposal # 1234 JFYTXHGTTSQYAD Deviation = 3.24ppm
Search WEB for skeleton |
|
![]()
|
|
|
Structure Proposal # 1235 MOCJQMRRJRWOCD Deviation = 3.24ppm
Search WEB for skeleton |
|
![]()
|
|
|
Structure Proposal # 1236 VRLORURYEHVTCN Deviation = 3.24ppm
Search WEB for skeleton |
|
![]()
|
|
|
Structure Proposal # 1237 CMYWTGFPJRWGCH Deviation = 3.24ppm
Search WEB for skeleton |
|
![]()
|
|
|
Structure Proposal # 1238 NNBSPOYUPSXQLJ Deviation = 3.24ppm
Search WEB for skeleton |
|
![]()
|
|
|
Structure Proposal # 1239 SOTXCJBQNYLIBS Deviation = 3.24ppm
Search WEB for skeleton |
|
![]()
|
|
|
Structure Proposal # 1240 SKOOIWFQQBMBOI Deviation = 3.24ppm
Search WEB for skeleton |
|
![]()
|
|
|
Structure Proposal # 1241 ZEWXBTHIZRFSED Deviation = 3.24ppm
Search WEB for skeleton |
|
![]()
|
|
|
Structure Proposal # 1242 FXDNWTPTLDERSH Deviation = 3.24ppm
Search WEB for skeleton |
|
![]()
|
|
|
Structure Proposal # 1243 WPTHEWJLLPOSGN Deviation = 3.24ppm
Search WEB for skeleton |
|
![]()
|
|
|
Structure Proposal # 1244 MAPHLQLGRKXGIP Deviation = 3.24ppm
Search WEB for skeleton |
|
![]()
|
|
|
Structure Proposal # 1245 CDAAKUKJPVWGAL Deviation = 3.24ppm
Search WEB for skeleton |
|
![]()
|
|
|
Structure Proposal # 1246 QKEVFHQEIQVJGN Deviation = 3.24ppm
Search WEB for skeleton |
|
![]()
|
|
|
Structure Proposal # 1247 LONRNVMRWRJRAS Deviation = 3.24ppm
Search WEB for skeleton |
|
![]()
|
|
|
Structure Proposal # 1248 GKVMGJWCOUPLKI Deviation = 3.24ppm
Search WEB for skeleton |
|
![]()
|
|
|
Structure Proposal # 1249 KBDMUIIODYZPHR Deviation = 3.24ppm
Search WEB for skeleton |
|
![]()
|
|
|
Structure Proposal # 1250 TUYNKKRAEMRYPP Deviation = 3.24ppm
Search WEB for skeleton |
|
![]()
|
|
|
Structure Proposal # 1251 VSFAORBDPSLFTJ Deviation = 3.24ppm
Search WEB for skeleton |
|
![]()
|
|
|
Structure Proposal # 1252 NSRYEZZCMHEGNB Deviation = 3.24ppm
Search WEB for skeleton |
|
![]()
|
|
|
Structure Proposal # 1253 NXUMXOBKQMIBSQ Deviation = 3.24ppm
Search WEB for skeleton |
|
![]()
|
|
|
Structure Proposal # 1254 GLBBRVOMGMGFNZ Deviation = 3.24ppm
Search WEB for skeleton |
|
![]()
|
|
|
Structure Proposal # 1255 NZCCDEQTRIGLJO Deviation = 3.24ppm
Search WEB for skeleton |
|
![]()
|
|
|
Structure Proposal # 1256 PENKTGAWSGSEFA Deviation = 3.24ppm
Search WEB for skeleton |
|
![]()
|
|
|
Structure Proposal # 1257 XVIWTALGRNSLSE Deviation = 3.24ppm
Search WEB for skeleton |
|
![]()
|
|
|
Structure Proposal # 1258 UPQROJCSQMMTNO Deviation = 3.24ppm
Search WEB for skeleton |
|
![]()
|
|
|
Structure Proposal # 1259 VXXSDQLAFRLGHL Deviation = 3.25ppm
Search WEB for skeleton |
|
![]()
|
|
|
Structure Proposal # 1260 ODLAORPWNFBZCK Deviation = 3.25ppm
Search WEB for skeleton |
|
![]()
|
|
|
Structure Proposal # 1261 UGWUWDHCQXGCQI Deviation = 3.25ppm
Search WEB for skeleton |
|
![]()
|
|
|
Structure Proposal # 1262 FKLNFTITBJQZIT Deviation = 3.25ppm
Search WEB for skeleton |
|
![]()
|
|
|
Structure Proposal # 1263 UKEQAAGTOYUGRN Deviation = 3.25ppm
Search WEB for skeleton |
|
![]()
|
|
|
Structure Proposal # 1264 AHEPKIABERMFID Deviation = 3.25ppm
Search WEB for skeleton |
|
![]()
|
|
|
Structure Proposal # 1265 QLDGKQIDNKFNSV Deviation = 3.25ppm
Search WEB for skeleton |
|
![]()
|
|
|
Structure Proposal # 1266 IEQCOQUEMYWSJO Deviation = 3.25ppm
Search WEB for skeleton respect to your proposal |
|
![]()
|
|
|
Structure Proposal # 1267 MIGQJRFMOYINCW Deviation = 3.25ppm
Search WEB for skeleton |
|
![]()
|
|
|
Structure Proposal # 1268 YNVCELYPNPMZHB Deviation = 3.25ppm
Search WEB for skeleton |
|
![]()
|
|
|
Structure Proposal # 1269 JECTUFVURCVEQU Deviation = 3.25ppm
Search WEB for skeleton |
|
![]()
|
|
|
Structure Proposal # 1270 ZENZWEKPQXYNOE Deviation = 3.25ppm
Search WEB for skeleton |
|
![]()
|
|
|
Structure Proposal # 1271 ROSVDHFGDBXGFK Deviation = 3.25ppm
Search WEB for skeleton |
|
![]()
|
|
|
Structure Proposal # 1272 IYMVTCVQFAIEHS Deviation = 3.25ppm
Search WEB for skeleton |
|
![]()
|
|
|
Structure Proposal # 1273 LAYOUWDXZHDFDS Deviation = 3.25ppm
Search WEB for skeleton |
|
![]()
|
|
|
Structure Proposal # 1274 NZKVPUWZQVJLOB Deviation = 3.25ppm
Search WEB for skeleton |
|
![]()
|
|
|
Structure Proposal # 1275 LGEQCEKMMFNDQN Deviation = 3.25ppm
Search WEB for skeleton |
|
![]()
|
|
|
Structure Proposal # 1276 YHLFCEVFUVYJKR Deviation = 3.25ppm
Search WEB for skeleton |
|
![]()
|
|
|
Structure Proposal # 1277 FJQMFNAKSYIYLS Deviation = 3.25ppm
Search WEB for skeleton |
|
![]()
|
|
|
Structure Proposal # 1278 NBMOTFZTTCZVMM Deviation = 3.25ppm
Search WEB for skeleton |
|
![]()
|
|
|
Structure Proposal # 1279 XZMCNOKUWMVLPD Deviation = 3.25ppm
Search WEB for skeleton |
|
![]()
|
|
|
Structure Proposal # 1280 PGCYQQSHMHYINZ Deviation = 3.25ppm
Search WEB for skeleton |
|
![]()
|
|
|
Structure Proposal # 1281 YKZZTKHPJZFDDE Deviation = 3.25ppm
Search WEB for skeleton |
|
![]()
|
|
|
Structure Proposal # 1282 BJDYIRGVGJYYJR Deviation = 3.25ppm
Search WEB for skeleton |
|
![]()
|
|
|
Structure Proposal # 1283 DYLGIWCSUNQQHK Deviation = 3.25ppm
Search WEB for skeleton |
|
![]()
|
|
|
Structure Proposal # 1284 ORZREZWVZIBAQH Deviation = 3.25ppm
Search WEB for skeleton |
|
![]()
|
|
|
Structure Proposal # 1285 GQWZRRIKZMTGGL Deviation = 3.25ppm
Search WEB for skeleton |
|
![]()
|
|
|
Structure Proposal # 1286 SWESDJCYFPESIQ Deviation = 3.25ppm
Search WEB for skeleton |
|
![]()
|
|
|
Structure Proposal # 1287 PFFMWFLUOMOMQF Deviation = 3.25ppm
Search WEB for skeleton |
|
![]()
|
|
|
Structure Proposal # 1288 CAZSSTKGRCGEAW Deviation = 3.25ppm
Search WEB for skeleton |
|
![]()
|
|
|
Structure Proposal # 1289 LWXCHMINQOUZFJ Deviation = 3.25ppm
Search WEB for skeleton |
|
![]()
|
|
|
Structure Proposal # 1290 NUGOEQOCPZIEMA Deviation = 3.25ppm
Search WEB for skeleton |
|
![]()
|
|
|
Structure Proposal # 1291 AXROYRUQGAVZAI Deviation = 3.25ppm
Search WEB for skeleton |
|
![]()
|
|
|
Structure Proposal # 1292 IEIYJBDDKHPEOM Deviation = 3.25ppm
Search WEB for skeleton |
|
![]()
|
|
|
Structure Proposal # 1293 GDEXWWOYKHESMY Deviation = 3.25ppm
Search WEB for skeleton |
|
![]()
|
|
|
Structure Proposal # 1294 JJZHBBKXDQEIQL Deviation = 3.25ppm
Search WEB for skeleton respect to your proposal |
|
![]()
|
|
|
Structure Proposal # 1295 ULKWOGGJQUZEGT Deviation = 3.26ppm
Search WEB for skeleton |
|
![]()
|
|
|
Structure Proposal # 1296 PRHKRZJWRINZFF Deviation = 3.26ppm
Search WEB for skeleton |
|
![]()
|
|
|
Structure Proposal # 1297 TWOVEUSRTOSOBA Deviation = 3.26ppm
Search WEB for skeleton |
|
![]()
|
|
|
Structure Proposal # 1298 CUZOCSFXGIVRMG Deviation = 3.26ppm
Search WEB for skeleton |
|
![]()
|
|
|
Structure Proposal # 1299 GWUILHPSQAWLEY Deviation = 3.26ppm
Search WEB for skeleton respect to your proposal |
|
![]()
|
|
|
Structure Proposal # 1300 MQOAAMRZFTWVNF Deviation = 3.26ppm
Search WEB for skeleton |
|
![]()
|
|
|
Structure Proposal # 1301 MFRFCMAFKZJBKC Deviation = 3.26ppm
Search WEB for skeleton |
|
![]()
|
|
|
Structure Proposal # 1302 AJBRVDBBTJQOTR Deviation = 3.26ppm
Search WEB for skeleton |
|
![]()
|
|
|
Structure Proposal # 1303 SKLWXXSCDZFUBD Deviation = 3.26ppm
Search WEB for skeleton |
|
![]()
|
|
|
Structure Proposal # 1304 LQGRCWWTBXRBOU Deviation = 3.26ppm
Search WEB for skeleton |
|
![]()
|
|
|
Structure Proposal # 1305 GHTXAKCBLCOYFL Deviation = 3.26ppm
Search WEB for skeleton |
|
![]()
|
|
|
Structure Proposal # 1306 NBQOXZFIGKISDC Deviation = 3.26ppm
Search WEB for skeleton |
|
![]()
|
|
|
Structure Proposal # 1307 UXMKNEFHDKCKEL Deviation = 3.26ppm
Search WEB for skeleton |
|
![]()
|
|
|
Structure Proposal # 1308 ZLNOYSYUULHJSH Deviation = 3.26ppm
Search WEB for skeleton |
|
![]()
|
|
|
Structure Proposal # 1309 IOAIKOALKFVBJY Deviation = 3.26ppm
Search WEB for skeleton |
|
![]()
|
|
|
Structure Proposal # 1310 KGWWDVXCKOXYJV Deviation = 3.26ppm
Search WEB for skeleton |
|
![]()
|
|
|
Structure Proposal # 1311 QVJPPERGMKCSEP Deviation = 3.26ppm
Search WEB for skeleton |
|
![]()
|
|
|
Structure Proposal # 1312 CLDDGCXVQYMUPI Deviation = 3.26ppm
Search WEB for skeleton |
|
![]()
|
|
|
Structure Proposal # 1313 CBEZOMWLXZJGQM Deviation = 3.26ppm
Search WEB for skeleton |
|
![]()
|
|
|
Structure Proposal # 1314 UCQVYOFHYHHTGX Deviation = 3.26ppm
Search WEB for skeleton |
|
![]()
|
|
|
Structure Proposal # 1315 FBOMGOWTUYYPPV Deviation = 3.26ppm
Search WEB for skeleton |
|
![]()
|
|
|
Structure Proposal # 1316 FUCLXNPRHVZSTO Deviation = 3.26ppm
Search WEB for skeleton |
|
![]()
|
|
|
Structure Proposal # 1317 HOYOWLMRFCQSOB Deviation = 3.26ppm
Search WEB for skeleton |
|
![]()
|
|
|
Structure Proposal # 1318 FMPCGYSTSDJODR Deviation = 3.26ppm
Search WEB for skeleton |
|
![]()
|
|
|
Structure Proposal # 1319 CCSFCCUJDDNIBJ Deviation = 3.26ppm
Search WEB for skeleton |
|
![]()
|
|
|
Structure Proposal # 1320 SMNAWSMPRSQAPT Deviation = 3.26ppm
Search WEB for skeleton |
|
![]()
|
|
|
Structure Proposal # 1321 KDNGQMDEUJZRME Deviation = 3.26ppm
Search WEB for skeleton |
|
![]()
|
|
|
Structure Proposal # 1322 MPARTJVAQCLISY Deviation = 3.26ppm
Search WEB for skeleton |
|
![]()
|
|
|
Structure Proposal # 1323 KTXHYZMWDZANCW Deviation = 3.26ppm
Search WEB for skeleton |
|
![]()
|
|
|
Structure Proposal # 1324 CAHWOSADQKUFGO Deviation = 3.26ppm
Search WEB for skeleton respect to your proposal |
|
![]()
|
|
|
Structure Proposal # 1325 YPTXEDKGCLCVRZ Deviation = 3.26ppm
Search WEB for skeleton |
|
![]()
|
|
|
Structure Proposal # 1326 WTNZHQKAVUAGLX Deviation = 3.26ppm
Search WEB for skeleton |
|
![]()
|
|
|
Structure Proposal # 1327 HZBBHGXINKEKOM Deviation = 3.26ppm
Search WEB for skeleton |
|
![]()
|
|
|
Structure Proposal # 1328 GOZNXJSTTABABT Deviation = 3.26ppm
Search WEB for skeleton |
|
![]()
|
|
|
Structure Proposal # 1329 OBJONMYLORFDII Deviation = 3.26ppm
Search WEB for skeleton |
|
![]()
|
|
|
Structure Proposal # 1330 QFGNDDHYFHXLBZ Deviation = 3.26ppm
Search WEB for skeleton |
|
![]()
|
|
|
Structure Proposal # 1331 USNQWWUPROMIJH Deviation = 3.26ppm
Search WEB for skeleton |
|
![]()
|
|
|
Structure Proposal # 1332 FVDTVRNHMAELIM Deviation = 3.26ppm
Search WEB for skeleton |
|
![]()
|
|
|
Structure Proposal # 1333 CKNRURMRSLAONH Deviation = 3.26ppm
Search WEB for skeleton |
|
![]()
|
|
|
Structure Proposal # 1334 IXLHILUIUBALPC Deviation = 3.26ppm
Search WEB for skeleton |
|
![]()
|
|
|
Structure Proposal # 1335 AHQAPYCICQKDIX Deviation = 3.26ppm
Search WEB for skeleton |
|
![]()
|
|
|
Structure Proposal # 1336 UVCNXUXEXRLTJZ Deviation = 3.26ppm
Search WEB for skeleton |
|
![]()
|
|
|
Structure Proposal # 1337 QPHRXTZHHNCNTB Deviation = 3.26ppm
Search WEB for skeleton |
|
![]()
|
|
|
Structure Proposal # 1338 UCQYCIUCOBMMGT Deviation = 3.27ppm
Search WEB for skeleton |
|
![]()
|
|
|
Structure Proposal # 1339 GFZYGODUISNBDZ Deviation = 3.27ppm
Search WEB for skeleton |
|
![]()
|
|
|
Structure Proposal # 1340 HQMUWCXJALQTQI Deviation = 3.27ppm
Search WEB for skeleton |
|
![]()
|
|
|
Structure Proposal # 1341 DBKHSTFDJALWCT Deviation = 3.27ppm
Search WEB for skeleton |
|
![]()
|
|
|
Structure Proposal # 1342 RQASVOJLNZEELH Deviation = 3.27ppm
Search WEB for skeleton |
|
![]()
|
|
|
Structure Proposal # 1343 ZJMWKZQSJLTVOR Deviation = 3.27ppm
Search WEB for skeleton |
|
![]()
|
|
|
Structure Proposal # 1344 CTXHQNIOXWLHSY Deviation = 3.27ppm
Search WEB for skeleton |
|
![]()
|
|
|
Structure Proposal # 1345 WMUPIZNSINVXBS Deviation = 3.27ppm
Search WEB for skeleton |
|
![]()
|
|
|
Structure Proposal # 1346 VPYWPTTYXDBYIQ Deviation = 3.27ppm
Search WEB for skeleton |
|
![]()
|
|
|
Structure Proposal # 1347 ZSNNSMQONHDAPX Deviation = 3.27ppm
Search WEB for skeleton |
|
![]()
|
|
|
Structure Proposal # 1348 LYDMQDAPJFYPTE Deviation = 3.27ppm
Search WEB for skeleton |
|
![]()
|
|
|
Structure Proposal # 1349 VKNVLPLKYTZUGK Deviation = 3.27ppm
Search WEB for skeleton |
|
![]()
|
|
|
Structure Proposal # 1350 YZASFRREIBCSEC Deviation = 3.27ppm
Search WEB for skeleton |
|
![]()
|
|
|
Structure Proposal # 1351 OBKQWYMARNGTRE Deviation = 3.27ppm
Search WEB for skeleton |
|
![]()
|
|
|
Structure Proposal # 1352 WLQKBLIAPZKQNH Deviation = 3.27ppm
Search WEB for skeleton |
|
![]()
|
|
|
Structure Proposal # 1353 FFYLCZPJVILRPI Deviation = 3.27ppm
Search WEB for skeleton |
|
![]()
|
|
|
Structure Proposal # 1354 JNRIWCOHYKCDJZ Deviation = 3.27ppm
Search WEB for skeleton |
|
![]()
|
|
|
Structure Proposal # 1355 KDOCNGIQGLDXPT Deviation = 3.27ppm
Search WEB for skeleton |
|
![]()
|
|
|
Structure Proposal # 1356 CVADMCABIQOPLE Deviation = 3.27ppm
Search WEB for skeleton |
|
![]()
|
|
|
Structure Proposal # 1357 UQBUODFNJXXSLV Deviation = 3.27ppm
Search WEB for skeleton |
|
![]()
|
|
|
Structure Proposal # 1358 LCSDJHTYZAYYKH Deviation = 3.27ppm
Search WEB for skeleton |
|
![]()
|
|
|
Structure Proposal # 1359 KDFXTDLRKDTLIL Deviation = 3.27ppm
Search WEB for skeleton |
|
![]()
|
|
|
Structure Proposal # 1360 VTKIVYNWVHJIBE Deviation = 3.27ppm
Search WEB for skeleton |
|
![]()
|
|
|
Structure Proposal # 1361 WQPKKCVSAZMXLB Deviation = 3.27ppm
Search WEB for skeleton |
|
![]()
|
|
|
Structure Proposal # 1362 PHNSUFIVDYUXPD Deviation = 3.27ppm
Search WEB for skeleton |
|
![]()
|
|
|
Structure Proposal # 1363 RXDODBCQGCWEQD Deviation = 3.27ppm
Search WEB for skeleton |
|
![]()
|
|
|
Structure Proposal # 1364 ODJTXTJIYJDAEN Deviation = 3.27ppm
Search WEB for skeleton |
|
![]()
|
|
|
Structure Proposal # 1365 LVNAJCSXQIQBDN Deviation = 3.27ppm
Search WEB for skeleton |
|
![]()
|
|
|
Structure Proposal # 1366 IOFVAKGLUBWAKZ Deviation = 3.27ppm
Search WEB for skeleton |
|
![]()
|
|
|
Structure Proposal # 1367 SEFVSXSVWPZJDC Deviation = 3.27ppm
Search WEB for skeleton |
|
![]()
|
|
|
Structure Proposal # 1368 DKADGQQBFNPZAQ Deviation = 3.27ppm
Search WEB for skeleton |
|
![]()
|
|
|
Structure Proposal # 1369 SFFRLVZXOGKRHU Deviation = 3.27ppm
Search WEB for skeleton |
|
![]()
|
|
|
Structure Proposal # 1370 UZFJOMIXWLMWBJ Deviation = 3.27ppm
Search WEB for skeleton |
|
![]()
|
|
|
Structure Proposal # 1371 BHELVOVTKFZYLO Deviation = 3.27ppm
Search WEB for skeleton |
|
![]()
|
|
|
Structure Proposal # 1372 ABOICGMKUGMNRP Deviation = 3.27ppm
Search WEB for skeleton |
|
![]()
|
|
|
Structure Proposal # 1373 MBLMTTDXOOSTDG Deviation = 3.27ppm
Search WEB for skeleton |
|
![]()
|
|
|
Structure Proposal # 1374 DZQFRLLNAVTEIG Deviation = 3.28ppm
Search WEB for skeleton |
|
![]()
|
|
|
Structure Proposal # 1375 KWBCSZVWEPCXTA Deviation = 3.28ppm
Search WEB for skeleton |
|
![]()
|
|
|
Structure Proposal # 1376 AAEIHEICPOSAJH Deviation = 3.28ppm
Search WEB for skeleton |
|
![]()
|
|
|
Structure Proposal # 1377 ZGUUOPRWLIQOCE Deviation = 3.28ppm
Search WEB for skeleton |
|
![]()
|
|
|
Structure Proposal # 1378 SQVPQMJMAWDYOH Deviation = 3.28ppm
Search WEB for skeleton |
|
![]()
|
|
|
Structure Proposal # 1379 NPOVXKBXILGLQD Deviation = 3.28ppm
Search WEB for skeleton |
|
![]()
|
|
|
Structure Proposal # 1380 KMCUYVVUZOYKQO Deviation = 3.28ppm
Search WEB for skeleton |
|
![]()
|
|
|
Structure Proposal # 1381 MSSNOZYEHFJEEB Deviation = 3.28ppm
Search WEB for skeleton |
|
![]()
|
|
|
Structure Proposal # 1382 FXOUCUYDTSYEEE Deviation = 3.28ppm
Search WEB for skeleton |
|
![]()
|
|
|
Structure Proposal # 1383 UVLVYMHIFSSKHT Deviation = 3.28ppm
Search WEB for skeleton respect to your proposal |
|
![]()
|
|
|
Structure Proposal # 1384 LZSSRCPXFATWCF Deviation = 3.28ppm
Search WEB for skeleton |
|
![]()
|
|
|
Structure Proposal # 1385 BNEPBKHTFRTUSJ Deviation = 3.28ppm
Search WEB for skeleton respect to your proposal |
|
![]()
|
|
|
Structure Proposal # 1386 CLJXDJCZGZVEPT Deviation = 3.28ppm
Search WEB for skeleton |
|
![]()
|
|
|
Structure Proposal # 1387 FOZYYWYVCBXIKF Deviation = 3.28ppm
Search WEB for skeleton |
|
![]()
|
|
|
Structure Proposal # 1388 LVCHZXRUFPUMHV Deviation = 3.28ppm
Search WEB for skeleton |
|
![]()
|
|
|
Structure Proposal # 1389 OMYZATCTXIFOIS Deviation = 3.28ppm
Search WEB for skeleton |
|
![]()
|
|
|
Structure Proposal # 1390 AUCINMNYKPYVRW Deviation = 3.28ppm
Search WEB for skeleton respect to your proposal |
|
![]()
|
|
|
Structure Proposal # 1391 BHJAYBRRWUFUIA Deviation = 3.28ppm
Search WEB for skeleton |
|
![]()
|
|
|
Structure Proposal # 1392 WPKAKPNCJADOIE Deviation = 3.28ppm
Search WEB for skeleton |
|
![]()
|
|
|
Structure Proposal # 1393 GRWVVTOXTMGKEQ Deviation = 3.28ppm
Search WEB for skeleton |
|
![]()
|
|
|
Structure Proposal # 1394 RMWUCMZLXWTZCS Deviation = 3.28ppm
Search WEB for skeleton |
|
![]()
|
|
|
Structure Proposal # 1395 XRUSMQKCMIXIOX Deviation = 3.28ppm
Search WEB for skeleton respect to your proposal |
|
![]()
|
|
|
Structure Proposal # 1396 CRUIDFDCXBJQLD Deviation = 3.28ppm
Search WEB for skeleton respect to your proposal |
|
![]()
|
|
|
Structure Proposal # 1397 LRNSEIFREVUCJQ Deviation = 3.28ppm
Search WEB for skeleton |
|
![]()
|
|
|
Structure Proposal # 1398 MTJFEEYBZIKXOX Deviation = 3.28ppm
Search WEB for skeleton |
|
![]()
|
|
|
Structure Proposal # 1399 GTKULESMPGIPJQ Deviation = 3.28ppm
Search WEB for skeleton |
|
![]()
|
|
|
Structure Proposal # 1400 FFJHNPLWIGUOSL Deviation = 3.28ppm
Search WEB for skeleton |
|
![]()
|
|
|
Structure Proposal # 1401 IMSDAIOPZOXJKU Deviation = 3.28ppm
Search WEB for skeleton |
|
![]()
|
|
|
Structure Proposal # 1402 YJUZUOVRZBDERI Deviation = 3.28ppm
Search WEB for skeleton |
|
![]()
|
|
|
Structure Proposal # 1403 HFLDWVSSDXBKPU Deviation = 3.28ppm
Search WEB for skeleton |
|
![]()
|
|
|
Structure Proposal # 1404 SRBHIGOKEWYHKP Deviation = 3.28ppm
Search WEB for skeleton |
|
![]()
|
|
|
Structure Proposal # 1405 PNFBQQIZUVWVJC Deviation = 3.28ppm
Search WEB for skeleton |
|
![]()
|
|
|
Structure Proposal # 1406 JDDRGPAHBCPTHP Deviation = 3.28ppm
Search WEB for skeleton |
|
![]()
|
|
|
Structure Proposal # 1407 XVLOKAQFOWPNJU Deviation = 3.28ppm
Search WEB for skeleton |
|
![]()
|
|
|
Structure Proposal # 1408 XAYAVBKTZIDDCZ Deviation = 3.28ppm
Search WEB for skeleton |
|
![]()
|
|
|
Structure Proposal # 1409 CIIPKEZRZNLNRQ Deviation = 3.28ppm
Search WEB for skeleton |
|
![]()
|
|
|
Structure Proposal # 1410 BQJSVRNXQXYNCF Deviation = 3.28ppm
Search WEB for skeleton respect to your proposal |
|
![]()
|
|
|
Structure Proposal # 1411 NVWLGBFBYFUXEG Deviation = 3.28ppm
Search WEB for skeleton |
|
![]()
|
|
|
Structure Proposal # 1412 CULFTWCYSPHQCO Deviation = 3.28ppm
Search WEB for skeleton |
|
![]()
|
|
|
Structure Proposal # 1413 VPPFXIKCBBORJW Deviation = 3.28ppm
Search WEB for skeleton |
|
![]()
|
|
|
Structure Proposal # 1414 MTKGNWFBLMGVHQ Deviation = 3.28ppm
Search WEB for skeleton |
|
![]()
|
|
|
Structure Proposal # 1415 YJQOYTHCVNZZGB Deviation = 3.28ppm
Search WEB for skeleton |
|
![]()
|
|
|
Structure Proposal # 1416 DCTTWZDVMWMNMT Deviation = 3.28ppm
Search WEB for skeleton |
|
![]()
|
|
|
Structure Proposal # 1417 QWYMPUMJCCDUJS Deviation = 3.28ppm
Search WEB for skeleton |
|
![]()
|
|
|
Structure Proposal # 1418 XENCESZVZMDODZ Deviation = 3.28ppm
Search WEB for skeleton |
|
![]()
|
|
|
Structure Proposal # 1419 SZYXDZYHHLXELS Deviation = 3.28ppm
Search WEB for skeleton |
|
![]()
|
|
|
Structure Proposal # 1420 AGPBBZMHVDWSGC Deviation = 3.28ppm
Search WEB for skeleton |
|
![]()
|
|
|
Structure Proposal # 1421 UGCRDZBCANVHRY Deviation = 3.28ppm
Search WEB for skeleton |
|
![]()
|
|
|
Structure Proposal # 1422 HVPMTIOOTGIZKV Deviation = 3.29ppm
Search WEB for skeleton |
|
![]()
|
|
|
Structure Proposal # 1423 KSFYSTGENZICGO Deviation = 3.29ppm
Search WEB for skeleton |
|
![]()
|
|
|
Structure Proposal # 1424 UJULGHDXRDLHOP Deviation = 3.29ppm
Search WEB for skeleton |
|
![]()
|
|
|
Structure Proposal # 1425 WLGHUGUOLJMZMV Deviation = 3.29ppm
Search WEB for skeleton |
|
![]()
|
|
|
Structure Proposal # 1426 ZLUUVIARBANSOF Deviation = 3.29ppm
Search WEB for skeleton respect to your proposal |
|
![]()
|
|
|
Structure Proposal # 1427 APZJSLUHEXOZOD Deviation = 3.29ppm
Search WEB for skeleton |
|
![]()
|
|
|
Structure Proposal # 1428 DOMHKCRZQGXYFB Deviation = 3.29ppm
Search WEB for skeleton |
|
![]()
|
|
|
Structure Proposal # 1429 DVJGOQOWFFZYTA Deviation = 3.29ppm
Search WEB for skeleton respect to your proposal |
|
![]()
|
|
|
Structure Proposal # 1430 JDLKKKOYUBYORV Deviation = 3.29ppm
Search WEB for skeleton |
|
![]()
|
|
|
Structure Proposal # 1431 RJNRVUJUKADXQF Deviation = 3.29ppm
Search WEB for skeleton |
|
![]()
|
|
|
Structure Proposal # 1432 RBYCSWYFOIJWCB Deviation = 3.29ppm
Search WEB for skeleton |
|
![]()
|
|
|
Structure Proposal # 1433 XSPMFILZFWQUQW Deviation = 3.29ppm
Search WEB for skeleton |
|
![]()
|
|
|
Structure Proposal # 1434 LGQCQLKBXNGCPN Deviation = 3.29ppm
Search WEB for skeleton |
|
![]()
|
|
|
Structure Proposal # 1435 GUJRNQLFFJSOAK Deviation = 3.29ppm
Search WEB for skeleton |
|
![]()
|
|
|
Structure Proposal # 1436 ZHWXDUVTKMHDLS Deviation = 3.29ppm
Search WEB for skeleton |
|
![]()
|
|
|
Structure Proposal # 1437 GXKAOROXKAKXJN Deviation = 3.29ppm
Search WEB for skeleton |
|
![]()
|
|
|
Structure Proposal # 1438 ADQMJOYRKFSDGA Deviation = 3.29ppm
Search WEB for skeleton |
|
![]()
|
|
|
Structure Proposal # 1439 WJFYDHKSNVZHCK Deviation = 3.29ppm
Search WEB for skeleton |
|
![]()
|
|
|
Structure Proposal # 1440 XPWFLFQQCVINPK Deviation = 3.29ppm
Search WEB for skeleton |
|
![]()
|
|
|
Structure Proposal # 1441 BGCZQAJIXIZOPB Deviation = 3.29ppm
Search WEB for skeleton |
|
![]()
|
|
|
Structure Proposal # 1442 IPBVEERIVWFTBU Deviation = 3.29ppm
Search WEB for skeleton respect to your proposal |
|
![]()
|
|
|
Structure Proposal # 1443 JUHTXKOZTHPBDY Deviation = 3.29ppm
Search WEB for skeleton |
|
![]()
|
|
|
Structure Proposal # 1444 AXYQPSQMHVLYMK Deviation = 3.29ppm
Search WEB for skeleton |
|
![]()
|
|
|
Structure Proposal # 1445 XOWWOHWHFSWNNX Deviation = 3.29ppm
Search WEB for skeleton |
|
![]()
|
|
|
Structure Proposal # 1446 WKUBEFHXYJRGAG Deviation = 3.29ppm
Search WEB for skeleton |
|
![]()
|
|
|
Structure Proposal # 1447 FLYCWAFTVYNXIM Deviation = 3.29ppm
Search WEB for skeleton |
|
![]()
|
|
|
Structure Proposal # 1448 VNVOLWRRIGWJRT Deviation = 3.29ppm
Search WEB for skeleton |
|
![]()
|
|
|
Structure Proposal # 1449 GSQBXEVRLGALRP Deviation = 3.29ppm
Search WEB for skeleton |
|
![]()
|
|
|
Structure Proposal # 1450 KPAHRJPCTWFUMC Deviation = 3.29ppm
Search WEB for skeleton |
|
![]()
|
|
|
Structure Proposal # 1451 SJXHBZJXOLPOAN Deviation = 3.29ppm
Search WEB for skeleton |
|
![]()
|
|
|
Structure Proposal # 1452 GIQSZLVISSGWLW Deviation = 3.29ppm
Search WEB for skeleton |
|
![]()
|
|
|
Structure Proposal # 1453 OGHXDEVWCLMTEZ Deviation = 3.29ppm
Search WEB for skeleton |
|
![]()
|
|
|
Structure Proposal # 1454 DTWDUSGQQIXIQU Deviation = 3.29ppm
Search WEB for skeleton |
|
![]()
|
|
|
Structure Proposal # 1455 NPUWUKMAVVFKBM Deviation = 3.29ppm
Search WEB for skeleton |
|
![]()
|
|
|
Structure Proposal # 1456 WJFAXXMEYMEUJG Deviation = 3.29ppm
Search WEB for skeleton |
|
![]()
|
|
|
Structure Proposal # 1457 HMLBBXLAHXCYFX Deviation = 3.29ppm
Search WEB for skeleton |
|
![]()
|
|
|
Structure Proposal # 1458 OZEWBPRRKGQVJX Deviation = 3.29ppm
Search WEB for skeleton |
|
![]()
|
|
|
Structure Proposal # 1459 XDCWVBRBDWMXNC Deviation = 3.29ppm
Search WEB for skeleton |
|
![]()
|
|
|
Structure Proposal # 1460 VBSNIWVNZPRVBW Deviation = 3.29ppm
Search WEB for skeleton |
|
![]()
|
|
|
Structure Proposal # 1461 GMUUYXSIPGZEPD Deviation = 3.29ppm
Search WEB for skeleton |
|
![]()
|
|
|
Structure Proposal # 1462 YRYHNDSKLAHRTD Deviation = 3.29ppm
Search WEB for skeleton |
|
![]()
|
|
|
Structure Proposal # 1463 WWYNSGQQOQPKAM Deviation = 3.30ppm
Search WEB for skeleton |
|
![]()
|
|
|
Structure Proposal # 1464 DGQXMPIEXFQCMT Deviation = 3.30ppm
Search WEB for skeleton |
|
![]()
|
|
|
Structure Proposal # 1465 LBAPYMFKRVARMI Deviation = 3.30ppm
Search WEB for skeleton |
|
![]()
|
|
|
Structure Proposal # 1466 VIXLTYCDQXWXMY Deviation = 3.30ppm
Search WEB for skeleton |
|
![]()
|
|
|
Structure Proposal # 1467 KNEKAMROPBSYIC Deviation = 3.30ppm
Search WEB for skeleton |
|
![]()
|
|
|
Structure Proposal # 1468 GWPQYPSDUSZGSA Deviation = 3.30ppm
Search WEB for skeleton |
|
![]()
|
|
|
Structure Proposal # 1469 HPSBMUUKTFRCFE Deviation = 3.30ppm
Search WEB for skeleton |
|
![]()
|
|
|
Structure Proposal # 1470 AHWCUAIIMGLRJE Deviation = 3.30ppm
Search WEB for skeleton |
|
![]()
|
|
|
Structure Proposal # 1471 DZCQJGSCYWTYBR Deviation = 3.30ppm
Search WEB for skeleton |
|
![]()
|
|
|
Structure Proposal # 1472 RRJTZOAVHOBHCD Deviation = 3.30ppm
Search WEB for skeleton |
|
![]()
|
|
|
Structure Proposal # 1473 GCBVKUJLKIYINZ Deviation = 3.30ppm
Search WEB for skeleton |
|
![]()
|
|
|
Structure Proposal # 1474 QHRZCTKTYLJFIB Deviation = 3.30ppm
Search WEB for skeleton |
|
![]()
|
|
|
Structure Proposal # 1475 YINWQKAWAFSYNX Deviation = 3.30ppm
Search WEB for skeleton |
|
![]()
|
|
|
Structure Proposal # 1476 TXYXVVPPJWGYNC Deviation = 3.30ppm
Search WEB for skeleton |
|
![]()
|
|
|
Structure Proposal # 1477 LNVSLILAKXEFKO Deviation = 3.30ppm
Search WEB for skeleton |
|
![]()
|
|
|
Structure Proposal # 1478 CWYUFYABJXJIJC Deviation = 3.30ppm
Search WEB for skeleton |
|
![]()
|
|
|
Structure Proposal # 1479 GLXNMZLMWJUKGJ Deviation = 3.30ppm
Search WEB for skeleton respect to your proposal |
|
![]()
|
|
|
Structure Proposal # 1480 LYYBERFYSRKEOO Deviation = 3.30ppm
Search WEB for skeleton |
|
![]()
|
|
|
Structure Proposal # 1481 SZTBVTIEQYDZRQ Deviation = 3.30ppm
Search WEB for skeleton |
|
![]()
|
|
|
Structure Proposal # 1482 YIEHMHLWWYGUSY Deviation = 3.30ppm
Search WEB for skeleton |
|
![]()
|
|
|
Structure Proposal # 1483 KDENXWJIMIBPEG Deviation = 3.30ppm
Search WEB for skeleton |
|
![]()
|
|
|
Structure Proposal # 1484 VEHWYHVWOJPKDY Deviation = 3.30ppm
Search WEB for skeleton |
|
![]()
|
|
|
Structure Proposal # 1485 NVFNXGIQJOJGJS Deviation = 3.30ppm
Search WEB for skeleton |
|
![]()
|
|
|
Structure Proposal # 1486 YUMDTDXTQRTAOY Deviation = 3.30ppm
Search WEB for skeleton |
|
![]()
|
|
|
Structure Proposal # 1487 KZDNAHZDWUDRSB Deviation = 3.30ppm
Search WEB for skeleton |
|
![]()
|
|
|
Structure Proposal # 1488 VVDVSCXDWOWUKP Deviation = 3.30ppm
Search WEB for skeleton |
|
![]()
|
|
|
Structure Proposal # 1489 UIXNWOWWFDQKQJ Deviation = 3.30ppm
Search WEB for skeleton |
|
![]()
|
|
|
Structure Proposal # 1490 AGJBXQVQJQVPBJ Deviation = 3.30ppm
Search WEB for skeleton |
|
![]()
|
|
|
Structure Proposal # 1491 MXIBEOMLKHJCHA Deviation = 3.30ppm
Search WEB for skeleton |
|
![]()
|
|
|
Structure Proposal # 1492 CCRWCDZLBHFLLL Deviation = 3.30ppm
Search WEB for skeleton |
|
![]()
|
|
|
Structure Proposal # 1493 XFBABTCGYHOENL Deviation = 3.30ppm
Search WEB for skeleton |
|
![]()
|
|
|
Structure Proposal # 1494 DQVZTMGTMLZGQS Deviation = 3.30ppm
Search WEB for skeleton |
|
![]()
|
|
|
Structure Proposal # 1495 GEILEUORYBZUCG Deviation = 3.31ppm
Search WEB for skeleton |
|
![]()
|
|
|
Structure Proposal # 1496 ITIVRHNOHVSFGS Deviation = 3.31ppm
Search WEB for skeleton |
|
![]()
|
|
|
Structure Proposal # 1497 IFLVZRUAQCPTBG Deviation = 3.31ppm
Search WEB for skeleton |
|
![]()
|
|
|
Structure Proposal # 1498 ZNQZLVOPKCYACP Deviation = 3.31ppm
Search WEB for skeleton respect to your proposal |
|
![]()
|
|
|
Structure Proposal # 1499 UJYYKXZKTULSES Deviation = 3.31ppm
Search WEB for skeleton |
|
![]()
|
|
|
Structure Proposal # 1500 PUDNKZZBVHJLQO Deviation = 3.31ppm
Search WEB for skeleton |
|
![]()
|
|
|
Structure Proposal # 1501 LNUDQJNOLRTAEE Deviation = 3.31ppm
Search WEB for skeleton |
|
![]()
|
|
|
Structure Proposal # 1502 BLENCZMJWRZMIV Deviation = 3.31ppm
Search WEB for skeleton |
|
![]()
|
|
|
Structure Proposal # 1503 DVWVMAXBSDCKBG Deviation = 3.31ppm
Search WEB for skeleton |
|
![]()
|
|
|
Structure Proposal # 1504 FXLOVAMDVLSOEK Deviation = 3.31ppm
Search WEB for skeleton |
|
![]()
|
|
|
Structure Proposal # 1505 QFCKQWZTFAZVLC Deviation = 3.31ppm
Search WEB for skeleton |
|
![]()
|
|
|
Structure Proposal # 1506 BADMHZGUBOEESU Deviation = 3.31ppm
Search WEB for skeleton |
|
![]()
|
|
|
Structure Proposal # 1507 YHESGGKNGVNCQB Deviation = 3.31ppm
Search WEB for skeleton |
|
![]()
|
|
|
Structure Proposal # 1508 PSVRPTSQTRSEDT Deviation = 3.31ppm
Search WEB for skeleton |
|
![]()
|
|
|
Structure Proposal # 1509 ORMALSRZATVHPE Deviation = 3.31ppm
Search WEB for skeleton |
|
![]()
|
|
|
Structure Proposal # 1510 DXRBPMYGALHBPL Deviation = 3.31ppm
Search WEB for skeleton |
|
![]()
|
|
|
Structure Proposal # 1511 GGQOLEUOTHRMSH Deviation = 3.31ppm
Search WEB for skeleton |
|
![]()
|
|
|
Structure Proposal # 1512 JHIGLSXZGJNJLR Deviation = 3.31ppm
Search WEB for skeleton |
|
![]()
|
|
|
Structure Proposal # 1513 JDRIPSZWRFEGKL Deviation = 3.31ppm
Search WEB for skeleton |
|
![]()
|
|
|
Structure Proposal # 1514 IBOPLTBTBLKQQZ Deviation = 3.31ppm
Search WEB for skeleton |
|
![]()
|
|
|
Structure Proposal # 1515 LLSWHPWRLNQQRC Deviation = 3.31ppm
Search WEB for skeleton |
|
![]()
|
|
|
Structure Proposal # 1516 MGKAOSCMGUSTNF Deviation = 3.31ppm
Search WEB for skeleton |
|
![]()
|
|
|
Structure Proposal # 1517 ZWCPFRTXUVCBLH Deviation = 3.31ppm
Search WEB for skeleton |
|
![]()
|
|
|
Structure Proposal # 1518 RAZYXWGJRCXQDJ Deviation = 3.31ppm
Search WEB for skeleton |
|
![]()
|
|
|
Structure Proposal # 1519 VGNTXUDOQIFATO Deviation = 3.31ppm
Search WEB for skeleton |
|
![]()
|
|
|
Structure Proposal # 1520 SJNUPMRJVXMVGQ Deviation = 3.31ppm
Search WEB for skeleton |
|
![]()
|
|
|
Structure Proposal # 1521 HEDILQOJFPBKIY Deviation = 3.31ppm
Search WEB for skeleton |
|
![]()
|
|
|
Structure Proposal # 1522 ZDQHRTSOYQBGHC Deviation = 3.31ppm
Search WEB for skeleton |
|
![]()
|
|
|
Structure Proposal # 1523 DSKUSOQBFMPAAK Deviation = 3.31ppm
Search WEB for skeleton |
|
![]()
|
|
|
Structure Proposal # 1524 YYCPMSFADFXTJM Deviation = 3.31ppm
Search WEB for skeleton |
|
![]()
|
|
|
Structure Proposal # 1525 WHBLREBMUVEJAM Deviation = 3.31ppm
Search WEB for skeleton |
|
![]()
|
|
|
Structure Proposal # 1526 OWEWRUSUYPLPDV Deviation = 3.31ppm
Search WEB for skeleton |
|
![]()
|
|
|
Structure Proposal # 1527 YQPWCTHIKIOWRQ Deviation = 3.31ppm
Search WEB for skeleton |
|
![]()
|
|
|
Structure Proposal # 1528 LJNNPJVYFKRCKV Deviation = 3.31ppm
Search WEB for skeleton |
|
![]()
|
|
|
Structure Proposal # 1529 MTRGPQZGEVYIEZ Deviation = 3.31ppm
Search WEB for skeleton |
|
![]()
|
|
|
Structure Proposal # 1530 KUVZKRORUDDRKY Deviation = 3.31ppm
Search WEB for skeleton |
|
![]()
|
|
|
Structure Proposal # 1531 BFEKEIZZJOPGHK Deviation = 3.31ppm
Search WEB for skeleton |
|
![]()
|
|
|
Structure Proposal # 1532 TXIPXDYCDOCSAK Deviation = 3.31ppm
Search WEB for skeleton |
|
![]()
|
|
|
Structure Proposal # 1533 BYKQPHOPNBTZPD Deviation = 3.31ppm
Search WEB for skeleton |
|
![]()
|
|
|
Structure Proposal # 1534 BEEHQZUJVHNLIF Deviation = 3.31ppm
Search WEB for skeleton |
|
![]()
|
|
|
Structure Proposal # 1535 AQQMHQMBQNHQJU Deviation = 3.31ppm
Search WEB for skeleton |
|
![]()
|
|
|
Structure Proposal # 1536 FODFEGQJDXLYHJ Deviation = 3.31ppm
Search WEB for skeleton |
|
![]()
|
|
|
Structure Proposal # 1537 AKPXEOSDIUXJDD Deviation = 3.31ppm
Search WEB for skeleton |
|
![]()
|
|
|
Structure Proposal # 1538 TWXTVUWJEULTGR Deviation = 3.31ppm
Search WEB for skeleton |
|
![]()
|
|
|
Structure Proposal # 1539 STEDOEPCXZGTJL Deviation = 3.31ppm
Search WEB for skeleton |
|
![]()
|
|
|
Structure Proposal # 1540 MBOQVPVVRLRDEO Deviation = 3.31ppm
Search WEB for skeleton respect to your proposal |
|
![]()
|
|
|
Structure Proposal # 1541 WEZRFRUESLIEJQ Deviation = 3.31ppm
Search WEB for skeleton |
|
![]()
|
|
|
Structure Proposal # 1542 FFYZMYRBUDDQLR Deviation = 3.32ppm
Search WEB for skeleton respect to your proposal |
|
![]()
|
|
|
Structure Proposal # 1543 QBVHWHFOMBYFKM Deviation = 3.32ppm
Search WEB for skeleton |
|
![]()
|
|
|
Structure Proposal # 1544 SNCHJLLDMSLCJN Deviation = 3.32ppm
Search WEB for skeleton |
|
![]()
|
|
|
Structure Proposal # 1545 NVFXKZJGWBKMFV Deviation = 3.32ppm
Search WEB for skeleton |
|
![]()
|
|
|
Structure Proposal # 1546 MHRUGRFOWODQHT Deviation = 3.32ppm
Search WEB for skeleton respect to your proposal |
|
![]()
|
|
|
Structure Proposal # 1547 DVROMCLVRMNTNL Deviation = 3.32ppm
Search WEB for skeleton |
|
![]()
|
|
|
Structure Proposal # 1548 LIHYFIKCMHZVPX Deviation = 3.32ppm
Search WEB for skeleton respect to your proposal |
|
![]()
|
|
|
Structure Proposal # 1549 DDZSKEMWXUZVFZ Deviation = 3.32ppm
Search WEB for skeleton |
|
![]()
|
|
|
Structure Proposal # 1550 VPGOWBTXYWDTJI Deviation = 3.32ppm
Search WEB for skeleton |
|
![]()
|
|
|
Structure Proposal # 1551 KEEAWRIRBXHDLK Deviation = 3.32ppm
Search WEB for skeleton |
|
![]()
|
|
|
Structure Proposal # 1552 IQNNOWMYTWNJBM Deviation = 3.32ppm
Search WEB for skeleton |
|
![]()
|
|
|
Structure Proposal # 1553 KJCDMDZWISZGIZ Deviation = 3.32ppm
Search WEB for skeleton |
|
![]()
|
|
|
Structure Proposal # 1554 CIWRQWADPDDRKL Deviation = 3.32ppm
Search WEB for skeleton |
|
![]()
|
|
|
Structure Proposal # 1555 JTFJTOFPVQWGQW Deviation = 3.32ppm
Search WEB for skeleton |
|
![]()
|
|
|
Structure Proposal # 1556 ORSUGXVNJOXQMO Deviation = 3.32ppm
Search WEB for skeleton |
|
![]()
|
|
|
Structure Proposal # 1557 CBQIIWLVKOLCOC Deviation = 3.32ppm
Search WEB for skeleton |
|
![]()
|
|
|
Structure Proposal # 1558 JTCZJGPUUHJUCS Deviation = 3.32ppm
Search WEB for skeleton |
|
![]()
|
|
|
Structure Proposal # 1559 YCXWPEYPIBQLAQ Deviation = 3.32ppm
Search WEB for skeleton |
|
![]()
|
|
|
Structure Proposal # 1560 XRQORDTTXDSNOJ Deviation = 3.32ppm
Search WEB for skeleton |
|
![]()
|
|
|
Structure Proposal # 1561 MHUVEKJKPGJCRT Deviation = 3.32ppm
Search WEB for skeleton |
|
![]()
|
|
|
Structure Proposal # 1562 QCGMAHBIIZWZKL Deviation = 3.32ppm
Search WEB for skeleton |
|
![]()
|
|
|
Structure Proposal # 1563 BJJYECIHJKZFFP Deviation = 3.32ppm
Search WEB for skeleton |
|
![]()
|
|
|
Structure Proposal # 1564 HLAWHVGRGOVZHT Deviation = 3.32ppm
Search WEB for skeleton |
|
![]()
|
|
|
Structure Proposal # 1565 ZIJVQJKMAKFMOA Deviation = 3.32ppm
Search WEB for skeleton respect to your proposal |
|
![]()
|
|
|
Structure Proposal # 1566 QLZHZVIWGJYRKP Deviation = 3.32ppm
Search WEB for skeleton |
|
![]()
|
|
|
Structure Proposal # 1567 PCPXEEBEQBIBTO Deviation = 3.32ppm
Search WEB for skeleton |
|
![]()
|
|
|
Structure Proposal # 1568 FJJGUDUCSXJDBF Deviation = 3.32ppm
Search WEB for skeleton |
|
![]()
|
|
|
Structure Proposal # 1569 ISCBWSBJTDZBEC Deviation = 3.32ppm
Search WEB for skeleton |
|
![]()
|
|
|
Structure Proposal # 1570 CRXPUABZRVBDHA Deviation = 3.32ppm
Search WEB for skeleton |
|
![]()
|
|
|
Structure Proposal # 1571 WAACVIHCWDOBMY Deviation = 3.33ppm
Search WEB for skeleton |
|
![]()
|
|
|
Structure Proposal # 1572 DMCMKIFJIVVECZ Deviation = 3.33ppm
Search WEB for skeleton |
|
![]()
|
|
|
Structure Proposal # 1573 VKMGXBUIRKATAV Deviation = 3.33ppm
Search WEB for skeleton |
|
![]()
|
|
|
Structure Proposal # 1574 IUHVMOSAARKDCC Deviation = 3.33ppm
Search WEB for skeleton |
|
![]()
|
|
|
Structure Proposal # 1575 DRDKUFJNRUHWIR Deviation = 3.33ppm
Search WEB for skeleton |
|
![]()
|
|
|
Structure Proposal # 1576 MDPJBUFWUVCNGZ Deviation = 3.33ppm
Search WEB for skeleton |
|
![]()
|
|
|
Structure Proposal # 1577 DQDRCTNLQQIXDF Deviation = 3.33ppm
Search WEB for skeleton |
|
![]()
|
|
|
Structure Proposal # 1578 XJSVVHXHAZBPSV Deviation = 3.33ppm
Search WEB for skeleton |
|
![]()
|
|
|
Structure Proposal # 1579 KPVUAUQHIABESH Deviation = 3.33ppm
Search WEB for skeleton |
|
![]()
|
|
|
Structure Proposal # 1580 PEUYRADBKBCDHC Deviation = 3.33ppm
Search WEB for skeleton |
|
![]()
|
|
|
Structure Proposal # 1581 FQJHUIXGWVMPTD Deviation = 3.33ppm
Search WEB for skeleton |
|
![]()
|
|
|
Structure Proposal # 1582 WRBXXTLPMYLEQC Deviation = 3.33ppm
Search WEB for skeleton |
|
![]()
|
|
|
Structure Proposal # 1583 SJHOQMJOSFGYSM Deviation = 3.33ppm
Search WEB for skeleton |
|
![]()
|
|
|
Structure Proposal # 1584 ZFSQYUVBLYCELI Deviation = 3.33ppm
Search WEB for skeleton |
|
![]()
|
|
|
Structure Proposal # 1585 AQIFFWQCBCSQSE Deviation = 3.33ppm
Search WEB for skeleton |
|
![]()
|
|
|
Structure Proposal # 1586 MPWPFDAUJAJLGQ Deviation = 3.33ppm
Search WEB for skeleton |
|
![]()
|
|
|
Structure Proposal # 1587 RKGWYNVIWIFPRW Deviation = 3.33ppm
Search WEB for skeleton |
|
![]()
|
|
|
Structure Proposal # 1588 JRYSKUWVCKYECX Deviation = 3.33ppm
Search WEB for skeleton |
|
![]()
|
|
|
Structure Proposal # 1589 LJWAZKUICFNJMM Deviation = 3.33ppm
Search WEB for skeleton |
|
![]()
|
|
|
Structure Proposal # 1590 ULKXOXXLYKUXNF Deviation = 3.33ppm
Search WEB for skeleton |
|
![]()
|
|
|
Structure Proposal # 1591 IWXFDDYACQJGSU Deviation = 3.33ppm
Search WEB for skeleton |
|
![]()
|
|
|
Structure Proposal # 1592 FMJVDDYVRDDRSQ Deviation = 3.33ppm
Search WEB for skeleton |
|
![]()
|
|
|
Structure Proposal # 1593 CJZQVUQWVNRWQX Deviation = 3.33ppm
Search WEB for skeleton |
|
![]()
|
|
|
Structure Proposal # 1594 QDRWTVBSSHSPIC Deviation = 3.33ppm
Search WEB for skeleton |
|
![]()
|
|
|
Structure Proposal # 1595 HPKMNQYTAYYNOQ Deviation = 3.33ppm
Search WEB for skeleton |
|
![]()
|
|
|
Structure Proposal # 1596 WPXKYMAYNSMXFL Deviation = 3.33ppm
Search WEB for skeleton |
|
![]()
|
|
|
Structure Proposal # 1597 JELKRVGFNJKILE Deviation = 3.33ppm
Search WEB for skeleton |
|
![]()
|
|
|
Structure Proposal # 1598 JRRWHXBVDFNAAU Deviation = 3.33ppm
Search WEB for skeleton |
|
![]()
|
|
|
Structure Proposal # 1599 NGZLBLRFLVEFAB Deviation = 3.33ppm
Search WEB for skeleton |
|
![]()
|
|
|
Structure Proposal # 1600 OKGJRZKXVJJPKW Deviation = 3.33ppm
Search WEB for skeleton |
|
![]()
|
|
|
Structure Proposal # 1601 PYDMLLDEKSLYHP Deviation = 3.33ppm
Search WEB for skeleton |
|
![]()
|
|
|
Structure Proposal # 1602 HFDUTBRHUZOOIO Deviation = 3.33ppm
Search WEB for skeleton |
|
![]()
|
|
|
Structure Proposal # 1603 SBBBCPMNNLNSBM Deviation = 3.33ppm
Search WEB for skeleton |
|
![]()
|
|
|
Structure Proposal # 1604 UTBHWIOGYIKBAV Deviation = 3.33ppm
Search WEB for skeleton |
|
![]()
|
|
|
Structure Proposal # 1605 IRLZCACTUYROMV Deviation = 3.33ppm
Search WEB for skeleton |
|
![]()
|
|
|
Structure Proposal # 1606 IGLHZDVFBPJYLS Deviation = 3.33ppm
Search WEB for skeleton |
|
![]()
|
|
|
Structure Proposal # 1607 BJRYNFXVWCJFMQ Deviation = 3.33ppm
Search WEB for skeleton |
|
![]()
|
|
|
Structure Proposal # 1608 LKSODEIWDXEDQW Deviation = 3.33ppm
Search WEB for skeleton |
|
![]()
|
|
|
Structure Proposal # 1609 VGKDJKQFBXXLMD Deviation = 3.33ppm
Search WEB for skeleton |
|
![]()
|
|
|
Structure Proposal # 1610 QCZHPQJMNMHGMI Deviation = 3.33ppm
Search WEB for skeleton |
|
![]()
|
|
|
Structure Proposal # 1611 UXYFEAHBSRPIGC Deviation = 3.33ppm
Search WEB for skeleton |
|
![]()
|
|
|
Structure Proposal # 1612 GOCIVVDQYHLALH Deviation = 3.33ppm
Search WEB for skeleton |
|
![]()
|
|
|
Structure Proposal # 1613 LDWMDCIVTXCVEY Deviation = 3.33ppm
Search WEB for skeleton |
|
![]()
|
|
|
Structure Proposal # 1614 SVOBPWICYJUUSM Deviation = 3.33ppm
Search WEB for skeleton |
|
![]()
|
|
|
Structure Proposal # 1615 VFXVVZDZIJRODE Deviation = 3.33ppm
Search WEB for skeleton |
|
![]()
|
|
|
Structure Proposal # 1616 QVBUUAXTYKRALT Deviation = 3.33ppm
Search WEB for skeleton |
|
![]()
|
|
|
Structure Proposal # 1617 RWGOLVYJIVLCAR Deviation = 3.33ppm
Search WEB for skeleton |
|
![]()
|
|
|
Structure Proposal # 1618 ZJAHPMZOUSLCOL Deviation = 3.34ppm
Search WEB for skeleton |
|
![]()
|
|
|
Structure Proposal # 1619 SSSMSNPVGDCGIS Deviation = 3.34ppm
Search WEB for skeleton |
|
![]()
|
|
|
Structure Proposal # 1620 KBNMRLLNMDCSGD Deviation = 3.34ppm
Search WEB for skeleton |
|
![]()
|
|
|
Structure Proposal # 1621 VTXWRGPNRVZHMM Deviation = 3.34ppm
Search WEB for skeleton |
|
![]()
|
|
|
Structure Proposal # 1622 PLINWCNGQJNUTD Deviation = 3.34ppm
Search WEB for skeleton |
|
![]()
|
|
|
Structure Proposal # 1623 DRKLCGYYDIRKIC Deviation = 3.34ppm
Search WEB for skeleton |
|
![]()
|
|
|
Structure Proposal # 1624 FDMXZNWTPYBWNF Deviation = 3.34ppm
Search WEB for skeleton |
|
![]()
|
|
|
Structure Proposal # 1625 AMXYYOVKKYHBMC Deviation = 3.34ppm
Search WEB for skeleton |
|
![]()
|
|
|
Structure Proposal # 1626 BOYSGLHLYLGHAZ Deviation = 3.34ppm
Search WEB for skeleton |
|
![]()
|
|
|
Structure Proposal # 1627 OSBPEZAVUUHFFX Deviation = 3.34ppm
Search WEB for skeleton |
|
![]()
|
|
|
Structure Proposal # 1628 BBQCWPDVZVNOKR Deviation = 3.34ppm
Search WEB for skeleton respect to your proposal |
|
![]()
|
|
|
Structure Proposal # 1629 CKWFPLDWMBEBAL Deviation = 3.34ppm
Search WEB for skeleton |
|
![]()
|
|
|
Structure Proposal # 1630 JBHTZCYMPDOUKJ Deviation = 3.34ppm
Search WEB for skeleton |
|
![]()
|
|
|
Structure Proposal # 1631 ZVBZIOZPERRYED Deviation = 3.34ppm
Search WEB for skeleton |
|
![]()
|
|
|
Structure Proposal # 1632 TUWULBLYWMITDP Deviation = 3.34ppm
Search WEB for skeleton |
|
![]()
|
|
|
Structure Proposal # 1633 XMJYOWVMVKPIQG Deviation = 3.34ppm
Search WEB for skeleton |
|
![]()
|
|
|
Structure Proposal # 1634 DDXXHSCHJSLPMX Deviation = 3.34ppm
Search WEB for skeleton |
|
![]()
|
|
|
Structure Proposal # 1635 AKMFMLCGQWPZIV Deviation = 3.34ppm
Search WEB for skeleton |
|
![]()
|
|
|
Structure Proposal # 1636 VVXWAWGRTWJKPI Deviation = 3.34ppm
Search WEB for skeleton |
|
![]()
|
|
|
Structure Proposal # 1637 DSESCBTWOYIHMJ Deviation = 3.34ppm
Search WEB for skeleton |
|
![]()
|
|
|
Structure Proposal # 1638 PKHGGJPEKPHXLK Deviation = 3.34ppm
Search WEB for skeleton |
|
![]()
|
|
|
Structure Proposal # 1639 VSVUDNADISQDFV Deviation = 3.34ppm
Search WEB for skeleton |
|
![]()
|
|
|
Structure Proposal # 1640 MJEDBWVMCIAAQQ Deviation = 3.34ppm
Search WEB for skeleton |
|
![]()
|
|
|
Structure Proposal # 1641 NGVOJXMGTOVSMM Deviation = 3.34ppm
Search WEB for skeleton |
|
![]()
|
|
|
Structure Proposal # 1642 WBFICCZCYQJHOF Deviation = 3.34ppm
Search WEB for skeleton |
|
![]()
|
|
|
Structure Proposal # 1643 FJXPEJBUQCZYCU Deviation = 3.34ppm
Search WEB for skeleton |
|
![]()
|
|
|
Structure Proposal # 1644 OCKVOWUWXPOKJZ Deviation = 3.34ppm
Search WEB for skeleton |
|
![]()
|
|
|
Structure Proposal # 1645 PKLPWIABIMWRDY Deviation = 3.34ppm
Search WEB for skeleton |
|
![]()
|
|
|
Structure Proposal # 1646 AQUNVLXCMHIHJS Deviation = 3.34ppm
Search WEB for skeleton |
|
![]()
|
|
|
Structure Proposal # 1647 HYSHXBQBZMWYGF Deviation = 3.34ppm
Search WEB for skeleton |
|
![]()
|
|
|
Structure Proposal # 1648 WQAQFFKLBJMHII Deviation = 3.34ppm
Search WEB for skeleton |
|
![]()
|
|
|
Structure Proposal # 1649 BGBIWYDMBRWACW Deviation = 3.34ppm
Search WEB for skeleton |
|
![]()
|
|
|
Structure Proposal # 1650 IYOKPASMEDVTTH Deviation = 3.34ppm
Search WEB for skeleton respect to your proposal |
|
![]()
|
|
|
Structure Proposal # 1651 DJHWWPSXJKMJKM Deviation = 3.34ppm
Search WEB for skeleton respect to your proposal |
|
![]()
|
|
|
Structure Proposal # 1652 RPQMVPWBVBWDMW Deviation = 3.35ppm
Search WEB for skeleton |
|
![]()
|
|
|
Structure Proposal # 1653 SPJUADBSLSCQSQ Deviation = 3.35ppm
Search WEB for skeleton |
|
![]()
|
|
|
Structure Proposal # 1654 MWOABFXOJSABDA Deviation = 3.35ppm
Search WEB for skeleton |
|
![]()
|
|
|
Structure Proposal # 1655 NJZCZVVKTPUNQS Deviation = 3.35ppm
Search WEB for skeleton |
|
![]()
|
|
|
Structure Proposal # 1656 SVCNRKDYFGAMDI Deviation = 3.35ppm
Search WEB for skeleton |
|
![]()
|
|
|
Structure Proposal # 1657 IHPQQEMVDMMJEQ Deviation = 3.35ppm
Search WEB for skeleton |
|
![]()
|
|
|
Structure Proposal # 1658 DNRIMSLRAMAWFV Deviation = 3.35ppm
Search WEB for skeleton |
|
![]()
|
|
|
Structure Proposal # 1659 HLBZRJYEDBNQEJ Deviation = 3.35ppm
Search WEB for skeleton |
|
![]()
|
|
|
Structure Proposal # 1660 TXGORNMELSPCSU Deviation = 3.35ppm
Search WEB for skeleton |
|
![]()
|
|
|
Structure Proposal # 1661 OJUHHJHAHHCLMJ Deviation = 3.35ppm
Search WEB for skeleton |
|
![]()
|
|
|
Structure Proposal # 1662 YHOLZDUDNJMZNW Deviation = 3.35ppm
Search WEB for skeleton |
|
![]()
|
|
|
Structure Proposal # 1663 HCSNACRJQPSFQC Deviation = 3.35ppm
Search WEB for skeleton |
|
![]()
|
|
|
Structure Proposal # 1664 FEONAAOVDZDWKN Deviation = 3.35ppm
Search WEB for skeleton |
|
![]()
|
|
|
Structure Proposal # 1665 MLZIAAAAZCDBNF Deviation = 3.35ppm
Search WEB for skeleton |
|
![]()
|
|
|
Structure Proposal # 1666 DKCNWQDEBMQUIC Deviation = 3.35ppm
Search WEB for skeleton |
|
![]()
|
|
|
Structure Proposal # 1667 CBUWVOJZLMXWLQ Deviation = 3.35ppm
Search WEB for skeleton |
|
![]()
|
|
|
Structure Proposal # 1668 KKQDCFKOAILKRL Deviation = 3.35ppm
Search WEB for skeleton |
|
![]()
|
|
|
Structure Proposal # 1669 NHKLVIGDVLGATQ Deviation = 3.35ppm
Search WEB for skeleton |
|
![]()
|
|
|
Structure Proposal # 1670 WWOVCOSGHSBJAV Deviation = 3.35ppm
Search WEB for skeleton |
|
![]()
|
|
|
Structure Proposal # 1671 JNSDGODLOZBHLW Deviation = 3.35ppm
Search WEB for skeleton |
|
![]()
|
|
|
Structure Proposal # 1672 RPSVMTBNACMMAM Deviation = 3.35ppm
Search WEB for skeleton |
|
![]()
|
|
|
Structure Proposal # 1673 QYCHJXIZGZJOHO Deviation = 3.35ppm
Search WEB for skeleton |
|
![]()
|
|
|
Structure Proposal # 1674 LHSIZFBUEBBBHM Deviation = 3.35ppm
Search WEB for skeleton |
|
![]()
|
|
|
Structure Proposal # 1675 JTEADKDXFZNDLL Deviation = 3.35ppm
Search WEB for skeleton |
|
![]()
|
|
|
Structure Proposal # 1676 ILTDWNBLQVGPHN Deviation = 3.35ppm
Search WEB for skeleton |
|
![]()
|
|
|
Structure Proposal # 1677 NGJBASYIBRTYMO Deviation = 3.35ppm
Search WEB for skeleton respect to your proposal |
|
![]()
|
|
|
Structure Proposal # 1678 OZLJDMPRICEFGK Deviation = 3.35ppm
Search WEB for skeleton |
|
![]()
|
|
|
Structure Proposal # 1679 QBIRPZZHEKOGBK Deviation = 3.35ppm
Search WEB for skeleton |
|
![]()
|
|
|
Structure Proposal # 1680 ITFGXVMPXLLVNK Deviation = 3.35ppm
Search WEB for skeleton |
|
![]()
|
|
|
Structure Proposal # 1681 XQJZPXNDEZWXAF Deviation = 3.35ppm
Search WEB for skeleton |
|
![]()
|
|
|
Structure Proposal # 1682 JVUSMLVPKZRLDW Deviation = 3.35ppm
Search WEB for skeleton |
|
![]()
|
|
|
Structure Proposal # 1683 GJOQTNABWGIHNI Deviation = 3.35ppm
Search WEB for skeleton |
|
![]()
|
|
|
Structure Proposal # 1684 DMVVVJNEFAZZGY Deviation = 3.35ppm
Search WEB for skeleton |
|
![]()
|
|
|
Structure Proposal # 1685 FEQGJRRIUOCLHA Deviation = 3.35ppm
Search WEB for skeleton |
|
![]()
|
|
|
Structure Proposal # 1686 RCSCIOAHQHSHLM Deviation = 3.35ppm
Search WEB for skeleton |
|
![]()
|
|
|
Structure Proposal # 1687 KLVCXNALYWPKHC Deviation = 3.35ppm
Search WEB for skeleton |
|
![]()
|
|
|
Structure Proposal # 1688 ILQRKHZLVHYYMR Deviation = 3.36ppm
Search WEB for skeleton |
|
![]()
|
|
|
Structure Proposal # 1689 MNFJNDBQMRKCIJ Deviation = 3.36ppm
Search WEB for skeleton |
|
![]()
|
|
|
Structure Proposal # 1690 CZFWSDMZONEZBB Deviation = 3.36ppm
Search WEB for skeleton |
|
![]()
|
|
|
Structure Proposal # 1691 DATRHOQFPSOXMA Deviation = 3.36ppm
Search WEB for skeleton respect to your proposal |
|
![]()
|
|
|
Structure Proposal # 1692 BIUDHYGMZUBDKY Deviation = 3.36ppm
Search WEB for skeleton |
|
![]()
|
|
|
Structure Proposal # 1693 DYOYZKPGFBIWAJ Deviation = 3.36ppm
Search WEB for skeleton |
|
![]()
|
|
|
Structure Proposal # 1694 JCDUREXZRAZZAI Deviation = 3.36ppm
Search WEB for skeleton |
|
![]()
|
|
|
Structure Proposal # 1695 GWVIQIAYGFGVEU Deviation = 3.36ppm
Search WEB for skeleton |
|
![]()
|
|
|
Structure Proposal # 1696 SLQFCZHAVPTZJD Deviation = 3.36ppm
Search WEB for skeleton |
|
![]()
|
|
|
Structure Proposal # 1697 FQJXGTIAKPDDCB Deviation = 3.36ppm
Search WEB for skeleton |
|
![]()
|
|
|
Structure Proposal # 1698 VYNARPFJKNVONR Deviation = 3.36ppm
Search WEB for skeleton |
|
![]()
|
|
|
Structure Proposal # 1699 RMNRPRDVGDHARB Deviation = 3.36ppm
Search WEB for skeleton |
|
![]()
|
|
|
Structure Proposal # 1700 MEMIAKOXYVCNOW Deviation = 3.36ppm
Search WEB for skeleton |
|
![]()
|
|
|
Structure Proposal # 1701 BWQLKILRXBVLAU Deviation = 3.36ppm
Search WEB for skeleton |
|
![]()
|
|
|
Structure Proposal # 1702 MYGROMBCTUBRAE Deviation = 3.36ppm
Search WEB for skeleton |
|
![]()
|
|
|
Structure Proposal # 1703 YCNHIRFCTIXMCH Deviation = 3.36ppm
Search WEB for skeleton |
|
![]()
|
|
|
Structure Proposal # 1704 INRJOPYQZFMXQF Deviation = 3.36ppm
Search WEB for skeleton respect to your proposal |
|
![]()
|
|
|
Structure Proposal # 1705 SDTRHUPTTJUHHV Deviation = 3.36ppm
Search WEB for skeleton respect to your proposal |
|
![]()
|
|
|
Structure Proposal # 1706 NULBMYBWTTWDSF Deviation = 3.36ppm
Search WEB for skeleton |
|
![]()
|
|
|
Structure Proposal # 1707 FAXJEQKVGDWBRH Deviation = 3.36ppm
Search WEB for skeleton respect to your proposal |
|
![]()
|
|
|
Structure Proposal # 1708 XCEAHTPSHMUISC Deviation = 3.36ppm
Search WEB for skeleton |
|
![]()
|
|
|
Structure Proposal # 1709 HBRPVFOEAFJUAO Deviation = 3.36ppm
Search WEB for skeleton |
|
![]()
|
|
|
Structure Proposal # 1710 YXLNKDUXGSNYMD Deviation = 3.36ppm
Search WEB for skeleton |
|
![]()
|
|
|
Structure Proposal # 1711 QWYMDRZTFJIJOV Deviation = 3.36ppm
Search WEB for skeleton |
|
![]()
|
|
|
Structure Proposal # 1712 IDEFBNRBFPTHLQ Deviation = 3.36ppm
Search WEB for skeleton |
|
![]()
|
|
|
Structure Proposal # 1713 NZTAOOMEYAZTGG Deviation = 3.36ppm
Search WEB for skeleton |
|
![]()
|
|
|
Structure Proposal # 1714 OGJRCEVCZPLKIP Deviation = 3.36ppm
Search WEB for skeleton |
|
![]()
|
|
|
Structure Proposal # 1715 HTGOZGDYOLIRET Deviation = 3.36ppm
Search WEB for skeleton |
|
![]()
|
|
|
Structure Proposal # 1716 LZLKMUGAHUBXGS Deviation = 3.36ppm
Search WEB for skeleton |
|
![]()
|
|
|
Structure Proposal # 1717 RRXRZOPWGYHRES Deviation = 3.36ppm
Search WEB for skeleton |
|
![]()
|
|
|
Structure Proposal # 1718 UXXNFEGDFWXACT Deviation = 3.36ppm
Search WEB for skeleton |
|
![]()
|
|
|
Structure Proposal # 1719 IEYXSNVTGLWDTA Deviation = 3.36ppm
Search WEB for skeleton |
|
![]()
|
|
|
Structure Proposal # 1720 AZAFRTPCVISXRD Deviation = 3.36ppm
Search WEB for skeleton |
|
![]()
|
|
|
Structure Proposal # 1721 PHEATYREWMVDTP Deviation = 3.36ppm
Search WEB for skeleton |
|
![]()
|
|
|
Structure Proposal # 1722 OTNSSLJNZLICBC Deviation = 3.36ppm
Search WEB for skeleton |
|
![]()
|
|
|
Structure Proposal # 1723 OPLLZFDMBQEURS Deviation = 3.36ppm
Search WEB for skeleton respect to your proposal |
|
![]()
|
|
|
Structure Proposal # 1724 QYJIZMCSAVFMPA Deviation = 3.36ppm
Search WEB for skeleton |
|
![]()
|
|
|
Structure Proposal # 1725 RGFUGKQCUMIOOR Deviation = 3.36ppm
Search WEB for skeleton |
|
![]()
|
|
|
Structure Proposal # 1726 JFZNQNHSZOVRJT Deviation = 3.36ppm
Search WEB for skeleton respect to your proposal |
|
![]()
|
|
|
Structure Proposal # 1727 BVOLFMGNMDRSCD Deviation = 3.36ppm
Search WEB for skeleton |
|
![]()
|
|
|
Structure Proposal # 1728 UJQUCMDTTWHTRI Deviation = 3.36ppm
Search WEB for skeleton |
|
![]()
|
|
|
Structure Proposal # 1729 RAZGLKGRWGYVGZ Deviation = 3.36ppm
Search WEB for skeleton |
|
![]()
|
|
|
Structure Proposal # 1730 DWOWLUHPQWCEBQ Deviation = 3.36ppm
Search WEB for skeleton |
|
![]()
|
|
|
Structure Proposal # 1731 RASSCAUXJLFVGE Deviation = 3.36ppm
Search WEB for skeleton |
|
![]()
|
|
|
Structure Proposal # 1732 DLMNYBJMRJEONJ Deviation = 3.36ppm
Search WEB for skeleton |
|
![]()
|
|
|
Structure Proposal # 1733 ZUENNTAYXWZHEJ Deviation = 3.36ppm
Search WEB for skeleton |
|
![]()
|
|
|
Structure Proposal # 1734 SMJDOICUTRRHIH Deviation = 3.36ppm
Search WEB for skeleton |
|
![]()
|
|
|
Structure Proposal # 1735 GULKFMQTSLXPAC Deviation = 3.36ppm
Search WEB for skeleton |
|
![]()
|
|
|
Structure Proposal # 1736 DTBHESLZXJFBPP Deviation = 3.37ppm
Search WEB for skeleton |
|
![]()
|
|
|
Structure Proposal # 1737 HVDUZUBGGQGYQX Deviation = 3.37ppm
Search WEB for skeleton |
|
![]()
|
|
|
Structure Proposal # 1738 XHYXIVVQIXGXCU Deviation = 3.37ppm
Search WEB for skeleton |
|
![]()
|
|
|
Structure Proposal # 1739 KGSQXHOOUFZJPX Deviation = 3.37ppm
Search WEB for skeleton |
|
![]()
|
|
|
Structure Proposal # 1740 VRFAVERBHWJFAM Deviation = 3.37ppm
Search WEB for skeleton |
|
![]()
|
|
|
Structure Proposal # 1741 LKLAVHKCVYFFKT Deviation = 3.37ppm
Search WEB for skeleton |
|
![]()
|
|
|
Structure Proposal # 1742 NARVQAHDPAANNU Deviation = 3.37ppm
Search WEB for skeleton |
|
![]()
|
|
|
Structure Proposal # 1743 DGJBIMOFSPGEJN Deviation = 3.37ppm
Search WEB for skeleton |
|
![]()
|
|
|
Structure Proposal # 1744 XNYDZSRVEJFTLS Deviation = 3.37ppm
Search WEB for skeleton |
|
![]()
|
|
|
Structure Proposal # 1745 YTXWISJLBBPZKH Deviation = 3.37ppm
Search WEB for skeleton |
|
![]()
|
|
|
Structure Proposal # 1746 YLEUTKPGXNXZBA Deviation = 3.37ppm
Search WEB for skeleton |
|
![]()
|
|
|
Structure Proposal # 1747 HFZXEQCWORYFQU Deviation = 3.37ppm
Search WEB for skeleton respect to your proposal |
|
![]()
|
|
|
Structure Proposal # 1748 GVSUBXXSDOPLDA Deviation = 3.37ppm
Search WEB for skeleton |
|
![]()
|
|
|
Structure Proposal # 1749 KIGOKWMEDSIKLH Deviation = 3.37ppm
Search WEB for skeleton |
|
![]()
|
|
|
Structure Proposal # 1750 POLXORTWZXHZID Deviation = 3.37ppm
Search WEB for skeleton |
|
![]()
|
|
|
Structure Proposal # 1751 UAUBTIIEDZCOEL Deviation = 3.37ppm
Search WEB for skeleton |
|
![]()
|
|
|
Structure Proposal # 1752 FQTCQJJRWZUDLU Deviation = 3.37ppm
Search WEB for skeleton |
|
![]()
|
|
|
Structure Proposal # 1753 ZYXIWXLVSZBGDJ Deviation = 3.37ppm
Search WEB for skeleton |
|
![]()
|
|
|
Structure Proposal # 1754 RZPYPYIOVFWSLZ Deviation = 3.37ppm
Search WEB for skeleton |
|
![]()
|
|
|
Structure Proposal # 1755 UHKHPVQCWBRWQB Deviation = 3.37ppm
Search WEB for skeleton |
|
![]()
|
|
|
Structure Proposal # 1756 BBDQQEJUBQIIFK Deviation = 3.37ppm
Search WEB for skeleton respect to your proposal |
|
![]()
|
|
|
Structure Proposal # 1757 WYKZRSRWPMMRHZ Deviation = 3.37ppm
Search WEB for skeleton respect to your proposal |
|
![]()
|
|
|
Structure Proposal # 1758 MBNAZOCGNNBGRW Deviation = 3.37ppm
Search WEB for skeleton |
|
![]()
|
|
|
Structure Proposal # 1759 MCCCZRBCPHHAJM Deviation = 3.37ppm
Search WEB for skeleton |
|
![]()
|
|
|
Structure Proposal # 1760 MKESLUHARIFSNU Deviation = 3.37ppm
Search WEB for skeleton |
|
![]()
|
|
|
Structure Proposal # 1761 JBEORPZTDNRTDE Deviation = 3.37ppm
Search WEB for skeleton |
|
![]()
|
|
|
Structure Proposal # 1762 JBJJVZZAWWJAKN Deviation = 3.37ppm
Search WEB for skeleton |
|
![]()
|
|
|
Structure Proposal # 1763 ZULHMRDSWXVSHA Deviation = 3.37ppm
Search WEB for skeleton |
|
![]()
|
|
|
Structure Proposal # 1764 RLPQCAIGEOTFJU Deviation = 3.37ppm
Search WEB for skeleton |
|
![]()
|
|
|
Structure Proposal # 1765 HRSAXZAMVSYYSO Deviation = 3.37ppm
Search WEB for skeleton |
|
![]()
|
|
|
Structure Proposal # 1766 JHDPUORIXGGNNV Deviation = 3.37ppm
Search WEB for skeleton |
|
![]()
|
|
|
Structure Proposal # 1767 AVQZNZVRLFLDEK Deviation = 3.37ppm
Search WEB for skeleton |
|
![]()
|
|
|
Structure Proposal # 1768 FXYKHWGBKHUPGS Deviation = 3.37ppm
Search WEB for skeleton |
|
![]()
|
|
|
Structure Proposal # 1769 OCQRGQHTJNGXLI Deviation = 3.37ppm
Search WEB for skeleton |
|
![]()
|
|
|
Structure Proposal # 1770 WWCXZCRVMLUKCC Deviation = 3.37ppm
Search WEB for skeleton |
|
![]()
|
|
|
Structure Proposal # 1771 RJKRQDMMCUOBKM Deviation = 3.37ppm
Search WEB for skeleton |
|
![]()
|
|
|
Structure Proposal # 1772 PGMRVJRBVRWWAB Deviation = 3.37ppm
Search WEB for skeleton |
|
![]()
|
|
|
Structure Proposal # 1773 KFJYSUGIHKQKTA Deviation = 3.37ppm
Search WEB for skeleton |
|
![]()
|
|
|
Structure Proposal # 1774 VWJIRTZFUYPJBA Deviation = 3.37ppm
Search WEB for skeleton |
|
![]()
|
|
|
Structure Proposal # 1775 GZTAFIRFTNVZFY Deviation = 3.37ppm
Search WEB for skeleton |
|
![]()
|
|
|
Structure Proposal # 1776 BNPPYTJVAWDNOV Deviation = 3.37ppm
Search WEB for skeleton |
|
![]()
|
|
|
Structure Proposal # 1777 WNZQVZBGPQETMA Deviation = 3.37ppm
Search WEB for skeleton |
|
![]()
|
|
|
Structure Proposal # 1778 NKFSXXYORIGHGN Deviation = 3.37ppm
Search WEB for skeleton |
|
![]()
|
|
|
Structure Proposal # 1779 CSANIQISQSSYMJ Deviation = 3.37ppm
Search WEB for skeleton |
|
![]()
|
|
|
Structure Proposal # 1780 NZUZKSSKBCPCNB Deviation = 3.37ppm
Search WEB for skeleton |
|
![]()
|
|
|
Structure Proposal # 1781 KEGFNPBREFIJIK Deviation = 3.37ppm
Search WEB for skeleton |
|
![]()
|
|
|
Structure Proposal # 1782 FXKTZJLOPDFWMA Deviation = 3.37ppm
Search WEB for skeleton |
|
![]()
|
|
|
Structure Proposal # 1783 KXLILPGRUSXZAA Deviation = 3.37ppm
Search WEB for skeleton |
|
![]()
|
|
|
Structure Proposal # 1784 YCHZPQWXKJTJTB Deviation = 3.37ppm
Search WEB for skeleton |
|
![]()
|
|
|
Structure Proposal # 1785 OMXDTWRUGIPJBZ Deviation = 3.37ppm
Search WEB for skeleton |
|
![]()
|
|
|
Structure Proposal # 1786 ICVQTRFHWHUYBL Deviation = 3.37ppm
Search WEB for skeleton |
|
![]()
|
|
|
Structure Proposal # 1787 VBIMUNGOSDSZMJ Deviation = 3.38ppm
Search WEB for skeleton |
|
![]()
|
|
|
Structure Proposal # 1788 CBOUCHGSJREDJT Deviation = 3.38ppm
Search WEB for skeleton |
|
![]()
|
|
|
Structure Proposal # 1789 SQEQHKKBGDNGOE Deviation = 3.38ppm
Search WEB for skeleton |
|
![]()
|
|
|
Structure Proposal # 1790 HSOAJHMHMPSZJM Deviation = 3.38ppm
Search WEB for skeleton |
|
![]()
|
|
|
Structure Proposal # 1791 PRISOHLAQPHHTM Deviation = 3.38ppm
Search WEB for skeleton |
|
![]()
|
|
|
Structure Proposal # 1792 WDGUFWSAMXLJNT Deviation = 3.38ppm
Search WEB for skeleton |
|
![]()
|
|
|
Structure Proposal # 1793 PFWFXJMWECGFJD Deviation = 3.38ppm
Search WEB for skeleton |
|
![]()
|
|
|
Structure Proposal # 1794 NXFCUQIBDLTWJQ Deviation = 3.38ppm
Search WEB for skeleton |
|
![]()
|
|
|
Structure Proposal # 1795 VVVOGDAKIQPINQ Deviation = 3.38ppm
Search WEB for skeleton |
|
![]()
|
|
|
Structure Proposal # 1796 SCWBHPSDRXESSQ Deviation = 3.38ppm
Search WEB for skeleton |
|
![]()
|
|
|
Structure Proposal # 1797 GHOZMBIKYSCTFP Deviation = 3.38ppm
Search WEB for skeleton |
|
![]()
|
|
|
Structure Proposal # 1798 LJXNKJSRGGJOML Deviation = 3.38ppm
Search WEB for skeleton |
|
![]()
|
|
|
Structure Proposal # 1799 BHSXATGNJKWRKB Deviation = 3.38ppm
Search WEB for skeleton |
|
![]()
|
|
|
Structure Proposal # 1800 UHYLYPHHZVAGAK Deviation = 3.38ppm
Search WEB for skeleton |
|
![]()
|
|
|
Structure Proposal # 1801 WVESSLGPGLNNLF Deviation = 3.38ppm
Search WEB for skeleton |
|
![]()
|
|
|
Structure Proposal # 1802 NBMQFHDPUXDEGG Deviation = 3.38ppm
Search WEB for skeleton respect to your proposal |
|
![]()
|
|
|
Structure Proposal # 1803 HZSAULRASAMLRE Deviation = 3.38ppm
Search WEB for skeleton |
|
![]()
|
|
|
Structure Proposal # 1804 HJRVJQZZWJYMNF Deviation = 3.38ppm
Search WEB for skeleton |
|
![]()
|
|
|
Structure Proposal # 1805 BRFVGOUHWBYSSF Deviation = 3.38ppm
Search WEB for skeleton |
|
![]()
|
|
|
Structure Proposal # 1806 YBYSQAANKCWQRR Deviation = 3.38ppm
Search WEB for skeleton |
|
![]()
|
|
|
Structure Proposal # 1807 GJVJFNCLXRPJIV Deviation = 3.38ppm
Search WEB for skeleton |
|
![]()
|
|
|
Structure Proposal # 1808 PQGRZIYDWCPQPE Deviation = 3.38ppm
Search WEB for skeleton |
|
![]()
|
|
|
Structure Proposal # 1809 SWRDNRMVPCCZKJ Deviation = 3.38ppm
Search WEB for skeleton respect to your proposal |
|
![]()
|
|
|
Structure Proposal # 1810 NJKGASWQMUTYRL Deviation = 3.38ppm
Search WEB for skeleton |
|
![]()
|
|
|
Structure Proposal # 1811 SXBUVDAWFPWSJO Deviation = 3.38ppm
Search WEB for skeleton |
|
![]()
|
|
|
Structure Proposal # 1812 KFWWSNQKNPLSKL Deviation = 3.38ppm
Search WEB for skeleton |
|
![]()
|
|
|
Structure Proposal # 1813 BTBNSJLAHASPFG Deviation = 3.38ppm
Search WEB for skeleton |
|
![]()
|
|
|
Structure Proposal # 1814 RTTZPQPEAGDDOS Deviation = 3.38ppm
Search WEB for skeleton |
|
![]()
|
|
|
Structure Proposal # 1815 XOCBZVHNEFQETH Deviation = 3.38ppm
Search WEB for skeleton |
|
![]()
|
|
|
Structure Proposal # 1816 ZQQGQINRIXRSAI Deviation = 3.38ppm
Search WEB for skeleton |
|
![]()
|
|
|
Structure Proposal # 1817 PQODJPXAGQASMO Deviation = 3.38ppm
Search WEB for skeleton respect to your proposal |
|
![]()
|
|
|
Structure Proposal # 1818 INOAVHVATMLFKT Deviation = 3.38ppm
Search WEB for skeleton |
|
![]()
|
|
|
Structure Proposal # 1819 KFYREKNWKGWGRH Deviation = 3.39ppm
Search WEB for skeleton |
|
![]()
|
|
|
Structure Proposal # 1820 DXEBOVUXUBGURF Deviation = 3.39ppm
Search WEB for skeleton |
|
![]()
|
|
|
Structure Proposal # 1821 KLODDUBJLNPMFR Deviation = 3.39ppm
Search WEB for skeleton |
|
![]()
|
|
|
Structure Proposal # 1822 DFJDTIYJBLRUTK Deviation = 3.39ppm
Search WEB for skeleton |
|
![]()
|
|
|
Structure Proposal # 1823 COYWDJWWDQIXPG Deviation = 3.39ppm
Search WEB for skeleton |
|
![]()
|
|
|
Structure Proposal # 1824 FPBXKAKGRDOKHJ Deviation = 3.39ppm
Search WEB for skeleton |
|
![]()
|
|
|
Structure Proposal # 1825 FMIFFPZKLWGBAI Deviation = 3.39ppm
Search WEB for skeleton |
|
![]()
|
|
|
Structure Proposal # 1826 CMQFLZXWPCRGDD Deviation = 3.39ppm
Search WEB for skeleton |
|
![]()
|
|
|
Structure Proposal # 1827 QHYMCUIWUWCXML Deviation = 3.39ppm
Search WEB for skeleton |
|
![]()
|
|
|
Structure Proposal # 1828 WTYHGUCGIKKNFC Deviation = 3.39ppm
Search WEB for skeleton respect to your proposal |
|
![]()
|
|
|
Structure Proposal # 1829 AIGSSSDBQMXZKH Deviation = 3.39ppm
Search WEB for skeleton |
|
![]()
|
|
|
Structure Proposal # 1830 XIADPLMKACBTHR Deviation = 3.39ppm
Search WEB for skeleton |
|
![]()
|
|
|
Structure Proposal # 1831 LMWOJVUEYMMYNJ Deviation = 3.39ppm
Search WEB for skeleton respect to your proposal |
|
![]()
|
|
|
Structure Proposal # 1832 SZOYIKXORUGJPK Deviation = 3.39ppm
Search WEB for skeleton |
|
![]()
|
|
|
Structure Proposal # 1833 JFOWKLWLIXJYGI Deviation = 3.39ppm
Search WEB for skeleton |
|
![]()
|
|
|
Structure Proposal # 1834 WCKVNLIRPOWGDS Deviation = 3.39ppm
Search WEB for skeleton |
|
![]()
|
|
|
Structure Proposal # 1835 PJOFESDJBQEQBR Deviation = 3.39ppm
Search WEB for skeleton |
|
![]()
|
|
|
Structure Proposal # 1836 BZIAVVKUBAJOSO Deviation = 3.39ppm
Search WEB for skeleton |
|
![]()
|
|
|
Structure Proposal # 1837 JLIYJBVLIOFDSC Deviation = 3.39ppm
Search WEB for skeleton |
|
![]()
|
|
|
Structure Proposal # 1838 CBJKMERXYMPOKS Deviation = 3.39ppm
Search WEB for skeleton |
|
![]()
|
|
|
Structure Proposal # 1839 LWXYRAXTMLHMJD Deviation = 3.39ppm
Search WEB for skeleton |
|
![]()
|
|
|
Structure Proposal # 1840 HLPZXFGEAAAMPS Deviation = 3.39ppm
Search WEB for skeleton |
|
![]()
|
|
|
Structure Proposal # 1841 XUGUBVIMOBYUGL Deviation = 3.39ppm
Search WEB for skeleton |
|
![]()
|
|
|
Structure Proposal # 1842 WVBYTFLUEDLXJM Deviation = 3.39ppm
Search WEB for skeleton |
|
![]()
|
|
|
Structure Proposal # 1843 QDZTYLMVMUFJQR Deviation = 3.39ppm
Search WEB for skeleton |
|
![]()
|
|
|
Structure Proposal # 1844 ZPMSYRQHTNGJEO Deviation = 3.39ppm
Search WEB for skeleton |
|
![]()
|
|
|
Structure Proposal # 1845 RLNYQPMDWCPTNU Deviation = 3.39ppm
Search WEB for skeleton |
|
![]()
|
|
|
Structure Proposal # 1846 HEFFFJOOTKQMSX Deviation = 3.39ppm
Search WEB for skeleton |
|
![]()
|
|
|
Structure Proposal # 1847 CCRZUOHAQGWNDN Deviation = 3.39ppm
Search WEB for skeleton |
|
![]()
|
|
|
Structure Proposal # 1848 DHOVLNXYLKKELT Deviation = 3.39ppm
Search WEB for skeleton |
|
![]()
|
|
|
Structure Proposal # 1849 FPDGEATXKFILRM Deviation = 3.39ppm
Search WEB for skeleton |
|
![]()
|
|
|
Structure Proposal # 1850 CETZZNNHQWEERP Deviation = 3.39ppm
Search WEB for skeleton |
|
![]()
|
|
|
Structure Proposal # 1851 MVXCNZVDUQAZAA Deviation = 3.40ppm
Search WEB for skeleton |
|
![]()
|
|
|
Structure Proposal # 1852 DCLFGVWTFHBOBP Deviation = 3.40ppm
Search WEB for skeleton |
|
![]()
|
|
|
Structure Proposal # 1853 OZVXUCXCABXNEM Deviation = 3.40ppm
Search WEB for skeleton respect to your proposal |
|
![]()
|
|
|
Structure Proposal # 1854 IELJOKJNFDWHJD Deviation = 3.40ppm
Search WEB for skeleton |
|
![]()
|
|
|
Structure Proposal # 1855 PCGOCBMPLDHUIG Deviation = 3.40ppm
Search WEB for skeleton |
|
![]()
|
|
|
Structure Proposal # 1856 XJNQPCZVOVXLNO Deviation = 3.40ppm
Search WEB for skeleton |
|
![]()
|
|
|
Structure Proposal # 1857 FNFWNJGXBGNLHX Deviation = 3.40ppm
Search WEB for skeleton |
|
![]()
|
|
|
Structure Proposal # 1858 DNTWIZGCWNFFRR Deviation = 3.40ppm
Search WEB for skeleton |
|
![]()
|
|
|
Structure Proposal # 1859 AETOMUZTNNAWKI Deviation = 3.40ppm
Search WEB for skeleton |
|
![]()
|
|
|
Structure Proposal # 1860 INKFOLIVLULFSZ Deviation = 3.40ppm
Search WEB for skeleton |
|
![]()
|
|
|
Structure Proposal # 1861 IVLSXGLOBCUFBU Deviation = 3.40ppm
Search WEB for skeleton |
|
![]()
|
|
|
Structure Proposal # 1862 QMEORPBDZPYVHT Deviation = 3.40ppm
Search WEB for skeleton |
|
![]()
|
|
|
Structure Proposal # 1863 NHGZLINEIZHPBX Deviation = 3.40ppm
Search WEB for skeleton |
|
![]()
|
|
|
Structure Proposal # 1864 AMMRVJRNKFVTDV Deviation = 3.40ppm
Search WEB for skeleton |
|
![]()
|
|
|
Structure Proposal # 1865 DBZIFMSRFIGJOL Deviation = 3.40ppm
Search WEB for skeleton |
|
![]()
|
|
|
Structure Proposal # 1866 NSKMRMCOSJOPPA Deviation = 3.40ppm
Search WEB for skeleton respect to your proposal |
|
![]()
|
|
|
Structure Proposal # 1867 YVGXNZVYWIXFNI Deviation = 3.40ppm
Search WEB for skeleton |
|
![]()
|
|
|
Structure Proposal # 1868 AIGRLOTVWKVVPY Deviation = 3.40ppm
Search WEB for skeleton |
|
![]()
|
|
|
Structure Proposal # 1869 VEYPHBZBUPFLJX Deviation = 3.40ppm
Search WEB for skeleton respect to your proposal |
|
![]()
|
|
|
Structure Proposal # 1870 KSJPPVQFXQSXBK Deviation = 3.40ppm
Search WEB for skeleton |
|
![]()
|
|
|
Structure Proposal # 1871 LXWDNRVOJCRIQQ Deviation = 3.40ppm
Search WEB for skeleton |
|
![]()
|
|
|
Structure Proposal # 1872 BOUSHNKVCDJAJJ Deviation = 3.40ppm
Search WEB for skeleton |
|
![]()
|
|
|
Structure Proposal # 1873 MLJULNLQMZPQSL Deviation = 3.40ppm
Search WEB for skeleton |
|
![]()
|
|
|
Structure Proposal # 1874 WYQRUYCJWKZOEL Deviation = 3.40ppm
Search WEB for skeleton |
|
![]()
|
|
|
Structure Proposal # 1875 YGWYQLVLIWEVRH Deviation = 3.40ppm
Search WEB for skeleton |
|
![]()
|
|
|
Structure Proposal # 1876 NYCBJCSRYTZWOV Deviation = 3.40ppm
Search WEB for skeleton |
|
![]()
|
|
|
Structure Proposal # 1877 SAKZDUIMZUADGO Deviation = 3.40ppm
Search WEB for skeleton respect to your proposal |
|
![]()
|
|
|
Structure Proposal # 1878 MEJORMCIIYAUHU Deviation = 3.40ppm
Search WEB for skeleton |
|
![]()
|
|
|
Structure Proposal # 1879 UJWNDURXICSGJG Deviation = 3.40ppm
Search WEB for skeleton |
|
![]()
|
|
|
Structure Proposal # 1880 FHAPWCFZWRMAER Deviation = 3.40ppm
Search WEB for skeleton |
|
![]()
|
|
|
Structure Proposal # 1881 QFPSFVQYWLWSGH Deviation = 3.40ppm
Search WEB for skeleton |
|
![]()
|
|
|
Structure Proposal # 1882 YLEWYULNHHVGPW Deviation = 3.40ppm
Search WEB for skeleton |
|
![]()
|
|
|
Structure Proposal # 1883 YJUSRWXJIJPLAS Deviation = 3.40ppm
Search WEB for skeleton |
|
![]()
|
|
|
Structure Proposal # 1884 DNRNMLXGLOIGNA Deviation = 3.40ppm
Search WEB for skeleton |
|
![]()
|
|
|
Structure Proposal # 1885 POVMEERHRZHBMF Deviation = 3.40ppm
Search WEB for skeleton |
|
![]()
|
|
|
Structure Proposal # 1886 QAGIGRCRESYMDG Deviation = 3.40ppm
Search WEB for skeleton |
|
![]()
|
|
|
Structure Proposal # 1887 AVGWEPUBZLKTFZ Deviation = 3.40ppm
Search WEB for skeleton |
|
![]()
|
|
|
Structure Proposal # 1888 NRPJMZCEHHGIOW Deviation = 3.40ppm
Search WEB for skeleton |
|
![]()
|
|
|
Structure Proposal # 1889 MWTHMPLXCJFJMQ Deviation = 3.40ppm
Search WEB for skeleton |
|
![]()
|
|
|
Structure Proposal # 1890 MCGDBBXGCQOICV Deviation = 3.40ppm
Search WEB for skeleton |
|
![]()
|
|
|
Structure Proposal # 1891 WKYNKJGNEUJTFR Deviation = 3.40ppm
Search WEB for skeleton |
|
![]()
|
|
|
Structure Proposal # 1892 MNYLMKWEJGOQHM Deviation = 3.40ppm
Search WEB for skeleton |
|
![]()
|
|
|
Structure Proposal # 1893 UXHOBTMLPRLWGW Deviation = 3.40ppm
Search WEB for skeleton |
|
![]()
|
|
|
Structure Proposal # 1894 YGGRFLAABOVRPF Deviation = 3.40ppm
Search WEB for skeleton |
|
![]()
|
|
|
Structure Proposal # 1895 IAKXPTNIEULDMA Deviation = 3.40ppm
Search WEB for skeleton |
|
![]()
|
|
|
Structure Proposal # 1896 TZAJPUOYJXEMHT Deviation = 3.40ppm
Search WEB for skeleton |
|
![]()
|
|
|
Structure Proposal # 1897 JLPBNXCFNIYUMZ Deviation = 3.40ppm
Search WEB for skeleton |
|
![]()
|
|
|
Structure Proposal # 1898 KXXQSDOTVXAPHQ Deviation = 3.40ppm
Search WEB for skeleton |
|
![]()
|
|
|
Structure Proposal # 1899 IORNEGLQMDOKJR Deviation = 3.41ppm
Search WEB for skeleton |
|
![]()
|
|
|
Structure Proposal # 1900 VUOUZJPYNGSCDI Deviation = 3.41ppm
Search WEB for skeleton |
|
![]()
|
|
|
Structure Proposal # 1901 VIUCBNZDBQZNLV Deviation = 3.41ppm
Search WEB for skeleton respect to your proposal |
|
![]()
|
|
|
Structure Proposal # 1902 HVPWSMUQKQHKNR Deviation = 3.41ppm
Search WEB for skeleton |
|
![]()
|
|
|
Structure Proposal # 1903 JWXJMTSFMOLTKC Deviation = 3.41ppm
Search WEB for skeleton |
|
![]()
|
|
|
Structure Proposal # 1904 PWRKFIGNZNXZHY Deviation = 3.41ppm
Search WEB for skeleton |
|
![]()
|
|
|
Structure Proposal # 1905 TUXPTHMUSRRZAQ Deviation = 3.41ppm
Search WEB for skeleton |
|
![]()
|
|
|
Structure Proposal # 1906 KELQWIGICVOVIY Deviation = 3.41ppm
Search WEB for skeleton respect to your proposal |
|
![]()
|
|
|
Structure Proposal # 1907 BPQKOYZIZJMDDO Deviation = 3.41ppm
Search WEB for skeleton |
|
![]()
|
|
|
Structure Proposal # 1908 CUXISEXEMFXCQH Deviation = 3.41ppm
Search WEB for skeleton |
|
![]()
|
|
|
Structure Proposal # 1909 IRWYSDUYKKSNBR Deviation = 3.41ppm
Search WEB for skeleton |
|
![]()
|
|
|
Structure Proposal # 1910 LHXBIXPSQQMLDN Deviation = 3.41ppm
Search WEB for skeleton |
|
![]()
|
|
|
Structure Proposal # 1911 LPWBENTYWUEDCD Deviation = 3.41ppm
Search WEB for skeleton |
|
![]()
|
|
|
Structure Proposal # 1912 ZCUWNBSSNPILJP Deviation = 3.41ppm
Search WEB for skeleton |
|
![]()
|
|
|
Structure Proposal # 1913 KAYVLKCZHKYBHA Deviation = 3.41ppm
Search WEB for skeleton |
|
![]()
|
|
|
Structure Proposal # 1914 FWHAEPGWGJVBLX Deviation = 3.41ppm
Search WEB for skeleton |
|
![]()
|
|
|
Structure Proposal # 1915 OJARHCXARSJAKH Deviation = 3.41ppm
Search WEB for skeleton |
|
![]()
|
|
|
Structure Proposal # 1916 PQJMWSCYGBCUIW Deviation = 3.41ppm
Search WEB for skeleton |
|
![]()
|
|
|
Structure Proposal # 1917 IGZARYHCBZQJQD Deviation = 3.41ppm
Search WEB for skeleton |
|
![]()
|
|
|
Structure Proposal # 1918 YPCMBXHDVTXQSK Deviation = 3.41ppm
Search WEB for skeleton |
|
![]()
|
|
|
Structure Proposal # 1919 KSGCRXMKDPXFMA Deviation = 3.41ppm
Search WEB for skeleton |
|
![]()
|
|
|
Structure Proposal # 1920 UQVSJJSIJRBAHC Deviation = 3.41ppm
Search WEB for skeleton |
|
![]()
|
|
|
Structure Proposal # 1921 NXZJAAMAPHOYSO Deviation = 3.41ppm
Search WEB for skeleton respect to your proposal |
|
![]()
|
|
|
Structure Proposal # 1922 GRCJZXBVPJYGPM Deviation = 3.41ppm
Search WEB for skeleton |
|
![]()
|
|
|
Structure Proposal # 1923 XVTFRHOAAAANNL Deviation = 3.41ppm
Search WEB for skeleton |
|
![]()
|
|
|
Structure Proposal # 1924 HBWNJLJUXBBQQH Deviation = 3.41ppm
Search WEB for skeleton |
|
![]()
|
|
|
Structure Proposal # 1925 DORIZYJNOVXAGL Deviation = 3.41ppm
Search WEB for skeleton respect to your proposal |
|
![]()
|
|
|
Structure Proposal # 1926 JYYIBOANSVLSEW Deviation = 3.41ppm
Search WEB for skeleton |
|
![]()
|
|
|
Structure Proposal # 1927 POPSVQCARZVPQW Deviation = 3.41ppm
Search WEB for skeleton |
|
![]()
|
|
|
Structure Proposal # 1928 WDXVSLIFZNBGKZ Deviation = 3.41ppm
Search WEB for skeleton |
|
![]()
|
|
|
Structure Proposal # 1929 HMDOYRIEXFUQOE Deviation = 3.41ppm
Search WEB for skeleton |
|
![]()
|
|
|
Structure Proposal # 1930 DZGIKLOXHJVLQR Deviation = 3.41ppm
Search WEB for skeleton |
|
![]()
|
|
|
Structure Proposal # 1931 XSQZIDSMZWWCJR Deviation = 3.41ppm
Search WEB for skeleton |
|
![]()
|
|
|
Structure Proposal # 1932 AGPUVCLKSPCJPC Deviation = 3.41ppm
Search WEB for skeleton |
|
![]()
|
|
|
Structure Proposal # 1933 SXYCXRWYROCBFG Deviation = 3.41ppm
Search WEB for skeleton |
|
![]()
|
|
|
Structure Proposal # 1934 ZIDLXHYRUZEYFJ Deviation = 3.41ppm
Search WEB for skeleton |
|
![]()
|
|
|
Structure Proposal # 1935 APBQVWOXCWLNOF Deviation = 3.41ppm
Search WEB for skeleton |
|
![]()
|
|
|
Structure Proposal # 1936 MTUYSVCUMVYVJR Deviation = 3.41ppm
Search WEB for skeleton |
|
![]()
|
|
|
Structure Proposal # 1937 VQHUWBLERKWJGE Deviation = 3.41ppm
Search WEB for skeleton |
|
![]()
|
|
|
Structure Proposal # 1938 JATYEPCQAIVDEF Deviation = 3.41ppm
Search WEB for skeleton |
|
![]()
|
|
|
Structure Proposal # 1939 RGPSSXTWBFBWOG Deviation = 3.41ppm
Search WEB for skeleton |
|
![]()
|
|
|
Structure Proposal # 1940 AMHUASCSUDBLMO Deviation = 3.41ppm
Search WEB for skeleton |
|
![]()
|
|
|
Structure Proposal # 1941 FCVQJGZNHOLFNJ Deviation = 3.41ppm
Search WEB for skeleton |
|
![]()
|
|
|
Structure Proposal # 1942 QPBDSYAVZHITRL Deviation = 3.42ppm
Search WEB for skeleton |
|
![]()
|
|
|
Structure Proposal # 1943 NSLVDPSZYSHADJ Deviation = 3.42ppm
Search WEB for skeleton |
|
![]()
|
|
|
Structure Proposal # 1944 MTBIJFDKMNXAOF Deviation = 3.42ppm
Search WEB for skeleton |
|
![]()
|
|
|
Structure Proposal # 1945 COLGLMJUMZLBJB Deviation = 3.42ppm
Search WEB for skeleton |
|
![]()
|
|
|
Structure Proposal # 1946 JPHZQELFMMQTJM Deviation = 3.42ppm
Search WEB for skeleton |
|
![]()
|
|
|
Structure Proposal # 1947 LWOCZFAPZPDDKE Deviation = 3.42ppm
Search WEB for skeleton |
|
![]()
|
|
|
Structure Proposal # 1948 GMEDSVKBMDJVCZ Deviation = 3.42ppm
Search WEB for skeleton |
|
![]()
|
|
|
Structure Proposal # 1949 CMRHFDUADSZXLE Deviation = 3.42ppm
Search WEB for skeleton |
|
![]()
|
|
|
Structure Proposal # 1950 NTCQBPQUKFMYOA Deviation = 3.42ppm
Search WEB for skeleton |
|
![]()
|
|
|
Structure Proposal # 1951 KVPLHJJDNYCQTL Deviation = 3.42ppm
Search WEB for skeleton |
|
![]()
|
|
|
Structure Proposal # 1952 PQOXGLWCOPZRDU Deviation = 3.42ppm
Search WEB for skeleton |
|
![]()
|
|
|
Structure Proposal # 1953 HLODRJUKAFLNOO Deviation = 3.42ppm
Search WEB for skeleton |
|
![]()
|
|
|
Structure Proposal # 1954 YKRGJVBJGVUMJM Deviation = 3.42ppm
Search WEB for skeleton respect to your proposal |
|
![]()
|
|
|
Structure Proposal # 1955 HHQAUAMHCXXDBP Deviation = 3.42ppm
Search WEB for skeleton |
|
![]()
|
|
|
Structure Proposal # 1956 WLUJQLRVZYQCSG Deviation = 3.42ppm
Search WEB for skeleton |
|
![]()
|
|
|
Structure Proposal # 1957 VAHJCVMLCUCHBF Deviation = 3.42ppm
Search WEB for skeleton |
|
![]()
|
|
|
Structure Proposal # 1958 CXUXRRZNWSXRFC Deviation = 3.42ppm
Search WEB for skeleton |
|
![]()
|
|
|
Structure Proposal # 1959 NMABGHNBYLDYGQ Deviation = 3.42ppm
Search WEB for skeleton respect to your proposal |
|
![]()
|
|
|
Structure Proposal # 1960 MAWFQYZRNZMYAI Deviation = 3.42ppm
Search WEB for skeleton |
|
![]()
|
|
|
Structure Proposal # 1961 GBFZUZKBBIOAMF Deviation = 3.42ppm
Search WEB for skeleton |
|
![]()
|
|
|
Structure Proposal # 1962 ZSECRDFWFXNZNQ Deviation = 3.42ppm
Search WEB for skeleton |
|
![]()
|
|
|
Structure Proposal # 1963 RDHZGZHOCLBVIH Deviation = 3.42ppm
Search WEB for skeleton |
|
![]()
|
|
|
Structure Proposal # 1964 ONSBZQMAKZZULX Deviation = 3.42ppm
Search WEB for skeleton |
|
![]()
|
|
|
Structure Proposal # 1965 ZOYOWVNMOAOXGH Deviation = 3.42ppm
Search WEB for skeleton |
|
![]()
|
|
|
Structure Proposal # 1966 OGVOUYMFVPEXEO Deviation = 3.42ppm
Search WEB for skeleton |
|
![]()
|
|
|
Structure Proposal # 1967 XGGIEUGTAANEFO Deviation = 3.42ppm
Search WEB for skeleton |
|
![]()
|
|
|
Structure Proposal # 1968 NXZCSSLTONANEE Deviation = 3.42ppm
Search WEB for skeleton |
|
![]()
|
|
|
Structure Proposal # 1969 MUDSQJSNKKMDJG Deviation = 3.42ppm
Search WEB for skeleton |
|
![]()
|
|
|
Structure Proposal # 1970 LSIHQLVPZCXBMG Deviation = 3.42ppm
Search WEB for skeleton |
|
![]()
|
|
|
Structure Proposal # 1971 QWIMGIYAZOAQIQ Deviation = 3.42ppm
Search WEB for skeleton |
|
![]()
|
|
|
Structure Proposal # 1972 AGMAAWSRSNFGRZ Deviation = 3.42ppm
Search WEB for skeleton |
|
![]()
|
|
|
Structure Proposal # 1973 KEDSYDJWONGOOK Deviation = 3.42ppm
Search WEB for skeleton |
|
![]()
|
|
|
Structure Proposal # 1974 NWRBMEKUIVFHSF Deviation = 3.42ppm
Search WEB for skeleton respect to your proposal |
|
![]()
|
|
|
Structure Proposal # 1975 LEHFNZOHENVZQE Deviation = 3.42ppm
Search WEB for skeleton |
|
![]()
|
|
|
Structure Proposal # 1976 XYBKVWOWSZFCOX Deviation = 3.42ppm
Search WEB for skeleton |
|
![]()
|
|
|
Structure Proposal # 1977 HNYMVUCJPHAHAX Deviation = 3.42ppm
Search WEB for skeleton |
|
![]()
|
|
|
Structure Proposal # 1978 YENSPYWVKBSXDA Deviation = 3.42ppm
Search WEB for skeleton |
|
![]()
|
|
|
Structure Proposal # 1979 UQZFMNJSVPMRKW Deviation = 3.42ppm
Search WEB for skeleton |
|
![]()
|
|
|
Structure Proposal # 1980 GKVUDGXLIIISFX Deviation = 3.42ppm
Search WEB for skeleton |
|
![]()
|
|
|
Structure Proposal # 1981 JLFXBIUIDKJMIJ Deviation = 3.42ppm
Search WEB for skeleton |
|
![]()
|
|
|
Structure Proposal # 1982 AZJSWNPBGJZOFB Deviation = 3.42ppm
Search WEB for skeleton |
|
![]()
|
|
|
Structure Proposal # 1983 LUHVXFZGGHMSFE Deviation = 3.42ppm
Search WEB for skeleton respect to your proposal |
|
![]()
|
|
|
Structure Proposal # 1984 DWULVAWXDIAVAI Deviation = 3.42ppm
Search WEB for skeleton |
|
![]()
|
|
|
Structure Proposal # 1985 HJMHWJBBCLBQSF Deviation = 3.42ppm
Search WEB for skeleton |
|
![]()
|
|
|
Structure Proposal # 1986 BPMPEKCNEVWBBD Deviation = 3.42ppm
Search WEB for skeleton |
|
![]()
|
|
|
Structure Proposal # 1987 JWYKNJCLKVXRKX Deviation = 3.42ppm
Search WEB for skeleton |
|
![]()
|
|
|
Structure Proposal # 1988 YQDVFSNZVURCDB Deviation = 3.42ppm
Search WEB for skeleton |
|
![]()
|
|
|
Structure Proposal # 1989 VXCZOZGMOWLNHL Deviation = 3.43ppm
Search WEB for skeleton |
|
![]()
|
|
|
Structure Proposal # 1990 LUFCEBOIFIIFJY Deviation = 3.43ppm
Search WEB for skeleton |
|
![]()
|
|
|
Structure Proposal # 1991 OXIJBDMWTAUEBJ Deviation = 3.43ppm
Search WEB for skeleton |
|
![]()
|
|
|
Structure Proposal # 1992 BKGFAXBUGRWXAF Deviation = 3.43ppm
Search WEB for skeleton |
|
![]()
|
|
|
Structure Proposal # 1993 GALHOSFIKCHUEW Deviation = 3.43ppm
Search WEB for skeleton respect to your proposal |
|
![]()
|
|
|
Structure Proposal # 1994 QRLNCIOYCNTTMG Deviation = 3.43ppm
Search WEB for skeleton |
|
![]()
|
|
|
Structure Proposal # 1995 LNIXLIKQLVTJOI Deviation = 3.43ppm
Search WEB for skeleton |
|
![]()
|
|
|
Structure Proposal # 1996 SVOKSXPTFSQKJI Deviation = 3.43ppm
Search WEB for skeleton |
|
![]()
|
|
|
Structure Proposal # 1997 QCIVYRRVSQFAAV Deviation = 3.43ppm
Search WEB for skeleton |
|
![]()
|
|
|
Structure Proposal # 1998 STAAUIQDDULWEJ Deviation = 3.43ppm
Search WEB for skeleton |
|
![]()
|
|
|
Structure Proposal # 1999 PCOHHADDBGOCSM Deviation = 3.43ppm
Search WEB for skeleton |
|
![]()
|
|
|
Structure Proposal # 2000 CMBMSDMTTCDGSC Deviation = 3.43ppm
Search WEB for skeleton respect to your proposal |
|
![]()
|
|
|
Structure Proposal # 2001 RUCHMYJEZQSPOC Deviation = 3.43ppm
Search WEB for skeleton |
|
![]()
|
|
|
Structure Proposal # 2002 UQCSUGYZPHCPNS Deviation = 3.43ppm
Search WEB for skeleton |
|
![]()
|
|
|
Structure Proposal # 2003 PEODUFNEEIRTFC Deviation = 3.43ppm
Search WEB for skeleton |
|
![]()
|
|
|
Structure Proposal # 2004 YCTOHIUDRUKPJQ Deviation = 3.43ppm
Search WEB for skeleton |
|
![]()
|
|
|
Structure Proposal # 2005 KGDJLTNUMUQDGD Deviation = 3.43ppm
Search WEB for skeleton |
|
![]()
|
|
|
Structure Proposal # 2006 KIZYSJMSLACZQR Deviation = 3.43ppm
Search WEB for skeleton |
|
![]()
|
|
|
Structure Proposal # 2007 RVIPUBVEANCFSF Deviation = 3.43ppm
Search WEB for skeleton |
|
![]()
|
|
|
Structure Proposal # 2008 AOCRZTKOHLJCLK Deviation = 3.43ppm
Search WEB for skeleton |
|
![]()
|
|
|
Structure Proposal # 2009 IQQDBBVJOOPDNH Deviation = 3.43ppm
Search WEB for skeleton |
|
![]()
|
|
|
Structure Proposal # 2010 PKCYLWZLUPOTKY Deviation = 3.43ppm
Search WEB for skeleton |
|
![]()
|
|
|
Structure Proposal # 2011 FPOYZFYVMZGHOF Deviation = 3.43ppm
Search WEB for skeleton |
|
![]()
|
|
|
Structure Proposal # 2012 JYWIWHPNXAPSIL Deviation = 3.43ppm
Search WEB for skeleton |
|
![]()
|
|
|
Structure Proposal # 2013 JBOYBZLJXFHXRP Deviation = 3.43ppm
Search WEB for skeleton |
|
![]()
|
|
|
Structure Proposal # 2014 ZREDMQGNMGXPQM Deviation = 3.43ppm
Search WEB for skeleton |
|
![]()
|
|
|
Structure Proposal # 2015 PDLUHLPHCMBNOT Deviation = 3.43ppm
Search WEB for skeleton |
|
![]()
|
|
|
Structure Proposal # 2016 KQOUPIUDEBNRLH Deviation = 3.43ppm
Search WEB for skeleton |
|
![]()
|
|
|
Structure Proposal # 2017 WIBPICCULWQHOA Deviation = 3.43ppm
Search WEB for skeleton |
|
![]()
|
|
|
Structure Proposal # 2018 PAWVHRHLJLWCMC Deviation = 3.43ppm
Search WEB for skeleton |
|
![]()
|
|
|
Structure Proposal # 2019 HYJXGMLLXCFWQX Deviation = 3.43ppm
Search WEB for skeleton |
|
![]()
|
|
|
Structure Proposal # 2020 JHSMJGKOMQTNJK Deviation = 3.43ppm
Search WEB for skeleton |
|
![]()
|
|
|
Structure Proposal # 2021 IQFNNAOHAAYLET Deviation = 3.43ppm
Search WEB for skeleton |
|
![]()
|
|
|
Structure Proposal # 2022 CORGLSKZRGSLKW Deviation = 3.43ppm
Search WEB for skeleton |
|
![]()
|
|
|
Structure Proposal # 2023 QGSXFDBETBSNEA Deviation = 3.43ppm
Search WEB for skeleton |
|
![]()
|
|
|
Structure Proposal # 2024 NHBBPJJOEBKGGD Deviation = 3.43ppm
Search WEB for skeleton |
|
![]()
|
|
|
Structure Proposal # 2025 BEOVYAQYIYWIMZ Deviation = 3.43ppm
Search WEB for skeleton |
|
![]()
|
|
|
Structure Proposal # 2026 JUNPJJZHAZHFBG Deviation = 3.43ppm
Search WEB for skeleton respect to your proposal |
|
![]()
|
|
|
Structure Proposal # 2027 DJVBLBRYPSXEHL Deviation = 3.43ppm
Search WEB for skeleton |
|
![]()
|
|
|
Structure Proposal # 2028 QHOJOEXLHWCCIH Deviation = 3.43ppm
Search WEB for skeleton |
|
![]()
|
|
|
Structure Proposal # 2029 AFVDMYOBIUWZPR Deviation = 3.43ppm
Search WEB for skeleton |
|
![]()
|
|
|
Structure Proposal # 2030 LPTFTBIYXNCGCN Deviation = 3.43ppm
Search WEB for skeleton |
|
![]()
|
|
|
Structure Proposal # 2031 GDWIVFDUCOXKNJ Deviation = 3.44ppm
Search WEB for skeleton respect to your proposal |
|
![]()
|
|
|
Structure Proposal # 2032 QVUUBQFTCNZOLG Deviation = 3.44ppm
Search WEB for skeleton |
|
![]()
|
|
|
Structure Proposal # 2033 KVOHJPMUWWMEBI Deviation = 3.44ppm
Search WEB for skeleton respect to your proposal |
|
![]()
|
|
|
Structure Proposal # 2034 AEOITVXOYYBCQQ Deviation = 3.44ppm
Search WEB for skeleton |
|
![]()
|
|
|
Structure Proposal # 2035 WKSBMENHXPCUCZ Deviation = 3.44ppm
Search WEB for skeleton |
|
![]()
|
|
|
Structure Proposal # 2036 MPAQJCAGTRNOPP Deviation = 3.44ppm
Search WEB for skeleton |
|
![]()
|
|
|
Structure Proposal # 2037 GMZFNWGXKZGXMT Deviation = 3.44ppm
Search WEB for skeleton |
|
![]()
|
|
|
Structure Proposal # 2038 SRDQZJIRKZDAKU Deviation = 3.44ppm
Search WEB for skeleton |
|
![]()
|
|
|
Structure Proposal # 2039 JSRWRCPWNBVAHD Deviation = 3.44ppm
Search WEB for skeleton |
|
![]()
|
|
|
Structure Proposal # 2040 UXNMRDUKXNPWCS Deviation = 3.44ppm
Search WEB for skeleton |
|
![]()
|
|
|
Structure Proposal # 2041 HEEPHQQPCSUXNY Deviation = 3.44ppm
Search WEB for skeleton |
|
![]()
|
|
|
Structure Proposal # 2042 VNPUHEHLCLCUHW Deviation = 3.44ppm
Search WEB for skeleton |
|
![]()
|
|
|
Structure Proposal # 2043 BZAHCPYNYNUJTF Deviation = 3.44ppm
Search WEB for skeleton |
|
![]()
|
|
|
Structure Proposal # 2044 OPLDPCZSYCXJML Deviation = 3.44ppm
Search WEB for skeleton |
|
![]()
|
|
|
Structure Proposal # 2045 IXYDNUUFCGZFAY Deviation = 3.44ppm
Search WEB for skeleton |
|
![]()
|
|
|
Structure Proposal # 2046 UQZDPXZEDMMTAN Deviation = 3.44ppm
Search WEB for skeleton |
|
![]()
|
|
|
Structure Proposal # 2047 FJGBXBLCYIJQDK Deviation = 3.44ppm
Search WEB for skeleton |
|
![]()
|
|
|
Structure Proposal # 2048 LLEODFRIZHZQPT Deviation = 3.44ppm
Search WEB for skeleton respect to your proposal |
|
![]()
|
|
|
Structure Proposal # 2049 AKECSMAHJLSFBB Deviation = 3.44ppm
Search WEB for skeleton |
|
![]()
|
|
|
Structure Proposal # 2050 BHQBCGYPWMPFNO Deviation = 3.44ppm
Search WEB for skeleton |
|
![]()
|
|
|
Structure Proposal # 2051 ZFDVLIDDLMCQTA Deviation = 3.44ppm
Search WEB for skeleton |
|
![]()
|
|
|
Structure Proposal # 2052 PLYKJHSABNIVNH Deviation = 3.44ppm
Search WEB for skeleton |
|
![]()
|
|
|
Structure Proposal # 2053 GEKFTEYBLZKTMM Deviation = 3.44ppm
Search WEB for skeleton respect to your proposal |
|
![]()
|
|
|
Structure Proposal # 2054 VAGUQSIEELWUHY Deviation = 3.44ppm
Search WEB for skeleton |
|
![]()
|
|
|
Structure Proposal # 2055 GDUMWGWGEQKLLN Deviation = 3.44ppm
Search WEB for skeleton |
|
![]()
|
|
|
Structure Proposal # 2056 CCHXNOHNJGBLFP Deviation = 3.44ppm
Search WEB for skeleton |
|
![]()
|
|
|
Structure Proposal # 2057 XNJOGSPQYCKBIJ Deviation = 3.44ppm
Search WEB for skeleton |
|
![]()
|
|
|
Structure Proposal # 2058 STSIPNDJSVKQLL Deviation = 3.44ppm
Search WEB for skeleton |
|
![]()
|
|
|
Structure Proposal # 2059 XCOKKBMZTVCDBJ Deviation = 3.44ppm
Search WEB for skeleton |
|
![]()
|
|
|
Structure Proposal # 2060 VZOMXHVYQQPYCH Deviation = 3.44ppm
Search WEB for skeleton |
|
![]()
|
|
|
Structure Proposal # 2061 WCKQYOTVGGOABE Deviation = 3.44ppm
Search WEB for skeleton |
|
![]()
|
|
|
Structure Proposal # 2062 MEZNINSFOYKCFA Deviation = 3.45ppm
Search WEB for skeleton respect to your proposal |
|
![]()
|
|
|
Structure Proposal # 2063 ZJYKQTQXUJTVEK Deviation = 3.45ppm
Search WEB for skeleton |
|
![]()
|
|
|
Structure Proposal # 2064 SVMUVZLCYZHVJM Deviation = 3.45ppm
Search WEB for skeleton |
|
![]()
|
|
|
Structure Proposal # 2065 LUSAQHWKAVIJNW Deviation = 3.45ppm
Search WEB for skeleton |
|
![]()
|
|
|
Structure Proposal # 2066 KUJLEKSLJKVTDE Deviation = 3.45ppm
Search WEB for skeleton |
|
![]()
|
|
|
Structure Proposal # 2067 RGWAZSLKRZUVIA Deviation = 3.45ppm
Search WEB for skeleton |
|
![]()
|
|
|
Structure Proposal # 2068 JLSZTDPCIJYHKX Deviation = 3.45ppm
Search WEB for skeleton |
|
![]()
|
|
|
Structure Proposal # 2069 SOPLZDUSHYMAMX Deviation = 3.45ppm
Search WEB for skeleton |
|
![]()
|
|
|
Structure Proposal # 2070 MCFREFMTFXSQBA Deviation = 3.45ppm
Search WEB for skeleton |
|
![]()
|
|
|
Structure Proposal # 2071 CYPSNJFAZBYQEL Deviation = 3.45ppm
Search WEB for skeleton respect to your proposal |
|
![]()
|
|
|
Structure Proposal # 2072 BAWCULMNDLNLHP Deviation = 3.45ppm
Search WEB for skeleton |
|
![]()
|
|
|
Structure Proposal # 2073 VFWNYCSDDOLBDD Deviation = 3.45ppm
Search WEB for skeleton |
|
![]()
|
|
|
Structure Proposal # 2074 RKGFTYGSWLYFJU Deviation = 3.45ppm
Search WEB for skeleton |
|
![]()
|
|
|
Structure Proposal # 2075 FXTJEKGNCJMYFI Deviation = 3.45ppm
Search WEB for skeleton |
|
![]()
|
|
|
Structure Proposal # 2076 MPIKMIZFUCKGBB Deviation = 3.45ppm
Search WEB for skeleton |
|
![]()
|
|
|
Structure Proposal # 2077 CSXYEFAJODODOM Deviation = 3.45ppm
Search WEB for skeleton |
|
![]()
|
|
|
Structure Proposal # 2078 VZKZSEAJXVFAKV Deviation = 3.45ppm
Search WEB for skeleton |
|
![]()
|
|
|
Structure Proposal # 2079 MDXRFRDUNNYKQU Deviation = 3.45ppm
Search WEB for skeleton respect to your proposal |
|
![]()
|
|
|
Structure Proposal # 2080 NWIZBFKEGQUZEM Deviation = 3.45ppm
Search WEB for skeleton |
|
![]()
|
|
|
Structure Proposal # 2081 CLINNZJCXXDJHU Deviation = 3.45ppm
Search WEB for skeleton |
|
![]()
|
|
|
Structure Proposal # 2082 RTSLZLOWEHJWFO Deviation = 3.45ppm
Search WEB for skeleton |
|
![]()
|
|
|
Structure Proposal # 2083 VSXOZMOUOPIJIY Deviation = 3.45ppm
Search WEB for skeleton |
|
![]()
|
|
|
Structure Proposal # 2084 WWFIYYUPBVFOHS Deviation = 3.45ppm
Search WEB for skeleton |
|
![]()
|
|
|
Structure Proposal # 2085 LAPWCJUOCXPQQA Deviation = 3.45ppm
Search WEB for skeleton |
|
![]()
|
|
|
Structure Proposal # 2086 XBCJMYZHCBYXGZ Deviation = 3.45ppm
Search WEB for skeleton |
|
![]()
|
|
|
Structure Proposal # 2087 STUHZNIHYXSRDW Deviation = 3.45ppm
Search WEB for skeleton |
|
![]()
|
|
|
Structure Proposal # 2088 UYLOIEHVUXSACA Deviation = 3.45ppm
Search WEB for skeleton |
|
![]()
|
|
|
Structure Proposal # 2089 OSMRXBXRWRNCAL Deviation = 3.45ppm
Search WEB for skeleton |
|
![]()
|
|
|
Structure Proposal # 2090 QOSIGWKZNULSAI Deviation = 3.45ppm
Search WEB for skeleton |
|
![]()
|
|
|
Structure Proposal # 2091 BZXGXRYVSWHOCP Deviation = 3.45ppm
Search WEB for skeleton |
|
![]()
|
|
|
Structure Proposal # 2092 BXHPIJJHSRCSEB Deviation = 3.45ppm
Search WEB for skeleton |
|
![]()
|
|
|
Structure Proposal # 2093 IKPNZNYOXXUKRI Deviation = 3.45ppm
Search WEB for skeleton |
|
![]()
|
|
|
Structure Proposal # 2094 LFIWVQBZJODWOC Deviation = 3.45ppm
Search WEB for skeleton |
|
![]()
|
|
|
Structure Proposal # 2095 UQIXGPOJVSYESF Deviation = 3.45ppm
Search WEB for skeleton |
|
![]()
|
|
|
Structure Proposal # 2096 GDPXMUXDDIOBGH Deviation = 3.46ppm
Search WEB for skeleton |
|
![]()
|
|
|
Structure Proposal # 2097 VGTYVQKKEZMMMU Deviation = 3.46ppm
Search WEB for skeleton |
|
![]()
|
|
|
Structure Proposal # 2098 CKGZOPVTAVNJBX Deviation = 3.46ppm
Search WEB for skeleton |
|
![]()
|
|
|
Structure Proposal # 2099 GBKSYRGESOKXOB Deviation = 3.46ppm
Search WEB for skeleton |
|
![]()
|
|
|
Structure Proposal # 2100 YUOTUJITTSXMET Deviation = 3.46ppm
Search WEB for skeleton |
|
![]()
|
|
|
Structure Proposal # 2101 IDHYMOYSTJGFPD Deviation = 3.46ppm
Search WEB for skeleton respect to your proposal |
|
![]()
|
|
|
Structure Proposal # 2102 CMBJCKFLJHRJTC Deviation = 3.46ppm
Search WEB for skeleton |
|
![]()
|
|
|
Structure Proposal # 2103 FGYLKTMTXYSWFM Deviation = 3.46ppm
Search WEB for skeleton |
|
![]()
|
|
|
Structure Proposal # 2104 UYTWKHADVYXEIP Deviation = 3.46ppm
Search WEB for skeleton |
|
![]()
|
|
|
Structure Proposal # 2105 DVAVSYTWNAYJKC Deviation = 3.46ppm
Search WEB for skeleton |
|
![]()
|
|
|
Structure Proposal # 2106 KPDDBRSXJNMHAY Deviation = 3.46ppm
Search WEB for skeleton |
|
![]()
|
|
|
Structure Proposal # 2107 QJIMSFLJRSFEHL Deviation = 3.46ppm
Search WEB for skeleton |
|
![]()
|
|
|
Structure Proposal # 2108 BEHVTUSCEVDLLH Deviation = 3.46ppm
Search WEB for skeleton |
|
![]()
|
|
|
Structure Proposal # 2109 BOCZLYSAMRVKJQ Deviation = 3.46ppm
Search WEB for skeleton |
|
![]()
|
|
|
Structure Proposal # 2110 CYSDDGRPMWYYCE Deviation = 3.46ppm
Search WEB for skeleton |
|
![]()
|
|
|
Structure Proposal # 2111 VXFYRHZNBFIZJB Deviation = 3.46ppm
Search WEB for skeleton |
|
![]()
|
|
|
Structure Proposal # 2112 IODURFBVFBUZQC Deviation = 3.46ppm
Search WEB for skeleton |
|
![]()
|
|
|
Structure Proposal # 2113 IOZFEQMMQKKMFU Deviation = 3.46ppm
Search WEB for skeleton |
|
![]()
|
|
|
Structure Proposal # 2114 XIQPZKTZFQLNEZ Deviation = 3.46ppm
Search WEB for skeleton |
|
![]()
|
|
|
Structure Proposal # 2115 FMDABASBKHQPND Deviation = 3.46ppm
Search WEB for skeleton |
|
![]()
|
|
|
Structure Proposal # 2116 VUBSJZUYHKFVQD Deviation = 3.46ppm
Search WEB for skeleton |
|
![]()
|
|
|
Structure Proposal # 2117 PEIGURUSENTMTI Deviation = 3.46ppm
Search WEB for skeleton |
|
![]()
|
|
|
Structure Proposal # 2118 COPRNCIHAWMIDU Deviation = 3.46ppm
Search WEB for skeleton |
|
![]()
|
|
|
Structure Proposal # 2119 REAGFOASJFQGGZ Deviation = 3.46ppm
Search WEB for skeleton |
|
![]()
|
|
|
Structure Proposal # 2120 TUUORZMTCBGPKL Deviation = 3.46ppm
Search WEB for skeleton |
|
![]()
|
|
|
Structure Proposal # 2121 ZHUTYPJTFQQXQN Deviation = 3.46ppm
Search WEB for skeleton |
|
![]()
|
|
|
Structure Proposal # 2122 OFNGGYBHQGDJFQ Deviation = 3.46ppm
Search WEB for skeleton |
|
![]()
|
|
|
Structure Proposal # 2123 YUCJKDNOTVDJIZ Deviation = 3.46ppm
Search WEB for skeleton |
|
![]()
|
|
|
Structure Proposal # 2124 YVRHUSFCUXUBFG Deviation = 3.46ppm
Search WEB for skeleton |
|
![]()
|
|
|
Structure Proposal # 2125 XXAMOTYRBXLJSR Deviation = 3.46ppm
Search WEB for skeleton |
|
![]()
|
|
|
Structure Proposal # 2126 DSGKAOBDUFSXHW Deviation = 3.46ppm
Search WEB for skeleton |
|
![]()
|
|
|
Structure Proposal # 2127 DJCZXJPYOHUSJE Deviation = 3.46ppm
Search WEB for skeleton respect to your proposal |
|
![]()
|
|
|
Structure Proposal # 2128 HTBWMKXXNYKCPE Deviation = 3.46ppm
Search WEB for skeleton |
|
![]()
|
|
|
Structure Proposal # 2129 GDBXXICPPCYANV Deviation = 3.46ppm
Search WEB for skeleton |
|
![]()
|
|
|
Structure Proposal # 2130 IGBCYFSDIGFLIG Deviation = 3.47ppm
Search WEB for skeleton |
|
![]()
|
|
|
Structure Proposal # 2131 MTGOVQQPDFGMDW Deviation = 3.47ppm
Search WEB for skeleton |
|
![]()
|
|
|
Structure Proposal # 2132 IBLXYTBNAHHPAB Deviation = 3.47ppm
Search WEB for skeleton |
|
![]()
|
|
|
Structure Proposal # 2133 HVDSAQKCBUFFJL Deviation = 3.47ppm
Search WEB for skeleton |
|
![]()
|
|
|
Structure Proposal # 2134 VPHJXQWSGOTGPN Deviation = 3.47ppm
Search WEB for skeleton |
|
![]()
|
|
|
Structure Proposal # 2135 CWOGVHOWMCKSEP Deviation = 3.47ppm
Search WEB for skeleton |
|
![]()
|
|
|
Structure Proposal # 2136 WBECRTJIYNYHDV Deviation = 3.47ppm
Search WEB for skeleton |
|
![]()
|
|
|
Structure Proposal # 2137 QZLQQUJZDLMOCE Deviation = 3.47ppm
Search WEB for skeleton |
|
![]()
|
|
|
Structure Proposal # 2138 PVOMGOIXMPZTOW Deviation = 3.47ppm
Search WEB for skeleton |
|
![]()
|
|
|
Structure Proposal # 2139 DKYNWHASCDJHDL Deviation = 3.47ppm
Search WEB for skeleton |
|
![]()
|
|
|
Structure Proposal # 2140 MERRDPOHXHLYMH Deviation = 3.47ppm
Search WEB for skeleton |
|
![]()
|
|
|
Structure Proposal # 2141 TVLAQUYXAHHQOR Deviation = 3.47ppm
Search WEB for skeleton |
|
![]()
|
|
|
Structure Proposal # 2142 IVMHPOVDVDLCLT Deviation = 3.47ppm
Search WEB for skeleton |
|
![]()
|
|
|
Structure Proposal # 2143 IVZBDDMCWMAXJN Deviation = 3.47ppm
Search WEB for skeleton |
|
![]()
|
|
|
Structure Proposal # 2144 GFZQUKQPCPWXKC Deviation = 3.47ppm
Search WEB for skeleton |
|
![]()
|
|
|
Structure Proposal # 2145 GXACAQAKVXQBCL Deviation = 3.47ppm
Search WEB for skeleton |
|
![]()
|
|
|
Structure Proposal # 2146 QAIUMCIFXKJOLC Deviation = 3.47ppm
Search WEB for skeleton |
|
![]()
|
|
|
Structure Proposal # 2147 DTJUTIJDLBCCCK Deviation = 3.47ppm
Search WEB for skeleton respect to your proposal |
|
![]()
|
|
|
Structure Proposal # 2148 CARDPEQXAHGMBU Deviation = 3.47ppm
Search WEB for skeleton |
|
![]()
|
|
|
Structure Proposal # 2149 VFMRWHCDFQEPPP Deviation = 3.47ppm
Search WEB for skeleton |
|
![]()
|
|
|
Structure Proposal # 2150 VOFCQIDEXSGWOF Deviation = 3.47ppm
Search WEB for skeleton |
|
![]()
|
|
|
Structure Proposal # 2151 XSXKUCGESFOAJA Deviation = 3.47ppm
Search WEB for skeleton |
|
![]()
|
|
|
Structure Proposal # 2152 UKOMADIGPYUDRT Deviation = 3.47ppm
Search WEB for skeleton |
|
![]()
|
|
|
Structure Proposal # 2153 IPRHKEILWLRQOL Deviation = 3.47ppm
Search WEB for skeleton |
|
![]()
|
|
|
Structure Proposal # 2154 MSZNUDFGZDXUNX Deviation = 3.47ppm
Search WEB for skeleton |
|
![]()
|
|
|
Structure Proposal # 2155 DYKDFPBJKQLLJA Deviation = 3.47ppm
Search WEB for skeleton |
|
![]()
|
|
|
Structure Proposal # 2156 UGZSYTULAHMLIH Deviation = 3.47ppm
Search WEB for skeleton |
|
![]()
|
|
|
Structure Proposal # 2157 NQAMQNCNCISTDK Deviation = 3.47ppm
Search WEB for skeleton |
|
![]()
|
|
|
Structure Proposal # 2158 PUVHKBKIFJNRDV Deviation = 3.47ppm
Search WEB for skeleton |
|
![]()
|
|
|
Structure Proposal # 2159 OYIBRSCJBBKPJN Deviation = 3.47ppm
Search WEB for skeleton |
|
![]()
|
|
|
Structure Proposal # 2160 SYIAGYDXNDLEFI Deviation = 3.47ppm
Search WEB for skeleton |
|
![]()
|
|
|
Structure Proposal # 2161 KAXILLAZSNHFID Deviation = 3.47ppm
Search WEB for skeleton |
|
![]()
|
|
|
Structure Proposal # 2162 GGEFQAPNSPMLMT Deviation = 3.48ppm
Search WEB for skeleton |
|
![]()
|
|
|
Structure Proposal # 2163 SPPIATSYCCAICD Deviation = 3.48ppm
Search WEB for skeleton |
|
![]()
|
|
|
Structure Proposal # 2164 HQQPIKTXXPMRGO Deviation = 3.48ppm
Search WEB for skeleton |
|
![]()
|
|
|
Structure Proposal # 2165 WXZNXSBFFIGIPE Deviation = 3.48ppm
Search WEB for skeleton |
|
![]()
|
|
|
Structure Proposal # 2166 MLWXKIZSXIIDFE Deviation = 3.48ppm
Search WEB for skeleton respect to your proposal |
|
![]()
|
|
|
Structure Proposal # 2167 RBFFMOHYVCCYRN Deviation = 3.48ppm
Search WEB for skeleton |
|
![]()
|
|
|
Structure Proposal # 2168 LHIYPVDRICXBLT Deviation = 3.48ppm
Search WEB for skeleton |
|
![]()
|
|
|
Structure Proposal # 2169 OBHJCVQFWRALGX Deviation = 3.48ppm
Search WEB for skeleton |
|
![]()
|
|
|
Structure Proposal # 2170 LRVBAODJKQQKIU Deviation = 3.48ppm
Search WEB for skeleton |
|
![]()
|
|
|
Structure Proposal # 2171 KDVMVPMGABQTDL Deviation = 3.48ppm
Search WEB for skeleton |
|
![]()
|
|
|
Structure Proposal # 2172 LVJMJJSQXUIHNR Deviation = 3.48ppm
Search WEB for skeleton |
|
![]()
|
|
|
Structure Proposal # 2173 MBCACNTXXBNRLF Deviation = 3.48ppm
Search WEB for skeleton |
|
![]()
|
|
|
Structure Proposal # 2174 LDSKYQQNSBFIOL Deviation = 3.48ppm
Search WEB for skeleton |
|
![]()
|
|
|
Structure Proposal # 2175 YBJKDZHZISKHNQ Deviation = 3.48ppm
Search WEB for skeleton |
|
![]()
|
|
|
Structure Proposal # 2176 DMCXAVKFLSWXBQ Deviation = 3.48ppm
Search WEB for skeleton |
|
![]()
|
|
|
Structure Proposal # 2177 VVBRZJBVKSRNHA Deviation = 3.48ppm
Search WEB for skeleton |
|
![]()
|
|
|
Structure Proposal # 2178 POGXGYRFBSJIEI Deviation = 3.48ppm
Search WEB for skeleton |
|
![]()
|
|
|
Structure Proposal # 2179 WDEHYLZZGUUITC Deviation = 3.48ppm
Search WEB for skeleton |
|
![]()
|
|
|
Structure Proposal # 2180 GIRKQQYHCBCCDF Deviation = 3.48ppm
Search WEB for skeleton |
|
![]()
|
|
|
Structure Proposal # 2181 UHXZLFWOGSACIY Deviation = 3.48ppm
Search WEB for skeleton |
|
![]()
|
|
|
Structure Proposal # 2182 JGYDNHBAJRFVRQ Deviation = 3.48ppm
Search WEB for skeleton |
|
![]()
|
|
|
Structure Proposal # 2183 UYYBOQJFMBVFSC Deviation = 3.48ppm
Search WEB for skeleton |
|
![]()
|
|
|
Structure Proposal # 2184 NSUYMWGUAVFRLB Deviation = 3.48ppm
Search WEB for skeleton |
|
![]()
|
|
|
Structure Proposal # 2185 WCHIZIJIHKPOQO Deviation = 3.48ppm
Search WEB for skeleton |
|
![]()
|
|
|
Structure Proposal # 2186 JXMQNCPJYMGNIF Deviation = 3.48ppm
Search WEB for skeleton |
|
![]()
|
|
|
Structure Proposal # 2187 OVTMCOLQVMWULT Deviation = 3.48ppm
Search WEB for skeleton respect to your proposal |
|
![]()
|
|
|
Structure Proposal # 2188 RFLKNCSXSIRNEG Deviation = 3.48ppm
Search WEB for skeleton |
|
![]()
|
|
|
Structure Proposal # 2189 PULNMOQVGNHTQS Deviation = 3.48ppm
Search WEB for skeleton |
|
![]()
|
|
|
Structure Proposal # 2190 YEMSWVQGAISNLN Deviation = 3.48ppm
Search WEB for skeleton |
|
![]()
|
|
|
Structure Proposal # 2191 IOMAJXRJPYOKDB Deviation = 3.48ppm
Search WEB for skeleton |
|
![]()
|
|
|
Structure Proposal # 2192 JFMSTMJLIGPDEV Deviation = 3.48ppm
Search WEB for skeleton |
|
![]()
|
|
|
Structure Proposal # 2193 FLJMOYLCGDMFMF Deviation = 3.48ppm
Search WEB for skeleton |
|
![]()
|
|
|
Structure Proposal # 2194 QQTSLPPWMFLYGE Deviation = 3.48ppm
Search WEB for skeleton |
|
![]()
|
|
|
Structure Proposal # 2195 BDGAPWOWUBWOED Deviation = 3.48ppm
Search WEB for skeleton |
|
![]()
|
|
|
Structure Proposal # 2196 ZTTQBCGSHAYBHV Deviation = 3.48ppm
Search WEB for skeleton |
|
![]()
|
|
|
Structure Proposal # 2197 JZAQHHBCWYBSGH Deviation = 3.48ppm
Search WEB for skeleton |
|
![]()
|
|
|
Structure Proposal # 2198 OCFFUXNYJISWQJ Deviation = 3.48ppm
Search WEB for skeleton |
|
![]()
|
|
|
Structure Proposal # 2199 JTNAQZHMBFYZCL Deviation = 3.48ppm
Search WEB for skeleton |
|
![]()
|
|
|
Structure Proposal # 2200 RUUKLLXXWOMMRR Deviation = 3.49ppm
Search WEB for skeleton respect to your proposal |
|
![]()
|
|
|
Structure Proposal # 2201 QTESDQLVLDVERD Deviation = 3.49ppm
Search WEB for skeleton |
|
![]()
|
|
|
Structure Proposal # 2202 MXPOBCNBEJQFML Deviation = 3.49ppm
Search WEB for skeleton |
|
![]()
|
|
|
Structure Proposal # 2203 ZEQUQFCTJKHJMG Deviation = 3.49ppm
Search WEB for skeleton |
|
![]()
|
|
|
Structure Proposal # 2204 LBJJVOMNIONVNV Deviation = 3.49ppm
Search WEB for skeleton |
|
![]()
|
|
|
Structure Proposal # 2205 SIAGZZIBWHMMGM Deviation = 3.49ppm
Search WEB for skeleton |
|
![]()
|
|
|
Structure Proposal # 2206 SWSFHPQIFQBGHA Deviation = 3.49ppm
Search WEB for skeleton |
|
![]()
|
|
|
Structure Proposal # 2207 YAXWBVMEUMYAMZ Deviation = 3.49ppm
Search WEB for skeleton |
|
![]()
|
|
|
Structure Proposal # 2208 NAPWUYCEULSOKO Deviation = 3.49ppm
Search WEB for skeleton |
|
![]()
|
|
|
Structure Proposal # 2209 QHMVOMJFMHZLEI Deviation = 3.49ppm
Search WEB for skeleton |
|
![]()
|
|
|
Structure Proposal # 2210 HKLUMFGZTYGLAW Deviation = 3.49ppm
Search WEB for skeleton |
|
![]()
|
|
|
Structure Proposal # 2211 RBUODMRMSLMPSJ Deviation = 3.49ppm
Search WEB for skeleton |
|
![]()
|
|
|
Structure Proposal # 2212 HDQHLXWONIZGIQ Deviation = 3.49ppm
Search WEB for skeleton |
|
![]()
|
|
|
Structure Proposal # 2213 CISRLQHBYCTNAI Deviation = 3.49ppm
Search WEB for skeleton |
|
![]()
|
|
|
Structure Proposal # 2214 YEJQARRMUNVMBT Deviation = 3.49ppm
Search WEB for skeleton |
|
![]()
|
|
|
Structure Proposal # 2215 UZKKHYZGEZMZPC Deviation = 3.49ppm
Search WEB for skeleton |
|
![]()
|
|
|
Structure Proposal # 2216 RSRYBYWCTFQFIN Deviation = 3.49ppm
Search WEB for skeleton |
|
![]()
|
|
|
Structure Proposal # 2217 PDULYURFVKIHGC Deviation = 3.49ppm
Search WEB for skeleton |
|
![]()
|
|
|
Structure Proposal # 2218 SNLYXIDSYFAMPO Deviation = 3.49ppm
Search WEB for skeleton |
|
![]()
|
|
|
Structure Proposal # 2219 IYHNCFBUINWTSK Deviation = 3.49ppm
Search WEB for skeleton |
|
![]()
|
|
|
Structure Proposal # 2220 VEXYYUCRRODKJH Deviation = 3.49ppm
Search WEB for skeleton |
|
![]()
|
|
|
Structure Proposal # 2221 LIJWMNUPPNXILH Deviation = 3.49ppm
Search WEB for skeleton |
|
![]()
|
|
|
Structure Proposal # 2222 INOYTCWXAPLBPS Deviation = 3.49ppm
Search WEB for skeleton |
|
![]()
|
|
|
Structure Proposal # 2223 GJHMZFDNFPFODD Deviation = 3.49ppm
Search WEB for skeleton |
|
![]()
|
|
|
Structure Proposal # 2224 QICKNKFAKXYXKE Deviation = 3.49ppm
Search WEB for skeleton |
|
![]()
|
|
|
Structure Proposal # 2225 HWMVSDPWFMPFLT Deviation = 3.49ppm
Search WEB for skeleton |
|
![]()
|
|
|
Structure Proposal # 2226 KFBINVQDNDIQEM Deviation = 3.49ppm
Search WEB for skeleton respect to your proposal |
|
![]()
|
|
|
Structure Proposal # 2227 OQKNVGUCXFIKIQ Deviation = 3.49ppm
Search WEB for skeleton |
|
![]()
|
|
|
Structure Proposal # 2228 XBUHGGXFKOMCGA Deviation = 3.49ppm
Search WEB for skeleton |
|
![]()
|
|
|
Structure Proposal # 2229 KTRIKFCHCSBJIL Deviation = 3.49ppm
Search WEB for skeleton |
|
![]()
|
|
|
Structure Proposal # 2230 MTJNRALTMKOPIF Deviation = 3.49ppm
Search WEB for skeleton |
|
![]()
|
|
|
Structure Proposal # 2231 WZZZTLAVGIRWHA Deviation = 3.49ppm
Search WEB for skeleton |
|
![]()
|
|
|
Structure Proposal # 2232 APFAKJVZRQUGJL Deviation = 3.49ppm
Search WEB for skeleton |
|
![]()
|
|
|
Structure Proposal # 2233 KOWDVKXIMOXRJQ Deviation = 3.49ppm
Search WEB for skeleton respect to your proposal |
|
![]()
|
|
|
Structure Proposal # 2234 KWGUHJGGVRNROV Deviation = 3.49ppm
Search WEB for skeleton |
|
![]()
|
|
|
Structure Proposal # 2235 CFJHTMMZRIACTR Deviation = 3.49ppm
Search WEB for skeleton |
|
![]()
|
|
|
Structure Proposal # 2236 VBUWRZMUKIHNEM Deviation = 3.49ppm
Search WEB for skeleton |
|
![]()
|
|
|
Structure Proposal # 2237 NRXLMWKREBVMHE Deviation = 3.49ppm
Search WEB for skeleton |
|
![]()
|
|
|
Structure Proposal # 2238 JNZXFHFWPOTNOJ Deviation = 3.49ppm
Search WEB for skeleton |
|
![]()
|
|
|
Structure Proposal # 2239 GGJSBODRASLXDA Deviation = 3.49ppm
Search WEB for skeleton |
|
![]()
|
|
|
Structure Proposal # 2240 BTRSDFVMOAGBHW Deviation = 3.49ppm
Search WEB for skeleton |
|
![]()
|
|
|
Structure Proposal # 2241 HRGAOXVBHJFGKO Deviation = 3.49ppm
Search WEB for skeleton |
|
![]()
|
|
|
Structure Proposal # 2242 SJDLZJANOSGVPD Deviation = 3.49ppm
Search WEB for skeleton |
|
![]()
|
|
|
Structure Proposal # 2243 BHLJMDRTYDATNW Deviation = 3.49ppm
Search WEB for skeleton |
|
![]()
|
|
|
Structure Proposal # 2244 FVRNJSABJYZBJW Deviation = 3.49ppm
Search WEB for skeleton |
|
![]()
|
|
|
Structure Proposal # 2245 MTMPGXSREOVNMB Deviation = 3.49ppm
Search WEB for skeleton |
|
![]()
|
|
|
Structure Proposal # 2246 OWBPRQMNGBNJQC Deviation = 3.49ppm
Search WEB for skeleton |
|
![]()
|
|
|
Structure Proposal # 2247 YFLHAHAZLJHYSO Deviation = 3.49ppm
Search WEB for skeleton |
|
![]()
|
|
|
Structure Proposal # 2248 JYZWGPXYKVRBQQ Deviation = 3.49ppm
Search WEB for skeleton |
|
![]()
|
|
|
Structure Proposal # 2249 UWEXCAHQFUBKOB Deviation = 3.49ppm
Search WEB for skeleton |
|
![]()
|
|
|
Structure Proposal # 2250 SJVVNEGYSRAPFR Deviation = 3.50ppm
Search WEB for skeleton respect to your proposal |
|
![]()
|
|
|
Structure Proposal # 2251 IKCDOQTUDYKDTJ Deviation = 3.50ppm
Search WEB for skeleton |
|
![]()
|
|
|
Structure Proposal # 2252 DWBJWHISCNEDEQ Deviation = 3.50ppm
Search WEB for skeleton |
|
![]()
|
|
|
Structure Proposal # 2253 OWYQPIWLXKAPKL Deviation = 3.50ppm
Search WEB for skeleton |
|
![]()
|
|
|
Structure Proposal # 2254 IUHLDMVIOZQIRN Deviation = 3.50ppm
Search WEB for skeleton |
|
![]()
|
|
|
Structure Proposal # 2255 QDIQSXCBNJHUIH Deviation = 3.50ppm
Search WEB for skeleton |
|
![]()
|
|
|
Structure Proposal # 2256 JZBRMKGZMVGFGE Deviation = 3.50ppm
Search WEB for skeleton respect to your proposal |
|
![]()
|
|
|
Structure Proposal # 2257 ZUBNKZLGFBEBJD Deviation = 3.50ppm
Search WEB for skeleton |
|
![]()
|
|
|
Structure Proposal # 2258 KXHDTGMJTNCEBI Deviation = 3.50ppm
Search WEB for skeleton |
|
![]()
|
|
|
Structure Proposal # 2259 MAXWVJTYXJVVPE Deviation = 3.50ppm
Search WEB for skeleton |
|
![]()
|
|
|
Structure Proposal # 2260 PDTOGBIFVLEHQP Deviation = 3.50ppm
Search WEB for skeleton |
|
![]()
|
|
|
Structure Proposal # 2261 BUXLALBYCOXWJN Deviation = 3.50ppm
Search WEB for skeleton |
|
![]()
|
|
|
Structure Proposal # 2262 KVWCHKLVPCKCDR Deviation = 3.50ppm
Search WEB for skeleton |
|
![]()
|
|
|
Structure Proposal # 2263 NRNRGTKQYJZRRJ Deviation = 3.50ppm
Search WEB for skeleton |
|
![]()
|
|
|
Structure Proposal # 2264 OAYVMMHOYCASQT Deviation = 3.50ppm
Search WEB for skeleton |
|
![]()
|
|
|
Structure Proposal # 2265 LMBHDLHVERIJDA Deviation = 3.50ppm
Search WEB for skeleton |
|
![]()
|
|
|
Structure Proposal # 2266 NHNQKDIPRXIKPW Deviation = 3.50ppm
Search WEB for skeleton |
|
![]()
|
|
|
Structure Proposal # 2267 HDCCCUZRXVRIEQ Deviation = 3.50ppm
Search WEB for skeleton |
|
![]()
|
|
|
Structure Proposal # 2268 MDTGCMJLIGQOLR Deviation = 3.50ppm
Search WEB for skeleton |
|
![]()
|
|
|
Structure Proposal # 2269 HWWYIGPBOAMSCB Deviation = 3.50ppm
Search WEB for skeleton |
|
![]()
|
|
|
Structure Proposal # 2270 JXUDAIINQQXFRR Deviation = 3.50ppm
Search WEB for skeleton |
|
![]()
|
|
|
Structure Proposal # 2271 LILYMGVVILGNEP Deviation = 3.50ppm
Search WEB for skeleton respect to your proposal |
|
![]()
|
|
|
Structure Proposal # 2272 VATAHNZNLSZTQF Deviation = 3.50ppm
Search WEB for skeleton |
|
![]()
|
|
|
Structure Proposal # 2273 RDPIMNRLRPDRNB Deviation = 3.50ppm
Search WEB for skeleton |
|
![]()
|
|
|
Structure Proposal # 2274 HRCJKJBOGLBHCX Deviation = 3.50ppm
Search WEB for skeleton |
|
![]()
|
|
|
Structure Proposal # 2275 RYCBGYPIFQYYBK Deviation = 3.50ppm
Search WEB for skeleton |
|
![]()
|
|
|
Structure Proposal # 2276 QSRSCKWYOQWMNU Deviation = 3.50ppm
Search WEB for skeleton |
|
![]()
|
|
|
Structure Proposal # 2277 PKVVWWHRDZXUHK Deviation = 3.50ppm
Search WEB for skeleton |
|
![]()
|
|
|
Structure Proposal # 2278 OFUPGVJCSXZILN Deviation = 3.50ppm
Search WEB for skeleton |
|
![]()
|
|
|
Structure Proposal # 2279 BUJTVUNSVJSTTQ Deviation = 3.50ppm
Search WEB for skeleton |
|
![]()
|
|
|
Structure Proposal # 2280 VOOPJJOZISEKSU Deviation = 3.50ppm
Search WEB for skeleton |
|
![]()
|
|
|
Structure Proposal # 2281 CAUZPLOFKPSXAT Deviation = 3.50ppm
Search WEB for skeleton |
|
![]()
|
|
|
Structure Proposal # 2282 YPUNFPBHRVINSK Deviation = 3.50ppm
Search WEB for skeleton |
|
![]()
|
|
|
Structure Proposal # 2283 NBVBOCDAGUWFTQ Deviation = 3.50ppm
Search WEB for skeleton |
|
![]()
|
|
|
Structure Proposal # 2284 NWFJHCQBICHVLU Deviation = 3.51ppm
Search WEB for skeleton |
|
![]()
|
|
|
Structure Proposal # 2285 SMUIZOXTYVPONU Deviation = 3.51ppm
Search WEB for skeleton |
|
![]()
|
|
|
Structure Proposal # 2286 NTIURXIKZKYBRE Deviation = 3.51ppm
Search WEB for skeleton |
|
![]()
|
|
|
Structure Proposal # 2287 XSDHBAHBMAIBDB Deviation = 3.51ppm
Search WEB for skeleton respect to your proposal |
|
![]()
|
|
|
Structure Proposal # 2288 XSXBMDFITYISHY Deviation = 3.51ppm
Search WEB for skeleton |
|
![]()
|
|
|
Structure Proposal # 2289 DGOGYZJTTBDUER Deviation = 3.51ppm
Search WEB for skeleton |
|
![]()
|
|
|
Structure Proposal # 2290 DBRKWAGBKDFRIX Deviation = 3.51ppm
Search WEB for skeleton |
|
![]()
|
|
|
Structure Proposal # 2291 SQCIEQMPBMOHQU Deviation = 3.51ppm
Search WEB for skeleton |
|
![]()
|
|
|
Structure Proposal # 2292 ASUKINOCSRSSFC Deviation = 3.51ppm
Search WEB for skeleton |
|
![]()
|
|
|
Structure Proposal # 2293 ZIESPBXUJVSMIA Deviation = 3.51ppm
Search WEB for skeleton respect to your proposal |
|
![]()
|
|
|
Structure Proposal # 2294 ZWKGOGSDTRIXTD Deviation = 3.51ppm
Search WEB for skeleton |
|
![]()
|
|
|
Structure Proposal # 2295 ZCHKTLHQEHOTBB Deviation = 3.51ppm
Search WEB for skeleton |
|
![]()
|
|
|
Structure Proposal # 2296 YJUUJAHAZCCEFN Deviation = 3.51ppm
Search WEB for skeleton |
|
![]()
|
|
|
Structure Proposal # 2297 GMBIAABMTLJIMJ Deviation = 3.51ppm
Search WEB for skeleton |
|
![]()
|
|
|
Structure Proposal # 2298 NABARNGCHDMRRL Deviation = 3.51ppm
Search WEB for skeleton respect to your proposal |
|
![]()
|
|
|
Structure Proposal # 2299 FOAUAXWNMCTGBW Deviation = 3.51ppm
Search WEB for skeleton |
|
![]()
|
|
|
Structure Proposal # 2300 BNOJVHKHTJQQKS Deviation = 3.51ppm
Search WEB for skeleton |
|
![]()
|
|
|
Structure Proposal # 2301 AIUYYGPWZHHPKF Deviation = 3.51ppm
Search WEB for skeleton respect to your proposal |
|
![]()
|
|
|
Structure Proposal # 2302 AEWAOWSUHUSCHB Deviation = 3.51ppm
Search WEB for skeleton |
|
![]()
|
|
|
Structure Proposal # 2303 SUJKEXDETFERBU Deviation = 3.51ppm
Search WEB for skeleton |
|
![]()
|
|
|
Structure Proposal # 2304 WQMKBUPTGYIDHQ Deviation = 3.51ppm
Search WEB for skeleton |
|
![]()
|
|
|
Structure Proposal # 2305 HGHHAWZXMGLOKY Deviation = 3.51ppm
Search WEB for skeleton |
|
![]()
|
|
|
Structure Proposal # 2306 IWJNLSCIXOCMDC Deviation = 3.51ppm
Search WEB for skeleton respect to your proposal |
|
![]()
|
|
|
Structure Proposal # 2307 LTSHAJFWNXYWCM Deviation = 3.51ppm
Search WEB for skeleton |
|
![]()
|
|
|
Structure Proposal # 2308 MWRHQCITOROIQP Deviation = 3.51ppm
Search WEB for skeleton |
|
![]()
|
|
|
Structure Proposal # 2309 GKZTZUABDGBPEG Deviation = 3.51ppm
Search WEB for skeleton |
|
![]()
|
|
|
Structure Proposal # 2310 UNAUCVPJWSHHCH Deviation = 3.51ppm
Search WEB for skeleton |
|
![]()
|
|
|
Structure Proposal # 2311 HBSZPWBCNQHNKF Deviation = 3.51ppm
Search WEB for skeleton |
|
![]()
|
|
|
Structure Proposal # 2312 LJEZKEDRAKLVDR Deviation = 3.51ppm
Search WEB for skeleton |
|
![]()
|
|
|
Structure Proposal # 2313 SCXRLRWZDPDDLZ Deviation = 3.51ppm
Search WEB for skeleton |
|
![]()
|
|
|
Structure Proposal # 2314 FCGTTYJZSIVZLB Deviation = 3.51ppm
Search WEB for skeleton |
|
![]()
|
|
|
Structure Proposal # 2315 UQHQTDDWUBDSTA Deviation = 3.51ppm
Search WEB for skeleton |
|
![]()
|
|
|
Structure Proposal # 2316 PJMSFTPPTOWEHL Deviation = 3.51ppm
Search WEB for skeleton |
|
![]()
|
|
|
Structure Proposal # 2317 DWSJDLKANTUPTH Deviation = 3.51ppm
Search WEB for skeleton |
|
![]()
|
|
|
Structure Proposal # 2318 BCWJWQJUFOAERS Deviation = 3.52ppm
Search WEB for skeleton |
|
![]()
|
|
|
Structure Proposal # 2319 HJEYGUVNHKSOFM Deviation = 3.52ppm
Search WEB for skeleton |
|
![]()
|
|
|
Structure Proposal # 2320 MLTIJJSSAIZHIL Deviation = 3.52ppm
Search WEB for skeleton |
|
![]()
|
|
|
Structure Proposal # 2321 LNGVUDOXYXMRLI Deviation = 3.52ppm
Search WEB for skeleton |
|
![]()
|
|
|
Structure Proposal # 2322 LUVQPMTZGMBENH Deviation = 3.52ppm
Search WEB for skeleton |
|
![]()
|
|
|
Structure Proposal # 2323 DPFXLVCUTINIJJ Deviation = 3.52ppm
Search WEB for skeleton |
|
![]()
|
|
|
Structure Proposal # 2324 SHZDGPAIHWVVEW Deviation = 3.52ppm
Search WEB for skeleton |
|
![]()
|
|
|
Structure Proposal # 2325 PCJLSFZTARBSSO Deviation = 3.52ppm
Search WEB for skeleton |
|
![]()
|
|
|
Structure Proposal # 2326 PCCCPEHFPNYILE Deviation = 3.52ppm
Search WEB for skeleton |
|
![]()
|
|
|
Structure Proposal # 2327 CDUHXUKELHCSFT Deviation = 3.52ppm
Search WEB for skeleton |
|
![]()
|
|
|
Structure Proposal # 2328 JRWJRIGQVIXEJX Deviation = 3.52ppm
Search WEB for skeleton |
|
![]()
|
|
|
Structure Proposal # 2329 WVLRHKQKCVZZHD Deviation = 3.52ppm
Search WEB for skeleton |
|
![]()
|
|
|
Structure Proposal # 2330 VTWHGQCHGHUEFG Deviation = 3.52ppm
Search WEB for skeleton |
|
![]()
|
|
|
Structure Proposal # 2331 KJNKIFSKOJLMHE Deviation = 3.52ppm
Search WEB for skeleton |
|
![]()
|
|
|
Structure Proposal # 2332 DDMCMRRKHIVFHL Deviation = 3.52ppm
Search WEB for skeleton |
|
![]()
|
|
|
Structure Proposal # 2333 VETOUZCPHZPNMT Deviation = 3.52ppm
Search WEB for skeleton |
|
![]()
|
|
|
Structure Proposal # 2334 GBMQVTFTTCAJBQ Deviation = 3.52ppm
Search WEB for skeleton |
|
![]()
|
|
|
Structure Proposal # 2335 RBNUXRXPBCJNKS Deviation = 3.52ppm
Search WEB for skeleton |
|
![]()
|
|
|
Structure Proposal # 2336 XJYCOMJSMHYKFD Deviation = 3.52ppm
Search WEB for skeleton |
|
![]()
|
|
|
Structure Proposal # 2337 WTXJEBSFLYGWMA Deviation = 3.52ppm
Search WEB for skeleton |
|
![]()
|
|
|
Structure Proposal # 2338 SEGDBOMISBYIHG Deviation = 3.52ppm
Search WEB for skeleton |
|
![]()
|
|
|
Structure Proposal # 2339 ODOBFOPTQFTCOW Deviation = 3.52ppm
Search WEB for skeleton |
|
![]()
|
|
|
Structure Proposal # 2340 NQSVIOHJPXSCTG Deviation = 3.52ppm
Search WEB for skeleton |
|
![]()
|
|
|
Structure Proposal # 2341 BQOGMGFDXHOONB Deviation = 3.52ppm
Search WEB for skeleton |
|
![]()
|
|
|
Structure Proposal # 2342 BMEFHUDSYUWTCK Deviation = 3.52ppm
Search WEB for skeleton |
|
![]()
|
|
|
Structure Proposal # 2343 XZNOQFBFRXPJBN Deviation = 3.52ppm
Search WEB for skeleton |
|
![]()
|
|
|
Structure Proposal # 2344 QROBZNISMNLCOU Deviation = 3.52ppm
Search WEB for skeleton |
|
![]()
|
|
|
Structure Proposal # 2345 FCXXWKFNISXEIQ Deviation = 3.52ppm
Search WEB for skeleton |
|
![]()
|
|
|
Structure Proposal # 2346 FYPHJOKXQLSASM Deviation = 3.52ppm
Search WEB for skeleton |
|
![]()
|
|
|
Structure Proposal # 2347 UKNCNLWKFHXVQX Deviation = 3.52ppm
Search WEB for skeleton |
|
![]()
|
|
|
Structure Proposal # 2348 BIIPOUHSCHKQIU Deviation = 3.52ppm
Search WEB for skeleton |
|
![]()
|
|
|
Structure Proposal # 2349 YKWGHLJHQALGJM Deviation = 3.52ppm
Search WEB for skeleton |
|
![]()
|
|
|
Structure Proposal # 2350 LCCLUFPLZSCQKE Deviation = 3.52ppm
Search WEB for skeleton |
|
![]()
|
|
|
Structure Proposal # 2351 QRVFLZQUSHYVJW Deviation = 3.52ppm
Search WEB for skeleton respect to your proposal |
|
![]()
|
|
|
Structure Proposal # 2352 PGYBVACUGSGYBN Deviation = 3.52ppm
Search WEB for skeleton |
|
![]()
|
|
|
Structure Proposal # 2353 RRWDTCGZSDWCNO Deviation = 3.52ppm
Search WEB for skeleton |
|
![]()
|
|
|
Structure Proposal # 2354 NDHBQNNUKLSIOG Deviation = 3.52ppm
Search WEB for skeleton |
|
![]()
|
|
|
Structure Proposal # 2355 FZZTZDPEJBOZLW Deviation = 3.53ppm
Search WEB for skeleton |
|
![]()
|
|
|
Structure Proposal # 2356 GUTQPEVZVZCJSM Deviation = 3.53ppm
Search WEB for skeleton |
|
![]()
|
|
|
Structure Proposal # 2357 GGDZPFIDGQCJBZ Deviation = 3.53ppm
Search WEB for skeleton respect to your proposal |
|
![]()
|
|
|
Structure Proposal # 2358 RTJKATNIKMQQGE Deviation = 3.53ppm
Search WEB for skeleton |
|
![]()
|
|
|
Structure Proposal # 2359 HCWWEEGCIBCHSZ Deviation = 3.53ppm
Search WEB for skeleton |
|
![]()
|
|
|
Structure Proposal # 2360 YBZIEMMZTWXERR Deviation = 3.53ppm
Search WEB for skeleton |
|
![]()
|
|
|
Structure Proposal # 2361 XZSNDTVBDTTZIO Deviation = 3.53ppm
Search WEB for skeleton |
|
![]()
|
|
|
Structure Proposal # 2362 IFSROVBCFFRLOK Deviation = 3.53ppm
Search WEB for skeleton |
|
![]()
|
|
|
Structure Proposal # 2363 DFKCAKMBRRQEAJ Deviation = 3.53ppm
Search WEB for skeleton |
|
![]()
|
|
|
Structure Proposal # 2364 AFYDDUGIPLWVAJ Deviation = 3.53ppm
Search WEB for skeleton |
|
![]()
|
|
|
Structure Proposal # 2365 LVFAUXABHQJDSO Deviation = 3.53ppm
Search WEB for skeleton |
|
![]()
|
|
|
Structure Proposal # 2366 ZEAXRIMOTMODNS Deviation = 3.53ppm
Search WEB for skeleton |
|
![]()
|
|
|
Structure Proposal # 2367 MSAIOEOHMJTEMF Deviation = 3.53ppm
Search WEB for skeleton |
|
![]()
|
|
|
Structure Proposal # 2368 ZOLYHCLAPDPSSF Deviation = 3.53ppm
Search WEB for skeleton |
|
![]()
|
|
|
Structure Proposal # 2369 BNZWFUBVELRZJJ Deviation = 3.53ppm
Search WEB for skeleton |
|
![]()
|
|
|
Structure Proposal # 2370 TWRROOXNIUDTKH Deviation = 3.53ppm
Search WEB for skeleton |
|
![]()
|
|
|
Structure Proposal # 2371 KFOAXRNLXALHJL Deviation = 3.53ppm
Search WEB for skeleton respect to your proposal |
|
![]()
|
|
|
Structure Proposal # 2372 UYJXZBGRGSZMJB Deviation = 3.53ppm
Search WEB for skeleton |
|
![]()
|
|
|
Structure Proposal # 2373 DCERYTAWUQNPFA Deviation = 3.53ppm
Search WEB for skeleton |
|
![]()
|
|
|
Structure Proposal # 2374 YMHTUFTZSTUXGD Deviation = 3.53ppm
Search WEB for skeleton |
|
![]()
|
|
|
Structure Proposal # 2375 XJEGZPARZWDRHC Deviation = 3.53ppm
Search WEB for skeleton |
|
![]()
|
|
|
Structure Proposal # 2376 NFVBHPDFROEGQS Deviation = 3.53ppm
Search WEB for skeleton |
|
![]()
|
|
|
Structure Proposal # 2377 FKORMNVNFLKXDV Deviation = 3.53ppm
Search WEB for skeleton |
|
![]()
|
|
|
Structure Proposal # 2378 CWQWAWMUNUTIRK Deviation = 3.53ppm
Search WEB for skeleton |
|
![]()
|
|
|
Structure Proposal # 2379 VJEHBASFZLPXRB Deviation = 3.53ppm
Search WEB for skeleton |
|
![]()
|
|
|
Structure Proposal # 2380 VALSSJNUADHRNR Deviation = 3.53ppm
Search WEB for skeleton |
|
![]()
|
|
|
Structure Proposal # 2381 GWAXXJXWZHTAEK Deviation = 3.53ppm
Search WEB for skeleton |
|
![]()
|
|
|
Structure Proposal # 2382 NHSOWFZMBKUADY Deviation = 3.53ppm
Search WEB for skeleton |
|
![]()
|
|
|
Structure Proposal # 2383 FKNNDXCCJTUEQS Deviation = 3.53ppm
Search WEB for skeleton respect to your proposal |
|
![]()
|
|
|
Structure Proposal # 2384 HPYKJJHSIQMHIH Deviation = 3.53ppm
Search WEB for skeleton |
|
![]()
|
|
|
Structure Proposal # 2385 JCBLHBQWNSGIJV Deviation = 3.53ppm
Search WEB for skeleton |
|
![]()
|
|
|
Structure Proposal # 2386 KBXXRISKUBLSOI Deviation = 3.54ppm
Search WEB for skeleton |
|
![]()
|
|
|
Structure Proposal # 2387 VOPJCNCCPRMOPR Deviation = 3.54ppm
Search WEB for skeleton |
|
![]()
|
|
|
Structure Proposal # 2388 RGSBJMOHOBHZOW Deviation = 3.54ppm
Search WEB for skeleton |
|
![]()
|
|
|
Structure Proposal # 2389 LWXRJWGGHZQSTI Deviation = 3.54ppm
Search WEB for skeleton |
|
![]()
|
|
|
Structure Proposal # 2390 MMCOXZGNGILJNJ Deviation = 3.54ppm
Search WEB for skeleton |
|
![]()
|
|
|
Structure Proposal # 2391 LUKXDJXXZFFYRJ Deviation = 3.54ppm
Search WEB for skeleton |
|
![]()
|
|
|
Structure Proposal # 2392 IHBUSCBGMVXQIW Deviation = 3.54ppm
Search WEB for skeleton |
|
![]()
|
|
|
Structure Proposal # 2393 OEPIZXJHNFAMLC Deviation = 3.54ppm
Search WEB for skeleton |
|
![]()
|
|
|
Structure Proposal # 2394 QNHCOECGRLFOJR Deviation = 3.54ppm
Search WEB for skeleton respect to your proposal |
|
![]()
|
|
|
Structure Proposal # 2395 ISHVNBCEZWMQCJ Deviation = 3.54ppm
Search WEB for skeleton |
|
![]()
|
|
|
Structure Proposal # 2396 NSVVJUGBGRBWFZ Deviation = 3.54ppm
Search WEB for skeleton |
|
![]()
|
|
|
Structure Proposal # 2397 KEGRLKMTUPLMRA Deviation = 3.54ppm
Search WEB for skeleton respect to your proposal |
|
![]()
|
|
|
Structure Proposal # 2398 WJGQTWIEMZVRFO Deviation = 3.54ppm
Search WEB for skeleton |
|
![]()
|
|
|
Structure Proposal # 2399 JNFVNFZEMUOVIM Deviation = 3.54ppm
Search WEB for skeleton |
|
![]()
|
|
|
Structure Proposal # 2400 BDSLENNCRUOLQC Deviation = 3.54ppm
Search WEB for skeleton |
|
![]()
|
|
|
Structure Proposal # 2401 PYWKBEYRXJQTMH Deviation = 3.54ppm
Search WEB for skeleton |
|
![]()
|
|
|
Structure Proposal # 2402 HBDFVZVLQJLKEQ Deviation = 3.54ppm
Search WEB for skeleton respect to your proposal |
|
![]()
|
|
|
Structure Proposal # 2403 LZKITPAKFNSQAM Deviation = 3.54ppm
Search WEB for skeleton |
|
![]()
|
|
|
Structure Proposal # 2404 FFJZJFLXIXMZJS Deviation = 3.54ppm
Search WEB for skeleton |
|
![]()
|
|
|
Structure Proposal # 2405 RROGIQLKLHQTOM Deviation = 3.54ppm
Search WEB for skeleton |
|
![]()
|
|
|
Structure Proposal # 2406 HOZZTKWSLBMZOD Deviation = 3.54ppm
Search WEB for skeleton |
|
![]()
|
|
|
Structure Proposal # 2407 LQVZJJPQMIWROG Deviation = 3.54ppm
Search WEB for skeleton |
|
![]()
|
|
|
Structure Proposal # 2408 QDPDTDMRKIEFDS Deviation = 3.54ppm
Search WEB for skeleton |
|
![]()
|
|
|
Structure Proposal # 2409 SPDUBXBIOMHBCC Deviation = 3.54ppm
Search WEB for skeleton |
|
![]()
|
|
|
Structure Proposal # 2410 AQVZYEJZSIXSEW Deviation = 3.54ppm
Search WEB for skeleton |
|
![]()
|
|
|
Structure Proposal # 2411 PXZNQJCFHQDOJC Deviation = 3.54ppm
Search WEB for skeleton |
|
![]()
|
|
|
Structure Proposal # 2412 AXPBEOTUMPICGI Deviation = 3.54ppm
Search WEB for skeleton |
|
![]()
|
|
|
Structure Proposal # 2413 GVDIERGIOIEINL Deviation = 3.54ppm
Search WEB for skeleton |
|
![]()
|
|
|
Structure Proposal # 2414 PYBIZWZWQAPNSI Deviation = 3.54ppm
Search WEB for skeleton |
|
![]()
|
|
|
Structure Proposal # 2415 SZHWPZOBFQSXOE Deviation = 3.54ppm
Search WEB for skeleton |
|
![]()
|
|
|
Structure Proposal # 2416 CKUSBXZATGVDHL Deviation = 3.54ppm
Search WEB for skeleton |
|
![]()
|
|
|
Structure Proposal # 2417 RRVVUXFEBRITTC Deviation = 3.54ppm
Search WEB for skeleton |
|
![]()
|
|
|
Structure Proposal # 2418 PPXUORXSYMYUJG Deviation = 3.54ppm
Search WEB for skeleton |
|
![]()
|
|
|
Structure Proposal # 2419 KLTOJSQSRQAOID Deviation = 3.54ppm
Search WEB for skeleton |
|
![]()
|
|
|
Structure Proposal # 2420 UUJJLWWUNJRUAS Deviation = 3.54ppm
Search WEB for skeleton |
|
![]()
|
|
|
Structure Proposal # 2421 QLSPUWIANDUHRT Deviation = 3.54ppm
Search WEB for skeleton |
|
![]()
|
|
|
Structure Proposal # 2422 XVMKPNNFKXDUMU Deviation = 3.54ppm
Search WEB for skeleton |
|
![]()
|
|
|
Structure Proposal # 2423 NKLUEDMNCVNNSM Deviation = 3.54ppm
Search WEB for skeleton respect to your proposal |
|
![]()
|
|
|
Structure Proposal # 2424 GFJUDMGRJLYJCJ Deviation = 3.54ppm
Search WEB for skeleton |
|
![]()
|
|
|
Structure Proposal # 2425 UQMRTPQHQSTLRZ Deviation = 3.54ppm
Search WEB for skeleton |
|
![]()
|
|
|
Structure Proposal # 2426 OAMSKSFRKMDYSE Deviation = 3.55ppm
Search WEB for skeleton |
|
![]()
|
|
|
Structure Proposal # 2427 KHWFCKDAIZJMPP Deviation = 3.55ppm
Search WEB for skeleton |
|
![]()
|
|
|
Structure Proposal # 2428 GUUYPCQHAGVWSG Deviation = 3.55ppm
Search WEB for skeleton |
|
![]()
|
|
|
Structure Proposal # 2429 JMPDJTYNAWDRHO Deviation = 3.55ppm
Search WEB for skeleton |
|
![]()
|
|
|
Structure Proposal # 2430 ZNBIJXUDRKIMRX Deviation = 3.55ppm
Search WEB for skeleton respect to your proposal |
|
![]()
|
|
|
Structure Proposal # 2431 OUHGCRNBHUPSOJ Deviation = 3.55ppm
Search WEB for skeleton |
|
![]()
|
|
|
Structure Proposal # 2432 LNFIFANDRASUKK Deviation = 3.55ppm
Search WEB for skeleton |
|
![]()
|
|
|
Structure Proposal # 2433 QSENGSZYPIHYNK Deviation = 3.55ppm
Search WEB for skeleton |
|
![]()
|
|
|
Structure Proposal # 2434 RFSKSQBBGWWDPG Deviation = 3.55ppm
Search WEB for skeleton |
|
![]()
|
|
|
Structure Proposal # 2435 UPRLHKBBVJGPJV Deviation = 3.55ppm
Search WEB for skeleton |
|
![]()
|
|
|
Structure Proposal # 2436 XSNGDFDMYOBUAN Deviation = 3.55ppm
Search WEB for skeleton |
|
![]()
|
|
|
Structure Proposal # 2437 UTWDAXFKCIMZLW Deviation = 3.55ppm
Search WEB for skeleton |
|
![]()
|
|
|
Structure Proposal # 2438 KCRNVCDYBRGOGI Deviation = 3.55ppm
Search WEB for skeleton |
|
![]()
|
|
|
Structure Proposal # 2439 ZMPQTNMQXBZYMW Deviation = 3.55ppm
Search WEB for skeleton |
|
![]()
|
|
|
Structure Proposal # 2440 QPAOQASALLVXRF Deviation = 3.55ppm
Search WEB for skeleton |
|
![]()
|
|
|
Structure Proposal # 2441 OZHJBOKEUGZDRZ Deviation = 3.55ppm
Search WEB for skeleton |
|
![]()
|
|
|
Structure Proposal # 2442 FUTHOUFBLAFBST Deviation = 3.55ppm
Search WEB for skeleton |
|
![]()
|
|
|
Structure Proposal # 2443 BPFKUWMPHVHGBZ Deviation = 3.55ppm
Search WEB for skeleton |
|
![]()
|
|
|
Structure Proposal # 2444 ASIRTISGNQBINO Deviation = 3.55ppm
Search WEB for skeleton respect to your proposal |
|
![]()
|
|
|
Structure Proposal # 2445 KDDJISGQRQAHAQ Deviation = 3.55ppm
Search WEB for skeleton |
|
![]()
|
|
|
Structure Proposal # 2446 VQCUVGGICJODMU Deviation = 3.55ppm
Search WEB for skeleton |
|
![]()
|
|
|
Structure Proposal # 2447 ZNKQGEYOFGKRKB Deviation = 3.55ppm
Search WEB for skeleton |
|
![]()
|
|
|
Structure Proposal # 2448 OUHLVGOUYVAOGP Deviation = 3.55ppm
Search WEB for skeleton respect to your proposal |
|
![]()
|
|
|
Structure Proposal # 2449 FLOYMCUVKIMOAO Deviation = 3.55ppm
Search WEB for skeleton |
|
![]()
|
|
|
Structure Proposal # 2450 HCEWBNHXNFDYSL Deviation = 3.55ppm
Search WEB for skeleton |
|
![]()
|
|
|
Structure Proposal # 2451 SNMHKZMNADJZBS Deviation = 3.55ppm
Search WEB for skeleton |
|
![]()
|
|
|
Structure Proposal # 2452 WFYLDYHVOZHBOX Deviation = 3.55ppm
Search WEB for skeleton |
|
![]()
|
|
|
Structure Proposal # 2453 SDFJHKDOWIKPDG Deviation = 3.55ppm
Search WEB for skeleton |
|
![]()
|
|
|
Structure Proposal # 2454 YDLIUJLLJYQFPP Deviation = 3.55ppm
Search WEB for skeleton |
|
![]()
|
|
|
Structure Proposal # 2455 BULAWDMEHRQACX Deviation = 3.55ppm
Search WEB for skeleton respect to your proposal |
|
![]()
|
|
|
Structure Proposal # 2456 SYXGPYGMNLULMA Deviation = 3.55ppm
Search WEB for skeleton |
|
![]()
|
|
|
Structure Proposal # 2457 CLOACDDGZSBHPF Deviation = 3.55ppm
Search WEB for skeleton |
|
![]()
|
|
|
Structure Proposal # 2458 BJQBJAIGEDACCV Deviation = 3.56ppm
Search WEB for skeleton |
|
![]()
|
|
|
Structure Proposal # 2459 UUJXYFHTGUHQJT Deviation = 3.56ppm
Search WEB for skeleton |
|
![]()
|
|
|
Structure Proposal # 2460 PAIOQTLAGDJFRI Deviation = 3.56ppm
Search WEB for skeleton |
|
![]()
|
|
|
Structure Proposal # 2461 NNKJDQFQQTZACD Deviation = 3.56ppm
Search WEB for skeleton |
|
![]()
|
|
|
Structure Proposal # 2462 AYYAGVWNWLZEGT Deviation = 3.56ppm
Search WEB for skeleton |
|
![]()
|
|
|
Structure Proposal # 2463 NFSRCGISFUYZFI Deviation = 3.56ppm
Search WEB for skeleton |
|
![]()
|
|
|
Structure Proposal # 2464 GGZWKHNBMWOMCG Deviation = 3.56ppm
Search WEB for skeleton respect to your proposal |
|
![]()
|
|
|
Structure Proposal # 2465 ROXKVKTVQCDRTL Deviation = 3.56ppm
Search WEB for skeleton respect to your proposal |
|
![]()
|
|
|
Structure Proposal # 2466 QBQCZNXZJMMYSM Deviation = 3.56ppm
Search WEB for skeleton |
|
![]()
|
|
|
Structure Proposal # 2467 VDKSIPWHYNWFAP Deviation = 3.56ppm
Search WEB for skeleton |
|
![]()
|
|
|
Structure Proposal # 2468 QPVBLDAPUUFVIL Deviation = 3.56ppm
Search WEB for skeleton |
|
![]()
|
|
|
Structure Proposal # 2469 YIMWHHHOFDQIML Deviation = 3.56ppm
Search WEB for skeleton |
|
![]()
|
|
|
Structure Proposal # 2470 QPMCDHUGIIGEGE Deviation = 3.56ppm
Search WEB for skeleton |
|
![]()
|
|
|
Structure Proposal # 2471 JEDGWBAVJIEIQD Deviation = 3.56ppm
Search WEB for skeleton |
|
![]()
|
|
|
Structure Proposal # 2472 VRAFMXWIGAEOOO Deviation = 3.56ppm
Search WEB for skeleton |
|
![]()
|
|
|
Structure Proposal # 2473 UMMDFIRDLNOASX Deviation = 3.56ppm
Search WEB for skeleton |
|
![]()
|
|
|
Structure Proposal # 2474 JBURUBKAXRIMMF Deviation = 3.56ppm
Search WEB for skeleton |
|
![]()
|
|
|
Structure Proposal # 2475 ZFBGEOSFXOFXDV Deviation = 3.56ppm
Search WEB for skeleton |
|
![]()
|
|
|
Structure Proposal # 2476 MHBFVZJYSTZWNS Deviation = 3.56ppm
Search WEB for skeleton |
|
![]()
|
|
|
Structure Proposal # 2477 CPLCYZPTZCEXSY Deviation = 3.56ppm
Search WEB for skeleton |
|
![]()
|
|
|
Structure Proposal # 2478 DLCUVKZRGYEPAB Deviation = 3.56ppm
Search WEB for skeleton |
|
![]()
|
|
|
Structure Proposal # 2479 KOLHTNITWHIHNS Deviation = 3.56ppm
Search WEB for skeleton respect to your proposal |
|
![]()
|
|
|
Structure Proposal # 2480 UCUYSFDUPCWISI Deviation = 3.56ppm
Search WEB for skeleton |
|
![]()
|
|
|
Structure Proposal # 2481 CYVLGJFKFKUXPA Deviation = 3.56ppm
Search WEB for skeleton |
|
![]()
|
|
|
Structure Proposal # 2482 NJLQDPXRJMBVQR Deviation = 3.56ppm
Search WEB for skeleton |
|
![]()
|
|
|
Structure Proposal # 2483 OLFOANXQUDOLIQ Deviation = 3.56ppm
Search WEB for skeleton |
|
![]()
|
|
|
Structure Proposal # 2484 FAEGBDWDJBJUFP Deviation = 3.56ppm
Search WEB for skeleton |
|
![]()
|
|
|
Structure Proposal # 2485 XUOYOIGBPMVHFV Deviation = 3.56ppm
Search WEB for skeleton |
|
![]()
|
|
|
Structure Proposal # 2486 MJSNWBQXUGAOGI Deviation = 3.56ppm
Search WEB for skeleton |
|
![]()
|
|
|
Structure Proposal # 2487 ZUGLENRIANJHLK Deviation = 3.56ppm
Search WEB for skeleton |
|
![]()
|
|
|
Structure Proposal # 2488 QRWFEUBJSLLIMB Deviation = 3.56ppm
Search WEB for skeleton |
|
![]()
|
|
|
Structure Proposal # 2489 DKRNCUNMUNGQSC Deviation = 3.56ppm
Search WEB for skeleton |
|
![]()
|
|
|
Structure Proposal # 2490 DKOIXPRHJONQCX Deviation = 3.56ppm
Search WEB for skeleton |
|
![]()
|
|
|
Structure Proposal # 2491 LBIBZANNFULGQP Deviation = 3.56ppm
Search WEB for skeleton |
|
![]()
|
|
|
Structure Proposal # 2492 YKBLGYOBHRXIMU Deviation = 3.56ppm
Search WEB for skeleton |
|
![]()
|
|
|
Structure Proposal # 2493 IGAQVYVAORASND Deviation = 3.56ppm
Search WEB for skeleton |
|
![]()
|
|
|
Structure Proposal # 2494 PWBCKAHRYBNJHW Deviation = 3.56ppm
Search WEB for skeleton |
|
![]()
|
|
|
Structure Proposal # 2495 UZBKFTUOBFSSPT Deviation = 3.56ppm
Search WEB for skeleton |
|
![]()
|
|
|
Structure Proposal # 2496 VYDJYKXYLILKSO Deviation = 3.56ppm
Search WEB for skeleton |
|
![]()
|
|
|
Structure Proposal # 2497 OJCYEWKRKVTMIX Deviation = 3.56ppm
Search WEB for skeleton |
|
![]()
|
|
|
Structure Proposal # 2498 YSQRFPNTEOMASI Deviation = 3.56ppm
Search WEB for skeleton respect to your proposal |
|
![]()
|
|
|
Structure Proposal # 2499 VFDYYMSQUZHHEO Deviation = 3.57ppm
Search WEB for skeleton |
|
![]()
|
|
|
Structure Proposal # 2500 YVXJADFFCOZWRZ Deviation = 3.57ppm
Search WEB for skeleton |
|
![]()
|
|
|
Structure Proposal # 2501 RKWYPBGRKXTLBY Deviation = 3.57ppm
Search WEB for skeleton |
|
![]()
|
|
|
Structure Proposal # 2502 MCEXZFUDVMZXCH Deviation = 3.57ppm
Search WEB for skeleton |
|
![]()
|
|
|
Structure Proposal # 2503 QIJSKZBBMMGOFB Deviation = 3.57ppm
Search WEB for skeleton |
|
![]()
|
|
|
Structure Proposal # 2504 HWUNLPKULBLNIP Deviation = 3.57ppm
Search WEB for skeleton |
|
![]()
|
|
|
Structure Proposal # 2505 RVXBZVNXHWXAQN Deviation = 3.57ppm
Search WEB for skeleton |
|
![]()
|
|
|
Structure Proposal # 2506 UBJOSVVHYXRIHO Deviation = 3.57ppm
Search WEB for skeleton |
|
![]()
|
|
|
Structure Proposal # 2507 YNKDLDSXVLDUKL Deviation = 3.57ppm
Search WEB for skeleton |
|
![]()
|
|
|
Structure Proposal # 2508 NQYSHEMNPANCAC Deviation = 3.57ppm
Search WEB for skeleton |
|
![]()
|
|
|
Structure Proposal # 2509 PMOYDLGIWYCOEJ Deviation = 3.57ppm
Search WEB for skeleton |
|
![]()
|
|
|
Structure Proposal # 2510 KVVOGSRGBMBANC Deviation = 3.57ppm
Search WEB for skeleton |
|
![]()
|
|
|
Structure Proposal # 2511 RFFVQGIOLYOJKO Deviation = 3.57ppm
Search WEB for skeleton |
|
![]()
|
|
|
Structure Proposal # 2512 BIUGTJSKOQLAET Deviation = 3.57ppm
Search WEB for skeleton |
|
![]()
|
|
|
Structure Proposal # 2513 LDPSTXHHQSYZLN Deviation = 3.57ppm
Search WEB for skeleton |
|
![]()
|
|
|
Structure Proposal # 2514 LYEFMZNKDWUGSC Deviation = 3.57ppm
Search WEB for skeleton |
|
![]()
|
|
|
Structure Proposal # 2515 HYHUHPYVDNKHRC Deviation = 3.57ppm
Search WEB for skeleton |
|
![]()
|
|
|
Structure Proposal # 2516 JMTUJWRAQZONSN Deviation = 3.57ppm
Search WEB for skeleton |
|
![]()
|
|
|
Structure Proposal # 2517 XJXJQICJBIUMQV Deviation = 3.57ppm
Search WEB for skeleton |
|
![]()
|
|
|
Structure Proposal # 2518 DECANLOYSXYQKV Deviation = 3.57ppm
Search WEB for skeleton |
|
![]()
|
|
|
Structure Proposal # 2519 JGEDHZNBWNVKMA Deviation = 3.57ppm
Search WEB for skeleton |
|
![]()
|
|
|
Structure Proposal # 2520 ZACAOBQPUBDODD Deviation = 3.57ppm
Search WEB for skeleton |
|
![]()
|
|
|
Structure Proposal # 2521 BULDHHLJFAZBTC Deviation = 3.57ppm
Search WEB for skeleton |
|
![]()
|
|
|
Structure Proposal # 2522 ZPDZONRBSRCRDH Deviation = 3.57ppm
Search WEB for skeleton |
|
![]()
|
|
|
Structure Proposal # 2523 JNAFMTAQAGSJIU Deviation = 3.57ppm
Search WEB for skeleton |
|
![]()
|
|
|
Structure Proposal # 2524 QRIPJBZLPHANCE Deviation = 3.57ppm
Search WEB for skeleton |
|
![]()
|
|
|
Structure Proposal # 2525 TVYYCFHJDCNNAR Deviation = 3.57ppm
Search WEB for skeleton |
|
![]()
|
|
|
Structure Proposal # 2526 XYQJVKMSFSWMKH Deviation = 3.57ppm
Search WEB for skeleton |
|
![]()
|
|
|
Structure Proposal # 2527 ORUCCPUMZHIWAA Deviation = 3.57ppm
Search WEB for skeleton |
|
![]()
|
|
|
Structure Proposal # 2528 AEVKTDWMCKFRMB Deviation = 3.57ppm
Search WEB for skeleton |
|
![]()
|
|
|
Structure Proposal # 2529 ZJJFKYNTSCSUDU Deviation = 3.57ppm
Search WEB for skeleton respect to your proposal |
|
![]()
|
|
|
Structure Proposal # 2530 MIGJWUWIUQFYNF Deviation = 3.57ppm
Search WEB for skeleton |
|
![]()
|
|
|
Structure Proposal # 2531 LISLXIVGEAJABS Deviation = 3.57ppm
Search WEB for skeleton |
|
![]()
|
|
|
Structure Proposal # 2532 OKMLHFSMDPYJPH Deviation = 3.57ppm
Search WEB for skeleton |
|
![]()
|
|
|
Structure Proposal # 2533 VWSYQHYJELTECM Deviation = 3.57ppm
Search WEB for skeleton |
|
![]()
|
|
|
Structure Proposal # 2534 SWMYHEMKGCKCPD Deviation = 3.57ppm
Search WEB for skeleton |
|
![]()
|
|
|
Structure Proposal # 2535 XOSJMUOCKAXVMA Deviation = 3.57ppm
Search WEB for skeleton |
|
![]()
|
|
|
Structure Proposal # 2536 JCXVZWILYWNYBX Deviation = 3.57ppm
Search WEB for skeleton |
|
![]()
|
|
|
Structure Proposal # 2537 MHWZLOMVUWDABE Deviation = 3.57ppm
Search WEB for skeleton respect to your proposal |
|
![]()
|
|
|
Structure Proposal # 2538 USLKJLYIOAZLHE Deviation = 3.57ppm
Search WEB for skeleton |
|
![]()
|
|
|
Structure Proposal # 2539 LGGJYRNEBJZOJR Deviation = 3.57ppm
Search WEB for skeleton |
|
![]()
|
|
|
Structure Proposal # 2540 OMEMVRMDTLMSTH Deviation = 3.57ppm
Search WEB for skeleton |
|
![]()
|
|
|
Structure Proposal # 2541 NWIAVFFXABJEBM Deviation = 3.57ppm
Search WEB for skeleton respect to your proposal |
|
![]()
|
|
|
Structure Proposal # 2542 GNTSJJGLSWFXGF Deviation = 3.58ppm
Search WEB for skeleton |
|
![]()
|
|
|
Structure Proposal # 2543 VDMWNTZOSBFGDA Deviation = 3.58ppm
Search WEB for skeleton |
|
![]()
|
|
|
Structure Proposal # 2544 WNPLZJORFAIZJS Deviation = 3.58ppm
Search WEB for skeleton |
|
![]()
|
|
|
Structure Proposal # 2545 MVJJPLWBFJJIHQ Deviation = 3.58ppm
Search WEB for skeleton |
|
![]()
|
|
|
Structure Proposal # 2546 PYQCKMHADGKTEC Deviation = 3.58ppm
Search WEB for skeleton |
|
![]()
|
|
|
Structure Proposal # 2547 QSYVVXMCDFAGKC Deviation = 3.58ppm
Search WEB for skeleton |
|
![]()
|
|
|
Structure Proposal # 2548 KYVZZCXUEMZCDY Deviation = 3.58ppm
Search WEB for skeleton |
|
![]()
|
|
|
Structure Proposal # 2549 VKYFXOBTUUTCHA Deviation = 3.58ppm
Search WEB for skeleton |
|
![]()
|
|
|
Structure Proposal # 2550 RQNJRNOGZRKFKS Deviation = 3.58ppm
Search WEB for skeleton |
|
![]()
|
|
|
Structure Proposal # 2551 MSPSWNXNZMIICV Deviation = 3.58ppm
Search WEB for skeleton |
|
![]()
|
|
|
Structure Proposal # 2552 ASVNZXYZKIQJAL Deviation = 3.58ppm
Search WEB for skeleton |
|
![]()
|
|
|
Structure Proposal # 2553 RKZLBHWBDSHJMJ Deviation = 3.58ppm
Search WEB for skeleton |
|
![]()
|
|
|
Structure Proposal # 2554 FOIWPFKUZSLGGJ Deviation = 3.58ppm
Search WEB for skeleton respect to your proposal |
|
![]()
|
|
|
Structure Proposal # 2555 RCEJPJVFEGGQRP Deviation = 3.58ppm
Search WEB for skeleton |
|
![]()
|
|
|
Structure Proposal # 2556 YINPBWJWUMCHHG Deviation = 3.58ppm
Search WEB for skeleton respect to your proposal |
|
![]()
|
|
|
Structure Proposal # 2557 CCOBAJKALARBOX Deviation = 3.58ppm
Search WEB for skeleton |
|
![]()
|
|
|
Structure Proposal # 2558 KLOSSGISXCDFCR Deviation = 3.58ppm
Search WEB for skeleton |
|
![]()
|
|
|
Structure Proposal # 2559 LBBYRIPKTLWWEV Deviation = 3.58ppm
Search WEB for skeleton |
|
![]()
|
|
|
Structure Proposal # 2560 GLMVZJJOFGOAAL Deviation = 3.58ppm
Search WEB for skeleton |
|
![]()
|
|
|
Structure Proposal # 2561 HJZFQBPCYQUXEK Deviation = 3.58ppm
Search WEB for skeleton |
|
![]()
|
|
|
Structure Proposal # 2562 VYGSVKZVBIDLCP Deviation = 3.58ppm
Search WEB for skeleton |
|
![]()
|
|
|
Structure Proposal # 2563 SDWDXDHQUOHSIE Deviation = 3.58ppm
Search WEB for skeleton |
|
![]()
|
|
|
Structure Proposal # 2564 UZGOVNHDGVWYKA Deviation = 3.58ppm
Search WEB for skeleton |
|
![]()
|
|
|
Structure Proposal # 2565 BJLKEISOQRVLJY Deviation = 3.58ppm
Search WEB for skeleton |
|
![]()
|
|
|
Structure Proposal # 2566 KEFYLQYYWCKTOR Deviation = 3.58ppm
Search WEB for skeleton |
|
![]()
|
|
|
Structure Proposal # 2567 IPSSEOUJMFDVMF Deviation = 3.58ppm
Search WEB for skeleton |
|
![]()
|
|
|
Structure Proposal # 2568 UCWDCCLZJUITRF Deviation = 3.58ppm
Search WEB for skeleton |
|
![]()
|
|
|
Structure Proposal # 2569 YAWCUPZOJWHZIV Deviation = 3.58ppm
Search WEB for skeleton |
|
![]()
|
|
|
Structure Proposal # 2570 BLZQSUKENLCMIW Deviation = 3.58ppm
Search WEB for skeleton |
|
![]()
|
|
|
Structure Proposal # 2571 GAABNEQPUXPTGZ Deviation = 3.58ppm
Search WEB for skeleton |
|
![]()
|
|
|
Structure Proposal # 2572 NWLQPHGJOXXHAR Deviation = 3.58ppm
Search WEB for skeleton |
|
![]()
|
|
|
Structure Proposal # 2573 RTKXFPAWSGNVBL Deviation = 3.58ppm
Search WEB for skeleton |
|
![]()
|
|
|
Structure Proposal # 2574 DTTSBTFUKKRMHU Deviation = 3.58ppm
Search WEB for skeleton |
|
![]()
|
|
|
Structure Proposal # 2575 NVWGXEIBPKNXBA Deviation = 3.58ppm
Search WEB for skeleton |
|
![]()
|
|
|
Structure Proposal # 2576 AIXWWFQAKGETRT Deviation = 3.58ppm
Search WEB for skeleton |
|
![]()
|
|
|
Structure Proposal # 2577 UDWVNSBOSIPZLI Deviation = 3.58ppm
Search WEB for skeleton |
|
![]()
|
|
|
Structure Proposal # 2578 UPCAYHWPAXXTJC Deviation = 3.58ppm
Search WEB for skeleton respect to your proposal |
|
![]()
|
|
|
Structure Proposal # 2579 CCFPPOQTDLNCJA Deviation = 3.58ppm
Search WEB for skeleton |
|
![]()
|
|
|
Structure Proposal # 2580 MKBRAJHFGPLNTG Deviation = 3.58ppm
Search WEB for skeleton respect to your proposal |
|
![]()
|
|
|
Structure Proposal # 2581 FUZYYOQFMNWOFS Deviation = 3.59ppm
Search WEB for skeleton |
|
![]()
|
|
|
Structure Proposal # 2582 RXUZUMSAGJWVEI Deviation = 3.59ppm
Search WEB for skeleton |
|
![]()
|
|
|
Structure Proposal # 2583 XCRHSIJLJJWSPQ Deviation = 3.59ppm
Search WEB for skeleton respect to your proposal |
|
![]()
|
|
|
Structure Proposal # 2584 KPMCCJLSKBKMPX Deviation = 3.59ppm
Search WEB for skeleton |
|
![]()
|
|
|
Structure Proposal # 2585 CGDBZLXLCIWTCP Deviation = 3.59ppm
Search WEB for skeleton |
|
![]()
|
|
|
Structure Proposal # 2586 LSBXOFSRMSHEEZ Deviation = 3.59ppm
Search WEB for skeleton respect to your proposal |
|
![]()
|
|
|
Structure Proposal # 2587 MHQAPLWCGODYRQ Deviation = 3.59ppm
Search WEB for skeleton |
|
![]()
|
|
|
Structure Proposal # 2588 CODZZMLJQYXMTB Deviation = 3.59ppm
Search WEB for skeleton |
|
![]()
|
|
|
Structure Proposal # 2589 HASNEEHKSPNBAZ Deviation = 3.59ppm
Search WEB for skeleton |
|
![]()
|
|
|
Structure Proposal # 2590 LMKZIELNJJKBFJ Deviation = 3.59ppm
Search WEB for skeleton |
|
![]()
|
|
|
Structure Proposal # 2591 REQVBVRWEKZIKX Deviation = 3.59ppm
Search WEB for skeleton |
|
![]()
|
|
|
Structure Proposal # 2592 JUAWEBFBXBEBCC Deviation = 3.59ppm
Search WEB for skeleton |
|
![]()
|
|
|
Structure Proposal # 2593 KSUWGFRPVDGKIL Deviation = 3.59ppm
Search WEB for skeleton |
|
![]()
|
|
|
Structure Proposal # 2594 LTAMGIAIUIIOLD Deviation = 3.59ppm
Search WEB for skeleton respect to your proposal |
|
![]()
|
|
|
Structure Proposal # 2595 QGKOUIGETBCOJI Deviation = 3.59ppm
Search WEB for skeleton |
|
![]()
|
|
|
Structure Proposal # 2596 YUYCORNURTUFSQ Deviation = 3.59ppm
Search WEB for skeleton |
|
![]()
|
|
|
Structure Proposal # 2597 XKWGIJDKFCVBPH Deviation = 3.59ppm
Search WEB for skeleton |
|
![]()
|
|
|
Structure Proposal # 2598 OIRYNQHDKAXRJL Deviation = 3.59ppm
Search WEB for skeleton |
|
![]()
|
|
|
Structure Proposal # 2599 UMCYAHAZBCBITQ Deviation = 3.59ppm
Search WEB for skeleton |
|
![]()
|
|
|
Structure Proposal # 2600 ZLBYLIJUTVKGOO Deviation = 3.59ppm
Search WEB for skeleton |
|
![]()
|
|
|
Structure Proposal # 2601 DFYJMEWGGNXUKP Deviation = 3.59ppm
Search WEB for skeleton |
|
![]()
|
|
|
Structure Proposal # 2602 BNUNPYNPTPCZAR Deviation = 3.59ppm
Search WEB for skeleton |
|
![]()
|
|
|
Structure Proposal # 2603 YHRPEQFBKUQPOC Deviation = 3.59ppm
Search WEB for skeleton |
|
![]()
|
|
|
Structure Proposal # 2604 WLUZUIILENRWIT Deviation = 3.59ppm
Search WEB for skeleton |
|
![]()
|
|
|
Structure Proposal # 2605 CRZHGDQOUXTZCE Deviation = 3.59ppm
Search WEB for skeleton |
|
![]()
|
|
|
Structure Proposal # 2606 MAALAEFEKVICPS Deviation = 3.59ppm
Search WEB for skeleton |
|
![]()
|
|
|
Structure Proposal # 2607 IMMBLVWJVDJNTG Deviation = 3.59ppm
Search WEB for skeleton |
|
![]()
|
|
|
Structure Proposal # 2608 VNSJLXITWQWYHR Deviation = 3.59ppm
Search WEB for skeleton |
|
![]()
|
|
|
Structure Proposal # 2609 VOTKMARVZAAJBS Deviation = 3.59ppm
Search WEB for skeleton |
|
![]()
|
|
|
Structure Proposal # 2610 ZPTBCNACVKSOTK Deviation = 3.59ppm
Search WEB for skeleton |
|
![]()
|
|
|
Structure Proposal # 2611 OEFDXNISULMKNT Deviation = 3.59ppm
Search WEB for skeleton |
|
![]()
|
|
|
Structure Proposal # 2612 XPDWIUXYPFGNPG Deviation = 3.59ppm
Search WEB for skeleton |
|
![]()
|
|
|
Structure Proposal # 2613 UWNCNIYQJSQWMY Deviation = 3.59ppm
Search WEB for skeleton |
|
![]()
|
|
|
Structure Proposal # 2614 JXRTXFAWHQXTSE Deviation = 3.59ppm
Search WEB for skeleton |
|
![]()
|
|
|
Structure Proposal # 2615 JAUFBNQWDXPQJD Deviation = 3.59ppm
Search WEB for skeleton |
|
![]()
|
|
|
Structure Proposal # 2616 AQOSFDGNCKYLIF Deviation = 3.59ppm
Search WEB for skeleton |
|
![]()
|
|
|
Structure Proposal # 2617 IAYMKXJJYYTQPS Deviation = 3.59ppm
Search WEB for skeleton |
|
![]()
|
|
|
Structure Proposal # 2618 VRYJSAQSVRLCQM Deviation = 3.59ppm
Search WEB for skeleton respect to your proposal |
|
![]()
|
|
|
Structure Proposal # 2619 PDNREYVPVORPKR Deviation = 3.59ppm
Search WEB for skeleton |
|
![]()
|
|
|
Structure Proposal # 2620 ZBTZWXAWEBLTBV Deviation = 3.59ppm
Search WEB for skeleton respect to your proposal |
|
![]()
|
|
|
Structure Proposal # 2621 IXOBPQOLMUETCJ Deviation = 3.59ppm
Search WEB for skeleton |
|
![]()
|
|
|
Structure Proposal # 2622 BGQREYVELQKSNJ Deviation = 3.59ppm
Search WEB for skeleton |
|
![]()
|
|
|
Structure Proposal # 2623 MCRMBLRCCMMVEZ Deviation = 3.59ppm
Search WEB for skeleton |
|
![]()
|
|
|
Structure Proposal # 2624 WQUARYQUUHLSMY Deviation = 3.59ppm
Search WEB for skeleton |
|
![]()
|
|
|
Structure Proposal # 2625 KXYJNMKFOROVCZ Deviation = 3.59ppm
Search WEB for skeleton |
|
![]()
|
|
|
Structure Proposal # 2626 CLBCCUPJQBWEAV Deviation = 3.59ppm
Search WEB for skeleton |
|
![]()
|
|
|
Structure Proposal # 2627 WMKIRUUPSDMUNG Deviation = 3.59ppm
Search WEB for skeleton |
|
![]()
|
|
|
Structure Proposal # 2628 ZJAYJXGPXKHPQQ Deviation = 3.59ppm
Search WEB for skeleton |
|
![]()
|
|
|
Structure Proposal # 2629 LKIMHSPDSQMRCH Deviation = 3.60ppm
Search WEB for skeleton |
|
![]()
|
|
|
Structure Proposal # 2630 VLGGHLBPVSJRSQ Deviation = 3.60ppm
Search WEB for skeleton |
|
![]()
|
|
|
Structure Proposal # 2631 CWGPPJWMBZDOMJ Deviation = 3.60ppm
Search WEB for skeleton |
|
![]()
|
|
|
Structure Proposal # 2632 VLDRPAVPIDQXOA Deviation = 3.60ppm
Search WEB for skeleton |
|
![]()
|
|
|
Structure Proposal # 2633 VBKPMKQCVCXAFT Deviation = 3.60ppm
Search WEB for skeleton |
|
![]()
|
|
|
Structure Proposal # 2634 FEMLWLIVHLOSHT Deviation = 3.60ppm
Search WEB for skeleton |
|
![]()
|
|
|
Structure Proposal # 2635 XKAVPDJTOIJZOU Deviation = 3.60ppm
Search WEB for skeleton respect to your proposal |
|
![]()
|
|
|
Structure Proposal # 2636 UJMIHNLNKHTZNJ Deviation = 3.60ppm
Search WEB for skeleton |
|
![]()
|
|
|
Structure Proposal # 2637 XGYQLLLDNKEVNX Deviation = 3.60ppm
Search WEB for skeleton |
|
![]()
|
|
|
Structure Proposal # 2638 CHNYNRPFRBYICX Deviation = 3.60ppm
Search WEB for skeleton |
|
![]()
|
|
|
Structure Proposal # 2639 RUJRTZRIIRBDFL Deviation = 3.60ppm
Search WEB for skeleton |
|
![]()
|
|
|
Structure Proposal # 2640 NVQDSPZMPCKGFL Deviation = 3.60ppm
Search WEB for skeleton |
|
![]()
|
|
|
Structure Proposal # 2641 AARXHQCBPQPTOZ Deviation = 3.60ppm
Search WEB for skeleton |
|
![]()
|
|
|
Structure Proposal # 2642 XGTUKGRFPBLXDV Deviation = 3.60ppm
Search WEB for skeleton |
|
![]()
|
|
|
Structure Proposal # 2643 AQBOLCPAGXUNFC Deviation = 3.60ppm
Search WEB for skeleton respect to your proposal |
|
![]()
|
|
|
Structure Proposal # 2644 SXUWMMKMIWPOKT Deviation = 3.60ppm
Search WEB for skeleton |
|
![]()
|
|
|
Structure Proposal # 2645 FFFRIUCGGKCACF Deviation = 3.60ppm
Search WEB for skeleton |
|
![]()
|
|
|
Structure Proposal # 2646 HBNKOJYIZTZLJN Deviation = 3.60ppm
Search WEB for skeleton |
|
![]()
|
|
|
Structure Proposal # 2647 HCJLFPNHHNKVNN Deviation = 3.60ppm
Search WEB for skeleton |
|
![]()
|
|
|
Structure Proposal # 2648 BJVRWCAFWSQMFE Deviation = 3.60ppm
Search WEB for skeleton respect to your proposal |
|
![]()
|
|
|
Structure Proposal # 2649 KHMYFOGOFXNOCQ Deviation = 3.60ppm
Search WEB for skeleton |
|
![]()
|
|
|
Structure Proposal # 2650 JGNUTVUAKBSNCF Deviation = 3.60ppm
Search WEB for skeleton |
|
![]()
|
|
|
Structure Proposal # 2651 YIOGBYORXNVIEE Deviation = 3.60ppm
Search WEB for skeleton |
|
![]()
|
|
|
Structure Proposal # 2652 PFEZJBDDFXTIBW Deviation = 3.60ppm
Search WEB for skeleton |
|
![]()
|
|
|
Structure Proposal # 2653 YGZSBJGAVAUKNN Deviation = 3.60ppm
Search WEB for skeleton |
|
![]()
|
|
|
Structure Proposal # 2654 WLNIJUDHDJGPAF Deviation = 3.60ppm
Search WEB for skeleton |
|
![]()
|
|
|
Structure Proposal # 2655 OWYARGGTFOIYCH Deviation = 3.60ppm
Search WEB for skeleton |
|
![]()
|
|
|
Structure Proposal # 2656 PIRBZXRLGQWPDO Deviation = 3.60ppm
Search WEB for skeleton |
|
![]()
|
|
|
Structure Proposal # 2657 GVIDYDJCUMDHOS Deviation = 3.60ppm
Search WEB for skeleton |
|
![]()
|
|
|
Structure Proposal # 2658 VTOSSKBGGOOEBE Deviation = 3.60ppm
Search WEB for skeleton |
|
![]()
|
|
|
Structure Proposal # 2659 GQHQOSGKGCVWMQ Deviation = 3.60ppm
Search WEB for skeleton |
|
![]()
|
|
|
Structure Proposal # 2660 QPMKYRHTXGZANI Deviation = 3.60ppm
Search WEB for skeleton |
|
![]()
|
|
|
Structure Proposal # 2661 WNGOXBQOWNJPOY Deviation = 3.60ppm
Search WEB for skeleton |
|
![]()
|
|
|
Structure Proposal # 2662 PPUICRQDGQKLMQ Deviation = 3.60ppm
Search WEB for skeleton |
|
![]()
|
|
|
Structure Proposal # 2663 AVXIIIHBIPNSIF Deviation = 3.60ppm
Search WEB for skeleton |
|
![]()
|
|
|
Structure Proposal # 2664 KAENXABKAPKIRN Deviation = 3.61ppm
Search WEB for skeleton |
|
![]()
|
|
|
Structure Proposal # 2665 YLFDSISASVYIAI Deviation = 3.61ppm
Search WEB for skeleton |
|
![]()
|
|
|
Structure Proposal # 2666 VJXBOEGBBNGZBP Deviation = 3.61ppm
Search WEB for skeleton |
|
![]()
|
|
|
Structure Proposal # 2667 UPFFZSQRAHOTGE Deviation = 3.61ppm
Search WEB for skeleton respect to your proposal |
|
![]()
|
|
|
Structure Proposal # 2668 VUBXISSBHBULNI Deviation = 3.61ppm
Search WEB for skeleton |
|
![]()
|
|
|
Structure Proposal # 2669 CHFAQLWYMCULOB Deviation = 3.61ppm
Search WEB for skeleton |
|
![]()
|
|
|
Structure Proposal # 2670 SRUDHOFEOOXMBL Deviation = 3.61ppm
Search WEB for skeleton respect to your proposal |
|
![]()
|
|
|
Structure Proposal # 2671 BHKBKPAOUQIENU Deviation = 3.61ppm
Search WEB for skeleton |
|
![]()
|
|
|
Structure Proposal # 2672 OCMWZCVVEOJXSW Deviation = 3.61ppm
Search WEB for skeleton |
|
![]()
|
|
|
Structure Proposal # 2673 NDYIOQGQVIVRJS Deviation = 3.61ppm
Search WEB for skeleton |
|
![]()
|
|
|
Structure Proposal # 2674 KTYNKNBAHHQKBK Deviation = 3.61ppm
Search WEB for skeleton |
|
![]()
|
|
|
Structure Proposal # 2675 ZGCFRSZOOPVLRM Deviation = 3.61ppm
Search WEB for skeleton |
|
![]()
|
|
|
Structure Proposal # 2676 LQOCOUZAQDPXKC Deviation = 3.61ppm
Search WEB for skeleton |
|
![]()
|
|
|
Structure Proposal # 2677 OYWYFPHFMJAIOX Deviation = 3.61ppm
Search WEB for skeleton |
|
![]()
|
|
|
Structure Proposal # 2678 UNOLHDTZWNQSHY Deviation = 3.61ppm
Search WEB for skeleton |
|
![]()
|
|
|
Structure Proposal # 2679 WMAIFJJAXSYICV Deviation = 3.61ppm
Search WEB for skeleton respect to your proposal |
|
![]()
|
|
|
Structure Proposal # 2680 IKZYEEHZSSDLFX Deviation = 3.61ppm
Search WEB for skeleton |
|
![]()
|
|
|
Structure Proposal # 2681 KAEHZHNTGHJVEG Deviation = 3.61ppm
Search WEB for skeleton |
|
![]()
|
|
|
Structure Proposal # 2682 VXOWYIMKUZQXIS Deviation = 3.61ppm
Search WEB for skeleton |
|
![]()
|
|
|
Structure Proposal # 2683 DETHQAGZLYTIBB Deviation = 3.61ppm
Search WEB for skeleton |
|
![]()
|
|
|
Structure Proposal # 2684 MGTKLXBOIWCVMV Deviation = 3.61ppm
Search WEB for skeleton |
|
![]()
|
|
|
Structure Proposal # 2685 AREKVMDSULLXCA Deviation = 3.61ppm
Search WEB for skeleton |
|
![]()
|
|
|
Structure Proposal # 2686 GKKPGCZTJVBGFC Deviation = 3.61ppm
Search WEB for skeleton |
|
![]()
|
|
|
Structure Proposal # 2687 NEOBDUOQZCHQFA Deviation = 3.61ppm
Search WEB for skeleton |
|
![]()
|
|
|
Structure Proposal # 2688 HGOUTJLRZHOVBP Deviation = 3.61ppm
Search WEB for skeleton |
|
![]()
|
|
|
Structure Proposal # 2689 JJLQECAVIGPIQU Deviation = 3.61ppm
Search WEB for skeleton |
|
![]()
|
|
|
Structure Proposal # 2690 CINFUYYWQHGWQD Deviation = 3.61ppm
Search WEB for skeleton |
|
![]()
|
|
|
Structure Proposal # 2691 BEIWFUAUOVEPJD Deviation = 3.61ppm
Search WEB for skeleton |
|
![]()
|
|
|
Structure Proposal # 2692 HBQIUDPZNGTCID Deviation = 3.61ppm
Search WEB for skeleton |
|
![]()
|
|
|
Structure Proposal # 2693 GQUKINCBBRQAKK Deviation = 3.61ppm
Search WEB for skeleton |
|
![]()
|
|
|
Structure Proposal # 2694 LOFFSIGCCWASFE Deviation = 3.61ppm
Search WEB for skeleton |
|
![]()
|
|
|
Structure Proposal # 2695 BZBQSLBCWVKWTM Deviation = 3.61ppm
Search WEB for skeleton |
|
![]()
|
|
|
Structure Proposal # 2696 ADCGWFNXCWKRBY Deviation = 3.61ppm
Search WEB for skeleton |
|
![]()
|
|
|
Structure Proposal # 2697 YXXAQYKRHZSZME Deviation = 3.61ppm
Search WEB for skeleton respect to your proposal |
|
![]()
|
|
|
Structure Proposal # 2698 JSHDSQSAAKDSEA Deviation = 3.61ppm
Search WEB for skeleton |
|
![]()
|
|
|
Structure Proposal # 2699 MQSURNIBQVUXDH Deviation = 3.61ppm
Search WEB for skeleton respect to your proposal |
|
![]()
|
|
|
Structure Proposal # 2700 FVGRXDNGGCNMGK Deviation = 3.61ppm
Search WEB for skeleton |
|
![]()
|
|
|
Structure Proposal # 2701 ATINKFKGGXZPGK Deviation = 3.61ppm
Search WEB for skeleton respect to your proposal |
|
![]()
|
|
|
Structure Proposal # 2702 RDJXRZHFFUWLQG Deviation = 3.61ppm
Search WEB for skeleton |
|
![]()
|
|
|
Structure Proposal # 2703 GUHHTOFMHUKGOR Deviation = 3.61ppm
Search WEB for skeleton |
|
![]()
|
|
|
Structure Proposal # 2704 SJXXTXKOKBYZCZ Deviation = 3.61ppm
Search WEB for skeleton |
|
![]()
|
|
|
Structure Proposal # 2705 LKHKBZFRUHETGZ Deviation = 3.61ppm
Search WEB for skeleton |
|
![]()
|
|
|
Structure Proposal # 2706 QFLOEMRBYRYNMM Deviation = 3.61ppm
Search WEB for skeleton |
|
![]()
|
|
|
Structure Proposal # 2707 UUJVRWLSPBBRMQ Deviation = 3.61ppm
Search WEB for skeleton |
|
![]()
|
|
|
Structure Proposal # 2708 FQXFZNPQXLUJGF Deviation = 3.62ppm
Search WEB for skeleton |
|
![]()
|
|
|
Structure Proposal # 2709 MLUSUMXJBVZIHE Deviation = 3.62ppm
Search WEB for skeleton |
|
![]()
|
|
|
Structure Proposal # 2710 XHMKJTUKZCMWON Deviation = 3.62ppm
Search WEB for skeleton |
|
![]()
|
|
|
Structure Proposal # 2711 XXAWEAPVMBYVQS Deviation = 3.62ppm
Search WEB for skeleton |
|
![]()
|
|
|
Structure Proposal # 2712 NJNJZGFHKWKPNV Deviation = 3.62ppm
Search WEB for skeleton |
|
![]()
|
|
|
Structure Proposal # 2713 CAKACLIWEDZHMB Deviation = 3.62ppm
Search WEB for skeleton |
|
![]()
|
|
|
Structure Proposal # 2714 JIAUUUNSVOOHCT Deviation = 3.62ppm
Search WEB for skeleton |
|
![]()
|
|
|
Structure Proposal # 2715 SPJCKMGKXZCXKB Deviation = 3.62ppm
Search WEB for skeleton |
|
![]()
|
|
|
Structure Proposal # 2716 UMJADVOQJGMWET Deviation = 3.62ppm
Search WEB for skeleton |
|
![]()
|
|
|
Structure Proposal # 2717 OBAXPWNSMRLFRJ Deviation = 3.62ppm
Search WEB for skeleton |
|
![]()
|
|
|
Structure Proposal # 2718 CNEWEIDGTPVFAP Deviation = 3.62ppm
Search WEB for skeleton |
|
![]()
|
|
|
Structure Proposal # 2719 WAHQRYJUNXPJKU Deviation = 3.62ppm
Search WEB for skeleton |
|
![]()
|
|
|
Structure Proposal # 2720 AQQIOHBELYFHBX Deviation = 3.62ppm
Search WEB for skeleton |
|
![]()
|
|
|
Structure Proposal # 2721 VEBXILCRQPVXPW Deviation = 3.62ppm
Search WEB for skeleton |
|
![]()
|
|
|
Structure Proposal # 2722 OYGUCWSZDMMHFC Deviation = 3.62ppm
Search WEB for skeleton |
|
![]()
|
|
|
Structure Proposal # 2723 LRHYJJRDIQEYMC Deviation = 3.62ppm
Search WEB for skeleton |
|
![]()
|
|
|
Structure Proposal # 2724 GBSHEZWNZLBFHP Deviation = 3.62ppm
Search WEB for skeleton |
|
![]()
|
|
|
Structure Proposal # 2725 QWMCUCAZCQXOCZ Deviation = 3.62ppm
Search WEB for skeleton |
|
![]()
|
|
|
Structure Proposal # 2726 SACJLWXMZOSJIW Deviation = 3.62ppm
Search WEB for skeleton |
|
![]()
|
|
|
Structure Proposal # 2727 DXZRYQUDQXYLOR Deviation = 3.62ppm
Search WEB for skeleton |
|
![]()
|
|
|
Structure Proposal # 2728 RQHRCTYWMUWJEM Deviation = 3.62ppm
Search WEB for skeleton |
|
![]()
|
|
|
Structure Proposal # 2729 CGOKYGWXMIQKPC Deviation = 3.62ppm
Search WEB for skeleton |
|
![]()
|
|
|
Structure Proposal # 2730 VCFPMUNFJZAGBB Deviation = 3.62ppm
Search WEB for skeleton |
|
![]()
|
|
|
Structure Proposal # 2731 QGYRHTRWEMQQKX Deviation = 3.62ppm
Search WEB for skeleton |
|
![]()
|
|
|
Structure Proposal # 2732 VTKJXFYAEXEIPM Deviation = 3.62ppm
Search WEB for skeleton |
|
![]()
|
|
|
Structure Proposal # 2733 QIQYNAVAWLWHRP Deviation = 3.62ppm
Search WEB for skeleton |
|
![]()
|
|
|
Structure Proposal # 2734 FVSJLNSCPBLKDS Deviation = 3.62ppm
Search WEB for skeleton |
|
![]()
|
|
|
Structure Proposal # 2735 ZGMOUFJUMIHXEQ Deviation = 3.62ppm
Search WEB for skeleton |
|
![]()
|
|
|
Structure Proposal # 2736 HNCGOOKWGGOUKN Deviation = 3.62ppm
Search WEB for skeleton |
|
![]()
|
|
|
Structure Proposal # 2737 ZGSNGSYUZUIBQJ Deviation = 3.62ppm
Search WEB for skeleton |
|
![]()
|
|
|
Structure Proposal # 2738 SBTXOPHXVOUOPG Deviation = 3.62ppm
Search WEB for skeleton |
|
![]()
|
|
|
Structure Proposal # 2739 MVCAAIDCAPFAQQ Deviation = 3.62ppm
Search WEB for skeleton |
|
![]()
|
|
|
Structure Proposal # 2740 MIJPZLIKVGEHDF Deviation = 3.62ppm
Search WEB for skeleton |
|
![]()
|
|
|
Structure Proposal # 2741 BHFXGAWUCZKBSK Deviation = 3.62ppm
Search WEB for skeleton |
|
![]()
|
|
|
Structure Proposal # 2742 ZLYJLZPWMPJLDW Deviation = 3.62ppm
Search WEB for skeleton |
|
![]()
|
|
|
Structure Proposal # 2743 XYVNFNGQBUEAEC Deviation = 3.62ppm
Search WEB for skeleton |
|
![]()
|
|
|
Structure Proposal # 2744 VVVZRGNLCDLEAY Deviation = 3.62ppm
Search WEB for skeleton |
|
![]()
|
|
|
Structure Proposal # 2745 QFXJMHGOFKYPTG Deviation = 3.62ppm
Search WEB for skeleton |
|
![]()
|
|
|
Structure Proposal # 2746 OWIDREIPCNQILG Deviation = 3.62ppm
Search WEB for skeleton |
|
![]()
|
|
|
Structure Proposal # 2747 OFMMATFJHAEMLM Deviation = 3.62ppm
Search WEB for skeleton |
|
![]()
|
|
|
Structure Proposal # 2748 NAIIKVDWQPJWDN Deviation = 3.62ppm
Search WEB for skeleton |
|
![]()
|
|
|
Structure Proposal # 2749 GFJBBTBLSLOYLA Deviation = 3.62ppm
Search WEB for skeleton |
|
![]()
|
|
|
Structure Proposal # 2750 PPXCQBDFLBZZHJ Deviation = 3.62ppm
Search WEB for skeleton |
|
![]()
|
|
|
Structure Proposal # 2751 MBBPDWRAGOQKNW Deviation = 3.62ppm
Search WEB for skeleton |
|
![]()
|
|
|
Structure Proposal # 2752 GDCJKMFTIIHQTC Deviation = 3.62ppm
Search WEB for skeleton |
|
![]()
|
|
|
Structure Proposal # 2753 ICYJDLMOQAWKED Deviation = 3.62ppm
Search WEB for skeleton |
|
![]()
|
|
|
Structure Proposal # 2754 XXNIJLXLARKWNS Deviation = 3.63ppm
Search WEB for skeleton |
|
![]()
|
|
|
Structure Proposal # 2755 JOUZYUPUJHPCJP Deviation = 3.63ppm
Search WEB for skeleton |
|
![]()
|
|
|
Structure Proposal # 2756 WODZLRDSUKNVCZ Deviation = 3.63ppm
Search WEB for skeleton |
|
![]()
|
|
|
Structure Proposal # 2757 LEJSTDOAGVGVLY Deviation = 3.63ppm
Search WEB for skeleton |
|
![]()
|
|
|
Structure Proposal # 2758 QBLBXXUGIMOJQT Deviation = 3.63ppm
Search WEB for skeleton |
|
![]()
|
|
|
Structure Proposal # 2759 CLURPTVGUJHLNW Deviation = 3.63ppm
Search WEB for skeleton |
|
![]()
|
|
|
Structure Proposal # 2760 DUVUEVYKGLJAQT Deviation = 3.63ppm
Search WEB for skeleton |
|
![]()
|
|
|
Structure Proposal # 2761 QDUNSMQNFNOMDD Deviation = 3.63ppm
Search WEB for skeleton |
|
![]()
|
|
|
Structure Proposal # 2762 OYLNXVSVSZOIHR Deviation = 3.63ppm
Search WEB for skeleton respect to your proposal |
|
![]()
|
|
|
Structure Proposal # 2763 SHLOYQAHFBXRTI Deviation = 3.63ppm
Search WEB for skeleton |
|
![]()
|
|
|
Structure Proposal # 2764 SGJAYIHNLSZKRS Deviation = 3.63ppm
Search WEB for skeleton |
|
![]()
|
|
|
Structure Proposal # 2765 JEFLOQOBQOKWEE Deviation = 3.63ppm
Search WEB for skeleton |
|
![]()
|
|
|
Structure Proposal # 2766 SABMCTPUWMHAFU Deviation = 3.63ppm
Search WEB for skeleton |
|
![]()
|
|
|
Structure Proposal # 2767 LOUJFZQVCPQLDK Deviation = 3.63ppm
Search WEB for skeleton |
|
![]()
|
|
|
Structure Proposal # 2768 YBTAWQHACDQQTL Deviation = 3.63ppm
Search WEB for skeleton |
|
![]()
|
|
|
Structure Proposal # 2769 DSBRPGHDGXNEJQ Deviation = 3.63ppm
Search WEB for skeleton |
|
![]()
|
|
|
Structure Proposal # 2770 NTPLSTXFRYDZQT Deviation = 3.63ppm
Search WEB for skeleton |
|
![]()
|
|
|
Structure Proposal # 2771 RGPWSOMINDFRRF Deviation = 3.63ppm
Search WEB for skeleton |
|
![]()
|
|
|
Structure Proposal # 2772 SJOGVLJNRAHFOX Deviation = 3.63ppm
Search WEB for skeleton |
|
![]()
|
|
|
Structure Proposal # 2773 SMYOASWGCNFNFB Deviation = 3.63ppm
Search WEB for skeleton |
|
![]()
|
|
|
Structure Proposal # 2774 GIAHKQMQQLKYSD Deviation = 3.63ppm
Search WEB for skeleton |
|
![]()
|
|
|
Structure Proposal # 2775 DQFMGLSKKBTKEP Deviation = 3.63ppm
Search WEB for skeleton |
|
![]()
|
|
|
Structure Proposal # 2776 NKPFOTOHCKBSMC Deviation = 3.63ppm
Search WEB for skeleton |
|
![]()
|
|
|
Structure Proposal # 2777 CSOKVGTZIZBKJB Deviation = 3.63ppm
Search WEB for skeleton |
|
![]()
|
|
|
Structure Proposal # 2778 LSNPQIGUQOKBMD Deviation = 3.63ppm
Search WEB for skeleton |
|
![]()
|
|
|
Structure Proposal # 2779 HFAKQOFUEJXWMD Deviation = 3.63ppm
Search WEB for skeleton |
|
![]()
|
|
|
Structure Proposal # 2780 HSXPWTWJGXEBIF Deviation = 3.63ppm
Search WEB for skeleton |
|
![]()
|
|
|
Structure Proposal # 2781 HZLFHQTVSGFXCI Deviation = 3.63ppm
Search WEB for skeleton |
|
![]()
|
|
|
Structure Proposal # 2782 KBCBPDBWQPPBBN Deviation = 3.63ppm
Search WEB for skeleton |
|
![]()
|
|
|
Structure Proposal # 2783 YYFPJICJVWTCBM Deviation = 3.63ppm
Search WEB for skeleton respect to your proposal |
|
![]()
|
|
|
Structure Proposal # 2784 WNFGVTHUSQDPGL Deviation = 3.63ppm
Search WEB for skeleton |
|
![]()
|
|
|
Structure Proposal # 2785 GZGQFIPTMTVVNI Deviation = 3.63ppm
Search WEB for skeleton |
|
![]()
|
|
|
Structure Proposal # 2786 KSLYPTNSSFSSLF Deviation = 3.63ppm
Search WEB for skeleton |
|
![]()
|
|
|
Structure Proposal # 2787 OSEXWPZLCUZNKP Deviation = 3.63ppm
Search WEB for skeleton |
|
![]()
|
|
|
Structure Proposal # 2788 QIGRGOWJHAEOSN Deviation = 3.63ppm
Search WEB for skeleton |
|
![]()
|
|
|
Structure Proposal # 2789 HUQNJNAOIZDYGV Deviation = 3.63ppm
Search WEB for skeleton |
|
![]()
|
|
|
Structure Proposal # 2790 LKKQXGOGXRNHRG Deviation = 3.63ppm
Search WEB for skeleton |
|
![]()
|
|
|
Structure Proposal # 2791 UGTQFKUJSGHKAK Deviation = 3.63ppm
Search WEB for skeleton |
|
![]()
|
|
|
Structure Proposal # 2792 DONQTKGTBUMLKB Deviation = 3.63ppm
Search WEB for skeleton |
|
![]()
|
|
|
Structure Proposal # 2793 FZTDEDHCJVPIJP Deviation = 3.64ppm
Search WEB for skeleton |
|
![]()
|
|
|
Structure Proposal # 2794 ZGAWDBUYXOJNGJ Deviation = 3.64ppm
Search WEB for skeleton |
|
![]()
|
|
|
Structure Proposal # 2795 BAWNPCBBYSRNQE Deviation = 3.64ppm
Search WEB for skeleton |
|
![]()
|
|
|
Structure Proposal # 2796 BHQBYGHQNWUGMF Deviation = 3.64ppm
Search WEB for skeleton respect to your proposal |
|
![]()
|
|
|
Structure Proposal # 2797 PQLYVDAXOGOAMX Deviation = 3.64ppm
Search WEB for skeleton |
|
![]()
|
|
|
Structure Proposal # 2798 KPBSZFJQIHSWGE Deviation = 3.64ppm
Search WEB for skeleton |
|
![]()
|
|
|
Structure Proposal # 2799 OTSSQDMOFZCAHM Deviation = 3.64ppm
Search WEB for skeleton |
|
![]()
|
|
|
Structure Proposal # 2800 BCLRTIGJRBJKPD Deviation = 3.64ppm
Search WEB for skeleton |
|
![]()
|
|
|
Structure Proposal # 2801 SCPSIGRVHJLOEF Deviation = 3.64ppm
Search WEB for skeleton |
|
![]()
|
|
|
Structure Proposal # 2802 MBVYTEWFBLKHRR Deviation = 3.64ppm
Search WEB for skeleton |
|
![]()
|
|
|
Structure Proposal # 2803 MCEJLKQBWQNTJB Deviation = 3.64ppm
Search WEB for skeleton |
|
![]()
|
|
|
Structure Proposal # 2804 KZKAGSKMNAIYFG Deviation = 3.64ppm
Search WEB for skeleton respect to your proposal |
|
![]()
|
|
|
Structure Proposal # 2805 GQXRYJGIWGRGHC Deviation = 3.64ppm
Search WEB for skeleton |
|
![]()
|
|
|
Structure Proposal # 2806 CTXOEEMKFHBCHW Deviation = 3.64ppm
Search WEB for skeleton |
|
![]()
|
|
|
Structure Proposal # 2807 QMRXYZPOQJPPET Deviation = 3.64ppm
Search WEB for skeleton |
|
![]()
|
|
|
Structure Proposal # 2808 CFJLCTPKDJLTOL Deviation = 3.64ppm
Search WEB for skeleton |
|
![]()
|
|
|
Structure Proposal # 2809 YZXUDURHRCGWFL Deviation = 3.64ppm
Search WEB for skeleton |
|
![]()
|
|
|
Structure Proposal # 2810 QNVSJQWWAGNQFW Deviation = 3.64ppm
Search WEB for skeleton |
|
![]()
|
|
|
Structure Proposal # 2811 VQLCJMAZOVQQRC Deviation = 3.64ppm
Search WEB for skeleton |
|
![]()
|
|
|
Structure Proposal # 2812 BQBFNLCUMDJCQW Deviation = 3.64ppm
Search WEB for skeleton |
|
![]()
|
|
|
Structure Proposal # 2813 FFDUVQHVRYNKLO Deviation = 3.64ppm
Search WEB for skeleton |
|
![]()
|
|
|
Structure Proposal # 2814 QGOXTVRLLODNHW Deviation = 3.64ppm
Search WEB for skeleton |
|
![]()
|
|
|
Structure Proposal # 2815 RYIFCRRPGINFGQ Deviation = 3.64ppm
Search WEB for skeleton |
|
![]()
|
|
|
Structure Proposal # 2816 SKNBQWADDNCCRJ Deviation = 3.64ppm
Search WEB for skeleton |
|
![]()
|
|
|
Structure Proposal # 2817 QLNVGXGENRVSHQ Deviation = 3.64ppm
Search WEB for skeleton |
|
![]()
|
|
|
Structure Proposal # 2818 YJDQSDDYUCAQNQ Deviation = 3.64ppm
Search WEB for skeleton |
|
![]()
|
|
|
Structure Proposal # 2819 VOBYWLNCFFQZNY Deviation = 3.64ppm
Search WEB for skeleton |
|
![]()
|
|
|
Structure Proposal # 2820 NNDUNRYLYALYAL Deviation = 3.64ppm
Search WEB for skeleton |
|
![]()
|
|
|
Structure Proposal # 2821 WWGKBBHZHXMQCH Deviation = 3.64ppm
Search WEB for skeleton |
|
![]()
|
|
|
Structure Proposal # 2822 JMKZMLXTUBFPSS Deviation = 3.64ppm
Search WEB for skeleton |
|
![]()
|
|
|
Structure Proposal # 2823 MMFYSSNJWDQDJM Deviation = 3.64ppm
Search WEB for skeleton |
|
![]()
|
|
|
Structure Proposal # 2824 RZFSJEVNLAZPNS Deviation = 3.64ppm
Search WEB for skeleton |
|
![]()
|
|
|
Structure Proposal # 2825 UVQOUAZWGLSOJT Deviation = 3.64ppm
Search WEB for skeleton |
|
![]()
|
|
|
Structure Proposal # 2826 DYGNWUOTAGECPX Deviation = 3.64ppm
Search WEB for skeleton |
|
![]()
|
|
|
Structure Proposal # 2827 IKSYPPBFWKLHOK Deviation = 3.64ppm
Search WEB for skeleton |
|
![]()
|
|
|
Structure Proposal # 2828 CXQABUFLTPALJV Deviation = 3.64ppm
Search WEB for skeleton |
|
![]()
|
|
|
Structure Proposal # 2829 UAEFPXDSFGVFFZ Deviation = 3.64ppm
Search WEB for skeleton respect to your proposal |
|
![]()
|
|
|
Structure Proposal # 2830 APRYUZXIFVLDLG Deviation = 3.64ppm
Search WEB for skeleton |
|
![]()
|
|
|
Structure Proposal # 2831 DBEWWVXQJYSKPB Deviation = 3.64ppm
Search WEB for skeleton respect to your proposal |
|
![]()
|
|
|
Structure Proposal # 2832 WMZPGKKJCURQDA Deviation = 3.64ppm
Search WEB for skeleton |
|
![]()
|
|
|
Structure Proposal # 2833 QXKAMAZGEINYOZ Deviation = 3.64ppm
Search WEB for skeleton |
|
![]()
|
|
|
Structure Proposal # 2834 IHQQFOVRWZDMKT Deviation = 3.64ppm
Search WEB for skeleton |
|
![]()
|
|
|
Structure Proposal # 2835 LWAXNBKHWNNISU Deviation = 3.65ppm
Search WEB for skeleton respect to your proposal |
|
![]()
|
|
|
Structure Proposal # 2836 MMVSWISTSNKUJU Deviation = 3.65ppm
Search WEB for skeleton |
|
![]()
|
|
|
Structure Proposal # 2837 NUJVKCKGQFBSFU Deviation = 3.65ppm
Search WEB for skeleton |
|
![]()
|
|
|
Structure Proposal # 2838 JGFTVWSVTYGDGG Deviation = 3.65ppm
Search WEB for skeleton |
|
![]()
|
|
|
Structure Proposal # 2839 DOPDJZHTHKRCJU Deviation = 3.65ppm
Search WEB for skeleton |
|
![]()
|
|
|
Structure Proposal # 2840 YETFVFRDTNHRJS Deviation = 3.65ppm
Search WEB for skeleton |
|
![]()
|
|
|
Structure Proposal # 2841 NYMFNBMZXITDBT Deviation = 3.65ppm
Search WEB for skeleton |
|
![]()
|
|
|
Structure Proposal # 2842 PVLWYKIEFULHCU Deviation = 3.65ppm
Search WEB for skeleton |
|
![]()
|
|
|
Structure Proposal # 2843 XBFJTUIUCYOKFI Deviation = 3.65ppm
Search WEB for skeleton |
|
![]()
|
|
|
Structure Proposal # 2844 YQFRGCAXUPXXDH Deviation = 3.65ppm
Search WEB for skeleton |
|
![]()
|
|
|
Structure Proposal # 2845 LETCHVSZWNSJMO Deviation = 3.65ppm
Search WEB for skeleton |
|
![]()
|
|
|
Structure Proposal # 2846 BPMSDYPATDOSDO Deviation = 3.65ppm
Search WEB for skeleton |
|
![]()
|
|
|
Structure Proposal # 2847 CWVQKUJICJVVEN Deviation = 3.65ppm
Search WEB for skeleton respect to your proposal |
|
![]()
|
|
|
Structure Proposal # 2848 BVCJJGFPRMKBRR Deviation = 3.65ppm
Search WEB for skeleton |
|
![]()
|
|
|
Structure Proposal # 2849 ZVNCQJDIVOONTM Deviation = 3.65ppm
Search WEB for skeleton |
|
![]()
|
|
|
Structure Proposal # 2850 UZCFWTRBECOIRI Deviation = 3.65ppm
Search WEB for skeleton |
|
![]()
|
|
|
Structure Proposal # 2851 BUCRFLNVMOJZHY Deviation = 3.65ppm
Search WEB for skeleton |
|
![]()
|
|
|
Structure Proposal # 2852 AYCLKVMHMPPVOL Deviation = 3.65ppm
Search WEB for skeleton |
|
![]()
|
|
|
Structure Proposal # 2853 ULGBNXJOIGFOTA Deviation = 3.65ppm
Search WEB for skeleton |
|
![]()
|
|
|
Structure Proposal # 2854 OUJJAILAOBATLG Deviation = 3.65ppm
Search WEB for skeleton |
|
![]()
|
|
|
Structure Proposal # 2855 VNOZVDIAYFDZKT Deviation = 3.65ppm
Search WEB for skeleton |
|
![]()
|
|
|
Structure Proposal # 2856 HSKDBMIWRWMDFP Deviation = 3.65ppm
Search WEB for skeleton |
|
![]()
|
|
|
Structure Proposal # 2857 YIARUSRREILYPN Deviation = 3.65ppm
Search WEB for skeleton |
|
![]()
|
|
|
Structure Proposal # 2858 HZIXAMQOGKKPFJ Deviation = 3.65ppm
Search WEB for skeleton respect to your proposal |
|
![]()
|
|
|
Structure Proposal # 2859 JGUGGYMDONDHQE Deviation = 3.65ppm
Search WEB for skeleton |
|
![]()
|
|
|
Structure Proposal # 2860 LQABKTABPKMPHU Deviation = 3.65ppm
Search WEB for skeleton |
|
![]()
|
|
|
Structure Proposal # 2861 BOIDZRQFJLITAR Deviation = 3.65ppm
Search WEB for skeleton |
|
![]()
|
|
|
Structure Proposal # 2862 OQJUXDJHYQUAAJ Deviation = 3.65ppm
Search WEB for skeleton |
|
![]()
|
|
|
Structure Proposal # 2863 CRSQLPXIQROINK Deviation = 3.65ppm
Search WEB for skeleton |
|
![]()
|
|
|
Structure Proposal # 2864 MUQSKWDITBMLFA Deviation = 3.65ppm
Search WEB for skeleton respect to your proposal |
|
![]()
|
|
|
Structure Proposal # 2865 MRJPLXZBIDCBGA Deviation = 3.65ppm
Search WEB for skeleton |
|
![]()
|
|
|
Structure Proposal # 2866 NBSGGECIYRWZQF Deviation = 3.65ppm
Search WEB for skeleton |
|
![]()
|
|
|
Structure Proposal # 2867 LPRWTBBQTHLZPX Deviation = 3.65ppm
Search WEB for skeleton |
|
![]()
|
|
|
Structure Proposal # 2868 MSAQNFAOVBNHKE Deviation = 3.65ppm
Search WEB for skeleton |
|
![]()
|
|
|
Structure Proposal # 2869 RSBLRRJBKVCDMF Deviation = 3.65ppm
Search WEB for skeleton |
|
![]()
|
|
|
Structure Proposal # 2870 CMJIWDWDVZCTRG Deviation = 3.65ppm
Search WEB for skeleton |
|
![]()
|
|
|
Structure Proposal # 2871 LZEPPRWTIOLTFY Deviation = 3.65ppm
Search WEB for skeleton respect to your proposal |
|
![]()
|
|
|
Structure Proposal # 2872 SKUHEJHWWGFQGF Deviation = 3.65ppm
Search WEB for skeleton |
|
![]()
|
|
|
Structure Proposal # 2873 URABPIGMNBCEBO Deviation = 3.65ppm
Search WEB for skeleton |
|
![]()
|
|
|
Structure Proposal # 2874 FNLRIJRIJYCQJX Deviation = 3.65ppm
Search WEB for skeleton |
|
![]()
|
|
|
Structure Proposal # 2875 SXIISYDIWXGGPX Deviation = 3.65ppm
Search WEB for skeleton |
|
![]()
|
|
|
Structure Proposal # 2876 NIPVVAKZUUHSMF Deviation = 3.65ppm
Search WEB for skeleton |
|
![]()
|
|
|
Structure Proposal # 2877 UOWHANPTKPIOEA Deviation = 3.65ppm
Search WEB for skeleton respect to your proposal |
|
![]()
|
|
|
Structure Proposal # 2878 JBHXTHWONDVDOQ Deviation = 3.65ppm
Search WEB for skeleton |
|
![]()
|
|
|
Structure Proposal # 2879 VSVKVXSEMJHTIB Deviation = 3.65ppm
Search WEB for skeleton |
|
![]()
|
|
|
Structure Proposal # 2880 PBOMMXDXXRHBCO Deviation = 3.66ppm
Search WEB for skeleton |
|
![]()
|
|
|
Structure Proposal # 2881 VWMZQXPVTPDMRW Deviation = 3.66ppm
Search WEB for skeleton |
|
![]()
|
|
|
Structure Proposal # 2882 UMINUWGOXQPNJQ Deviation = 3.66ppm
Search WEB for skeleton |
|
![]()
|
|
|
Structure Proposal # 2883 LZYXNYGPPVGCPK Deviation = 3.66ppm
Search WEB for skeleton |
|
![]()
|
|
|
Structure Proposal # 2884 HUQLVOCTFVUHBH Deviation = 3.66ppm
Search WEB for skeleton |
|
![]()
|
|
|
Structure Proposal # 2885 FUCQJNXJCGYEBT Deviation = 3.66ppm
Search WEB for skeleton |
|
![]()
|
|
|
Structure Proposal # 2886 BTLXZACGVOLQBT Deviation = 3.66ppm
Search WEB for skeleton |
|
![]()
|
|
|
Structure Proposal # 2887 AVCGWZRUEYDBRL Deviation = 3.66ppm
Search WEB for skeleton |
|
![]()
|
|
|
Structure Proposal # 2888 BVQVQCJYDXXXPX Deviation = 3.66ppm
Search WEB for skeleton |
|
![]()
|
|
|
Structure Proposal # 2889 DXCRGXMMSIGFQV Deviation = 3.66ppm
Search WEB for skeleton |
|
![]()
|
|
|
Structure Proposal # 2890 NWWAZPVQYRNIRM Deviation = 3.66ppm
Search WEB for skeleton |
|
![]()
|
|
|
Structure Proposal # 2891 WJVIZLPVDGVUBY Deviation = 3.66ppm
Search WEB for skeleton |
|
![]()
|
|
|
Structure Proposal # 2892 RQRGYADCUCDXAH Deviation = 3.66ppm
Search WEB for skeleton |
|
![]()
|
|
|
Structure Proposal # 2893 HEAQFUUBOSIWGV Deviation = 3.66ppm
Search WEB for skeleton |
|
![]()
|
|
|
Structure Proposal # 2894 JERLUVPSTFAQSO Deviation = 3.66ppm
Search WEB for skeleton |
|
![]()
|
|
|
Structure Proposal # 2895 DMOUNXWKWBXXKY Deviation = 3.66ppm
Search WEB for skeleton |
|
![]()
|
|
|
Structure Proposal # 2896 PCPRJKMZGZBVGQ Deviation = 3.66ppm
Search WEB for skeleton |
|
![]()
|
|
|
Structure Proposal # 2897 HBMYOXWEGGSRIK Deviation = 3.66ppm
Search WEB for skeleton |
|
![]()
|
|
|
Structure Proposal # 2898 UKALDVMYEIDVQM Deviation = 3.66ppm
Search WEB for skeleton |
|
![]()
|
|
|
Structure Proposal # 2899 OGOBEQDHNWOPDR Deviation = 3.66ppm
Search WEB for skeleton |
|
![]()
|
|
|
Structure Proposal # 2900 GTHVLZNLAWQVKA Deviation = 3.66ppm
Search WEB for skeleton |
|
![]()
|
|
|
Structure Proposal # 2901 SBFGFDQGOZAGJJ Deviation = 3.66ppm
Search WEB for skeleton |
|
![]()
|
|
|
Structure Proposal # 2902 CVAGMTJEYJHCJX Deviation = 3.66ppm
Search WEB for skeleton |
|
![]()
|
|
|
Structure Proposal # 2903 TVKIVVHOLWXAJP Deviation = 3.66ppm
Search WEB for skeleton |
|
![]()
|
|
|
Structure Proposal # 2904 UPWCUYAKFVQPDJ Deviation = 3.66ppm
Search WEB for skeleton |
|
![]()
|
|
|
Structure Proposal # 2905 IGWXGKUBUIZHJM Deviation = 3.66ppm
Search WEB for skeleton |
|
![]()
|
|
|
Structure Proposal # 2906 QAMZKQSYODHJRD Deviation = 3.66ppm
Search WEB for skeleton |
|
![]()
|
|
|
Structure Proposal # 2907 IBKHNRYNOIPAKQ Deviation = 3.66ppm
Search WEB for skeleton |
|
![]()
|
|
|
Structure Proposal # 2908 KHXGREWAIRIAJF Deviation = 3.66ppm
Search WEB for skeleton |
|
![]()
|
|
|
Structure Proposal # 2909 AVXDLIPWTXHDHZ Deviation = 3.66ppm
Search WEB for skeleton |
|
![]()
|
|
|
Structure Proposal # 2910 BJEGHFCBHJLARO Deviation = 3.67ppm
Search WEB for skeleton |
|
![]()
|
|
|
Structure Proposal # 2911 UADHCVSMNDORMV Deviation = 3.67ppm
Search WEB for skeleton |
|
![]()
|
|
|
Structure Proposal # 2912 CFTLDWDPDOYOHC Deviation = 3.67ppm
Search WEB for skeleton |
|
![]()
|
|
|
Structure Proposal # 2913 INCHZDMJDWXVBX Deviation = 3.67ppm
Search WEB for skeleton |
|
![]()
|
|
|
Structure Proposal # 2914 HDFJASJEHVOTSE Deviation = 3.67ppm
Search WEB for skeleton |
|
![]()
|
|
|
Structure Proposal # 2915 BGPDZDLAQCGDOU Deviation = 3.67ppm
Search WEB for skeleton |
|
![]()
|
|
|
Structure Proposal # 2916 CRVGZGWIPFTWKJ Deviation = 3.67ppm
Search WEB for skeleton |
|
![]()
|
|
|
Structure Proposal # 2917 GHPQGGFQKAUHSH Deviation = 3.67ppm
Search WEB for skeleton respect to your proposal |
|
![]()
|
|
|
Structure Proposal # 2918 KFBOJSFGVHGAJH Deviation = 3.67ppm
Search WEB for skeleton |
|
![]()
|
|
|
Structure Proposal # 2919 XYZJCXXQYRYAJS Deviation = 3.67ppm
Search WEB for skeleton |
|
![]()
|
|
|
Structure Proposal # 2920 GKKLVQNLIKDWKH Deviation = 3.67ppm
Search WEB for skeleton |
|
![]()
|
|
|
Structure Proposal # 2921 TUOVLQDAFYQSIN Deviation = 3.67ppm
Search WEB for skeleton |
|
![]()
|
|
|
Structure Proposal # 2922 IESBCFHHYBVJHF Deviation = 3.67ppm
Search WEB for skeleton |
|
![]()
|
|
|
Structure Proposal # 2923 AVNOYFXZVOPICJ Deviation = 3.67ppm
Search WEB for skeleton |
|
![]()
|
|
|
Structure Proposal # 2924 ZMNGTSBYNBTCQE Deviation = 3.67ppm
Search WEB for skeleton |
|
![]()
|
|
|
Structure Proposal # 2925 GVBDERUEOIBVFB Deviation = 3.67ppm
Search WEB for skeleton |
|
![]()
|
|
|
Structure Proposal # 2926 FWELRKMGPSUDMZ Deviation = 3.67ppm
Search WEB for skeleton |
|
![]()
|
|
|
Structure Proposal # 2927 QLUMWYPLHWLSEF Deviation = 3.67ppm
Search WEB for skeleton |
|
![]()
|
|
|
Structure Proposal # 2928 CGFNJKWVWRVRTI Deviation = 3.67ppm
Search WEB for skeleton |
|
![]()
|
|
|
Structure Proposal # 2929 KYAZIVGIZUQKKB Deviation = 3.67ppm
Search WEB for skeleton |
|
![]()
|
|
|
Structure Proposal # 2930 BGVTTWZPXRPJJQ Deviation = 3.67ppm
Search WEB for skeleton |
|
![]()
|
|
|
Structure Proposal # 2931 YUTVMWORFKGAJF Deviation = 3.67ppm
Search WEB for skeleton |
|
![]()
|
|
|
Structure Proposal # 2932 YPCYBTAZPDVFSU Deviation = 3.67ppm
Search WEB for skeleton |
|
![]()
|
|
|
Structure Proposal # 2933 MJSQXMKHDMTCKH Deviation = 3.67ppm
Search WEB for skeleton |
|
![]()
|
|
|
Structure Proposal # 2934 PAJAFXMFHGRVPK Deviation = 3.67ppm
Search WEB for skeleton |
|
![]()
|
|
|
Structure Proposal # 2935 ZLGYQRKBJBQTIX Deviation = 3.67ppm
Search WEB for skeleton |
|
![]()
|
|
|
Structure Proposal # 2936 CRNLEVULGPWZNJ Deviation = 3.67ppm
Search WEB for skeleton |
|
![]()
|
|
|
Structure Proposal # 2937 HFOJBCBPGQCBTH Deviation = 3.67ppm
Search WEB for skeleton |
|
![]()
|
|
|
Structure Proposal # 2938 GJRZOQNMBFZDPX Deviation = 3.67ppm
Search WEB for skeleton |
|
![]()
|
|
|
Structure Proposal # 2939 UJTNDURNGFBLAM Deviation = 3.67ppm
Search WEB for skeleton |
|
![]()
|
|
|
Structure Proposal # 2940 KKCNLZWZJUNANL Deviation = 3.67ppm
Search WEB for skeleton |
|
![]()
|
|
|
Structure Proposal # 2941 QJPWCKVGISTDJO Deviation = 3.67ppm
Search WEB for skeleton |
|
![]()
|
|
|
Structure Proposal # 2942 KDSJNURSVOTUNA Deviation = 3.67ppm
Search WEB for skeleton |
|
![]()
|
|
|
Structure Proposal # 2943 TYOJYARUGJGUHB Deviation = 3.67ppm
Search WEB for skeleton respect to your proposal |
|
![]()
|
|
|
Structure Proposal # 2944 WTOGHCNDBJEYEO Deviation = 3.67ppm
Search WEB for skeleton |
|
![]()
|
|
|
Structure Proposal # 2945 PYOFXTOACKWJLT Deviation = 3.67ppm
Search WEB for skeleton |
|
![]()
|
|
|
Structure Proposal # 2946 ZOJYZVADKJCITB Deviation = 3.67ppm
Search WEB for skeleton |
|
![]()
|
|
|
Structure Proposal # 2947 PETYHMMSWFMRGX Deviation = 3.67ppm
Search WEB for skeleton |
|
![]()
|
|
|
Structure Proposal # 2948 SQRDFUKJUYTLLB Deviation = 3.68ppm
Search WEB for skeleton |
|
![]()
|
|
|
Structure Proposal # 2949 FJDBTPWHGMQHRW Deviation = 3.68ppm
Search WEB for skeleton |
|
![]()
|
|
|
Structure Proposal # 2950 GNNZALMKAWOAMF Deviation = 3.68ppm
Search WEB for skeleton |
|
![]()
|
|
|
Structure Proposal # 2951 QLCHYFZHIFUHQO Deviation = 3.68ppm
Search WEB for skeleton |
|
![]()
|
|
|
Structure Proposal # 2952 QDCVGAVVDJOGRC Deviation = 3.68ppm
Search WEB for skeleton |
|
![]()
|
|
|
Structure Proposal # 2953 ADVRTVJSRULMAP Deviation = 3.68ppm
Search WEB for skeleton |
|
![]()
|
|
|
Structure Proposal # 2954 ICDPUYJTKXQYKL Deviation = 3.68ppm
Search WEB for skeleton |
|
![]()
|
|
|
Structure Proposal # 2955 BVAFWDWNVZBUCP Deviation = 3.68ppm
Search WEB for skeleton |
|
![]()
|
|
|
Structure Proposal # 2956 OYBWDVZUWIEXLJ Deviation = 3.68ppm
Search WEB for skeleton |
|
![]()
|
|
|
Structure Proposal # 2957 BAYRGIZFCJMRDA Deviation = 3.68ppm
Search WEB for skeleton |
|
![]()
|
|
|
Structure Proposal # 2958 CVHUGIRVMFPPER Deviation = 3.68ppm
Search WEB for skeleton |
|
![]()
|
|
|
Structure Proposal # 2959 WJHKUJFDOMRSJY Deviation = 3.68ppm
Search WEB for skeleton |
|
![]()
|
|
|
Structure Proposal # 2960 QQOPAXIGYUMKIW Deviation = 3.68ppm
Search WEB for skeleton |
|
![]()
|
|
|
Structure Proposal # 2961 SQYIZFFQFBGAJY Deviation = 3.68ppm
Search WEB for skeleton |
|
![]()
|
|
|
Structure Proposal # 2962 ULQIUTSICFMROC Deviation = 3.68ppm
Search WEB for skeleton |
|
![]()
|
|
|
Structure Proposal # 2963 OIBAUXJRWZBIJK Deviation = 3.68ppm
Search WEB for skeleton respect to your proposal |
|
![]()
|
|
|
Structure Proposal # 2964 CBGJIKFWUSXCFY Deviation = 3.68ppm
Search WEB for skeleton |
|
![]()
|
|
|
Structure Proposal # 2965 ABAWNOUYRNWHEZ Deviation = 3.68ppm
Search WEB for skeleton |
|
![]()
|
|
|
Structure Proposal # 2966 BXRHZARFBKSXPC Deviation = 3.68ppm
Search WEB for skeleton |
|
![]()
|
|
|
Structure Proposal # 2967 VRMZNTFZCJNFFQ Deviation = 3.68ppm
Search WEB for skeleton |
|
![]()
|
|
|
Structure Proposal # 2968 KLTAFACTJIRDHM Deviation = 3.68ppm
Search WEB for skeleton |
|
![]()
|
|
|
Structure Proposal # 2969 ZIUFZMVMQVYNBC Deviation = 3.68ppm
Search WEB for skeleton |
|
![]()
|
|
|
Structure Proposal # 2970 FOKVVJZKSSYWQI Deviation = 3.68ppm
Search WEB for skeleton |
|
![]()
|
|
|
Structure Proposal # 2971 RIYWBEXNTYSSBH Deviation = 3.68ppm
Search WEB for skeleton |
|
![]()
|
|
|
Structure Proposal # 2972 STTGILUEKBOFRK Deviation = 3.68ppm
Search WEB for skeleton |
|
![]()
|
|
|
Structure Proposal # 2973 NJLSRCAXSMSNFU Deviation = 3.68ppm
Search WEB for skeleton |
|
![]()
|
|
|
Structure Proposal # 2974 WYRSKVUXCSRVKU Deviation = 3.68ppm
Search WEB for skeleton |
|
![]()
|
|
|
Structure Proposal # 2975 XMAWLBKXYKOJML Deviation = 3.68ppm
Search WEB for skeleton respect to your proposal |
|
![]()
|
|
|
Structure Proposal # 2976 YUNXJZFZAMRWPJ Deviation = 3.68ppm
Search WEB for skeleton |
|
![]()
|
|
|
Structure Proposal # 2977 VLTDFJXNJCBVQQ Deviation = 3.68ppm
Search WEB for skeleton |
|
![]()
|
|
|
Structure Proposal # 2978 JLPKTZVRFGNRSG Deviation = 3.68ppm
Search WEB for skeleton |
|
![]()
|
|
|
Structure Proposal # 2979 YTFHUQMGFMCNRM Deviation = 3.68ppm
Search WEB for skeleton |
|
![]()
|
|
|
Structure Proposal # 2980 UEEKCFCRGJPNOY Deviation = 3.68ppm
Search WEB for skeleton |
|
![]()
|
|
|
Structure Proposal # 2981 NFLUVBNXOCVCBX Deviation = 3.68ppm
Search WEB for skeleton |
|
![]()
|
|
|
Structure Proposal # 2982 CDNYBINXYOWQGU Deviation = 3.68ppm
Search WEB for skeleton |
|
![]()
|
|
|
Structure Proposal # 2983 AZEYMCSZWIPKFU Deviation = 3.68ppm
Search WEB for skeleton |
|
![]()
|
|
|
Structure Proposal # 2984 XNPLLZCBMBSRAT Deviation = 3.68ppm
Search WEB for skeleton |
|
![]()
|
|
|
Structure Proposal # 2985 FXQHMTFESGMDJM Deviation = 3.68ppm
Search WEB for skeleton respect to your proposal |
|
![]()
|
|
|
Structure Proposal # 2986 MJGNECOBADJVFT Deviation = 3.68ppm
Search WEB for skeleton |
|
![]()
|
|
|
Structure Proposal # 2987 VIPZQRIGHMZDRB Deviation = 3.68ppm
Search WEB for skeleton |
|
![]()
|
|
|
Structure Proposal # 2988 JKXHLFRCUXTSOC Deviation = 3.68ppm
Search WEB for skeleton |
|
![]()
|
|
|
Structure Proposal # 2989 UFNIFVYENYWWCJ Deviation = 3.69ppm
Search WEB for skeleton |
|
![]()
|
|
|
Structure Proposal # 2990 ZAUYFSPOJCYLNS Deviation = 3.69ppm
Search WEB for skeleton |
|
![]()
|
|
|
Structure Proposal # 2991 IFOVXSKGYZNHAY Deviation = 3.69ppm
Search WEB for skeleton |
|
![]()
|
|
|
Structure Proposal # 2992 RDEZLHCGNRQGHB Deviation = 3.69ppm
Search WEB for skeleton |
|
![]()
|
|
|
Structure Proposal # 2993 OJTLQFVBISFEOP Deviation = 3.69ppm
Search WEB for skeleton |
|
![]()
|
|
|
Structure Proposal # 2994 SGTRLWFAGKAVGX Deviation = 3.69ppm
Search WEB for skeleton |
|
![]()
|
|
|
Structure Proposal # 2995 LJWPDRGWECCSTO Deviation = 3.69ppm
Search WEB for skeleton |
|
![]()
|
|
|
Structure Proposal # 2996 CLNONTOEIOVGDH Deviation = 3.69ppm
Search WEB for skeleton |
|
![]()
|
|
|
Structure Proposal # 2997 LJPZOBBMKPEKGW Deviation = 3.69ppm
Search WEB for skeleton |
|
![]()
|
|
|
Structure Proposal # 2998 ZDAWHXDIGZUMSV Deviation = 3.69ppm
Search WEB for skeleton respect to your proposal |
|
![]()
|
|
|
Structure Proposal # 2999 AMDZIOHSDZNCAC Deviation = 3.69ppm
Search WEB for skeleton |
|
![]()
|
|
|
Structure Proposal # 3000 ILMOHQMAGPHXIE Deviation = 3.69ppm
Search WEB for skeleton |
|
![]()
|
|
|
Structure Proposal # 3001 WMXBPOWHXPLVBR Deviation = 3.69ppm
Search WEB for skeleton |
|
![]()
|
|
|
Structure Proposal # 3002 GBSZCQQMNSEESZ Deviation = 3.69ppm
Search WEB for skeleton |
|
![]()
|
|
|
Structure Proposal # 3003 RMNMUBVQXUHNFK Deviation = 3.69ppm
Search WEB for skeleton |
|
![]()
|
|
|
Structure Proposal # 3004 DHFCLIWWWGOWCQ Deviation = 3.69ppm
Search WEB for skeleton |
|
![]()
|
|
|
Structure Proposal # 3005 VRGBRGQAWLBXRX Deviation = 3.69ppm
Search WEB for skeleton |
|
![]()
|
|
|
Structure Proposal # 3006 SGQRBOCIHIODLL Deviation = 3.69ppm
Search WEB for skeleton |
|
![]()
|
|
|
Structure Proposal # 3007 RGPOECJBLCDVND Deviation = 3.69ppm
Search WEB for skeleton |
|
![]()
|
|
|
Structure Proposal # 3008 SUTCDCJDACJEHQ Deviation = 3.69ppm
Search WEB for skeleton |
|
![]()
|
|
|
Structure Proposal # 3009 UBDWIGJHUDHIAF Deviation = 3.69ppm
Search WEB for skeleton |
|
![]()
|
|
|
Structure Proposal # 3010 NJUGHBMTVWKYCP Deviation = 3.69ppm
Search WEB for skeleton |
|
![]()
|
|
|
Structure Proposal # 3011 IUTXZHRQBPXOSC Deviation = 3.69ppm
Search WEB for skeleton |
|
![]()
|
|
|
Structure Proposal # 3012 MZFLJYXTHVQEIJ Deviation = 3.69ppm
Search WEB for skeleton |
|
![]()
|
|
|
Structure Proposal # 3013 VSSYOGGFGFWNSA Deviation = 3.69ppm
Search WEB for skeleton |
|
![]()
|
|
|
Structure Proposal # 3014 NKYRXIQRABMXTL Deviation = 3.69ppm
Search WEB for skeleton |
|
![]()
|
|
|
Structure Proposal # 3015 SDEXNWKSBKBOBC Deviation = 3.69ppm
Search WEB for skeleton |
|
![]()
|
|
|
Structure Proposal # 3016 NIIUUPYTANYPLI Deviation = 3.69ppm
Search WEB for skeleton respect to your proposal |
|
![]()
|
|
|
Structure Proposal # 3017 PITRIABJMMCJGI Deviation = 3.69ppm
Search WEB for skeleton |
|
![]()
|
|
|
Structure Proposal # 3018 KZFUSIMBQBDYQY Deviation = 3.69ppm
Search WEB for skeleton |
|
![]()
|
|
|
Structure Proposal # 3019 HATXPIDHSNURKP Deviation = 3.69ppm
Search WEB for skeleton |
|
![]()
|
|
|
Structure Proposal # 3020 UONPBDCQMVVAOB Deviation = 3.69ppm
Search WEB for skeleton |
|
![]()
|
|
|
Structure Proposal # 3021 HAZSMRIEZAHCFG Deviation = 3.69ppm
Search WEB for skeleton |
|
![]()
|
|
|
Structure Proposal # 3022 OWAHIQGUNKDWJF Deviation = 3.69ppm
Search WEB for skeleton respect to your proposal |
|
![]()
|
|
|
Structure Proposal # 3023 UECRNZZUPRTAHV Deviation = 3.69ppm
Search WEB for skeleton |
|
![]()
|
|
|
Structure Proposal # 3024 PDZBLKAGXAIZBH Deviation = 3.69ppm
Search WEB for skeleton |
|
![]()
|
|
|
Structure Proposal # 3025 BAPHBQYKGPCBRJ Deviation = 3.69ppm
Search WEB for skeleton |
|
![]()
|
|
|
Structure Proposal # 3026 FMHKEGFRNISUCG Deviation = 3.70ppm
Search WEB for skeleton |
|
![]()
|
|
|
Structure Proposal # 3027 OKPOVFDNCKONTI Deviation = 3.70ppm
Search WEB for skeleton |
|
![]()
|
|
|
Structure Proposal # 3028 KFDIQGSHTCRNNJ Deviation = 3.70ppm
Search WEB for skeleton |
|
![]()
|
|
|
Structure Proposal # 3029 QDUDETXMRASODB Deviation = 3.70ppm
Search WEB for skeleton |
|
![]()
|
|
|
Structure Proposal # 3030 YMMSXPQHMLPZJH Deviation = 3.70ppm
Search WEB for skeleton |
|
![]()
|
|
|
Structure Proposal # 3031 YJLVFOVJYTYOQH Deviation = 3.70ppm
Search WEB for skeleton |
|
![]()
|
|
|
Structure Proposal # 3032 MLDIWAZTTHWLGC Deviation = 3.70ppm
Search WEB for skeleton |
|
![]()
|
|
|
Structure Proposal # 3033 UVLKJAXHEPRFNL Deviation = 3.70ppm
Search WEB for skeleton |
|
![]()
|
|
|
Structure Proposal # 3034 NAWBXVUHMZTGMI Deviation = 3.70ppm
Search WEB for skeleton respect to your proposal |
|
![]()
|
|
|
Structure Proposal # 3035 UHVYVYYQICGIMC Deviation = 3.70ppm
Search WEB for skeleton |
|
![]()
|
|
|
Structure Proposal # 3036 BQJQQCNRDISKOK Deviation = 3.70ppm
Search WEB for skeleton |
|
![]()
|
|
|
Structure Proposal # 3037 STODYMNOWDSKPD Deviation = 3.70ppm
Search WEB for skeleton |
|
![]()
|
|
|
Structure Proposal # 3038 DGEVNVZOSXRLFW Deviation = 3.70ppm
Search WEB for skeleton |
|
![]()
|
|
|
Structure Proposal # 3039 DFAXDBYJWJVEIY Deviation = 3.70ppm
Search WEB for skeleton respect to your proposal |
|
![]()
|
|
|
Structure Proposal # 3040 DIOVIVFWIRSZNQ Deviation = 3.70ppm
Search WEB for skeleton |
|
![]()
|
|
|
Structure Proposal # 3041 XKEBFXIBVAGZSH Deviation = 3.70ppm
Search WEB for skeleton |
|
![]()
|
|
|
Structure Proposal # 3042 VQHVNVPLZXOCTN Deviation = 3.70ppm
Search WEB for skeleton |
|
![]()
|
|
|
Structure Proposal # 3043 NYUHYIHXVQTVGE Deviation = 3.70ppm
Search WEB for skeleton |
|
![]()
|
|
|
Structure Proposal # 3044 WMSVQPAWEWMTJN Deviation = 3.70ppm
Search WEB for skeleton |
|
![]()
|
|
|
Structure Proposal # 3045 KFMXLOUTLDTKHG Deviation = 3.70ppm
Search WEB for skeleton |
|
![]()
|
|
|
Structure Proposal # 3046 MCMUCJBQRBFHKX Deviation = 3.70ppm
Search WEB for skeleton |
|
![]()
|
|
|
Structure Proposal # 3047 DSJBYMWRKZAJEY Deviation = 3.70ppm
Search WEB for skeleton |
|
![]()
|
|
|
Structure Proposal # 3048 UJNZISNANCFEJU Deviation = 3.70ppm
Search WEB for skeleton |
|
![]()
|
|
|
Structure Proposal # 3049 KHODXGCVQLBMIW Deviation = 3.70ppm
Search WEB for skeleton |
|
![]()
|
|
|
Structure Proposal # 3050 XQUQOFMOXDTYBC Deviation = 3.70ppm
Search WEB for skeleton |
|
![]()
|
|
|
Structure Proposal # 3051 LEXJMAQIXXPYTC Deviation = 3.70ppm
Search WEB for skeleton |
|
![]()
|
|
|
Structure Proposal # 3052 OPCPJLHLCQVJLY Deviation = 3.70ppm
Search WEB for skeleton respect to your proposal |
|
![]()
|
|
|
Structure Proposal # 3053 DJMQHGSCUOHOIO Deviation = 3.70ppm
Search WEB for skeleton |
|
![]()
|
|
|
Structure Proposal # 3054 IZLCACKEMNETQJ Deviation = 3.70ppm
Search WEB for skeleton |
|
![]()
|
|
|
Structure Proposal # 3055 LPWAGJBZMMPODN Deviation = 3.70ppm
Search WEB for skeleton |
|
![]()
|
|
|
Structure Proposal # 3056 IIBVNHNIJVXRNT Deviation = 3.70ppm
Search WEB for skeleton |
|
![]()
|
|
|
Structure Proposal # 3057 HYYIPVJRTBTNFM Deviation = 3.70ppm
Search WEB for skeleton |
|
![]()
|
|
|
Structure Proposal # 3058 FAQUVIQIDHHYGT Deviation = 3.70ppm
Search WEB for skeleton |
|
![]()
|
|
|
Structure Proposal # 3059 URFMMLRALKUTIZ Deviation = 3.70ppm
Search WEB for skeleton |
|
![]()
|
|
|
Structure Proposal # 3060 LORJEDACDUCHTK Deviation = 3.70ppm
Search WEB for skeleton |
|
![]()
|
|
|
Structure Proposal # 3061 MIVMZEQTLNVLEC Deviation = 3.70ppm
Search WEB for skeleton |
|
![]()
|
|
|
Structure Proposal # 3062 FXHZXDFCUGNHOW Deviation = 3.70ppm
Search WEB for skeleton |
|
![]()
|
|
|
Structure Proposal # 3063 XBEDXPOYIBKCMF Deviation = 3.70ppm
Search WEB for skeleton respect to your proposal |
|
![]()
|
|
|
Structure Proposal # 3064 NGLNBUMTUFEWEI Deviation = 3.70ppm
Search WEB for skeleton |
|
![]()
|
|
|
Structure Proposal # 3065 FWVBOQYYRLLIAW Deviation = 3.70ppm
Search WEB for skeleton |
|
![]()
|
|
|
Structure Proposal # 3066 OHIVBOQXNXLSSM Deviation = 3.71ppm
Search WEB for skeleton |
|
![]()
|
|
|
Structure Proposal # 3067 DEGMTOHZFAGHKS Deviation = 3.71ppm
Search WEB for skeleton |
|
![]()
|
|
|
Structure Proposal # 3068 CNXYDLSSGVRINX Deviation = 3.71ppm
Search WEB for skeleton |
|
![]()
|
|
|
Structure Proposal # 3069 UFPBIPOQTWVPKC Deviation = 3.71ppm
Search WEB for skeleton |
|
![]()
|
|
|
Structure Proposal # 3070 GYUNRRBPKVDPOZ Deviation = 3.71ppm
Search WEB for skeleton |
|
![]()
|
|
|
Structure Proposal # 3071 FEYCQFHYEUJINZ Deviation = 3.71ppm
Search WEB for skeleton |
|
![]()
|
|
|
Structure Proposal # 3072 ZLHGXWYNGOFRKJ Deviation = 3.71ppm
Search WEB for skeleton |
|
![]()
|
|
|
Structure Proposal # 3073 ANKCVLOHONQCDX Deviation = 3.71ppm
Search WEB for skeleton respect to your proposal |
|
![]()
|
|
|
Structure Proposal # 3074 GVVORLRIUPXOPF Deviation = 3.71ppm
Search WEB for skeleton |
|
![]()
|
|
|
Structure Proposal # 3075 RDGKCNSIQLROCE Deviation = 3.71ppm
Search WEB for skeleton |
|
![]()
|
|
|
Structure Proposal # 3076 QXQBNXHGPSQTLM Deviation = 3.71ppm
Search WEB for skeleton |
|
![]()
|
|
|
Structure Proposal # 3077 UIKCCNKGMKZMHK Deviation = 3.71ppm
Search WEB for skeleton respect to your proposal |
|
![]()
|
|
|
Structure Proposal # 3078 BYURQSIALPEDJY Deviation = 3.71ppm
Search WEB for skeleton |
|
![]()
|
|
|
Structure Proposal # 3079 NASOULUVYDYPNZ Deviation = 3.71ppm
Search WEB for skeleton respect to your proposal |
|
![]()
|
|
|
Structure Proposal # 3080 QFMLEYXJKOAHAO Deviation = 3.71ppm
Search WEB for skeleton |
|
![]()
|
|
|
Structure Proposal # 3081 WRNUYAZHCKMTRU Deviation = 3.71ppm
Search WEB for skeleton |
|
![]()
|
|
|
Structure Proposal # 3082 CHODQJQDGFPSDK Deviation = 3.71ppm
Search WEB for skeleton |
|
![]()
|
|
|
Structure Proposal # 3083 RVWWZDRMCRKRSX Deviation = 3.71ppm
Search WEB for skeleton |
|
![]()
|
|
|
Structure Proposal # 3084 AKLXLCOWEKHAJF Deviation = 3.71ppm
Search WEB for skeleton |
|
![]()
|
|
|
Structure Proposal # 3085 MLWCFPYJAOLAKJ Deviation = 3.71ppm
Search WEB for skeleton respect to your proposal |
|
![]()
|
|
|
Structure Proposal # 3086 YVVRUYMBOGDUHU Deviation = 3.71ppm
Search WEB for skeleton |
|
![]()
|
|
|
Structure Proposal # 3087 GNCBTHNJXHUMRH Deviation = 3.71ppm
Search WEB for skeleton |
|
![]()
|
|
|
Structure Proposal # 3088 BUVARJZUSRQYAW Deviation = 3.71ppm
Search WEB for skeleton |
|
![]()
|
|
|
Structure Proposal # 3089 NKMRLGJVGXDXPE Deviation = 3.71ppm
Search WEB for skeleton |
|
![]()
|
|
|
Structure Proposal # 3090 WKGVKFCADBMRMS Deviation = 3.71ppm
Search WEB for skeleton |
|
![]()
|
|
|
Structure Proposal # 3091 YEPQTDIZKOFEMV Deviation = 3.71ppm
Search WEB for skeleton respect to your proposal |
|
![]()
|
|
|
Structure Proposal # 3092 NETFNOHDKKVDEZ Deviation = 3.71ppm
Search WEB for skeleton respect to your proposal |
|
![]()
|
|
|
Structure Proposal # 3093 ZGYXVKBTQRSGJG Deviation = 3.71ppm
Search WEB for skeleton respect to your proposal |
|
![]()
|
|
|
Structure Proposal # 3094 RWFMMRUPFHBJON Deviation = 3.71ppm
Search WEB for skeleton |
|
![]()
|
|
|
Structure Proposal # 3095 PHDVBSUXMJWJJO Deviation = 3.71ppm
Search WEB for skeleton |
|
![]()
|
|
|
Structure Proposal # 3096 VLAFEJREIMVBFP Deviation = 3.71ppm
Search WEB for skeleton |
|
![]()
|
|
|
Structure Proposal # 3097 OASRSDKGGQUMAX Deviation = 3.71ppm
Search WEB for skeleton |
|
![]()
|
|
|
Structure Proposal # 3098 NICYTDDCUDFJNV Deviation = 3.71ppm
Search WEB for skeleton |
|
![]()
|
|
|
Structure Proposal # 3099 FULGCJDWKFBJLH Deviation = 3.71ppm
Search WEB for skeleton respect to your proposal |
|
![]()
|
|
|
Structure Proposal # 3100 XJGRKLLUNKPPGQ Deviation = 3.71ppm
Search WEB for skeleton |
|
![]()
|
|
|
Structure Proposal # 3101 OVHKRDMUVXNFEZ Deviation = 3.71ppm
Search WEB for skeleton |
|
![]()
|
|
|
Structure Proposal # 3102 VVOJQYODEUHHKU Deviation = 3.71ppm
Search WEB for skeleton |
|
![]()
|
|
|
Structure Proposal # 3103 DACNCWYUXXWGCA Deviation = 3.72ppm
Search WEB for skeleton |
|
![]()
|
|
|
Structure Proposal # 3104 SGYZKLBZUWSSBT Deviation = 3.72ppm
Search WEB for skeleton respect to your proposal |
|
![]()
|
|
|
Structure Proposal # 3105 DAOIWJQBBVRTNB Deviation = 3.72ppm
Search WEB for skeleton |
|
![]()
|
|
|
Structure Proposal # 3106 VAPUWFOVEQSKFK Deviation = 3.72ppm
Search WEB for skeleton |
|
![]()
|
|
|
Structure Proposal # 3107 AXZMZQDZUYMUDX Deviation = 3.72ppm
Search WEB for skeleton |
|
![]()
|
|
|
Structure Proposal # 3108 ALSBWDWJBWSRRQ Deviation = 3.72ppm
Search WEB for skeleton |
|
![]()
|
|
|
Structure Proposal # 3109 YKJSKVCGTNSZQB Deviation = 3.72ppm
Search WEB for skeleton |
|
![]()
|
|
|
Structure Proposal # 3110 AECFBFXWJVBVPI Deviation = 3.72ppm
Search WEB for skeleton |
|
![]()
|
|
|
Structure Proposal # 3111 LIKOMCORKFKFPC Deviation = 3.72ppm
Search WEB for skeleton |
|
![]()
|
|
|
Structure Proposal # 3112 ZYWMQPOGHQHGIH Deviation = 3.72ppm
Search WEB for skeleton |
|
![]()
|
|
|
Structure Proposal # 3113 BSBDVGGHOJSBBK Deviation = 3.72ppm
Search WEB for skeleton |
|
![]()
|
|
|
Structure Proposal # 3114 ZDEMWYFWNMUGLR Deviation = 3.72ppm
Search WEB for skeleton respect to your proposal |
|
![]()
|
|
|
Structure Proposal # 3115 BRGUFSHCBVSNKD Deviation = 3.72ppm
Search WEB for skeleton |
|
![]()
|
|
|
Structure Proposal # 3116 CTQWFMCGLCBKPK Deviation = 3.72ppm
Search WEB for skeleton |
|
![]()
|
|
|
Structure Proposal # 3117 ZATLDPBQXFLCGZ Deviation = 3.72ppm
Search WEB for skeleton respect to your proposal |
|
![]()
|
|
|
Structure Proposal # 3118 YATZHLILKQQWSG Deviation = 3.72ppm
Search WEB for skeleton |
|
![]()
|
|
|
Structure Proposal # 3119 IXQUTDAKAVPFOH Deviation = 3.72ppm
Search WEB for skeleton |
|
![]()
|
|
|
Structure Proposal # 3120 BAURUWJMGZJPGD Deviation = 3.72ppm
Search WEB for skeleton respect to your proposal |
|
![]()
|
|
|
Structure Proposal # 3121 VIMIHHBTTARVAI Deviation = 3.72ppm
Search WEB for skeleton |
|
![]()
|
|
|
Structure Proposal # 3122 WNOMTDBNARHKDK Deviation = 3.72ppm
Search WEB for skeleton |
|
![]()
|
|
|
Structure Proposal # 3123 RELCWUFOLVYVCM Deviation = 3.72ppm
Search WEB for skeleton |
|
![]()
|
|
|
Structure Proposal # 3124 NZCWFLZCTZWHGY Deviation = 3.72ppm
Search WEB for skeleton |
|
![]()
|
|
|
Structure Proposal # 3125 FTDWTJKHPATIDB Deviation = 3.72ppm
Search WEB for skeleton respect to your proposal |
|
![]()
|
|
|
Structure Proposal # 3126 RGZFIMOTTQTGLE Deviation = 3.72ppm
Search WEB for skeleton |
|
![]()
|
|
|
Structure Proposal # 3127 NWZKELXSVLHGBQ Deviation = 3.72ppm
Search WEB for skeleton |
|
![]()
|
|
|
Structure Proposal # 3128 FMPJYLYXKAIHOU Deviation = 3.72ppm
Search WEB for skeleton |
|
![]()
|
|
|
Structure Proposal # 3129 JIAITUPFGYDDGG Deviation = 3.72ppm
Search WEB for skeleton |
|
![]()
|
|
|
Structure Proposal # 3130 HUGLDXPTPJJZAB Deviation = 3.72ppm
Search WEB for skeleton |
|
![]()
|
|
|
Structure Proposal # 3131 QEFXIWNDMCGAGJ Deviation = 3.72ppm
Search WEB for skeleton |
|
![]()
|
|
|
Structure Proposal # 3132 WIBARAPEJAHPIW Deviation = 3.72ppm
Search WEB for skeleton |
|
![]()
|
|
|
Structure Proposal # 3133 OMDJJBNOGZTIMT Deviation = 3.72ppm
Search WEB for skeleton |
|
![]()
|
|
|
Structure Proposal # 3134 FWKIFCPEFCFLCR Deviation = 3.72ppm
Search WEB for skeleton |
|
![]()
|
|
|
Structure Proposal # 3135 BUUWXXKHMIFMTJ Deviation = 3.73ppm
Search WEB for skeleton |
|
![]()
|
|
|
Structure Proposal # 3136 BSMFYRDIIWKRCT Deviation = 3.73ppm
Search WEB for skeleton |
|
![]()
|
|
|
Structure Proposal # 3137 JUOYLYUWBMIRGQ Deviation = 3.73ppm
Search WEB for skeleton |
|
![]()
|
|
|
Structure Proposal # 3138 GWJFPDTXNRICPG Deviation = 3.73ppm
Search WEB for skeleton |
|
![]()
|
|
|
Structure Proposal # 3139 KFJFRKAXOOQKKR Deviation = 3.73ppm
Search WEB for skeleton |
|
![]()
|
|
|
Structure Proposal # 3140 XUPFYRKZYDTQOZ Deviation = 3.73ppm
Search WEB for skeleton |
|
![]()
|
|
|
Structure Proposal # 3141 VHFDURYMZYKYCC Deviation = 3.73ppm
Search WEB for skeleton |
|
![]()
|
|
|
Structure Proposal # 3142 VLAVHJJZWFKDTA Deviation = 3.73ppm
Search WEB for skeleton |
|
![]()
|
|
|
Structure Proposal # 3143 RCIZJVSJNRFJJC Deviation = 3.73ppm
Search WEB for skeleton |
|
![]()
|
|
|
Structure Proposal # 3144 JQBAEVHPUKJKQS Deviation = 3.73ppm
Search WEB for skeleton |
|
![]()
|
|
|
Structure Proposal # 3145 FNXYFKVVHFQCJW Deviation = 3.73ppm
Search WEB for skeleton |
|
![]()
|
|
|
Structure Proposal # 3146 WCLSIJUEBSHZEI Deviation = 3.73ppm
Search WEB for skeleton |
|
![]()
|
|
|
Structure Proposal # 3147 NHVREJKPTSOIKR Deviation = 3.73ppm
Search WEB for skeleton |
|
![]()
|
|
|
Structure Proposal # 3148 JYSOIQQWERQDTI Deviation = 3.73ppm
Search WEB for skeleton |
|
![]()
|
|
|
Structure Proposal # 3149 HMSYKYOFALCKDY Deviation = 3.73ppm
Search WEB for skeleton |
|
![]()
|
|
|
Structure Proposal # 3150 ZIFGFYWJEHCCGN Deviation = 3.73ppm
Search WEB for skeleton |
|
![]()
|
|
|
Structure Proposal # 3151 VTUSNZFESBFISN Deviation = 3.73ppm
Search WEB for skeleton |
|
![]()
|
|
|
Structure Proposal # 3152 MSKSFKMHMXHHRR Deviation = 3.73ppm
Search WEB for skeleton |
|
![]()
|
|
|
Structure Proposal # 3153 MBCMQRNAYLOCOJ Deviation = 3.73ppm
Search WEB for skeleton |
|
![]()
|
|
|
Structure Proposal # 3154 JRKGFDHEHTXHEI Deviation = 3.73ppm
Search WEB for skeleton |
|
![]()
|
|
|
Structure Proposal # 3155 DGNKJDVYMZAJKG Deviation = 3.73ppm
Search WEB for skeleton |
|
![]()
|
|
|
Structure Proposal # 3156 YKHMWFPSZKWZSQ Deviation = 3.73ppm
Search WEB for skeleton |
|
![]()
|
|
|
Structure Proposal # 3157 CGBCPYIMIHPUFZ Deviation = 3.73ppm
Search WEB for skeleton |
|
![]()
|
|
|
Structure Proposal # 3158 MRBDIHXNIZKNAQ Deviation = 3.73ppm
Search WEB for skeleton |
|
![]()
|
|
|
Structure Proposal # 3159 QRFBSLVDVGYIEK Deviation = 3.73ppm
Search WEB for skeleton |
|
![]()
|
|
|
Structure Proposal # 3160 HPHRZHLGPFWYRN Deviation = 3.73ppm
Search WEB for skeleton |
|
![]()
|
|
|
Structure Proposal # 3161 XQUCCLWTXHDRHG Deviation = 3.73ppm
Search WEB for skeleton |
|
![]()
|
|
|
Structure Proposal # 3162 ONIBDRGBIKQXOJ Deviation = 3.73ppm
Search WEB for skeleton |
|
![]()
|
|
|
Structure Proposal # 3163 LCQISIJEVFDUFQ Deviation = 3.73ppm
Search WEB for skeleton |
|
![]()
|
|
|
Structure Proposal # 3164 OCACHRNWTFPATG Deviation = 3.73ppm
Search WEB for skeleton |
|
![]()
|
|
|
Structure Proposal # 3165 CJYBIFTWGCJQAK Deviation = 3.73ppm
Search WEB for skeleton |
|
![]()
|
|
|
Structure Proposal # 3166 LUQUKRXHJPCCFP Deviation = 3.73ppm
Search WEB for skeleton respect to your proposal |
|
![]()
|
|
|
Structure Proposal # 3167 XOGXUOWORIWYNT Deviation = 3.73ppm
Search WEB for skeleton respect to your proposal |
|
![]()
|
|
|
Structure Proposal # 3168 GZIUPKORBNRZHB Deviation = 3.73ppm
Search WEB for skeleton |
|
![]()
|
|
|
Structure Proposal # 3169 RKUIDLMEYJNWQI Deviation = 3.73ppm
Search WEB for skeleton |
|
![]()
|
|
|
Structure Proposal # 3170 HQKYNZSBYSNINQ Deviation = 3.73ppm
Search WEB for skeleton |
|
![]()
|
|
|
Structure Proposal # 3171 BWARZEMVTIWZPE Deviation = 3.73ppm
Search WEB for skeleton |
|
![]()
|
|
|
Structure Proposal # 3172 YPPOTQOZMALCBL Deviation = 3.73ppm
Search WEB for skeleton |
|
![]()
|
|
|
Structure Proposal # 3173 PJTOECQUXCURIJ Deviation = 3.73ppm
Search WEB for skeleton |
|
![]()
|
|
|
Structure Proposal # 3174 JGUCOWLUNIMWRI Deviation = 3.73ppm
Search WEB for skeleton |
|
![]()
|
|
|
Structure Proposal # 3175 QLWXBSOSMWRACL Deviation = 3.73ppm
Search WEB for skeleton |
|
![]()
|
|
|
Structure Proposal # 3176 NDPYYGIHNTYZFQ Deviation = 3.73ppm
Search WEB for skeleton |
|
![]()
|
|
|
Structure Proposal # 3177 VNAAUYAQQXYPFZ Deviation = 3.73ppm
Search WEB for skeleton |
|
![]()
|
|
|
Structure Proposal # 3178 DQBBVYLMHVDYST Deviation = 3.73ppm
Search WEB for skeleton |
|
![]()
|
|
|
Structure Proposal # 3179 XDICZJPNVZBGNC Deviation = 3.74ppm
Search WEB for skeleton |
|
![]()
|
|
|
Structure Proposal # 3180 FSHUNWCMPWGZEL Deviation = 3.74ppm
Search WEB for skeleton |
|
![]()
|
|
|
Structure Proposal # 3181 KTEBGUGRWYVQGT Deviation = 3.74ppm
Search WEB for skeleton respect to your proposal |
|
![]()
|
|
|
Structure Proposal # 3182 LAWHUTJYJVPUFU Deviation = 3.74ppm
Search WEB for skeleton respect to your proposal |
|
![]()
|
|
|
Structure Proposal # 3183 TUQHNAXHNZIBKN Deviation = 3.74ppm
Search WEB for skeleton |
|
![]()
|
|
|
Structure Proposal # 3184 DODJGBOSHRFZBE Deviation = 3.74ppm
Search WEB for skeleton |
|
![]()
|
|
|
Structure Proposal # 3185 RGZSTTVNCZCEBX Deviation = 3.74ppm
Search WEB for skeleton respect to your proposal |
|
![]()
|
|
|
Structure Proposal # 3186 QQFSYNKDCZAFSR Deviation = 3.74ppm
Search WEB for skeleton |
|
![]()
|
|
|
Structure Proposal # 3187 WXJRGWQFUDQHCA Deviation = 3.74ppm
Search WEB for skeleton |
|
![]()
|
|
|
Structure Proposal # 3188 GOGOQMMNXBPTSH Deviation = 3.74ppm
Search WEB for skeleton |
|
![]()
|
|
|
Structure Proposal # 3189 SAZFSROYDVJGOJ Deviation = 3.74ppm
Search WEB for skeleton |
|
![]()
|
|
|
Structure Proposal # 3190 QFFDSSVPXSHUAT Deviation = 3.74ppm
Search WEB for skeleton |
|
![]()
|
|
|
Structure Proposal # 3191 LJRWAXVTLOIRSY Deviation = 3.74ppm
Search WEB for skeleton |
|
![]()
|
|
|
Structure Proposal # 3192 YHLGSAYDONBEEI Deviation = 3.74ppm
Search WEB for skeleton |
|
![]()
|
|
|
Structure Proposal # 3193 LPAGQCOWXGAGSI Deviation = 3.74ppm
Search WEB for skeleton |
|
![]()
|
|
|
Structure Proposal # 3194 PUCMANVWJAJCOM Deviation = 3.74ppm
Search WEB for skeleton |
|
![]()
|
|
|
Structure Proposal # 3195 ZJYNOIYGAVKMEK Deviation = 3.74ppm
Search WEB for skeleton |
|
![]()
|
|
|
Structure Proposal # 3196 HQZWQVXOZOESGQ Deviation = 3.74ppm
Search WEB for skeleton |
|
![]()
|
|
|
Structure Proposal # 3197 XTVOVJICERKABF Deviation = 3.74ppm
Search WEB for skeleton |
|
![]()
|
|
|
Structure Proposal # 3198 UBRNGTBVZYQMQL Deviation = 3.74ppm
Search WEB for skeleton respect to your proposal |
|
![]()
|
|
|
Structure Proposal # 3199 JRXFSJRZHZXTQY Deviation = 3.74ppm
Search WEB for skeleton respect to your proposal |
|
![]()
|
|
|
Structure Proposal # 3200 QAQACZWYQUIACF Deviation = 3.74ppm
Search WEB for skeleton |
|
![]()
|
|
|
Structure Proposal # 3201 MIGMUFFQWMBWHR Deviation = 3.74ppm
Search WEB for skeleton |
|
![]()
|
|
|
Structure Proposal # 3202 HUNARENKFSJKNV Deviation = 3.74ppm
Search WEB for skeleton respect to your proposal |
|
![]()
|
|
|
Structure Proposal # 3203 AFAMRXIEHUZCEZ Deviation = 3.74ppm
Search WEB for skeleton |
|
![]()
|
|
|
Structure Proposal # 3204 RARJFIAVMRRPHR Deviation = 3.74ppm
Search WEB for skeleton |
|
![]()
|
|
|
Structure Proposal # 3205 OLLXSAUDIVFSKQ Deviation = 3.74ppm
Search WEB for skeleton |
|
![]()
|
|
|
Structure Proposal # 3206 WHIMBPRJUTXRBS Deviation = 3.74ppm
Search WEB for skeleton |
|
![]()
|
|
|
Structure Proposal # 3207 BHOCNPQCFBBAPZ Deviation = 3.74ppm
Search WEB for skeleton |
|
![]()
|
|
|
Structure Proposal # 3208 HMYIOWFZUWPQKV Deviation = 3.74ppm
Search WEB for skeleton |
|
![]()
|
|
|
Structure Proposal # 3209 PENMQSLPCCWMJN Deviation = 3.74ppm
Search WEB for skeleton |
|
![]()
|
|
|
Structure Proposal # 3210 JWQQKZLJJIYJDO Deviation = 3.74ppm
Search WEB for skeleton |
|
![]()
|
|
|
Structure Proposal # 3211 RDMQCNAMJTUZSJ Deviation = 3.74ppm
Search WEB for skeleton |
|
![]()
|
|
|
Structure Proposal # 3212 BEBPFEBMNPBXEJ Deviation = 3.74ppm
Search WEB for skeleton |
|
![]()
|
|
|
Structure Proposal # 3213 NGGNVHJJPJJVEP Deviation = 3.74ppm
Search WEB for skeleton |
|
![]()
|
|
|
Structure Proposal # 3214 YMSQKWCTBNDLJR Deviation = 3.74ppm
Search WEB for skeleton respect to your proposal |
|
![]()
|
|
|
Structure Proposal # 3215 HIOFVOUVGHGQDX Deviation = 3.74ppm
Search WEB for skeleton |
|
![]()
|
|
|
Structure Proposal # 3216 RAWYAGCSNIWLPT Deviation = 3.74ppm
Search WEB for skeleton |
|
![]()
|
|
|
Structure Proposal # 3217 CZVRKBYATQDEPY Deviation = 3.74ppm
Search WEB for skeleton |
|
![]()
|
|
|
Structure Proposal # 3218 SYXBRIMLOUKHRZ Deviation = 3.74ppm
Search WEB for skeleton |
|
![]()
|
|
|
Structure Proposal # 3219 QXQOPDQSNFYMMI Deviation = 3.74ppm
Search WEB for skeleton |
|
![]()
|
|
|
Structure Proposal # 3220 ACIOOMVFDLHYGN Deviation = 3.74ppm
Search WEB for skeleton |
|
![]()
|
|
|
Structure Proposal # 3221 MJVVOEAHCLZNAN Deviation = 3.74ppm
Search WEB for skeleton respect to your proposal |
|
![]()
|
|
|
Structure Proposal # 3222 ABXONTXFOYDDFG Deviation = 3.74ppm
Search WEB for skeleton |
|
![]()
|
|
|
Structure Proposal # 3223 KKKIEOPWFOVWBL Deviation = 3.75ppm
Search WEB for skeleton respect to your proposal |
|
![]()
|
|
|
Structure Proposal # 3224 SKPLBFNNTBXNDF Deviation = 3.75ppm
Search WEB for skeleton respect to your proposal |
|
![]()
|
|
|
Structure Proposal # 3225 UIWUWHIAICWFHT Deviation = 3.75ppm
Search WEB for skeleton |
|
![]()
|
|
|
Structure Proposal # 3226 XIZHKWLKKKAHHA Deviation = 3.75ppm
Search WEB for skeleton |
|
![]()
|
|
|
Structure Proposal # 3227 WYPQORORCORITL Deviation = 3.75ppm
Search WEB for skeleton |
|
![]()
|
|
|
Structure Proposal # 3228 BWDBOSAHFFKQOT Deviation = 3.75ppm
Search WEB for skeleton |
|
![]()
|
|
|
Structure Proposal # 3229 XQQPPQNYYOJFJG Deviation = 3.75ppm
Search WEB for skeleton |
|
![]()
|
|
|
Structure Proposal # 3230 SPWQEKGHMRJPOE Deviation = 3.75ppm
Search WEB for skeleton |
|
![]()
|
|
|
Structure Proposal # 3231 DGPSTZZXCGHXQR Deviation = 3.75ppm
Search WEB for skeleton |
|
![]()
|
|
|
Structure Proposal # 3232 RYFRSABTSXXARU Deviation = 3.75ppm
Search WEB for skeleton |
|
![]()
|
|
|
Structure Proposal # 3233 VBFRKHVXMMCCQL Deviation = 3.75ppm
Search WEB for skeleton |
|
![]()
|
|
|
Structure Proposal # 3234 NZHQAKDOIWWGJB Deviation = 3.75ppm
Search WEB for skeleton respect to your proposal |
|
![]()
|
|
|
Structure Proposal # 3235 NXJUMJSQMBILOZ Deviation = 3.75ppm
Search WEB for skeleton |
|
![]()
|
|
|
Structure Proposal # 3236 ANCILMOHIZPXKI Deviation = 3.75ppm
Search WEB for skeleton |
|
![]()
|
|
|
Structure Proposal # 3237 VCPFNVLDSOQOBR Deviation = 3.75ppm
Search WEB for skeleton respect to your proposal |
|
![]()
|
|
|
Structure Proposal # 3238 ZCVVFPJYUFGWGU Deviation = 3.75ppm
Search WEB for skeleton |
|
![]()
|
|
|
Structure Proposal # 3239 HVPFGRNCCYJBMI Deviation = 3.75ppm
Search WEB for skeleton |
|
![]()
|
|
|
Structure Proposal # 3240 AVDQDLGQBJAWKN Deviation = 3.75ppm
Search WEB for skeleton |
|
![]()
|
|
|
Structure Proposal # 3241 WEOAWIKQJLLPEO Deviation = 3.75ppm
Search WEB for skeleton respect to your proposal |
|
![]()
|
|
|
Structure Proposal # 3242 JFHPLOSWDDVQRF Deviation = 3.75ppm
Search WEB for skeleton |
|
![]()
|
|
|
Structure Proposal # 3243 BKAQZSVCPJWFMI Deviation = 3.75ppm
Search WEB for skeleton |
|
![]()
|
|
|
Structure Proposal # 3244 WRORABLMKANECE Deviation = 3.75ppm
Search WEB for skeleton respect to your proposal |
|
![]()
|
|
|
Structure Proposal # 3245 ZBYDMDMZTLJOCH Deviation = 3.75ppm
Search WEB for skeleton |
|
![]()
|
|
|
Structure Proposal # 3246 AIFRCCSKWKZPNY Deviation = 3.75ppm
Search WEB for skeleton |
|
![]()
|
|
|
Structure Proposal # 3247 GJFDNAUGADIILB Deviation = 3.75ppm
Search WEB for skeleton |
|
![]()
|
|
|
Structure Proposal # 3248 ZGAFHJNDOMHZHR Deviation = 3.75ppm
Search WEB for skeleton |
|
![]()
|
|
|
Structure Proposal # 3249 GZCALSNZWNUWQV Deviation = 3.75ppm
Search WEB for skeleton respect to your proposal |
|
![]()
|
|
|
Structure Proposal # 3250 BHIRDEKYKKISQU Deviation = 3.75ppm
Search WEB for skeleton |
|
![]()
|
|
|
Structure Proposal # 3251 SJWVEMCVKZLPJB Deviation = 3.75ppm
Search WEB for skeleton |
|
![]()
|
|
|
Structure Proposal # 3252 CJEJFLBYTBNMGQ Deviation = 3.75ppm
Search WEB for skeleton |
|
![]()
|
|
|
Structure Proposal # 3253 JGESVLZECFIUSV Deviation = 3.75ppm
Search WEB for skeleton |
|
![]()
|
|
|
Structure Proposal # 3254 KQWTXWIATJDGMA Deviation = 3.75ppm
Search WEB for skeleton |
|
![]()
|
|
|
Structure Proposal # 3255 TYKFICSTNSJOMF Deviation = 3.75ppm
Search WEB for skeleton |
|
![]()
|
|
|
Structure Proposal # 3256 RIENUCVUDOUVIE Deviation = 3.75ppm
Search WEB for skeleton |
|
![]()
|
|
|
Structure Proposal # 3257 VTPXGJDZOOXEDL Deviation = 3.75ppm
Search WEB for skeleton |
|
![]()
|
|
|
Structure Proposal # 3258 RSEHABGTRBUPIU Deviation = 3.76ppm
Search WEB for skeleton |
|
![]()
|
|
|
Structure Proposal # 3259 YSPCKGMQBJSWPP Deviation = 3.76ppm
Search WEB for skeleton |
|
![]()
|
|
|
Structure Proposal # 3260 GWIPBEYCDNZGLB Deviation = 3.76ppm
Search WEB for skeleton |
|
![]()
|
|
|
Structure Proposal # 3261 SSHUCLBJEDYRON Deviation = 3.76ppm
Search WEB for skeleton |
|
![]()
|
|
|
Structure Proposal # 3262 UXADFSQGNQGRCS Deviation = 3.76ppm
Search WEB for skeleton |
|
![]()
|
|
|
Structure Proposal # 3263 HHKMNIKEBNUJRA Deviation = 3.76ppm
Search WEB for skeleton |
|
![]()
|
|
|
Structure Proposal # 3264 GDCXJYHWICEFCM Deviation = 3.76ppm
Search WEB for skeleton |
|
![]()
|
|
|
Structure Proposal # 3265 DPIIETGLYJFTCW Deviation = 3.76ppm
Search WEB for skeleton |
|
![]()
|
|
|
Structure Proposal # 3266 SWULABMOOMOMOR Deviation = 3.76ppm
Search WEB for skeleton |
|
![]()
|
|
|
Structure Proposal # 3267 STCOYBHWFCRZEV Deviation = 3.76ppm
Search WEB for skeleton |
|
![]()
|
|
|
Structure Proposal # 3268 MQNPJVMWQJLYPZ Deviation = 3.76ppm
Search WEB for skeleton |
|
![]()
|
|
|
Structure Proposal # 3269 UCNQAUYZQOFGJW Deviation = 3.76ppm
Search WEB for skeleton |
|
![]()
|
|
|
Structure Proposal # 3270 BMYZIVPDKFCATK Deviation = 3.76ppm
Search WEB for skeleton |
|
![]()
|
|
|
Structure Proposal # 3271 WYYOTIWLDBPRKC Deviation = 3.76ppm
Search WEB for skeleton respect to your proposal |
|
![]()
|
|
|
Structure Proposal # 3272 MKYBBBQFRXRYBO Deviation = 3.76ppm
Search WEB for skeleton |
|
![]()
|
|
|
Structure Proposal # 3273 CAVYNTJGOMSSFN Deviation = 3.76ppm
Search WEB for skeleton |
|
![]()
|
|
|
Structure Proposal # 3274 AKBPBUWBYPBORD Deviation = 3.76ppm
Search WEB for skeleton |
|
![]()
|
|
|
Structure Proposal # 3275 JNEUCWHIIORHID Deviation = 3.76ppm
Search WEB for skeleton |
|
![]()
|
|
|
Structure Proposal # 3276 PRTMQFUESBSGSZ Deviation = 3.76ppm
Search WEB for skeleton |
|
![]()
|
|
|
Structure Proposal # 3277 WDMFVYACTZYLRX Deviation = 3.76ppm
Search WEB for skeleton |
|
![]()
|
|
|
Structure Proposal # 3278 STZISTSPKJBPSF Deviation = 3.76ppm
Search WEB for skeleton respect to your proposal |
|
![]()
|
|
|
Structure Proposal # 3279 WOOSTWVIIUUDNM Deviation = 3.76ppm
Search WEB for skeleton |
|
![]()
|
|
|
Structure Proposal # 3280 SSLSHFPQEJIMCT Deviation = 3.76ppm
Search WEB for skeleton |
|
![]()
|
|
|
Structure Proposal # 3281 PPCIJCKWNNOMAS Deviation = 3.76ppm
Search WEB for skeleton |
|
![]()
|
|
|
Structure Proposal # 3282 IXKPDJHSLOFVGK Deviation = 3.76ppm
Search WEB for skeleton |
|
![]()
|
|
|
Structure Proposal # 3283 MMCYHGCEOOEQEU Deviation = 3.76ppm
Search WEB for skeleton |
|
![]()
|
|
|
Structure Proposal # 3284 PTUCMJGYEZRBNV Deviation = 3.76ppm
Search WEB for skeleton |
|
![]()
|
|
|
Structure Proposal # 3285 HVLIZZOSEDCGQU Deviation = 3.76ppm
Search WEB for skeleton |
|
![]()
|
|
|
Structure Proposal # 3286 RXULTIXYRVBAGU Deviation = 3.76ppm
Search WEB for skeleton respect to your proposal |
|
![]()
|
|
|
Structure Proposal # 3287 GLVHIUROWXPCKX Deviation = 3.76ppm
Search WEB for skeleton |
|
![]()
|
|
|
Structure Proposal # 3288 VIEWDFDDCYFGKX Deviation = 3.76ppm
Search WEB for skeleton |
|
![]()
|
|
|
Structure Proposal # 3289 BFXDTCFLMJQABL Deviation = 3.76ppm
Search WEB for skeleton |
|
![]()
|
|
|
Structure Proposal # 3290 OOMSUXOAZGLBJN Deviation = 3.76ppm
Search WEB for skeleton |
|
![]()
|
|
|
Structure Proposal # 3291 ARQLAJLXOOKAIT Deviation = 3.77ppm
Search WEB for skeleton |
|
![]()
|
|
|
Structure Proposal # 3292 NJQCQYIGMCDQPG Deviation = 3.77ppm
Search WEB for skeleton respect to your proposal |
|
![]()
|
|
|
Structure Proposal # 3293 YOOAZHICSLPSAT Deviation = 3.77ppm
Search WEB for skeleton |
|
![]()
|
|
|
Structure Proposal # 3294 ULBSEWVLSWGOLA Deviation = 3.77ppm
Search WEB for skeleton |
|
![]()
|
|
|
Structure Proposal # 3295 XPANZMDYGZNDBJ Deviation = 3.77ppm
Search WEB for skeleton |
|
![]()
|
|
|
Structure Proposal # 3296 MLXBFBZCTVZZCQ Deviation = 3.77ppm
Search WEB for skeleton |
|
![]()
|
|
|
Structure Proposal # 3297 FSHCRBWEIONFAR Deviation = 3.77ppm
Search WEB for skeleton |
|
![]()
|
|
|
Structure Proposal # 3298 UACGCJAKCOPWOD Deviation = 3.77ppm
Search WEB for skeleton |
|
![]()
|
|
|
Structure Proposal # 3299 MGTYDNUFGNBEHK Deviation = 3.77ppm
Search WEB for skeleton respect to your proposal |
|
![]()
|
|
|
Structure Proposal # 3300 SOUWQLCJAIDUMV Deviation = 3.77ppm
Search WEB for skeleton |
|
![]()
|
|
|
Structure Proposal # 3301 AAYOEPZJBYXULR Deviation = 3.77ppm
Search WEB for skeleton |
|
![]()
|
|
|
Structure Proposal # 3302 JFJBDQQEOYFQQW Deviation = 3.77ppm
Search WEB for skeleton |
|
![]()
|
|
|
Structure Proposal # 3303 QZYOURXNPUACNY Deviation = 3.77ppm
Search WEB for skeleton |
|
![]()
|
|
|
Structure Proposal # 3304 QLTQCVJDOQRTEX Deviation = 3.77ppm
Search WEB for skeleton |
|
![]()
|
|
|
Structure Proposal # 3305 GRCQWQJAMQAHNM Deviation = 3.77ppm
Search WEB for skeleton |
|
![]()
|
|
|
Structure Proposal # 3306 CCMWSQVWVUQBEA Deviation = 3.77ppm
Search WEB for skeleton |
|
![]()
|
|
|
Structure Proposal # 3307 HUDOTNDNFDDYEI Deviation = 3.77ppm
Search WEB for skeleton |
|
![]()
|
|
|
Structure Proposal # 3308 SIYSAZIGWRMQRC Deviation = 3.77ppm
Search WEB for skeleton |
|
![]()
|
|
|
Structure Proposal # 3309 CDSKFZOQWNWRTL Deviation = 3.77ppm
Search WEB for skeleton |
|
![]()
|
|
|
Structure Proposal # 3310 LRNCTOLHBUKXKD Deviation = 3.77ppm
Search WEB for skeleton |
|
![]()
|
|
|
Structure Proposal # 3311 HEPMFTBMJJBCHJ Deviation = 3.77ppm
Search WEB for skeleton |
|
![]()
|
|
|
Structure Proposal # 3312 HUACIMSROBXSSY Deviation = 3.77ppm
Search WEB for skeleton |
|
![]()
|
|
|
Structure Proposal # 3313 QMCIKTKUZROVRP Deviation = 3.77ppm
Search WEB for skeleton |
|
![]()
|
|
|
Structure Proposal # 3314 XVHZJOHNQBBXCE Deviation = 3.77ppm
Search WEB for skeleton |
|
![]()
|
|
|
Structure Proposal # 3315 MDURHQAEYXZIKI Deviation = 3.77ppm
Search WEB for skeleton |
|
![]()
|
|
|
Structure Proposal # 3316 HIWMREQWCWWNLD Deviation = 3.77ppm
Search WEB for skeleton |
|
![]()
|
|
|
Structure Proposal # 3317 SYEFFOAWFIEKFB Deviation = 3.77ppm
Search WEB for skeleton |
|
![]()
|
|
|
Structure Proposal # 3318 MWDYGQCSUFAMEU Deviation = 3.77ppm
Search WEB for skeleton |
|
![]()
|
|
|
Structure Proposal # 3319 JVLFHHRLGNKMQQ Deviation = 3.77ppm
Search WEB for skeleton |
|
![]()
|
|
|
Structure Proposal # 3320 FYYBZSPZWINAOS Deviation = 3.77ppm
Search WEB for skeleton |
|
![]()
|
|
|
Structure Proposal # 3321 UNTGCZYGHHBMFM Deviation = 3.77ppm
Search WEB for skeleton |
|
![]()
|
|
|
Structure Proposal # 3322 ZUWQXUDCXGIEIU Deviation = 3.77ppm
Search WEB for skeleton |
|
![]()
|
|
|
Structure Proposal # 3323 KVCAECKMLBLHTD Deviation = 3.77ppm
Search WEB for skeleton |
|
![]()
|
|
|
Structure Proposal # 3324 OKDFWYBOTNHOGT Deviation = 3.77ppm
Search WEB for skeleton |
|
![]()
|
|
|
Structure Proposal # 3325 VZXYIHMQUOCVQO Deviation = 3.77ppm
Search WEB for skeleton |
|
![]()
|
|
|
Structure Proposal # 3326 JMLLMUQATSMXEY Deviation = 3.77ppm
Search WEB for skeleton |
|
![]()
|
|
|
Structure Proposal # 3327 QHBAHTFMZVSQMI Deviation = 3.77ppm
Search WEB for skeleton |
|
![]()
|
|
|
Structure Proposal # 3328 JPBVWUNYDHKLHO Deviation = 3.78ppm
Search WEB for skeleton |
|
![]()
|
|
|
Structure Proposal # 3329 SRQVKAXDOKSOCX Deviation = 3.78ppm
Search WEB for skeleton |
|
![]()
|
|
|
Structure Proposal # 3330 HDKMINFRBDCMRU Deviation = 3.78ppm
Search WEB for skeleton |
|
![]()
|
|
|
Structure Proposal # 3331 CCPLJZAKKCIOQN Deviation = 3.78ppm
Search WEB for skeleton |
|
![]()
|
|
|
Structure Proposal # 3332 KZBBVVFBWNDGCG Deviation = 3.78ppm
Search WEB for skeleton |
|
![]()
|
|
|
Structure Proposal # 3333 VBUJQSZKIPBTJV Deviation = 3.78ppm
Search WEB for skeleton |
|
![]()
|
|
|
Structure Proposal # 3334 BVJRDNYUGSSXBB Deviation = 3.78ppm
Search WEB for skeleton |
|
![]()
|
|
|
Structure Proposal # 3335 GFLFPAKOXZLNLR Deviation = 3.78ppm
Search WEB for skeleton |
|
![]()
|
|
|
Structure Proposal # 3336 HWJHDJNANLTWMB Deviation = 3.78ppm
Search WEB for skeleton |
|
![]()
|
|
|
Structure Proposal # 3337 UZPZUTCOMPJRFV Deviation = 3.78ppm
Search WEB for skeleton respect to your proposal |
|
![]()
|
|
|
Structure Proposal # 3338 QIQYVBCEVSQBGD Deviation = 3.78ppm
Search WEB for skeleton |
|
![]()
|
|
|
Structure Proposal # 3339 XRSOVUYDCRORFP Deviation = 3.78ppm
Search WEB for skeleton |
|
![]()
|
|
|
Structure Proposal # 3340 HTORNACAQVCNCO Deviation = 3.78ppm
Search WEB for skeleton |
|
![]()
|
|
|
Structure Proposal # 3341 DXPPMCMGKFNXPB Deviation = 3.78ppm
Search WEB for skeleton respect to your proposal |
|
![]()
|
|
|
Structure Proposal # 3342 TUBRBJRBHIHMRH Deviation = 3.78ppm
Search WEB for skeleton |
|
![]()
|
|
|
Structure Proposal # 3343 UIRRZGYQEJJOFI Deviation = 3.78ppm
Search WEB for skeleton respect to your proposal |
|
![]()
|
|
|
Structure Proposal # 3344 FBUIDABEGYIHPL Deviation = 3.78ppm
Search WEB for skeleton |
|
![]()
|
|
|
Structure Proposal # 3345 WKCZXHUYEZBIRW Deviation = 3.78ppm
Search WEB for skeleton |
|
![]()
|
|
|
Structure Proposal # 3346 GONQQHKOVSHLOE Deviation = 3.78ppm
Search WEB for skeleton |
|
![]()
|
|
|
Structure Proposal # 3347 FXESXGFBCKHQAF Deviation = 3.78ppm
Search WEB for skeleton |
|
![]()
|
|
|
Structure Proposal # 3348 CHHNNMOUUHLOKO Deviation = 3.78ppm
Search WEB for skeleton respect to your proposal |
|
![]()
|
|
|
Structure Proposal # 3349 AJYKCGKAOKPDNJ Deviation = 3.78ppm
Search WEB for skeleton |
|
![]()
|
|
|
Structure Proposal # 3350 WKSOLIKXZFZQEV Deviation = 3.78ppm
Search WEB for skeleton respect to your proposal |
|
![]()
|
|
|
Structure Proposal # 3351 GPVFCZVQYKGAGI Deviation = 3.78ppm
Search WEB for skeleton |
|
![]()
|
|
|
Structure Proposal # 3352 VUWHWBYUXMJYEA Deviation = 3.78ppm
Search WEB for skeleton |
|
![]()
|
|
|
Structure Proposal # 3353 JOSMCYQKNQACIK Deviation = 3.78ppm
Search WEB for skeleton respect to your proposal |
|
![]()
|
|
|
Structure Proposal # 3354 KHDYHSZNEDNKMB Deviation = 3.78ppm
Search WEB for skeleton |
|
![]()
|
|
|
Structure Proposal # 3355 TUYWJOZSEMZNHD Deviation = 3.78ppm
Search WEB for skeleton |
|
![]()
|
|
|
Structure Proposal # 3356 HARGXKQYICYDPO Deviation = 3.78ppm
Search WEB for skeleton respect to your proposal Compound from PUBCHEM CSEARCH ![]() |
|
![]()
|
|
|
Structure Proposal # 3357 RUAXUAXHRWWWQP Deviation = 3.78ppm
Search WEB for skeleton |
|
![]()
|
|
|
Structure Proposal # 3358 SMAYCAKRYRLSOF Deviation = 3.78ppm
Search WEB for skeleton |
|
![]()
|
|
|
Structure Proposal # 3359 ZYWAIOLADFJJJS Deviation = 3.79ppm
Search WEB for skeleton |
|
![]()
|
|
|
Structure Proposal # 3360 QUUWBNLOECLNHY Deviation = 3.79ppm
Search WEB for skeleton respect to your proposal |
|
![]()
|
|
|
Structure Proposal # 3361 GCDRSGFQBHHCBP Deviation = 3.79ppm
Search WEB for skeleton |
|
![]()
|
|
|
Structure Proposal # 3362 KIKQBWDBMPQAFP Deviation = 3.79ppm
Search WEB for skeleton |
|
![]()
|
|
|
Structure Proposal # 3363 MWBDKOGNUPEEKP Deviation = 3.79ppm
Search WEB for skeleton |
|
![]()
|
|
|
Structure Proposal # 3364 UDMBKTLUTRBUJU Deviation = 3.79ppm
Search WEB for skeleton |
|
![]()
|
|
|
Structure Proposal # 3365 GZNDCCICYOAUJB Deviation = 3.79ppm
Search WEB for skeleton |
|
![]()
|
|
|
Structure Proposal # 3366 KGPSGIADZNWAAZ Deviation = 3.79ppm
Search WEB for skeleton respect to your proposal |
|
![]()
|
|
|
Structure Proposal # 3367 NBLLHSMMZNQTDD Deviation = 3.79ppm
Search WEB for skeleton |
|
![]()
|
|
|
Structure Proposal # 3368 SUDYBYYTJRGIPH Deviation = 3.79ppm
Search WEB for skeleton respect to your proposal |
|
![]()
|
|
|
Structure Proposal # 3369 KHWWYLMIUSFXKP Deviation = 3.79ppm
Search WEB for skeleton |
|
![]()
|
|
|
Structure Proposal # 3370 DSRGFNDLKFDWLE Deviation = 3.79ppm
Search WEB for skeleton |
|
![]()
|
|
|
Structure Proposal # 3371 WGRUSPCZEXVDPL Deviation = 3.79ppm
Search WEB for skeleton |
|
![]()
|
|
|
Structure Proposal # 3372 KHVFBHIFKZPPSP Deviation = 3.79ppm
Search WEB for skeleton |
|
![]()
|
|
|
Structure Proposal # 3373 CSHBXGQKQDWLEN Deviation = 3.79ppm
Search WEB for skeleton |
|
![]()
|
|
|
Structure Proposal # 3374 MQBAQSSNFJNEFD Deviation = 3.79ppm
Search WEB for skeleton |
|
![]()
|
|
|
Structure Proposal # 3375 ODBZBEYNFJVDHZ Deviation = 3.79ppm
Search WEB for skeleton |
|
![]()
|
|
|
Structure Proposal # 3376 XKYVNGNMJNJCIV Deviation = 3.79ppm
Search WEB for skeleton |
|
![]()
|
|
|
Structure Proposal # 3377 CDRBGGPKKXRUGY Deviation = 3.79ppm
Search WEB for skeleton respect to your proposal |
|
![]()
|
|
|
Structure Proposal # 3378 SNQKGIMSLSQICE Deviation = 3.79ppm
Search WEB for skeleton |
|
![]()
|
|
|
Structure Proposal # 3379 QADCUNCKIMENFD Deviation = 3.79ppm
Search WEB for skeleton |
|
![]()
|
|
|
Structure Proposal # 3380 RHFDVXWKCCDILK Deviation = 3.79ppm
Search WEB for skeleton |
|
![]()
|
|
|
Structure Proposal # 3381 XXXLSBFHJCLVJK Deviation = 3.79ppm
Search WEB for skeleton |
|
![]()
|
|
|
Structure Proposal # 3382 WCFTWIFGHLFKBC Deviation = 3.79ppm
Search WEB for skeleton |
|
![]()
|
|
|
Structure Proposal # 3383 INMGWEQDRLCOJJ Deviation = 3.79ppm
Search WEB for skeleton |
|
![]()
|
|
|
Structure Proposal # 3384 WWDJSAFGHIYOHH Deviation = 3.79ppm
Search WEB for skeleton respect to your proposal |
|
![]()
|
|
|
Structure Proposal # 3385 RGHLNQJKXUIESD Deviation = 3.79ppm
Search WEB for skeleton |
|
![]()
|
|
|
Structure Proposal # 3386 QJBVWDIKPPVTFS Deviation = 3.79ppm
Search WEB for skeleton |
|
![]()
|
|
|
Structure Proposal # 3387 XVPUXOXPMCPGHP Deviation = 3.79ppm
Search WEB for skeleton |
|
![]()
|
|
|
Structure Proposal # 3388 MPDWEUMGFRPPIQ Deviation = 3.79ppm
Search WEB for skeleton |
|
![]()
|
|
|
Structure Proposal # 3389 KJYVANBZRSTDQE Deviation = 3.80ppm
Search WEB for skeleton |
|
![]()
|
|
|
Structure Proposal # 3390 KRAXJHZVQQTOQD Deviation = 3.80ppm
Search WEB for skeleton |
|
![]()
|
|
|
Structure Proposal # 3391 CTVJGISIPYVNDH Deviation = 3.80ppm
Search WEB for skeleton |
|
![]()
|
|
|
Structure Proposal # 3392 KEZUGRKUJFBUNE Deviation = 3.80ppm
Search WEB for skeleton |
|
![]()
|
|
|
Structure Proposal # 3393 BXONZFCTTGECCL Deviation = 3.80ppm
Search WEB for skeleton |
|
![]()
|
|
|
Structure Proposal # 3394 DDJTYCOSNAOZCM Deviation = 3.80ppm
Search WEB for skeleton |
|
![]()
|
|
|
Structure Proposal # 3395 UIZOQUUYCSNBNS Deviation = 3.80ppm
Search WEB for skeleton |
|
![]()
|
|
|
Structure Proposal # 3396 MKKDYZNXDKBMLA Deviation = 3.80ppm
Search WEB for skeleton |
|
![]()
|
|
|
Structure Proposal # 3397 GCKLRJZESSHMLW Deviation = 3.80ppm
Search WEB for skeleton |
|
![]()
|
|
|
Structure Proposal # 3398 LRHPBIHVUBHIDK Deviation = 3.80ppm
Search WEB for skeleton |
|
![]()
|
|
|
Structure Proposal # 3399 GIIAZNNPOLAPPV Deviation = 3.80ppm
Search WEB for skeleton |
|
![]()
|
|
|
Structure Proposal # 3400 VMWKZQYFBSEQKX Deviation = 3.80ppm
Search WEB for skeleton |
|
![]()
|
|
|
Structure Proposal # 3401 PEFVFFVYJNMJPX Deviation = 3.80ppm
Search WEB for skeleton |
|
![]()
|
|
|
Structure Proposal # 3402 OHTJZBDBGQDZBZ Deviation = 3.80ppm
Search WEB for skeleton |
|
![]()
|
|
|
Structure Proposal # 3403 FYWIPLKXBSLEMD Deviation = 3.80ppm
Search WEB for skeleton |
|
![]()
|
|
|
Structure Proposal # 3404 LWACHBSKKNVDKG Deviation = 3.80ppm
Search WEB for skeleton |
|
![]()
|
|
|
Structure Proposal # 3405 WDMGQJMXMRGTSH Deviation = 3.80ppm
Search WEB for skeleton |
|
![]()
|
|
|
Structure Proposal # 3406 OXQQUAOZCGXNCE Deviation = 3.80ppm
Search WEB for skeleton |
|
![]()
|
|
|
Structure Proposal # 3407 RIARGQXGSTYLPU Deviation = 3.80ppm
Search WEB for skeleton |
|
![]()
|
|
|
Structure Proposal # 3408 AKPHYDVUNHJRMN Deviation = 3.80ppm
Search WEB for skeleton |
|
![]()
|
|
|
Structure Proposal # 3409 AMKLVRYOECISTG Deviation = 3.80ppm
Search WEB for skeleton |
|
![]()
|
|
|
Structure Proposal # 3410 BEMSEHRSOPWKAI Deviation = 3.80ppm
Search WEB for skeleton |
|
![]()
|
|
|
Structure Proposal # 3411 WEQQRQNQWVFZRC Deviation = 3.80ppm
Search WEB for skeleton |
|
![]()
|
|
|
Structure Proposal # 3412 MCARXLDQAYLRHC Deviation = 3.80ppm
Search WEB for skeleton |
|
![]()
|
|
|
Structure Proposal # 3413 SZHOTMYQKIIXJS Deviation = 3.80ppm
Search WEB for skeleton |
|
![]()
|
|
|
Structure Proposal # 3414 WYHOAWPGAGVGIW Deviation = 3.80ppm
Search WEB for skeleton |
|
![]()
|
|
|
Structure Proposal # 3415 YXGHYPBSVLJQLE Deviation = 3.80ppm
Search WEB for skeleton |
|
![]()
|
|
|
Structure Proposal # 3416 KAEBRVAITIOOBU Deviation = 3.80ppm
Search WEB for skeleton |
|
![]()
|
|
|
Structure Proposal # 3417 MYUKQMTYVBNFTQ Deviation = 3.80ppm
Search WEB for skeleton |
|
![]()
|
|
|
Structure Proposal # 3418 HQBWWDPYNDKQEG Deviation = 3.80ppm
Search WEB for skeleton respect to your proposal |
|
![]()
|
|
|
Structure Proposal # 3419 NPLXMOCXFWXPKT Deviation = 3.80ppm
Search WEB for skeleton |
|
![]()
|
|
|
Structure Proposal # 3420 CEYYXVBIIJTXNT Deviation = 3.80ppm
Search WEB for skeleton |
|
![]()
|
|
|
Structure Proposal # 3421 DIIPVHCCARPOCF Deviation = 3.80ppm
Search WEB for skeleton respect to your proposal |
|
![]()
|
|
|
Structure Proposal # 3422 AHUOOSBPYMNACC Deviation = 3.80ppm
Search WEB for skeleton |
|
![]()
|
|
|
Structure Proposal # 3423 HGGCKKCETAEFCW Deviation = 3.80ppm
Search WEB for skeleton |
|
![]()
|
|
|
Structure Proposal # 3424 WPCRRRFSDZCGEE Deviation = 3.80ppm
Search WEB for skeleton |
|
![]()
|
|
|
Structure Proposal # 3425 YVXFRHRDJXCJNL Deviation = 3.80ppm
Search WEB for skeleton |
|
![]()
|
|
|
Structure Proposal # 3426 GACDMCYHPWXDTK Deviation = 3.80ppm
Search WEB for skeleton respect to your proposal |
|
![]()
|
|
|
Structure Proposal # 3427 FUBRWNVCGDJURE Deviation = 3.80ppm
Search WEB for skeleton |
|
![]()
|
|
|
Structure Proposal # 3428 CAQDFORQBAHCGI Deviation = 3.80ppm
Search WEB for skeleton respect to your proposal |
|
![]()
|
|
|
Structure Proposal # 3429 WNYFZZNUSCQVRM Deviation = 3.80ppm
Search WEB for skeleton |
|
![]()
|
|
|
Structure Proposal # 3430 GSRFYCVKZXEPCT Deviation = 3.80ppm
Search WEB for skeleton |
|
![]()
|
|
|
Structure Proposal # 3431 MOPUIFYMLJJBPW Deviation = 3.81ppm
Search WEB for skeleton |
|
![]()
|
|
|
Structure Proposal # 3432 UMKREXCNSMFRPL Deviation = 3.81ppm
Search WEB for skeleton |
|
![]()
|
|
|
Structure Proposal # 3433 JXIBBZNKSKEGKO Deviation = 3.81ppm
Search WEB for skeleton |
|
![]()
|
|
|
Structure Proposal # 3434 CYDPOSGHWNXPOQ Deviation = 3.81ppm
Search WEB for skeleton |
|
![]()
|
|
|
Structure Proposal # 3435 NNPIOCMEUJNBAZ Deviation = 3.81ppm
Search WEB for skeleton |
|
![]()
|
|
|
Structure Proposal # 3436 WOVATRVJUVWZNY Deviation = 3.81ppm
Search WEB for skeleton |
|
![]()
|
|
|
Structure Proposal # 3437 WFTSZGLQNIFFGP Deviation = 3.81ppm
Search WEB for skeleton |
|
![]()
|
|
|
Structure Proposal # 3438 BVEMVHHSKCZOJW Deviation = 3.81ppm
Search WEB for skeleton |
|
![]()
|
|
|
Structure Proposal # 3439 WOKVXLPQHVCUJW Deviation = 3.81ppm
Search WEB for skeleton |
|
![]()
|
|
|
Structure Proposal # 3440 KDXLUAYUGSVVFT Deviation = 3.81ppm
Search WEB for skeleton |
|
![]()
|
|
|
Structure Proposal # 3441 PUJUQHMTJHHVAP Deviation = 3.81ppm
Search WEB for skeleton |
|
![]()
|
|
|
Structure Proposal # 3442 WSBAYNVWDGXDIR Deviation = 3.81ppm
Search WEB for skeleton respect to your proposal |
|
![]()
|
|
|
Structure Proposal # 3443 PAPNWECSMZHKDF Deviation = 3.81ppm
Search WEB for skeleton respect to your proposal |
|
![]()
|
|
|
Structure Proposal # 3444 YDULLWNTGQUMNS Deviation = 3.81ppm
Search WEB for skeleton |
|
![]()
|
|
|
Structure Proposal # 3445 HGXJXDCVWOPLCO Deviation = 3.81ppm
Search WEB for skeleton |
|
![]()
|
|
|
Structure Proposal # 3446 ZXJSDXUUEGIQJK Deviation = 3.81ppm
Search WEB for skeleton |
|
![]()
|
|
|
Structure Proposal # 3447 IRKGMRRHLMVAOX Deviation = 3.81ppm
Search WEB for skeleton |
|
![]()
|
|
|
Structure Proposal # 3448 UXCXWJIECHAWCT Deviation = 3.81ppm
Search WEB for skeleton respect to your proposal |
|
![]()
|
|
|
Structure Proposal # 3449 VWNPRKQEMHKSQC Deviation = 3.81ppm
Search WEB for skeleton respect to your proposal |
|
![]()
|
|
|
Structure Proposal # 3450 LCRMTACFRHXUBR Deviation = 3.81ppm
Search WEB for skeleton |
|
![]()
|
|
|
Structure Proposal # 3451 CVHGRXBTPZICFT Deviation = 3.81ppm
Search WEB for skeleton |
|
![]()
|
|
|
Structure Proposal # 3452 SINLOOHCQRYFJI Deviation = 3.81ppm
Search WEB for skeleton respect to your proposal |
|
![]()
|
|
|
Structure Proposal # 3453 GNMHKLOOHINDGL Deviation = 3.81ppm
Search WEB for skeleton respect to your proposal |
|
![]()
|
|
|
Structure Proposal # 3454 FYIDFKJTOMLLJM Deviation = 3.81ppm
Search WEB for skeleton |
|
![]()
|
|
|
Structure Proposal # 3455 KPSAOUASCMHQGY Deviation = 3.81ppm
Search WEB for skeleton |
|
![]()
|
|
|
Structure Proposal # 3456 KHXHAAVEASMAJM Deviation = 3.81ppm
Search WEB for skeleton |
|
![]()
|
|
|
Structure Proposal # 3457 OYAYUZOFNDHVLJ Deviation = 3.81ppm
Search WEB for skeleton respect to your proposal |
|
![]()
|
|
|
Structure Proposal # 3458 RWOBSGVFPRHQJO Deviation = 3.81ppm
Search WEB for skeleton respect to your proposal |
|
![]()
|
|
|
Structure Proposal # 3459 FALGQBIXNFQSRY Deviation = 3.81ppm
Search WEB for skeleton |
|
![]()
|
|
|
Structure Proposal # 3460 MJRNMDAXLVAQIH Deviation = 3.81ppm
Search WEB for skeleton |
|
![]()
|
|
|
Structure Proposal # 3461 LFLQFOQGYWBSIX Deviation = 3.81ppm
Search WEB for skeleton |
|
![]()
|
|
|
Structure Proposal # 3462 INNCXUNQXNBAAM Deviation = 3.81ppm
Search WEB for skeleton |
|
![]()
|
|
|
Structure Proposal # 3463 FXBPLIMYHVRPCS Deviation = 3.81ppm
Search WEB for skeleton |
|
![]()
|
|
|
Structure Proposal # 3464 QPNSKNKUJGHBCM Deviation = 3.81ppm
Search WEB for skeleton |
|
![]()
|
|
|
Structure Proposal # 3465 KJEMIBHRKUKBHH Deviation = 3.81ppm
Search WEB for skeleton respect to your proposal |
|
![]()
|
|
|
Structure Proposal # 3466 ZBCLDDXLFHFOAQ Deviation = 3.81ppm
Search WEB for skeleton |
|
![]()
|
|
|
Structure Proposal # 3467 GEKISCVBKXWTIJ Deviation = 3.81ppm
Search WEB for skeleton |
|
![]()
|
|
|
Structure Proposal # 3468 IUYJGIPNFMKDJJ Deviation = 3.81ppm
Search WEB for skeleton |
|
![]()
|
|
|
Structure Proposal # 3469 NXJYHWZTJFXPDB Deviation = 3.82ppm
Search WEB for skeleton |
|
![]()
|
|
|
Structure Proposal # 3470 QZKDEMMLDSANBI Deviation = 3.82ppm
Search WEB for skeleton |
|
![]()
|
|
|
Structure Proposal # 3471 NJWOCXUPCKDZGD Deviation = 3.82ppm
Search WEB for skeleton |
|
![]()
|
|
|
Structure Proposal # 3472 ZXKNQBFUFNEICN Deviation = 3.82ppm
Search WEB for skeleton |
|
![]()
|
|
|
Structure Proposal # 3473 OSSOOCLUGMIJJV Deviation = 3.82ppm
Search WEB for skeleton |
|
![]()
|
|
|
Structure Proposal # 3474 ILEMFFRIWWGYQY Deviation = 3.82ppm
Search WEB for skeleton |
|
![]()
|
|
|
Structure Proposal # 3475 FZLQUSAIYGUDHX Deviation = 3.82ppm
Search WEB for skeleton |
|
![]()
|
|
|
Structure Proposal # 3476 LREAKVRDONRJSU Deviation = 3.82ppm
Search WEB for skeleton |
|
![]()
|
|
|
Structure Proposal # 3477 ZJQPYRCKQHFFJF Deviation = 3.82ppm
Search WEB for skeleton respect to your proposal |
|
![]()
|
|
|
Structure Proposal # 3478 NSLDWKCAXRUWBB Deviation = 3.82ppm
Search WEB for skeleton |
|
![]()
|
|
|
Structure Proposal # 3479 AVHMVHBQGUSPLE Deviation = 3.82ppm
Search WEB for skeleton respect to your proposal |
|
![]()
|
|
|
Structure Proposal # 3480 REUODPHGPIKRFL Deviation = 3.82ppm
Search WEB for skeleton respect to your proposal |
|
![]()
|
|
|
Structure Proposal # 3481 TWUKTUZLEBTOPL Deviation = 3.82ppm
Search WEB for skeleton |
|
![]()
|
|
|
Structure Proposal # 3482 NQADQKOMKYXMSX Deviation = 3.82ppm
Search WEB for skeleton |
|
![]()
|
|
|
Structure Proposal # 3483 IQJKRBTUMRGCRC Deviation = 3.82ppm
Search WEB for skeleton |
|
![]()
|
|
|
Structure Proposal # 3484 MQRJHSIAJCVCOZ Deviation = 3.82ppm
Search WEB for skeleton respect to your proposal |
|
![]()
|
|
|
Structure Proposal # 3485 DJSPIPQGBGPCCH Deviation = 3.82ppm
Search WEB for skeleton respect to your proposal |
|
![]()
|
|
|
Structure Proposal # 3486 YNGLRGICILFBHV Deviation = 3.82ppm
Search WEB for skeleton |
|
![]()
|
|
|
Structure Proposal # 3487 NDOIVRLBJJUCRU Deviation = 3.82ppm
Search WEB for skeleton |
|
![]()
|
|
|
Structure Proposal # 3488 ZHYQANVEINIDKV Deviation = 3.82ppm
Search WEB for skeleton |
|
![]()
|
|
|
Structure Proposal # 3489 NWPOSBGCWLKPAM Deviation = 3.82ppm
Search WEB for skeleton |
|
![]()
|
|
|
Structure Proposal # 3490 QBSNVZCJNNAODJ Deviation = 3.82ppm
Search WEB for skeleton |
|
![]()
|
|
|
Structure Proposal # 3491 MCXYBDVTOPWRHK Deviation = 3.82ppm
Search WEB for skeleton |
|
![]()
|
|
|
Structure Proposal # 3492 LIFWWTGGRDYBAR Deviation = 3.82ppm
Search WEB for skeleton |
|
![]()
|
|
|
Structure Proposal # 3493 XVNHBYFPYLIUNR Deviation = 3.82ppm
Search WEB for skeleton |
|
![]()
|
|
|
Structure Proposal # 3494 UNOUQUOHESFREA Deviation = 3.82ppm
Search WEB for skeleton |
|
![]()
|
|
|
Structure Proposal # 3495 GOPKHLAQIYNMHY Deviation = 3.82ppm
Search WEB for skeleton |
|
![]()
|
|
|
Structure Proposal # 3496 OWWRGULNVHRSMF Deviation = 3.82ppm
Search WEB for skeleton |
|
![]()
|
|
|
Structure Proposal # 3497 AJGMKMMYCKBYSR Deviation = 3.82ppm
Search WEB for skeleton |
|
![]()
|
|
|
Structure Proposal # 3498 JUIPNDZMNPUYCA Deviation = 3.82ppm
Search WEB for skeleton |
|
![]()
|
|
|
Structure Proposal # 3499 QREWWYWMRQGHTI Deviation = 3.82ppm
Search WEB for skeleton respect to your proposal |
|
![]()
|
|
|
Structure Proposal # 3500 CZSAXWDBKPNGKR Deviation = 3.83ppm
Search WEB for skeleton |
|
![]()
|
|
|
Structure Proposal # 3501 LKTKAABSAZKXPN Deviation = 3.83ppm
Search WEB for skeleton |
|
![]()
|
|
|
Structure Proposal # 3502 JNFLIYFZPKBCCT Deviation = 3.83ppm
Search WEB for skeleton |
|
![]()
|
|
|
Structure Proposal # 3503 AMCRHHJMASGVSV Deviation = 3.83ppm
Search WEB for skeleton |
|
![]()
|
|
|
Structure Proposal # 3504 IADLENNSFHCCKT Deviation = 3.83ppm
Search WEB for skeleton respect to your proposal |
|
![]()
|
|
|
Structure Proposal # 3505 HHBINNPKYSUBSR Deviation = 3.83ppm
Search WEB for skeleton |
|
![]()
|
|
|
Structure Proposal # 3506 ZYEFNMKFTKBIAC Deviation = 3.83ppm
Search WEB for skeleton |
|
![]()
|
|
|
Structure Proposal # 3507 GRHBCFIYADOSTJ Deviation = 3.83ppm
Search WEB for skeleton |
|
![]()
|
|
|
Structure Proposal # 3508 VNWJAVPVACKEQB Deviation = 3.83ppm
Search WEB for skeleton respect to your proposal |
|
![]()
|
|
|
Structure Proposal # 3509 YVJCEWKPTVOQIV Deviation = 3.83ppm
Search WEB for skeleton |
|
![]()
|
|
|
Structure Proposal # 3510 PQGDEMVDLHCBLN Deviation = 3.83ppm
Search WEB for skeleton |
|
![]()
|
|
|
Structure Proposal # 3511 UWKMAXQMDNRKRQ Deviation = 3.83ppm
Search WEB for skeleton |
|
![]()
|
|
|
Structure Proposal # 3512 QEIFSWZGHVPGPJ Deviation = 3.83ppm
Search WEB for skeleton |
|
![]()
|
|
|
Structure Proposal # 3513 PZRIOGOEWDSZPO Deviation = 3.83ppm
Search WEB for skeleton |
|
![]()
|
|
|
Structure Proposal # 3514 CQEXPEDODFDZJY Deviation = 3.83ppm
Search WEB for skeleton respect to your proposal |
|
![]()
|
|
|
Structure Proposal # 3515 QYYAOYLRRWXWDC Deviation = 3.83ppm
Search WEB for skeleton |
|
![]()
|
|
|
Structure Proposal # 3516 SXFYQSXRSHKMFX Deviation = 3.83ppm
Search WEB for skeleton |
|
![]()
|
|
|
Structure Proposal # 3517 RRKOOIGQVZBJKE Deviation = 3.83ppm
Search WEB for skeleton |
|
![]()
|
|
|
Structure Proposal # 3518 YZJOCKRVZVPAGC Deviation = 3.83ppm
Search WEB for skeleton |
|
![]()
|
|
|
Structure Proposal # 3519 MCPMXPPUXZWMFD Deviation = 3.83ppm
Search WEB for skeleton |
|
![]()
|
|
|
Structure Proposal # 3520 PANQPNZCDATHLD Deviation = 3.83ppm
Search WEB for skeleton |
|
![]()
|
|
|
Structure Proposal # 3521 AEKYCRUMARJIBH Deviation = 3.83ppm
Search WEB for skeleton |
|
![]()
|
|
|
Structure Proposal # 3522 XTKZZWLFTLLHMH Deviation = 3.83ppm
Search WEB for skeleton |
|
![]()
|
|
|
Structure Proposal # 3523 OAGVZRKZLMTYHY Deviation = 3.83ppm
Search WEB for skeleton |
|
![]()
|
|
|
Structure Proposal # 3524 JFFZKCLVAPPVJM Deviation = 3.83ppm
Search WEB for skeleton |
|
![]()
|
|
|
Structure Proposal # 3525 HLGQDWOIYUMKBU Deviation = 3.83ppm
Search WEB for skeleton |
|
![]()
|
|
|
Structure Proposal # 3526 HWCOINDRVFAQEH Deviation = 3.83ppm
Search WEB for skeleton |
|
![]()
|
|
|
Structure Proposal # 3527 FAYZJVLNOYQPIC Deviation = 3.83ppm
Search WEB for skeleton |
|
![]()
|
|
|
Structure Proposal # 3528 POPZXWIWUXIHOZ Deviation = 3.83ppm
Search WEB for skeleton |
|
![]()
|
|
|
Structure Proposal # 3529 CFKPJOAEKGGXBF Deviation = 3.83ppm
Search WEB for skeleton |
|
![]()
|
|
|
Structure Proposal # 3530 GIUATGYOOSBNGH Deviation = 3.83ppm
Search WEB for skeleton |
|
![]()
|
|
|
Structure Proposal # 3531 KAAVXBPBHHHTQK Deviation = 3.83ppm
Search WEB for skeleton |
|
![]()
|
|
|
Structure Proposal # 3532 PTEAFBNGLDAHNC Deviation = 3.83ppm
Search WEB for skeleton |
|
![]()
|
|
|
Structure Proposal # 3533 OWCDPXBKDZZWHO Deviation = 3.83ppm
Search WEB for skeleton |
|
![]()
|
|
|
Structure Proposal # 3534 JUTUAVKCCRXZSX Deviation = 3.83ppm
Search WEB for skeleton |
|
![]()
|
|
|
Structure Proposal # 3535 INSCOYXMJMDORT Deviation = 3.83ppm
Search WEB for skeleton |
|
![]()
|
|
|
Structure Proposal # 3536 LIIKFUPWATUUPE Deviation = 3.83ppm
Search WEB for skeleton |
|
![]()
|
|
|
Structure Proposal # 3537 UKTUNUIQUZFLOU Deviation = 3.83ppm
Search WEB for skeleton |
|
![]()
|
|
|
Structure Proposal # 3538 HMESHJKTQMQSHS Deviation = 3.83ppm
Search WEB for skeleton |
|
![]()
|
|
|
Structure Proposal # 3539 MXBCCKYAKXYKJJ Deviation = 3.83ppm
Search WEB for skeleton |
|
![]()
|
|
|
Structure Proposal # 3540 QXJJSEDNJNDBHA Deviation = 3.83ppm
Search WEB for skeleton |
|
![]()
|
|
|
Structure Proposal # 3541 SEWADIJDGUPNEW Deviation = 3.83ppm
Search WEB for skeleton |
|
![]()
|
|
|
Structure Proposal # 3542 RUBOWEPABYOBOS Deviation = 3.83ppm
Search WEB for skeleton |
|
![]()
|
|
|
Structure Proposal # 3543 FELIYVKOJIPLOK Deviation = 3.83ppm
Search WEB for skeleton respect to your proposal |
|
![]()
|
|
|
Structure Proposal # 3544 HEATYFKGZFIVDR Deviation = 3.83ppm
Search WEB for skeleton |
|
![]()
|
|
|
Structure Proposal # 3545 LLEXYPLKJVEVMX Deviation = 3.83ppm
Search WEB for skeleton |
|
![]()
|
|
|
Structure Proposal # 3546 FSYYBXWKMAPSGJ Deviation = 3.83ppm
Search WEB for skeleton |
|
![]()
|
|
|
Structure Proposal # 3547 LQCLCLANXFGFKZ Deviation = 3.84ppm
Search WEB for skeleton |
|
![]()
|
|
|
Structure Proposal # 3548 NLTIMXZOKXFJGF Deviation = 3.84ppm
Search WEB for skeleton respect to your proposal |
|
![]()
|
|
|
Structure Proposal # 3549 FHTDEWLEDRSLFZ Deviation = 3.84ppm
Search WEB for skeleton |
|
![]()
|
|
|
Structure Proposal # 3550 BYILWMATFARGLP Deviation = 3.84ppm
Search WEB for skeleton |
|
![]()
|
|
|
Structure Proposal # 3551 AJZWREOGZYTBMP Deviation = 3.84ppm
Search WEB for skeleton |
|
![]()
|
|
|
Structure Proposal # 3552 YHVQJBVZSBMZGC Deviation = 3.84ppm
Search WEB for skeleton |
|
![]()
|
|
|
Structure Proposal # 3553 IIDREFALZOWGGF Deviation = 3.84ppm
Search WEB for skeleton |
|
![]()
|
|
|
Structure Proposal # 3554 SPOLBRFPELWRBI Deviation = 3.84ppm
Search WEB for skeleton |
|
![]()
|
|
|
Structure Proposal # 3555 OYZDSYUMUJBTTC Deviation = 3.84ppm
Search WEB for skeleton |
|
![]()
|
|
|
Structure Proposal # 3556 VSHXKLVVNNZKCD Deviation = 3.84ppm
Search WEB for skeleton |
|
![]()
|
|
|
Structure Proposal # 3557 SDSDSOSDCNOHGP Deviation = 3.84ppm
Search WEB for skeleton respect to your proposal |
|
![]()
|
|
|
Structure Proposal # 3558 KINWVFDODBPFFU Deviation = 3.84ppm
Search WEB for skeleton |
|
![]()
|
|
|
Structure Proposal # 3559 FBBVRADIJOJFGH Deviation = 3.84ppm
Search WEB for skeleton |
|
![]()
|
|
|
Structure Proposal # 3560 HTHZWAIXKFTEPL Deviation = 3.84ppm
Search WEB for skeleton |
|
![]()
|
|
|
Structure Proposal # 3561 BXZONAUMZSJSIN Deviation = 3.84ppm
Search WEB for skeleton |
|
![]()
|
|
|
Structure Proposal # 3562 XLANCDSDZTVMSD Deviation = 3.84ppm
Search WEB for skeleton |
|
![]()
|
|
|
Structure Proposal # 3563 IHRUOUMAQIJJPC Deviation = 3.84ppm
Search WEB for skeleton |
|
![]()
|
|
|
Structure Proposal # 3564 PEQGNROTQIIFGM Deviation = 3.84ppm
Search WEB for skeleton |
|
![]()
|
|
|
Structure Proposal # 3565 REVMIIOIDGHUSU Deviation = 3.84ppm
Search WEB for skeleton |
|
![]()
|
|
|
Structure Proposal # 3566 NRINWIBHMGSLCC Deviation = 3.84ppm
Search WEB for skeleton respect to your proposal |
|
![]()
|
|
|
Structure Proposal # 3567 JJAZMRDKLDZSOV Deviation = 3.84ppm
Search WEB for skeleton |
|
![]()
|
|
|
Structure Proposal # 3568 GUTRONHUKZONRS Deviation = 3.84ppm
Search WEB for skeleton |
|
![]()
|
|
|
Structure Proposal # 3569 LZUVICRHMHNBFI Deviation = 3.84ppm
Search WEB for skeleton respect to your proposal |
|
![]()
|
|
|
Structure Proposal # 3570 DSMDUWMPOLGHFD Deviation = 3.84ppm
Search WEB for skeleton |
|
![]()
|
|
|
Structure Proposal # 3571 KYDDHDKIRJJLLO Deviation = 3.84ppm
Search WEB for skeleton |
|
![]()
|
|
|
Structure Proposal # 3572 CTHXPEGNMRXQMC Deviation = 3.84ppm
Search WEB for skeleton |
|
![]()
|
|
|
Structure Proposal # 3573 ZXNYTPAIZGUBCG Deviation = 3.84ppm
Search WEB for skeleton |
|
![]()
|
|
|
Structure Proposal # 3574 FJAQKZJNKFKMSI Deviation = 3.84ppm
Search WEB for skeleton respect to your proposal |
|
![]()
|
|
|
Structure Proposal # 3575 JKMFWEVUHXCWEW Deviation = 3.84ppm
Search WEB for skeleton |
|
![]()
|
|
|
Structure Proposal # 3576 FTTITJXCKHMEGJ Deviation = 3.84ppm
Search WEB for skeleton |
|
![]()
|
|
|
Structure Proposal # 3577 JAQXVYWOEGPGMW Deviation = 3.84ppm
Search WEB for skeleton |
|
![]()
|
|
|
Structure Proposal # 3578 PYLONZIMHPGFPK Deviation = 3.84ppm
Search WEB for skeleton |
|
![]()
|
|
|
Structure Proposal # 3579 FMMXFEAKEGIWAI Deviation = 3.84ppm
Search WEB for skeleton |
|
![]()
|
|
|
Structure Proposal # 3580 ZIFBZQBKBHFIQN Deviation = 3.84ppm
Search WEB for skeleton |
|
![]()
|
|
|
Structure Proposal # 3581 JWHRGUJALGROSZ Deviation = 3.84ppm
Search WEB for skeleton |
|
![]()
|
|
|
Structure Proposal # 3582 PTLJXRDMKLWNRC Deviation = 3.84ppm
Search WEB for skeleton |
|
![]()
|
|
|
Structure Proposal # 3583 IONBVQIVIDHRNP Deviation = 3.85ppm
Search WEB for skeleton |
|
![]()
|
|
|
Structure Proposal # 3584 LJTAZTLGSZMKRV Deviation = 3.85ppm
Search WEB for skeleton |
|
![]()
|
|
|
Structure Proposal # 3585 HLIIMQOIRVIQGE Deviation = 3.85ppm
Search WEB for skeleton respect to your proposal |
|
![]()
|
|
|
Structure Proposal # 3586 OZVHLSAUDAPPFX Deviation = 3.85ppm
Search WEB for skeleton |
|
![]()
|
|
|
Structure Proposal # 3587 HTYDZIIRAIRSRQ Deviation = 3.85ppm
Search WEB for skeleton |
|
![]()
|
|
|
Structure Proposal # 3588 BRQBGQYLVNMNLB Deviation = 3.85ppm
Search WEB for skeleton |
|
![]()
|
|
|
Structure Proposal # 3589 KAOXQZBIXRFKMC Deviation = 3.85ppm
Search WEB for skeleton |
|
![]()
|
|
|
Structure Proposal # 3590 OWQFDGYRNIRMRQ Deviation = 3.85ppm
Search WEB for skeleton respect to your proposal |
|
![]()
|
|
|
Structure Proposal # 3591 XKIQRWGVEMNUEG Deviation = 3.85ppm
Search WEB for skeleton |
|
![]()
|
|
|
Structure Proposal # 3592 OGTYJIDJSYGJNG Deviation = 3.85ppm
Search WEB for skeleton |
|
![]()
|
|
|
Structure Proposal # 3593 MXISVGYXNWFZDG Deviation = 3.85ppm
Search WEB for skeleton |
|
![]()
|
|
|
Structure Proposal # 3594 DOYCANDDWBZUHL Deviation = 3.85ppm
Search WEB for skeleton |
|
![]()
|
|
|
Structure Proposal # 3595 WOJRSLIJUXLVDE Deviation = 3.85ppm
Search WEB for skeleton |
|
![]()
|
|
|
Structure Proposal # 3596 FNFDOEFEKPUUQM Deviation = 3.85ppm
Search WEB for skeleton |
|
![]()
|
|
|
Structure Proposal # 3597 DFUJOXWWFGQGFU Deviation = 3.85ppm
Search WEB for skeleton |
|
![]()
|
|
|
Structure Proposal # 3598 KPRXVCKMAFCDGU Deviation = 3.85ppm
Search WEB for skeleton |
|
![]()
|
|
|
Structure Proposal # 3599 MOEBLHZQDHKAIL Deviation = 3.85ppm
Search WEB for skeleton |
|
![]()
|
|
|
Structure Proposal # 3600 VJDHMLYWWLAHHK Deviation = 3.85ppm
Search WEB for skeleton respect to your proposal |
|
![]()
|
|
|
Structure Proposal # 3601 QPZQGXDKPVMZTC Deviation = 3.85ppm
Search WEB for skeleton |
|
![]()
|
|
|
Structure Proposal # 3602 PYNURMJOYFFXHH Deviation = 3.85ppm
Search WEB for skeleton |
|
![]()
|
|
|
Structure Proposal # 3603 DHQWGLVCVXQKRJ Deviation = 3.85ppm
Search WEB for skeleton |
|
![]()
|
|
|
Structure Proposal # 3604 JTZKDCYJIBVRNI Deviation = 3.85ppm
Search WEB for skeleton |
|
![]()
|
|
|
Structure Proposal # 3605 RTWZZMPNOAYIAA Deviation = 3.85ppm
Search WEB for skeleton respect to your proposal |
|
![]()
|
|
|
Structure Proposal # 3606 ZAOJIHFPTSIMGO Deviation = 3.85ppm
Search WEB for skeleton |
|
![]()
|
|
|
Structure Proposal # 3607 LAYGQIAZCBTPKM Deviation = 3.85ppm
Search WEB for skeleton |
|
![]()
|
|
|
Structure Proposal # 3608 FCSOWRHQGCDZQG Deviation = 3.85ppm
Search WEB for skeleton |
|
![]()
|
|
|
Structure Proposal # 3609 XZEIIMPOCHSQTB Deviation = 3.85ppm
Search WEB for skeleton respect to your proposal |
|
![]()
|
|
|
Structure Proposal # 3610 HCPNSECAKUHLRX Deviation = 3.85ppm
Search WEB for skeleton |
|
![]()
|
|
|
Structure Proposal # 3611 NHCVVSQQTLDZJE Deviation = 3.85ppm
Search WEB for skeleton |
|
![]()
|
|
|
Structure Proposal # 3612 WZZLZVRIWAVHOB Deviation = 3.85ppm
Search WEB for skeleton |
|
![]()
|
|
|
Structure Proposal # 3613 GFKNSHIXSZOVRB Deviation = 3.86ppm
Search WEB for skeleton |
|
![]()
|
|
|
Structure Proposal # 3614 WXWOAKASLDWRJN Deviation = 3.86ppm
Search WEB for skeleton |
|
![]()
|
|
|
Structure Proposal # 3615 KBGPZLHXAHAEHQ Deviation = 3.86ppm
Search WEB for skeleton |
|
![]()
|
|
|
Structure Proposal # 3616 NSWMPNRZFJJBEA Deviation = 3.86ppm
Search WEB for skeleton |
|
![]()
|
|
|
Structure Proposal # 3617 OJCAGXGPZGLFET Deviation = 3.86ppm
Search WEB for skeleton |
|
![]()
|
|
|
Structure Proposal # 3618 GDIFNCDNGATGCS Deviation = 3.86ppm
Search WEB for skeleton |
|
![]()
|
|
|
Structure Proposal # 3619 RHWYUQMJEDOTND Deviation = 3.86ppm
Search WEB for skeleton |
|
![]()
|
|
|
Structure Proposal # 3620 XMNNZBHHMOOFBY Deviation = 3.86ppm
Search WEB for skeleton |
|
![]()
|
|
|
Structure Proposal # 3621 MHFJTBKZBOIBJV Deviation = 3.86ppm
Search WEB for skeleton respect to your proposal |
|
![]()
|
|
|
Structure Proposal # 3622 NLTWWZIYWMZVHM Deviation = 3.86ppm
Search WEB for skeleton |
|
![]()
|
|
|
Structure Proposal # 3623 RILBKWIOSVYJLA Deviation = 3.86ppm
Search WEB for skeleton |
|
![]()
|
|
|
Structure Proposal # 3624 KTHGTQCYYAUWQL Deviation = 3.86ppm
Search WEB for skeleton |
|
![]()
|
|
|
Structure Proposal # 3625 CIBKCQSSALKBKX Deviation = 3.86ppm
Search WEB for skeleton |
|
![]()
|
|
|
Structure Proposal # 3626 RMBWQEXNELYTQV Deviation = 3.86ppm
Search WEB for skeleton |
|
![]()
|
|
|
Structure Proposal # 3627 MSHDSPUSTSGNGD Deviation = 3.86ppm
Search WEB for skeleton |
|
![]()
|
|
|
Structure Proposal # 3628 PHRPZDHHOWITLU Deviation = 3.86ppm
Search WEB for skeleton |
|
![]()
|
|
|
Structure Proposal # 3629 UTCURTZWTFCCSI Deviation = 3.86ppm
Search WEB for skeleton |
|
![]()
|
|
|
Structure Proposal # 3630 SZHIPDHMQNVZMV Deviation = 3.86ppm
Search WEB for skeleton |
|
![]()
|
|
|
Structure Proposal # 3631 OCAGHOVJWWVXAI Deviation = 3.86ppm
Search WEB for skeleton |
|
![]()
|
|
|
Structure Proposal # 3632 WKTDDBVJDBRQMT Deviation = 3.86ppm
Search WEB for skeleton |
|
![]()
|
|
|
Structure Proposal # 3633 LIYJEYOTWWCWLF Deviation = 3.86ppm
Search WEB for skeleton |
|
![]()
|
|
|
Structure Proposal # 3634 HMACPKWOQLUWSU Deviation = 3.86ppm
Search WEB for skeleton |
|
![]()
|
|
|
Structure Proposal # 3635 VYNKYXIGNSFTBX Deviation = 3.86ppm
Search WEB for skeleton |
|
![]()
|
|
|
Structure Proposal # 3636 HFYFKQDLZDIXEN Deviation = 3.86ppm
Search WEB for skeleton |
|
![]()
|
|
|
Structure Proposal # 3637 RJJAQHBBKLANKT Deviation = 3.86ppm
Search WEB for skeleton |
|
![]()
|
|
|
Structure Proposal # 3638 SFNJXOWCJLAZFJ Deviation = 3.86ppm
Search WEB for skeleton |
|
![]()
|
|
|
Structure Proposal # 3639 JVBYHQQISCTCDS Deviation = 3.86ppm
Search WEB for skeleton |
|
![]()
|
|
|
Structure Proposal # 3640 DBNASPRXNDTXRR Deviation = 3.86ppm
Search WEB for skeleton |
|
![]()
|
|
|
Structure Proposal # 3641 YDWDGAOTNMNPLN Deviation = 3.86ppm
Search WEB for skeleton |
|
![]()
|
|
|
Structure Proposal # 3642 QKEJFXWQAMEYBC Deviation = 3.86ppm
Search WEB for skeleton |
|
![]()
|
|
|
Structure Proposal # 3643 QEWLBTIJIYSVPF Deviation = 3.86ppm
Search WEB for skeleton |
|
![]()
|
|
|
Structure Proposal # 3644 UFVVZJPMFGPEFF Deviation = 3.86ppm
Search WEB for skeleton |
|
![]()
|
|
|
Structure Proposal # 3645 GYAUIJPICZLQLU Deviation = 3.86ppm
Search WEB for skeleton |
|
![]()
|
|
|
Structure Proposal # 3646 AXXWKUDZVORWQG Deviation = 3.87ppm
Search WEB for skeleton |
|
![]()
|
|
|
Structure Proposal # 3647 UJTWUSSHDPHNLY Deviation = 3.87ppm
Search WEB for skeleton |
|
![]()
|
|
|
Structure Proposal # 3648 PYNISBDESAYCMG Deviation = 3.87ppm
Search WEB for skeleton |
|
![]()
|
|
|
Structure Proposal # 3649 PGJWEZFILMEIMD Deviation = 3.87ppm
Search WEB for skeleton |
|
![]()
|
|
|
Structure Proposal # 3650 XWSGOBOTGJGHNP Deviation = 3.87ppm
Search WEB for skeleton respect to your proposal |
|
![]()
|
|
|
Structure Proposal # 3651 CLRLBBZUAMBVQZ Deviation = 3.87ppm
Search WEB for skeleton |
|
![]()
|
|
|
Structure Proposal # 3652 BDTSSEJDFYUPHF Deviation = 3.87ppm
Search WEB for skeleton |
|
![]()
|
|
|
Structure Proposal # 3653 MHFCIPLRLWLDHE Deviation = 3.87ppm
Search WEB for skeleton |
|
![]()
|
|
|
Structure Proposal # 3654 WUZWJVCDURXUIU Deviation = 3.87ppm
Search WEB for skeleton |
|
![]()
|
|
|
Structure Proposal # 3655 SUOZSMYFGFLKMU Deviation = 3.87ppm
Search WEB for skeleton |
|
![]()
|
|
|
Structure Proposal # 3656 AJAOMRQADPQMPP Deviation = 3.87ppm
Search WEB for skeleton respect to your proposal |
|
![]()
|
|
|
Structure Proposal # 3657 AKZJIXJRUKJQQT Deviation = 3.87ppm
Search WEB for skeleton |
|
![]()
|
|
|
Structure Proposal # 3658 PHLKLCJRINCPKX Deviation = 3.87ppm
Search WEB for skeleton |
|
![]()
|
|
|
Structure Proposal # 3659 DMYKVZUAGRMVTL Deviation = 3.87ppm
Search WEB for skeleton |
|
![]()
|
|
|
Structure Proposal # 3660 HZGBGGGAWBHPLB Deviation = 3.87ppm
Search WEB for skeleton |
|
![]()
|
|
|
Structure Proposal # 3661 HUTLJBPBKWGDLY Deviation = 3.87ppm
Search WEB for skeleton |
|
![]()
|
|
|
Structure Proposal # 3662 HCMATQMKYBKAAF Deviation = 3.87ppm
Search WEB for skeleton |
|
![]()
|
|
|
Structure Proposal # 3663 TVBUVBNIIQPHSI Deviation = 3.87ppm
Search WEB for skeleton |
|
![]()
|
|
|
Structure Proposal # 3664 LEWAKPPVONCEBN Deviation = 3.87ppm
Search WEB for skeleton respect to your proposal |
|
![]()
|
|
|
Structure Proposal # 3665 AHZWAACVCFPIDA Deviation = 3.87ppm
Search WEB for skeleton |
|
![]()
|
|
|
Structure Proposal # 3666 IKRPWLOIRQKJEV Deviation = 3.87ppm
Search WEB for skeleton |
|
![]()
|
|
|
Structure Proposal # 3667 IMUJPCXCDSRPAK Deviation = 3.87ppm
Search WEB for skeleton |
|
![]()
|
|
|
Structure Proposal # 3668 KZTNGBRMKJCBGP Deviation = 3.87ppm
Search WEB for skeleton |
|
![]()
|
|
|
Structure Proposal # 3669 FPGQPAVVJMSNQB Deviation = 3.87ppm
Search WEB for skeleton |
|
![]()
|
|
|
Structure Proposal # 3670 FNBZIGMPWUQPTQ Deviation = 3.87ppm
Search WEB for skeleton |
|
![]()
|
|
|
Structure Proposal # 3671 XKKCAEJZKFLWBL Deviation = 3.87ppm
Search WEB for skeleton |
|
![]()
|
|
|
Structure Proposal # 3672 NDCCLOUMJRAHMZ Deviation = 3.87ppm
Search WEB for skeleton respect to your proposal |
|
![]()
|
|
|
Structure Proposal # 3673 TYLMCKKSRWAKIJ Deviation = 3.87ppm
Search WEB for skeleton |
|
![]()
|
|
|
Structure Proposal # 3674 FENDFKAFTZEONT Deviation = 3.87ppm
Search WEB for skeleton respect to your proposal |
|
![]()
|
|
|
Structure Proposal # 3675 ONCCEVRDYMZHGQ Deviation = 3.87ppm
Search WEB for skeleton respect to your proposal |
|
![]()
|
|
|
Structure Proposal # 3676 AKLIYJLNVHKLPQ Deviation = 3.87ppm
Search WEB for skeleton |
|
![]()
|
|
|
Structure Proposal # 3677 GAKBTDSQZOUMLV Deviation = 3.87ppm
Search WEB for skeleton |
|
![]()
|
|
|
Structure Proposal # 3678 BWJCUVMFXVRPRK Deviation = 3.87ppm
Search WEB for skeleton |
|
![]()
|
|
|
Structure Proposal # 3679 YIEKLFNTLKAOTB Deviation = 3.87ppm
Search WEB for skeleton |
|
![]()
|
|
|
Structure Proposal # 3680 PDBZKWUBJLPNMQ Deviation = 3.87ppm
Search WEB for skeleton respect to your proposal |
|
![]()
|
|
|
Structure Proposal # 3681 SAKPOSFVQRRWIC Deviation = 3.87ppm
Search WEB for skeleton respect to your proposal |
|
![]()
|
|
|
Structure Proposal # 3682 ZXZVTLOLRIEHPN Deviation = 3.87ppm
Search WEB for skeleton |
|
![]()
|
|
|
Structure Proposal # 3683 WWIKHDDJWNSLNP Deviation = 3.87ppm
Search WEB for skeleton |
|
![]()
|
|
|
Structure Proposal # 3684 VCRKTQOTZWQAGE Deviation = 3.87ppm
Search WEB for skeleton |
|
![]()
|
|
|
Structure Proposal # 3685 QMPSQEMIWBKXKH Deviation = 3.87ppm
Search WEB for skeleton |
|
![]()
|
|
|
Structure Proposal # 3686 HXAZMEJITYXYNB Deviation = 3.87ppm
Search WEB for skeleton |
|
![]()
|
|
|
Structure Proposal # 3687 CFTBOFFWXRSJOH Deviation = 3.87ppm
Search WEB for skeleton |
|
![]()
|
|
|
Structure Proposal # 3688 BVGJHSFAGYDXSW Deviation = 3.88ppm
Search WEB for skeleton respect to your proposal |
|
![]()
|
|
|
Structure Proposal # 3689 RUOKXAJFMITCQM Deviation = 3.88ppm
Search WEB for skeleton respect to your proposal |
|
![]()
|
|
|
Structure Proposal # 3690 SOHATPSGNNFJEN Deviation = 3.88ppm
Search WEB for skeleton |
|
![]()
|
|
|
Structure Proposal # 3691 OJXCPVWOHROGCW Deviation = 3.88ppm
Search WEB for skeleton |
|
![]()
|
|
|
Structure Proposal # 3692 QTHOQDIJLBNFKG Deviation = 3.88ppm
Search WEB for skeleton |
|
![]()
|
|
|
Structure Proposal # 3693 VKKGLCFQOBZYHV Deviation = 3.88ppm
Search WEB for skeleton |
|
![]()
|
|
|
Structure Proposal # 3694 GBPOLUDSMPONRJ Deviation = 3.88ppm
Search WEB for skeleton respect to your proposal |
|
![]()
|
|
|
Structure Proposal # 3695 ZWODZXGGZGKULZ Deviation = 3.88ppm
Search WEB for skeleton |
|
![]()
|
|
|
Structure Proposal # 3696 AGQRZQNNSRLLLK Deviation = 3.88ppm
Search WEB for skeleton respect to your proposal |
|
![]()
|
|
|
Structure Proposal # 3697 NYXCJOYUERMAOX Deviation = 3.88ppm
Search WEB for skeleton |
|
![]()
|
|
|
Structure Proposal # 3698 YTYGBSSFIGPYDK Deviation = 3.88ppm
Search WEB for skeleton |
|
![]()
|
|
|
Structure Proposal # 3699 WYZULIUETHKVOS Deviation = 3.88ppm
Search WEB for skeleton |
|
![]()
|
|
|
Structure Proposal # 3700 YHKNRQXQAGISHB Deviation = 3.88ppm
Search WEB for skeleton respect to your proposal |
|
![]()
|
|
|
Structure Proposal # 3701 WHYFKQMPSRYOKC Deviation = 3.88ppm
Search WEB for skeleton |
|
![]()
|
|
|
Structure Proposal # 3702 ZGWMSEDFSOOYHX Deviation = 3.88ppm
Search WEB for skeleton |
|
![]()
|
|
|
Structure Proposal # 3703 JKFAUWGOBZSMEW Deviation = 3.88ppm
Search WEB for skeleton |
|
![]()
|
|
|
Structure Proposal # 3704 DDFTWYFFNBBSRO Deviation = 3.88ppm
Search WEB for skeleton |
|
![]()
|
|
|
Structure Proposal # 3705 KYPWXXIKMYHDPE Deviation = 3.88ppm
Search WEB for skeleton |
|
![]()
|
|
|
Structure Proposal # 3706 VLPJEGGLZSBLBW Deviation = 3.88ppm
Search WEB for skeleton respect to your proposal |
|
![]()
|
|
|
Structure Proposal # 3707 BMKBNXFGHVLJDU Deviation = 3.88ppm
Search WEB for skeleton |
|
![]()
|
|
|
Structure Proposal # 3708 RXRRFPSGIVICOI Deviation = 3.88ppm
Search WEB for skeleton |
|
![]()
|
|
|
Structure Proposal # 3709 GYRPWAISDLJENK Deviation = 3.88ppm
Search WEB for skeleton |
|
![]()
|
|
|
Structure Proposal # 3710 NDXYLZDAWARHEA Deviation = 3.88ppm
Search WEB for skeleton |
|
![]()
|
|
|
Structure Proposal # 3711 ODZLAFGBOQHXBG Deviation = 3.88ppm
Search WEB for skeleton |
|
![]()
|
|
|
Structure Proposal # 3712 MLGKOACDUZTCGQ Deviation = 3.88ppm
Search WEB for skeleton respect to your proposal |
|
![]()
|
|
|
Structure Proposal # 3713 UTYLBVQSVDIVMQ Deviation = 3.88ppm
Search WEB for skeleton |
|
![]()
|
|
|
Structure Proposal # 3714 JHFIZDDMINGVBD Deviation = 3.88ppm
Search WEB for skeleton |
|
![]()
|
|
|
Structure Proposal # 3715 KRLKMIHTNUWATA Deviation = 3.88ppm
Search WEB for skeleton |
|
![]()
|
|
|
Structure Proposal # 3716 IDTQZQZEBITHLW Deviation = 3.88ppm
Search WEB for skeleton |
|
![]()
|
|
|
Structure Proposal # 3717 LYCDQUDNPWTEKK Deviation = 3.88ppm
Search WEB for skeleton |
|
![]()
|
|
|
Structure Proposal # 3718 BONOSIPAZLVFPC Deviation = 3.88ppm
Search WEB for skeleton |
|
![]()
|
|
|
Structure Proposal # 3719 VPRMLODCHXKTDD Deviation = 3.88ppm
Search WEB for skeleton respect to your proposal |
|
![]()
|
|
|
Structure Proposal # 3720 QNJWCGVZKQNFQL Deviation = 3.88ppm
Search WEB for skeleton respect to your proposal |
|
![]()
|
|
|
Structure Proposal # 3721 YAOSSHCCSBHXIW Deviation = 3.89ppm
Search WEB for skeleton |
|
![]()
|
|
|
Structure Proposal # 3722 GHHZOBUQHBQQNI Deviation = 3.89ppm
Search WEB for skeleton |
|
![]()
|
|
|
Structure Proposal # 3723 MTNIWJBTMSTREP Deviation = 3.89ppm
Search WEB for skeleton respect to your proposal |
|
![]()
|
|
|
Structure Proposal # 3724 GRHKLAHSTSTHSZ Deviation = 3.89ppm
Search WEB for skeleton respect to your proposal |
|
![]()
|
|
|
Structure Proposal # 3725 MEAAHTVHHSBAKD Deviation = 3.89ppm
Search WEB for skeleton |
|
![]()
|
|
|
Structure Proposal # 3726 KXKAXMOYBSCECX Deviation = 3.89ppm
Search WEB for skeleton |
|
![]()
|
|
|
Structure Proposal # 3727 VLBVDCSAFSCZMN Deviation = 3.89ppm
Search WEB for skeleton |
|
![]()
|
|
|
Structure Proposal # 3728 CDFHXWDNNXHFFZ Deviation = 3.89ppm
Search WEB for skeleton |
|
![]()
|
|
|
Structure Proposal # 3729 YWAMVUYXONJVQK Deviation = 3.89ppm
Search WEB for skeleton respect to your proposal |
|
![]()
|
|
|
Structure Proposal # 3730 VLQUZXCRHHBWFI Deviation = 3.89ppm
Search WEB for skeleton |
|
![]()
|
|
|
Structure Proposal # 3731 TYKRWZDYKDEVPR Deviation = 3.89ppm
Search WEB for skeleton respect to your proposal |
|
![]()
|
|
|
Structure Proposal # 3732 OEKUINHTAJKCFI Deviation = 3.89ppm
Search WEB for skeleton |
|
![]()
|
|
|
Structure Proposal # 3733 HPTTUGRCIOKRMA Deviation = 3.89ppm
Search WEB for skeleton |
|
![]()
|
|
|
Structure Proposal # 3734 TYJFAFUTVSAGPE Deviation = 3.89ppm
Search WEB for skeleton |
|
![]()
|
|
|
Structure Proposal # 3735 CTRHWJQMBLSSIB Deviation = 3.89ppm
Search WEB for skeleton |
|
![]()
|
|
|
Structure Proposal # 3736 OMCNFSZEDKAOMA Deviation = 3.89ppm
Search WEB for skeleton |
|
![]()
|
|
|
Structure Proposal # 3737 UVAFYOZEIQATPF Deviation = 3.89ppm
Search WEB for skeleton |
|
![]()
|
|
|
Structure Proposal # 3738 NIZSPZDBRJUPDX Deviation = 3.89ppm
Search WEB for skeleton |
|
![]()
|
|
|
Structure Proposal # 3739 KQQZIMQABAPMLF Deviation = 3.89ppm
Search WEB for skeleton respect to your proposal |
|
![]()
|
|
|
Structure Proposal # 3740 NHGOQXRBTIEFLK Deviation = 3.89ppm
Search WEB for skeleton respect to your proposal |
|
![]()
|
|
|
Structure Proposal # 3741 WKVKZDQTHINSNT Deviation = 3.89ppm
Search WEB for skeleton respect to your proposal |
|
![]()
|
|
|
Structure Proposal # 3742 YHZCDDFAKZQLRW Deviation = 3.89ppm
Search WEB for skeleton respect to your proposal |
|
![]()
|
|
|
Structure Proposal # 3743 UXOSWSLIZGGMFZ Deviation = 3.90ppm
Search WEB for skeleton |
|
![]()
|
|
|
Structure Proposal # 3744 GOEBCVWEBATDKZ Deviation = 3.90ppm
Search WEB for skeleton |
|
![]()
|
|
|
Structure Proposal # 3745 KBASVSUJBZEJAW Deviation = 3.90ppm
Search WEB for skeleton |
|
![]()
|
|
|
Structure Proposal # 3746 FGBKZHMLRMAWJG Deviation = 3.90ppm
Search WEB for skeleton |
|
![]()
|
|
|
Structure Proposal # 3747 XEBUQYKWUHVGNJ Deviation = 3.90ppm
Search WEB for skeleton |
|
![]()
|
|
|
Structure Proposal # 3748 UWORKSJFVRWBTQ Deviation = 3.90ppm
Search WEB for skeleton |
|
![]()
|
|
|
Structure Proposal # 3749 UKYBXIBJFDWHAU Deviation = 3.90ppm
Search WEB for skeleton respect to your proposal |
|
![]()
|
|
|
Structure Proposal # 3750 PAYDZFOKHUWWDM Deviation = 3.90ppm
Search WEB for skeleton |
|
![]()
|
|
|
Structure Proposal # 3751 IQQJAVGRNUVQRU Deviation = 3.90ppm
Search WEB for skeleton |
|
![]()
|
|
|
Structure Proposal # 3752 FANOKTCRLHNKMA Deviation = 3.90ppm
Search WEB for skeleton |
|
![]()
|
|
|
Structure Proposal # 3753 CXYZBCMACWDPHQ Deviation = 3.90ppm
Search WEB for skeleton |
|
![]()
|
|
|
Structure Proposal # 3754 GBPLSWHRUINHHI Deviation = 3.90ppm
Search WEB for skeleton |
|
![]()
|
|
|
Structure Proposal # 3755 LESHIRKWKFEACQ Deviation = 3.90ppm
Search WEB for skeleton |
|
![]()
|
|
|
Structure Proposal # 3756 QONNGGWUTONLQC Deviation = 3.90ppm
Search WEB for skeleton |
|
![]()
|
|
|
Structure Proposal # 3757 FZEFFPMKLHIODJ Deviation = 3.90ppm
Search WEB for skeleton respect to your proposal |
|
![]()
|
|
|
Structure Proposal # 3758 FTZNJVSQMLICER Deviation = 3.90ppm
Search WEB for skeleton |
|
![]()
|
|
|
Structure Proposal # 3759 XNXKOVOCSPATHD Deviation = 3.90ppm
Search WEB for skeleton |
|
![]()
|
|
|
Structure Proposal # 3760 MTWUDAAJXYUHLL Deviation = 3.90ppm
Search WEB for skeleton |
|
![]()
|
|
|
Structure Proposal # 3761 SHLMSBPQEDBTTI Deviation = 3.90ppm
Search WEB for skeleton |
|
![]()
|
|
|
Structure Proposal # 3762 XPUIGLXKBPFLEY Deviation = 3.90ppm
Search WEB for skeleton |
|
![]()
|
|
|
Structure Proposal # 3763 HCPGODPWLQLPGJ Deviation = 3.90ppm
Search WEB for skeleton |
|
![]()
|
|
|
Structure Proposal # 3764 VMHOEIGUZJBKMJ Deviation = 3.90ppm
Search WEB for skeleton |
|
![]()
|
|
|
Structure Proposal # 3765 WSMQIRUZFPHQET Deviation = 3.90ppm
Search WEB for skeleton |
|
![]()
|
|
|
Structure Proposal # 3766 ADOWJHYQNJQDGP Deviation = 3.90ppm
Search WEB for skeleton |
|
![]()
|
|
|
Structure Proposal # 3767 WJYTYWJCKNGUKC Deviation = 3.90ppm
Search WEB for skeleton |
|
![]()
|
|
|
Structure Proposal # 3768 YHIAGNJPNKFLSI Deviation = 3.90ppm
Search WEB for skeleton |
|
![]()
|
|
|
Structure Proposal # 3769 AVOPXCVDUPUXQK Deviation = 3.90ppm
Search WEB for skeleton |
|
![]()
|
|
|
Structure Proposal # 3770 PRVNCFRHFSNMCS Deviation = 3.90ppm
Search WEB for skeleton |
|
![]()
|
|
|
Structure Proposal # 3771 QJOVAWICRIUJIC Deviation = 3.90ppm
Search WEB for skeleton |
|
![]()
|
|
|
Structure Proposal # 3772 AJQVNJDLPQPPCC Deviation = 3.90ppm
Search WEB for skeleton |
|
![]()
|
|
|
Structure Proposal # 3773 WKNFCJIFGLGKQQ Deviation = 3.90ppm
Search WEB for skeleton |
|
![]()
|
|
|
Structure Proposal # 3774 SGOOMAVCWJZYSM Deviation = 3.90ppm
Search WEB for skeleton |
|
![]()
|
|
|
Structure Proposal # 3775 HPJUEINWFFZZBS Deviation = 3.90ppm
Search WEB for skeleton |
|
![]()
|
|
|
Structure Proposal # 3776 UUNPBCMHSKZXEF Deviation = 3.90ppm
Search WEB for skeleton |
|
![]()
|
|
|
Structure Proposal # 3777 IEZZEJIWYAZQAI Deviation = 3.90ppm
Search WEB for skeleton |
|
![]()
|
|
|
Structure Proposal # 3778 FUTDUAUBMSPHCH Deviation = 3.90ppm
Search WEB for skeleton |
|
![]()
|
|
|
Structure Proposal # 3779 CYCNQEQGODIFSR Deviation = 3.90ppm
Search WEB for skeleton |
|
![]()
|
|
|
Structure Proposal # 3780 SQGFMTFTAHBXCU Deviation = 3.90ppm
Search WEB for skeleton respect to your proposal |
|
![]()
|
|
|
Structure Proposal # 3781 WBOGPBWMJNCDOR Deviation = 3.90ppm
Search WEB for skeleton respect to your proposal |
|
![]()
|
|
|
Structure Proposal # 3782 QPJBJZHTOJXBMN Deviation = 3.90ppm
Search WEB for skeleton |
|
![]()
|
|
|
Structure Proposal # 3783 BVLAZAHHLUSDDX Deviation = 3.90ppm
Search WEB for skeleton |
|
![]()
|
|
|
Structure Proposal # 3784 NCQJTWIAOGKWIK Deviation = 3.90ppm
Search WEB for skeleton |
|
![]()
|
|
|
Structure Proposal # 3785 WIAKFBLUNOKMOJ Deviation = 3.90ppm
Search WEB for skeleton |
|
![]()
|
|
|
Structure Proposal # 3786 YNHDVTFYWICVEC Deviation = 3.90ppm
Search WEB for skeleton |
|
![]()
|
|
|
Structure Proposal # 3787 VRRBJDXUEVRIBJ Deviation = 3.91ppm
Search WEB for skeleton |
|
![]()
|
|
|
Structure Proposal # 3788 UYJJOIFGUWHGLV Deviation = 3.91ppm
Search WEB for skeleton |
|
![]()
|
|
|
Structure Proposal # 3789 XXKTWYGLLRALQU Deviation = 3.91ppm
Search WEB for skeleton |
|
![]()
|
|
|
Structure Proposal # 3790 INGACTRVFOOTCU Deviation = 3.91ppm
Search WEB for skeleton |
|
![]()
|
|
|
Structure Proposal # 3791 DDJLEQYFJMVNBH Deviation = 3.91ppm
Search WEB for skeleton |
|
![]()
|
|
|
Structure Proposal # 3792 UDJWXZKLCYTUTK Deviation = 3.91ppm
Search WEB for skeleton |
|
![]()
|
|
|
Structure Proposal # 3793 RORVHAUOHSZLFD Deviation = 3.91ppm
Search WEB for skeleton respect to your proposal |
|
![]()
|
|
|
Structure Proposal # 3794 UCALFDYPARXHRL Deviation = 3.91ppm
Search WEB for skeleton |
|
![]()
|
|
|
Structure Proposal # 3795 WGYIMGDXBFBSNF Deviation = 3.91ppm
Search WEB for skeleton |
|
![]()
|
|
|
Structure Proposal # 3796 HIQAFLCSUGLJPR Deviation = 3.91ppm
Search WEB for skeleton |
|
![]()
|
|
|
Structure Proposal # 3797 ZJPXQKVYQNICBQ Deviation = 3.91ppm
Search WEB for skeleton |
|
![]()
|
|
|
Structure Proposal # 3798 YPOUOWPDWDUQRZ Deviation = 3.91ppm
Search WEB for skeleton respect to your proposal |
|
![]()
|
|
|
Structure Proposal # 3799 HGDMMVWBGQCUEO Deviation = 3.91ppm
Search WEB for skeleton |
|
![]()
|
|
|
Structure Proposal # 3800 LCLGVHDFZNECAZ Deviation = 3.91ppm
Search WEB for skeleton |
|
![]()
|
|
|
Structure Proposal # 3801 XSMMEHGAVMIOKE Deviation = 3.91ppm
Search WEB for skeleton |
|
![]()
|
|
|
Structure Proposal # 3802 WIUGRJFCCVPUIM Deviation = 3.91ppm
Search WEB for skeleton |
|
![]()
|
|
|
Structure Proposal # 3803 QHWRXKYRVONUJL Deviation = 3.91ppm
Search WEB for skeleton |
|
![]()
|
|
|
Structure Proposal # 3804 AAYDDGHZVBRISI Deviation = 3.91ppm
Search WEB for skeleton |
|
![]()
|
|
|
Structure Proposal # 3805 DHSAAUGPVWMDFT Deviation = 3.91ppm
Search WEB for skeleton respect to your proposal |
|
![]()
|
|
|
Structure Proposal # 3806 ASSSMMNHLSIBHP Deviation = 3.91ppm
Search WEB for skeleton |
|
![]()
|
|
|
Structure Proposal # 3807 WUURIZBQGGVSPC Deviation = 3.91ppm
Search WEB for skeleton |
|
![]()
|
|
|
Structure Proposal # 3808 KRPDRUNBWADMJC Deviation = 3.91ppm
Search WEB for skeleton |
|
![]()
|
|
|
Structure Proposal # 3809 QLWBTODRTAYEGQ Deviation = 3.91ppm
Search WEB for skeleton |
|
![]()
|
|
|
Structure Proposal # 3810 ARNCWLWAVLFONH Deviation = 3.92ppm
Search WEB for skeleton |
|
![]()
|
|
|
Structure Proposal # 3811 ZBGZEZGGCYQVKT Deviation = 3.92ppm
Search WEB for skeleton |
|
![]()
|
|
|
Structure Proposal # 3812 ICEGYTPYPWPNCB Deviation = 3.92ppm
Search WEB for skeleton |
|
![]()
|
|
|
Structure Proposal # 3813 WCKVTOSWVMOKHN Deviation = 3.92ppm
Search WEB for skeleton |
|
![]()
|
|
|
Structure Proposal # 3814 FKWQTBZGLOXWPP Deviation = 3.92ppm
Search WEB for skeleton |
|
![]()
|
|
|
Structure Proposal # 3815 WSTUXRBQQWOXMN Deviation = 3.92ppm
Search WEB for skeleton |
|
![]()
|
|
|
Structure Proposal # 3816 UMBZBXWHTSFOKL Deviation = 3.92ppm
Search WEB for skeleton |
|
![]()
|
|
|
Structure Proposal # 3817 PDJIVNFKORPJQE Deviation = 3.92ppm
Search WEB for skeleton |
|
![]()
|
|
|
Structure Proposal # 3818 KZRHZHGPZVKKOZ Deviation = 3.92ppm
Search WEB for skeleton |
|
![]()
|
|
|
Structure Proposal # 3819 UYLSKWOOIHIKNT Deviation = 3.92ppm
Search WEB for skeleton |
|
![]()
|
|
|
Structure Proposal # 3820 OOLDSIDYJRWUPE Deviation = 3.92ppm
Search WEB for skeleton |
|
![]()
|
|
|
Structure Proposal # 3821 JCHCZISLUMKVFV Deviation = 3.92ppm
Search WEB for skeleton |
|
![]()
|
|
|
Structure Proposal # 3822 WCFHPHSOCQYFJO Deviation = 3.92ppm
Search WEB for skeleton |
|
![]()
|
|
|
Structure Proposal # 3823 MHLBKXJPAFBJHJ Deviation = 3.92ppm
Search WEB for skeleton |
|
![]()
|
|
|
Structure Proposal # 3824 RJBKWBMVBGRTPD Deviation = 3.92ppm
Search WEB for skeleton |
|
![]()
|
|
|
Structure Proposal # 3825 UYFZQEUHZADUQB Deviation = 3.92ppm
Search WEB for skeleton |
|
![]()
|
|
|
Structure Proposal # 3826 QXNQJLUPPORVQX Deviation = 3.92ppm
Search WEB for skeleton |
|
![]()
|
|
|
Structure Proposal # 3827 GUNRHKFTYXCTOY Deviation = 3.92ppm
Search WEB for skeleton respect to your proposal |
|
![]()
|
|
|
Structure Proposal # 3828 ZDWJJWIRSYSUQN Deviation = 3.92ppm
Search WEB for skeleton |
|
![]()
|
|
|
Structure Proposal # 3829 JJGPNLVAGBFWRB Deviation = 3.92ppm
Search WEB for skeleton |
|
![]()
|
|
|
Structure Proposal # 3830 VCTJNMMLBGXCAH Deviation = 3.92ppm
Search WEB for skeleton |
|
![]()
|
|
|
Structure Proposal # 3831 JXBIRUNHNQSCDT Deviation = 3.92ppm
Search WEB for skeleton |
|
![]()
|
|
|
Structure Proposal # 3832 ADKGNDPDSQNXJX Deviation = 3.92ppm
Search WEB for skeleton |
|
![]()
|
|
|
Structure Proposal # 3833 OXVCAZFGGOIEMM Deviation = 3.92ppm
Search WEB for skeleton |
|
![]()
|
|
|
Structure Proposal # 3834 RIBCZVPDOROMRP Deviation = 3.92ppm
Search WEB for skeleton |
|
![]()
|
|
|
Structure Proposal # 3835 YPXZDDLUZJFLRU Deviation = 3.92ppm
Search WEB for skeleton |
|
![]()
|
|
|
Structure Proposal # 3836 GMLJHZRRTZGZAC Deviation = 3.92ppm
Search WEB for skeleton respect to your proposal |
|
![]()
|
|
|
Structure Proposal # 3837 QSCDDSUNLFQPGY Deviation = 3.92ppm
Search WEB for skeleton |
|
![]()
|
|
|
Structure Proposal # 3838 FXPSOFRNYJPBJZ Deviation = 3.92ppm
Search WEB for skeleton |
|
![]()
|
|
|
Structure Proposal # 3839 QGKSTRGCNZBWRO Deviation = 3.92ppm
Search WEB for skeleton |
|
![]()
|
|
|
Structure Proposal # 3840 LQPFPMDHHMHNLB Deviation = 3.92ppm
Search WEB for skeleton |
|
![]()
|
|
|
Structure Proposal # 3841 HKWIMTAOXFLLJA Deviation = 3.93ppm
Search WEB for skeleton |
|
![]()
|
|
|
Structure Proposal # 3842 KSDPGQMYCZOCMU Deviation = 3.93ppm
Search WEB for skeleton |
|
![]()
|
|
|
Structure Proposal # 3843 SKGRQTTXUSPTAV Deviation = 3.93ppm
Search WEB for skeleton |
|
![]()
|
|
|
Structure Proposal # 3844 RQCSMMDONGJKQR Deviation = 3.93ppm
Search WEB for skeleton |
|
![]()
|
|
|
Structure Proposal # 3845 BJURMCMNVKXSGZ Deviation = 3.93ppm
Search WEB for skeleton respect to your proposal |
|
![]()
|
|
|
Structure Proposal # 3846 JYHKBRPOSNXMRJ Deviation = 3.93ppm
Search WEB for skeleton |
|
![]()
|
|
|
Structure Proposal # 3847 YQJBYNVARPFLSI Deviation = 3.93ppm
Search WEB for skeleton respect to your proposal |
|
![]()
|
|
|
Structure Proposal # 3848 KKDXZHPKGXGTFO Deviation = 3.93ppm
Search WEB for skeleton |
|
![]()
|
|
|
Structure Proposal # 3849 VEYPHOHRAJTQTN Deviation = 3.93ppm
Search WEB for skeleton respect to your proposal |
|
![]()
|
|
|
Structure Proposal # 3850 IIKWLKQQTUIAFE Deviation = 3.93ppm
Search WEB for skeleton |
|
![]()
|
|
|
Structure Proposal # 3851 NFCZNPAPURWEMV Deviation = 3.93ppm
Search WEB for skeleton |
|
![]()
|
|
|
Structure Proposal # 3852 NRSRLMBDVAQQCV Deviation = 3.93ppm
Search WEB for skeleton |
|
![]()
|
|
|
Structure Proposal # 3853 CMXNLBWVTYXAEX Deviation = 3.93ppm
Search WEB for skeleton |
|
![]()
|
|
|
Structure Proposal # 3854 JLYILAPIJCTDMU Deviation = 3.93ppm
Search WEB for skeleton |
|
![]()
|
|
|
Structure Proposal # 3855 XACWQUUSEAUNPY Deviation = 3.93ppm
Search WEB for skeleton |
|
![]()
|
|
|
Structure Proposal # 3856 AQHNBGNSOSCVFY Deviation = 3.93ppm
Search WEB for skeleton |
|
![]()
|
|
|
Structure Proposal # 3857 OKHUTEOJFRGBDS Deviation = 3.93ppm
Search WEB for skeleton |
|
![]()
|
|
|
Structure Proposal # 3858 SDLHCIRTLHNHAI Deviation = 3.93ppm
Search WEB for skeleton |
|
![]()
|
|
|
Structure Proposal # 3859 JSYMEVKAUPDXJQ Deviation = 3.93ppm
Search WEB for skeleton respect to your proposal |
|
![]()
|
|
|
Structure Proposal # 3860 KQEWNOPJNSYCBR Deviation = 3.93ppm
Search WEB for skeleton |
|
![]()
|
|
|
Structure Proposal # 3861 ZQAFKBPKWMCHAJ Deviation = 3.93ppm
Search WEB for skeleton |
|
![]()
|
|
|
Structure Proposal # 3862 YFEKRAPTQSFENZ Deviation = 3.93ppm
Search WEB for skeleton |
|
![]()
|
|
|
Structure Proposal # 3863 DULDOAOTHWFFLV Deviation = 3.93ppm
Search WEB for skeleton |
|
![]()
|
|
|
Structure Proposal # 3864 ZWHOBWPGSTWGJL Deviation = 3.93ppm
Search WEB for skeleton |
|
![]()
|
|
|
Structure Proposal # 3865 PORGWKHKILYSPQ Deviation = 3.93ppm
Search WEB for skeleton respect to your proposal |
|
![]()
|
|
|
Structure Proposal # 3866 UFDWPNNOBHBNPL Deviation = 3.93ppm
Search WEB for skeleton |
|
![]()
|
|
|
Structure Proposal # 3867 PIDOMEVDAHMBLF Deviation = 3.93ppm
Search WEB for skeleton respect to your proposal |
|
![]()
|
|
|
Structure Proposal # 3868 BGXLUZKRROZZBG Deviation = 3.93ppm
Search WEB for skeleton |
|
![]()
|
|
|
Structure Proposal # 3869 HOSZCVSWVIMZSL Deviation = 3.94ppm
Search WEB for skeleton |
|
![]()
|
|
|
Structure Proposal # 3870 RNPCZIRATSSTOZ Deviation = 3.94ppm
Search WEB for skeleton |
|
![]()
|
|
|
Structure Proposal # 3871 GCVDJMLMCXCHKH Deviation = 3.94ppm
Search WEB for skeleton |
|
![]()
|
|
|
Structure Proposal # 3872 WLGHBORQGWSCIB Deviation = 3.94ppm
Search WEB for skeleton |
|
![]()
|
|
|
Structure Proposal # 3873 KSZABOREDVIISI Deviation = 3.94ppm
Search WEB for skeleton respect to your proposal |
|
![]()
|
|
|
Structure Proposal # 3874 RCEXXRIDIWTPST Deviation = 3.94ppm
Search WEB for skeleton |
|
![]()
|
|
|
Structure Proposal # 3875 VYLPOVYTYVJJCJ Deviation = 3.94ppm
Search WEB for skeleton |
|
![]()
|
|
|
Structure Proposal # 3876 JITAGJLZWVMMMY Deviation = 3.94ppm
Search WEB for skeleton |
|
![]()
|
|
|
Structure Proposal # 3877 VLCKTXWMNAYHHX Deviation = 3.94ppm
Search WEB for skeleton respect to your proposal |
|
![]()
|
|
|
Structure Proposal # 3878 FVSGLZGZKDPCHU Deviation = 3.94ppm
Search WEB for skeleton |
|
![]()
|
|
|
Structure Proposal # 3879 HENWIFRICHIHKK Deviation = 3.94ppm
Search WEB for skeleton |
|
![]()
|
|
|
Structure Proposal # 3880 FTPXOGQJZFSOIN Deviation = 3.94ppm
Search WEB for skeleton |
|
![]()
|
|
|
Structure Proposal # 3881 WTGCWCCDOJYDAO Deviation = 3.94ppm
Search WEB for skeleton |
|
![]()
|
|
|
Structure Proposal # 3882 AWFQAOGMQNHBSW Deviation = 3.94ppm
Search WEB for skeleton |
|
![]()
|
|
|
Structure Proposal # 3883 DJUCUWSGMNVPEL Deviation = 3.94ppm
Search WEB for skeleton |
|
![]()
|
|
|
Structure Proposal # 3884 CAEMSSHSLANEKK Deviation = 3.94ppm
Search WEB for skeleton |
|
![]()
|
|
|
Structure Proposal # 3885 NGBDYGDJSUSWDK Deviation = 3.94ppm
Search WEB for skeleton |
|
![]()
|
|
|
Structure Proposal # 3886 NVITXLRQQHKXEV Deviation = 3.94ppm
Search WEB for skeleton |
|
![]()
|
|
|
Structure Proposal # 3887 DFBYCEPGRFFFOI Deviation = 3.94ppm
Search WEB for skeleton |
|
![]()
|
|
|
Structure Proposal # 3888 OWAGXDZASVGMOS Deviation = 3.94ppm
Search WEB for skeleton |
|
![]()
|
|
|
Structure Proposal # 3889 PRPRZCOATAGCPD Deviation = 3.94ppm
Search WEB for skeleton |
|
![]()
|
|
|
Structure Proposal # 3890 PXNMCYVHVOXINA Deviation = 3.94ppm
Search WEB for skeleton |
|
![]()
|
|
|
Structure Proposal # 3891 UDKIBZLXMWIWOX Deviation = 3.94ppm
Search WEB for skeleton |
|
![]()
|
|
|
Structure Proposal # 3892 OAMWGCVKTFVXSG Deviation = 3.94ppm
Search WEB for skeleton respect to your proposal |
|
![]()
|
|
|
Structure Proposal # 3893 WXULBISEADGQTJ Deviation = 3.94ppm
Search WEB for skeleton respect to your proposal |
|
![]()
|
|
|
Structure Proposal # 3894 CRXSVMZFYJRRRX Deviation = 3.94ppm
Search WEB for skeleton respect to your proposal |
|
![]()
|
|
|
Structure Proposal # 3895 KDZAZRYOCVSEQP Deviation = 3.94ppm
Search WEB for skeleton |
|
![]()
|
|
|
Structure Proposal # 3896 KWMFTTPCBHGAPC Deviation = 3.94ppm
Search WEB for skeleton respect to your proposal |
|
![]()
|
|
|
Structure Proposal # 3897 OERUIYFVSVXZBI Deviation = 3.94ppm
Search WEB for skeleton respect to your proposal |
|
![]()
|
|
|
Structure Proposal # 3898 WHHVSVIJDPAQJN Deviation = 3.94ppm
Search WEB for skeleton respect to your proposal |
|
![]()
|
|
|
Structure Proposal # 3899 ISYNMOAXAHEWDP Deviation = 3.94ppm
Search WEB for skeleton |
|
![]()
|
|
|
Structure Proposal # 3900 LQLPKQYBJYXXHF Deviation = 3.94ppm
Search WEB for skeleton |
|
![]()
|
|
|
Structure Proposal # 3901 QSOJHGZOOYJPEA Deviation = 3.95ppm
Search WEB for skeleton |
|
![]()
|
|
|
Structure Proposal # 3902 JDAUWFWIRARHQV Deviation = 3.95ppm
Search WEB for skeleton |
|
![]()
|
|
|
Structure Proposal # 3903 HGHWXRBNSCJXLF Deviation = 3.95ppm
Search WEB for skeleton |
|
![]()
|
|
|
Structure Proposal # 3904 DMLVUJFEZIPGKH Deviation = 3.95ppm
Search WEB for skeleton |
|
![]()
|
|
|
Structure Proposal # 3905 PRDJOBIMKYXNGL Deviation = 3.95ppm
Search WEB for skeleton |
|
![]()
|
|
|
Structure Proposal # 3906 LWOHLRCDDHVXDH Deviation = 3.95ppm
Search WEB for skeleton respect to your proposal |
|
![]()
|
|
|
Structure Proposal # 3907 LAMQIOCWFAALAU Deviation = 3.95ppm
Search WEB for skeleton |
|
![]()
|
|
|
Structure Proposal # 3908 CLPHQUGNLNVVKW Deviation = 3.95ppm
Search WEB for skeleton |
|
![]()
|
|
|
Structure Proposal # 3909 URSBDIXBGFEPRH Deviation = 3.95ppm
Search WEB for skeleton |
|
![]()
|
|
|
Structure Proposal # 3910 IKARPPQSYURAHB Deviation = 3.95ppm
Search WEB for skeleton |
|
![]()
|
|
|
Structure Proposal # 3911 OZNOFRVBTWQTNI Deviation = 3.95ppm
Search WEB for skeleton |
|
![]()
|
|
|
Structure Proposal # 3912 ITWFKQOEOVXSNV Deviation = 3.95ppm
Search WEB for skeleton respect to your proposal |
|
![]()
|
|
|
Structure Proposal # 3913 CAOHCUIAJKYENU Deviation = 3.95ppm
Search WEB for skeleton |
|
![]()
|
|
|
Structure Proposal # 3914 JCFPGPZQUIUASW Deviation = 3.95ppm
Search WEB for skeleton |
|
![]()
|
|
|
Structure Proposal # 3915 CCDIIVRHUDEEJF Deviation = 3.95ppm
Search WEB for skeleton |
|
![]()
|
|
|
Structure Proposal # 3916 BVGYRDNOMUJMAH Deviation = 3.95ppm
Search WEB for skeleton |
|
![]()
|
|
|
Structure Proposal # 3917 BEXIQPQMOSAQIJ Deviation = 3.95ppm
Search WEB for skeleton |
|
![]()
|
|
|
Structure Proposal # 3918 GZHDKTCXDNKSCV Deviation = 3.95ppm
Search WEB for skeleton |
|
![]()
|
|
|
Structure Proposal # 3919 IAVWARIKKIXPRE Deviation = 3.95ppm
Search WEB for skeleton |
|
![]()
|
|
|
Structure Proposal # 3920 SIRJXPKJJNRGCJ Deviation = 3.95ppm
Search WEB for skeleton |
|
![]()
|
|
|
Structure Proposal # 3921 NGMQEICAKVXHNZ Deviation = 3.95ppm
Search WEB for skeleton |
|
![]()
|
|
|
Structure Proposal # 3922 JDYXHKNNWRTTQJ Deviation = 3.95ppm
Search WEB for skeleton |
|
![]()
|
|
|
Structure Proposal # 3923 BTBYHDMDKNQAJS Deviation = 3.95ppm
Search WEB for skeleton |
|
![]()
|
|
|
Structure Proposal # 3924 TWPXZCFJXRXJSD Deviation = 3.96ppm
Search WEB for skeleton |
|
![]()
|
|
|
Structure Proposal # 3925 MTGYUGMZQXIHOL Deviation = 3.96ppm
Search WEB for skeleton |
|
![]()
|
|
|
Structure Proposal # 3926 RZVBHDXLMNXZRO Deviation = 3.96ppm
Search WEB for skeleton |
|
![]()
|
|
|
Structure Proposal # 3927 DTDRMDYYDXHCQA Deviation = 3.96ppm
Search WEB for skeleton respect to your proposal |
|
![]()
|
|
|
Structure Proposal # 3928 MUGYQHJHHLNBHW Deviation = 3.96ppm
Search WEB for skeleton |
|
![]()
|
|
|
Structure Proposal # 3929 FCGFVCPUJKBSHQ Deviation = 3.96ppm
Search WEB for skeleton |
|
![]()
|
|
|
Structure Proposal # 3930 REMMGEHXJSJFJM Deviation = 3.96ppm
Search WEB for skeleton |
|
![]()
|
|
|
Structure Proposal # 3931 WPDMIMSHVKVMAO Deviation = 3.96ppm
Search WEB for skeleton |
|
![]()
|
|
|
Structure Proposal # 3932 FGZCZABBMNAARP Deviation = 3.96ppm
Search WEB for skeleton |
|
![]()
|
|
|
Structure Proposal # 3933 CBGIEDIDBVCTFU Deviation = 3.96ppm
Search WEB for skeleton |
|
![]()
|
|
|
Structure Proposal # 3934 JKWSBNMIRAKQPQ Deviation = 3.96ppm
Search WEB for skeleton |
|
![]()
|
|
|
Structure Proposal # 3935 ULBFNNPSHPFYGE Deviation = 3.96ppm
Search WEB for skeleton |
|
![]()
|
|
|
Structure Proposal # 3936 LPFIVGRFVXEGLA Deviation = 3.96ppm
Search WEB for skeleton respect to your proposal |
|
![]()
|
|
|
Structure Proposal # 3937 GFCWZSXNKCSDSB Deviation = 3.96ppm
Search WEB for skeleton |
|
![]()
|
|
|
Structure Proposal # 3938 LEBYYIPOZNQXQK Deviation = 3.96ppm
Search WEB for skeleton |
|
![]()
|
|
|
Structure Proposal # 3939 YWUODRZXXXMFTG Deviation = 3.96ppm
Search WEB for skeleton |
|
![]()
|
|
|
Structure Proposal # 3940 IOLWXRXJVUUYCC Deviation = 3.96ppm
Search WEB for skeleton |
|
![]()
|
|
|
Structure Proposal # 3941 SLMBBXUWXFJIEV Deviation = 3.96ppm
Search WEB for skeleton |
|
![]()
|
|
|
Structure Proposal # 3942 CRKPGTFIXISSOG Deviation = 3.96ppm
Search WEB for skeleton |
|
![]()
|
|
|
Structure Proposal # 3943 PHJWOZXHDOOURM Deviation = 3.96ppm
Search WEB for skeleton |
|
![]()
|
|
|
Structure Proposal # 3944 RGWKTGHKGQQFDA Deviation = 3.96ppm
Search WEB for skeleton |
|
![]()
|
|
|
Structure Proposal # 3945 MFPWXSWKDZRUSR Deviation = 3.96ppm
Search WEB for skeleton |
|
![]()
|
|
|
Structure Proposal # 3946 MMNNWPGMGLERMQ Deviation = 3.96ppm
Search WEB for skeleton |
|
![]()
|
|
|
Structure Proposal # 3947 UHPYQDBTVWRCLP Deviation = 3.96ppm
Search WEB for skeleton respect to your proposal |
|
![]()
|
|
|
Structure Proposal # 3948 XNFBEKBNAOTOCU Deviation = 3.96ppm
Search WEB for skeleton |
|
![]()
|
|
|
Structure Proposal # 3949 XWUAWOOHEIBXSI Deviation = 3.96ppm
Search WEB for skeleton |
|
![]()
|
|
|
Structure Proposal # 3950 GQPKFZXVVHDGQE Deviation = 3.97ppm
Search WEB for skeleton |
|
![]()
|
|
|
Structure Proposal # 3951 ZVTMLPQUGQITNB Deviation = 3.97ppm
Search WEB for skeleton |
|
![]()
|
|
|
Structure Proposal # 3952 HLUMLACDMGPSAU Deviation = 3.97ppm
Search WEB for skeleton |
|
![]()
|
|
|
Structure Proposal # 3953 CBKAKEQAUHLBQK Deviation = 3.97ppm
Search WEB for skeleton |
|
![]()
|
|
|
Structure Proposal # 3954 MRWQCPWZDNAOKC Deviation = 3.97ppm
Search WEB for skeleton |
|
![]()
|
|
|
Structure Proposal # 3955 XXYMWVNEVKWUBF Deviation = 3.97ppm
Search WEB for skeleton |
|
![]()
|
|
|
Structure Proposal # 3956 VKFUOZQRNJFFPQ Deviation = 3.97ppm
Search WEB for skeleton |
|
![]()
|
|
|
Structure Proposal # 3957 AAHKVEYWFDCCSY Deviation = 3.97ppm
Search WEB for skeleton |
|
![]()
|
|
|
Structure Proposal # 3958 NNILLMXZEPXAGN Deviation = 3.97ppm
Search WEB for skeleton respect to your proposal |
|
![]()
|
|
|
Structure Proposal # 3959 IYYVBHADWWRXTA Deviation = 3.97ppm
Search WEB for skeleton |
|
![]()
|
|
|
Structure Proposal # 3960 BFQFOUVWJMWBPL Deviation = 3.97ppm
Search WEB for skeleton |
|
![]()
|
|
|
Structure Proposal # 3961 LPCOJQFBCLNWTM Deviation = 3.97ppm
Search WEB for skeleton |
|
![]()
|
|
|
Structure Proposal # 3962 AYDWDEAFHFJJIK Deviation = 3.97ppm
Search WEB for skeleton |
|
![]()
|
|
|
Structure Proposal # 3963 BONVQZZWCQKFID Deviation = 3.97ppm
Search WEB for skeleton |
|
![]()
|
|
|
Structure Proposal # 3964 HBROWAFFYHGWKB Deviation = 3.97ppm
Search WEB for skeleton |
|
![]()
|
|
|
Structure Proposal # 3965 SSCYEDPFJPTDDU Deviation = 3.97ppm
Search WEB for skeleton |
|
![]()
|
|
|
Structure Proposal # 3966 KYDZPRCFPKUGHA Deviation = 3.97ppm
Search WEB for skeleton |
|
![]()
|
|
|
Structure Proposal # 3967 WLYZLAYUGCAEHF Deviation = 3.97ppm
Search WEB for skeleton |
|
![]()
|
|
|
Structure Proposal # 3968 USRPERRGXLQZIG Deviation = 3.97ppm
Search WEB for skeleton |
|
![]()
|
|
|
Structure Proposal # 3969 PIGGTEYGWZCEBI Deviation = 3.97ppm
Search WEB for skeleton |
|
![]()
|
|
|
Structure Proposal # 3970 RCXUPZUJJCDSDS Deviation = 3.97ppm
Search WEB for skeleton respect to your proposal |
|
![]()
|
|
|
Structure Proposal # 3971 IPICLGZMPMMAFP Deviation = 3.97ppm
Search WEB for skeleton |
|
![]()
|
|
|
Structure Proposal # 3972 JVOZBNQQTRPGIP Deviation = 3.97ppm
Search WEB for skeleton |
|
![]()
|
|
|
Structure Proposal # 3973 JSJRBTGCZBVRPT Deviation = 3.97ppm
Search WEB for skeleton |
|
![]()
|
|
|
Structure Proposal # 3974 AXEQITGREVFAGO Deviation = 3.97ppm
Search WEB for skeleton |
|
![]()
|
|
|
Structure Proposal # 3975 ABGUXARNQRAULW Deviation = 3.97ppm
Search WEB for skeleton respect to your proposal |
|
![]()
|
|
|
Structure Proposal # 3976 VDIUWIUKCMFAHG Deviation = 3.98ppm
Search WEB for skeleton |
|
![]()
|
|
|
Structure Proposal # 3977 UFXHDJFTWKRPJH Deviation = 3.98ppm
Search WEB for skeleton respect to your proposal |
|
![]()
|
|
|
Structure Proposal # 3978 KVURYRLYUZZMAU Deviation = 3.98ppm
Search WEB for skeleton |
|
![]()
|
|
|
Structure Proposal # 3979 VYILAAIACFFOGG Deviation = 3.98ppm
Search WEB for skeleton |
|
![]()
|
|
|
Structure Proposal # 3980 NMOKPYYJGIJGKA Deviation = 3.98ppm
Search WEB for skeleton |
|
![]()
|
|
|
Structure Proposal # 3981 BOBRGJJDWAFLSI Deviation = 3.98ppm
Search WEB for skeleton |
|
![]()
|
|
|
Structure Proposal # 3982 XIIXTKIKJKRZAP Deviation = 3.98ppm
Search WEB for skeleton |
|
![]()
|
|
|
Structure Proposal # 3983 CPJGIYNNEAZEEY Deviation = 3.98ppm
Search WEB for skeleton respect to your proposal |
|
![]()
|
|
|
Structure Proposal # 3984 BCXZBBZLMCAAPQ Deviation = 3.98ppm
Search WEB for skeleton |
|
![]()
|
|
|
Structure Proposal # 3985 DMBROOQBDLETBN Deviation = 3.98ppm
Search WEB for skeleton |
|
![]()
|
|
|
Structure Proposal # 3986 INDAWPMNIRWYOC Deviation = 3.98ppm
Search WEB for skeleton |
|
![]()
|
|
|
Structure Proposal # 3987 HYIHHDKKAISADV Deviation = 3.98ppm
Search WEB for skeleton respect to your proposal |
|
![]()
|
|
|
Structure Proposal # 3988 KPQAOTJVFVIJCF Deviation = 3.98ppm
Search WEB for skeleton |
|
![]()
|
|
|
Structure Proposal # 3989 ZFFWAMYSVFXDCC Deviation = 3.98ppm
Search WEB for skeleton respect to your proposal |
|
![]()
|
|
|
Structure Proposal # 3990 DTFCHPXODCDEOZ Deviation = 3.98ppm
Search WEB for skeleton |
|
![]()
|
|
|
Structure Proposal # 3991 XWZONYUJRUQCEZ Deviation = 3.98ppm
Search WEB for skeleton |
|
![]()
|
|
|
Structure Proposal # 3992 PQARBVRVOUFRNK Deviation = 3.98ppm
Search WEB for skeleton |
|
![]()
|
|
|
Structure Proposal # 3993 WOJRRIMSVSNEFX Deviation = 3.98ppm
Search WEB for skeleton |
|
![]()
|
|
|
Structure Proposal # 3994 MKLLOZHUQSGMFC Deviation = 3.98ppm
Search WEB for skeleton |
|
![]()
|
|
|
Structure Proposal # 3995 WAFZUOHAANWHOB Deviation = 3.98ppm
Search WEB for skeleton |
|
![]()
|
|
|
Structure Proposal # 3996 WNWLDWKETCDONM Deviation = 3.98ppm
Search WEB for skeleton |
|
![]()
|
|
|
Structure Proposal # 3997 XLLOTAWZXINNHW Deviation = 3.98ppm
Search WEB for skeleton |
|
![]()
|
|
|
Structure Proposal # 3998 QTJFOODWXFVIBB Deviation = 3.98ppm
Search WEB for skeleton |
|
![]()
|
|
|
Structure Proposal # 3999 WHBKXAIKFKCHKF Deviation = 3.98ppm
Search WEB for skeleton |
|
![]()
|
|
|
Structure Proposal # 4000 IBIJWHYKVLKSAS Deviation = 3.98ppm
Search WEB for skeleton |
|
![]()
|
|
|
Structure Proposal # 4001 SZNKNVAIMQRDFF Deviation = 3.98ppm
Search WEB for skeleton |
|
![]()
|
|
|
Structure Proposal # 4002 XCWHSQNHTHHDRF Deviation = 3.99ppm
Search WEB for skeleton |
|
![]()
|
|
|
Structure Proposal # 4003 WMMKFFUNJFBVEC Deviation = 3.99ppm
Search WEB for skeleton |
|
![]()
|
|
|
Structure Proposal # 4004 YXDAELKMPGNJPX Deviation = 3.99ppm
Search WEB for skeleton |
|
![]()
|
|
|
Structure Proposal # 4005 HJPOXXBQYBMUOT Deviation = 3.99ppm
Search WEB for skeleton |
|
![]()
|
|
|
Structure Proposal # 4006 DKDMOCZKVUDCMZ Deviation = 3.99ppm
Search WEB for skeleton respect to your proposal |
|
![]()
|
|
|
Structure Proposal # 4007 YGKRDGBBZOFXCK Deviation = 3.99ppm
Search WEB for skeleton |
|
![]()
|
|
|
Structure Proposal # 4008 SMQZJLZSXQSHTH Deviation = 3.99ppm
Search WEB for skeleton |
|
![]()
|
|
|
Structure Proposal # 4009 VXYUSGOEEAKPPG Deviation = 3.99ppm
Search WEB for skeleton |
|
![]()
|
|
|
Structure Proposal # 4010 ZWNHVGXKYSBSGF Deviation = 3.99ppm
Search WEB for skeleton |
|
![]()
|
|
|
Structure Proposal # 4011 ZJTPQEXKVGNCAF Deviation = 3.99ppm
Search WEB for skeleton |
|
![]()
|
|
|
Structure Proposal # 4012 AZZNKTZJZRENEK Deviation = 3.99ppm
Search WEB for skeleton |
|
![]()
|
|
|
Structure Proposal # 4013 VDOBQNRFYQTKAS Deviation = 3.99ppm
Search WEB for skeleton |
|
![]()
|
|
|
Structure Proposal # 4014 DCYCLUMVFNMAOL Deviation = 3.99ppm
Search WEB for skeleton |
|
![]()
|
|
|
Structure Proposal # 4015 DINDRQMVZNHXKV Deviation = 3.99ppm
Search WEB for skeleton |
|
![]()
|
|
|
Structure Proposal # 4016 LJHLCOKDHPFHJZ Deviation = 3.99ppm
Search WEB for skeleton |
|
![]()
|
|
|
Structure Proposal # 4017 VEJYFLVRZWQFDE Deviation = 3.99ppm
Search WEB for skeleton |
|
![]()
|
|
|
Structure Proposal # 4018 NVSNWFCMCAWSCD Deviation = 3.99ppm
Search WEB for skeleton respect to your proposal |
|
![]()
|
|
|
Structure Proposal # 4019 BUWQNEHLUDEQJQ Deviation = 3.99ppm
Search WEB for skeleton |
|
![]()
|
|
|
Structure Proposal # 4020 IFSHJNFZXWJTKZ Deviation = 3.99ppm
Search WEB for skeleton |
|
![]()
|
|
|
Structure Proposal # 4021 RBZUMSALWHXAKR Deviation = 3.99ppm
Search WEB for skeleton respect to your proposal |
|
![]()
|
|
|
Structure Proposal # 4022 JRFMDYOBLNTEED Deviation = 3.99ppm
Search WEB for skeleton |
|
![]()
|
|
|
Structure Proposal # 4023 VBAOFKFGUNAKNE Deviation = 3.99ppm
Search WEB for skeleton |
|
![]()
|
|
|
Structure Proposal # 4024 ZXWBAZSLTKISCC Deviation = 4.00ppm
Search WEB for skeleton respect to your proposal |
|
![]()
|
|
|
Structure Proposal # 4025 PJIUUUBIUCLCSC Deviation = 4.00ppm
Search WEB for skeleton respect to your proposal |
|
![]()
|
|
|
Structure Proposal # 4026 SXFLRRORUYCYJH Deviation = 4.00ppm
Search WEB for skeleton |
|
![]()
|
|
|
Structure Proposal # 4027 UDZJPUYERBGXRN Deviation = 4.00ppm
Search WEB for skeleton |
|
![]()
|
|
|
Structure Proposal # 4028 NSOCIIXQTBWMAX Deviation = 4.00ppm
Search WEB for skeleton |
|
![]()
|
|
|
Structure Proposal # 4029 PYODGSSNKJSLBX Deviation = 4.00ppm
Search WEB for skeleton |
|
![]()
|
|
|
Structure Proposal # 4030 VZIOKWBGYNABAE Deviation = 4.00ppm
Search WEB for skeleton |
|
![]()
|
|
|
Structure Proposal # 4031 RHNARQRFRGTUKT Deviation = 4.00ppm
Search WEB for skeleton |
|
![]()
|
|
|
Structure Proposal # 4032 PDHUBZZKILJUQY Deviation = 4.00ppm
Search WEB for skeleton |
|
![]()
|
|
|
Structure Proposal # 4033 BSWDTFJFGIWWOQ Deviation = 4.00ppm
Search WEB for skeleton respect to your proposal |
|
![]()
|
|
|
Structure Proposal # 4034 JZXGMFCKKMBLIQ Deviation = 4.00ppm
Search WEB for skeleton respect to your proposal |
|
![]()
|
|
|
Structure Proposal # 4035 AKQRBNTZJDPMAX Deviation = 4.00ppm
Search WEB for skeleton |
|
![]()
|
|
|
Structure Proposal # 4036 VSICFOHTCBTWOM Deviation = 4.00ppm
Search WEB for skeleton |
|
![]()
|
|
|
Structure Proposal # 4037 VNTOTYAIHZRJEF Deviation = 4.00ppm
Search WEB for skeleton |
|
![]()
|
|
|
Structure Proposal # 4038 HTMIKCBIPIVLBZ Deviation = 4.00ppm
Search WEB for skeleton respect to your proposal |
|
![]()
|
|
|
Structure Proposal # 4039 FHRWLKTWXMSMIJ Deviation = 4.00ppm
Search WEB for skeleton |
|
![]()
|
|
|
Structure Proposal # 4040 KLTVZMULVSCJAM Deviation = 4.00ppm
Search WEB for skeleton |
|
![]()
|
|
|
Structure Proposal # 4041 NBQVXWXIQCFMHO Deviation = 4.00ppm
Search WEB for skeleton |
|
![]()
|
|
|
Structure Proposal # 4042 DUFFEGGLOUPJPD Deviation = 4.00ppm
Search WEB for skeleton |
|
![]()
|
|
|
Structure Proposal # 4043 BIKSAMJLECYKSV Deviation = 4.00ppm
Search WEB for skeleton |
|
![]()
|
|
|
Structure Proposal # 4044 URTKNDBCSJZJAG Deviation = 4.00ppm
Search WEB for skeleton |
|
![]()
|
|
|
Structure Proposal # 4045 PDFBHXSMEIIYRQ Deviation = 4.00ppm
Search WEB for skeleton |
|
![]()
|
|
|
Structure Proposal # 4046 CSETUDOQHZMDRP Deviation = 4.00ppm
Search WEB for skeleton |
|
![]()
|
|
|
Structure Proposal # 4047 OPPUJRWCFQSDAT Deviation = 4.00ppm
Search WEB for skeleton |
|
![]()
|
|
|
Structure Proposal # 4048 ABLODEPJCBJBTF Deviation = 4.00ppm
Search WEB for skeleton |
|
![]()
|
|
|
Structure Proposal # 4049 CFQSSMHWTKRBNL Deviation = 4.00ppm
Search WEB for skeleton |
|
![]()
|
|
|
Structure Proposal # 4050 YVOPKOLAAPLUEC Deviation = 4.00ppm
Search WEB for skeleton |
|
![]()
|
|
|
Structure Proposal # 4051 GWYVVMKCKGAJFV Deviation = 4.00ppm
Search WEB for skeleton |
|
![]()
|
|
|
Structure Proposal # 4052 GFTJBYAFKXOJMV Deviation = 4.00ppm
Search WEB for skeleton |
|
![]()
|
|
|
Structure Proposal # 4053 HNWJLFZVHKJHOE Deviation = 4.00ppm
Search WEB for skeleton |
|
![]()
|
|
|
Structure Proposal # 4054 QNVJDETXTYPDTC Deviation = 4.00ppm
Search WEB for skeleton |
|
![]()
|
|
|
Structure Proposal # 4055 WOUMGDBHMVYRSV Deviation = 4.00ppm
Search WEB for skeleton |
|
![]()
|
|
|
Structure Proposal # 4056 ZYRIXHOEXMBALZ Deviation = 4.00ppm
Search WEB for skeleton |
|
![]()
|
|
|
Structure Proposal # 4057 CKQVPQQAKRPYHS Deviation = 4.00ppm
Search WEB for skeleton |
|
![]()
|
|
|
Structure Proposal # 4058 WYXAOLLZGVCKFV Deviation = 4.00ppm
Search WEB for skeleton |
|
![]()
|
|
|
Structure Proposal # 4059 WYBDTZTZCILOOQ Deviation = 4.01ppm
Search WEB for skeleton respect to your proposal |
|
![]()
|
|
|
Structure Proposal # 4060 ZCSNULYXGFPPOT Deviation = 4.01ppm
Search WEB for skeleton |
|
![]()
|
|
|
Structure Proposal # 4061 FCBAKAJSSHXUKX Deviation = 4.01ppm
Search WEB for skeleton |
|
![]()
|
|
|
Structure Proposal # 4062 RFLIUKXMSJLHQK Deviation = 4.01ppm
Search WEB for skeleton respect to your proposal |
|
![]()
|
|
|
Structure Proposal # 4063 FDBTZDOQGIMVHU Deviation = 4.01ppm
Search WEB for skeleton |
|
![]()
|
|
|
Structure Proposal # 4064 BGWJKHNTWXITEK Deviation = 4.01ppm
Search WEB for skeleton |
|
![]()
|
|
|
Structure Proposal # 4065 VFOXGLPMDMMXOR Deviation = 4.01ppm
Search WEB for skeleton |
|
![]()
|
|
|
Structure Proposal # 4066 FMOAPKVHPLUBKI Deviation = 4.01ppm
Search WEB for skeleton respect to your proposal |
|
![]()
|
|
|
Structure Proposal # 4067 HPFLVSPPURWVAF Deviation = 4.01ppm
Search WEB for skeleton |
|
![]()
|
|
|
Structure Proposal # 4068 GPTBXRBPFHDSLA Deviation = 4.01ppm
Search WEB for skeleton |
|
![]()
|
|
|
Structure Proposal # 4069 KFZVZQIWABVNKO Deviation = 4.01ppm
Search WEB for skeleton |
|
![]()
|
|
|
Structure Proposal # 4070 BVWVKTJUJFSIHM Deviation = 4.01ppm
Search WEB for skeleton |
|
![]()
|
|
|
Structure Proposal # 4071 BBRPFCNRKQPFOT Deviation = 4.01ppm
Search WEB for skeleton |
|
![]()
|
|
|
Structure Proposal # 4072 JTCXSVNSIDZFTO Deviation = 4.01ppm
Search WEB for skeleton |
|
![]()
|
|
|
Structure Proposal # 4073 IRGNCSXGTCDHPV Deviation = 4.01ppm
Search WEB for skeleton |
|
![]()
|
|
|
Structure Proposal # 4074 LGMGIAHKZTWXEM Deviation = 4.01ppm
Search WEB for skeleton |
|
![]()
|
|
|
Structure Proposal # 4075 DWXNNQBMMQZENZ Deviation = 4.01ppm
Search WEB for skeleton |
|
![]()
|
|
|
Structure Proposal # 4076 SVDNKCXPBDCJRZ Deviation = 4.01ppm
Search WEB for skeleton |
|
![]()
|
|
|
Structure Proposal # 4077 PZVLNWIRWQVWOE Deviation = 4.01ppm
Search WEB for skeleton |
|
![]()
|
|
|
Structure Proposal # 4078 PLNQMYWUSCQKAV Deviation = 4.01ppm
Search WEB for skeleton |
|
![]()
|
|
|
Structure Proposal # 4079 HSGKRFGALTZYTN Deviation = 4.01ppm
Search WEB for skeleton |
|
![]()
|
|
|
Structure Proposal # 4080 AQNZAKAZSNYZLK Deviation = 4.01ppm
Search WEB for skeleton |
|
![]()
|
|
|
Structure Proposal # 4081 IHJIBNTZWIBASX Deviation = 4.01ppm
Search WEB for skeleton |
|
![]()
|
|
|
Structure Proposal # 4082 PSSFRXJJOCDNSM Deviation = 4.01ppm
Search WEB for skeleton |
|
![]()
|
|
|
Structure Proposal # 4083 JYBGWWASNTYZOQ Deviation = 4.01ppm
Search WEB for skeleton |
|
![]()
|
|
|
Structure Proposal # 4084 SCSJXIVJROFWSN Deviation = 4.01ppm
Search WEB for skeleton |
|
![]()
|
|
|
Structure Proposal # 4085 BSNVSZBWSLLRHL Deviation = 4.01ppm
Search WEB for skeleton |
|
![]()
|
|
|
Structure Proposal # 4086 ZHMLTTIGAKOAEM Deviation = 4.01ppm
Search WEB for skeleton |
|
![]()
|
|
|
Structure Proposal # 4087 CNUKQDOHXRVRBV Deviation = 4.01ppm
Search WEB for skeleton respect to your proposal |
|
![]()
|
|
|
Structure Proposal # 4088 KZXCCPIUGTVGKP Deviation = 4.01ppm
Search WEB for skeleton |
|
![]()
|
|
|
Structure Proposal # 4089 GAIYJDHCGYMPOP Deviation = 4.01ppm
Search WEB for skeleton respect to your proposal |
|
![]()
|
|
|
Structure Proposal # 4090 LNQPMFJZOYYELV Deviation = 4.02ppm
Search WEB for skeleton |
|
![]()
|
|
|
Structure Proposal # 4091 PMDMZNHZXLAHIW Deviation = 4.02ppm
Search WEB for skeleton |
|
![]()
|
|
|
Structure Proposal # 4092 UTPQWYBBBWKIEW Deviation = 4.02ppm
Search WEB for skeleton |
|
![]()
|
|
|
Structure Proposal # 4093 AXWBHTFCZDDPAN Deviation = 4.02ppm
Search WEB for skeleton |
|
![]()
|
|
|
Structure Proposal # 4094 DNRKKUOZNOSXOQ Deviation = 4.02ppm
Search WEB for skeleton |
|
![]()
|
|
|
Structure Proposal # 4095 GLBNAVIMCZHRTN Deviation = 4.02ppm
Search WEB for skeleton |
|
![]()
|
|
|
Structure Proposal # 4096 YZFDRVMHJJFKEK Deviation = 4.02ppm
Search WEB for skeleton |
|
![]()
|
|
|
Structure Proposal # 4097 NNEZNKFCUDGRIR Deviation = 4.02ppm
Search WEB for skeleton |
|
![]()
|
|
|
Structure Proposal # 4098 NJECMANBKIFIMF Deviation = 4.02ppm
Search WEB for skeleton |
|
![]()
|
|
|
Structure Proposal # 4099 NTGSBTGWOOUSTE Deviation = 4.02ppm
Search WEB for skeleton |
|
![]()
|
|
|
Structure Proposal # 4100 BUAXLIOFONTMBM Deviation = 4.02ppm
Search WEB for skeleton |
|
![]()
|
|
|
Structure Proposal # 4101 RGROJSALKWMVPP Deviation = 4.02ppm
Search WEB for skeleton |
|
![]()
|
|
|
Structure Proposal # 4102 DYVVHGYEEGBGIU Deviation = 4.02ppm
Search WEB for skeleton respect to your proposal |
|
![]()
|
|
|
Structure Proposal # 4103 XKVDTYOZCVEKCY Deviation = 4.02ppm
Search WEB for skeleton |
|
![]()
|
|
|
Structure Proposal # 4104 BSEZKJYLNOPNKV Deviation = 4.02ppm
Search WEB for skeleton |
|
![]()
|
|
|
Structure Proposal # 4105 KZOXMDBDBHVOTG Deviation = 4.02ppm
Search WEB for skeleton respect to your proposal |
|
![]()
|
|
|
Structure Proposal # 4106 YZQRVQZWQGKHNZ Deviation = 4.02ppm
Search WEB for skeleton |
|
![]()
|
|
|
Structure Proposal # 4107 YVNXPQDFFBFHJY Deviation = 4.02ppm
Search WEB for skeleton respect to your proposal |
|
![]()
|
|
|
Structure Proposal # 4108 NTCFAHGFFXXKEQ Deviation = 4.02ppm
Search WEB for skeleton |
|
![]()
|
|
|
Structure Proposal # 4109 AGYHRPDVJREGET Deviation = 4.02ppm
Search WEB for skeleton |
|
![]()
|
|
|
Structure Proposal # 4110 ZQNINNUBECCSST Deviation = 4.02ppm
Search WEB for skeleton |
|
![]()
|
|
|
Structure Proposal # 4111 LOPLIOLFJPWOLD Deviation = 4.02ppm
Search WEB for skeleton |
|
![]()
|
|
|
Structure Proposal # 4112 XTXXSXNPRCOMEU Deviation = 4.02ppm
Search WEB for skeleton |
|
![]()
|
|
|
Structure Proposal # 4113 WZDXATQCWAHNRI Deviation = 4.02ppm
Search WEB for skeleton |
|
![]()
|
|
|
Structure Proposal # 4114 LBCFUKPYASFXBI Deviation = 4.02ppm
Search WEB for skeleton |
|
![]()
|
|
|
Structure Proposal # 4115 JCMCVCGGKDGDCL Deviation = 4.02ppm
Search WEB for skeleton |
|
![]()
|
|
|
Structure Proposal # 4116 ORAFMWLGESXQJY Deviation = 4.02ppm
Search WEB for skeleton |
|
![]()
|
|
|
Structure Proposal # 4117 AUVBFFDJRWJUOH Deviation = 4.02ppm
Search WEB for skeleton |
|
![]()
|
|
|
Structure Proposal # 4118 SKBZZXXCJHZBEC Deviation = 4.02ppm
Search WEB for skeleton |
|
![]()
|
|
|
Structure Proposal # 4119 RGMUYMVFWUVLRX Deviation = 4.03ppm
Search WEB for skeleton |
|
![]()
|
|
|
Structure Proposal # 4120 MBXHPILAHCQRRF Deviation = 4.03ppm
Search WEB for skeleton |
|
![]()
|
|
|
Structure Proposal # 4121 IRHNEVAEXZOGGF Deviation = 4.03ppm
Search WEB for skeleton |
|
![]()
|
|
|
Structure Proposal # 4122 HGUZFXKMQHXDOH Deviation = 4.03ppm
Search WEB for skeleton |
|
![]()
|
|
|
Structure Proposal # 4123 DBTOEZIFSYALNT Deviation = 4.03ppm
Search WEB for skeleton |
|
![]()
|
|
|
Structure Proposal # 4124 VDRRPDHBJGTZIC Deviation = 4.03ppm
Search WEB for skeleton respect to your proposal |
|
![]()
|
|
|
Structure Proposal # 4125 VLARDWCTCQKSIQ Deviation = 4.03ppm
Search WEB for skeleton |
|
![]()
|
|
|
Structure Proposal # 4126 RBPDNWKNUHFSHQ Deviation = 4.03ppm
Search WEB for skeleton |
|
![]()
|
|
|
Structure Proposal # 4127 HIVOTHSNBVKSHX Deviation = 4.03ppm
Search WEB for skeleton |
|
![]()
|
|
|
Structure Proposal # 4128 DWUSRNOCGBXMRR Deviation = 4.03ppm
Search WEB for skeleton |
|
![]()
|
|
|
Structure Proposal # 4129 MTPULECVPUOWMR Deviation = 4.03ppm
Search WEB for skeleton |
|
![]()
|
|
|
Structure Proposal # 4130 NYZBBKGIVHSLGM Deviation = 4.03ppm
Search WEB for skeleton |
|
![]()
|
|
|
Structure Proposal # 4131 KSVKCEKFKVMMFP Deviation = 4.03ppm
Search WEB for skeleton respect to your proposal |
|
![]()
|
|
|
Structure Proposal # 4132 GKOIIIZANDJJMA Deviation = 4.03ppm
Search WEB for skeleton |
|
![]()
|
|
|
Structure Proposal # 4133 BFPGYMYDFMFJSA Deviation = 4.03ppm
Search WEB for skeleton |
|
![]()
|
|
|
Structure Proposal # 4134 CGQQIVYLGMOBNA Deviation = 4.03ppm
Search WEB for skeleton respect to your proposal |
|
![]()
|
|
|
Structure Proposal # 4135 BIPCZTGKZQVOGD Deviation = 4.03ppm
Search WEB for skeleton |
|
![]()
|
|
|
Structure Proposal # 4136 DRIXDAUILNTQDX Deviation = 4.03ppm
Search WEB for skeleton |
|
![]()
|
|
|
Structure Proposal # 4137 YTYRLTZTJFVQJY Deviation = 4.03ppm
Search WEB for skeleton respect to your proposal |
|
![]()
|
|
|
Structure Proposal # 4138 KIQIKLKRAXAFNN Deviation = 4.03ppm
Search WEB for skeleton |
|
![]()
|
|
|
Structure Proposal # 4139 MUUYRBIGMWLHFP Deviation = 4.03ppm
Search WEB for skeleton |
|
![]()
|
|
|
Structure Proposal # 4140 KFSBGXHPBRIRLR Deviation = 4.03ppm
Search WEB for skeleton |
|
![]()
|
|
|
Structure Proposal # 4141 ICBQMIKQPOGGAH Deviation = 4.03ppm
Search WEB for skeleton respect to your proposal |
|
![]()
|
|
|
Structure Proposal # 4142 PYFWFFWDMADRGJ Deviation = 4.03ppm
Search WEB for skeleton |
|
![]()
|
|
|
Structure Proposal # 4143 KONRBKMHNIKOHK Deviation = 4.03ppm
Search WEB for skeleton |
|
![]()
|
|
|
Structure Proposal # 4144 NQSZKAHCEHPNPJ Deviation = 4.03ppm
Search WEB for skeleton |
|
![]()
|
|
|
Structure Proposal # 4145 KPVUTTCNWUHZGY Deviation = 4.03ppm
Search WEB for skeleton respect to your proposal |
|
![]()
|
|
|
Structure Proposal # 4146 KBFXHTLRABNRMK Deviation = 4.03ppm
Search WEB for skeleton |
|
![]()
|
|
|
Structure Proposal # 4147 DOOCCBMIGMYBIU Deviation = 4.03ppm
Search WEB for skeleton |
|
![]()
|
|
|
Structure Proposal # 4148 PQNPLCVMDOFQQW Deviation = 4.03ppm
Search WEB for skeleton |
|
![]()
|
|
|
Structure Proposal # 4149 ZMFMUIRNGQRZGO Deviation = 4.04ppm
Search WEB for skeleton |
|
![]()
|
|
|
Structure Proposal # 4150 HQNWQKMTRVGWHD Deviation = 4.04ppm
Search WEB for skeleton |
|
![]()
|
|
|
Structure Proposal # 4151 QYQWXBYUQBJUID Deviation = 4.04ppm
Search WEB for skeleton |
|
![]()
|
|
|
Structure Proposal # 4152 LLEVWSNIULAYQB Deviation = 4.04ppm
Search WEB for skeleton |
|
![]()
|
|
|
Structure Proposal # 4153 UYFJKSQJPDDEQX Deviation = 4.04ppm
Search WEB for skeleton |
|
![]()
|
|
|
Structure Proposal # 4154 WUAHLXDLDXVDBF Deviation = 4.04ppm
Search WEB for skeleton |
|
![]()
|
|
|
Structure Proposal # 4155 YZZINNOLZNOJGJ Deviation = 4.04ppm
Search WEB for skeleton |
|
![]()
|
|
|
Structure Proposal # 4156 XTKVKDOGPVEHIL Deviation = 4.04ppm
Search WEB for skeleton respect to your proposal |
|
![]()
|
|
|
Structure Proposal # 4157 UKSVYNWILGCBOM Deviation = 4.04ppm
Search WEB for skeleton |
|
![]()
|
|
|
Structure Proposal # 4158 GWQRRDJSZGGOFV Deviation = 4.04ppm
Search WEB for skeleton |
|
![]()
|
|
|
Structure Proposal # 4159 SGXOLMUEXWBWHC Deviation = 4.04ppm
Search WEB for skeleton respect to your proposal |
|
![]()
|
|
|
Structure Proposal # 4160 IQFGPRXZIUHMJT Deviation = 4.04ppm
Search WEB for skeleton |
|
![]()
|
|
|
Structure Proposal # 4161 BXNWJFUABCJSTR Deviation = 4.04ppm
Search WEB for skeleton |
|
![]()
|
|
|
Structure Proposal # 4162 VHJKVYXHTGHKKQ Deviation = 4.04ppm
Search WEB for skeleton |
|
![]()
|
|
|
Structure Proposal # 4163 BCRAPGXHURSFBU Deviation = 4.04ppm
Search WEB for skeleton |
|
![]()
|
|
|
Structure Proposal # 4164 LCIFHGAJKYIMEC Deviation = 4.04ppm
Search WEB for skeleton respect to your proposal |
|
![]()
|
|
|
Structure Proposal # 4165 RNAPWTDURFODJI Deviation = 4.04ppm
Search WEB for skeleton |
|
![]()
|
|
|
Structure Proposal # 4166 WFYNTAACCFQHBR Deviation = 4.04ppm
Search WEB for skeleton respect to your proposal |
|
![]()
|
|
|
Structure Proposal # 4167 IFMNLDULWQDQPS Deviation = 4.04ppm
Search WEB for skeleton respect to your proposal |
|
![]()
|
|
|
Structure Proposal # 4168 CDGWFTGBZXKYOL Deviation = 4.04ppm
Search WEB for skeleton |
|
![]()
|
|
|
Structure Proposal # 4169 FRFHLUWGDSGUEJ Deviation = 4.04ppm
Search WEB for skeleton |
|
![]()
|
|
|
Structure Proposal # 4170 ZTPAMPZTJKCSON Deviation = 4.04ppm
Search WEB for skeleton |
|
![]()
|
|
|
Structure Proposal # 4171 CRVPUAPESKUMGI Deviation = 4.04ppm
Search WEB for skeleton |
|
![]()
|
|
|
Structure Proposal # 4172 KSIAECSYZJULMD Deviation = 4.04ppm
Search WEB for skeleton |
|
![]()
|
|
|
Structure Proposal # 4173 AOXITLUJCLZYRP Deviation = 4.04ppm
Search WEB for skeleton |
|
![]()
|
|
|
Structure Proposal # 4174 FHAFCRPKHQASDS Deviation = 4.04ppm
Search WEB for skeleton |
|
![]()
|
|
|
Structure Proposal # 4175 XSBVXLPGZOOIKX Deviation = 4.04ppm
Search WEB for skeleton |
|
![]()
|
|
|
Structure Proposal # 4176 VOYNAHHJRTWNST Deviation = 4.04ppm
Search WEB for skeleton |
|
![]()
|
|
|
Structure Proposal # 4177 BABMJZQRBIVFQL Deviation = 4.04ppm
Search WEB for skeleton |
|
![]()
|
|
|
Structure Proposal # 4178 DLUDMFAUQOFSQU Deviation = 4.04ppm
Search WEB for skeleton respect to your proposal |
|
![]()
|
|
|
Structure Proposal # 4179 UODDQSBTCFAPTH Deviation = 4.04ppm
Search WEB for skeleton |
|
![]()
|
|
|
Structure Proposal # 4180 IISZJYSWYVJOHC Deviation = 4.05ppm
Search WEB for skeleton |
|
![]()
|
|
|
Structure Proposal # 4181 KNXCTPRZVJANNL Deviation = 4.05ppm
Search WEB for skeleton |
|
![]()
|
|
|
Structure Proposal # 4182 ICLFTGDPMKCENO Deviation = 4.05ppm
Search WEB for skeleton |
|
![]()
|
|
|
Structure Proposal # 4183 YJPQSMUQMAFBHK Deviation = 4.05ppm
Search WEB for skeleton |
|
![]()
|
|
|
Structure Proposal # 4184 JCSNRDZZBGKJJG Deviation = 4.05ppm
Search WEB for skeleton respect to your proposal |
|
![]()
|
|
|
Structure Proposal # 4185 UVJZOGVXMHFUER Deviation = 4.05ppm
Search WEB for skeleton respect to your proposal |
|
![]()
|
|
|
Structure Proposal # 4186 MIDVOMQEZHEDQF Deviation = 4.05ppm
Search WEB for skeleton |
|
![]()
|
|
|
Structure Proposal # 4187 SAKQYKIFUVCNJL Deviation = 4.05ppm
Search WEB for skeleton |
|
![]()
|
|
|
Structure Proposal # 4188 MVMIHZSZIJOVKU Deviation = 4.05ppm
Search WEB for skeleton |
|
![]()
|
|
|
Structure Proposal # 4189 RJMARBHPWZLJSK Deviation = 4.05ppm
Search WEB for skeleton |
|
![]()
|
|
|
Structure Proposal # 4190 KXINOYLQIKHENO Deviation = 4.05ppm
Search WEB for skeleton |
|
![]()
|
|
|
Structure Proposal # 4191 NAFDJELICQFVDG Deviation = 4.05ppm
Search WEB for skeleton |
|
![]()
|
|
|
Structure Proposal # 4192 QFZMUSAYCWMDAW Deviation = 4.05ppm
Search WEB for skeleton |
|
![]()
|
|
|
Structure Proposal # 4193 OCJOHOQBSAOYLH Deviation = 4.05ppm
Search WEB for skeleton |
|
![]()
|
|
|
Structure Proposal # 4194 YQUCRPVQUOCQCQ Deviation = 4.05ppm
Search WEB for skeleton |
|
![]()
|
|
|
Structure Proposal # 4195 JQWRHEBOJXVIAR Deviation = 4.05ppm
Search WEB for skeleton |
|
![]()
|
|
|
Structure Proposal # 4196 ZKWYDIXELKUHTC Deviation = 4.05ppm
Search WEB for skeleton |
|
![]()
|
|
|
Structure Proposal # 4197 OWGBAQIVQQZXBT Deviation = 4.05ppm
Search WEB for skeleton |
|
![]()
|
|
|
Structure Proposal # 4198 XGEGMBYKSJKLAK Deviation = 4.05ppm
Search WEB for skeleton |
|
![]()
|
|
|
Structure Proposal # 4199 JGSBPULPHQUCIV Deviation = 4.05ppm
Search WEB for skeleton respect to your proposal |
|
![]()
|
|
|
Structure Proposal # 4200 RGZVZMZRBXBPOU Deviation = 4.05ppm
Search WEB for skeleton respect to your proposal |
|
![]()
|
|
|
Structure Proposal # 4201 DMRWJQJNATUIPW Deviation = 4.05ppm
Search WEB for skeleton |
|
![]()
|
|
|
Structure Proposal # 4202 YPGXVUYHFJGPIP Deviation = 4.06ppm
Search WEB for skeleton |
|
![]()
|
|
|
Structure Proposal # 4203 ZPFWXWMJBKUHFL Deviation = 4.06ppm
Search WEB for skeleton respect to your proposal |
|
![]()
|
|
|
Structure Proposal # 4204 ZOBWUPMQLQHWGN Deviation = 4.06ppm
Search WEB for skeleton |
|
![]()
|
|
|
Structure Proposal # 4205 WTLQFAZQGXDRQS Deviation = 4.06ppm
Search WEB for skeleton |
|
![]()
|
|
|
Structure Proposal # 4206 MUOCQAPPCAKZRJ Deviation = 4.06ppm
Search WEB for skeleton |
|
![]()
|
|
|
Structure Proposal # 4207 PLIIPTSJPJLYLG Deviation = 4.06ppm
Search WEB for skeleton |
|
![]()
|
|
|
Structure Proposal # 4208 UODLCMALDLZOLQ Deviation = 4.06ppm
Search WEB for skeleton |
|
![]()
|
|
|
Structure Proposal # 4209 UDLUAIOCXUEGBQ Deviation = 4.06ppm
Search WEB for skeleton |
|
![]()
|
|
|
Structure Proposal # 4210 PMGGNTBFEVIVPU Deviation = 4.06ppm
Search WEB for skeleton |
|
![]()
|
|
|
Structure Proposal # 4211 PZKFFAORYDMWJH Deviation = 4.06ppm
Search WEB for skeleton |
|
![]()
|
|
|
Structure Proposal # 4212 NXQYSLAWORTROJ Deviation = 4.06ppm
Search WEB for skeleton respect to your proposal |
|
![]()
|
|
|
Structure Proposal # 4213 QEDSIMAHEYSIFK Deviation = 4.06ppm
Search WEB for skeleton respect to your proposal |
|
![]()
|
|
|
Structure Proposal # 4214 GKKMFOWTBRPSHJ Deviation = 4.06ppm
Search WEB for skeleton |
|
![]()
|
|
|
Structure Proposal # 4215 QHNSQTBFJKBJNE Deviation = 4.06ppm
Search WEB for skeleton |
|
![]()
|
|
|
Structure Proposal # 4216 RSSHYEGXMBYPPV Deviation = 4.06ppm
Search WEB for skeleton |
|
![]()
|
|
|
Structure Proposal # 4217 BSGLBULZSHXVHV Deviation = 4.06ppm
Search WEB for skeleton |
|
![]()
|
|
|
Structure Proposal # 4218 VMGJZQNDXQHGCI Deviation = 4.06ppm
Search WEB for skeleton |
|
![]()
|
|
|
Structure Proposal # 4219 OHOWCOWYMKQGQS Deviation = 4.06ppm
Search WEB for skeleton |
|
![]()
|
|
|
Structure Proposal # 4220 HXQLIDDPQLTBHS Deviation = 4.06ppm
Search WEB for skeleton |
|
![]()
|
|
|
Structure Proposal # 4221 NWBHQNMXUKCTQI Deviation = 4.06ppm
Search WEB for skeleton |
|
![]()
|
|
|
Structure Proposal # 4222 DDYACILDNWJMRU Deviation = 4.07ppm
Search WEB for skeleton |
|
![]()
|
|
|
Structure Proposal # 4223 OBRPNOJWHBCQKE Deviation = 4.07ppm
Search WEB for skeleton |
|
![]()
|
|
|
Structure Proposal # 4224 BAFSKYDHEIFRFV Deviation = 4.07ppm
Search WEB for skeleton |
|
![]()
|
|
|
Structure Proposal # 4225 URJRJUHDJORHQL Deviation = 4.07ppm
Search WEB for skeleton |
|
![]()
|
|
|
Structure Proposal # 4226 CWLXDPSKQSQXEV Deviation = 4.07ppm
Search WEB for skeleton |
|
![]()
|
|
|
Structure Proposal # 4227 PGLJSNQHWXIWCY Deviation = 4.07ppm
Search WEB for skeleton |
|
![]()
|
|
|
Structure Proposal # 4228 FHMTZUSWGCAULM Deviation = 4.07ppm
Search WEB for skeleton |
|
![]()
|
|
|
Structure Proposal # 4229 BWISRDMXSRCOBI Deviation = 4.07ppm
Search WEB for skeleton |
|
![]()
|
|
|
Structure Proposal # 4230 JOBVHIGJMNUFAH Deviation = 4.07ppm
Search WEB for skeleton |
|
![]()
|
|
|
Structure Proposal # 4231 HVHDSARCBFJAJD Deviation = 4.07ppm
Search WEB for skeleton |
|
![]()
|
|
|
Structure Proposal # 4232 CTMHADISVSJOSM Deviation = 4.07ppm
Search WEB for skeleton |
|
![]()
|
|
|
Structure Proposal # 4233 GBPUQQHRQMTFAN Deviation = 4.07ppm
Search WEB for skeleton |
|
![]()
|
|
|
Structure Proposal # 4234 QDWVIJHCFNEVHD Deviation = 4.07ppm
Search WEB for skeleton |
|
![]()
|
|
|
Structure Proposal # 4235 PTRCXRKAUDNWEY Deviation = 4.07ppm
Search WEB for skeleton |
|
![]()
|
|
|
Structure Proposal # 4236 VMEZZORWHNTKAD Deviation = 4.07ppm
Search WEB for skeleton respect to your proposal |
|
![]()
|
|
|
Structure Proposal # 4237 LGGRHCXVIWQUTQ Deviation = 4.07ppm
Search WEB for skeleton |
|
![]()
|
|
|
Structure Proposal # 4238 MNFOQDCTNHNIIM Deviation = 4.07ppm
Search WEB for skeleton |
|
![]()
|
|
|
Structure Proposal # 4239 NWXGVYSPHKYNSW Deviation = 4.07ppm
Search WEB for skeleton |
|
![]()
|
|
|
Structure Proposal # 4240 GMQICHJCCKQCGD Deviation = 4.07ppm
Search WEB for skeleton |
|
![]()
|
|
|
Structure Proposal # 4241 ZRFLFLPAZZKTLJ Deviation = 4.07ppm
Search WEB for skeleton |
|
![]()
|
|
|
Structure Proposal # 4242 ACYWWDNHNFLXMS Deviation = 4.07ppm
Search WEB for skeleton |
|
![]()
|
|
|
Structure Proposal # 4243 JQFIRNINYNDOBK Deviation = 4.07ppm
Search WEB for skeleton |
|
![]()
|
|
|
Structure Proposal # 4244 GSLFSHRZLWLGDA Deviation = 4.07ppm
Search WEB for skeleton respect to your proposal |
|
![]()
|
|
|
Structure Proposal # 4245 CSASJZRKQLXZRZ Deviation = 4.07ppm
Search WEB for skeleton |
|
![]()
|
|
|
Structure Proposal # 4246 BRPRZRNHPUJALU Deviation = 4.07ppm
Search WEB for skeleton |
|
![]()
|
|
|
Structure Proposal # 4247 URUNCOCMSBSNPG Deviation = 4.07ppm
Search WEB for skeleton |
|
![]()
|
|
|
Structure Proposal # 4248 BSZZIPSWRWSBGL Deviation = 4.07ppm
Search WEB for skeleton |
|
![]()
|
|
|
Structure Proposal # 4249 HFBWJMUQJMHXAD Deviation = 4.07ppm
Search WEB for skeleton |
|
![]()
|
|
|
Structure Proposal # 4250 DTLBIXGIOAEJLR Deviation = 4.07ppm
Search WEB for skeleton |
|
![]()
|
|
|
Structure Proposal # 4251 YLOBCZHCJWZDGR Deviation = 4.07ppm
Search WEB for skeleton |
|
![]()
|
|
|
Structure Proposal # 4252 NCGPNUFGOABVNC Deviation = 4.08ppm
Search WEB for skeleton |
|
![]()
|
|
|
Structure Proposal # 4253 HLEULOBJWOLZSQ Deviation = 4.08ppm
Search WEB for skeleton |
|
![]()
|
|
|
Structure Proposal # 4254 RVVWHDXAWHGDEV Deviation = 4.08ppm
Search WEB for skeleton |
|
![]()
|
|
|
Structure Proposal # 4255 UEHXKXKRUVRIRP Deviation = 4.08ppm
Search WEB for skeleton |
|
![]()
|
|
|
Structure Proposal # 4256 WNJYWQPRHOHQBQ Deviation = 4.08ppm
Search WEB for skeleton |
|
![]()
|
|
|
Structure Proposal # 4257 ZZAPYDSFOMGUIV Deviation = 4.08ppm
Search WEB for skeleton respect to your proposal |
|
![]()
|
|
|
Structure Proposal # 4258 WIGJBTPOYHQJGK Deviation = 4.08ppm
Search WEB for skeleton |
|
![]()
|
|
|
Structure Proposal # 4259 BLIHOULDTPGTAP Deviation = 4.08ppm
Search WEB for skeleton respect to your proposal |
|
![]()
|
|
|
Structure Proposal # 4260 HDYFJXYOYZVSNA Deviation = 4.08ppm
Search WEB for skeleton |
|
![]()
|
|
|
Structure Proposal # 4261 RRVHWJXATFRBBS Deviation = 4.08ppm
Search WEB for skeleton |
|
![]()
|
|
|
Structure Proposal # 4262 KTFGFWUZIXVCPE Deviation = 4.08ppm
Search WEB for skeleton |
|
![]()
|
|
|
Structure Proposal # 4263 VLOPKCCKJSWKFL Deviation = 4.08ppm
Search WEB for skeleton |
|
![]()
|
|
|
Structure Proposal # 4264 YPFVYGAGEHAFEV Deviation = 4.08ppm
Search WEB for skeleton |
|
![]()
|
|
|
Structure Proposal # 4265 CJEHFNOGYLNFAB Deviation = 4.08ppm
Search WEB for skeleton |
|
![]()
|
|
|
Structure Proposal # 4266 MATCMJMDMAOPMU Deviation = 4.08ppm
Search WEB for skeleton |
|
![]()
|
|
|
Structure Proposal # 4267 OAVWRHRVHAVKFT Deviation = 4.08ppm
Search WEB for skeleton |
|
![]()
|
|
|
Structure Proposal # 4268 JBENAJWGXGCTSC Deviation = 4.08ppm
Search WEB for skeleton |
|
![]()
|
|
|
Structure Proposal # 4269 LSFMEDSQGHHYQN Deviation = 4.08ppm
Search WEB for skeleton |
|
![]()
|
|
|
Structure Proposal # 4270 HXZYZBDEDBFZOC Deviation = 4.08ppm
Search WEB for skeleton respect to your proposal |
|
![]()
|
|
|
Structure Proposal # 4271 KFNREZZHLPTXKY Deviation = 4.08ppm
Search WEB for skeleton |
|
![]()
|
|
|
Structure Proposal # 4272 DODVMFUUBGCXCJ Deviation = 4.08ppm
Search WEB for skeleton |
|
![]()
|
|
|
Structure Proposal # 4273 PKQWJNPAIKTQCK Deviation = 4.08ppm
Search WEB for skeleton |
|
![]()
|
|
|
Structure Proposal # 4274 SNJAMXXEYOWCKE Deviation = 4.08ppm
Search WEB for skeleton respect to your proposal |
|
![]()
|
|
|
Structure Proposal # 4275 NQJQFGRTPLFKHV Deviation = 4.08ppm
Search WEB for skeleton respect to your proposal |
|
![]()
|
|
|
Structure Proposal # 4276 HTQLPURQHRQWSL Deviation = 4.08ppm
Search WEB for skeleton |
|
![]()
|
|
|
Structure Proposal # 4277 LJEDXUHTQPGGDL Deviation = 4.08ppm
Search WEB for skeleton |
|
![]()
|
|
|
Structure Proposal # 4278 UEONNUOOGIHNQY Deviation = 4.08ppm
Search WEB for skeleton |
|
![]()
|
|
|
Structure Proposal # 4279 OTLMIDQNTFGUOX Deviation = 4.08ppm
Search WEB for skeleton |
|
![]()
|
|
|
Structure Proposal # 4280 XYYIUHXXAHOTEM Deviation = 4.08ppm
Search WEB for skeleton |
|
![]()
|
|
|
Structure Proposal # 4281 DIYMXXWIZNBVCL Deviation = 4.09ppm
Search WEB for skeleton respect to your proposal |
|
![]()
|
|
|
Structure Proposal # 4282 PAFSIAQWNSWHQI Deviation = 4.09ppm
Search WEB for skeleton |
|
![]()
|
|
|
Structure Proposal # 4283 AFGKCYWWVFJURT Deviation = 4.09ppm
Search WEB for skeleton |
|
![]()
|
|
|
Structure Proposal # 4284 NLZPIOBSERXSEL Deviation = 4.09ppm
Search WEB for skeleton |
|
![]()
|
|
|
Structure Proposal # 4285 DTQPLPUOCSSPJL Deviation = 4.09ppm
Search WEB for skeleton respect to your proposal |
|
![]()
|
|
|
Structure Proposal # 4286 XQCJJDMZSGQLIL Deviation = 4.09ppm
Search WEB for skeleton |
|
![]()
|
|
|
Structure Proposal # 4287 WMRKDFGPYYVSSE Deviation = 4.09ppm
Search WEB for skeleton |
|
![]()
|
|
|
Structure Proposal # 4288 YWNXUNNXWKMMLF Deviation = 4.09ppm
Search WEB for skeleton |
|
![]()
|
|
|
Structure Proposal # 4289 LMEQGYLDBOXEQH Deviation = 4.09ppm
Search WEB for skeleton |
|
![]()
|
|
|
Structure Proposal # 4290 CVCYKIMYVVWVBK Deviation = 4.09ppm
Search WEB for skeleton |
|
![]()
|
|
|
Structure Proposal # 4291 UMUQXSDLPWEEJG Deviation = 4.09ppm
Search WEB for skeleton |
|
![]()
|
|
|
Structure Proposal # 4292 MXZUUZNLCNPOCT Deviation = 4.09ppm
Search WEB for skeleton |
|
![]()
|
|
|
Structure Proposal # 4293 HGVGEYWBNSODNA Deviation = 4.09ppm
Search WEB for skeleton |
|
![]()
|
|
|
Structure Proposal # 4294 LDDAOAJHYWDXDI Deviation = 4.09ppm
Search WEB for skeleton |
|
![]()
|
|
|
Structure Proposal # 4295 AEVIMCZGQYFEAS Deviation = 4.09ppm
Search WEB for skeleton |
|
![]()
|
|
|
Structure Proposal # 4296 YEEBFROACLFYQN Deviation = 4.09ppm
Search WEB for skeleton respect to your proposal |
|
![]()
|
|
|
Structure Proposal # 4297 UCIYLDSOJWVRJP Deviation = 4.09ppm
Search WEB for skeleton |
|
![]()
|
|
|
Structure Proposal # 4298 MYKKLKNPLBIJGV Deviation = 4.09ppm
Search WEB for skeleton |
|
![]()
|
|
|
Structure Proposal # 4299 JTGBMWCDTBHMJB Deviation = 4.09ppm
Search WEB for skeleton |
|
![]()
|
|
|
Structure Proposal # 4300 RBLOVVINUNXBOF Deviation = 4.09ppm
Search WEB for skeleton |
|
![]()
|
|
|
Structure Proposal # 4301 MNKAUDSQJXWJNO Deviation = 4.10ppm
Search WEB for skeleton |
|
![]()
|
|
|
Structure Proposal # 4302 OTWWHVIDZDYBBM Deviation = 4.10ppm
Search WEB for skeleton |
|
![]()
|
|
|
Structure Proposal # 4303 PSNQYWQFIVIOCQ Deviation = 4.10ppm
Search WEB for skeleton |
|
![]()
|
|
|
Structure Proposal # 4304 YEOKEDCVZXRPPN Deviation = 4.10ppm
Search WEB for skeleton |
|
![]()
|
|
|
Structure Proposal # 4305 FQJUXYOIWHUKLJ Deviation = 4.10ppm
Search WEB for skeleton |
|
![]()
|
|
|
Structure Proposal # 4306 PAVKLOYRLHUIRG Deviation = 4.10ppm
Search WEB for skeleton |
|
![]()
|
|
|
Structure Proposal # 4307 AUYMMLDSOJLNSJ Deviation = 4.10ppm
Search WEB for skeleton |
|
![]()
|
|
|
Structure Proposal # 4308 FWQNIMGICOUJSF Deviation = 4.10ppm
Search WEB for skeleton respect to your proposal |
|
![]()
|
|
|
Structure Proposal # 4309 JJAZEPWBVAQSCX Deviation = 4.10ppm
Search WEB for skeleton |
|
![]()
|
|
|
Structure Proposal # 4310 HHZWECFHVXYIAU Deviation = 4.10ppm
Search WEB for skeleton |
|
![]()
|
|
|
Structure Proposal # 4311 SRPGBGGRUQCWHH Deviation = 4.10ppm
Search WEB for skeleton |
|
![]()
|
|
|
Structure Proposal # 4312 GSCLRQSLULVOBU Deviation = 4.10ppm
Search WEB for skeleton |
|
![]()
|
|
|
Structure Proposal # 4313 SMUXEWNIWUBZKD Deviation = 4.10ppm
Search WEB for skeleton |
|
![]()
|
|
|
Structure Proposal # 4314 PDSSPEKTBZOING Deviation = 4.10ppm
Search WEB for skeleton |
|
![]()
|
|
|
Structure Proposal # 4315 RVHAWPWBRIJNPA Deviation = 4.10ppm
Search WEB for skeleton |
|
![]()
|
|
|
Structure Proposal # 4316 LUULIGRVFGTKII Deviation = 4.11ppm
Search WEB for skeleton |
|
![]()
|
|
|
Structure Proposal # 4317 XOVHTQILCJZTOR Deviation = 4.11ppm
Search WEB for skeleton respect to your proposal |
|
![]()
|
|
|
Structure Proposal # 4318 XAAOHRAFRVAHHI Deviation = 4.11ppm
Search WEB for skeleton |
|
![]()
|
|
|
Structure Proposal # 4319 NUOHBHHICJFUCN Deviation = 4.11ppm
Search WEB for skeleton |
|
![]()
|
|
|
Structure Proposal # 4320 RNHNOJPWXZRCGT Deviation = 4.11ppm
Search WEB for skeleton |
|
![]()
|
|
|
Structure Proposal # 4321 MLDJSKDMTJBAKD Deviation = 4.11ppm
Search WEB for skeleton |
|
![]()
|
|
|
Structure Proposal # 4322 FCJKWBRRDOQUGM Deviation = 4.11ppm
Search WEB for skeleton |
|
![]()
|
|
|
Structure Proposal # 4323 RDVGEWKBVTWXQP Deviation = 4.11ppm
Search WEB for skeleton |
|
![]()
|
|
|
Structure Proposal # 4324 PYYGBULCVGCWHA Deviation = 4.11ppm
Search WEB for skeleton |
|
![]()
|
|
|
Structure Proposal # 4325 JFEUXBBOBGKSSI Deviation = 4.11ppm
Search WEB for skeleton |
|
![]()
|
|
|
Structure Proposal # 4326 CYJNYNATFWQTSH Deviation = 4.11ppm
Search WEB for skeleton |
|
![]()
|
|
|
Structure Proposal # 4327 UUAUXDGYXMAXIV Deviation = 4.11ppm
Search WEB for skeleton |
|
![]()
|
|
|
Structure Proposal # 4328 QCDMYAIQFPAYAI Deviation = 4.11ppm
Search WEB for skeleton |
|
![]()
|
|
|
Structure Proposal # 4329 IAUDANJFDJJTKJ Deviation = 4.11ppm
Search WEB for skeleton respect to your proposal |
|
![]()
|
|
|
Structure Proposal # 4330 NOQXSVSMTBMCID Deviation = 4.11ppm
Search WEB for skeleton respect to your proposal |
|
![]()
|
|
|
Structure Proposal # 4331 IOFWPGKRHNKPDH Deviation = 4.11ppm
Search WEB for skeleton |
|
![]()
|
|
|
Structure Proposal # 4332 BZSJSMAGZYQFMF Deviation = 4.11ppm
Search WEB for skeleton |
|
![]()
|
|
|
Structure Proposal # 4333 LHBDFCLTODMGIM Deviation = 4.11ppm
Search WEB for skeleton respect to your proposal |
|
![]()
|
|
|
Structure Proposal # 4334 ICLDXIHAKJETJE Deviation = 4.11ppm
Search WEB for skeleton |
|
![]()
|
|
|
Structure Proposal # 4335 RTAKLLFQMHWDTG Deviation = 4.11ppm
Search WEB for skeleton |
|
![]()
|
|
|
Structure Proposal # 4336 SIWNJZQPBXCTRT Deviation = 4.11ppm
Search WEB for skeleton respect to your proposal |
|
![]()
|
|
|
Structure Proposal # 4337 AMBJUZLCNFEFMR Deviation = 4.11ppm
Search WEB for skeleton |
|
![]()
|
|
|
Structure Proposal # 4338 XAVOGBGFXYQWRO Deviation = 4.12ppm
Search WEB for skeleton |
|
![]()
|
|
|
Structure Proposal # 4339 UIEMMNAIEMHNOU Deviation = 4.12ppm
Search WEB for skeleton |
|
![]()
|
|
|
Structure Proposal # 4340 BEHLNUKDBMLLBC Deviation = 4.12ppm
Search WEB for skeleton |
|
![]()
|
|
|
Structure Proposal # 4341 KWSVCIARBUGUHG Deviation = 4.12ppm
Search WEB for skeleton |
|
![]()
|
|
|
Structure Proposal # 4342 LGVCQBWDYRXRIQ Deviation = 4.12ppm
Search WEB for skeleton |
|
![]()
|
|
|
Structure Proposal # 4343 BCQVYGMRAOTFOF Deviation = 4.12ppm
Search WEB for skeleton |
|
![]()
|
|
|
Structure Proposal # 4344 XATTUQMVSPKOCF Deviation = 4.12ppm
Search WEB for skeleton |
|
![]()
|
|
|
Structure Proposal # 4345 KKRGGUKEVCXYQL Deviation = 4.12ppm
Search WEB for skeleton |
|
![]()
|
|
|
Structure Proposal # 4346 URVPUYCVTCOCGA Deviation = 4.12ppm
Search WEB for skeleton respect to your proposal |
|
![]()
|
|
|
Structure Proposal # 4347 FQBUCGBVHRCPAZ Deviation = 4.12ppm
Search WEB for skeleton |
|
![]()
|
|
|
Structure Proposal # 4348 VYYSQHASOCRNCA Deviation = 4.12ppm
Search WEB for skeleton |
|
![]()
|
|
|
Structure Proposal # 4349 YAQGCBLIEPQNCO Deviation = 4.12ppm
Search WEB for skeleton |
|
![]()
|
|
|
Structure Proposal # 4350 JSTMDEYPYUXAGN Deviation = 4.12ppm
Search WEB for skeleton respect to your proposal |
|
![]()
|
|
|
Structure Proposal # 4351 HBGWKKYZHARGTB Deviation = 4.12ppm
Search WEB for skeleton |
|
![]()
|
|
|
Structure Proposal # 4352 CLPTZPMGQMMFFN Deviation = 4.12ppm
Search WEB for skeleton |
|
![]()
|
|
|
Structure Proposal # 4353 GBCCNHGAORTTGP Deviation = 4.12ppm
Search WEB for skeleton |
|
![]()
|
|
|
Structure Proposal # 4354 VSCRRKILLBSPPA Deviation = 4.12ppm
Search WEB for skeleton |
|
![]()
|
|
|
Structure Proposal # 4355 URFWGRZBPXEHEN Deviation = 4.12ppm
Search WEB for skeleton |
|
![]()
|
|
|
Structure Proposal # 4356 FJQLRZBHLIDEHY Deviation = 4.12ppm
Search WEB for skeleton |
|
![]()
|
|
|
Structure Proposal # 4357 SMUKVZWMBXTVIH Deviation = 4.12ppm
Search WEB for skeleton |
|
![]()
|
|
|
Structure Proposal # 4358 AMUGRNXFWPUTPW Deviation = 4.12ppm
Search WEB for skeleton |
|
![]()
|
|
|
Structure Proposal # 4359 UFVSXEUFRBBIOX Deviation = 4.12ppm
Search WEB for skeleton |
|
![]()
|
|
|
Structure Proposal # 4360 SYODWSDLHYOLTR Deviation = 4.12ppm
Search WEB for skeleton |
|
![]()
|
|
|
Structure Proposal # 4361 QVQMAFNNANVPBG Deviation = 4.12ppm
Search WEB for skeleton respect to your proposal |
|
![]()
|
|
|
Structure Proposal # 4362 NAKQLLNJLNMUKO Deviation = 4.12ppm
Search WEB for skeleton |
|
![]()
|
|
|
Structure Proposal # 4363 MMFJFBQFPAZEHG Deviation = 4.13ppm
Search WEB for skeleton respect to your proposal |
|
![]()
|
|
|
Structure Proposal # 4364 QQIRQIKTHZMNOY Deviation = 4.13ppm
Search WEB for skeleton |
|
![]()
|
|
|
Structure Proposal # 4365 OSACLBZPZKZNSL Deviation = 4.13ppm
Search WEB for skeleton |
|
![]()
|
|
|
Structure Proposal # 4366 WNJVIXVQDWKDIK Deviation = 4.13ppm
Search WEB for skeleton |
|
![]()
|
|
|
Structure Proposal # 4367 DIEDHZVLTOSJJM Deviation = 4.13ppm
Search WEB for skeleton |
|
![]()
|
|
|
Structure Proposal # 4368 DOMGKNSUVHDNLL Deviation = 4.13ppm
Search WEB for skeleton |
|
![]()
|
|
|
Structure Proposal # 4369 ZCBQCLOMZHSANK Deviation = 4.13ppm
Search WEB for skeleton |
|
![]()
|
|
|
Structure Proposal # 4370 SWAKMAHMSCFOCN Deviation = 4.13ppm
Search WEB for skeleton |
|
![]()
|
|
|
Structure Proposal # 4371 AAHCTSOTDYTPDG Deviation = 4.13ppm
Search WEB for skeleton |
|
![]()
|
|
|
Structure Proposal # 4372 OMLYANYYXRGJBY Deviation = 4.13ppm
Search WEB for skeleton |
|
![]()
|
|
|
Structure Proposal # 4373 OOSNACYIUUYRCP Deviation = 4.13ppm
Search WEB for skeleton |
|
![]()
|
|
|
Structure Proposal # 4374 MZEBOCMMFNEOAX Deviation = 4.13ppm
Search WEB for skeleton |
|
![]()
|
|
|
Structure Proposal # 4375 WRKYYSZZYSYGLA Deviation = 4.13ppm
Search WEB for skeleton |
|
![]()
|
|
|
Structure Proposal # 4376 IFXMEGHAYDYFPL Deviation = 4.13ppm
Search WEB for skeleton respect to your proposal |
|
![]()
|
|
|
Structure Proposal # 4377 BTWBCSMFRXBRJI Deviation = 4.13ppm
Search WEB for skeleton |
|
![]()
|
|
|
Structure Proposal # 4378 CDLMNZPVKZDMKO Deviation = 4.13ppm
Search WEB for skeleton |
|
![]()
|
|
|
Structure Proposal # 4379 UONUCDNJJWIUEI Deviation = 4.13ppm
Search WEB for skeleton |
|
![]()
|
|
|
Structure Proposal # 4380 WZSFSJNDWXYMNR Deviation = 4.13ppm
Search WEB for skeleton |
|
![]()
|
|
|
Structure Proposal # 4381 VZGIOFVBSCBJEQ Deviation = 4.13ppm
Search WEB for skeleton |
|
![]()
|
|
|
Structure Proposal # 4382 LKEOBQMAOSXYGA Deviation = 4.13ppm
Search WEB for skeleton |
|
![]()
|
|
|
Structure Proposal # 4383 KBYWUAFHLUACAD Deviation = 4.13ppm
Search WEB for skeleton |
|
![]()
|
|
|
Structure Proposal # 4384 JQACHBJHAHKLOW Deviation = 4.13ppm
Search WEB for skeleton |
|
![]()
|
|
|
Structure Proposal # 4385 XOZGMNZHLPJDIC Deviation = 4.14ppm
Search WEB for skeleton |
|
![]()
|
|
|
Structure Proposal # 4386 SKCKWSYZMLDVNT Deviation = 4.14ppm
Search WEB for skeleton |
|
![]()
|
|
|
Structure Proposal # 4387 WWUZIUYBLPBEQK Deviation = 4.14ppm
Search WEB for skeleton |
|
![]()
|
|
|
Structure Proposal # 4388 VQUVSHLNOSIUTJ Deviation = 4.14ppm
Search WEB for skeleton respect to your proposal |
|
![]()
|
|
|
Structure Proposal # 4389 UOTWTQYIBSDURW Deviation = 4.14ppm
Search WEB for skeleton |
|
![]()
|
|
|
Structure Proposal # 4390 PXFXMOAYYGELPY Deviation = 4.14ppm
Search WEB for skeleton |
|
![]()
|
|
|
Structure Proposal # 4391 CNIKHXSXADPPGF Deviation = 4.14ppm
Search WEB for skeleton |
|
![]()
|
|
|
Structure Proposal # 4392 GCZNLJMVGZDGTI Deviation = 4.14ppm
Search WEB for skeleton |
|
![]()
|
|
|
Structure Proposal # 4393 BOORPIORXDBKGE Deviation = 4.14ppm
Search WEB for skeleton |
|
![]()
|
|
|
Structure Proposal # 4394 PYTIPEXXONPFMK Deviation = 4.14ppm
Search WEB for skeleton |
|
![]()
|
|
|
Structure Proposal # 4395 QCQNAOUSDAJELW Deviation = 4.14ppm
Search WEB for skeleton |
|
![]()
|
|
|
Structure Proposal # 4396 QVDGFFYZIQSSNB Deviation = 4.14ppm
Search WEB for skeleton |
|
![]()
|
|
|
Structure Proposal # 4397 PIJRXLBRHFMQOG Deviation = 4.14ppm
Search WEB for skeleton |
|
![]()
|
|
|
Structure Proposal # 4398 NNHRDROSLMTDOI Deviation = 4.14ppm
Search WEB for skeleton |
|
![]()
|
|
|
Structure Proposal # 4399 QDGVTFCDUCTYLK Deviation = 4.14ppm
Search WEB for skeleton |
|
![]()
|
|
|
Structure Proposal # 4400 MTNXKPYINKNVHD Deviation = 4.14ppm
Search WEB for skeleton |
|
![]()
|
|
|
Structure Proposal # 4401 YMKGVXIKLWSQRC Deviation = 4.14ppm
Search WEB for skeleton |
|
![]()
|
|
|
Structure Proposal # 4402 UWIBNWCJSGTAPW Deviation = 4.14ppm
Search WEB for skeleton respect to your proposal |
|
![]()
|
|
|
Structure Proposal # 4403 RABLYNMPTOLFNI Deviation = 4.14ppm
Search WEB for skeleton |
|
![]()
|
|
|
Structure Proposal # 4404 VWJOBHILMFLKHB Deviation = 4.14ppm
Search WEB for skeleton |
|
![]()
|
|
|
Structure Proposal # 4405 YZRUJTNILMHPRL Deviation = 4.14ppm
Search WEB for skeleton |
|
![]()
|
|
|
Structure Proposal # 4406 MSFCFNRGCFLDML Deviation = 4.14ppm
Search WEB for skeleton |
|
![]()
|
|
|
Structure Proposal # 4407 XXUORXKVFRKMMX Deviation = 4.14ppm
Search WEB for skeleton respect to your proposal |
|
![]()
|
|
|
Structure Proposal # 4408 LIHPYXWYTJJNQH Deviation = 4.14ppm
Search WEB for skeleton |
|
![]()
|
|
|
Structure Proposal # 4409 VUDXVXMEGGRNRV Deviation = 4.14ppm
Search WEB for skeleton |
|
![]()
|
|
|
Structure Proposal # 4410 IZCVKEVTMILZGY Deviation = 4.14ppm
Search WEB for skeleton |
|
![]()
|
|
|
Structure Proposal # 4411 ZZSBUOVPXDUESV Deviation = 4.14ppm
Search WEB for skeleton |
|
![]()
|
|
|
Structure Proposal # 4412 VEAQXDXRAFZLBC Deviation = 4.15ppm
Search WEB for skeleton |
|
![]()
|
|
|
Structure Proposal # 4413 TYXOFPZCUBQGDP Deviation = 4.15ppm
Search WEB for skeleton |
|
![]()
|
|
|
Structure Proposal # 4414 VHPGDSLLSJUUHO Deviation = 4.15ppm
Search WEB for skeleton respect to your proposal |
|
![]()
|
|
|
Structure Proposal # 4415 UJXJNVSWGZOIBB Deviation = 4.15ppm
Search WEB for skeleton |
|
![]()
|
|
|
Structure Proposal # 4416 XWQJEWPVZMIILO Deviation = 4.15ppm
Search WEB for skeleton |
|
![]()
|
|
|
Structure Proposal # 4417 GMENAVARRJXRND Deviation = 4.15ppm
Search WEB for skeleton |
|
![]()
|
|
|
Structure Proposal # 4418 RYZIMSSMMWOWAN Deviation = 4.15ppm
Search WEB for skeleton |
|
![]()
|
|
|
Structure Proposal # 4419 CTQAFLPZPWSYBD Deviation = 4.15ppm
Search WEB for skeleton |
|
![]()
|
|
|
Structure Proposal # 4420 NDMPAHIZHYWRJF Deviation = 4.15ppm
Search WEB for skeleton |
|
![]()
|
|
|
Structure Proposal # 4421 AKOZLRDJXMBGMH Deviation = 4.15ppm
Search WEB for skeleton |
|
![]()
|
|
|
Structure Proposal # 4422 PRNVDDCQCMEKMV Deviation = 4.15ppm
Search WEB for skeleton |
|
![]()
|
|
|
Structure Proposal # 4423 VASYFCLOXMZVHR Deviation = 4.15ppm
Search WEB for skeleton |
|
![]()
|
|
|
Structure Proposal # 4424 NRRFRKOTBZCVPM Deviation = 4.15ppm
Search WEB for skeleton |
|
![]()
|
|
|
Structure Proposal # 4425 QUBYXAUWYARDAO Deviation = 4.15ppm
Search WEB for skeleton |
|
![]()
|
|
|
Structure Proposal # 4426 UNBRZRJCXJEQKN Deviation = 4.15ppm
Search WEB for skeleton |
|
![]()
|
|
|
Structure Proposal # 4427 DJRRIZZTTIJAJI Deviation = 4.15ppm
Search WEB for skeleton |
|
![]()
|
|
|
Structure Proposal # 4428 ROGHKIPSAMGKGG Deviation = 4.15ppm
Search WEB for skeleton respect to your proposal |
|
![]()
|
|
|
Structure Proposal # 4429 HSWSXMZARWFFOY Deviation = 4.15ppm
Search WEB for skeleton |
|
![]()
|
|
|
Structure Proposal # 4430 IDCGOOQVIMHRNA Deviation = 4.15ppm
Search WEB for skeleton |
|
![]()
|
|
|
Structure Proposal # 4431 HQKKOCIICKCWJX Deviation = 4.15ppm
Search WEB for skeleton |
|
![]()
|
|
|
Structure Proposal # 4432 QRFGBCHDEAGBPY Deviation = 4.15ppm
Search WEB for skeleton respect to your proposal |
|
![]()
|
|
|
Structure Proposal # 4433 MIKDBAQPMNLCKD Deviation = 4.15ppm
Search WEB for skeleton |
|
![]()
|
|
|
Structure Proposal # 4434 AYRNMKUJAGNXSC Deviation = 4.15ppm
Search WEB for skeleton |
|
![]()
|
|
|
Structure Proposal # 4435 WWAINWUODVKMNO Deviation = 4.16ppm
Search WEB for skeleton respect to your proposal |
|
![]()
|
|
|
Structure Proposal # 4436 FWRNNEHDTWLSFE Deviation = 4.16ppm
Search WEB for skeleton |
|
![]()
|
|
|
Structure Proposal # 4437 KNMRXDUKTOCFSV Deviation = 4.16ppm
Search WEB for skeleton respect to your proposal |
|
![]()
|
|
|
Structure Proposal # 4438 DAVCQPUDPBBMLH Deviation = 4.16ppm
Search WEB for skeleton |
|
![]()
|
|
|
Structure Proposal # 4439 JDEZXGWHSWPDKD Deviation = 4.16ppm
Search WEB for skeleton |
|
![]()
|
|
|
Structure Proposal # 4440 FEUZKZLEAOGSOG Deviation = 4.16ppm
Search WEB for skeleton |
|
![]()
|
|
|
Structure Proposal # 4441 CKAQTHFIAPOYCQ Deviation = 4.16ppm
Search WEB for skeleton |
|
![]()
|
|
|
Structure Proposal # 4442 ANZXMIHNMGEARQ Deviation = 4.16ppm
Search WEB for skeleton respect to your proposal |
|
![]()
|
|
|
Structure Proposal # 4443 MXIMMRCKYBYGGK Deviation = 4.16ppm
Search WEB for skeleton |
|
![]()
|
|
|
Structure Proposal # 4444 IGJAATXXBJIAEV Deviation = 4.16ppm
Search WEB for skeleton |
|
![]()
|
|
|
Structure Proposal # 4445 OBLDBSBPECGKEY Deviation = 4.16ppm
Search WEB for skeleton |
|
![]()
|
|
|
Structure Proposal # 4446 RLQJAZXUHNRERS Deviation = 4.16ppm
Search WEB for skeleton respect to your proposal |
|
![]()
|
|
|
Structure Proposal # 4447 FDHUWORKFIOPDB Deviation = 4.16ppm
Search WEB for skeleton |
|
![]()
|
|
|
Structure Proposal # 4448 IWRGGWKPTTVJPC Deviation = 4.16ppm
Search WEB for skeleton |
|
![]()
|
|
|
Structure Proposal # 4449 RNMQSFNHNOHWQO Deviation = 4.16ppm
Search WEB for skeleton respect to your proposal |
|
![]()
|
|
|
Structure Proposal # 4450 VAOJIZRRURLRRO Deviation = 4.16ppm
Search WEB for skeleton respect to your proposal |
|
![]()
|
|
|
Structure Proposal # 4451 UTZVAAFJSQTFSM Deviation = 4.16ppm
Search WEB for skeleton |
|
![]()
|
|
|
Structure Proposal # 4452 XZJPAGNZNIIXDH Deviation = 4.16ppm
Search WEB for skeleton |
|
![]()
|
|
|
Structure Proposal # 4453 JINYJFWCSPKFHR Deviation = 4.16ppm
Search WEB for skeleton |
|
![]()
|
|
|
Structure Proposal # 4454 JWHYUGSEXYPCED Deviation = 4.16ppm
Search WEB for skeleton |
|
![]()
|
|
|
Structure Proposal # 4455 NFJJBPMQEHXMKX Deviation = 4.16ppm
Search WEB for skeleton respect to your proposal |
|
![]()
|
|
|
Structure Proposal # 4456 MYLMBCJKYJLNGA Deviation = 4.16ppm
Search WEB for skeleton |
|
![]()
|
|
|
Structure Proposal # 4457 IFZSVYOCRVAADW Deviation = 4.16ppm
Search WEB for skeleton |
|
![]()
|
|
|
Structure Proposal # 4458 RFALKYUQDYGCFV Deviation = 4.16ppm
Search WEB for skeleton |
|
![]()
|
|
|
Structure Proposal # 4459 JEDXPLVFADWYDE Deviation = 4.16ppm
Search WEB for skeleton |
|
![]()
|
|
|
Structure Proposal # 4460 TVSGUVHGDIIZFC Deviation = 4.16ppm
Search WEB for skeleton |
|
![]()
|
|
|
Structure Proposal # 4461 CGUJNDITOJCROG Deviation = 4.16ppm
Search WEB for skeleton |
|
![]()
|
|
|
Structure Proposal # 4462 GDLBXORMQCWCTM Deviation = 4.16ppm
Search WEB for skeleton |
|
![]()
|
|
|
Structure Proposal # 4463 KAEXQTDCJBWWOR Deviation = 4.16ppm
Search WEB for skeleton respect to your proposal |
|
![]()
|
|
|
Structure Proposal # 4464 XHUWWJKZYDUVDY Deviation = 4.17ppm
Search WEB for skeleton respect to your proposal |
|
![]()
|
|
|
Structure Proposal # 4465 QIWMJSZREJXMQU Deviation = 4.17ppm
Search WEB for skeleton |
|
![]()
|
|
|
Structure Proposal # 4466 WRKYYMKTSLBPSZ Deviation = 4.17ppm
Search WEB for skeleton |
|
![]()
|
|
|
Structure Proposal # 4467 PUGNBANAXBJUBP Deviation = 4.17ppm
Search WEB for skeleton |
|
![]()
|
|
|
Structure Proposal # 4468 IAMQUSMNFGQZRY Deviation = 4.17ppm
Search WEB for skeleton |
|
![]()
|
|
|
Structure Proposal # 4469 KTMIUIDBABMRKS Deviation = 4.17ppm
Search WEB for skeleton |
|
![]()
|
|
|
Structure Proposal # 4470 LYADSUYPWDSUFK Deviation = 4.17ppm
Search WEB for skeleton |
|
![]()
|
|
|
Structure Proposal # 4471 MCDNPRSRGIZSCD Deviation = 4.17ppm
Search WEB for skeleton |
|
![]()
|
|
|
Structure Proposal # 4472 DIBSFGQIUHSVBM Deviation = 4.17ppm
Search WEB for skeleton respect to your proposal |
|
![]()
|
|
|
Structure Proposal # 4473 VBDIGUIIDYDMJQ Deviation = 4.17ppm
Search WEB for skeleton respect to your proposal |
|
![]()
|
|
|
Structure Proposal # 4474 HFZJVBPPIAWNCU Deviation = 4.17ppm
Search WEB for skeleton |
|
![]()
|
|
|
Structure Proposal # 4475 DWYNVUKAMYRJOW Deviation = 4.17ppm
Search WEB for skeleton |
|
![]()
|
|
|
Structure Proposal # 4476 BMOJUMBPLISVFL Deviation = 4.17ppm
Search WEB for skeleton |
|
![]()
|
|
|
Structure Proposal # 4477 MFKMYGBVMWOOLK Deviation = 4.17ppm
Search WEB for skeleton respect to your proposal |
|
![]()
|
|
|
Structure Proposal # 4478 LCGZLYTUKMMJAT Deviation = 4.17ppm
Search WEB for skeleton |
|
![]()
|
|
|
Structure Proposal # 4479 KNRLKJQRVCCIFR Deviation = 4.17ppm
Search WEB for skeleton |
|
![]()
|
|
|
Structure Proposal # 4480 ONYAPMUCMLJIIA Deviation = 4.17ppm
Search WEB for skeleton |
|
![]()
|
|
|
Structure Proposal # 4481 PFFWHLLQIQCDQE Deviation = 4.17ppm
Search WEB for skeleton |
|
![]()
|
|
|
Structure Proposal # 4482 ZIPGGBPGQPKAQS Deviation = 4.17ppm
Search WEB for skeleton |
|
![]()
|
|
|
Structure Proposal # 4483 CJFLWDRQRCQBNE Deviation = 4.17ppm
Search WEB for skeleton |
|
![]()
|
|
|
Structure Proposal # 4484 BFCPWOSSYUELNL Deviation = 4.17ppm
Search WEB for skeleton |
|
![]()
|
|
|
Structure Proposal # 4485 QPPZPEMCIPTUGO Deviation = 4.17ppm
Search WEB for skeleton |
|
![]()
|
|
|
Structure Proposal # 4486 MFYUEPMYNYJRHE Deviation = 4.17ppm
Search WEB for skeleton |
|
![]()
|
|
|
Structure Proposal # 4487 ZUFXPTXSJKBQRA Deviation = 4.18ppm
Search WEB for skeleton |
|
![]()
|
|
|
Structure Proposal # 4488 WKMWEYZEUFGECI Deviation = 4.18ppm
Search WEB for skeleton |
|
![]()
|
|
|
Structure Proposal # 4489 XXFGGZGLWUGPRS Deviation = 4.18ppm
Search WEB for skeleton |
|
![]()
|
|
|
Structure Proposal # 4490 VQNKMKIBIUHZKD Deviation = 4.18ppm
Search WEB for skeleton |
|
![]()
|
|
|
Structure Proposal # 4491 FIDFMOFTUMZYHF Deviation = 4.18ppm
Search WEB for skeleton respect to your proposal |
|
![]()
|
|
|
Structure Proposal # 4492 TZPZQUGRPQJODJ Deviation = 4.18ppm
Search WEB for skeleton respect to your proposal |
|
![]()
|
|
|
Structure Proposal # 4493 YSBZCERJYCQNQY Deviation = 4.18ppm
Search WEB for skeleton |
|
![]()
|
|
|
Structure Proposal # 4494 JQAOODJNPFZKNJ Deviation = 4.18ppm
Search WEB for skeleton respect to your proposal |
|
![]()
|
|
|
Structure Proposal # 4495 LMIUEQUTWQSAEN Deviation = 4.18ppm
Search WEB for skeleton respect to your proposal |
|
![]()
|
|
|
Structure Proposal # 4496 VHRNAKJAUQXROA Deviation = 4.18ppm
Search WEB for skeleton respect to your proposal |
|
![]()
|
|
|
Structure Proposal # 4497 YNQAKPAYYTTYOK Deviation = 4.18ppm
Search WEB for skeleton |
|
![]()
|
|
|
Structure Proposal # 4498 VTCIVYPTNAACGT Deviation = 4.18ppm
Search WEB for skeleton |
|
![]()
|
|
|
Structure Proposal # 4499 NHBHCIONZVBNNZ Deviation = 4.18ppm
Search WEB for skeleton |
|
![]()
|
|
|
Structure Proposal # 4500 JLMDLAFAVAREIK Deviation = 4.18ppm
Search WEB for skeleton |
|
![]()
|
|
|
Structure Proposal # 4501 KAGAWAXMBFHBGE Deviation = 4.18ppm
Search WEB for skeleton |
|
![]()
|
|
|
Structure Proposal # 4502 MRXKEAQUALEJMR Deviation = 4.18ppm
Search WEB for skeleton |
|
![]()
|
|
|
Structure Proposal # 4503 ZAISJSQPIKMIHL Deviation = 4.18ppm
Search WEB for skeleton |
|
![]()
|
|
|
Structure Proposal # 4504 HQJJZJYKCIHWQC Deviation = 4.18ppm
Search WEB for skeleton |
|
![]()
|
|
|
Structure Proposal # 4505 LZYIYEQQWHSIJO Deviation = 4.18ppm
Search WEB for skeleton |
|
![]()
|
|
|
Structure Proposal # 4506 VGNZONBSKDXWFE Deviation = 4.18ppm
Search WEB for skeleton |
|
![]()
|
|
|
Structure Proposal # 4507 NORQMZMESSSKQG Deviation = 4.18ppm
Search WEB for skeleton |
|
![]()
|
|
|
Structure Proposal # 4508 GSFGRCHDQTZFQN Deviation = 4.18ppm
Search WEB for skeleton |
|
![]()
|
|
|
Structure Proposal # 4509 QKQGECYFGXWARH Deviation = 4.18ppm
Search WEB for skeleton respect to your proposal |
|
![]()
|
|
|
Structure Proposal # 4510 OQGPAQQDMUTNOY Deviation = 4.19ppm
Search WEB for skeleton |
|
![]()
|
|
|
Structure Proposal # 4511 VASWQWLMWPDXET Deviation = 4.19ppm
Search WEB for skeleton |
|
![]()
|
|
|
Structure Proposal # 4512 HMNHGFIRXYPNPQ Deviation = 4.19ppm
Search WEB for skeleton |
|
![]()
|
|
|
Structure Proposal # 4513 IJQLTDKDDGWDAP Deviation = 4.19ppm
Search WEB for skeleton |
|
![]()
|
|
|
Structure Proposal # 4514 JFVXBOWNEDBJOW Deviation = 4.19ppm
Search WEB for skeleton |
|
![]()
|
|
|
Structure Proposal # 4515 QYZUPYQLYCWACE Deviation = 4.19ppm
Search WEB for skeleton respect to your proposal |
|
![]()
|
|
|
Structure Proposal # 4516 YPHZQUKAJZMKPH Deviation = 4.19ppm
Search WEB for skeleton |
|
![]()
|
|
|
Structure Proposal # 4517 JFXYFDMZCHEUQE Deviation = 4.19ppm
Search WEB for skeleton |
|
![]()
|
|
|
Structure Proposal # 4518 IWQASCCHNOBCLP Deviation = 4.19ppm
Search WEB for skeleton |
|
![]()
|
|
|
Structure Proposal # 4519 GSJKFAIXOIBXQK Deviation = 4.19ppm
Search WEB for skeleton |
|
![]()
|
|
|
Structure Proposal # 4520 RLHFGHCINPINRA Deviation = 4.19ppm
Search WEB for skeleton |
|
![]()
|
|
|
Structure Proposal # 4521 ONKNZNQLUSPXJB Deviation = 4.19ppm
Search WEB for skeleton |
|
![]()
|
|
|
Structure Proposal # 4522 VVGCPSMJSVJWFF Deviation = 4.19ppm
Search WEB for skeleton respect to your proposal |
|
![]()
|
|
|
Structure Proposal # 4523 CNPVARXXWLAHDS Deviation = 4.19ppm
Search WEB for skeleton respect to your proposal |
|
![]()
|
|
|
Structure Proposal # 4524 GMPULLWCRLGLEL Deviation = 4.19ppm
Search WEB for skeleton |
|
![]()
|
|
|
Structure Proposal # 4525 CAVCHHRMMJMLBF Deviation = 4.19ppm
Search WEB for skeleton |
|
![]()
|
|
|
Structure Proposal # 4526 WICANPWTFXKBOH Deviation = 4.19ppm
Search WEB for skeleton |
|
![]()
|
|
|
Structure Proposal # 4527 BBBOYNSBRGNAKO Deviation = 4.19ppm
Search WEB for skeleton |
|
![]()
|
|
|
Structure Proposal # 4528 PCAHUMKBLIWSEU Deviation = 4.19ppm
Search WEB for skeleton respect to your proposal |
|
![]()
|
|
|
Structure Proposal # 4529 CKGGVFNJTUTDMY Deviation = 4.19ppm
Search WEB for skeleton |
|
![]()
|
|
|
Structure Proposal # 4530 RSRFFJCGKPXKNY Deviation = 4.19ppm
Search WEB for skeleton |
|
![]()
|
|
|
Structure Proposal # 4531 NVFVVRRNXUWYBF Deviation = 4.19ppm
Search WEB for skeleton respect to your proposal |
|
![]()
|
|
|
Structure Proposal # 4532 KQHZCROVKMZIEN Deviation = 4.19ppm
Search WEB for skeleton |
|
![]()
|
|
|
Structure Proposal # 4533 BWUYBICQIZPVLJ Deviation = 4.19ppm
Search WEB for skeleton |
|
![]()
|
|
|
Structure Proposal # 4534 PTGZAXIKLPRSQU Deviation = 4.19ppm
Search WEB for skeleton |
|
![]()
|
|
|
Structure Proposal # 4535 OBPAAGUQGFHRJR Deviation = 4.19ppm
Search WEB for skeleton |
|
![]()
|
|
|
Structure Proposal # 4536 SYGQPYGGIYTXPP Deviation = 4.19ppm
Search WEB for skeleton |
|
![]()
|
|
|
Structure Proposal # 4537 JRQIAPNBVLMGFW Deviation = 4.19ppm
Search WEB for skeleton |
|
![]()
|
|
|
Structure Proposal # 4538 OVQQVUBGPUICFH Deviation = 4.19ppm
Search WEB for skeleton |
|
![]()
|
|
|
Structure Proposal # 4539 KTPLKJAERZIZFK Deviation = 4.19ppm
Search WEB for skeleton |
|
![]()
|
|
|
Structure Proposal # 4540 PTORRJDFBGQOKN Deviation = 4.20ppm
Search WEB for skeleton |
|
![]()
|
|
|
Structure Proposal # 4541 GZENQXILSNVMMD Deviation = 4.20ppm
Search WEB for skeleton |
|
![]()
|
|
|
Structure Proposal # 4542 FTMBFLKQSHMODD Deviation = 4.20ppm
Search WEB for skeleton |
|
![]()
|
|
|
Structure Proposal # 4543 DVNCSJNPWMCPKY Deviation = 4.20ppm
Search WEB for skeleton |
|
![]()
|
|
|
Structure Proposal # 4544 UAGRCNNFNYHYJT Deviation = 4.20ppm
Search WEB for skeleton respect to your proposal |
|
![]()
|
|
|
Structure Proposal # 4545 QMLFDLZHLWYAHR Deviation = 4.20ppm
Search WEB for skeleton |
|
![]()
|
|
|
Structure Proposal # 4546 OLWTXLQWEXKHRT Deviation = 4.20ppm
Search WEB for skeleton |
|
![]()
|
|
|
Structure Proposal # 4547 RVLMWYRVVRREDN Deviation = 4.20ppm
Search WEB for skeleton |
|
![]()
|
|
|
Structure Proposal # 4548 CRDRQRFZAYEFTK Deviation = 4.20ppm
Search WEB for skeleton |
|
![]()
|
|
|
Structure Proposal # 4549 DBLUODHTZWUYFX Deviation = 4.20ppm
Search WEB for skeleton |
|
![]()
|
|
|
Structure Proposal # 4550 POUREMLOAIIAGV Deviation = 4.20ppm
Search WEB for skeleton respect to your proposal |
|
![]()
|
|
|
Structure Proposal # 4551 FAZBEFCGRHREDF Deviation = 4.20ppm
Search WEB for skeleton |
|
![]()
|
|
|
Structure Proposal # 4552 QGZVOGNJVVSVOS Deviation = 4.20ppm
Search WEB for skeleton |
|
![]()
|
|
|
Structure Proposal # 4553 ZSYXVHALVHSUBC Deviation = 4.20ppm
Search WEB for skeleton |
|
![]()
|
|
|
Structure Proposal # 4554 IWHUINYRGMYRNR Deviation = 4.20ppm
Search WEB for skeleton |
|
![]()
|
|
|
Structure Proposal # 4555 DDNHDBNOKRZPHF Deviation = 4.20ppm
Search WEB for skeleton |
|
![]()
|
|
|
Structure Proposal # 4556 PXESQYSNFHNPMB Deviation = 4.20ppm
Search WEB for skeleton respect to your proposal |
|
![]()
|
|
|
Structure Proposal # 4557 CVVCMIFSMALOLN Deviation = 4.20ppm
Search WEB for skeleton |
|
![]()
|
|
|
Structure Proposal # 4558 QOPPPXRVHIVZLP Deviation = 4.21ppm
Search WEB for skeleton |
|
![]()
|
|
|
Structure Proposal # 4559 KOIXMMZPYFQIAI Deviation = 4.21ppm
Search WEB for skeleton |
|
![]()
|
|
|
Structure Proposal # 4560 VXTWGFWNJSWUNZ Deviation = 4.21ppm
Search WEB for skeleton |
|
![]()
|
|
|
Structure Proposal # 4561 AWJFDBXJYOEUMH Deviation = 4.21ppm
Search WEB for skeleton |
|
![]()
|
|
|
Structure Proposal # 4562 BRJKKQBOTVWBHG Deviation = 4.21ppm
Search WEB for skeleton |
|
![]()
|
|
|
Structure Proposal # 4563 UPFSOYMPIOSDOG Deviation = 4.21ppm
Search WEB for skeleton |
|
![]()
|
|
|
Structure Proposal # 4564 HLHXMYDUBWFQIQ Deviation = 4.21ppm
Search WEB for skeleton |
|
![]()
|
|
|
Structure Proposal # 4565 VFOUUOVFIUIRDZ Deviation = 4.21ppm
Search WEB for skeleton respect to your proposal |
|
![]()
|
|
|
Structure Proposal # 4566 PQIGIIZYBITTLP Deviation = 4.21ppm
Search WEB for skeleton |
|
![]()
|
|
|
Structure Proposal # 4567 BDWZEDILSFYGSY Deviation = 4.21ppm
Search WEB for skeleton |
|
![]()
|
|
|
Structure Proposal # 4568 DZMGKQQPTYBUOH Deviation = 4.21ppm
Search WEB for skeleton |
|
![]()
|
|
|
Structure Proposal # 4569 APVJDTHJBRTVDY Deviation = 4.21ppm
Search WEB for skeleton |
|
![]()
|
|
|
Structure Proposal # 4570 JVRRJTWKMUCYDK Deviation = 4.21ppm
Search WEB for skeleton |
|
![]()
|
|
|
Structure Proposal # 4571 RSMBNGCFFARTIX Deviation = 4.21ppm
Search WEB for skeleton |
|
![]()
|
|
|
Structure Proposal # 4572 RPPFZHOVZYUYSH Deviation = 4.21ppm
Search WEB for skeleton |
|
![]()
|
|
|
Structure Proposal # 4573 PGVQVPRHHDJFEK Deviation = 4.21ppm
Search WEB for skeleton |
|
![]()
|
|
|
Structure Proposal # 4574 LQEAIIZDAXPEOF Deviation = 4.21ppm
Search WEB for skeleton |
|
![]()
|
|
|
Structure Proposal # 4575 CQXZNBWPLXSOKN Deviation = 4.21ppm
Search WEB for skeleton |
|
![]()
|
|
|
Structure Proposal # 4576 KLCKGWWDMIFKOS Deviation = 4.21ppm
Search WEB for skeleton |
|
![]()
|
|
|
Structure Proposal # 4577 YYQOHQHRRJPQHF Deviation = 4.21ppm
Search WEB for skeleton |
|
![]()
|
|
|
Structure Proposal # 4578 UPPNLUDQKFFRSK Deviation = 4.21ppm
Search WEB for skeleton |
|
![]()
|
|
|
Structure Proposal # 4579 LWGMCGIXWHACBH Deviation = 4.21ppm
Search WEB for skeleton |
|
![]()
|
|
|
Structure Proposal # 4580 LWTDBZAGFVUIKT Deviation = 4.21ppm
Search WEB for skeleton |
|
![]()
|
|
|
Structure Proposal # 4581 TXQDHDZVZCTQTH Deviation = 4.21ppm
Search WEB for skeleton respect to your proposal |
|
![]()
|
|
|
Structure Proposal # 4582 FZLGZWHPCMKFCO Deviation = 4.21ppm
Search WEB for skeleton |
|
![]()
|
|
|
Structure Proposal # 4583 NUUHBTKRBTUCGE Deviation = 4.22ppm
Search WEB for skeleton |
|
![]()
|
|
|
Structure Proposal # 4584 SMBAHEQQNLRXCZ Deviation = 4.22ppm
Search WEB for skeleton |
|
![]()
|
|
|
Structure Proposal # 4585 VZXHMLQCDNKUFB Deviation = 4.22ppm
Search WEB for skeleton respect to your proposal |
|
![]()
|
|
|
Structure Proposal # 4586 QWWVZQZSWYOEJS Deviation = 4.22ppm
Search WEB for skeleton respect to your proposal |
|
![]()
|
|
|
Structure Proposal # 4587 RNGVWQXIJJCIMY Deviation = 4.22ppm
Search WEB for skeleton |
|
![]()
|
|
|
Structure Proposal # 4588 GLVJSTTZUGCKLH Deviation = 4.22ppm
Search WEB for skeleton |
|
![]()
|
|
|
Structure Proposal # 4589 BBIVNVAZKQFTTK Deviation = 4.22ppm
Search WEB for skeleton respect to your proposal |
|
![]()
|
|
|
Structure Proposal # 4590 QBDIPEJKTYLMRQ Deviation = 4.22ppm
Search WEB for skeleton |
|
![]()
|
|
|
Structure Proposal # 4591 RRAZTGZYUGPTBB Deviation = 4.22ppm
Search WEB for skeleton |
|
![]()
|
|
|
Structure Proposal # 4592 MVLFOTGTRDAUNZ Deviation = 4.22ppm
Search WEB for skeleton |
|
![]()
|
|
|
Structure Proposal # 4593 VXOQQUCPFVITKK Deviation = 4.22ppm
Search WEB for skeleton |
|
![]()
|
|
|
Structure Proposal # 4594 QBGKZQRHCOXIEZ Deviation = 4.22ppm
Search WEB for skeleton |
|
![]()
|
|
|
Structure Proposal # 4595 ZKKSFGYFPIQQID Deviation = 4.22ppm
Search WEB for skeleton |
|
![]()
|
|
|
Structure Proposal # 4596 LJBVLXVQHCLHPK Deviation = 4.22ppm
Search WEB for skeleton |
|
![]()
|
|
|
Structure Proposal # 4597 ZYYDBKHKCOXEIH Deviation = 4.22ppm
Search WEB for skeleton |
|
![]()
|
|
|
Structure Proposal # 4598 PKRIVLUXNSQZPF Deviation = 4.22ppm
Search WEB for skeleton |
|
![]()
|
|
|
Structure Proposal # 4599 DPZMWOZTMKSZOL Deviation = 4.22ppm
Search WEB for skeleton |
|
![]()
|
|
|
Structure Proposal # 4600 NGDCJDWEKXLXDU Deviation = 4.22ppm
Search WEB for skeleton |
|
![]()
|
|
|
Structure Proposal # 4601 JELLDTXUYXVQII Deviation = 4.23ppm
Search WEB for skeleton |
|
![]()
|
|
|
Structure Proposal # 4602 LQKZOCZOECCMDZ Deviation = 4.23ppm
Search WEB for skeleton respect to your proposal |
|
![]()
|
|
|
Structure Proposal # 4603 SJBCXKFEGABFEN Deviation = 4.23ppm
Search WEB for skeleton |
|
![]()
|
|
|
Structure Proposal # 4604 CECYEBANGXYBQO Deviation = 4.23ppm
Search WEB for skeleton |
|
![]()
|
|
|
Structure Proposal # 4605 PWNCHFPTSKYXIM Deviation = 4.23ppm
Search WEB for skeleton |
|
![]()
|
|
|
Structure Proposal # 4606 NEGMHVRAXJYQCQ Deviation = 4.23ppm
Search WEB for skeleton |
|
![]()
|
|
|
Structure Proposal # 4607 WRFYWEZJAMRWEP Deviation = 4.23ppm
Search WEB for skeleton |
|
![]()
|
|
|
Structure Proposal # 4608 SIWZVSVDGSXATC Deviation = 4.23ppm
Search WEB for skeleton |
|
![]()
|
|
|
Structure Proposal # 4609 VJQHSMVYZPDZIW Deviation = 4.23ppm
Search WEB for skeleton respect to your proposal |
|
![]()
|
|
|
Structure Proposal # 4610 MDFGUUNEJLTLER Deviation = 4.23ppm
Search WEB for skeleton |
|
![]()
|
|
|
Structure Proposal # 4611 KBNAQNLVANBXAE Deviation = 4.23ppm
Search WEB for skeleton |
|
![]()
|
|
|
Structure Proposal # 4612 SFOQTKQPUZFEDO Deviation = 4.23ppm
Search WEB for skeleton |
|
![]()
|
|
|
Structure Proposal # 4613 CMNRUEBFFYMVNS Deviation = 4.23ppm
Search WEB for skeleton |
|
![]()
|
|
|
Structure Proposal # 4614 QZTSEJUGGKYUDK Deviation = 4.23ppm
Search WEB for skeleton |
|
![]()
|
|
|
Structure Proposal # 4615 MTLATBYATDPTPH Deviation = 4.23ppm
Search WEB for skeleton |
|
![]()
|
|
|
Structure Proposal # 4616 QBBIWGFJDXOENP Deviation = 4.23ppm
Search WEB for skeleton |
|
![]()
|
|
|
Structure Proposal # 4617 UBLUSKGIYFBRMJ Deviation = 4.23ppm
Search WEB for skeleton |
|
![]()
|
|
|
Structure Proposal # 4618 VPSSQXVBGKKIIO Deviation = 4.23ppm
Search WEB for skeleton |
|
![]()
|
|
|
Structure Proposal # 4619 JTPLUAQHUUAKCH Deviation = 4.23ppm
Search WEB for skeleton |
|
![]()
|
|
|
Structure Proposal # 4620 OFABOSAZDRXUQK Deviation = 4.23ppm
Search WEB for skeleton |
|
![]()
|
|
|
Structure Proposal # 4621 WPJLVENEFUIWBC Deviation = 4.23ppm
Search WEB for skeleton |
|
![]()
|
|
|
Structure Proposal # 4622 SBNSEJUSIVZUGL Deviation = 4.23ppm
Search WEB for skeleton |
|
![]()
|
|
|
Structure Proposal # 4623 PZLDUBZYWCOURI Deviation = 4.24ppm
Search WEB for skeleton |
|
![]()
|
|
|
Structure Proposal # 4624 GDJQUBNUPQSJIU Deviation = 4.24ppm
Search WEB for skeleton |
|
![]()
|
|
|
Structure Proposal # 4625 FBTUWUCGFIPPOI Deviation = 4.24ppm
Search WEB for skeleton respect to your proposal |
|
![]()
|
|
|
Structure Proposal # 4626 IORWNYPDCKZTMB Deviation = 4.24ppm
Search WEB for skeleton |
|
![]()
|
|
|
Structure Proposal # 4627 KXYRPQBOCOOOJS Deviation = 4.24ppm
Search WEB for skeleton |
|
![]()
|
|
|
Structure Proposal # 4628 PCPMQVXHTZYCDG Deviation = 4.24ppm
Search WEB for skeleton |
|
![]()
|
|
|
Structure Proposal # 4629 XORWHSSVGREJGH Deviation = 4.24ppm
Search WEB for skeleton |
|
![]()
|
|
|
Structure Proposal # 4630 OATJZKSVZHUNAX Deviation = 4.24ppm
Search WEB for skeleton |
|
![]()
|
|
|
Structure Proposal # 4631 KAPPFYKLGGIDEU Deviation = 4.24ppm
Search WEB for skeleton |
|
![]()
|
|
|
Structure Proposal # 4632 CDJUVAQTUOZQBA Deviation = 4.24ppm
Search WEB for skeleton respect to your proposal |
|
![]()
|
|
|
Structure Proposal # 4633 YKOHMEYTMCBTQL Deviation = 4.24ppm
Search WEB for skeleton |
|
![]()
|
|
|
Structure Proposal # 4634 UNSRBJYMCJMGFG Deviation = 4.24ppm
Search WEB for skeleton |
|
![]()
|
|
|
Structure Proposal # 4635 COXCLQDVHGYZEC Deviation = 4.24ppm
Search WEB for skeleton |
|
![]()
|
|
|
Structure Proposal # 4636 BBCWUPWZWJWMIN Deviation = 4.24ppm
Search WEB for skeleton |
|
![]()
|
|
|
Structure Proposal # 4637 GNSKIDPXKQEAAJ Deviation = 4.24ppm
Search WEB for skeleton |
|
![]()
|
|
|
Structure Proposal # 4638 AKZUZDVYJZOHPU Deviation = 4.25ppm
Search WEB for skeleton respect to your proposal |
|
![]()
|
|
|
Structure Proposal # 4639 VESIECCQDMEVKV Deviation = 4.25ppm
Search WEB for skeleton |
|
![]()
|
|
|
Structure Proposal # 4640 RABXYQGILHQRJU Deviation = 4.25ppm
Search WEB for skeleton respect to your proposal |
|
![]()
|
|
|
Structure Proposal # 4641 XOTAOBABJBPFCQ Deviation = 4.25ppm
Search WEB for skeleton |
|
![]()
|
|
|
Structure Proposal # 4642 IGFYSAMBJDOUAF Deviation = 4.25ppm
Search WEB for skeleton respect to your proposal |
|
![]()
|
|
|
Structure Proposal # 4643 KHMGVVHHCOMTNV Deviation = 4.25ppm
Search WEB for skeleton |
|
![]()
|
|
|
Structure Proposal # 4644 JFTMUJOFOWXWKC Deviation = 4.25ppm
Search WEB for skeleton respect to your proposal |
|
![]()
|
|
|
Structure Proposal # 4645 SOURXRUKMIQZRN Deviation = 4.25ppm
Search WEB for skeleton |
|
![]()
|
|
|
Structure Proposal # 4646 PVSRYVSDRSJPHI Deviation = 4.25ppm
Search WEB for skeleton |
|
![]()
|
|
|
Structure Proposal # 4647 JIPBJTPHPUVWHD Deviation = 4.25ppm
Search WEB for skeleton |
|
![]()
|
|
|
Structure Proposal # 4648 RQTOVQRIFPSYBU Deviation = 4.25ppm
Search WEB for skeleton |
|
![]()
|
|
|
Structure Proposal # 4649 GEGSWUUUTZHKTK Deviation = 4.25ppm
Search WEB for skeleton |
|
![]()
|
|
|
Structure Proposal # 4650 HYIKCIDNLAYZLB Deviation = 4.25ppm
Search WEB for skeleton |
|
![]()
|
|
|
Structure Proposal # 4651 MROZIWBBALHOIP Deviation = 4.25ppm
Search WEB for skeleton respect to your proposal |
|
![]()
|
|
|
Structure Proposal # 4652 QBANMUSTBBYIET Deviation = 4.25ppm
Search WEB for skeleton |
|
![]()
|
|
|
Structure Proposal # 4653 ROAOSRXQNZPHOV Deviation = 4.25ppm
Search WEB for skeleton |
|
![]()
|
|
|
Structure Proposal # 4654 LOLYXIAIPNYCOV Deviation = 4.25ppm
Search WEB for skeleton |
|
![]()
|
|
|
Structure Proposal # 4655 MKMMMNYAVBFWFA Deviation = 4.25ppm
Search WEB for skeleton |
|
![]()
|
|
|
Structure Proposal # 4656 SOGCOPURTJOUDH Deviation = 4.26ppm
Search WEB for skeleton |
|
![]()
|
|
|
Structure Proposal # 4657 XTQCKYNUJCKXLV Deviation = 4.26ppm
Search WEB for skeleton |
|
![]()
|
|
|
Structure Proposal # 4658 CZBINOSBPGIAQE Deviation = 4.26ppm
Search WEB for skeleton |
|
![]()
|
|
|
Structure Proposal # 4659 APUTYFWZFBMGOV Deviation = 4.26ppm
Search WEB for skeleton |
|
![]()
|
|
|
Structure Proposal # 4660 QYYQZGUWEMOVOQ Deviation = 4.26ppm
Search WEB for skeleton |
|
![]()
|
|
|
Structure Proposal # 4661 QKPYAAPABDPYPN Deviation = 4.26ppm
Search WEB for skeleton respect to your proposal |
|
![]()
|
|
|
Structure Proposal # 4662 CYYRCQMOQHUARX Deviation = 4.26ppm
Search WEB for skeleton respect to your proposal |
|
![]()
|
|
|
Structure Proposal # 4663 BHZOOHRJSODGJM Deviation = 4.26ppm
Search WEB for skeleton |
|
![]()
|
|
|
Structure Proposal # 4664 GVFGSHZWPYWDCS Deviation = 4.26ppm
Search WEB for skeleton |
|
![]()
|
|
|
Structure Proposal # 4665 PDGBUOURQDDJPV Deviation = 4.26ppm
Search WEB for skeleton |
|
![]()
|
|
|
Structure Proposal # 4666 GJMIBTCTGFJJFG Deviation = 4.26ppm
Search WEB for skeleton respect to your proposal |
|
![]()
|
|
|
Structure Proposal # 4667 OPCMSDCOOOJRHC Deviation = 4.26ppm
Search WEB for skeleton |
|
![]()
|
|
|
Structure Proposal # 4668 DBKJUEDEFZTSTN Deviation = 4.26ppm
Search WEB for skeleton |
|
![]()
|
|
|
Structure Proposal # 4669 MUZRCNBMRUFNHM Deviation = 4.26ppm
Search WEB for skeleton |
|
![]()
|
|
|
Structure Proposal # 4670 PCONSCIZYUSJBA Deviation = 4.27ppm
Search WEB for skeleton |
|
![]()
|
|
|
Structure Proposal # 4671 JUKXFRUMMFMOGY Deviation = 4.27ppm
Search WEB for skeleton |
|
![]()
|
|
|
Structure Proposal # 4672 GWGDLIUBKOMGPO Deviation = 4.27ppm
Search WEB for skeleton respect to your proposal |
|
![]()
|
|
|
Structure Proposal # 4673 KXINNPWEWKVLRZ Deviation = 4.27ppm
Search WEB for skeleton |
|
![]()
|
|
|
Structure Proposal # 4674 TVSNXPMXWAZIPN Deviation = 4.27ppm
Search WEB for skeleton respect to your proposal |
|
![]()
|
|
|
Structure Proposal # 4675 UXCYEMATLYJKLG Deviation = 4.27ppm
Search WEB for skeleton |
|
![]()
|
|
|
Structure Proposal # 4676 GMCNWERYOGAVQA Deviation = 4.27ppm
Search WEB for skeleton |
|
![]()
|
|
|
Structure Proposal # 4677 SEMKDIDUPLRTGM Deviation = 4.27ppm
Search WEB for skeleton |
|
![]()
|
|
|
Structure Proposal # 4678 PBHTYDXWNJJZTM Deviation = 4.27ppm
Search WEB for skeleton |
|
![]()
|
|
|
Structure Proposal # 4679 GQNDYTJBHGVOGM Deviation = 4.27ppm
Search WEB for skeleton |
|
![]()
|
|
|
Structure Proposal # 4680 LETLGPQBOYJUPQ Deviation = 4.27ppm
Search WEB for skeleton |
|
![]()
|
|
|
Structure Proposal # 4681 USNHLSHKWAJMSD Deviation = 4.27ppm
Search WEB for skeleton |
|
![]()
|
|
|
Structure Proposal # 4682 PCVPQPZPUOETPE Deviation = 4.27ppm
Search WEB for skeleton |
|
![]()
|
|
|
Structure Proposal # 4683 TVIOCDCJSGYFOO Deviation = 4.28ppm
Search WEB for skeleton |
|
![]()
|
|
|
Structure Proposal # 4684 HKLYHPGOVBWWDW Deviation = 4.28ppm
Search WEB for skeleton |
|
![]()
|
|
|
Structure Proposal # 4685 KQIOMJYKJQUBAY Deviation = 4.28ppm
Search WEB for skeleton respect to your proposal |
|
![]()
|
|
|
Structure Proposal # 4686 TWVUQPNAIATYIP Deviation = 4.28ppm
Search WEB for skeleton |
|
![]()
|
|
|
Structure Proposal # 4687 PQQSJDLPDJINQO Deviation = 4.28ppm
Search WEB for skeleton |
|
![]()
|
|
|
Structure Proposal # 4688 SRMJVWMQTZRZKY Deviation = 4.28ppm
Search WEB for skeleton |
|
![]()
|
|
|
Structure Proposal # 4689 ZBZBNNWXZHAAAR Deviation = 4.28ppm
Search WEB for skeleton |
|
![]()
|
|
|
Structure Proposal # 4690 XTKOTKYLKQRGPU Deviation = 4.28ppm
Search WEB for skeleton |
|
![]()
|
|
|
Structure Proposal # 4691 RHKVYTOMCQPSTH Deviation = 4.28ppm
Search WEB for skeleton |
|
![]()
|
|
|
Structure Proposal # 4692 VOPJLZLUKVIQCX Deviation = 4.28ppm
Search WEB for skeleton |
|
![]()
|
|
|
Structure Proposal # 4693 LJWKKOMIYQDBFX Deviation = 4.28ppm
Search WEB for skeleton |
|
![]()
|
|
|
Structure Proposal # 4694 ADPDUNRCFDHTPW Deviation = 4.28ppm
Search WEB for skeleton |
|
![]()
|
|
|
Structure Proposal # 4695 CEIMGDGIHVXKRH Deviation = 4.28ppm
Search WEB for skeleton |
|
![]()
|
|
|
Structure Proposal # 4696 LGHOPGYDIORRNX Deviation = 4.28ppm
Search WEB for skeleton |
|
![]()
|
|
|
Structure Proposal # 4697 KDHBOJDYRLQTQY Deviation = 4.28ppm
Search WEB for skeleton |
|
![]()
|
|
|
Structure Proposal # 4698 RJYFHAGPODRNBA Deviation = 4.28ppm
Search WEB for skeleton |
|
![]()
|
|
|
Structure Proposal # 4699 AYYYZUWUCCEKHH Deviation = 4.28ppm
Search WEB for skeleton |
|
![]()
|
|
|
Structure Proposal # 4700 OEMNYHOECAAISX Deviation = 4.28ppm
Search WEB for skeleton |
|
![]()
|
|
|
Structure Proposal # 4701 SJCICPKIKVSDOR Deviation = 4.28ppm
Search WEB for skeleton |
|
![]()
|
|
|
Structure Proposal # 4702 OADQBVMVEKSCOI Deviation = 4.28ppm
Search WEB for skeleton |
|
![]()
|
|
|
Structure Proposal # 4703 UGEXFKMYXNDRNX Deviation = 4.28ppm
Search WEB for skeleton |
|
![]()
|
|
|
Structure Proposal # 4704 ZZXOMZJAYFLLKD Deviation = 4.28ppm
Search WEB for skeleton |
|
![]()
|
|
|
Structure Proposal # 4705 VIKKHTHHJKEMQT Deviation = 4.28ppm
Search WEB for skeleton |
|
![]()
|
|
|
Structure Proposal # 4706 TZZOSHPAMONTSP Deviation = 4.29ppm
Search WEB for skeleton |
|
![]()
|
|
|
Structure Proposal # 4707 BOLPRVAVDMFHAY Deviation = 4.29ppm
Search WEB for skeleton |
|
![]()
|
|
|
Structure Proposal # 4708 GAGGQWVVXKRFLE Deviation = 4.29ppm
Search WEB for skeleton respect to your proposal |
|
![]()
|
|
|
Structure Proposal # 4709 ANGLQEIKKSZHJI Deviation = 4.29ppm
Search WEB for skeleton respect to your proposal |
|
![]()
|
|
|
Structure Proposal # 4710 QUWQIXHPVZUSJZ Deviation = 4.29ppm
Search WEB for skeleton |
|
![]()
|
|
|
Structure Proposal # 4711 ZIYUAJLYQAVCBQ Deviation = 4.29ppm
Search WEB for skeleton |
|
![]()
|
|
|
Structure Proposal # 4712 PELYVXXLZIBKNM Deviation = 4.29ppm
Search WEB for skeleton |
|
![]()
|
|
|
Structure Proposal # 4713 NKYAZHZKRQMTEQ Deviation = 4.29ppm
Search WEB for skeleton |
|
![]()
|
|
|
Structure Proposal # 4714 LPXPEEGUYKTUCD Deviation = 4.29ppm
Search WEB for skeleton |
|
![]()
|
|
|
Structure Proposal # 4715 HKCXVXOBVMYBEC Deviation = 4.29ppm
Search WEB for skeleton |
|
![]()
|
|
|
Structure Proposal # 4716 ROIDDKYREOYUHJ Deviation = 4.29ppm
Search WEB for skeleton respect to your proposal |
|
![]()
|
|
|
Structure Proposal # 4717 ARHMPCSPMVRGHB Deviation = 4.29ppm
Search WEB for skeleton respect to your proposal |
|
![]()
|
|
|
Structure Proposal # 4718 DTKCNSWIYFFDEF Deviation = 4.29ppm
Search WEB for skeleton respect to your proposal |
|
![]()
|
|
|
Structure Proposal # 4719 RHFVPKJVCWVTLG Deviation = 4.29ppm
Search WEB for skeleton |
|
![]()
|
|
|
Structure Proposal # 4720 QEANAUMBJDPGKD Deviation = 4.29ppm
Search WEB for skeleton |
|
![]()
|
|
|
Structure Proposal # 4721 JHKYHRIASNXXED Deviation = 4.29ppm
Search WEB for skeleton |
|
![]()
|
|
|
Structure Proposal # 4722 OZPUUAAMFZCJLU Deviation = 4.29ppm
Search WEB for skeleton |
|
![]()
|
|
|
Structure Proposal # 4723 UARGTPCHTISHFV Deviation = 4.30ppm
Search WEB for skeleton |
|
![]()
|
|
|
Structure Proposal # 4724 DYCHMRURAQEWTN Deviation = 4.30ppm
Search WEB for skeleton respect to your proposal |
|
![]()
|
|
|
Structure Proposal # 4725 KSUFFLILFXCWHU Deviation = 4.30ppm
Search WEB for skeleton |
|
![]()
|
|
|
Structure Proposal # 4726 HBLBUVMWOHXSST Deviation = 4.30ppm
Search WEB for skeleton |
|
![]()
|
|
|
Structure Proposal # 4727 PMWBFWUINPTWQR Deviation = 4.30ppm
Search WEB for skeleton |
|
![]()
|
|
|
Structure Proposal # 4728 BGBQUVHYOMNFEN Deviation = 4.30ppm
Search WEB for skeleton |
|
![]()
|
|
|
Structure Proposal # 4729 FCOSVHVGCCPWPH Deviation = 4.30ppm
Search WEB for skeleton |
|
![]()
|
|
|
Structure Proposal # 4730 MLKYZPMJSHNVAS Deviation = 4.30ppm
Search WEB for skeleton |
|
![]()
|
|
|
Structure Proposal # 4731 BAVCKQHPKFVXOI Deviation = 4.30ppm
Search WEB for skeleton |
|
![]()
|
|
|
Structure Proposal # 4732 DANOJUOYRHITQC Deviation = 4.30ppm
Search WEB for skeleton |
|
![]()
|
|
|
Structure Proposal # 4733 ADYXXPMCOMHTDH Deviation = 4.30ppm
Search WEB for skeleton |
|
![]()
|
|
|
Structure Proposal # 4734 FXLHUPYAXBJFIY Deviation = 4.30ppm
Search WEB for skeleton |
|
![]()
|
|
|
Structure Proposal # 4735 IITIYXUFLKQLIA Deviation = 4.30ppm
Search WEB for skeleton |
|
![]()
|
|
|
Structure Proposal # 4736 KGDTXMIAELQPTR Deviation = 4.30ppm
Search WEB for skeleton |
|
![]()
|
|
|
Structure Proposal # 4737 APRIJLFQEHBIQJ Deviation = 4.31ppm
Search WEB for skeleton respect to your proposal |
|
![]()
|
|
|
Structure Proposal # 4738 PDALFCCTVBIXEO Deviation = 4.31ppm
Search WEB for skeleton |
|
![]()
|
|
|
Structure Proposal # 4739 ZPFXGQSPXPXZDE Deviation = 4.31ppm
Search WEB for skeleton |
|
![]()
|
|
|
Structure Proposal # 4740 NHQYNBIDFLZEOO Deviation = 4.31ppm
Search WEB for skeleton |
|
![]()
|
|
|
Structure Proposal # 4741 QKFJIYBZHNWQHW Deviation = 4.31ppm
Search WEB for skeleton |
|
![]()
|
|
|
Structure Proposal # 4742 RVPXBTSDDYVNDE Deviation = 4.31ppm
Search WEB for skeleton |
|
![]()
|
|
|
Structure Proposal # 4743 FXJXJISWHBHYBV Deviation = 4.31ppm
Search WEB for skeleton |
|
![]()
|
|
|
Structure Proposal # 4744 OHSYWMVERZPCOW Deviation = 4.31ppm
Search WEB for skeleton |
|
![]()
|
|
|
Structure Proposal # 4745 NNXZKGJARFVQHR Deviation = 4.31ppm
Search WEB for skeleton |
|
![]()
|
|
|
Structure Proposal # 4746 GMTFMRSKRALRNX Deviation = 4.31ppm
Search WEB for skeleton respect to your proposal |
|
![]()
|
|
|
Structure Proposal # 4747 DBPLWTGBJLYDNU Deviation = 4.31ppm
Search WEB for skeleton |
|
![]()
|
|
|
Structure Proposal # 4748 BPUGWXXFQWPUOK Deviation = 4.31ppm
Search WEB for skeleton |
|
![]()
|
|
|
Structure Proposal # 4749 ALSXBAUEXRRDJW Deviation = 4.31ppm
Search WEB for skeleton |
|
![]()
|
|
|
Structure Proposal # 4750 FFXMQALPYKSFHS Deviation = 4.31ppm
Search WEB for skeleton |
|
![]()
|
|
|
Structure Proposal # 4751 BTULVDIVCIXJLC Deviation = 4.31ppm
Search WEB for skeleton |
|
![]()
|
|
|
Structure Proposal # 4752 BUZQEAZHGKLYTP Deviation = 4.31ppm
Search WEB for skeleton |
|
![]()
|
|
|
Structure Proposal # 4753 RVHBVVUJMZBYQC Deviation = 4.32ppm
Search WEB for skeleton |
|
![]()
|
|
|
Structure Proposal # 4754 UYZUMTQTOCNGLI Deviation = 4.32ppm
Search WEB for skeleton |
|
![]()
|
|
|
Structure Proposal # 4755 HEWPQMSCFNZEGO Deviation = 4.32ppm
Search WEB for skeleton respect to your proposal |
|
![]()
|
|
|
Structure Proposal # 4756 DKMXWGQJQGTZPJ Deviation = 4.32ppm
Search WEB for skeleton |
|
![]()
|
|
|
Structure Proposal # 4757 BXYWXFJMSPBOMK Deviation = 4.32ppm
Search WEB for skeleton |
|
![]()
|
|
|
Structure Proposal # 4758 PDZZGZUHCVXKAG Deviation = 4.32ppm
Search WEB for skeleton |
|
![]()
|
|
|
Structure Proposal # 4759 YXZNMDPTUZGCEY Deviation = 4.32ppm
Search WEB for skeleton respect to your proposal |
|
![]()
|
|
|
Structure Proposal # 4760 ABUPHTQSPRTIMO Deviation = 4.32ppm
Search WEB for skeleton |
|
![]()
|
|
|
Structure Proposal # 4761 OBLRETANONXGAA Deviation = 4.32ppm
Search WEB for skeleton |
|
![]()
|
|
|
Structure Proposal # 4762 PFUPFFKBPDIXJI Deviation = 4.32ppm
Search WEB for skeleton |
|
![]()
|
|
|
Structure Proposal # 4763 NBAWVDXOBREUJJ Deviation = 4.32ppm
Search WEB for skeleton |
|
![]()
|
|
|
Structure Proposal # 4764 JHWIALFKWRJRPP Deviation = 4.32ppm
Search WEB for skeleton |
|
![]()
|
|
|
Structure Proposal # 4765 TVGHBGJAEOUZJR Deviation = 4.32ppm
Search WEB for skeleton |
|
![]()
|
|
|
Structure Proposal # 4766 HUNVIXHEPNBWOP Deviation = 4.32ppm
Search WEB for skeleton |
|
![]()
|
|
|
Structure Proposal # 4767 QFLUSHBQGXYJHA Deviation = 4.32ppm
Search WEB for skeleton |
|
![]()
|
|
|
Structure Proposal # 4768 FOCLNIQTOOGBRB Deviation = 4.32ppm
Search WEB for skeleton |
|
![]()
|
|
|
Structure Proposal # 4769 ORZFMNQIGHQNBD Deviation = 4.32ppm
Search WEB for skeleton respect to your proposal |
|
![]()
|
|
|
Structure Proposal # 4770 IRHUNGMQPVTSOB Deviation = 4.32ppm
Search WEB for skeleton |
|
![]()
|
|
|
Structure Proposal # 4771 ZWIKZVVDDHGHEF Deviation = 4.32ppm
Search WEB for skeleton respect to your proposal |
|
![]()
|
|
|
Structure Proposal # 4772 AKPWTRHPCDAHLL Deviation = 4.32ppm
Search WEB for skeleton |
|
![]()
|
|
|
Structure Proposal # 4773 MPFHGGGQCDGTBS Deviation = 4.32ppm
Search WEB for skeleton |
|
![]()
|
|
|
Structure Proposal # 4774 FDCIZMNQVNGUEY Deviation = 4.32ppm
Search WEB for skeleton |
|
![]()
|
|
|
Structure Proposal # 4775 MLIFHWKXELYPOX Deviation = 4.33ppm
Search WEB for skeleton respect to your proposal |
|
![]()
|
|
|
Structure Proposal # 4776 VQDLLHVADFEKMS Deviation = 4.33ppm
Search WEB for skeleton |
|
![]()
|
|
|
Structure Proposal # 4777 JVWKPCYIQGYHNN Deviation = 4.33ppm
Search WEB for skeleton |
|
![]()
|
|
|
Structure Proposal # 4778 HAVIJIVMEUHEFF Deviation = 4.33ppm
Search WEB for skeleton |
|
![]()
|
|
|
Structure Proposal # 4779 TWYCZFZASKTDEC Deviation = 4.33ppm
Search WEB for skeleton |
|
![]()
|
|
|
Structure Proposal # 4780 ZAPYAMRQQLUIOS Deviation = 4.33ppm
Search WEB for skeleton |
|
![]()
|
|
|
Structure Proposal # 4781 DHGGAIMMDWOWFM Deviation = 4.33ppm
Search WEB for skeleton |
|
![]()
|
|
|
Structure Proposal # 4782 XBXNUTHKTMKQGQ Deviation = 4.33ppm
Search WEB for skeleton |
|
![]()
|
|
|
Structure Proposal # 4783 UIQVPQKBQFYEQG Deviation = 4.33ppm
Search WEB for skeleton |
|
![]()
|
|
|
Structure Proposal # 4784 STNKEQCYYLIZBY Deviation = 4.33ppm
Search WEB for skeleton |
|
![]()
|
|
|
Structure Proposal # 4785 LVNRATXYUNAUDU Deviation = 4.33ppm
Search WEB for skeleton |
|
![]()
|
|
|
Structure Proposal # 4786 BRMFHMHLCVYCRZ Deviation = 4.33ppm
Search WEB for skeleton |
|
![]()
|
|
|
Structure Proposal # 4787 YSBHEANJDPCMFJ Deviation = 4.33ppm
Search WEB for skeleton |
|
![]()
|
|
|
Structure Proposal # 4788 SQHGMWVPDDJREN Deviation = 4.33ppm
Search WEB for skeleton respect to your proposal |
|
![]()
|
|
|
Structure Proposal # 4789 KXJMLRWPNKLJQS Deviation = 4.33ppm
Search WEB for skeleton |
|
![]()
|
|
|
Structure Proposal # 4790 NFMGICHTSUWDBB Deviation = 4.33ppm
Search WEB for skeleton |
|
![]()
|
|
|
Structure Proposal # 4791 OEIGUGUIKMRZAK Deviation = 4.34ppm
Search WEB for skeleton respect to your proposal |
|
![]()
|
|
|
Structure Proposal # 4792 YHGBKAFRXIEHMI Deviation = 4.34ppm
Search WEB for skeleton |
|
![]()
|
|
|
Structure Proposal # 4793 JFRSVHXOAIQNHW Deviation = 4.34ppm
Search WEB for skeleton respect to your proposal |
|
![]()
|
|
|
Structure Proposal # 4794 WLRMSRLITJEPGK Deviation = 4.34ppm
Search WEB for skeleton |
|
![]()
|
|
|
Structure Proposal # 4795 SEQXCZKQYOUUOV Deviation = 4.34ppm
Search WEB for skeleton |
|
![]()
|
|
|
Structure Proposal # 4796 LDBMUEYTLXSNPI Deviation = 4.34ppm
Search WEB for skeleton |
|
![]()
|
|
|
Structure Proposal # 4797 YNCPBOPGJUUQRD Deviation = 4.34ppm
Search WEB for skeleton |
|
![]()
|
|
|
Structure Proposal # 4798 ROJGQSIAMIVWGC Deviation = 4.34ppm
Search WEB for skeleton |
|
![]()
|
|
|
Structure Proposal # 4799 XLIMGRHQTMSVBH Deviation = 4.34ppm
Search WEB for skeleton |
|
![]()
|
|
|
Structure Proposal # 4800 LRNILRJODRFSSU Deviation = 4.34ppm
Search WEB for skeleton |
|
![]()
|
|
|
Structure Proposal # 4801 KAKPPKBBWDROGF Deviation = 4.34ppm
Search WEB for skeleton respect to your proposal |
|
![]()
|
|
|
Structure Proposal # 4802 IGIYGAIHWRNXCR Deviation = 4.34ppm
Search WEB for skeleton |
|
![]()
|
|
|
Structure Proposal # 4803 QGLXHVLBTVBIJY Deviation = 4.34ppm
Search WEB for skeleton |
|
![]()
|
|
|
Structure Proposal # 4804 FHXQNUHEOSSGSX Deviation = 4.34ppm
Search WEB for skeleton |
|
![]()
|
|
|
Structure Proposal # 4805 YOMLCNQFFPWROC Deviation = 4.34ppm
Search WEB for skeleton |
|
![]()
|
|
|
Structure Proposal # 4806 ZAWOZUOILNIDQI Deviation = 4.34ppm
Search WEB for skeleton |
|
![]()
|
|
|
Structure Proposal # 4807 OQJZRSBZMJRETP Deviation = 4.34ppm
Search WEB for skeleton respect to your proposal |
|
![]()
|
|
|
Structure Proposal # 4808 OJXGLEIYRFAOKE Deviation = 4.34ppm
Search WEB for skeleton respect to your proposal |
|
![]()
|
|
|
Structure Proposal # 4809 NLNLWKFPMBLIDT Deviation = 4.34ppm
Search WEB for skeleton |
|
![]()
|
|
|
Structure Proposal # 4810 UISIEBHVTAIQAW Deviation = 4.34ppm
Search WEB for skeleton |
|
![]()
|
|
|
Structure Proposal # 4811 WIMSPYXWHRQODI Deviation = 4.34ppm
Search WEB for skeleton respect to your proposal |
|
![]()
|
|
|
Structure Proposal # 4812 BKINHFGZAMINPS Deviation = 4.35ppm
Search WEB for skeleton |
|
![]()
|
|
|
Structure Proposal # 4813 XAFVHPKPQDOAAF Deviation = 4.35ppm
Search WEB for skeleton respect to your proposal |
|
![]()
|
|
|
Structure Proposal # 4814 PCGKOHACQZQGAN Deviation = 4.35ppm
Search WEB for skeleton |
|
![]()
|
|
|
Structure Proposal # 4815 GNFBWNXTFKNRCU Deviation = 4.35ppm
Search WEB for skeleton |
|
![]()
|
|
|
Structure Proposal # 4816 XRMJYTYXFZIOEW Deviation = 4.35ppm
Search WEB for skeleton |
|
![]()
|
|
|
Structure Proposal # 4817 OZRJQWQRJNTESB Deviation = 4.35ppm
Search WEB for skeleton |
|
![]()
|
|
|
Structure Proposal # 4818 MGGBBHRHUFQYBO Deviation = 4.35ppm
Search WEB for skeleton |
|
![]()
|
|
|
Structure Proposal # 4819 MZOHDXUAXXTJAS Deviation = 4.35ppm
Search WEB for skeleton respect to your proposal |
|
![]()
|
|
|
Structure Proposal # 4820 ZAWBBBSRYPPGEZ Deviation = 4.35ppm
Search WEB for skeleton |
|
![]()
|
|
|
Structure Proposal # 4821 UHNNFHXJXZKYHG Deviation = 4.35ppm
Search WEB for skeleton |
|
![]()
|
|
|
Structure Proposal # 4822 LEIREQLPXLDHLJ Deviation = 4.35ppm
Search WEB for skeleton |
|
![]()
|
|
|
Structure Proposal # 4823 JJHHUWRXLSFYDR Deviation = 4.35ppm
Search WEB for skeleton |
|
![]()
|
|
|
Structure Proposal # 4824 UNTBBSOQGCXENL Deviation = 4.35ppm
Search WEB for skeleton |
|
![]()
|
|
|
Structure Proposal # 4825 OLOKGBPXVSEVAI Deviation = 4.35ppm
Search WEB for skeleton |
|
![]()
|
|
|
Structure Proposal # 4826 ILJNVEDNMSIDPH Deviation = 4.36ppm
Search WEB for skeleton |
|
![]()
|
|
|
Structure Proposal # 4827 PPBKOWTWFPNRJU Deviation = 4.36ppm
Search WEB for skeleton |
|
![]()
|
|
|
Structure Proposal # 4828 FETILGRNTDDRAG Deviation = 4.36ppm
Search WEB for skeleton |
|
![]()
|
|
|
Structure Proposal # 4829 NHOQSWFOFKDKTM Deviation = 4.36ppm
Search WEB for skeleton |
|
![]()
|
|
|
Structure Proposal # 4830 ZBPPSPOORBXFGK Deviation = 4.36ppm
Search WEB for skeleton |
|
![]()
|
|
|
Structure Proposal # 4831 AQNATTSWGJNEDA Deviation = 4.36ppm
Search WEB for skeleton |
|
![]()
|
|
|
Structure Proposal # 4832 AVROQDBUJYVDOE Deviation = 4.36ppm
Search WEB for skeleton |
|
![]()
|
|
|
Structure Proposal # 4833 MHEOBTMONNXXNB Deviation = 4.36ppm
Search WEB for skeleton |
|
![]()
|
|
|
Structure Proposal # 4834 WECIHCCYTNREKQ Deviation = 4.36ppm
Search WEB for skeleton |
|
![]()
|
|
|
Structure Proposal # 4835 XXYTZFMHQJCIHE Deviation = 4.36ppm
Search WEB for skeleton |
|
![]()
|
|
|
Structure Proposal # 4836 AOILSRIDOCRYGY Deviation = 4.36ppm
Search WEB for skeleton |
|
![]()
|
|
|
Structure Proposal # 4837 WUMBZQRETAUEAL Deviation = 4.36ppm
Search WEB for skeleton respect to your proposal |
|
![]()
|
|
|
Structure Proposal # 4838 FFIUEYNVFFAMNO Deviation = 4.36ppm
Search WEB for skeleton |
|
![]()
|
|
|
Structure Proposal # 4839 BNTGSGBGOMNJFD Deviation = 4.36ppm
Search WEB for skeleton respect to your proposal |
|
![]()
|
|
|
Structure Proposal # 4840 AYWFYFOJFLQZMX Deviation = 4.37ppm
Search WEB for skeleton |
|
![]()
|
|
|
Structure Proposal # 4841 ZXQHOMPDVRVQTK Deviation = 4.37ppm
Search WEB for skeleton |
|
![]()
|
|
|
Structure Proposal # 4842 JDULDIRXZHPRAH Deviation = 4.37ppm
Search WEB for skeleton |
|
![]()
|
|
|
Structure Proposal # 4843 CBYLPYQSTVWUID Deviation = 4.37ppm
Search WEB for skeleton |
|
![]()
|
|
|
Structure Proposal # 4844 YFLVYFOCBZEHST Deviation = 4.37ppm
Search WEB for skeleton |
|
![]()
|
|
|
Structure Proposal # 4845 HVZDOCNVYATCGC Deviation = 4.37ppm
Search WEB for skeleton |
|
![]()
|
|
|
Structure Proposal # 4846 YUWTZGPAOZJMIM Deviation = 4.37ppm
Search WEB for skeleton |
|
![]()
|
|
|
Structure Proposal # 4847 NXJHSTVBESEWPQ Deviation = 4.37ppm
Search WEB for skeleton |
|
![]()
|
|
|
Structure Proposal # 4848 WXMUAFCTKQAZEK Deviation = 4.37ppm
Search WEB for skeleton |
|
![]()
|
|
|
Structure Proposal # 4849 JVTYMIWGYMNZQL Deviation = 4.37ppm
Search WEB for skeleton |
|
![]()
|
|
|
Structure Proposal # 4850 DYZPVNRFGLRUSZ Deviation = 4.37ppm
Search WEB for skeleton |
|
![]()
|
|
|
Structure Proposal # 4851 MOJXCQJJGFGQDF Deviation = 4.37ppm
Search WEB for skeleton respect to your proposal |
|
![]()
|
|
|
Structure Proposal # 4852 NSIPUWGIKGCJHZ Deviation = 4.37ppm
Search WEB for skeleton |
|
![]()
|
|
|
Structure Proposal # 4853 VPWBEHQCGSAWSX Deviation = 4.37ppm
Search WEB for skeleton |
|
![]()
|
|
|
Structure Proposal # 4854 RHLWUTAIXMQQFV Deviation = 4.37ppm
Search WEB for skeleton |
|
![]()
|
|
|
Structure Proposal # 4855 VZQSVOADWWJBEA Deviation = 4.37ppm
Search WEB for skeleton |
|
![]()
|
|
|
Structure Proposal # 4856 KIBVWVNYPWZBSN Deviation = 4.38ppm
Search WEB for skeleton |
|
![]()
|
|
|
Structure Proposal # 4857 CUGDQXJCVBVIIJ Deviation = 4.38ppm
Search WEB for skeleton |
|
![]()
|
|
|
Structure Proposal # 4858 ZTJDVJUAWPTCTJ Deviation = 4.38ppm
Search WEB for skeleton respect to your proposal |
|
![]()
|
|
|
Structure Proposal # 4859 IAVXSEFLRVBCDV Deviation = 4.38ppm
Search WEB for skeleton |
|
![]()
|
|
|
Structure Proposal # 4860 WUQOSHPMZVEWDK Deviation = 4.38ppm
Search WEB for skeleton |
|
![]()
|
|
|
Structure Proposal # 4861 ZEKAKVDHKXGLFE Deviation = 4.38ppm
Search WEB for skeleton |
|
![]()
|
|
|
Structure Proposal # 4862 MAIFUQHLKKAKNV Deviation = 4.38ppm
Search WEB for skeleton |
|
![]()
|
|
|
Structure Proposal # 4863 HDZMIADGWWFBAY Deviation = 4.38ppm
Search WEB for skeleton |
|
![]()
|
|
|
Structure Proposal # 4864 BRYARBGAIKNJPC Deviation = 4.38ppm
Search WEB for skeleton respect to your proposal |
|
![]()
|
|
|
Structure Proposal # 4865 DUAMQSVIROEXDI Deviation = 4.38ppm
Search WEB for skeleton |
|
![]()
|
|
|
Structure Proposal # 4866 XCBYTVLNAYUGSA Deviation = 4.38ppm
Search WEB for skeleton |
|
![]()
|
|
|
Structure Proposal # 4867 UCPCDSGDTNTZBZ Deviation = 4.38ppm
Search WEB for skeleton |
|
![]()
|
|
|
Structure Proposal # 4868 XMXJSUXTFFEMBC Deviation = 4.38ppm
Search WEB for skeleton |
|
![]()
|
|
|
Structure Proposal # 4869 OYSCILYVQBCUAI Deviation = 4.38ppm
Search WEB for skeleton |
|
![]()
|
|
|
Structure Proposal # 4870 AEKNVOTVWHJKNV Deviation = 4.38ppm
Search WEB for skeleton |
|
![]()
|
|
|
Structure Proposal # 4871 XODLCXMYXPAFMA Deviation = 4.38ppm
Search WEB for skeleton |
|
![]()
|
|
|
Structure Proposal # 4872 GYUNQKRNHYWJHN Deviation = 4.38ppm
Search WEB for skeleton |
|
![]()
|
|
|
Structure Proposal # 4873 CVHAHPDUCWJYAU Deviation = 4.39ppm
Search WEB for skeleton |
|
![]()
|
|
|
Structure Proposal # 4874 GPHUGYPNXNFUQL Deviation = 4.39ppm
Search WEB for skeleton |
|
![]()
|
|
|
Structure Proposal # 4875 XXBMZICGVQKHNF Deviation = 4.39ppm
Search WEB for skeleton |
|
![]()
|
|
|
Structure Proposal # 4876 LWQWEJACKDGAAX Deviation = 4.39ppm
Search WEB for skeleton |
|
![]()
|
|
|
Structure Proposal # 4877 QLSSGTQGZDXIQE Deviation = 4.39ppm
Search WEB for skeleton |
|
![]()
|
|
|
Structure Proposal # 4878 NTHUBYVLZOCVTP Deviation = 4.39ppm
Search WEB for skeleton |
|
![]()
|
|
|
Structure Proposal # 4879 RKWJEJIUSJLMHH Deviation = 4.39ppm
Search WEB for skeleton |
|
![]()
|
|
|
Structure Proposal # 4880 ZCQOBUUDEYTYNN Deviation = 4.39ppm
Search WEB for skeleton |
|
![]()
|
|
|
Structure Proposal # 4881 KQYJDIZFPFWWAL Deviation = 4.39ppm
Search WEB for skeleton |
|
![]()
|
|
|
Structure Proposal # 4882 HDDLTMSBZZGSOG Deviation = 4.39ppm
Search WEB for skeleton |
|
![]()
|
|
|
Structure Proposal # 4883 ASCTYGBBYBOEFA Deviation = 4.39ppm
Search WEB for skeleton respect to your proposal |
|
![]()
|
|
|
Structure Proposal # 4884 ULMUXFWOYPQTCQ Deviation = 4.39ppm
Search WEB for skeleton respect to your proposal |
|
![]()
|
|
|
Structure Proposal # 4885 KQUQLNUGOFHILO Deviation = 4.39ppm
Search WEB for skeleton |
|
![]()
|
|
|
Structure Proposal # 4886 YTVHJYPSRKGVGS Deviation = 4.39ppm
Search WEB for skeleton |
|
![]()
|
|
|
Structure Proposal # 4887 KXSGENWIXZYLGP Deviation = 4.39ppm
Search WEB for skeleton |
|
![]()
|
|
|
Structure Proposal # 4888 VEKBSTYPPWYXGL Deviation = 4.39ppm
Search WEB for skeleton |
|
![]()
|
|
|
Structure Proposal # 4889 WMTOTPNIKQZUPE Deviation = 4.39ppm
Search WEB for skeleton respect to your proposal |
|
![]()
|
|
|
Structure Proposal # 4890 JPNQRILXBVJEGF Deviation = 4.40ppm
Search WEB for skeleton |
|
![]()
|
|
|
Structure Proposal # 4891 PPAGQCPMHQIFNM Deviation = 4.40ppm
Search WEB for skeleton |
|
![]()
|
|
|
Structure Proposal # 4892 PIUOTHQSUQGIDE Deviation = 4.40ppm
Search WEB for skeleton |
|
![]()
|
|
|
Structure Proposal # 4893 UQRHXCMHZHTJRV Deviation = 4.40ppm
Search WEB for skeleton |
|
![]()
|
|
|
Structure Proposal # 4894 OPYNKRIGQLOTHE Deviation = 4.40ppm
Search WEB for skeleton |
|
![]()
|
|
|
Structure Proposal # 4895 OKUICKFVCZFHDN Deviation = 4.40ppm
Search WEB for skeleton respect to your proposal |
|
![]()
|
|
|
Structure Proposal # 4896 WKLHEIKASCBIEU Deviation = 4.40ppm
Search WEB for skeleton |
|
![]()
|
|
|
Structure Proposal # 4897 LQZLNDWQLAPYPG Deviation = 4.40ppm
Search WEB for skeleton |
|
![]()
|
|
|
Structure Proposal # 4898 HQSLXFMRHBYYGY Deviation = 4.40ppm
Search WEB for skeleton |
|
![]()
|
|
|
Structure Proposal # 4899 NWEXHNXWTBLCJX Deviation = 4.40ppm
Search WEB for skeleton |
|
![]()
|
|
|
Structure Proposal # 4900 ARLSWCOUMOHNEG Deviation = 4.40ppm
Search WEB for skeleton |
|
![]()
|
|
|
Structure Proposal # 4901 BNHCVUKLAHHUDZ Deviation = 4.40ppm
Search WEB for skeleton |
|
![]()
|
|
|
Structure Proposal # 4902 HVYIOYRWRJBHGE Deviation = 4.40ppm
Search WEB for skeleton |
|
![]()
|
|
|
Structure Proposal # 4903 BGIHYDOPEYHOHP Deviation = 4.40ppm
Search WEB for skeleton |
|
![]()
|
|
|
Structure Proposal # 4904 BCYPMHFXLJHLCL Deviation = 4.40ppm
Search WEB for skeleton respect to your proposal |
|
![]()
|
|
|
Structure Proposal # 4905 KGIYJYNMHFTTLQ Deviation = 4.40ppm
Search WEB for skeleton respect to your proposal |
|
![]()
|
|
|
Structure Proposal # 4906 KXYQOTKUXIAZAV Deviation = 4.41ppm
Search WEB for skeleton |
|
![]()
|
|
|
Structure Proposal # 4907 LRANMDNZDYTJSC Deviation = 4.41ppm
Search WEB for skeleton |
|
![]()
|
|
|
Structure Proposal # 4908 FKPFQPNHEQFJOB Deviation = 4.41ppm
Search WEB for skeleton respect to your proposal |
|
![]()
|
|
|
Structure Proposal # 4909 VRODITSGIMPESO Deviation = 4.41ppm
Search WEB for skeleton |
|
![]()
|
|
|
Structure Proposal # 4910 MYEOJOLYWQQNQO Deviation = 4.41ppm
Search WEB for skeleton |
|
![]()
|
|
|
Structure Proposal # 4911 BKJCMMYLYIXPOS Deviation = 4.41ppm
Search WEB for skeleton |
|
![]()
|
|
|
Structure Proposal # 4912 DMJGLSCKDPVZOF Deviation = 4.41ppm
Search WEB for skeleton respect to your proposal |
|
![]()
|
|
|
Structure Proposal # 4913 QFKSUSGEHTYXPI Deviation = 4.41ppm
Search WEB for skeleton |
|
![]()
|
|
|
Structure Proposal # 4914 NHIYJZKHLBXHMD Deviation = 4.41ppm
Search WEB for skeleton |
|
![]()
|
|
|
Structure Proposal # 4915 HDNLMAPOZLFZOO Deviation = 4.41ppm
Search WEB for skeleton |
|
![]()
|
|
|
Structure Proposal # 4916 STWNNEUJLIMRMZ Deviation = 4.41ppm
Search WEB for skeleton |
|
![]()
|
|
|
Structure Proposal # 4917 MUASAGJKHTVXRZ Deviation = 4.41ppm
Search WEB for skeleton |
|
![]()
|
|
|
Structure Proposal # 4918 OMQJBUBDVJWOHS Deviation = 4.42ppm
Search WEB for skeleton |
|
![]()
|
|
|
Structure Proposal # 4919 ZKGKTKISGUPVGF Deviation = 4.42ppm
Search WEB for skeleton |
|
![]()
|
|
|
Structure Proposal # 4920 CTNRZOQXFCYNRL Deviation = 4.42ppm
Search WEB for skeleton |
|
![]()
|
|
|
Structure Proposal # 4921 CNILDBVZTHSJKP Deviation = 4.42ppm
Search WEB for skeleton |
|
![]()
|
|
|
Structure Proposal # 4922 MOMNUPUIWZCPNR Deviation = 4.42ppm
Search WEB for skeleton |
|
![]()
|
|
|
Structure Proposal # 4923 GIZONNZEHQCVOS Deviation = 4.42ppm
Search WEB for skeleton |
|
![]()
|
|
|
Structure Proposal # 4924 AUCCLNOAWIAKIB Deviation = 4.42ppm
Search WEB for skeleton |
|
![]()
|
|
|
Structure Proposal # 4925 HIDUUGAGGZPNRA Deviation = 4.42ppm
Search WEB for skeleton respect to your proposal |
|
![]()
|
|
|
Structure Proposal # 4926 CDQBNZDKUJFDPS Deviation = 4.42ppm
Search WEB for skeleton |
|
![]()
|
|
|
Structure Proposal # 4927 WJHDXNKQYKNLAV Deviation = 4.42ppm
Search WEB for skeleton |
|
![]()
|
|
|
Structure Proposal # 4928 QTRBYZXCSJTEDN Deviation = 4.42ppm
Search WEB for skeleton |
|
![]()
|
|
|
Structure Proposal # 4929 SNMBNPFYKPNSKZ Deviation = 4.42ppm
Search WEB for skeleton |
|
![]()
|
|
|
Structure Proposal # 4930 UILUXIDGBXWEKE Deviation = 4.42ppm
Search WEB for skeleton |
|
![]()
|
|
|
Structure Proposal # 4931 AFEIYJVEHJXRDU Deviation = 4.42ppm
Search WEB for skeleton |
|
![]()
|
|
|
Structure Proposal # 4932 YIVVFORBJGPGAS Deviation = 4.43ppm
Search WEB for skeleton |
|
![]()
|
|
|
Structure Proposal # 4933 SKHSUQXNDJDBAI Deviation = 4.43ppm
Search WEB for skeleton |
|
![]()
|
|
|
Structure Proposal # 4934 QETYDVHSAJKIQY Deviation = 4.43ppm
Search WEB for skeleton respect to your proposal |
|
![]()
|
|
|
Structure Proposal # 4935 SNQFCPDPFUILOU Deviation = 4.43ppm
Search WEB for skeleton |
|
![]()
|
|
|
Structure Proposal # 4936 FFZXUIFJTFCPPE Deviation = 4.43ppm
Search WEB for skeleton |
|
![]()
|
|
|
Structure Proposal # 4937 VCUWJIZLGDAUCY Deviation = 4.43ppm
Search WEB for skeleton respect to your proposal |
|
![]()
|
|
|
Structure Proposal # 4938 UWSUIIQZCLIZBN Deviation = 4.43ppm
Search WEB for skeleton |
|
![]()
|
|
|
Structure Proposal # 4939 LXCBPEBMIDYCFI Deviation = 4.43ppm
Search WEB for skeleton |
|
![]()
|
|
|
Structure Proposal # 4940 WCZANQNWCHAAHA Deviation = 4.43ppm
Search WEB for skeleton respect to your proposal |
|
![]()
|
|
|
Structure Proposal # 4941 XJKFFGRIYTXPNI Deviation = 4.43ppm
Search WEB for skeleton |
|
![]()
|
|
|
Structure Proposal # 4942 UDQQIRKJDYHCBV Deviation = 4.43ppm
Search WEB for skeleton |
|
![]()
|
|
|
Structure Proposal # 4943 JKJSDDFIVKUXGT Deviation = 4.43ppm
Search WEB for skeleton |
|
![]()
|
|
|
Structure Proposal # 4944 BJAISKHZNYPABJ Deviation = 4.43ppm
Search WEB for skeleton |
|
![]()
|
|
|
Structure Proposal # 4945 OBHQHFWHFJKCDX Deviation = 4.43ppm
Search WEB for skeleton |
|
![]()
|
|
|
Structure Proposal # 4946 NJFIFDCPFRPESI Deviation = 4.43ppm
Search WEB for skeleton |
|
![]()
|
|
|
Structure Proposal # 4947 UXJUGUGLYSTNBB Deviation = 4.43ppm
Search WEB for skeleton respect to your proposal |
|
![]()
|
|
|
Structure Proposal # 4948 LVHYOQGGDHJMHO Deviation = 4.43ppm
Search WEB for skeleton |
|
![]()
|
|
|
Structure Proposal # 4949 OYVVVXBKSDKGKK Deviation = 4.43ppm
Search WEB for skeleton |
|
![]()
|
|
|
Structure Proposal # 4950 GIBKCZQRHRJUEW Deviation = 4.44ppm
Search WEB for skeleton respect to your proposal |
|
![]()
|
|
|
Structure Proposal # 4951 FHIYTJQSHZDPRE Deviation = 4.44ppm
Search WEB for skeleton respect to your proposal |
|
![]()
|
|
|
Structure Proposal # 4952 MWORIYDGFNBTQS Deviation = 4.44ppm
Search WEB for skeleton |
|
![]()
|
|
|
Structure Proposal # 4953 LLJPQLZXPOZAHL Deviation = 4.44ppm
Search WEB for skeleton |
|
![]()
|
|
|
Structure Proposal # 4954 PXEXKMRGFPETOF Deviation = 4.44ppm
Search WEB for skeleton |
|
![]()
|
|
|
Structure Proposal # 4955 YTEIKINBQMTQHZ Deviation = 4.44ppm
Search WEB for skeleton |
|
![]()
|
|
|
Structure Proposal # 4956 WIWSGTXJSKNUNH Deviation = 4.44ppm
Search WEB for skeleton |
|
![]()
|
|
|
Structure Proposal # 4957 NULJGJKSRUOYBD Deviation = 4.44ppm
Search WEB for skeleton |
|
![]()
|
|
|
Structure Proposal # 4958 QSEVSPLGNRISQP Deviation = 4.44ppm
Search WEB for skeleton |
|
![]()
|
|
|
Structure Proposal # 4959 RKKFLVJLRICVTN Deviation = 4.44ppm
Search WEB for skeleton |
|
![]()
|
|
|
Structure Proposal # 4960 LRQOVEXJIUXNBH Deviation = 4.44ppm
Search WEB for skeleton |
|
![]()
|
|
|
Structure Proposal # 4961 LOBOANPHNCHELY Deviation = 4.44ppm
Search WEB for skeleton |
|
![]()
|
|
|
Structure Proposal # 4962 UKHOOTUPRFNNCU Deviation = 4.44ppm
Search WEB for skeleton respect to your proposal |
|
![]()
|
|
|
Structure Proposal # 4963 UMYMEBCDYSNSBI Deviation = 4.44ppm
Search WEB for skeleton |
|
![]()
|
|
|
Structure Proposal # 4964 SLNUYRHKHMHNOQ Deviation = 4.44ppm
Search WEB for skeleton respect to your proposal |
|
![]()
|
|
|
Structure Proposal # 4965 CCMNRLFVFOMKPS Deviation = 4.44ppm
Search WEB for skeleton respect to your proposal |
|
![]()
|
|
|
Structure Proposal # 4966 PDQPZYILZBVLNG Deviation = 4.44ppm
Search WEB for skeleton |
|
![]()
|
|
|
Structure Proposal # 4967 WJLFPTZBERVPOS Deviation = 4.44ppm
Search WEB for skeleton |
|
![]()
|
|
|
Structure Proposal # 4968 RZJCDRMETCMAIV Deviation = 4.45ppm
Search WEB for skeleton respect to your proposal |
|
![]()
|
|
|
Structure Proposal # 4969 VHMFHYZQKIIIIT Deviation = 4.45ppm
Search WEB for skeleton |
|
![]()
|
|
|
Structure Proposal # 4970 PLAMYUQPFZLONG Deviation = 4.45ppm
Search WEB for skeleton respect to your proposal |
|
![]()
|
|
|
Structure Proposal # 4971 XKALOOXDGHKXRW Deviation = 4.45ppm
Search WEB for skeleton |
|
![]()
|
|
|
Structure Proposal # 4972 WUFJIBMMJVMUOU Deviation = 4.45ppm
Search WEB for skeleton |
|
![]()
|
|
|
Structure Proposal # 4973 NFAZKICCAGRGQK Deviation = 4.45ppm
Search WEB for skeleton |
|
![]()
|
|
|
Structure Proposal # 4974 SKOMFOMFHNNXIL Deviation = 4.45ppm
Search WEB for skeleton |
|
![]()
|
|
|
Structure Proposal # 4975 GVFUYKXCRHJTHA Deviation = 4.45ppm
Search WEB for skeleton |
|
![]()
|
|
|
Structure Proposal # 4976 RCECYPCVSGEATC Deviation = 4.45ppm
Search WEB for skeleton |
|
![]()
|
|
|
Structure Proposal # 4977 MWILSKNFNDGMET Deviation = 4.45ppm
Search WEB for skeleton |
|
![]()
|
|
|
Structure Proposal # 4978 LZMJMJBODMNJNP Deviation = 4.45ppm
Search WEB for skeleton |
|
![]()
|
|
|
Structure Proposal # 4979 KQRVMNREOGHMHZ Deviation = 4.45ppm
Search WEB for skeleton |
|
![]()
|
|
|
Structure Proposal # 4980 JIONLQUUSOCHTG Deviation = 4.45ppm
Search WEB for skeleton |
|
![]()
|
|
|
Structure Proposal # 4981 CYDWQSYTVQFYJJ Deviation = 4.45ppm
Search WEB for skeleton |
|
![]()
|
|
|
Structure Proposal # 4982 YMXOAHHPVBGBLO Deviation = 4.45ppm
Search WEB for skeleton respect to your proposal |
|
![]()
|
|
|
Structure Proposal # 4983 FIQFPFKOEJMYDD Deviation = 4.45ppm
Search WEB for skeleton respect to your proposal |
|
![]()
|
|
|
Structure Proposal # 4984 WKVLMDLEVGXWMO Deviation = 4.45ppm
Search WEB for skeleton |
|
![]()
|
|
|
Structure Proposal # 4985 LQZYXKKMCRKFIZ Deviation = 4.45ppm
Search WEB for skeleton |
|
![]()
|
|
|
Structure Proposal # 4986 ZVVXJUNOMLWPBC Deviation = 4.45ppm
Search WEB for skeleton respect to your proposal |
|
![]()
|
|
|
Structure Proposal # 4987 VNIVBSVBKQVYDO Deviation = 4.45ppm
Search WEB for skeleton |
|
![]()
|
|
|
Structure Proposal # 4988 AZONXPIJVKKTPU Deviation = 4.45ppm
Search WEB for skeleton |
|
![]()
|
|
|
Structure Proposal # 4989 SSWLKIDEKUNYGS Deviation = 4.45ppm
Search WEB for skeleton |
|
![]()
|
|
|
Structure Proposal # 4990 KHDFNLNTCDRACY Deviation = 4.46ppm
Search WEB for skeleton |
|
![]()
|
|
|
Structure Proposal # 4991 IMCSYCFFIGYKCD Deviation = 4.46ppm
Search WEB for skeleton |
|
![]()
|
|
|
Structure Proposal # 4992 SNLRGCDXKOOJNI Deviation = 4.46ppm
Search WEB for skeleton |
|
![]()
|
|
|
Structure Proposal # 4993 CAIKVXUJLJCUEE Deviation = 4.46ppm
Search WEB for skeleton |
|
![]()
|
|
|
Structure Proposal # 4994 WEFJIPRZWALEAI Deviation = 4.46ppm
Search WEB for skeleton |
|
![]()
|
|
|
Structure Proposal # 4995 LHEYKGGHTYCYRL Deviation = 4.46ppm
Search WEB for skeleton |
|
![]()
|
|
|
Structure Proposal # 4996 YTWSJSZOPHSRNQ Deviation = 4.46ppm
Search WEB for skeleton respect to your proposal |
|
![]()
|
|
|
Structure Proposal # 4997 FCHSCYMYLHZUFB Deviation = 4.46ppm
Search WEB for skeleton |
|
![]()
|
|
|
Structure Proposal # 4998 FFCSVMKMSQMSPA Deviation = 4.46ppm
Search WEB for skeleton respect to your proposal |
|
![]()
|
|
|
Structure Proposal # 4999 FRXJZFPDMTXXCM Deviation = 4.46ppm
Search WEB for skeleton |
|
![]()
|
|
|
Structure Proposal # 5000 SJNVEOSQIZHNEP Deviation = 4.47ppm
Search WEB for skeleton |
|
![]()
|
|
|
Structure Proposal # 5001 ITGBJEVAVWPTIY Deviation = 4.47ppm
Search WEB for skeleton |
|
![]()
|
|
|
Structure Proposal # 5002 YFTPIAYQCQHLDC Deviation = 4.47ppm
Search WEB for skeleton |
|
![]()
|
|
|
Structure Proposal # 5003 HTQBUFPVFFXFIX Deviation = 4.47ppm
Search WEB for skeleton |
|
![]()
|
|
|
Structure Proposal # 5004 FHBRQUKXUFIZEA Deviation = 4.47ppm
Search WEB for skeleton respect to your proposal |
|
![]()
|
|
|
Structure Proposal # 5005 JGMIHVUQDQEPFB Deviation = 4.47ppm
Search WEB for skeleton |
|
![]()
|
|
|
Structure Proposal # 5006 XCPHTIJHDKWUSO Deviation = 4.47ppm
Search WEB for skeleton respect to your proposal |
|
![]()
|
|
|
Structure Proposal # 5007 REPFFQMNGXISHZ Deviation = 4.47ppm
Search WEB for skeleton |
|
![]()
|
|
|
Structure Proposal # 5008 XOLBAGDZMBDXAK Deviation = 4.47ppm
Search WEB for skeleton respect to your proposal |
|
![]()
|
|
|
Structure Proposal # 5009 BEVHAQCQLMTXSB Deviation = 4.47ppm
Search WEB for skeleton respect to your proposal |
|
![]()
|
|
|
Structure Proposal # 5010 SSQNUCACSIUKIB Deviation = 4.47ppm
Search WEB for skeleton |
|
![]()
|
|
|
Structure Proposal # 5011 DPQHNYQVAGVHHG Deviation = 4.47ppm
Search WEB for skeleton |
|
![]()
|
|
|
Structure Proposal # 5012 DMCLSTSGYZPFPW Deviation = 4.47ppm
Search WEB for skeleton |
|
![]()
|
|
|
Structure Proposal # 5013 JFZNALNDUFCOLG Deviation = 4.47ppm
Search WEB for skeleton respect to your proposal |
|
![]()
|
|
|
Structure Proposal # 5014 RQNIXVAWKFJLGZ Deviation = 4.47ppm
Search WEB for skeleton |
|
![]()
|
|
|
Structure Proposal # 5015 OPCJTYGUIPJWCZ Deviation = 4.47ppm
Search WEB for skeleton respect to your proposal |
|
![]()
|
|
|
Structure Proposal # 5016 KOMAQDOQRSALPT Deviation = 4.47ppm
Search WEB for skeleton |
|
![]()
|
|
|
Structure Proposal # 5017 AIRJYUBOAQWCBU Deviation = 4.47ppm
Search WEB for skeleton |
|
![]()
|
|
|
Structure Proposal # 5018 WTASCJNUDRHTIO Deviation = 4.47ppm
Search WEB for skeleton respect to your proposal |
|
![]()
|
|
|
Structure Proposal # 5019 NSKUNAWFRNTJON Deviation = 4.48ppm
Search WEB for skeleton |
|
![]()
|
|
|
Structure Proposal # 5020 FXIYEKIUHROWBA Deviation = 4.48ppm
Search WEB for skeleton |
|
![]()
|
|
|
Structure Proposal # 5021 FFVXNEZEIFUQOS Deviation = 4.48ppm
Search WEB for skeleton |
|
![]()
|
|
|
Structure Proposal # 5022 FJODVZRCQIKSPC Deviation = 4.48ppm
Search WEB for skeleton |
|
![]()
|
|
|
Structure Proposal # 5023 UGZDSYFSYKCVGT Deviation = 4.48ppm
Search WEB for skeleton |
|
![]()
|
|
|
Structure Proposal # 5024 XQRPKARUWSURTE Deviation = 4.48ppm
Search WEB for skeleton |
|
![]()
|
|
|
Structure Proposal # 5025 FGEPOJNHNYZRDA Deviation = 4.48ppm
Search WEB for skeleton |
|
![]()
|
|
|
Structure Proposal # 5026 LPQLTIKQBXLJLD Deviation = 4.48ppm
Search WEB for skeleton |
|
![]()
|
|
|
Structure Proposal # 5027 UQZURHUJNZKNFX Deviation = 4.48ppm
Search WEB for skeleton |
|
![]()
|
|
|
Structure Proposal # 5028 IDLLJEBAUQPNNO Deviation = 4.48ppm
Search WEB for skeleton respect to your proposal |
|
![]()
|
|
|
Structure Proposal # 5029 KOCSDWZGLYHHGX Deviation = 4.49ppm
Search WEB for skeleton |
|
![]()
|
|
|
Structure Proposal # 5030 IJCNAHPPDKMUDX Deviation = 4.49ppm
Search WEB for skeleton |
|
![]()
|
|
|
Structure Proposal # 5031 UHDADSWTQOOSDS Deviation = 4.49ppm
Search WEB for skeleton |
|
![]()
|
|
|
Structure Proposal # 5032 NYWXCVBVMUQRTL Deviation = 4.49ppm
Search WEB for skeleton |
|
![]()
|
|
|
Structure Proposal # 5033 VGVQCQUEXMOODI Deviation = 4.49ppm
Search WEB for skeleton |
|
![]()
|
|
|
Structure Proposal # 5034 ZHJHRSWFABOHEI Deviation = 4.49ppm
Search WEB for skeleton |
|
![]()
|
|
|
Structure Proposal # 5035 RCNPHODPRLIEPM Deviation = 4.49ppm
Search WEB for skeleton |
|
![]()
|
|
|
Structure Proposal # 5036 PSRYPANURGPTAO Deviation = 4.49ppm
Search WEB for skeleton |
|
![]()
|
|
|
Structure Proposal # 5037 YZSQTWVCRVDNOW Deviation = 4.49ppm
Search WEB for skeleton |
|
![]()
|
|
|
Structure Proposal # 5038 ROFFPQAOTVENDQ Deviation = 4.49ppm
Search WEB for skeleton |
|
![]()
|
|
|
Structure Proposal # 5039 FEBHZFNSGLUVHD Deviation = 4.49ppm
Search WEB for skeleton |
|
![]()
|
|
|
Structure Proposal # 5040 NABICJJCYMCTCC Deviation = 4.50ppm
Search WEB for skeleton |
|
![]()
|
|
|
Structure Proposal # 5041 ZAMJBBPZWZHGGV Deviation = 4.50ppm
Search WEB for skeleton |
|
![]()
|
|
|
Structure Proposal # 5042 IPKAMCNTXGLNTP Deviation = 4.50ppm
Search WEB for skeleton |
|
![]()
|
|
|
Structure Proposal # 5043 UVLILNKCNBWKIQ Deviation = 4.50ppm
Search WEB for skeleton |
|
![]()
|
|
|
Structure Proposal # 5044 WCXFEVDZSZSNQO Deviation = 4.50ppm
Search WEB for skeleton |
|
![]()
|
|
|
Structure Proposal # 5045 DVPVDMJRNOTPCF Deviation = 4.50ppm
Search WEB for skeleton respect to your proposal |
|
![]()
|
|
|
Structure Proposal # 5046 XWBJFHLZIJPYJJ Deviation = 4.50ppm
Search WEB for skeleton |
|
![]()
|
|
|
Structure Proposal # 5047 XEQRKNRACUKYBL Deviation = 4.50ppm
Search WEB for skeleton |
|
![]()
|
|
|
Structure Proposal # 5048 USVNPWYOQZTEEL Deviation = 4.50ppm
Search WEB for skeleton |
|
![]()
|
|
|
Structure Proposal # 5049 CBEWULFCXVIKCC Deviation = 4.50ppm
Search WEB for skeleton |
|
![]()
|
|
|
Structure Proposal # 5050 FSGGWBQERSZLQS Deviation = 4.50ppm
Search WEB for skeleton |
|
![]()
|
|
|
Structure Proposal # 5051 JDAANEPDTBILDP Deviation = 4.50ppm
Search WEB for skeleton |
|
![]()
|
|
|
Structure Proposal # 5052 NXMYNEMWNJOVHE Deviation = 4.50ppm
Search WEB for skeleton respect to your proposal |
|
![]()
|
|
|
Structure Proposal # 5053 UPISBTWFLLMJRB Deviation = 4.50ppm
Search WEB for skeleton respect to your proposal |
|
![]()
|
|
|
Structure Proposal # 5054 VSAJJOJGGHKGHC Deviation = 4.50ppm
Search WEB for skeleton respect to your proposal |
|
![]()
|
|
|
Structure Proposal # 5055 WUFUQHVIVNXXGJ Deviation = 4.50ppm
Search WEB for skeleton |
|
![]()
|
|
|
Structure Proposal # 5056 AIZPPLRFRLENFR Deviation = 4.51ppm
Search WEB for skeleton |
|
![]()
|
|
|
Structure Proposal # 5057 BFXDNXZJYBZISN Deviation = 4.51ppm
Search WEB for skeleton |
|
![]()
|
|
|
Structure Proposal # 5058 AMBDVYKPENMWJQ Deviation = 4.51ppm
Search WEB for skeleton |
|
![]()
|
|
|
Structure Proposal # 5059 JLKVDVKUHVFJPD Deviation = 4.51ppm
Search WEB for skeleton |
|
![]()
|
|
|
Structure Proposal # 5060 VCKMFKRVUNSPNA Deviation = 4.51ppm
Search WEB for skeleton |
|
![]()
|
|
|
Structure Proposal # 5061 VJLAQWDGBXZBEN Deviation = 4.51ppm
Search WEB for skeleton respect to your proposal |
|
![]()
|
|
|
Structure Proposal # 5062 PNEIELGBXPLJEC Deviation = 4.51ppm
Search WEB for skeleton |
|
![]()
|
|
|
Structure Proposal # 5063 CWWFEZNHQKBBOQ Deviation = 4.51ppm
Search WEB for skeleton |
|
![]()
|
|
|
Structure Proposal # 5064 QFHCWLRVJMDPAO Deviation = 4.51ppm
Search WEB for skeleton |
|
![]()
|
|
|
Structure Proposal # 5065 XKCWSXOMLUKHLC Deviation = 4.51ppm
Search WEB for skeleton respect to your proposal |
|
![]()
|
|
|
Structure Proposal # 5066 NQAIHJRBBJHLTH Deviation = 4.51ppm
Search WEB for skeleton |
|
![]()
|
|
|
Structure Proposal # 5067 QCSJYRFEJLJHGI Deviation = 4.51ppm
Search WEB for skeleton |
|
![]()
|
|
|
Structure Proposal # 5068 NOXLPFVUGNKFLS Deviation = 4.51ppm
Search WEB for skeleton |
|
![]()
|
|
|
Structure Proposal # 5069 FXUJNDXMHMCQIH Deviation = 4.51ppm
Search WEB for skeleton |
|
![]()
|
|
|
Structure Proposal # 5070 LDSCRORCNZHQKL Deviation = 4.51ppm
Search WEB for skeleton |
|
![]()
|
|
|
Structure Proposal # 5071 MDEQVFCQSNJFLS Deviation = 4.51ppm
Search WEB for skeleton |
|
![]()
|
|
|
Structure Proposal # 5072 BWGQKUZHIKGWOQ Deviation = 4.52ppm
Search WEB for skeleton |
|
![]()
|
|
|
Structure Proposal # 5073 BWWICHKXXWWOIM Deviation = 4.52ppm
Search WEB for skeleton respect to your proposal |
|
![]()
|
|
|
Structure Proposal # 5074 CGSYUNITHAMXAQ Deviation = 4.52ppm
Search WEB for skeleton |
|
![]()
|
|
|
Structure Proposal # 5075 QMHHHYJZOZCWHT Deviation = 4.52ppm
Search WEB for skeleton respect to your proposal |
|
![]()
|
|
|
Structure Proposal # 5076 PZIMUBMMQFHHIX Deviation = 4.52ppm
Search WEB for skeleton |
|
![]()
|
|
|
Structure Proposal # 5077 JUBIZUSSBDNSNY Deviation = 4.52ppm
Search WEB for skeleton |
|
![]()
|
|
|
Structure Proposal # 5078 PLFGPHWXOWKSEQ Deviation = 4.52ppm
Search WEB for skeleton |
|
![]()
|
|
|
Structure Proposal # 5079 LRABXRFBSRRCMF Deviation = 4.52ppm
Search WEB for skeleton respect to your proposal |
|
![]()
|
|
|
Structure Proposal # 5080 HDNIXDFWUYVVKG Deviation = 4.52ppm
Search WEB for skeleton |
|
![]()
|
|
|
Structure Proposal # 5081 VDDNQLLGMAAFOZ Deviation = 4.52ppm
Search WEB for skeleton |
|
![]()
|
|
|
Structure Proposal # 5082 WHNXGXHZEKBSMI Deviation = 4.52ppm
Search WEB for skeleton |
|
![]()
|
|
|
Structure Proposal # 5083 JKWZXADSOCFTPT Deviation = 4.52ppm
Search WEB for skeleton |
|
![]()
|
|
|
Structure Proposal # 5084 CYOKXHMSXLLGKX Deviation = 4.53ppm
Search WEB for skeleton respect to your proposal |
|
![]()
|
|
|
Structure Proposal # 5085 WUTJIDDBJSYKCG Deviation = 4.53ppm
Search WEB for skeleton |
|
![]()
|
|
|
Structure Proposal # 5086 JJXKSIQLCFUOHL Deviation = 4.53ppm
Search WEB for skeleton respect to your proposal |
|
![]()
|
|
|
Structure Proposal # 5087 VARZXTSNZPIPGU Deviation = 4.53ppm
Search WEB for skeleton |
|
![]()
|
|
|
Structure Proposal # 5088 AXEHORHOBHFCSX Deviation = 4.53ppm
Search WEB for skeleton |
|
![]()
|
|
|
Structure Proposal # 5089 ZMXFWTBOKPPIPA Deviation = 4.53ppm
Search WEB for skeleton |
|
![]()
|
|
|
Structure Proposal # 5090 ZKANHNYXVIALAF Deviation = 4.53ppm
Search WEB for skeleton |
|
![]()
|
|
|
Structure Proposal # 5091 UTAOPQHQWPACSE Deviation = 4.53ppm
Search WEB for skeleton |
|
![]()
|
|
|
Structure Proposal # 5092 RZALOMDGQIXDKB Deviation = 4.54ppm
Search WEB for skeleton |
|
![]()
|
|
|
Structure Proposal # 5093 DKANDGHTUBNDKN Deviation = 4.54ppm
Search WEB for skeleton |
|
![]()
|
|
|
Structure Proposal # 5094 GSZHQMRTKSPDHL Deviation = 4.54ppm
Search WEB for skeleton |
|
![]()
|
|
|
Structure Proposal # 5095 PFMXZYJVUUTHHM Deviation = 4.54ppm
Search WEB for skeleton |
|
![]()
|
|
|
Structure Proposal # 5096 WBYNYSLKMJYHHJ Deviation = 4.54ppm
Search WEB for skeleton respect to your proposal |
|
![]()
|
|
|
Structure Proposal # 5097 QBOJCPMPYIUSND Deviation = 4.54ppm
Search WEB for skeleton respect to your proposal |
|
![]()
|
|
|
Structure Proposal # 5098 NFBXOAGLFSFLLM Deviation = 4.54ppm
Search WEB for skeleton |
|
![]()
|
|
|
Structure Proposal # 5099 LZPRKGZBCMBHLS Deviation = 4.54ppm
Search WEB for skeleton |
|
![]()
|
|
|
Structure Proposal # 5100 YZENPKSZOCAFJX Deviation = 4.54ppm
Search WEB for skeleton respect to your proposal |
|
![]()
|
|
|
Structure Proposal # 5101 MAVIKPSLERWAPB Deviation = 4.55ppm
Search WEB for skeleton |
|
![]()
|
|
|
Structure Proposal # 5102 FICQXKQHJIRGBO Deviation = 4.55ppm
Search WEB for skeleton |
|
![]()
|
|
|
Structure Proposal # 5103 MQIZRPLHYKDUTM Deviation = 4.55ppm
Search WEB for skeleton |
|
![]()
|
|
|
Structure Proposal # 5104 ARXBFXUCBYGBMW Deviation = 4.55ppm
Search WEB for skeleton |
|
![]()
|
|
|
Structure Proposal # 5105 XVNHYPGWUPQDFD Deviation = 4.55ppm
Search WEB for skeleton |
|
![]()
|
|
|
Structure Proposal # 5106 PIYUQVNEYRKGMM Deviation = 4.55ppm
Search WEB for skeleton |
|
![]()
|
|
|
Structure Proposal # 5107 WTYPDROSRFNZHR Deviation = 4.55ppm
Search WEB for skeleton |
|
![]()
|
|
|
Structure Proposal # 5108 CDUOJJNSCPEGAI Deviation = 4.55ppm
Search WEB for skeleton |
|
![]()
|
|
|
Structure Proposal # 5109 NJXJWOPTKGTZGV Deviation = 4.55ppm
Search WEB for skeleton |
|
![]()
|
|
|
Structure Proposal # 5110 XPGFFSAPIXRDIS Deviation = 4.55ppm
Search WEB for skeleton |
|
![]()
|
|
|
Structure Proposal # 5111 NKMXZJSILRBEFB Deviation = 4.56ppm
Search WEB for skeleton |
|
![]()
|
|
|
Structure Proposal # 5112 JVRIFXUYEQBMRW Deviation = 4.56ppm
Search WEB for skeleton |
|
![]()
|
|
|
Structure Proposal # 5113 IXBFDPPJYNTLHC Deviation = 4.56ppm
Search WEB for skeleton |
|
![]()
|
|
|
Structure Proposal # 5114 SMVJALYSOPBBHL Deviation = 4.56ppm
Search WEB for skeleton |
|
![]()
|
|
|
Structure Proposal # 5115 NWALLXGPAJXECD Deviation = 4.56ppm
Search WEB for skeleton |
|
![]()
|
|
|
Structure Proposal # 5116 YDVXGOZNWHPSBE Deviation = 4.56ppm
Search WEB for skeleton |
|
![]()
|
|
|
Structure Proposal # 5117 NDKMZRVYTUBZRZ Deviation = 4.56ppm
Search WEB for skeleton |
|
![]()
|
|
|
Structure Proposal # 5118 KUFUJULEQKYUGJ Deviation = 4.56ppm
Search WEB for skeleton |
|
![]()
|
|
|
Structure Proposal # 5119 WHKHINQNDFJFSJ Deviation = 4.56ppm
Search WEB for skeleton respect to your proposal |
|
![]()
|
|
|
Structure Proposal # 5120 RDSOADYIINVYTQ Deviation = 4.56ppm
Search WEB for skeleton |
|
![]()
|
|
|
Structure Proposal # 5121 MDSKDGVFBQXWCF Deviation = 4.56ppm
Search WEB for skeleton |
|
![]()
|
|
|
Structure Proposal # 5122 DXQXLWWSYUMYAI Deviation = 4.56ppm
Search WEB for skeleton |
|
![]()
|
|
|
Structure Proposal # 5123 BCEOSACZPSUGJT Deviation = 4.56ppm
Search WEB for skeleton respect to your proposal |
|
![]()
|
|
|
Structure Proposal # 5124 GPNHYMAOGXKXFA Deviation = 4.56ppm
Search WEB for skeleton |
|
![]()
|
|
|
Structure Proposal # 5125 VHQBBLPOCUNPNW Deviation = 4.56ppm
Search WEB for skeleton |
|
![]()
|
|
|
Structure Proposal # 5126 ZVADIMYSVIRCJT Deviation = 4.56ppm
Search WEB for skeleton |
|
![]()
|
|
|
Structure Proposal # 5127 MUOFSXCPIGAZRI Deviation = 4.56ppm
Search WEB for skeleton respect to your proposal |
|
![]()
|
|
|
Structure Proposal # 5128 XKPSGQBNBRFEAO Deviation = 4.56ppm
Search WEB for skeleton |
|
![]()
|
|
|
Structure Proposal # 5129 CTJVCRSJGKPORU Deviation = 4.57ppm
Search WEB for skeleton |
|
![]()
|
|
|
Structure Proposal # 5130 OXPPHWKINQXACG Deviation = 4.57ppm
Search WEB for skeleton |
|
![]()
|
|
|
Structure Proposal # 5131 WHMHMWUUGZSBOI Deviation = 4.57ppm
Search WEB for skeleton |
|
![]()
|
|
|
Structure Proposal # 5132 JGTIMMOKEXCQRM Deviation = 4.57ppm
Search WEB for skeleton respect to your proposal |
|
![]()
|
|
|
Structure Proposal # 5133 VYVXRKMXYWDRCX Deviation = 4.57ppm
Search WEB for skeleton |
|
![]()
|
|
|
Structure Proposal # 5134 VGVBEKKLXSOXFT Deviation = 4.57ppm
Search WEB for skeleton respect to your proposal |
|
![]()
|
|
|
Structure Proposal # 5135 YKNOTWWHTGJUAM Deviation = 4.57ppm
Search WEB for skeleton |
|
![]()
|
|
|
Structure Proposal # 5136 GBQOXXJNLVHOJE Deviation = 4.57ppm
Search WEB for skeleton |
|
![]()
|
|
|
Structure Proposal # 5137 LWTJOGIFOJZCSX Deviation = 4.57ppm
Search WEB for skeleton |
|
![]()
|
|
|
Structure Proposal # 5138 CYRSJFBYMDFTFC Deviation = 4.57ppm
Search WEB for skeleton |
|
![]()
|
|
|
Structure Proposal # 5139 MWQAONSGRDZNGT Deviation = 4.58ppm
Search WEB for skeleton |
|
![]()
|
|
|
Structure Proposal # 5140 XACMKVYDSCCQBO Deviation = 4.58ppm
Search WEB for skeleton |
|
![]()
|
|
|
Structure Proposal # 5141 GFLVAZPQXANXEN Deviation = 4.58ppm
Search WEB for skeleton |
|
![]()
|
|
|
Structure Proposal # 5142 FGJBWYTYQZJTCE Deviation = 4.58ppm
Search WEB for skeleton |
|
![]()
|
|
|
Structure Proposal # 5143 SMHHYDMGUZNENK Deviation = 4.58ppm
Search WEB for skeleton |
|
![]()
|
|
|
Structure Proposal # 5144 LCLFIGLUETUZEQ Deviation = 4.58ppm
Search WEB for skeleton |
|
![]()
|
|
|
Structure Proposal # 5145 WAXKECSLWWHLEN Deviation = 4.59ppm
Search WEB for skeleton |
|
![]()
|
|
|
Structure Proposal # 5146 DYRDUJWSXXINHI Deviation = 4.59ppm
Search WEB for skeleton respect to your proposal |
|
![]()
|
|
|
Structure Proposal # 5147 HUJANMQZANIODW Deviation = 4.59ppm
Search WEB for skeleton |
|
![]()
|
|
|
Structure Proposal # 5148 IDGDWMMENPIQMX Deviation = 4.59ppm
Search WEB for skeleton |
|
![]()
|
|
|
Structure Proposal # 5149 MIQZFOTVRRQHQE Deviation = 4.59ppm
Search WEB for skeleton |
|
![]()
|
|
|
Structure Proposal # 5150 KANXSNYKSTVKKA Deviation = 4.59ppm
Search WEB for skeleton |
|
![]()
|
|
|
Structure Proposal # 5151 WFXMIIVMOCSGQR Deviation = 4.59ppm
Search WEB for skeleton |
|
![]()
|
|
|
Structure Proposal # 5152 CKSDDLKKMGEQNY Deviation = 4.59ppm
Search WEB for skeleton |
|
![]()
|
|
|
Structure Proposal # 5153 NBYPUCVFHPROJG Deviation = 4.59ppm
Search WEB for skeleton |
|
![]()
|
|
|
Structure Proposal # 5154 NLIIDUXOCPGYDL Deviation = 4.60ppm
Search WEB for skeleton |
|
![]()
|
|
|
Structure Proposal # 5155 SGNVWVGKBKWYDP Deviation = 4.60ppm
Search WEB for skeleton |
|
![]()
|
|
|
Structure Proposal # 5156 WSJBDKRDIDMATB Deviation = 4.60ppm
Search WEB for skeleton |
|
![]()
|
|
|
Structure Proposal # 5157 HIJAUFANFBZPOV Deviation = 4.60ppm
Search WEB for skeleton |
|
![]()
|
|
|
Structure Proposal # 5158 FEGORZJYTVAOSI Deviation = 4.60ppm
Search WEB for skeleton |
|
![]()
|
|
|
Structure Proposal # 5159 PBOPPNCWNWZWOZ Deviation = 4.60ppm
Search WEB for skeleton |
|
![]()
|
|
|
Structure Proposal # 5160 KKUILWGWHFMPNV Deviation = 4.60ppm
Search WEB for skeleton respect to your proposal |
|
![]()
|
|
|
Structure Proposal # 5161 XLKQKCRKPUPAOB Deviation = 4.60ppm
Search WEB for skeleton |
|
![]()
|
|
|
Structure Proposal # 5162 NCBDOPCLFJIOKN Deviation = 4.60ppm
Search WEB for skeleton |
|
![]()
|
|
|
Structure Proposal # 5163 HFSVIDXSZMQLNW Deviation = 4.60ppm
Search WEB for skeleton |
|
![]()
|
|
|
Structure Proposal # 5164 ASNKHQKHBIMMLW Deviation = 4.60ppm
Search WEB for skeleton |
|
![]()
|
|
|
Structure Proposal # 5165 QFKLBPVCAUQMDH Deviation = 4.60ppm
Search WEB for skeleton respect to your proposal |
|
![]()
|
|
|
Structure Proposal # 5166 FTUHXAUAAYTQDP Deviation = 4.61ppm
Search WEB for skeleton |
|
![]()
|
|
|
Structure Proposal # 5167 BKEGQVBSCVXHHS Deviation = 4.61ppm
Search WEB for skeleton |
|
![]()
|
|
|
Structure Proposal # 5168 FNAVFFIAWIHSLU Deviation = 4.61ppm
Search WEB for skeleton respect to your proposal |
|
![]()
|
|
|
Structure Proposal # 5169 GNROBZZRCAWVRB Deviation = 4.61ppm
Search WEB for skeleton |
|
![]()
|
|
|
Structure Proposal # 5170 SRYTXOUBTDKFKN Deviation = 4.61ppm
Search WEB for skeleton |
|
![]()
|
|
|
Structure Proposal # 5171 CMXPGUUZSNCAAW Deviation = 4.61ppm
Search WEB for skeleton |
|
![]()
|
|
|
Structure Proposal # 5172 FAESOWYBDFHMPM Deviation = 4.61ppm
Search WEB for skeleton |
|
![]()
|
|
|
Structure Proposal # 5173 YPLHFBPUNLFFAD Deviation = 4.61ppm
Search WEB for skeleton |
|
![]()
|
|
|
Structure Proposal # 5174 XMMKEJHAMQILNS Deviation = 4.61ppm
Search WEB for skeleton |
|
![]()
|
|
|
Structure Proposal # 5175 NLLRFXDSCXDVSL Deviation = 4.61ppm
Search WEB for skeleton respect to your proposal |
|
![]()
|
|
|
Structure Proposal # 5176 VOUGNYPLDMUICL Deviation = 4.61ppm
Search WEB for skeleton |
|
![]()
|
|
|
Structure Proposal # 5177 JBTIAVOBSCPZSX Deviation = 4.62ppm
Search WEB for skeleton respect to your proposal |
|
![]()
|
|
|
Structure Proposal # 5178 HFFYFUPGCMJGCF Deviation = 4.62ppm
Search WEB for skeleton |
|
![]()
|
|
|
Structure Proposal # 5179 UZLCHAWFAVBBQA Deviation = 4.62ppm
Search WEB for skeleton |
|
![]()
|
|
|
Structure Proposal # 5180 GHFKNVYZAUEFIP Deviation = 4.62ppm
Search WEB for skeleton |
|
![]()
|
|
|
Structure Proposal # 5181 HOCMUCMTNMOZMP Deviation = 4.62ppm
Search WEB for skeleton |
|
![]()
|
|
|
Structure Proposal # 5182 MGNSHFAWOLFIDA Deviation = 4.62ppm
Search WEB for skeleton |
|
![]()
|
|
|
Structure Proposal # 5183 XQMWAILWYAODDB Deviation = 4.63ppm
Search WEB for skeleton |
|
![]()
|
|
|
Structure Proposal # 5184 AZJHBAAUDALHKX Deviation = 4.63ppm
Search WEB for skeleton respect to your proposal |
|
![]()
|
|
|
Structure Proposal # 5185 OLVRZNQPPZMYBI Deviation = 4.63ppm
Search WEB for skeleton respect to your proposal |
|
![]()
|
|
|
Structure Proposal # 5186 IYYZHBHFAHDTET Deviation = 4.63ppm
Search WEB for skeleton respect to your proposal |
|
![]()
|
|
|
Structure Proposal # 5187 KJHMFGWUJSRNMH Deviation = 4.63ppm
Search WEB for skeleton |
|
![]()
|
|
|
Structure Proposal # 5188 AQDOWBVGWNFDLS Deviation = 4.63ppm
Search WEB for skeleton |
|
![]()
|
|
|
Structure Proposal # 5189 UFZYBTLPMAUAPD Deviation = 4.63ppm
Search WEB for skeleton |
|
![]()
|
|
|
Structure Proposal # 5190 KLPZKMIBHBTARG Deviation = 4.63ppm
Search WEB for skeleton |
|
![]()
|
|
|
Structure Proposal # 5191 HCNHVNSGLGNMOG Deviation = 4.63ppm
Search WEB for skeleton |
|
![]()
|
|
|
Structure Proposal # 5192 FOBXBUOXMYXBJE Deviation = 4.63ppm
Search WEB for skeleton |
|
![]()
|
|
|
Structure Proposal # 5193 IFRZOFRAEFJNPV Deviation = 4.63ppm
Search WEB for skeleton |
|
![]()
|
|
|
Structure Proposal # 5194 MQOVYEDDEBSRGS Deviation = 4.64ppm
Search WEB for skeleton |
|
![]()
|
|
|
Structure Proposal # 5195 ZJNSGKVQCCMSRP Deviation = 4.64ppm
Search WEB for skeleton |
|
![]()
|
|
|
Structure Proposal # 5196 SZMUBFLAUJYQII Deviation = 4.64ppm
Search WEB for skeleton |
|
![]()
|
|
|
Structure Proposal # 5197 NQAVISVOGSRCCQ Deviation = 4.64ppm
Search WEB for skeleton |
|
![]()
|
|
|
Structure Proposal # 5198 CAHALZVGASSMFE Deviation = 4.64ppm
Search WEB for skeleton |
|
![]()
|
|
|
Structure Proposal # 5199 JAMGAOITMYEBNQ Deviation = 4.64ppm
Search WEB for skeleton respect to your proposal |
|
![]()
|
|
|
Structure Proposal # 5200 PDLUBTASMHCWBH Deviation = 4.64ppm
Search WEB for skeleton respect to your proposal |
|
![]()
|
|
|
Structure Proposal # 5201 ZSOIJJSZGQTAHF Deviation = 4.64ppm
Search WEB for skeleton |
|
![]()
|
|
|
Structure Proposal # 5202 NFZGRTVBXRDKFN Deviation = 4.65ppm
Search WEB for skeleton |
|
![]()
|
|
|
Structure Proposal # 5203 RAZIFAUHWBHKFD Deviation = 4.65ppm
Search WEB for skeleton |
|
![]()
|
|
|
Structure Proposal # 5204 ZQVUDHDWFZCQIU Deviation = 4.65ppm
Search WEB for skeleton |
|
![]()
|
|
|
Structure Proposal # 5205 LKLRTRKBQZHFKW Deviation = 4.65ppm
Search WEB for skeleton |
|
![]()
|
|
|
Structure Proposal # 5206 IBVGVCXEVUMYJJ Deviation = 4.65ppm
Search WEB for skeleton |
|
![]()
|
|
|
Structure Proposal # 5207 IYIVQGFFXAAFJG Deviation = 4.65ppm
Search WEB for skeleton respect to your proposal |
|
![]()
|
|
|
Structure Proposal # 5208 MCGGLICXZSDGHL Deviation = 4.65ppm
Search WEB for skeleton |
|
![]()
|
|
|
Structure Proposal # 5209 CJRZKSANPZIUCN Deviation = 4.66ppm
Search WEB for skeleton |
|
![]()
|
|
|
Structure Proposal # 5210 DXTSNRVEDFGSLV Deviation = 4.66ppm
Search WEB for skeleton |
|
![]()
|
|
|
Structure Proposal # 5211 QXDJVWDTSCYVBH Deviation = 4.66ppm
Search WEB for skeleton |
|
![]()
|
|
|
Structure Proposal # 5212 FDQCHJRBTRUYIJ Deviation = 4.66ppm
Search WEB for skeleton respect to your proposal |
|
![]()
|
|
|
Structure Proposal # 5213 PFZFBKCLTMWOQP Deviation = 4.66ppm
Search WEB for skeleton |
|
![]()
|
|
|
Structure Proposal # 5214 OELJRDQBEXEMSR Deviation = 4.66ppm
Search WEB for skeleton |
|
![]()
|
|
|
Structure Proposal # 5215 KPYKCQZQARYIPW Deviation = 4.66ppm
Search WEB for skeleton |
|
![]()
|
|
|
Structure Proposal # 5216 DWJPFADKWFUQCD Deviation = 4.66ppm
Search WEB for skeleton |
|
![]()
|
|
|
Structure Proposal # 5217 IDDRSBYWXZDHCU Deviation = 4.66ppm
Search WEB for skeleton |
|
![]()
|
|
|
Structure Proposal # 5218 ZOTQVNJKTMPLHK Deviation = 4.66ppm
Search WEB for skeleton |
|
![]()
|
|
|
Structure Proposal # 5219 BUYGOBZOSQWBNH Deviation = 4.66ppm
Search WEB for skeleton |
|
![]()
|
|
|
Structure Proposal # 5220 PTVBXNOCRDQGEC Deviation = 4.66ppm
Search WEB for skeleton |
|
![]()
|
|
|
Structure Proposal # 5221 BRTQMFZMERDAHR Deviation = 4.66ppm
Search WEB for skeleton |
|
![]()
|
|
|
Structure Proposal # 5222 NYUUPBPFOIZAHY Deviation = 4.67ppm
Search WEB for skeleton |
|
![]()
|
|
|
Structure Proposal # 5223 RBZMCHMJWBIERZ Deviation = 4.67ppm
Search WEB for skeleton |
|
![]()
|
|
|
Structure Proposal # 5224 KTGOYUBZQDLODG Deviation = 4.67ppm
Search WEB for skeleton |
|
![]()
|
|
|
Structure Proposal # 5225 MVAPWCCXCRKUDV Deviation = 4.67ppm
Search WEB for skeleton |
|
![]()
|
|
|
Structure Proposal # 5226 URKNQLVOYMECCV Deviation = 4.68ppm
Search WEB for skeleton |
|
![]()
|
|
|
Structure Proposal # 5227 REMIEDIXQHWAHE Deviation = 4.68ppm
Search WEB for skeleton respect to your proposal |
|
![]()
|
|
|
Structure Proposal # 5228 WSGKJRFTSKTGTR Deviation = 4.68ppm
Search WEB for skeleton |
|
![]()
|
|
|
Structure Proposal # 5229 ZOSURRKMPSGXFV Deviation = 4.68ppm
Search WEB for skeleton |
|
![]()
|
|
|
Structure Proposal # 5230 KBPQEQPJRXQQEM Deviation = 4.68ppm
Search WEB for skeleton |
|
![]()
|
|
|
Structure Proposal # 5231 IMGURIYEBNWXNK Deviation = 4.68ppm
Search WEB for skeleton |
|
![]()
|
|
|
Structure Proposal # 5232 GPLFBGZHLDFYFF Deviation = 4.68ppm
Search WEB for skeleton |
|
![]()
|
|
|
Structure Proposal # 5233 MTFNWOZINFOMGE Deviation = 4.68ppm
Search WEB for skeleton |
|
![]()
|
|
|
Structure Proposal # 5234 WOFBHJLTULVDLK Deviation = 4.68ppm
Search WEB for skeleton |
|
![]()
|
|
|
Structure Proposal # 5235 XMWMSZCLWDLIOJ Deviation = 4.68ppm
Search WEB for skeleton |
|
![]()
|
|
|
Structure Proposal # 5236 XKPHCSILMSRMDY Deviation = 4.69ppm
Search WEB for skeleton respect to your proposal |
|
![]()
|
|
|
Structure Proposal # 5237 FZYADLISCLEOMR Deviation = 4.69ppm
Search WEB for skeleton respect to your proposal |
|
![]()
|
|
|
Structure Proposal # 5238 BBGMABOYHCNGQF Deviation = 4.69ppm
Search WEB for skeleton |
|
![]()
|
|
|
Structure Proposal # 5239 UCJVOJKFYAPXDO Deviation = 4.69ppm
Search WEB for skeleton respect to your proposal |
|
![]()
|
|
|
Structure Proposal # 5240 SJCDYLGAZVQRMZ Deviation = 4.69ppm
Search WEB for skeleton respect to your proposal |
|
![]()
|
|
|
Structure Proposal # 5241 SYFPYMUSGZOXKV Deviation = 4.69ppm
Search WEB for skeleton respect to your proposal |
|
![]()
|
|
|
Structure Proposal # 5242 XVLUECAEHPVGSS Deviation = 4.69ppm
Search WEB for skeleton |
|
![]()
|
|
|
Structure Proposal # 5243 ZBROCRGYYVKMSI Deviation = 4.69ppm
Search WEB for skeleton |
|
![]()
|
|
|
Structure Proposal # 5244 ICQLTWYPROWNRZ Deviation = 4.70ppm
Search WEB for skeleton |
|
![]()
|
|
|
Structure Proposal # 5245 WVPBZPOPVOKSCQ Deviation = 4.70ppm
Search WEB for skeleton respect to your proposal |
|
![]()
|
|
|
Structure Proposal # 5246 LGEOMFIYQSSLKX Deviation = 4.70ppm
Search WEB for skeleton respect to your proposal |
|
![]()
|
|
|
Structure Proposal # 5247 AAPKPKKOBJHFSR Deviation = 4.70ppm
Search WEB for skeleton |
|
![]()
|
|
|
Structure Proposal # 5248 KDEZYPWMDORWLV Deviation = 4.70ppm
Search WEB for skeleton |
|
![]()
|
|
|
Structure Proposal # 5249 AXAJDVYTMPBSNB Deviation = 4.70ppm
Search WEB for skeleton |
|
![]()
|
|
|
Structure Proposal # 5250 LVECJSOCPYGMEA Deviation = 4.70ppm
Search WEB for skeleton |
|
![]()
|
|
|
Structure Proposal # 5251 OHZIDJCRKIDFSN Deviation = 4.70ppm
Search WEB for skeleton respect to your proposal |
|
![]()
|
|
|
Structure Proposal # 5252 JDQPBYUCKJUILF Deviation = 4.70ppm
Search WEB for skeleton |
|
![]()
|
|
|
Structure Proposal # 5253 KBCOAYRWVKFHMJ Deviation = 4.70ppm
Search WEB for skeleton |
|
![]()
|
|
|
Structure Proposal # 5254 HWUHNVKBUHZZGY Deviation = 4.70ppm
Search WEB for skeleton |
|
![]()
|
|
|
Structure Proposal # 5255 JZODTIJOGQLYBB Deviation = 4.70ppm
Search WEB for skeleton |
|
![]()
|
|
|
Structure Proposal # 5256 HGPDDNNQVQHRHL Deviation = 4.71ppm
Search WEB for skeleton |
|
![]()
|
|
|
Structure Proposal # 5257 NHYQJJYRPCURQS Deviation = 4.71ppm
Search WEB for skeleton |
|
![]()
|
|
|
Structure Proposal # 5258 PTYXMOBKTKHUJU Deviation = 4.71ppm
Search WEB for skeleton |
|
![]()
|
|
|
Structure Proposal # 5259 GPOXWFLJKMPOGZ Deviation = 4.71ppm
Search WEB for skeleton respect to your proposal |
|
![]()
|
|
|
Structure Proposal # 5260 LOPARPODWHXFRJ Deviation = 4.71ppm
Search WEB for skeleton respect to your proposal |
|
![]()
|
|
|
Structure Proposal # 5261 XMNOQWPCSZCZOX Deviation = 4.71ppm
Search WEB for skeleton respect to your proposal |
|
![]()
|
|
|
Structure Proposal # 5262 UZPUTYLLAJSGLK Deviation = 4.71ppm
Search WEB for skeleton |
|
![]()
|
|
|
Structure Proposal # 5263 VGHGFDSVSYNEQY Deviation = 4.71ppm
Search WEB for skeleton |
|
![]()
|
|
|
Structure Proposal # 5264 GJPKCJAJNABGHZ Deviation = 4.71ppm
Search WEB for skeleton respect to your proposal |
|
![]()
|
|
|
Structure Proposal # 5265 VVIPCDOETKAMGV Deviation = 4.71ppm
Search WEB for skeleton |
|
![]()
|
|
|
Structure Proposal # 5266 BWWFISBSQQKWQZ Deviation = 4.71ppm
Search WEB for skeleton respect to your proposal |
|
![]()
|
|
|
Structure Proposal # 5267 RSKHIKWOAQQWOG Deviation = 4.71ppm
Search WEB for skeleton |
|
![]()
|
|
|
Structure Proposal # 5268 KUUGHCKBVTXQPC Deviation = 4.71ppm
Search WEB for skeleton |
|
![]()
|
|
|
Structure Proposal # 5269 PGVGSGBTWSPXRP Deviation = 4.71ppm
Search WEB for skeleton respect to your proposal |
|
![]()
|
|
|
Structure Proposal # 5270 BARBLWBVPRFFTF Deviation = 4.71ppm
Search WEB for skeleton |
|
![]()
|
|
|
Structure Proposal # 5271 AJJJCUXBLBRXAO Deviation = 4.72ppm
Search WEB for skeleton |
|
![]()
|
|
|
Structure Proposal # 5272 UBMHQJJSEJFDIF Deviation = 4.72ppm
Search WEB for skeleton |
|
![]()
|
|
|
Structure Proposal # 5273 CENNAFJZANKBSV Deviation = 4.72ppm
Search WEB for skeleton |
|
![]()
|
|
|
Structure Proposal # 5274 NMAVTLNECCRIKT Deviation = 4.72ppm
Search WEB for skeleton respect to your proposal |
|
![]()
|
|
|
Structure Proposal # 5275 ZFFMHRJLPNPUSO Deviation = 4.72ppm
Search WEB for skeleton respect to your proposal |
|
![]()
|
|
|
Structure Proposal # 5276 GPABYMUKJWMNKY Deviation = 4.72ppm
Search WEB for skeleton |
|
![]()
|
|
|
Structure Proposal # 5277 VLRGIVVQNFFUHA Deviation = 4.72ppm
Search WEB for skeleton |
|
![]()
|
|
|
Structure Proposal # 5278 WNAGCEFTLFGZJC Deviation = 4.72ppm
Search WEB for skeleton |
|
![]()
|
|
|
Structure Proposal # 5279 NJVXCFZFMJXPDS Deviation = 4.72ppm
Search WEB for skeleton |
|
![]()
|
|
|
Structure Proposal # 5280 YJIWXVCOKMKFHN Deviation = 4.72ppm
Search WEB for skeleton |
|
![]()
|
|
|
Structure Proposal # 5281 BYVUJSVGBOVJDM Deviation = 4.72ppm
Search WEB for skeleton |
|
![]()
|
|
|
Structure Proposal # 5282 ZUIMYXQRPYNJLM Deviation = 4.73ppm
Search WEB for skeleton respect to your proposal |
|
![]()
|
|
|
Structure Proposal # 5283 CXLLYESBNNMRMW Deviation = 4.73ppm
Search WEB for skeleton |
|
![]()
|
|
|
Structure Proposal # 5284 PEOGLEXUSHVPFS Deviation = 4.73ppm
Search WEB for skeleton |
|
![]()
|
|
|
Structure Proposal # 5285 UHUMTNPJFYSQHK Deviation = 4.73ppm
Search WEB for skeleton |
|
![]()
|
|
|
Structure Proposal # 5286 BOFPBFOVXQGZAM Deviation = 4.73ppm
Search WEB for skeleton |
|
![]()
|
|
|
Structure Proposal # 5287 OMKGHWTZJYNFLW Deviation = 4.73ppm
Search WEB for skeleton |
|
![]()
|
|
|
Structure Proposal # 5288 ZMGUGBIVKLXLFC Deviation = 4.73ppm
Search WEB for skeleton |
|
![]()
|
|
|
Structure Proposal # 5289 ODAVNDWNWYBHHX Deviation = 4.73ppm
Search WEB for skeleton |
|
![]()
|
|
|
Structure Proposal # 5290 IGFOSSQZAACMMB Deviation = 4.73ppm
Search WEB for skeleton |
|
![]()
|
|
|
Structure Proposal # 5291 RSOVBMYEVHIGEQ Deviation = 4.73ppm
Search WEB for skeleton |
|
![]()
|
|
|
Structure Proposal # 5292 ATKRVKLXQHTUNO Deviation = 4.74ppm
Search WEB for skeleton |
|
![]()
|
|
|
Structure Proposal # 5293 AMWBXBGVRWBLDB Deviation = 4.74ppm
Search WEB for skeleton |
|
![]()
|
|
|
Structure Proposal # 5294 VGSNEOCMUBTGCN Deviation = 4.74ppm
Search WEB for skeleton |
|
![]()
|
|
|
Structure Proposal # 5295 WTGJZZINLASXLN Deviation = 4.74ppm
Search WEB for skeleton |
|
![]()
|
|
|
Structure Proposal # 5296 UTOJZGWDVDEMKU Deviation = 4.75ppm
Search WEB for skeleton |
|
![]()
|
|
|
Structure Proposal # 5297 IXZXLHJURFWTME Deviation = 4.75ppm
Search WEB for skeleton respect to your proposal |
|
![]()
|
|
|
Structure Proposal # 5298 CQYLNFRLZQNLQH Deviation = 4.75ppm
Search WEB for skeleton |
|
![]()
|
|
|
Structure Proposal # 5299 FLCYMZZCTCMRJJ Deviation = 4.75ppm
Search WEB for skeleton |
|
![]()
|
|
|
Structure Proposal # 5300 SMAWVIVKAFDDJH Deviation = 4.76ppm
Search WEB for skeleton |
|
![]()
|
|
|
Structure Proposal # 5301 JLOQQDKUABJMNF Deviation = 4.76ppm
Search WEB for skeleton |
|
![]()
|
|
|
Structure Proposal # 5302 JPFKIYYNOBNIKE Deviation = 4.77ppm
Search WEB for skeleton |
|
![]()
|
|
|
Structure Proposal # 5303 JEFKMYYMPNXYJJ Deviation = 4.77ppm
Search WEB for skeleton |
|
![]()
|
|
|
Structure Proposal # 5304 BHKKZPRXGFJLDT Deviation = 4.77ppm
Search WEB for skeleton |
|
![]()
|
|
|
Structure Proposal # 5305 QZSMISWDXKNIPR Deviation = 4.77ppm
Search WEB for skeleton respect to your proposal |
|
![]()
|
|
|
Structure Proposal # 5306 QITYOZLSZMGFPX Deviation = 4.77ppm
Search WEB for skeleton |
|
![]()
|
|
|
Structure Proposal # 5307 QPAFZEASZHMJJQ Deviation = 4.77ppm
Search WEB for skeleton respect to your proposal |
|
![]()
|
|
|
Structure Proposal # 5308 BDEKFTLUTJWARG Deviation = 4.77ppm
Search WEB for skeleton |
|
![]()
|
|
|
Structure Proposal # 5309 HFVFUODPJVUJTP Deviation = 4.78ppm
Search WEB for skeleton |
|
![]()
|
|
|
Structure Proposal # 5310 KRYRACUKXHQMHM Deviation = 4.78ppm
Search WEB for skeleton |
|
![]()
|
|
|
Structure Proposal # 5311 PYWGOOSMIVMSGX Deviation = 4.78ppm
Search WEB for skeleton |
|
![]()
|
|
|
Structure Proposal # 5312 BZCNCFNLFZBXQW Deviation = 4.78ppm
Search WEB for skeleton respect to your proposal |
|
![]()
|
|
|
Structure Proposal # 5313 IDCANFYZSBSAOD Deviation = 4.78ppm
Search WEB for skeleton respect to your proposal |
|
![]()
|
|
|
Structure Proposal # 5314 XHLVOQNPOOZWNJ Deviation = 4.79ppm
Search WEB for skeleton respect to your proposal |
|
![]()
|
|
|
Structure Proposal # 5315 BLDARQLAOKYTNC Deviation = 4.79ppm
Search WEB for skeleton |
|
![]()
|
|
|
Structure Proposal # 5316 AQSWJAOTMRBVHB Deviation = 4.79ppm
Search WEB for skeleton |
|
![]()
|
|
|
Structure Proposal # 5317 KQCZWUPUNGNPQX Deviation = 4.79ppm
Search WEB for skeleton |
|
![]()
|
|
|
Structure Proposal # 5318 ANAKDQWIBZUIBL Deviation = 4.80ppm
Search WEB for skeleton |
|
![]()
|
|
|
Structure Proposal # 5319 STPGVICAUFYAAL Deviation = 4.80ppm
Search WEB for skeleton respect to your proposal |
|
![]()
|
|
|
Structure Proposal # 5320 OAVTXWSUTYOLPT Deviation = 4.80ppm
Search WEB for skeleton |
|
![]()
|
|
|
Structure Proposal # 5321 TUWXIOSHWUXJIB Deviation = 4.80ppm
Search WEB for skeleton respect to your proposal |
|
![]()
|
|
|
Structure Proposal # 5322 YTEPOMSIGMBXMM Deviation = 4.80ppm
Search WEB for skeleton |
|
![]()
|
|
|
Structure Proposal # 5323 JLPMUJQYQXWYOK Deviation = 4.80ppm
Search WEB for skeleton |
|
![]()
|
|
|
Structure Proposal # 5324 KUECEAWWHOBOLO Deviation = 4.80ppm
Search WEB for skeleton |
|
![]()
|
|
|
Structure Proposal # 5325 IBXRNPMWPQWTMS Deviation = 4.81ppm
Search WEB for skeleton |
|
![]()
|
|
|
Structure Proposal # 5326 BLWVNDXVTIXFAW Deviation = 4.81ppm
Search WEB for skeleton |
|
![]()
|
|
|
Structure Proposal # 5327 IGMIROLAFNKUHT Deviation = 4.81ppm
Search WEB for skeleton |
|
![]()
|
|
|
Structure Proposal # 5328 GZFUBNGMSJTWNW Deviation = 4.82ppm
Search WEB for skeleton respect to your proposal |
|
![]()
|
|
|
Structure Proposal # 5329 LVUJLVBUELNLKJ Deviation = 4.82ppm
Search WEB for skeleton |
|
![]()
|
|
|
Structure Proposal # 5330 YOKWJNSVNTUOHW Deviation = 4.82ppm
Search WEB for skeleton respect to your proposal |
|
![]()
|
|
|
Structure Proposal # 5331 GDDWGOIHTLQHSA Deviation = 4.82ppm
Search WEB for skeleton respect to your proposal |
|
![]()
|
|
|
Structure Proposal # 5332 MDUNFAHYFJYDLM Deviation = 4.83ppm
Search WEB for skeleton |
|
![]()
|
|
|
Structure Proposal # 5333 FITYFVNQIAXQJL Deviation = 4.83ppm
Search WEB for skeleton |
|
![]()
|
|
|
Structure Proposal # 5334 INTDANPVNZSRTK Deviation = 4.83ppm
Search WEB for skeleton |
|
![]()
|
|
|
Structure Proposal # 5335 FHPGQFDSCISVDC Deviation = 4.83ppm
Search WEB for skeleton |
|
![]()
|
|
|
Structure Proposal # 5336 SSELJWISVSZLML Deviation = 4.83ppm
Search WEB for skeleton respect to your proposal |
|
![]()
|
|
|
Structure Proposal # 5337 PTLACJAUAFCBGW Deviation = 4.83ppm
Search WEB for skeleton |
|
![]()
|
|
|
Structure Proposal # 5338 VILUMXKAKCAEAZ Deviation = 4.83ppm
Search WEB for skeleton |
|
![]()
|
|
|
Structure Proposal # 5339 UADYKOGSPSZVFJ Deviation = 4.83ppm
Search WEB for skeleton |
|
![]()
|
|
|
Structure Proposal # 5340 GWMKKMBOVMFBBT Deviation = 4.83ppm
Search WEB for skeleton |
|
![]()
|
|
|
Structure Proposal # 5341 PBUFARWIDVMMPE Deviation = 4.84ppm
Search WEB for skeleton |
|
![]()
|
|
|
Structure Proposal # 5342 UJJGAKJKAAVOSY Deviation = 4.84ppm
Search WEB for skeleton |
|
![]()
|
|
|
Structure Proposal # 5343 VHTOKSXXADYARR Deviation = 4.84ppm
Search WEB for skeleton |
|
![]()
|
|
|
Structure Proposal # 5344 WJLGSQVOGDUUPM Deviation = 4.84ppm
Search WEB for skeleton |
|
![]()
|
|
|
Structure Proposal # 5345 QHIBAAAGTISMRB Deviation = 4.84ppm
Search WEB for skeleton |
|
![]()
|
|
|
Structure Proposal # 5346 PMRQZMOQGFYXQA Deviation = 4.84ppm
Search WEB for skeleton |
|
![]()
|
|
|
Structure Proposal # 5347 IAPDBAUIXSHPOT Deviation = 4.84ppm
Search WEB for skeleton |
|
![]()
|
|
|
Structure Proposal # 5348 ZDOMXJVIYIQNTI Deviation = 4.84ppm
Search WEB for skeleton |
|
![]()
|
|
|
Structure Proposal # 5349 GSXQQWFGNDMJBD Deviation = 4.85ppm
Search WEB for skeleton |
|
![]()
|
|
|
Structure Proposal # 5350 NKKKQBXCNTWBAT Deviation = 4.85ppm
Search WEB for skeleton |
|
![]()
|
|
|
Structure Proposal # 5351 QYFRCDODVCTJBQ Deviation = 4.85ppm
Search WEB for skeleton respect to your proposal |
|
![]()
|
|
|
Structure Proposal # 5352 SRVKKQNGJJIZJC Deviation = 4.85ppm
Search WEB for skeleton |
|
![]()
|
|
|
Structure Proposal # 5353 FMMODOAHPJDSAY Deviation = 4.85ppm
Search WEB for skeleton respect to your proposal |
|
![]()
|
|
|
Structure Proposal # 5354 WZHPTGLTFQFPRS Deviation = 4.86ppm
Search WEB for skeleton |
|
![]()
|
|
|
Structure Proposal # 5355 SYTZUUXZAPCMTE Deviation = 4.86ppm
Search WEB for skeleton |
|
![]()
|
|
|
Structure Proposal # 5356 OLLMPXAWTHPCEF Deviation = 4.86ppm
Search WEB for skeleton respect to your proposal |
|
![]()
|
|
|
Structure Proposal # 5357 JXRNNXXFXYPQKW Deviation = 4.87ppm
Search WEB for skeleton |
|
![]()
|
|
|
Structure Proposal # 5358 POSQREGSPRBVJP Deviation = 4.87ppm
Search WEB for skeleton |
|
![]()
|
|
|
Structure Proposal # 5359 OIYPHVKONDYGOI Deviation = 4.87ppm
Search WEB for skeleton |
|
![]()
|
|
|
Structure Proposal # 5360 YVZFQORNDGGRSS Deviation = 4.87ppm
Search WEB for skeleton |
|
![]()
|
|
|
Structure Proposal # 5361 VWTQIWMZPCZRDB Deviation = 4.87ppm
Search WEB for skeleton respect to your proposal |
|
![]()
|
|
|
Structure Proposal # 5362 NOLGGRASQQRKGR Deviation = 4.87ppm
Search WEB for skeleton respect to your proposal |
|
![]()
|
|
|
Structure Proposal # 5363 LNQITJBCFUWMJK Deviation = 4.87ppm
Search WEB for skeleton |
|
![]()
|
|
|
Structure Proposal # 5364 OZFMQNNEYLORCU Deviation = 4.88ppm
Search WEB for skeleton respect to your proposal |
|
![]()
|
|
|
Structure Proposal # 5365 XBLLGDJEADWBAN Deviation = 4.88ppm
Search WEB for skeleton |
|
![]()
|
|
|
Structure Proposal # 5366 SWVCLCPKXWJRQE Deviation = 4.88ppm
Search WEB for skeleton |
|
![]()
|
|
|
Structure Proposal # 5367 AUQVYBSUJDXBMZ Deviation = 4.88ppm
Search WEB for skeleton respect to your proposal |
|
![]()
|
|
|
Structure Proposal # 5368 ZYJPPIQNCHKCNT Deviation = 4.89ppm
Search WEB for skeleton |
|
![]()
|
|
|
Structure Proposal # 5369 NNAFCLZFWZJASG Deviation = 4.89ppm
Search WEB for skeleton |
|
![]()
|
|
|
Structure Proposal # 5370 LANFGIUFXCISTH Deviation = 4.89ppm
Search WEB for skeleton |
|
![]()
|
|
|
Structure Proposal # 5371 TVOXDKZZLFNQOP Deviation = 4.90ppm
Search WEB for skeleton |
|
![]()
|
|
|
Structure Proposal # 5372 RYEUUMHQDKMXJQ Deviation = 4.90ppm
Search WEB for skeleton |
|
![]()
|
|
|
Structure Proposal # 5373 VIHAQSYFBSRPPK Deviation = 4.90ppm
Search WEB for skeleton |
|
![]()
|
|
|
Structure Proposal # 5374 GRJAPRWNQZXHBB Deviation = 4.90ppm
Search WEB for skeleton |
|
![]()
|
|
|
Structure Proposal # 5375 IWASMYLGXAHNIH Deviation = 4.90ppm
Search WEB for skeleton |
|
![]()
|
|
|
Structure Proposal # 5376 NZIFBSXLSAWZDJ Deviation = 4.90ppm
Search WEB for skeleton |
|
![]()
|
|
|
Structure Proposal # 5377 TWZTXFXPNAAESJ Deviation = 4.91ppm
Search WEB for skeleton respect to your proposal |
|
![]()
|
|
|
Structure Proposal # 5378 USWJBHJUIHKLBF Deviation = 4.91ppm
Search WEB for skeleton |
|
![]()
|
|
|
Structure Proposal # 5379 BQQGBCDZTGPSCK Deviation = 4.91ppm
Search WEB for skeleton |
|
![]()
|
|
|
Structure Proposal # 5380 ZLOCKRUOKLIZRU Deviation = 4.91ppm
Search WEB for skeleton |
|
![]()
|
|
|
Structure Proposal # 5381 MNJORRQUSDVWDT Deviation = 4.91ppm
Search WEB for skeleton |
|
![]()
|
|
|
Structure Proposal # 5382 XFIYVIQYAAGQNB Deviation = 4.92ppm
Search WEB for skeleton |
|
![]()
|
|
|
Structure Proposal # 5383 OVAQCKOSQLRVSC Deviation = 4.92ppm
Search WEB for skeleton |
|
![]()
|
|
|
Structure Proposal # 5384 WWZQBYWVUVLIKH Deviation = 4.92ppm
Search WEB for skeleton |
|
![]()
|
|
|
Structure Proposal # 5385 ZHRIFBYWJHPLHB Deviation = 4.92ppm
Search WEB for skeleton |
|
![]()
|
|
|
Structure Proposal # 5386 SPHIKHAFZBPEPL Deviation = 4.92ppm
Search WEB for skeleton respect to your proposal |
|
![]()
|
|
|
Structure Proposal # 5387 CBYFQFSAARCKLG Deviation = 4.92ppm
Search WEB for skeleton |
|
![]()
|
|
|
Structure Proposal # 5388 JVNXADIWNLIDLN Deviation = 4.92ppm
Search WEB for skeleton respect to your proposal |
|
![]()
|
|
|
Structure Proposal # 5389 WPPDPZLZVXCFBT Deviation = 4.93ppm
Search WEB for skeleton |
|
![]()
|
|
|
Structure Proposal # 5390 BVSKTOISBRGDNG Deviation = 4.93ppm
Search WEB for skeleton respect to your proposal |
|
![]()
|
|
|
Structure Proposal # 5391 CUTBROUDPGRFRY Deviation = 4.93ppm
Search WEB for skeleton |
|
![]()
|
|
|
Structure Proposal # 5392 OWBUOCISPBIHMU Deviation = 4.93ppm
Search WEB for skeleton |
|
![]()
|
|
|
Structure Proposal # 5393 DKDXXMAPVMGFSL Deviation = 4.93ppm
Search WEB for skeleton respect to your proposal |
|
![]()
|
|
|
Structure Proposal # 5394 WMDONMWEURLQQJ Deviation = 4.93ppm
Search WEB for skeleton |
|
![]()
|
|
|
Structure Proposal # 5395 MZBGRPBSKUXKAD Deviation = 4.93ppm
Search WEB for skeleton respect to your proposal |
|
![]()
|
|
|
Structure Proposal # 5396 TXPRLXHDXTUEOB Deviation = 4.93ppm
Search WEB for skeleton |
|
![]()
|
|
|
Structure Proposal # 5397 GQDDPJMUBGEOHL Deviation = 4.94ppm
Search WEB for skeleton |
|
![]()
|
|
|
Structure Proposal # 5398 UYXNBFHGTGWYEL Deviation = 4.94ppm
Search WEB for skeleton |
|
![]()
|
|
|
Structure Proposal # 5399 MCOVSHAPXZMKBQ Deviation = 4.94ppm
Search WEB for skeleton |
|
![]()
|
|
|
Structure Proposal # 5400 DDVOZLNPCDTYSY Deviation = 4.95ppm
Search WEB for skeleton |
|
![]()
|
|
|
Structure Proposal # 5401 IAIGPRIRWYLWGR Deviation = 4.95ppm
Search WEB for skeleton |
|
![]()
|
|
|
Structure Proposal # 5402 SQKQZIDHLWSYJG Deviation = 4.95ppm
Search WEB for skeleton |
|
![]()
|
|
|
Structure Proposal # 5403 QIIARECSCPVZCI Deviation = 4.96ppm
Search WEB for skeleton |
|
![]()
|
|
|
Structure Proposal # 5404 JFDGOLSDTIAFAB Deviation = 4.96ppm
Search WEB for skeleton |
|
![]()
|
|
|
Structure Proposal # 5405 XYXFQGJLMCSCCY Deviation = 4.96ppm
Search WEB for skeleton |
|
![]()
|
|
|
Structure Proposal # 5406 FTTUDOCNECANRY Deviation = 4.96ppm
Search WEB for skeleton |
|
![]()
|
|
|
Structure Proposal # 5407 YHAKNLFTCSFANH Deviation = 4.97ppm
Search WEB for skeleton |
|
![]()
|
|
|
Structure Proposal # 5408 BXQLGOKUGVVVGS Deviation = 4.97ppm
Search WEB for skeleton |
|
![]()
|
|
|
Structure Proposal # 5409 HNDGAXYNXJDPOK Deviation = 4.98ppm
Search WEB for skeleton respect to your proposal |
|
![]()
|
|
|
Structure Proposal # 5410 CKSLAMRGDAFENP Deviation = 4.98ppm
Search WEB for skeleton |
|
![]()
|
|
|
Structure Proposal # 5411 FHYBIUOYGBKALP Deviation = 4.98ppm
Search WEB for skeleton respect to your proposal |
|
![]()
|
|
|
Structure Proposal # 5412 JZAMAELLILWSJM Deviation = 4.99ppm
Search WEB for skeleton respect to your proposal |
|
![]()
|
|
|
Structure Proposal # 5413 QJMIOUDFDKYJIX Deviation = 4.99ppm
Search WEB for skeleton |
|
![]()
|
|
|
Structure Proposal # 5414 OKPOGPWCUWAFLW Deviation = 4.99ppm
Search WEB for skeleton |
|
![]()
|
|
|
Structure Proposal # 5415 SZNQWRQAQMAAMC Deviation = 5.00ppm
Search WEB for skeleton respect to your proposal |
|
![]()
|
|
|
Structure Proposal # 5416 CXVGANWQKPZTIC Deviation = 5.00ppm
Search WEB for skeleton |
|
![]()
|
|
|
Structure Proposal # 5417 JXODMKZELLQJAD Deviation = 5.00ppm
Search WEB for skeleton respect to your proposal |
|
![]()
|
|
|
Structure Proposal # 5418 GDTDOHJGCCWURH Deviation = 5.00ppm
Search WEB for skeleton |
|
![]()
|
|
|
Structure Proposal # 5419 UGDBVTBTQUAORP Deviation = 5.00ppm
Search WEB for skeleton respect to your proposal |
|
![]()
|
|
|
Structure Proposal # 5420 ZPVOLIFKCGDZLH Deviation = 5.01ppm
Search WEB for skeleton |
|
![]()
|
|
|
Structure Proposal # 5421 ZNVFXDLUMYLTTQ Deviation = 5.02ppm
Search WEB for skeleton |
|
![]()
|
|
|
Structure Proposal # 5422 OJFCDEQRCOWTOT Deviation = 5.02ppm
Search WEB for skeleton respect to your proposal |
|
![]()
|
|
|
Structure Proposal # 5423 UEQJJTNQOYSRPR Deviation = 5.02ppm
Search WEB for skeleton |
|
![]()
|
|
|
Structure Proposal # 5424 IZEABKKGFFCHCP Deviation = 5.03ppm
Search WEB for skeleton |
|
![]()
|
|
|
Structure Proposal # 5425 FKAJUKBQFJERLF Deviation = 5.03ppm
Search WEB for skeleton |
|
![]()
|
|
|
Structure Proposal # 5426 ZYTZYOWMVKTIEA Deviation = 5.03ppm
Search WEB for skeleton |
|
![]()
|
|
|
Structure Proposal # 5427 SIDXNZJDQMCPPR Deviation = 5.03ppm
Search WEB for skeleton respect to your proposal |
|
![]()
|
|
|
Structure Proposal # 5428 URZDPQPSWHQRRY Deviation = 5.04ppm
Search WEB for skeleton |
|
![]()
|
|
|
Structure Proposal # 5429 VXLCWWLPQNTXBA Deviation = 5.04ppm
Search WEB for skeleton respect to your proposal |
|
![]()
|
|
|
Structure Proposal # 5430 UOSYEDRFVDRNTA Deviation = 5.04ppm
Search WEB for skeleton |
|
![]()
|
|
|
Structure Proposal # 5431 BGPFPFZVMFHLGH Deviation = 5.05ppm
Search WEB for skeleton |
|
![]()
|
|
|
Structure Proposal # 5432 AQUVBYJRPASSDC Deviation = 5.05ppm
Search WEB for skeleton |
|
![]()
|
|
|
Structure Proposal # 5433 WDJRWZPHSUQPSH Deviation = 5.05ppm
Search WEB for skeleton |
|
![]()
|
|
|
Structure Proposal # 5434 OVJOYIYPZBJCCD Deviation = 5.05ppm
Search WEB for skeleton respect to your proposal |
|
![]()
|
|
|
Structure Proposal # 5435 USRHMMLQPYKVAM Deviation = 5.06ppm
Search WEB for skeleton respect to your proposal |
|
![]()
|
|
|
Structure Proposal # 5436 OQNDKKXADLIESG Deviation = 5.07ppm
Search WEB for skeleton |
|
![]()
|
|
|
Structure Proposal # 5437 IQLUDXGSGIKBQH Deviation = 5.07ppm
Search WEB for skeleton respect to your proposal |
|
![]()
|
|
|
Structure Proposal # 5438 PTUGUSFAJKXXPI Deviation = 5.08ppm
Search WEB for skeleton |
|
![]()
|
|
|
Structure Proposal # 5439 BOUFWNDOQNVZAO Deviation = 5.08ppm
Search WEB for skeleton respect to your proposal |
|
![]()
|
|
|
Structure Proposal # 5440 UJZCZRGFOUULOB Deviation = 5.08ppm
Search WEB for skeleton |
|
![]()
|
|
|
Structure Proposal # 5441 QKYWFAWAFQTWFK Deviation = 5.08ppm
Search WEB for skeleton |
|
![]()
|
|
|
Structure Proposal # 5442 HQFDPUHRGAMPLV Deviation = 5.08ppm
Search WEB for skeleton |
|
![]()
|
|
|
Structure Proposal # 5443 PJVAMQLPRXVGOH Deviation = 5.08ppm
Search WEB for skeleton |
|
![]()
|
|
|
Structure Proposal # 5444 NVIGDFHDTBXOGZ Deviation = 5.08ppm
Search WEB for skeleton |
|
![]()
|
|
|
Structure Proposal # 5445 PPYIHHSJVIGIPW Deviation = 5.09ppm
Search WEB for skeleton |
|
![]()
|
|
|
Structure Proposal # 5446 PQXVNMHBBSVFJU Deviation = 5.09ppm
Search WEB for skeleton respect to your proposal |
|
![]()
|
|
|
Structure Proposal # 5447 ALEVXEWRKCCKAE Deviation = 5.09ppm
Search WEB for skeleton |
|
![]()
|
|
|
Structure Proposal # 5448 NGVWEPXFMFVCGB Deviation = 5.10ppm
Search WEB for skeleton |
|
![]()
|
|
|
Structure Proposal # 5449 WQOLHVQHOPBCRT Deviation = 5.10ppm
Search WEB for skeleton respect to your proposal |
|
![]()
|
|
|
Structure Proposal # 5450 XIMJPFYAYOXUAD Deviation = 5.10ppm
Search WEB for skeleton respect to your proposal |
|
![]()
|
|
|
Structure Proposal # 5451 HFKFGYLECFIXSP Deviation = 5.11ppm
Search WEB for skeleton |
|
![]()
|
|
|
Structure Proposal # 5452 OHSUIZBAGAKPBQ Deviation = 5.11ppm
Search WEB for skeleton |
|
![]()
|
|
|
Structure Proposal # 5453 UNPNFCQFIRZOBX Deviation = 5.12ppm
Search WEB for skeleton |
|
![]()
|
|
|
Structure Proposal # 5454 VWVUIGYIAHTGLZ Deviation = 5.12ppm
Search WEB for skeleton |
|
![]()
|
|
|
Structure Proposal # 5455 MAPKTVZTCZSBPZ Deviation = 5.12ppm
Search WEB for skeleton |
|
![]()
|
|
|
Structure Proposal # 5456 WOBFCXKZZVUMSH Deviation = 5.13ppm
Search WEB for skeleton |
|
![]()
|
|
|
Structure Proposal # 5457 KGQZOXLCRUWTSD Deviation = 5.13ppm
Search WEB for skeleton |
|
![]()
|
|
|
Structure Proposal # 5458 DJKMTUCAGKVRHR Deviation = 5.13ppm
Search WEB for skeleton respect to your proposal |
|
![]()
|
|
|
Structure Proposal # 5459 WCDYGCBSQXBZFF Deviation = 5.13ppm
Search WEB for skeleton |
|
![]()
|
|
|
Structure Proposal # 5460 YGLOPTPEZHRYMQ Deviation = 5.14ppm
Search WEB for skeleton respect to your proposal |
|
![]()
|
|
|
Structure Proposal # 5461 JXHHIGMQUJCJLZ Deviation = 5.14ppm
Search WEB for skeleton |
|
![]()
|
|
|
Structure Proposal # 5462 NOZTUIQOLJKGLD Deviation = 5.15ppm
Search WEB for skeleton |
|
![]()
|
|
|
Structure Proposal # 5463 MALYSYDGQCOEAP Deviation = 5.15ppm
Search WEB for skeleton |
|
![]()
|
|
|
Structure Proposal # 5464 KQKDOQOOOLJFDO Deviation = 5.15ppm
Search WEB for skeleton |
|
![]()
|
|
|
Structure Proposal # 5465 PORWQDDFCXKGCG Deviation = 5.16ppm
Search WEB for skeleton respect to your proposal |
|
![]()
|
|
|
Structure Proposal # 5466 YAQJPADWZFWFEI Deviation = 5.16ppm
Search WEB for skeleton |
|
![]()
|
|
|
Structure Proposal # 5467 UJKRCJXIVHFWHO Deviation = 5.17ppm
Search WEB for skeleton |
|
![]()
|
|
|
Structure Proposal # 5468 MIRMRMOZLWRRNI Deviation = 5.17ppm
Search WEB for skeleton respect to your proposal |
|
![]()
|
|
|
Structure Proposal # 5469 DIFPJHBPYSFXBH Deviation = 5.18ppm
Search WEB for skeleton |
|
![]()
|
|
|
Structure Proposal # 5470 FPISNXGMSUZXKK Deviation = 5.18ppm
Search WEB for skeleton |
|
![]()
|
|
|
Structure Proposal # 5471 YCALZJNZOIVSAD Deviation = 5.18ppm
Search WEB for skeleton |
|
![]()
|
|
|
Structure Proposal # 5472 YLBXHVRJVRSTBP Deviation = 5.19ppm
Search WEB for skeleton |
|
![]()
|
|
|
Structure Proposal # 5473 BDKHKRJTAOWFDT Deviation = 5.20ppm
Search WEB for skeleton |
|
![]()
|
|
|
Structure Proposal # 5474 RQNMJEKLTAQBPE Deviation = 5.20ppm
Search WEB for skeleton |
|
![]()
|
|
|
Structure Proposal # 5475 QGQCLZCTQKZELQ Deviation = 5.21ppm
Search WEB for skeleton |
|
![]()
|
|
|
Structure Proposal # 5476 NFIVIRCQHNOGRR Deviation = 5.21ppm
Search WEB for skeleton |
|
![]()
|
|
|
Structure Proposal # 5477 OKXFRAQMUQTCEQ Deviation = 5.21ppm
Search WEB for skeleton respect to your proposal |
|
![]()
|
|
|
Structure Proposal # 5478 MNHJSPXDLJWQBJ Deviation = 5.22ppm
Search WEB for skeleton |
|
![]()
|
|
|
Structure Proposal # 5479 FPDAMUUYEWMGAG Deviation = 5.23ppm
Search WEB for skeleton respect to your proposal |
|
![]()
|
|
|
Structure Proposal # 5480 OEHNTWCZTNAYDU Deviation = 5.24ppm
Search WEB for skeleton |
|
![]()
|
|
|
Structure Proposal # 5481 JQEGCOPWQRYRNV Deviation = 5.24ppm
Search WEB for skeleton |
|
![]()
|
|
|
Structure Proposal # 5482 ONSHOUJNISWJOT Deviation = 5.24ppm
Search WEB for skeleton |
|
![]()
|
|
|
Structure Proposal # 5483 KVWIXSQPVFLZFN Deviation = 5.24ppm
Search WEB for skeleton respect to your proposal |
|
![]()
|
|
|
Structure Proposal # 5484 CMSWASAZQXRMGN Deviation = 5.25ppm
Search WEB for skeleton |
|
![]()
|
|
|
Structure Proposal # 5485 KPVNIGKIJSJQRA Deviation = 5.26ppm
Search WEB for skeleton respect to your proposal |
|
![]()
|
|
|
Structure Proposal # 5486 ZAQUCAQMQWONDV Deviation = 5.27ppm
Search WEB for skeleton respect to your proposal |
|
![]()
|
|
|
Structure Proposal # 5487 YGJGRDWZDVXRDA Deviation = 5.27ppm
Search WEB for skeleton |
|
![]()
|
|
|
Structure Proposal # 5488 IQPSZLVYSPYAET Deviation = 5.27ppm
Search WEB for skeleton |
|
![]()
|
|
|
Structure Proposal # 5489 VKNFHHFFCUTJQR Deviation = 5.27ppm
Search WEB for skeleton respect to your proposal |
|
![]()
|
|
|
Structure Proposal # 5490 WARQLBBLTYYJFL Deviation = 5.27ppm
Search WEB for skeleton |
|
![]()
|
|
|
Structure Proposal # 5491 CYTDZLKEWQCKNT Deviation = 5.27ppm
Search WEB for skeleton |
|
![]()
|
|
|
Structure Proposal # 5492 NDOKSNSJAHGMGB Deviation = 5.28ppm
Search WEB for skeleton |
|
![]()
|
|
|
Structure Proposal # 5493 XBQUKBFKMHZWEM Deviation = 5.29ppm
Search WEB for skeleton |
|
![]()
|
|
|
Structure Proposal # 5494 KMJOZFSGNMPRQF Deviation = 5.29ppm
Search WEB for skeleton |
|
![]()
|
|
|
Structure Proposal # 5495 PREFLGQOAULGFV Deviation = 5.29ppm
Search WEB for skeleton respect to your proposal |
|
![]()
|
|
|
Structure Proposal # 5496 PVGFMNWWXJMJLM Deviation = 5.31ppm
Search WEB for skeleton respect to your proposal |
|
![]()
|
|
|
Structure Proposal # 5497 FLPWDAIHBZOTTL Deviation = 5.35ppm
Search WEB for skeleton respect to your proposal |
|
![]()
|
|
|
Structure Proposal # 5498 UDDDAMFXGOWQCI Deviation = 5.35ppm
Search WEB for skeleton respect to your proposal |
|
![]()
|
|
|
Structure Proposal # 5499 TYIGUBYUORUYNL Deviation = 5.35ppm
Search WEB for skeleton |
|
![]()
|
|
|
Structure Proposal # 5500 JPDUMGSXXGQSJQ Deviation = 5.35ppm
Search WEB for skeleton |
|
![]()
|
|
|
Structure Proposal # 5501 FKVYOEDLMQFMNM Deviation = 5.35ppm
Search WEB for skeleton respect to your proposal |
|
![]()
|
|
|
Structure Proposal # 5502 ZVFMVTVJXQUQRX Deviation = 5.35ppm
Search WEB for skeleton respect to your proposal |
|
![]()
|
|
|
Structure Proposal # 5503 GLIMJLZOPJHORM Deviation = 5.36ppm
Search WEB for skeleton respect to your proposal |
|
![]()
|
|
|
Structure Proposal # 5504 FHJBRFLOJAMFTM Deviation = 5.37ppm
Search WEB for skeleton |
|
![]()
|
|
|
Structure Proposal # 5505 UAMIISQTGYGYGV Deviation = 5.37ppm
Search WEB for skeleton respect to your proposal |
|
![]()
|
|
|
Structure Proposal # 5506 ACVQSRAMHYXIOR Deviation = 5.38ppm
Search WEB for skeleton |
|
![]()
|
|
|
Structure Proposal # 5507 KOWYRHJHXNVMIO Deviation = 5.39ppm
Search WEB for skeleton respect to your proposal |
|
![]()
|
|
|
Structure Proposal # 5508 BKUFDWLBKBIQKO Deviation = 5.39ppm
Search WEB for skeleton respect to your proposal |
|
![]()
|
|
|
Structure Proposal # 5509 IPSJSYALSMTABV Deviation = 5.39ppm
Search WEB for skeleton respect to your proposal |
|
![]()
|
|
|
Structure Proposal # 5510 QDBNXOOSQJEUEU Deviation = 5.39ppm
Search WEB for skeleton respect to your proposal |
|
![]()
|
|
|
Structure Proposal # 5511 SOXGKNYUPQIXCJ Deviation = 5.39ppm
Search WEB for skeleton |
|
![]()
|
|
|
Structure Proposal # 5512 STHFTANACYVZST Deviation = 5.40ppm
Search WEB for skeleton respect to your proposal |
|
![]()
|
|
|
Structure Proposal # 5513 NAKCJXFONUGGTE Deviation = 5.40ppm
Search WEB for skeleton respect to your proposal |
|
![]()
|
|
|
Structure Proposal # 5514 YATRCQHWACIMFY Deviation = 5.41ppm
Search WEB for skeleton |
|
![]()
|
|
|
Structure Proposal # 5515 QVMFQZFYHLJRNZ Deviation = 5.42ppm
Search WEB for skeleton respect to your proposal |
|
![]()
|
|
|
Structure Proposal # 5516 YJUYEXICBDINCT Deviation = 5.42ppm
Search WEB for skeleton respect to your proposal |
|
![]()
|
|
|
Structure Proposal # 5517 JNHJCYBFDPZUKL Deviation = 5.46ppm
Search WEB for skeleton respect to your proposal |
|
![]()
|
|
|
Structure Proposal # 5518 GJBHYIMJXKJCOE Deviation = 5.47ppm
Search WEB for skeleton |
|
![]()
|
|
|
Structure Proposal # 5519 ZKFIVPFIBQNDNP Deviation = 5.47ppm
Search WEB for skeleton respect to your proposal |
|
![]()
|
|
|
Structure Proposal # 5520 WTAMTIZSSAYTQI Deviation = 5.49ppm
Search WEB for skeleton respect to your proposal |
|
![]()
|
|
|
Structure Proposal # 5521 RNRJUDITPYSVSY Deviation = 5.51ppm
Search WEB for skeleton respect to your proposal |
|
![]()
|
|
|
Structure Proposal # 5522 KEFAYOTXQNLKQD Deviation = 5.52ppm
Search WEB for skeleton |
|
![]()
|
|
|
Structure Proposal # 5523 WSVHKEXKDMXSEG Deviation = 5.53ppm
Search WEB for skeleton respect to your proposal |
|
![]()
|
|
|
Structure Proposal # 5524 MPNJPNUVPXZSRB Deviation = 5.55ppm
Search WEB for skeleton respect to your proposal |
|
![]()
|
|
|
Structure Proposal # 5525 FYVLIVINVOTDIC Deviation = 5.55ppm
Search WEB for skeleton |
|
![]()
|
|
|
Structure Proposal # 5526 ZDCMGJMXOLPRBL Deviation = 5.58ppm
Search WEB for skeleton respect to your proposal |
|
![]()
|
|
|
Structure Proposal # 5527 ZURPNJFJYXBETA Deviation = 5.60ppm
Search WEB for skeleton |
|
![]()
|
|
|
Structure Proposal # 5528 PPBYLMUIMYMFBN Deviation = 5.61ppm
Search WEB for skeleton |
|
![]()
|
|
|
Structure Proposal # 5529 FOFCANCRLOBJHN Deviation = 5.62ppm
Search WEB for skeleton |
|
![]()
|
|
|
Structure Proposal # 5530 HCYUYHNWDCSIMX Deviation = 5.64ppm
Search WEB for skeleton |
|
![]()
|
|
|
Structure Proposal # 5531 NFYPKJYTILLKGO Deviation = 5.64ppm
Search WEB for skeleton |
|
![]()
|
|
|
Structure Proposal # 5532 GSZSDRAMLPWLES Deviation = 5.65ppm
Search WEB for skeleton |
|
![]()
|
|
|
Structure Proposal # 5533 WUTMIQFFSPLOOW Deviation = 5.65ppm
Search WEB for skeleton respect to your proposal |
|
![]()
|
|
|
Structure Proposal # 5534 MQUUYJWQKRAOHM Deviation = 5.66ppm
Search WEB for skeleton |
|
![]()
|
|
|
Structure Proposal # 5535 UTIITZCPAKDTJC Deviation = 5.68ppm
Search WEB for skeleton respect to your proposal |
|
![]()
|
|
|
Structure Proposal # 5536 YJSZWRZSEBCHSU Deviation = 5.69ppm
Search WEB for skeleton respect to your proposal |
|
![]()
|
|
|
Structure Proposal # 5537 SYLXPUATIVRYLE Deviation = 5.70ppm
Search WEB for skeleton respect to your proposal |
|
![]()
|
|
|
Structure Proposal # 5538 PLGCISRBZKLRIZ Deviation = 5.71ppm
Search WEB for skeleton respect to your proposal |
|
![]()
|
|
|
Structure Proposal # 5539 CWWHFFJUJCRBTR Deviation = 5.71ppm
Search WEB for skeleton respect to your proposal |
|
![]()
|
|
|
Structure Proposal # 5540 MHBGNKHKZGWDTK Deviation = 5.72ppm
Search WEB for skeleton respect to your proposal |
|
![]()
|
|
|
Structure Proposal # 5541 NPXXQZVUMKDKAV Deviation = 5.73ppm
Search WEB for skeleton respect to your proposal |
|
![]()
|
|
|
Structure Proposal # 5542 FDLYGPMHRAAUJV Deviation = 5.74ppm
Search WEB for skeleton |
|
![]()
|
|
|
Structure Proposal # 5543 MJBRUSRGYZFCGF Deviation = 5.75ppm
Search WEB for skeleton respect to your proposal |
|
![]()
|
|
|
Structure Proposal # 5544 LDNKGFQEAOTNIS Deviation = 5.75ppm
Search WEB for skeleton respect to your proposal |
|
![]()
|
|
|
Structure Proposal # 5545 ICLWVCOQMUJTQE Deviation = 5.77ppm
Search WEB for skeleton |
|
![]()
|
|
|
Structure Proposal # 5546 ZVVACTMQTSGQSA Deviation = 5.77ppm
Search WEB for skeleton respect to your proposal |
|
![]()
|
|
|
Structure Proposal # 5547 KCVVVSOKYBIEMW Deviation = 5.78ppm
Search WEB for skeleton respect to your proposal |
|
![]()
|
|
|
Structure Proposal # 5548 UNMHFHZBYQMNLI Deviation = 5.78ppm
Search WEB for skeleton respect to your proposal |
|
![]()
|
|
|
Structure Proposal # 5549 RBYHKBQOMAJEFD Deviation = 5.80ppm
Search WEB for skeleton respect to your proposal |
|
![]()
|
|
|
Structure Proposal # 5550 HTMVFAZUOVJDJE Deviation = 5.82ppm
Search WEB for skeleton respect to your proposal |
|
![]()
|
|
|
Structure Proposal # 5551 BQDSUFBHQFRSDB Deviation = 5.83ppm
Search WEB for skeleton respect to your proposal |
|
![]()
|
|
|
Structure Proposal # 5552 UNDLQLLUCNHUFW Deviation = 5.84ppm
Search WEB for skeleton respect to your proposal |
|
![]()
|
|
|
Structure Proposal # 5553 GFAHPPZRKRCVGM Deviation = 5.87ppm
Search WEB for skeleton respect to your proposal |
|
![]()
|
|
|
Structure Proposal # 5554 CKAYIUJCCNTXDM Deviation = 5.89ppm
Search WEB for skeleton respect to your proposal |
|
![]()
|
|
|
Structure Proposal # 5555 IFDUZSDJTMOKMV Deviation = 5.93ppm
Search WEB for skeleton respect to your proposal |
|
![]()
|
|
|
Structure Proposal # 5556 PJASJVKPXROVAI Deviation = 5.94ppm
Search WEB for skeleton |
|
![]()
|
|
|
Structure Proposal # 5557 BDNNBWHBTHLXLR Deviation = 5.96ppm
Search WEB for skeleton respect to your proposal |
|
![]()
|
|
|
Structure Proposal # 5558 DONOQWZETCTGSP Deviation = 5.97ppm
Search WEB for skeleton respect to your proposal |
|
![]()
|
|
|
Structure Proposal # 5559 WMHVXFYTTDCOCS Deviation = 5.98ppm
Search WEB for skeleton respect to your proposal |
|
![]()
|
|
|
Structure Proposal # 5560 YOYOLFHCIIHHQY Deviation = 5.99ppm
Search WEB for skeleton respect to your proposal |
|
![]()
|
|
|
Structure Proposal # 5561 VZDKRUXOPGBELH Deviation = 6.01ppm
Search WEB for skeleton respect to your proposal |
|
![]()
|
|
|
Structure Proposal # 5562 GJMMINKGXPAHED Deviation = 6.05ppm
Search WEB for skeleton respect to your proposal |
|
![]()
|
|
|
Structure Proposal # 5563 XSYSLPDGELNODY Deviation = 6.07ppm
Search WEB for skeleton respect to your proposal |
|
![]()
|
|
|
Structure Proposal # 5564 SAYYWTKWRUODHJ Deviation = 6.08ppm
Search WEB for skeleton respect to your proposal |
|
![]()
|
|
|
Structure Proposal # 5565 DKYFQVRQPOKAJQ Deviation = 6.08ppm
Search WEB for skeleton respect to your proposal |
|
![]()
|
|
|
Structure Proposal # 5566 IDUCNEHCAAXRAM Deviation = 6.09ppm
Search WEB for skeleton respect to your proposal |
|
![]()
|
|
|
Structure Proposal # 5567 OGMXLIHUWDWTCO Deviation = 6.11ppm
Search WEB for skeleton respect to your proposal |
|
![]()
|
|
|
Structure Proposal # 5568 LYHSHDGURFQZKZ Deviation = 6.12ppm
Search WEB for skeleton respect to your proposal |
|
![]()
|
|
|
Structure Proposal # 5569 OUKXATSICFQTMV Deviation = 6.13ppm
Search WEB for skeleton respect to your proposal |
|
![]()
|
|
|
Structure Proposal # 5570 ANNPQXSWCIQEKA Deviation = 6.15ppm
Search WEB for skeleton respect to your proposal |
|
![]()
|
|
|
Structure Proposal # 5571 KWQMFMPSVKXSLD Deviation = 6.16ppm
Search WEB for skeleton respect to your proposal |
|
![]()
|
|
|
Structure Proposal # 5572 NRYDWAFRSFSQIS Deviation = 6.17ppm
Search WEB for skeleton respect to your proposal |
|
![]()
|
|
|
Structure Proposal # 5573 RUIUGKXEVYINEC Deviation = 6.17ppm
Search WEB for skeleton respect to your proposal |
|
![]()
|
|
|
Structure Proposal # 5574 LFUXYEMMTGJWGV Deviation = 6.19ppm
Search WEB for skeleton respect to your proposal |
|
![]()
|
|
|
Structure Proposal # 5575 UZWCEOSTJGOGKZ Deviation = 6.19ppm
Search WEB for skeleton respect to your proposal |
|
![]()
|
|
|
Structure Proposal # 5576 VANQUDFEHSACBK Deviation = 6.24ppm
Search WEB for skeleton respect to your proposal |
|
![]()
|
|
|
Structure Proposal # 5577 GZSQHNQGUSEYNA Deviation = 6.24ppm
Search WEB for skeleton respect to your proposal |
|
![]()
|
|
|
Structure Proposal # 5578 QBFRLOYQUJLPAR Deviation = 6.25ppm
Search WEB for skeleton respect to your proposal |
|
![]()
|
|
|
Structure Proposal # 5579 DREBFXAMMWVRGS Deviation = 6.27ppm
Search WEB for skeleton respect to your proposal |
|
![]()
|
|
|
Structure Proposal # 5580 ZLSSBFUWLFSSTK Deviation = 6.29ppm
Search WEB for skeleton respect to your proposal |
|
![]()
|
|
|
Structure Proposal # 5581 IWIWTOKXSSZQPA Deviation = 6.30ppm
Search WEB for skeleton respect to your proposal |
|
![]()
|
|
|
Structure Proposal # 5582 WECVPAUAQDWCJN Deviation = 6.30ppm
Search WEB for skeleton respect to your proposal |
|
![]()
|
|
|
Structure Proposal # 5583 FAKRPXNQTHVBKB Deviation = 6.31ppm
Search WEB for skeleton respect to your proposal |
|
![]()
|
|
|
Structure Proposal # 5584 DJYROOOSWUSFDK Deviation = 6.31ppm
Search WEB for skeleton respect to your proposal |
|
![]()
|
|
|
Structure Proposal # 5585 GBTFSGNUPSIKLR Deviation = 6.32ppm
Search WEB for skeleton respect to your proposal |
|
![]()
|
|
|
Structure Proposal # 5586 AHKQWEQKYHIVFY Deviation = 6.32ppm
Search WEB for skeleton respect to your proposal |
|
![]()
|
|
|
Structure Proposal # 5587 OORGXICPZUDJFD Deviation = 6.32ppm
Search WEB for skeleton respect to your proposal |
|
![]()
|
|
|
Structure Proposal # 5588 TYDIDASUEMWZRD Deviation = 6.33ppm
Search WEB for skeleton respect to your proposal |
|
![]()
|
|
|
Structure Proposal # 5589 NCIGOPZTJZMPGN Deviation = 6.34ppm
Search WEB for skeleton respect to your proposal |
|
![]()
|
|
|
Structure Proposal # 5590 PJBPXTXCDNBTIW Deviation = 6.35ppm
Search WEB for skeleton |
|
![]()
|
|
|
Structure Proposal # 5591 HMTBFDDYJWNKID Deviation = 6.35ppm
Search WEB for skeleton respect to your proposal |
|
![]()
|
|
|
Structure Proposal # 5592 AFZSVYIOTNHIKY Deviation = 6.35ppm
Search WEB for skeleton respect to your proposal |
|
![]()
|
|
|
Structure Proposal # 5593 GJRMNGNMUCVAFR Deviation = 6.36ppm
Search WEB for skeleton respect to your proposal |
|
![]()
|
|
|
Structure Proposal # 5594 ICYYWCNZQVOKOP Deviation = 6.36ppm
Search WEB for skeleton respect to your proposal |
|
![]()
|
|
|
Structure Proposal # 5595 MSDOJWZERLSJSU Deviation = 6.37ppm
Search WEB for skeleton respect to your proposal |
|
![]()
|
|
|
Structure Proposal # 5596 QHMALCYBSXKKBF Deviation = 6.38ppm
Search WEB for skeleton respect to your proposal |
|
![]()
|
|
|
Structure Proposal # 5597 QYCITSUTLXIXAE Deviation = 6.40ppm
Search WEB for skeleton respect to your proposal |
|
![]()
|
|
|
Structure Proposal # 5598 LHBGTOHFNMBGEL Deviation = 6.40ppm
Search WEB for skeleton respect to your proposal |
|
![]()
|
|
|
Structure Proposal # 5599 CPBVKETVKHAALI Deviation = 6.42ppm
Search WEB for skeleton respect to your proposal |
|
![]()
|
|
|
Structure Proposal # 5600 XLLGGCLRMYAQHO Deviation = 6.43ppm
Search WEB for skeleton respect to your proposal |
|
![]()
|
|
|
Structure Proposal # 5601 JFZXKGVWULLIGF Deviation = 6.44ppm
Search WEB for skeleton respect to your proposal |
|
![]()
|
|
|
Structure Proposal # 5602 DDSHGOVPODDRPI Deviation = 6.45ppm
Search WEB for skeleton respect to your proposal |
|
![]()
|
|
|
Structure Proposal # 5603 ODUOHPZRGJRIEY Deviation = 6.46ppm
Search WEB for skeleton respect to your proposal |
|
![]()
|
|
|
Structure Proposal # 5604 ZGDFOVARJBMLDX Deviation = 6.47ppm
Search WEB for skeleton respect to your proposal |
|
![]()
|
|
|
Structure Proposal # 5605 NTHZSLKPBCUDEK Deviation = 6.47ppm
Search WEB for skeleton respect to your proposal |
|
![]()
|
|
|
Structure Proposal # 5606 ABGSATZJUAJUJW Deviation = 6.47ppm
Search WEB for skeleton respect to your proposal |
|
![]()
|
|
|
Structure Proposal # 5607 ZLMYWERPAZJMDK Deviation = 6.49ppm
Search WEB for skeleton respect to your proposal |
|
![]()
|
|
|
Structure Proposal # 5608 PXZUJMCGFHVKNT Deviation = 6.50ppm
Search WEB for skeleton respect to your proposal |
|
![]()
|
|
|
Structure Proposal # 5609 YIWZKRXRPZSHHR Deviation = 6.51ppm
Search WEB for skeleton respect to your proposal |
|
![]()
|
|
|
Structure Proposal # 5610 JXFPNNVSRDSOBD Deviation = 6.53ppm
Search WEB for skeleton respect to your proposal |
|
![]()
|
|
|
Structure Proposal # 5611 DCYVMSOOJAKDJA Deviation = 6.55ppm
Search WEB for skeleton respect to your proposal |
|
![]()
|
|
|
Structure Proposal # 5612 GUFKPXTZARSFNL Deviation = 6.57ppm
Search WEB for skeleton respect to your proposal |
|
![]()
|
|
|
Structure Proposal # 5613 MXJKVNVIXNEMTP Deviation = 6.60ppm
Search WEB for skeleton respect to your proposal |
|
![]()
|
|
|
Structure Proposal # 5614 LQWSRMOUWAVZNT Deviation = 6.61ppm
Search WEB for skeleton respect to your proposal |
|
![]()
|
|
|
Structure Proposal # 5615 LBXHQASJRNHMCS Deviation = 6.63ppm
Search WEB for skeleton respect to your proposal |
|
![]()
|
|
|
Structure Proposal # 5616 RUZXVLGFQUQATF Deviation = 6.64ppm
Search WEB for skeleton respect to your proposal |
|
![]()
|
|
|
Structure Proposal # 5617 BZAMIWZSJNDCLY Deviation = 6.65ppm
Search WEB for skeleton |
|
![]()
|
|
|
Structure Proposal # 5618 YQJXXFPFNZRGQW Deviation = 6.65ppm
Search WEB for skeleton respect to your proposal |
|
![]()
|
|
|
Structure Proposal # 5619 GRZJZUWWWZIEPP Deviation = 6.66ppm
Search WEB for skeleton respect to your proposal |
|
![]()
|
|
|
Structure Proposal # 5620 UYEJLTRUXUKXJE Deviation = 6.68ppm
Search WEB for skeleton respect to your proposal |
|
![]()
|
|
|
Structure Proposal # 5621 OHLPCOHCKLWMQU Deviation = 6.69ppm
Search WEB for skeleton respect to your proposal |
|
![]()
|
|
|
Structure Proposal # 5622 DRLIOCQUODGNTA Deviation = 6.71ppm
Search WEB for skeleton respect to your proposal |
|
![]()
|
|
|
Structure Proposal # 5623 VCPNCZCGMPDBAB Deviation = 6.73ppm
Search WEB for skeleton respect to your proposal |
|
![]()
|
|
|
Structure Proposal # 5624 UGQHHEXXQHUBGM Deviation = 6.73ppm
Search WEB for skeleton respect to your proposal |
|
![]()
|
|
|
Structure Proposal # 5625 IGFDPIQDRUZTLZ Deviation = 6.74ppm
Search WEB for skeleton respect to your proposal |
|
![]()
|
|
|
Structure Proposal # 5626 GXXICBHWLNQAPI Deviation = 6.74ppm
Search WEB for skeleton respect to your proposal |
|
![]()
|
|
|
Structure Proposal # 5627 MQPQOLIMNBVLGA Deviation = 6.74ppm
Search WEB for skeleton respect to your proposal |
|
![]()
|
|
|
Structure Proposal # 5628 ORYLRHDIERCSOX Deviation = 6.76ppm
Search WEB for skeleton respect to your proposal |
|
![]()
|
|
|
Structure Proposal # 5629 BBZHJWYVPSQTLI Deviation = 6.77ppm
Search WEB for skeleton respect to your proposal |
|
![]()
|
|
|
Structure Proposal # 5630 CEDFXHIIXRNIBW Deviation = 6.78ppm
Search WEB for skeleton respect to your proposal |
|
![]()
|
|
|
Structure Proposal # 5631 IFEKKFXYXDDDFT Deviation = 6.78ppm
Search WEB for skeleton respect to your proposal |
|
![]()
|
|
|
Structure Proposal # 5632 XNLJFDBXIRVRED Deviation = 6.79ppm
Search WEB for skeleton respect to your proposal |
|
![]()
|
|
|
Structure Proposal # 5633 MJEXBSIVUYBWFF Deviation = 6.80ppm
Search WEB for skeleton respect to your proposal |
|
![]()
|
|
|
Structure Proposal # 5634 LQTQSWMTPSIMDK Deviation = 6.81ppm
Search WEB for skeleton respect to your proposal |
|
![]()
|
|
|
Structure Proposal # 5635 BGLKRECMGVWAJY Deviation = 6.84ppm
Search WEB for skeleton respect to your proposal |
|
![]()
|
|
|
Structure Proposal # 5636 KPYUTWHHSMDGLL Deviation = 6.84ppm
Search WEB for skeleton respect to your proposal |
|
![]()
|
|
|
Structure Proposal # 5637 XTLNQFJAXRWTEO Deviation = 6.85ppm
Search WEB for skeleton respect to your proposal |
|
![]()
|
|
|
Structure Proposal # 5638 BOQFGEAZKXAUQA Deviation = 6.85ppm
Search WEB for skeleton |
|
![]()
|
|
|
Structure Proposal # 5639 VNHHKGSNYIOAPS Deviation = 6.86ppm
Search WEB for skeleton respect to your proposal |
|
![]()
|
|
|
Structure Proposal # 5640 KPBASKWDYQNZED Deviation = 6.87ppm
Search WEB for skeleton respect to your proposal |
|
![]()
|
|
|
Structure Proposal # 5641 WFNPDLISNLTITE Deviation = 6.87ppm
Search WEB for skeleton respect to your proposal |
|
![]()
|
|
|
Structure Proposal # 5642 LQYIDOFWVWEWGJ Deviation = 6.88ppm
Search WEB for skeleton respect to your proposal |
|
![]()
|
|
|
Structure Proposal # 5643 FZSRVPPIHLGGFK Deviation = 6.89ppm
Search WEB for skeleton respect to your proposal |
|
![]()
|
|
|
Structure Proposal # 5644 FNQIJQZSAYROKY Deviation = 6.91ppm
Search WEB for skeleton respect to your proposal |
|
![]()
|
|
|
Structure Proposal # 5645 HQKINXUKLLUMPK Deviation = 6.91ppm
Search WEB for skeleton respect to your proposal |
|
![]()
|
|
|
Structure Proposal # 5646 IZKSRGGQNWNKKJ Deviation = 6.91ppm
Search WEB for skeleton respect to your proposal |
|
![]()
|
|
|
Structure Proposal # 5647 QZLOQODKEQXWHN Deviation = 6.92ppm
Search WEB for skeleton respect to your proposal |
|
![]()
|
|
|
Structure Proposal # 5648 RGLYSCFKWXZPJZ Deviation = 6.92ppm
Search WEB for skeleton respect to your proposal |
|
![]()
|
|
|
Structure Proposal # 5649 SDHVBBRFMAGDDZ Deviation = 6.93ppm
Search WEB for skeleton respect to your proposal |
|
![]()
|
|
|
Structure Proposal # 5650 TTZSPAYNRGRQPJ Deviation = 6.95ppm
Search WEB for skeleton respect to your proposal |
|
![]()
|
|
|
Structure Proposal # 5651 ORKFZJTWQOBRDT Deviation = 6.96ppm
Search WEB for skeleton respect to your proposal |
|
![]()
|
|
|
Structure Proposal # 5652 ABCYWUQWWCGEAN Deviation = 6.99ppm
Search WEB for skeleton respect to your proposal |
|
![]()
|
|
|
Structure Proposal # 5653 FSKPBTFOTIXCFB Deviation = 6.99ppm
Search WEB for skeleton respect to your proposal |
|
![]()
|
|
|
Structure Proposal # 5654 VEJMHZGAQYGUGW Deviation = 7.05ppm
Search WEB for skeleton respect to your proposal |
|
![]()
|
|
|
Structure Proposal # 5655 GEUHGKUSLGTECV Deviation = 7.05ppm
Search WEB for skeleton respect to your proposal |
|
![]()
|
|
|
Structure Proposal # 5656 FURXZXPWSQJBAZ Deviation = 7.08ppm
Search WEB for skeleton respect to your proposal |
|
![]()
|
|
|
Structure Proposal # 5657 JDMVUKDTLSXISF Deviation = 7.09ppm
Search WEB for skeleton respect to your proposal |
|
![]()
|
|
|
Structure Proposal # 5658 CIMAWGNKSQTHSN Deviation = 7.12ppm
Search WEB for skeleton respect to your proposal |
|
![]()
|
|
|
Structure Proposal # 5659 JRTQNSKWLBJGSL Deviation = 7.15ppm
Search WEB for skeleton |
|
![]()
|
|
|
Structure Proposal # 5660 FNVKFOMRRKMYTF Deviation = 7.23ppm
Search WEB for skeleton respect to your proposal |
|
![]()
|
|
|
Structure Proposal # 5661 ICRRLXXHBABEGO Deviation = 7.32ppm
Search WEB for skeleton respect to your proposal |
|
![]()
|
|
|
Structure Proposal # 5662 YWTBMHRVYIBRLM Deviation = 7.35ppm
Search WEB for skeleton respect to your proposal |
|
![]()
|
|
|
Structure Proposal # 5663 GIVOFZQLMTXFKD Deviation = 7.37ppm
Search WEB for skeleton respect to your proposal |
|
![]()
|
|
|
Structure Proposal # 5664 MEXPDEVJVRADFE Deviation = 7.40ppm
Search WEB for skeleton respect to your proposal |
|
![]()
|
|
|
Structure Proposal # 5665 PFZGUVGDXFUQOR Deviation = 7.47ppm
Search WEB for skeleton respect to your proposal |
|
![]()
|
|
|
Structure Proposal # 5666 MPDFWDFMHKNPHK Deviation = 7.49ppm
Search WEB for skeleton respect to your proposal |
|
![]()
|
|
|
Structure Proposal # 5667 UBOWLVMQIACBDU Deviation = 7.52ppm
Search WEB for skeleton respect to your proposal |
|
![]()
|
|
|
Structure Proposal # 5668 SOISRPNHZKJQML Deviation = 7.53ppm
Search WEB for skeleton respect to your proposal |
|
![]()
|
|
|
Structure Proposal # 5669 XDQDQXKRSPAJGF Deviation = 7.53ppm
Search WEB for skeleton respect to your proposal |
|
![]()
|
|
|
Structure Proposal # 5670 HJDPPOVPIOZIRE Deviation = 7.58ppm
Search WEB for skeleton respect to your proposal |
|
![]()
|
|
|
Structure Proposal # 5671 KBSLBVUJUIWDMH Deviation = 7.58ppm
Search WEB for skeleton respect to your proposal |
|
![]()
|
|
|
Structure Proposal # 5672 UHFSLSMWMQEOTC Deviation = 7.59ppm
Search WEB for skeleton respect to your proposal |
|
![]()
|
|
|
Structure Proposal # 5673 XATLLRXRGXJEJT Deviation = 7.63ppm
Search WEB for skeleton respect to your proposal |
|
![]()
|
|
|
Structure Proposal # 5674 IMNSTTSIABIEIT Deviation = 7.63ppm
Search WEB for skeleton respect to your proposal |
|
![]()
|
|
|
Structure Proposal # 5675 LNAIRFYUJKNGCM Deviation = 7.68ppm
Search WEB for skeleton respect to your proposal |
|
![]()
|
|
|
Structure Proposal # 5676 ZORNSLZOGIPXIQ Deviation = 7.72ppm
Search WEB for skeleton respect to your proposal |
|
![]()
|
|
|
Structure Proposal # 5677 YAHCRNSRKSLISX Deviation = 7.84ppm
Search WEB for skeleton respect to your proposal |
|
![]()
|
|
|
Structure Proposal # 5678 JOMYBAFWGDRIJN Deviation = 7.98ppm
Search WEB for skeleton respect to your proposal |
|
![]()
|
|
|
Structure Proposal # 5679 ZMQVZOYNKMDGLT Deviation = 8.17ppm
Search WEB for skeleton |
|
![]()
|
|
|
Structure Proposal # 5680 VZUTUXFNXNZNHV Deviation = 8.54ppm
Search WEB for skeleton respect to your proposal |
|
![]()
|
|
|
Structure Proposal # 5681 GRZCXEBFTVQMRD Deviation = 8.59ppm
Search WEB for skeleton respect to your proposal |
|
![]()
|
|
|
Structure Proposal # 5682 CHRVKANRKPMDCO Deviation = 9.65ppm
Search WEB for skeleton respect to your proposal |
|
![]()
|
|
|
Structure Proposal # 5683 DNBSVJQMGMJTKJ Deviation = 10.27ppm
Search WEB for skeleton |
|
![]()
|
|
|
Structure Proposal # 5684 QFEKKQDYTTWKDC Deviation = 10.35ppm
Search WEB for skeleton |
|
![]()
|
|
|
Structure Proposal # 5685 PFBWESYACUVBHB Deviation = 10.47ppm
Search WEB for skeleton |
|
![]()
|
|
|
Structure Proposal # 5686 VCZLRQXVXYRBKL Deviation = 10.53ppm
Search WEB for skeleton |
|
![]()
|
|
|
Structure Proposal # 5687 OQLFCTOGDMKIAX Deviation = 10.54ppm
Search WEB for skeleton |
|
![]()
|
|
|
Structure Proposal # 5688 QYDDBTOAXOPWSI Deviation = 10.55ppm
Search WEB for skeleton |
|
![]()
|
|
|
Structure Proposal # 5689 OIVPREWLTWCHPP Deviation = 10.65ppm
Search WEB for skeleton |
|
![]()
|
|
|
Structure Proposal # 5690 NTRTVHRMPYUIFC Deviation = 11.74ppm
Search WEB for skeleton |
|
![]()
|
|
|
Structure Proposal # 5691 YSXZCABXNKWOQM Deviation = 12.65ppm
Search WEB for skeleton |
|
![]()
|
|
|
Structure Proposal # 5692 VRZXTAQWTOVJNL Deviation = 12.75ppm
Search WEB for skeleton |
|
![]()
|
|
|
Structure Proposal # 5693 PDHADRKEYSQSAG Deviation = 12.87ppm
Search WEB for skeleton |
|
![]()
|
|
|
Structure Proposal # 5694 DNQXTAWYKKVSGM Deviation = 12.98ppm
Search WEB for skeleton |
|
![]()
|
|
|
Structure Proposal # 5695 NBJXKMHHKUIOPC Deviation = 12.98ppm
Search WEB for skeleton |
|
![]()
|
|
|
Structure Proposal # 5696 NEGNNNLOFLXQNK Deviation = 13.14ppm
Search WEB for skeleton |
|
![]()
|
|
|
Structure Proposal # 5697 ZUHFUERAIDBHJK Deviation = 13.53ppm
Search WEB for skeleton |
|
![]()
|
|
|
Structure Proposal # 5698 FWNMSABGMTWYQX Deviation = 13.67ppm
Search WEB for skeleton |
|
![]()
|
|
|
Structure Proposal # 5699 KPQOQOJOHRQVPP Deviation = 13.78ppm
Search WEB for skeleton |
|
![]()
|
|
|
Proposal # 1 Similarity: 1.20ppm KQROLSSKYWDQJE
|
Proposal # 2 Similarity: 1.33ppm SXEWXWZGSPUKQR
|
Proposal # 3 Similarity: 1.38ppm ONTJXMUKDCIDID
|
|
Proposal # 4 Similarity: 1.38ppm NGINMTMWIOTVFF
|
Proposal # 5 Similarity: 1.41ppm AWNVKTSUQSRIQK
|
Proposal # 6 Similarity: 1.41ppm LUOREYMEAKBKSI
|
|
Proposal # 7 Similarity: 1.46ppm CMPJDYGRCQQQRW
|
Proposal # 8 Similarity: 1.54ppm WDSLTDQNTZQDLH
|
Proposal # 9 Similarity: 1.55ppm MTIQEYCAZBMVJV
|
|
Proposal # 10 Similarity: 1.56ppm PGWSCJOJHWWACA
|
Proposal # 11 Similarity: 1.60ppm UHSFDXWWYNVWCR
|
Proposal # 12 Similarity: 1.61ppm LGPGUWRTWUMSCE
|
|
Proposal # 13 Similarity: 1.61ppm YLDXMIXFSUXLLX
|
Proposal # 14 Similarity: 1.63ppm BIQOLXZKSYJHKU
|
Proposal # 15 Similarity: 1.65ppm XSBHARZWBVYWOF
|
|
Proposal # 16 Similarity: 1.65ppm ZUHSLSWGOBNEBT
|
Proposal # 17 Similarity: 1.67ppm DRSMVOBWBZZOSW
|
Proposal # 18 Similarity: 1.67ppm UCNYUIDDJUCXGZ
|
|
Proposal # 19 Similarity: 1.70ppm KQQDDZHDMOTEHU
|
Proposal # 20 Similarity: 1.71ppm DZJYKSHJXVUBPQ
|
Proposal # 21 Similarity: 1.74ppm UJZRCXZHHYTGCI
|
|
Proposal # 22 Similarity: 1.77ppm WRVRHILCVSHXAD
|
Proposal # 23 Similarity: 1.78ppm UEDHGECXKJHCNP
|
Proposal # 24 Similarity: 1.78ppm RYZSXHXCPFRSLP
|
|
Proposal # 25 Similarity: 1.78ppm BZMMCIWADBDASH
|
Proposal # 26 Similarity: 1.78ppm CZWUKEHKTSSCIT
|
Proposal # 27 Similarity: 1.79ppm KJSXBGPZISGFTL
|
|
Proposal # 28 Similarity: 1.79ppm GLQKIYPWZBVZSO
|
Proposal # 29 Similarity: 1.80ppm LNPGBCAGGVMDCA
|
Proposal # 30 Similarity: 1.83ppm RXIRXEJXIJGTPW
|
|
Proposal # 31 Similarity: 1.85ppm HBMFIXTVLUUTCS
|
Proposal # 32 Similarity: 1.85ppm HKSMDXQAVVLWLP
|
Proposal # 33 Similarity: 1.86ppm ZMPBKEFVEOCAIW
|
|
Proposal # 34 Similarity: 1.88ppm RRNLDNIBMPMTAG
|
Proposal # 35 Similarity: 1.90ppm INIWWSOHZBHQRT
|
Proposal # 36 Similarity: 1.91ppm WVZQGTRRWPUXMC
|
|
Proposal # 37 Similarity: 1.92ppm OSQXDEHTZOHDPX
|
Proposal # 38 Similarity: 1.93ppm BYSJAFDJSCQDSY
|
Proposal # 39 Similarity: 1.94ppm PDCMHYXMOKOBSO
|
|
Proposal # 40 Similarity: 1.97ppm KOPSZAUZLCZMRH
|
Proposal # 41 Similarity: 1.98ppm GIGCMBXTPMBDPX
|
Proposal # 42 Similarity: 2.00ppm SELZCYUJWXYUMZ
|
|
Proposal # 43 Similarity: 2.01ppm ZDTKGUDPBDCAIS
|
Proposal # 44 Similarity: 2.02ppm AEWCXTVHQFGLEY
|
Proposal # 45 Similarity: 2.05ppm OXVLTKQXOCCVEP
|
|
Proposal # 46 Similarity: 2.09ppm WTDLMHUFBFFEIM
|
Proposal # 47 Similarity: 2.11ppm VSIARLGSEUZGJZ
|
Proposal # 48 Similarity: 2.14ppm FBCUTTJTFRQHIJ
|
|
Proposal # 49 Similarity: 2.17ppm HYUQLSHQWUXNFS
|
Proposal # 50 Similarity: 2.18ppm PCUQJZOUEZEXEP
|
Proposal # 51 Similarity: 2.18ppm QWHWMFMKMOVBOW
|
|
Proposal # 52 Similarity: 2.19ppm AEUVOQPFWXYUEY
|
Proposal # 53 Similarity: 2.20ppm MRKYLBQNMNFRGF
|
Proposal # 54 Similarity: 2.21ppm UVTQLLWFSANFCN
|
|
Proposal # 55 Similarity: 2.22ppm JBSMDUITXVTJBF
|
Proposal # 56 Similarity: 2.22ppm RNOSIJOQALJVOP
|
Proposal # 57 Similarity: 2.23ppm AWMVGSMYLQMUET
|
|
Proposal # 58 Similarity: 2.23ppm KVIXTHSDHOWIMT
|
Proposal # 59 Similarity: 2.23ppm NRCMZPNNCBRRMZ
|
Proposal # 60 Similarity: 2.24ppm NAUZUPDUUGHSEO
|
|
Proposal # 61 Similarity: 2.24ppm RNCCBPXKKQKCLQ
|
Proposal # 62 Similarity: 2.25ppm NNKAANYHUUVYOF
|
Proposal # 63 Similarity: 2.25ppm SDWMRLXUMHQURC
|
|
Proposal # 64 Similarity: 2.25ppm XYWGRGVCPYXBNM
|
Proposal # 65 Similarity: 2.29ppm RBCVGXDTELQQSN
|
Proposal # 66 Similarity: 2.30ppm QSEYRFSQWSQMFI
|
|
Proposal # 67 Similarity: 2.30ppm BBPZSMHURYWVLV
|
Proposal # 68 Similarity: 2.31ppm UCHVGXDXFDMGEA
|
Proposal # 69 Similarity: 2.32ppm IUBDOSLHHMGUKU
|
|
Proposal # 70 Similarity: 2.32ppm JTHOFXRJMJFVTC
|
Proposal # 71 Similarity: 2.34ppm XBGXPXAWAVVHFP
|
Proposal # 72 Similarity: 2.36ppm GNARNWJJNHFIJE
|
|
Proposal # 73 Similarity: 2.37ppm VEBQPJVWXKSSFS
|
Proposal # 74 Similarity: 2.38ppm LGMDFRFRUIIUEK
|
Proposal # 75 Similarity: 2.38ppm YYZQFZCQGRNKFZ
|
|
Proposal # 76 Similarity: 2.39ppm JQBANHMHWAOUJV
|
Proposal # 77 Similarity: 2.39ppm CQMNBNIIFKORSK
|
Proposal # 78 Similarity: 2.40ppm BKSPZUAPCKGAFJ
|
|
Proposal # 79 Similarity: 2.40ppm XBENRJPYAHJGBJ
|
Proposal # 80 Similarity: 2.40ppm BTJBORQVWLBDJX
|
Proposal # 81 Similarity: 2.43ppm MDKGPQQKTKYKMM
|
|
Proposal # 82 Similarity: 2.43ppm HFJQBKPWJKTPHZ
|
Proposal # 83 Similarity: 2.43ppm KWTRWTNQVYPSAQ
|
Proposal # 84 Similarity: 2.43ppm XNTRYJQZNUQRGP
|
|
Proposal # 85 Similarity: 2.43ppm NWRPCTMFSZSMDC
|
Proposal # 86 Similarity: 2.43ppm YZHVUTBNSOZCRH
|
Proposal # 87 Similarity: 2.43ppm SGGRLUDAIXOGKM
|
|
Proposal # 88 Similarity: 2.44ppm LSGWVWJLJCULGZ
|
Proposal # 89 Similarity: 2.44ppm VQMWULRHAQNLTP
|
Proposal # 90 Similarity: 2.44ppm DSWMUNZMTLJVQI
|
|
Proposal # 91 Similarity: 2.46ppm QQLQQJJKTAGUOB
|
Proposal # 92 Similarity: 2.46ppm QPRXFLYSXCVQJA
|
Proposal # 93 Similarity: 2.46ppm XJIGSFHYLRXADM
|
|
Proposal # 94 Similarity: 2.47ppm FYRALSUGXOYRRF
|
Proposal # 95 Similarity: 2.48ppm AVPQIPSJDHDWFY
|
Proposal # 96 Similarity: 2.48ppm VVUAIXCDWBWBHB
|
|
Proposal # 97 Similarity: 2.49ppm YTEXBUHKCQZRTN
|
Proposal # 98 Similarity: 2.49ppm ZYRZBNKLAMPBDS
|
Proposal # 99 Similarity: 2.51ppm INACHYXJASFMDW
|
|
Proposal # 100 Similarity: 2.52ppm DJAASVLMGXJIPX
|
Proposal # 101 Similarity: 2.52ppm BRXSXGTYVUBKDM
|
Proposal # 102 Similarity: 2.52ppm ZNXWSXBINCHYKL
|
|
Proposal # 103 Similarity: 2.52ppm CVKBETUHAUPAEI
|
Proposal # 104 Similarity: 2.54ppm RJLSZJLGNLQPRA
|
Proposal # 105 Similarity: 2.55ppm LFPLPZDKIPHUFI
|
|
Proposal # 106 Similarity: 2.56ppm XVGNOMAZULKGFL
|
Proposal # 107 Similarity: 2.57ppm CNBHUJUGXGZWDS
|
Proposal # 108 Similarity: 2.57ppm WHDRNYYZVVZBSZ
|
|
Proposal # 109 Similarity: 2.58ppm GEWXCGUENKPADQ
|
Proposal # 110 Similarity: 2.58ppm KSGJSBHXGINIIQ
|
Proposal # 111 Similarity: 2.58ppm HKJUMNOWFXAOTI
|
|
Proposal # 112 Similarity: 2.58ppm FIQKSOWOOGPIEC
|
Proposal # 113 Similarity: 2.59ppm YEMIKVRTPZEAKN
|
Proposal # 114 Similarity: 2.59ppm KRCUDZOGFSCXCC
|
|
Proposal # 115 Similarity: 2.59ppm HTGZZBKAOCCCLB
|
Proposal # 116 Similarity: 2.59ppm CGRDGKXPERCVDH
|
Proposal # 117 Similarity: 2.60ppm SYOIGBJXDIJHHZ
|
|
Proposal # 118 Similarity: 2.60ppm SESCFVWAMAACLT
|
Proposal # 119 Similarity: 2.60ppm HFKIFBNXKOQLFT
|
Proposal # 120 Similarity: 2.60ppm KNWMICGFNNWPAZ
|
|
Proposal # 121 Similarity: 2.61ppm NCVWURISAKVCMG
|
Proposal # 122 Similarity: 2.61ppm IWUYHJCDYLIAFT
|
Proposal # 123 Similarity: 2.61ppm DQXJJIMXEGPDLN
|
|
Proposal # 124 Similarity: 2.61ppm ADCPWULXRVFGGT
|
Proposal # 125 Similarity: 2.61ppm HUYCDJYDOGNTGG
|
Proposal # 126 Similarity: 2.62ppm ATCGRTSMOXPUHB
|
|
Proposal # 127 Similarity: 2.62ppm HPWMVIHEMSMZIH
|
Proposal # 128 Similarity: 2.62ppm KDDXVRFZIMMPLR
|
Proposal # 129 Similarity: 2.62ppm BZFVNDSFFCJSFE
|
|
Proposal # 130 Similarity: 2.62ppm VCFDPEAOHDELIK
|
Proposal # 131 Similarity: 2.63ppm VZCCWXVUYWBMBO
|
Proposal # 132 Similarity: 2.63ppm OJWUEJICCXCNMH
|
|
Proposal # 133 Similarity: 2.63ppm RWMFKWIPLYRXHC
|
Proposal # 134 Similarity: 2.63ppm RJHAWRLNKOQIQN
|
Proposal # 135 Similarity: 2.64ppm RWGBCLWMGQAJEO
|
|
Proposal # 136 Similarity: 2.64ppm CSIZZJXOPIPXMB
|
Proposal # 137 Similarity: 2.65ppm WPQNWHHJTCZIPX
|
Proposal # 138 Similarity: 2.66ppm CJEAKLJOBALVKM
|
|
Proposal # 139 Similarity: 2.66ppm JSVRIWXYSMPYDW
|
Proposal # 140 Similarity: 2.66ppm KMYMJGYVWSRMOV
|
Proposal # 141 Similarity: 2.66ppm CPFLFASCQIZCHR
|
|
Proposal # 142 Similarity: 2.67ppm HQZUJNLCMJDQKS
|
Proposal # 143 Similarity: 2.67ppm UYXKCDLDMMFHTN
|
Proposal # 144 Similarity: 2.67ppm SQIRKLLCUJCEDY
|
|
Proposal # 145 Similarity: 2.67ppm QEFPOUYWFROCFC
|
Proposal # 146 Similarity: 2.68ppm WELJCLVTVYQYCY
|
Proposal # 147 Similarity: 2.68ppm ISQGFRLQRFHEJV
|
|
Proposal # 148 Similarity: 2.68ppm UXOQIURXCRVZPA
|
Proposal # 149 Similarity: 2.69ppm XBLLPZLGBSZBCR
|
Proposal # 150 Similarity: 2.69ppm NGBPEDUINUYDQJ
|
|
Proposal # 151 Similarity: 2.69ppm OMYWPZHKKUIAMQ
|
Proposal # 152 Similarity: 2.69ppm OHBGISNQIPPSMT
|
Proposal # 153 Similarity: 2.69ppm WTHSACGROMTAKK
|
|
Proposal # 154 Similarity: 2.70ppm BHNRPZGWEXBLCE
|
Proposal # 155 Similarity: 2.70ppm GOEMEEOCDDVLDB
|
Proposal # 156 Similarity: 2.71ppm KDIOCXFOSSABCE
|
|
Proposal # 157 Similarity: 2.71ppm PACHDCOMLFFBNJ
|
Proposal # 158 Similarity: 2.71ppm UJVSYVTXUQFDNP
|
Proposal # 159 Similarity: 2.72ppm OJSBZIBVGJGZNA
|
|
Proposal # 160 Similarity: 2.72ppm HXAFUXZPHHVNMJ
|
Proposal # 161 Similarity: 2.73ppm BOGUKONLJJDEHO
|
Proposal # 162 Similarity: 2.73ppm HTVJULDTAHYQIG
|
|
Proposal # 163 Similarity: 2.73ppm NWRLCWULCYZXFM
|
Proposal # 164 Similarity: 2.73ppm UIIFVYSTFKIOSH
|
Proposal # 165 Similarity: 2.74ppm GIUBQBMEJANWPT
|
|
Proposal # 166 Similarity: 2.74ppm MXJOGHLBXMSFPK
|
Proposal # 167 Similarity: 2.75ppm UCUORUBQBCNPEL
|
Proposal # 168 Similarity: 2.75ppm CUPGGQAQEBACOV
|
|
Proposal # 169 Similarity: 2.75ppm RSOQELDXMWASFV
|
Proposal # 170 Similarity: 2.75ppm ZRIBNLYMNRDFQZ
|
Proposal # 171 Similarity: 2.75ppm JRKSJQROVQWPDI
|
|
Proposal # 172 Similarity: 2.75ppm JFLWSVRSPPYJRZ
|
Proposal # 173 Similarity: 2.75ppm JWEDTFWJVZZNPC
|
Proposal # 174 Similarity: 2.76ppm ZMEGLPCCOSYGRT
|
|
Proposal # 175 Similarity: 2.76ppm IROBMERCIFLHAI
|
Proposal # 176 Similarity: 2.77ppm DDFGIBRYUKHLPO
|
Proposal # 177 Similarity: 2.77ppm HFWMMQWBORGQDZ
|
|
Proposal # 178 Similarity: 2.77ppm XXSHWKUFUVLZAC
|
Proposal # 179 Similarity: 2.77ppm XRYMDUFBQVCYDL
|
Proposal # 180 Similarity: 2.77ppm MXMURHPOXWKQOM
|
|
Proposal # 181 Similarity: 2.78ppm RSSHCYDKUNKZAZ
|
Proposal # 182 Similarity: 2.78ppm QKJQUZJEDWNRLY
|
Proposal # 183 Similarity: 2.78ppm FYEUNZZMGQQUGB
|
|
Proposal # 184 Similarity: 2.78ppm DXFPUHLAAANBRL
|
Proposal # 185 Similarity: 2.78ppm OQOYBGFMEFCQSH
|
Proposal # 186 Similarity: 2.78ppm VFRKCXZSODFQFC
|
|
Proposal # 187 Similarity: 2.79ppm OIWJSPPDGKHUDG
|
Proposal # 188 Similarity: 2.79ppm RKUGSROPCILOLZ
|
Proposal # 189 Similarity: 2.79ppm AKDIIYZKRSPXFS
|
|
Proposal # 190 Similarity: 2.79ppm MWECGAACERSKGM
|
Proposal # 191 Similarity: 2.79ppm WNYCRDGVUYGGOA
|
Proposal # 192 Similarity: 2.79ppm DAMGZHZAVWXVRQ
|
|
Proposal # 193 Similarity: 2.79ppm XDCWBAGNVDBYPA
|
Proposal # 194 Similarity: 2.79ppm MOLCJZUFLUHQKH
|
Proposal # 195 Similarity: 2.79ppm UCWNIXMXCFXHHW
|
|
Proposal # 196 Similarity: 2.79ppm FTHWSSVJBGNVBO
|
Proposal # 197 Similarity: 2.79ppm MNPMVAGMJQPUCY
|
Proposal # 198 Similarity: 2.80ppm YFGHXAAXMCLBDN
|
|
Proposal # 199 Similarity: 2.80ppm KHRKLNPSTGEHDI
|
Proposal # 200 Similarity: 2.80ppm ZCIZHVWISFWJDM
|
Proposal # 201 Similarity: 2.80ppm ISLIWNDKKBBCJP
|
|
Proposal # 202 Similarity: 2.81ppm VFGMKYYZRSQXDI
|
Proposal # 203 Similarity: 2.81ppm OZXUIUPZAYOECW
|
Proposal # 204 Similarity: 2.81ppm UFBJJYSOFVRXSM
|
|
Proposal # 205 Similarity: 2.81ppm SDCIQCMYJVVYQZ
|
Proposal # 206 Similarity: 2.81ppm OBMRGBQKCFRCKU
|
Proposal # 207 Similarity: 2.81ppm WNUABTLVVLVJCM
|
|
Proposal # 208 Similarity: 2.82ppm OACNAULKTLDDJH
|
Proposal # 209 Similarity: 2.82ppm HXULNQCLKOGEMX
|
Proposal # 210 Similarity: 2.82ppm KEXZBLIYSSDIPD
|
|
Proposal # 211 Similarity: 2.82ppm NCPLPNVCWCUDAD
|
Proposal # 212 Similarity: 2.82ppm AZOZGFXHFJFBOF
|
Proposal # 213 Similarity: 2.82ppm RXGFSGNCRNSBCR
|
|
Proposal # 214 Similarity: 2.83ppm FUKGKEBXGXFHOJ
|
Proposal # 215 Similarity: 2.83ppm MWHJFLOXYBXHGE
|
Proposal # 216 Similarity: 2.83ppm RZQWQIHYCSTBIY
|
|
Proposal # 217 Similarity: 2.83ppm XITKUSAPNBILDW
|
Proposal # 218 Similarity: 2.83ppm ZMLFZGMTNKYKHK
|
Proposal # 219 Similarity: 2.83ppm INMVVCWTTZYEKC
|
|
Proposal # 220 Similarity: 2.83ppm PGVRHUVQXXLVSO
|
Proposal # 221 Similarity: 2.83ppm YTCMWOSQUYLJDI
|
Proposal # 222 Similarity: 2.83ppm LHYTWMLCASHOQQ
|
|
Proposal # 223 Similarity: 2.83ppm UJTKUKITLCLOJH
|
Proposal # 224 Similarity: 2.84ppm LIAIPNMPJDPXEB
|
Proposal # 225 Similarity: 2.84ppm VFCOLZYDWHMLIE
|
|
Proposal # 226 Similarity: 2.84ppm NDXARYRAQAYIPB
|
Proposal # 227 Similarity: 2.84ppm CETBATXEUJQPHN
|
Proposal # 228 Similarity: 2.84ppm LSHPTCYYVFDCLJ
|
|
Proposal # 229 Similarity: 2.84ppm ZELQRXIVSRKTTA
|
Proposal # 230 Similarity: 2.84ppm GADZZRXGGZXUOR
|
Proposal # 231 Similarity: 2.84ppm VSZVTCXEXHQHLM
|
|
Proposal # 232 Similarity: 2.84ppm CUDVMERCWLMJCN
|
Proposal # 233 Similarity: 2.84ppm MRMHPOBKNFUEIN
|
Proposal # 234 Similarity: 2.84ppm UDHVRRDDJCSKDX
|
|
Proposal # 235 Similarity: 2.84ppm FVOXGQJOMWVNBZ
|
Proposal # 236 Similarity: 2.84ppm HABYQJSHBAVTCT
|
Proposal # 237 Similarity: 2.84ppm PJPIILLOMKJMSQ
|
|
Proposal # 238 Similarity: 2.85ppm HFHHALQDEHIWBC
|
Proposal # 239 Similarity: 2.85ppm PUDWYMDPDVRENQ
|
Proposal # 240 Similarity: 2.85ppm ZWWKJLPJKAYTQU
|
|
Proposal # 241 Similarity: 2.85ppm QETWUBVAJHZWBA
|
Proposal # 242 Similarity: 2.85ppm VBILUFOEZYZOLX
|
Proposal # 243 Similarity: 2.85ppm SOWFLBCFJLVBET
|
|
Proposal # 244 Similarity: 2.85ppm MAIIUODMHLMHRA
|
Proposal # 245 Similarity: 2.85ppm VIAKDSCRYJCJSC
|
Proposal # 246 Similarity: 2.85ppm GLNOZELPGWWENJ
|
|
Proposal # 247 Similarity: 2.86ppm JYIXEXQSDVOQRQ
|
Proposal # 248 Similarity: 2.86ppm YCKYTCVKSYZESU
|
Proposal # 249 Similarity: 2.86ppm GRFVKWFCGKVQIK
|
|
Proposal # 250 Similarity: 2.86ppm WKXYLSSKICNIHI
|
Proposal # 251 Similarity: 2.86ppm LBNMMCIDISRKCK
|
Proposal # 252 Similarity: 2.86ppm XXNLSNLYLNSYDN
|
|
Proposal # 253 Similarity: 2.86ppm MMTPUAOCTXNVHZ
|
Proposal # 254 Similarity: 2.86ppm APNXUEAWKOESIZ
|
Proposal # 255 Similarity: 2.86ppm MZRWJMWRTYJOAV
|
|
Proposal # 256 Similarity: 2.87ppm UUPIFKIPWBJCHZ
|
Proposal # 257 Similarity: 2.87ppm KNJUWHJLXWEEIZ
|
Proposal # 258 Similarity: 2.87ppm NPEOGYBHGRKZSF
|
|
Proposal # 259 Similarity: 2.87ppm QRKIRZHVKAGLHV
|
Proposal # 260 Similarity: 2.87ppm QGEPASATHFGVMX
|
Proposal # 261 Similarity: 2.87ppm HWVAMCJNFLFNMY
|
|
Proposal # 262 Similarity: 2.87ppm NKCWUKNNEJZCNT
|
Proposal # 263 Similarity: 2.88ppm KKUOBXNLNHSEGW
|
Proposal # 264 Similarity: 2.88ppm DOSKSSUPFYKLCZ
|
|
Proposal # 265 Similarity: 2.88ppm DTWXHTODAZDINY
|
Proposal # 266 Similarity: 2.88ppm FRABKTSKNKBKGZ
|
Proposal # 267 Similarity: 2.88ppm BWIYWMIMYZPJIU
|
|
Proposal # 268 Similarity: 2.88ppm DMVKZBUTIDQALQ
|
Proposal # 269 Similarity: 2.88ppm QWMPKNIVTQYJBH
|
Proposal # 270 Similarity: 2.88ppm IWPLFFNPXBHVBQ
|
|
Proposal # 271 Similarity: 2.88ppm BFXNUGGNTXOGAJ
|
Proposal # 272 Similarity: 2.88ppm LDMXBNMYBZLUMK
|
Proposal # 273 Similarity: 2.89ppm OQJGVGHUILPXSW
|
|
Proposal # 274 Similarity: 2.89ppm PRQTUHLZIVFULV
|
Proposal # 275 Similarity: 2.89ppm SQYJTJXYVVIJLW
|
Proposal # 276 Similarity: 2.89ppm FPKXIROVKIZZCC
|
|
Proposal # 277 Similarity: 2.89ppm ICZXHVQFMHLADG
|
Proposal # 278 Similarity: 2.89ppm ZACPGLDDZDKIRK
|
Proposal # 279 Similarity: 2.89ppm KNXVLJKEKMRCFG
|
|
Proposal # 280 Similarity: 2.89ppm BLMWKCVJIIWQRT
|
Proposal # 281 Similarity: 2.89ppm CSCRBCDIGDHDEL
|
Proposal # 282 Similarity: 2.89ppm MQKBKUTXRIXLNV
|
|
Proposal # 283 Similarity: 2.89ppm ANRYZKBXRFBGIH
|
Proposal # 284 Similarity: 2.90ppm OGIIXMGSANKYRZ
|
Proposal # 285 Similarity: 2.90ppm YWJLYNMMUZLDIU
|
|
Proposal # 286 Similarity: 2.90ppm JDTCKRCRGOMGQW
|
Proposal # 287 Similarity: 2.90ppm FFWVVPXPLXNDPN
|
Proposal # 288 Similarity: 2.90ppm PWCVFULGDLDHPT
|
|
Proposal # 289 Similarity: 2.90ppm HVRLZYLRYZBPRJ
|
Proposal # 290 Similarity: 2.90ppm YNKQVHDKWFDLPC
|
Proposal # 291 Similarity: 2.90ppm KWINTOHFJRFOJB
|
|
Proposal # 292 Similarity: 2.90ppm XFTWZWRZZHEJFP
|
Proposal # 293 Similarity: 2.90ppm APNPRSCQEUGNLA
|
Proposal # 294 Similarity: 2.90ppm CBUNSBFFMCKIDI
|
|
Proposal # 295 Similarity: 2.90ppm VFOYPPHBYALKEQ
|
Proposal # 296 Similarity: 2.90ppm YGMLAALGDUHBKF
|
Proposal # 297 Similarity: 2.90ppm UMWWKGLFGSXTDS
|
|
Proposal # 298 Similarity: 2.90ppm ZDLKMJWHNWCRGH
|
Proposal # 299 Similarity: 2.91ppm KTJKQUQGQWRUDC
|
Proposal # 300 Similarity: 2.91ppm KQGDDSVWEDYGAK
|
|
Proposal # 301 Similarity: 2.91ppm ANRICQPWYHRYKO
|
Proposal # 302 Similarity: 2.91ppm CDTHRMVPKQVPPR
|
Proposal # 303 Similarity: 2.91ppm JDOGDSRAHAFLJH
|
|
Proposal # 304 Similarity: 2.92ppm VDWVHJLDSYTYIH
|
Proposal # 305 Similarity: 2.92ppm GBXQKQZIFJWCEG
|
Proposal # 306 Similarity: 2.92ppm DDEQSZYLVDQJSF
|
|
Proposal # 307 Similarity: 2.92ppm JBLOIGZTRGQFTA PUBCHEM
|
Proposal # 308 Similarity: 2.92ppm GMZPJJFDKNIHOJ
|
Proposal # 309 Similarity: 2.92ppm OXUWDAHZWJBSER
|
|
Proposal # 310 Similarity: 2.92ppm AVNZMDDWQPCFFL
|
Proposal # 311 Similarity: 2.92ppm PXZYKSQSNLGGCR
|
Proposal # 312 Similarity: 2.92ppm VKKSSEMUIJQQAT
|
|
Proposal # 313 Similarity: 2.92ppm JPUFUBAZOIOESU
|
Proposal # 314 Similarity: 2.92ppm QKTJUMDGHXXBNK
|
Proposal # 315 Similarity: 2.92ppm QBHSHYMTJSVLTN
|
|
Proposal # 316 Similarity: 2.92ppm AGVUUAUWMDJYOG
|
Proposal # 317 Similarity: 2.92ppm JUGGSUUTBRMWBT
|
Proposal # 318 Similarity: 2.93ppm WWUSEBNOIRPAEV
|
|
Proposal # 319 Similarity: 2.93ppm YAKAHYCRUFUWOT
|
Proposal # 320 Similarity: 2.93ppm CWHYOUQFWZOQNE
|
Proposal # 321 Similarity: 2.93ppm ZNYXVFWQGPALGR
|
|
Proposal # 322 Similarity: 2.93ppm YHHWBJZBNAVJCF
|
Proposal # 323 Similarity: 2.93ppm IYOYCPFZKNAFFT
|
Proposal # 324 Similarity: 2.93ppm SYCGZRLOKISOFD
|
|
Proposal # 325 Similarity: 2.93ppm BASKHRONNILLDE
|
Proposal # 326 Similarity: 2.93ppm YIXCLGXLYWWPSS
|
Proposal # 327 Similarity: 2.93ppm UDAVTXWRUNEPLP
|
|
Proposal # 328 Similarity: 2.93ppm SYAKHVHZFUQSMT
|
Proposal # 329 Similarity: 2.94ppm CLOKSWUEZYDOGQ
|
Proposal # 330 Similarity: 2.94ppm KUWROFAIFQEOTM
|
|
Proposal # 331 Similarity: 2.94ppm VVAUCAMTJCOXJS
|
Proposal # 332 Similarity: 2.94ppm HSPRCVXDFJMLBY
|
Proposal # 333 Similarity: 2.94ppm BMDHGLXDAATBIR
|
|
Proposal # 334 Similarity: 2.94ppm DRGDHHRLOIASEN
|
Proposal # 335 Similarity: 2.94ppm QINLBCRJLCTAMQ
|
Proposal # 336 Similarity: 2.94ppm WAHBYLUSMPAVOX
|
|
Proposal # 337 Similarity: 2.94ppm ONLPWFYMBGXXLO
|
Proposal # 338 Similarity: 2.94ppm HUCSJZDAZSIJAF
|
Proposal # 339 Similarity: 2.94ppm JRUSKGMKKFPIEK
|
|
Proposal # 340 Similarity: 2.94ppm FLMTYWYDOSAOIZ
|
Proposal # 341 Similarity: 2.94ppm GNMVNJPWOCPXKH
|
Proposal # 342 Similarity: 2.94ppm RWDQIMSEJKYUPF
|
|
Proposal # 343 Similarity: 2.94ppm WNCNHMPCSQUCEC
|
Proposal # 344 Similarity: 2.95ppm SMUPPZVGJFWKMF
|
Proposal # 345 Similarity: 2.95ppm XQSDXEXQXHNYDF
|
|
Proposal # 346 Similarity: 2.95ppm XGUNKTOFOIEQFU
|
Proposal # 347 Similarity: 2.95ppm JCAWBKFOOJDBLS
|
Proposal # 348 Similarity: 2.95ppm HRFZSZKJLHMYLK
|
|
Proposal # 349 Similarity: 2.95ppm FWVIEECZIJSKQM
|
Proposal # 350 Similarity: 2.95ppm FPTHCRNEFDNOID
|
Proposal # 351 Similarity: 2.95ppm ILGRHKLBPVITGQ
|
|
Proposal # 352 Similarity: 2.95ppm YFRQVPVRQRQZPR
|
Proposal # 353 Similarity: 2.95ppm GUHMGRAKLDIUSI
|
Proposal # 354 Similarity: 2.95ppm DBACNGUBPCMOMS
|
|
Proposal # 355 Similarity: 2.95ppm WFXJGIZSEKKICP
|
Proposal # 356 Similarity: 2.95ppm BDFUZRSMXRRTTR
|
Proposal # 357 Similarity: 2.96ppm JFQPLQMGUCAEDO
|
|
Proposal # 358 Similarity: 2.96ppm RCYOYWIFGUCUOE
|
Proposal # 359 Similarity: 2.96ppm AJRYQCPDXBWJGZ
|
Proposal # 360 Similarity: 2.96ppm RKGDFDUANSZHHO
|
|
Proposal # 361 Similarity: 2.96ppm UPPWLSPBLYPUBQ
|
Proposal # 362 Similarity: 2.96ppm AKWPNFXHUKYBQY
|
Proposal # 363 Similarity: 2.96ppm XPGZQRWRCNCVPU
|
|
Proposal # 364 Similarity: 2.96ppm LQYIBCPQVZKLQV
|
Proposal # 365 Similarity: 2.96ppm POLAZGQNDUWLCO
|
Proposal # 366 Similarity: 2.96ppm CLRANPVOEBONCG
|
|
Proposal # 367 Similarity: 2.97ppm YFXFWQOTGZCMGE
|
Proposal # 368 Similarity: 2.97ppm CLBFMTKQARRTHY
|
Proposal # 369 Similarity: 2.97ppm ULZMAGLGBIPPGK
|
|
Proposal # 370 Similarity: 2.97ppm DZQZUBXPMHTHGY
|
Proposal # 371 Similarity: 2.97ppm KMSKGJSOGLZWSI
|
Proposal # 372 Similarity: 2.97ppm DHJWDOMCVUXRJU
|
|
Proposal # 373 Similarity: 2.97ppm MQJHQROVSPSVRP
|
Proposal # 374 Similarity: 2.97ppm AAIXGAADHJKPIW
|
Proposal # 375 Similarity: 2.97ppm RBSFHPLJIDMTNN
|
|
Proposal # 376 Similarity: 2.97ppm KHRKFMZMQULUMO
|
Proposal # 377 Similarity: 2.97ppm UFKQRHHCZYBYQB
|
Proposal # 378 Similarity: 2.97ppm MEWNIVOYCLPDQC
|
|
Proposal # 379 Similarity: 2.97ppm UPFWNYONXPHGKQ
|
Proposal # 380 Similarity: 2.97ppm SFLJNGYAIOUZDF
|
Proposal # 381 Similarity: 2.97ppm XTHBYCPKGACQLB
|
|
Proposal # 382 Similarity: 2.97ppm BQOBPEOJAOPXJF
|
Proposal # 383 Similarity: 2.97ppm UUICMQXJFUZDRE
|
Proposal # 384 Similarity: 2.98ppm BATXBHIMSCDWRX
|
|
Proposal # 385 Similarity: 2.98ppm QDSSYYREHSENJT
|
Proposal # 386 Similarity: 2.98ppm QZXNKXOQECKMFI
|
Proposal # 387 Similarity: 2.98ppm GDCHXCRZFVMBEG
|
|
Proposal # 388 Similarity: 2.98ppm AJPRAIWONJMUNB
|
Proposal # 389 Similarity: 2.98ppm SVZGXTWNTKESMO
|
Proposal # 390 Similarity: 2.98ppm ILRXKFBIXOTNAS
|
|
Proposal # 391 Similarity: 2.98ppm NLQDMHJXUIUULL
|
Proposal # 392 Similarity: 2.98ppm HKXZJKKFLMPZRJ
|
Proposal # 393 Similarity: 2.98ppm JNTVYDTVJAWUBE
|
|
Proposal # 394 Similarity: 2.98ppm NEJUUWQMBPUHPL
|
Proposal # 395 Similarity: 2.98ppm CQVSNBADOOCRQL
|
Proposal # 396 Similarity: 2.99ppm GASGOBUEVIDKRN
|
|
Proposal # 397 Similarity: 2.99ppm JESXOUFHQAMBBY
|
Proposal # 398 Similarity: 2.99ppm HALMMWYBQWLEDT
|
Proposal # 399 Similarity: 2.99ppm IYIOESCPGZCONN
|
|
Proposal # 400 Similarity: 2.99ppm NRIBLGQRBOXKQZ
|
Proposal # 401 Similarity: 2.99ppm TZHAGNPALGRXSW
|
Proposal # 402 Similarity: 2.99ppm BCNLNNHZTDQBAQ
|
|
Proposal # 403 Similarity: 2.99ppm KFXPZHMLMWBWBQ
|
Proposal # 404 Similarity: 2.99ppm VTDQEKWKWYHCQF
|
Proposal # 405 Similarity: 2.99ppm SOWHJRBIOYCVQY
|
|
Proposal # 406 Similarity: 2.99ppm CXMIMDYCXIUVCZ
|
Proposal # 407 Similarity: 2.99ppm JTQIXXSAFBIGEM
|
Proposal # 408 Similarity: 2.99ppm MPMNZJSSVHGUDI
|
|
Proposal # 409 Similarity: 2.99ppm JPMWHAYIPDWWEY
|
Proposal # 410 Similarity: 2.99ppm GSEBIYYBZWKGIR
|
Proposal # 411 Similarity: 2.99ppm SGLYZJHQCSWCRF
|
|
Proposal # 412 Similarity: 2.99ppm XBTUZZMAODRDHN
|
Proposal # 413 Similarity: 2.99ppm AFIHBSVAJAKYNV
|
Proposal # 414 Similarity: 3.00ppm HBHFWLXETZRVQM
|
|
Proposal # 415 Similarity: 3.00ppm UIMUGVPKCOHHIC
|
Proposal # 416 Similarity: 3.00ppm RKINAPXWHQAGCM
|
Proposal # 417 Similarity: 3.00ppm WTASAAWFUBOLQJ
|
|
Proposal # 418 Similarity: 3.00ppm SXEYZTRBFJDKIG
|
Proposal # 419 Similarity: 3.00ppm NUJLSMVPJWCUDK
|
Proposal # 420 Similarity: 3.00ppm OFBVUSKNCZCUFP
|
|
Proposal # 421 Similarity: 3.00ppm CDRVDZOUCNSRNU
|
Proposal # 422 Similarity: 3.00ppm VWXDGGXUAZDWEX
|
Proposal # 423 Similarity: 3.00ppm HITNUQFGYDBEAC
|
|
Proposal # 424 Similarity: 3.00ppm CQDFJYIJNJOHFH
|
Proposal # 425 Similarity: 3.00ppm WNZZJQKOOJHSPY
|
Proposal # 426 Similarity: 3.00ppm FRKPJJNJBZKWSC
|
|
Proposal # 427 Similarity: 3.00ppm OLARKBWXSAMJMS
|
Proposal # 428 Similarity: 3.00ppm CDPGJXWUIQAHLX
|
Proposal # 429 Similarity: 3.00ppm VKTNOKGCUCPJJS
|
|
Proposal # 430 Similarity: 3.00ppm QATQKRPGWGYXKG
|
Proposal # 431 Similarity: 3.01ppm LBSDMCZNVYJYSE
|
Proposal # 432 Similarity: 3.01ppm RODMPPBTHCSPQF
|
|
Proposal # 433 Similarity: 3.01ppm JHHRZULKBDZDSX
|
Proposal # 434 Similarity: 3.01ppm DBYXDVBNKOVYAO
|
Proposal # 435 Similarity: 3.01ppm SEIXVMREFASRKK
|
|
Proposal # 436 Similarity: 3.01ppm PFQXJCGJMDISIT
|
Proposal # 437 Similarity: 3.01ppm ANLLZYVKGDNBQE
|
Proposal # 438 Similarity: 3.01ppm TYYQEZWAGXCXRE
|
|
Proposal # 439 Similarity: 3.01ppm REVDDSDSEGSGOU
|
Proposal # 440 Similarity: 3.01ppm OKLUITKSFWTSSE
|
Proposal # 441 Similarity: 3.01ppm JGJHEHALBVQJGL
|
|
Proposal # 442 Similarity: 3.01ppm AFENCGIKEMSHJB
|
Proposal # 443 Similarity: 3.01ppm DWJXNAGPCXVTKZ
|
Proposal # 444 Similarity: 3.01ppm VACLYXOGEQOCAM
|
|
Proposal # 445 Similarity: 3.01ppm YPPVFHNTRYWBIL
|
Proposal # 446 Similarity: 3.01ppm VHCDHZDZCPRIDC
|
Proposal # 447 Similarity: 3.01ppm GMENVPFJHNYDLP
|
|
Proposal # 448 Similarity: 3.02ppm HHXBNSFJSCJMGW
|
Proposal # 449 Similarity: 3.02ppm UXCGAXATIFSKGO
|
Proposal # 450 Similarity: 3.02ppm OTKCEAKDWRVKMN
|
|
Proposal # 451 Similarity: 3.02ppm DTQXFTBBZQWMPU
|
Proposal # 452 Similarity: 3.02ppm FTNFVZAOIXRLJM
|
Proposal # 453 Similarity: 3.02ppm AXKUQBQITVKFBM
|
|
Proposal # 454 Similarity: 3.02ppm YBUGOJMYNCEJHR
|
Proposal # 455 Similarity: 3.02ppm WCRDTWSFZBUSMS
|
Proposal # 456 Similarity: 3.02ppm CDRXPSSHZQLQAN
|
|
Proposal # 457 Similarity: 3.02ppm SRFHMSNNKIKZQU
|
Proposal # 458 Similarity: 3.02ppm CYRIOGRHJIKQSR
|
Proposal # 459 Similarity: 3.02ppm JSMVNVJFKASHDO
|
|
Proposal # 460 Similarity: 3.02ppm KTBAZYZNIYGFBS
|
Proposal # 461 Similarity: 3.02ppm CQSNFCUVYFOYAB
|
Proposal # 462 Similarity: 3.02ppm KNXWAPTYRXWPRU
|
|
Proposal # 463 Similarity: 3.02ppm OVBOYQZUBPVNGQ
|
Proposal # 464 Similarity: 3.02ppm AZESOPWNFAOJKA
|
Proposal # 465 Similarity: 3.02ppm VEEAYDKANVFMSG
|
|
Proposal # 466 Similarity: 3.02ppm HQLWMIXPIUPGOM
|
Proposal # 467 Similarity: 3.02ppm AIUOPXXJLCPQKQ
|
Proposal # 468 Similarity: 3.02ppm AZZAMYFGARJLMY
|
|
Proposal # 469 Similarity: 3.02ppm PQRSLQLHCNRLHO
|
Proposal # 470 Similarity: 3.03ppm UHHACQYDEPHXHP
|
Proposal # 471 Similarity: 3.03ppm KGPUKPFZTGGIET
|
|
Proposal # 472 Similarity: 3.03ppm SSXOVVRJYVMVKB
|
Proposal # 473 Similarity: 3.03ppm IODZKYQRECGXNU
|
Proposal # 474 Similarity: 3.03ppm JZJOIANMXPWQEA
|
|
Proposal # 475 Similarity: 3.03ppm FDWJISYRXNBSRG
|
Proposal # 476 Similarity: 3.03ppm NJJCCDVYYOEQEX
|
Proposal # 477 Similarity: 3.03ppm UNTRICQMDRJAHH
|
|
Proposal # 478 Similarity: 3.03ppm JJHHUSBRSUFSOY
|
Proposal # 479 Similarity: 3.03ppm OJGRZCNRCXARDL
|
Proposal # 480 Similarity: 3.03ppm LTQWGUPJYKLSOB
|
|
Proposal # 481 Similarity: 3.03ppm SDHLGSMPOPSDEG
|
Proposal # 482 Similarity: 3.03ppm OYWABQGNPFKRSX
|
Proposal # 483 Similarity: 3.03ppm QRTLHQVJTRLAAT
|
|
Proposal # 484 Similarity: 3.03ppm KXOVRMVNKNGOQC
|
Proposal # 485 Similarity: 3.03ppm CGAQKLWILJFITP
|
Proposal # 486 Similarity: 3.03ppm BTATVNBSEVRZSG
|
|
Proposal # 487 Similarity: 3.04ppm VZVARDXWWWKBAK
|
Proposal # 488 Similarity: 3.04ppm YJQYUDYTOZXNFW
|
Proposal # 489 Similarity: 3.04ppm WZECEJQDFYRBJT
|
|
Proposal # 490 Similarity: 3.04ppm GVMWSFJYGOETQY
|
Proposal # 491 Similarity: 3.04ppm RMOYFSNRVSDXDP
|
Proposal # 492 Similarity: 3.04ppm WGGHBQZIYOQQSO
|
|
Proposal # 493 Similarity: 3.04ppm FAHXUUOBCBFERY
|
Proposal # 494 Similarity: 3.04ppm KGZWYOGWQMHUSN
|
Proposal # 495 Similarity: 3.04ppm BOLZLQALMCDYIO
|
|
Proposal # 496 Similarity: 3.04ppm UNJFZGVQPNEHMV
|
Proposal # 497 Similarity: 3.04ppm OMYXSYXAKRETHC
|
Proposal # 498 Similarity: 3.04ppm BDQSGMROKJAYEA
|
|
Proposal # 499 Similarity: 3.04ppm DRFQBHWRFMFWEL
|
Proposal # 500 Similarity: 3.04ppm GKJFOVDOCNZAEB
|
Proposal # 501 Similarity: 3.04ppm CNMITXFOVUMGIO
|
|
Proposal # 502 Similarity: 3.04ppm MCRBANLIFRQVHN
|
Proposal # 503 Similarity: 3.04ppm JTDDWDQXRGDNNU
|
Proposal # 504 Similarity: 3.04ppm MBSCUDMITMLUMO
|
|
Proposal # 505 Similarity: 3.04ppm SRGXBFOUTKIHPF
|
Proposal # 506 Similarity: 3.05ppm JMDNVGKMYRPDEQ
|
Proposal # 507 Similarity: 3.05ppm LJOYFRIIUTTYLV
|
|
Proposal # 508 Similarity: 3.05ppm DVRYPVQISSQFER
|
Proposal # 509 Similarity: 3.05ppm TUOPWSAVKKBKCD
|
Proposal # 510 Similarity: 3.05ppm KEFLPWZZTGNSOW
|
|
Proposal # 511 Similarity: 3.05ppm QMKZUAMBSLNYOY
|
Proposal # 512 Similarity: 3.05ppm DUTOBGGYUOLNKY
|
Proposal # 513 Similarity: 3.05ppm DNSRTXKNYJJLAS
|
|
Proposal # 514 Similarity: 3.05ppm BUOGHQDREPCMHG
|
Proposal # 515 Similarity: 3.05ppm CQUNBGRBNNAOLX
|
Proposal # 516 Similarity: 3.05ppm NIDBURHMPCJNNH
|
|
Proposal # 517 Similarity: 3.05ppm UAQDBAOXUYTGQN
|
Proposal # 518 Similarity: 3.05ppm OSOBBRZREZZASI
|
Proposal # 519 Similarity: 3.05ppm AGMTUCOJQXVHCN
|
|
Proposal # 520 Similarity: 3.05ppm VWQUODYIEGIVQH
|
Proposal # 521 Similarity: 3.06ppm IKUWIXSCPUNVLB
|
Proposal # 522 Similarity: 3.06ppm DUPRQPKDFRPNCQ
|
|
Proposal # 523 Similarity: 3.06ppm NRBDGZKCXWBJPQ
|
Proposal # 524 Similarity: 3.06ppm NEPJJHWALCTQHM
|
Proposal # 525 Similarity: 3.06ppm LGOZWBFLPKBXBS
|
|
Proposal # 526 Similarity: 3.06ppm FKUFPSKBMGRPMV
|
Proposal # 527 Similarity: 3.06ppm DTWRTJDBJOVOOB
|
Proposal # 528 Similarity: 3.06ppm GOHQCLJQGZPLAT
|
|
Proposal # 529 Similarity: 3.06ppm AGPHCCIIHPHQAT
|
Proposal # 530 Similarity: 3.06ppm GUASLMNUPIBGMW
|
Proposal # 531 Similarity: 3.06ppm WZNGXEAOAMGYPA
|
|
Proposal # 532 Similarity: 3.06ppm DQEIDMODLLVDPM
|
Proposal # 533 Similarity: 3.06ppm NVIBDQCYGXXLEB
|
Proposal # 534 Similarity: 3.06ppm MIKXWGPTKBAYAU
|
|
Proposal # 535 Similarity: 3.06ppm AREDJFGOGWUVQY
|
Proposal # 536 Similarity: 3.06ppm QURLPYHLDNTBTG
|
Proposal # 537 Similarity: 3.06ppm WNHDNPGGLXSYJJ
|
|
Proposal # 538 Similarity: 3.06ppm ZIDMNHNOGGKVRT
|
Proposal # 539 Similarity: 3.06ppm TVHFCMDWOAATEM
|
Proposal # 540 Similarity: 3.06ppm UUYSEBBYRWIXTB
|
|
Proposal # 541 Similarity: 3.06ppm OSSNVMVMXLGHOO
|
Proposal # 542 Similarity: 3.06ppm OROUWRVZROZROJ
|
Proposal # 543 Similarity: 3.06ppm XBEKNKLVQVQOFZ
|
|
Proposal # 544 Similarity: 3.07ppm JFEUXFVJTHFVRB
|
Proposal # 545 Similarity: 3.07ppm VZZCARYKJJOXPT
|
Proposal # 546 Similarity: 3.07ppm KVUKMUFCKSPOLX
|
|
Proposal # 547 Similarity: 3.07ppm FZAMWYKKKDMVIG
|
Proposal # 548 Similarity: 3.07ppm LNTHFHFUWGESKO
|
Proposal # 549 Similarity: 3.07ppm MXKXRNROCVOSAT
|
|
Proposal # 550 Similarity: 3.07ppm RXFZZDUIQVCKEK
|
Proposal # 551 Similarity: 3.07ppm XCJHIOVHPYWWNJ
|
Proposal # 552 Similarity: 3.07ppm DNJCREXWTNJRCY
|
|
Proposal # 553 Similarity: 3.07ppm TXIBQQIKADYYST
|
Proposal # 554 Similarity: 3.07ppm QBTAQRYZGHKBDH
|
Proposal # 555 Similarity: 3.07ppm HJHBOQLVUNUBAG
|
|
Proposal # 556 Similarity: 3.07ppm DJYLSCPKWRVOMJ
|
Proposal # 557 Similarity: 3.07ppm OVOXPWJYIPKDRI
|
Proposal # 558 Similarity: 3.07ppm RLQXQCHXUJMSKC
|
|
Proposal # 559 Similarity: 3.07ppm BNXVZYQACXHLMS
|
Proposal # 560 Similarity: 3.07ppm RDHBYWHHKZHUNU
|
Proposal # 561 Similarity: 3.07ppm OEKRPGBBRXXUSF
|
|
Proposal # 562 Similarity: 3.07ppm KPIDFLQWLLJASB
|
Proposal # 563 Similarity: 3.07ppm IGOVLBSUZGJZBG
|
Proposal # 564 Similarity: 3.07ppm UEDRCKZFWBGGCN
|
|
Proposal # 565 Similarity: 3.07ppm BZQHRFOPUMGUCB
|
Proposal # 566 Similarity: 3.07ppm RDOIYWLLSGFQKC
|
Proposal # 567 Similarity: 3.07ppm YHBBUKUFRKADCF
|
|
Proposal # 568 Similarity: 3.07ppm AMVZBLITFVSSDX
|
Proposal # 569 Similarity: 3.07ppm MAECZOPCOODLPY
|
Proposal # 570 Similarity: 3.08ppm MUDUWVJKWHZDBZ
|
|
Proposal # 571 Similarity: 3.08ppm FVSJDGGVMKMZPH
|
Proposal # 572 Similarity: 3.08ppm VRDJJRVFDVIYLT
|
Proposal # 573 Similarity: 3.08ppm NJLVMKILRBOJLF
|
|
Proposal # 574 Similarity: 3.08ppm NABPVMUSHFLNOF
|
Proposal # 575 Similarity: 3.08ppm HVZDMJMZJIXWDF
|
Proposal # 576 Similarity: 3.08ppm FQTSBJPEGRLSKP
|
|
Proposal # 577 Similarity: 3.08ppm IMUDBXOVMBHAFP
|
Proposal # 578 Similarity: 3.08ppm UVPFLSMPFOXXQQ
|
Proposal # 579 Similarity: 3.08ppm PXFHHDWJRQLYRF
|
|
Proposal # 580 Similarity: 3.08ppm HCBQLAMTKKTMIV
|
Proposal # 581 Similarity: 3.08ppm XATKFKQVYYZNQO
|
Proposal # 582 Similarity: 3.08ppm GCLSJWYZLIOZLO
|
|
Proposal # 583 Similarity: 3.08ppm AEAHDUVBVDFASJ
|
Proposal # 584 Similarity: 3.08ppm HCMHTCFKBLEGDU
|
Proposal # 585 Similarity: 3.08ppm PHTSLXQSKDQLBE
|
|
Proposal # 586 Similarity: 3.08ppm GAAOYFKZNQMKTC
|
Proposal # 587 Similarity: 3.08ppm WBEIFBXPWNBXIR
|
Proposal # 588 Similarity: 3.08ppm DMWPJDNOKFSNJN
|
|
Proposal # 589 Similarity: 3.08ppm YFCQHRBDVRMUBN
|
Proposal # 590 Similarity: 3.08ppm UFTGMLLYGFVMFR
|
Proposal # 591 Similarity: 3.09ppm ZSQREHDGWSBWDC
|
|
Proposal # 592 Similarity: 3.09ppm RJUNMKYCZZEVGX
|
Proposal # 593 Similarity: 3.09ppm VZLZMWWGEIMCAI
|
Proposal # 594 Similarity: 3.09ppm DMLGIHINWVLTCX
|
|
Proposal # 595 Similarity: 3.09ppm KKFHAXUZUMPUPZ
|
Proposal # 596 Similarity: 3.09ppm FISLZOQPORYEEV
|
Proposal # 597 Similarity: 3.09ppm JGQKWCOPQRYDDQ
|
|
Proposal # 598 Similarity: 3.09ppm ZIZDGXJSDDDMRC
|
Proposal # 599 Similarity: 3.09ppm FISQCFAMYHLXMW
|
Proposal # 600 Similarity: 3.09ppm VBKHBDDKXDMIEA
|
|
Proposal # 601 Similarity: 3.09ppm OAUHUBKWVKMNES
|
Proposal # 602 Similarity: 3.09ppm RUMSCAJOMNBLEJ
|
Proposal # 603 Similarity: 3.09ppm ZIFMAIZKAIMAET
|
|
Proposal # 604 Similarity: 3.09ppm RHDASZMUMYKUFG
|
Proposal # 605 Similarity: 3.09ppm BTKLVVMLHLCYPG
|
Proposal # 606 Similarity: 3.09ppm NOYUGRDAJOMJGU
|
|
Proposal # 607 Similarity: 3.09ppm BMDJAIKSFWCGLB
|
Proposal # 608 Similarity: 3.09ppm ZLIIIPPDRNNJKE
|
Proposal # 609 Similarity: 3.09ppm INJJLADQPUKLMD
|
|
Proposal # 610 Similarity: 3.09ppm MJQSUBHBROCBHS
|
Proposal # 611 Similarity: 3.09ppm ZMELHELJTMNICQ
|
Proposal # 612 Similarity: 3.09ppm FYJUFMPOZKYIPL
|
|
Proposal # 613 Similarity: 3.09ppm SPNGGZLZRLQIMQ
|
Proposal # 614 Similarity: 3.09ppm XQCASCLSEYPHCF
|
Proposal # 615 Similarity: 3.09ppm ASCPLYSIWUZJIA
|
|
Proposal # 616 Similarity: 3.10ppm PBDTZXGNWDFHCR
|
Proposal # 617 Similarity: 3.10ppm WMPQBZPRMWKNPN
|
Proposal # 618 Similarity: 3.10ppm IIOZHSMDAVCHAX
|
|
Proposal # 619 Similarity: 3.10ppm XBNOPIMZTLNHOS
|
Proposal # 620 Similarity: 3.10ppm RHXKLJQVSMKOCY
|
Proposal # 621 Similarity: 3.10ppm BHEQAUDAFDNKJH
|
|
Proposal # 622 Similarity: 3.10ppm SYDMBELCZKFMBC
|
Proposal # 623 Similarity: 3.10ppm DRIWKMYKHCOTGL
|
Proposal # 624 Similarity: 3.10ppm UZZDVZCWNHTXRP
|
|
Proposal # 625 Similarity: 3.10ppm WIAMOZVFDCOYBC
|
Proposal # 626 Similarity: 3.10ppm ZOOPKCJDDFVJHN
|
Proposal # 627 Similarity: 3.10ppm NVXHWODSHKYYAD
|
|
Proposal # 628 Similarity: 3.10ppm JFBGHGNUMLCKER
|
Proposal # 629 Similarity: 3.10ppm FMCKTVNRRDGKLR
|
Proposal # 630 Similarity: 3.10ppm DBFSRVAAGCNCIE
|
|
Proposal # 631 Similarity: 3.10ppm INTDIFJZHSSOIV
|
Proposal # 632 Similarity: 3.10ppm IDDBIJGPMKGQIS
|
Proposal # 633 Similarity: 3.10ppm DAADXMCNXAIAPA
|
|
Proposal # 634 Similarity: 3.11ppm WEQQWSFMMNMAAK
|
Proposal # 635 Similarity: 3.11ppm DBHAMMBUXKHWRA
|
Proposal # 636 Similarity: 3.11ppm SZDWEQFBKSHUQI
|
|
Proposal # 637 Similarity: 3.11ppm FGUOMQTVWDPWAN
|
Proposal # 638 Similarity: 3.11ppm MEASLZHRRZWENJ
|
Proposal # 639 Similarity: 3.11ppm KZMFAANFRAOVCF
|
|
Proposal # 640 Similarity: 3.11ppm FYLVRDIJSGLHAA
|
Proposal # 641 Similarity: 3.11ppm MTTXEHYNFXVGSG
|
Proposal # 642 Similarity: 3.11ppm ZIOKTERJTNUDNZ
|
|
Proposal # 643 Similarity: 3.11ppm DVSLBRYAJGBOGM
|
Proposal # 644 Similarity: 3.11ppm MXFMACFGVHLXIA
|
Proposal # 645 Similarity: 3.11ppm RKVSPLAXFHGGAI
|
|
Proposal # 646 Similarity: 3.11ppm RJWZEGLUVIDHHR
|
Proposal # 647 Similarity: 3.11ppm MZTLTTTUWXLQKA
|
Proposal # 648 Similarity: 3.11ppm ZPSZLLFDLMBSEY
|
|
Proposal # 649 Similarity: 3.11ppm GTAPBNRNRKKKOD
|
Proposal # 650 Similarity: 3.11ppm QVVROOMOZSKXGV
|
Proposal # 651 Similarity: 3.11ppm HRHGJFVKTCTGQJ
|
|
Proposal # 652 Similarity: 3.11ppm GQHLINXFOINZGK
|
Proposal # 653 Similarity: 3.12ppm XWPFSUPYLMHTPF
|
Proposal # 654 Similarity: 3.12ppm BSXHVMDOWRFIRP
|
|
Proposal # 655 Similarity: 3.12ppm OZHBXTJKCAYYCE
|
Proposal # 656 Similarity: 3.12ppm KOAXWMMQADDBSS
|
Proposal # 657 Similarity: 3.12ppm HQJAOFMYOYBUKR
|
|
Proposal # 658 Similarity: 3.12ppm XQBNRDFGLRQTGZ
|
Proposal # 659 Similarity: 3.12ppm LJORXCNPZMXEPH
|
Proposal # 660 Similarity: 3.12ppm NQDWNPCGGKAPLK
|
|
Proposal # 661 Similarity: 3.12ppm UTTWAVMGRPBSMQ
|
Proposal # 662 Similarity: 3.12ppm PVECXOCAVVOESP
|
Proposal # 663 Similarity: 3.12ppm WGDIKYYFDCEDRS
|
|
Proposal # 664 Similarity: 3.12ppm GQHOFGJWTLFDOB
|
Proposal # 665 Similarity: 3.12ppm WGMURGYOVNBSSE
|
Proposal # 666 Similarity: 3.12ppm WBZGZKAVUABSSF
|
|
Proposal # 667 Similarity: 3.12ppm JKAHEJKZJHGAKI
|
Proposal # 668 Similarity: 3.12ppm WHLQVUPYXQACCM
|
Proposal # 669 Similarity: 3.12ppm URRBJOCQPBODOF
|
|
Proposal # 670 Similarity: 3.12ppm VABBWWRWNHPOIA
|
Proposal # 671 Similarity: 3.12ppm JIKSQUBHHJQFAK
|
Proposal # 672 Similarity: 3.12ppm MKRUJPZZPQTPGZ
|
|
Proposal # 673 Similarity: 3.13ppm JVHQWBCSDYILIR
|
Proposal # 674 Similarity: 3.13ppm SFTWXVWJOHIBPC
|
Proposal # 675 Similarity: 3.13ppm BHULHPKCUFCHAU
|
|
Proposal # 676 Similarity: 3.13ppm QWRDCEVTFZRECW
|
Proposal # 677 Similarity: 3.13ppm DLNVRJONABFHCG
|
Proposal # 678 Similarity: 3.13ppm ZZLPRQRAJUSSRN
|
|
Proposal # 679 Similarity: 3.13ppm MUNVKZHLYYUNFW
|
Proposal # 680 Similarity: 3.13ppm XTWMRCZJFLVNFB
|
Proposal # 681 Similarity: 3.13ppm PBECDHINQIBGKX
|
|
Proposal # 682 Similarity: 3.13ppm OZYPWTPDDNTRFL
|
Proposal # 683 Similarity: 3.13ppm PTMJRCSIGVBWAW
|
Proposal # 684 Similarity: 3.13ppm PJJHAJIRCGUUFE
|
|
Proposal # 685 Similarity: 3.13ppm DSPUAIHITHOFAZ
|
Proposal # 686 Similarity: 3.13ppm PQEIUZAOBJRMQY
|
Proposal # 687 Similarity: 3.13ppm OKAXHNFROABUEV
|
|
Proposal # 688 Similarity: 3.13ppm MVMGDHQZVPGUDV
|
Proposal # 689 Similarity: 3.13ppm GIIXSKFAPVLOCY
|
Proposal # 690 Similarity: 3.13ppm ONGDEEJYNMAHDR
|
|
Proposal # 691 Similarity: 3.13ppm BGOHLLWSDWPNDJ
|
Proposal # 692 Similarity: 3.13ppm IJKVYBDZHRRMIH
|
Proposal # 693 Similarity: 3.13ppm BBBMHXSQDNUIQG
|
|
Proposal # 694 Similarity: 3.13ppm JUBRSFLWGCNUSO
|
Proposal # 695 Similarity: 3.14ppm YSMAAJIWYGYQNJ
|
Proposal # 696 Similarity: 3.14ppm GCPIDRVTTJMXPG
|
|
Proposal # 697 Similarity: 3.14ppm NVRMVJRINNBJNU
|
Proposal # 698 Similarity: 3.14ppm OIQUPCCGNUTGKK
|
Proposal # 699 Similarity: 3.14ppm GTCNYXJGFGDZKB
|
|
Proposal # 700 Similarity: 3.14ppm CJQDXFRQFCWKIZ
|
Proposal # 701 Similarity: 3.14ppm IMLXWSRSEYVCDX
|
Proposal # 702 Similarity: 3.14ppm IJLMUOMECVHURI
|
|
Proposal # 703 Similarity: 3.14ppm GADUZBNPTFGDJP
|
Proposal # 704 Similarity: 3.14ppm ONVSFUOGLZOGCH
|
Proposal # 705 Similarity: 3.14ppm VOZKRNYDPKWOOT
|
|
Proposal # 706 Similarity: 3.14ppm XQZHYMXHIYVMRB
|
Proposal # 707 Similarity: 3.14ppm BLCQJBUAUHNOIL
|
Proposal # 708 Similarity: 3.14ppm GUIBLJBLFNCRCW
|
|
Proposal # 709 Similarity: 3.14ppm NVDJIEBABRJNQL
|
Proposal # 710 Similarity: 3.14ppm RLTGFFHSOZUUBR
|
Proposal # 711 Similarity: 3.14ppm USJCJINPPCLPOP
|
|
Proposal # 712 Similarity: 3.14ppm UYMMDZZBCNUNAA
|
Proposal # 713 Similarity: 3.14ppm ACWZCXABXKTGFS
|
Proposal # 714 Similarity: 3.14ppm ZMSGGNBRCFCCTH
|
|
Proposal # 715 Similarity: 3.14ppm IDVCIUGUFUJPID
|
Proposal # 716 Similarity: 3.14ppm HUQAEORWZYDYTI
|
Proposal # 717 Similarity: 3.14ppm XOYZZVDVVGWRBZ
|
|
Proposal # 718 Similarity: 3.14ppm SUXFZNWCSPHOTB
|
Proposal # 719 Similarity: 3.14ppm WKVDGIDOXLOOMU
|
Proposal # 720 Similarity: 3.14ppm ANZSRKLSIUVKHO
|
|
Proposal # 721 Similarity: 3.14ppm JPZKILIVKFJAKU
|
Proposal # 722 Similarity: 3.14ppm TTYHMEDKNLEVJX
|
Proposal # 723 Similarity: 3.15ppm LAFWVBHBNPACHW
|
|
Proposal # 724 Similarity: 3.15ppm PVHCWSVFIPMTBH
|
Proposal # 725 Similarity: 3.15ppm QJNQOEIZCMGEKJ
|
Proposal # 726 Similarity: 3.15ppm BYRYRAFMTMTEJT
|
|
Proposal # 727 Similarity: 3.15ppm ATHFJDLAUCPDKU
|
Proposal # 728 Similarity: 3.15ppm XKLPGZFAFZZFHG
|
Proposal # 729 Similarity: 3.15ppm PHFDFRAKTCCOSG
|
|
Proposal # 730 Similarity: 3.15ppm UBIOVEZQGZHNBY
|
Proposal # 731 Similarity: 3.15ppm XBBTXAOCWZAOLQ
|
Proposal # 732 Similarity: 3.15ppm RNQQLTKJNJRADW
|
|
Proposal # 733 Similarity: 3.15ppm PIOWOFMJRFTRNH
|
Proposal # 734 Similarity: 3.15ppm MZQSDCJVTDJABB
|
Proposal # 735 Similarity: 3.15ppm MILMMMRFSDWFSS
|
|
Proposal # 736 Similarity: 3.15ppm PEGNELINDLCFLW
|
Proposal # 737 Similarity: 3.15ppm IQYNNRFQTIGFQT
|
Proposal # 738 Similarity: 3.15ppm FIAROUNXIOPRQF
|
|
Proposal # 739 Similarity: 3.15ppm JTUHRPFFAQSULU
|
Proposal # 740 Similarity: 3.15ppm XECVGXHWILLSED
|
Proposal # 741 Similarity: 3.15ppm OKMGXYKEQMCVNG
|
|
Proposal # 742 Similarity: 3.15ppm IYGRIRDRJVLRNS
|
Proposal # 743 Similarity: 3.15ppm VOHNIQYDIPWTDG
|
Proposal # 744 Similarity: 3.15ppm KGQRTEGFMJWJHE
|
|
Proposal # 745 Similarity: 3.15ppm LIOZIBMTWDDOJE
|
Proposal # 746 Similarity: 3.15ppm NZGHPCLAGPMNDH
|
Proposal # 747 Similarity: 3.15ppm GJLAMBDHYABOQG
|
|
Proposal # 748 Similarity: 3.15ppm PIQICNDZIJGCCR
|
Proposal # 749 Similarity: 3.15ppm KJWRJUCYHIFGCS
|
Proposal # 750 Similarity: 3.16ppm ZYFNKEXEVDDTQJ
|
|
Proposal # 751 Similarity: 3.16ppm DFFCEXRJQGLCAV
|
Proposal # 752 Similarity: 3.16ppm NVRSZRVARNLAMS
|
Proposal # 753 Similarity: 3.16ppm RVNRMYXAIZMPLL
|
|
Proposal # 754 Similarity: 3.16ppm LCWLLWSTUBIRFK
|
Proposal # 755 Similarity: 3.16ppm AGBNHXMFWWBLOZ
|
Proposal # 756 Similarity: 3.16ppm ZYISVNPVPJGZHP
|
|
Proposal # 757 Similarity: 3.16ppm RIAKOERBMRHFMI
|
Proposal # 758 Similarity: 3.16ppm FNEWCDQDZLEQGB
|
Proposal # 759 Similarity: 3.16ppm PWSDPRHXOMFUPU
|
|
Proposal # 760 Similarity: 3.16ppm XVUGIQOAZRFJLH
|
Proposal # 761 Similarity: 3.16ppm KGKBDLZMFWHGNM
|
Proposal # 762 Similarity: 3.16ppm ZXWJNXYAZBWRSN
|
|
Proposal # 763 Similarity: 3.16ppm XWCAIJFSGLNXJG
|
Proposal # 764 Similarity: 3.16ppm LFKBCVWNVOKNOD
|
Proposal # 765 Similarity: 3.16ppm HTPMMFFGAQLHDJ
|
|
Proposal # 766 Similarity: 3.16ppm WZYBSMHFBKTTHQ
|
Proposal # 767 Similarity: 3.16ppm FZTJADMWGSHBSQ
|
Proposal # 768 Similarity: 3.16ppm ZMQFZNJVKHAMOK
|
|
Proposal # 769 Similarity: 3.16ppm ZHHIZQBNWOSHBR
|
Proposal # 770 Similarity: 3.16ppm CIDFIUJVMJUUTN
|
Proposal # 771 Similarity: 3.16ppm HTKNORQWWVKLPD
|
|
Proposal # 772 Similarity: 3.16ppm DKTWRCSPKPUFIK
|
Proposal # 773 Similarity: 3.16ppm FFMAMNUQYUHQBB
|
Proposal # 774 Similarity: 3.16ppm GEWURZPCECVXIB
|
|
Proposal # 775 Similarity: 3.16ppm JLHYYNKHKAOPFR
|
Proposal # 776 Similarity: 3.16ppm NHTBYEGOYUDAMN
|
Proposal # 777 Similarity: 3.16ppm QADDOQWNGWJOHG
|
|
Proposal # 778 Similarity: 3.16ppm ANDUVNLJYLCRDQ
|
Proposal # 779 Similarity: 3.16ppm DMWUBKAQIKGPCC
|
Proposal # 780 Similarity: 3.16ppm JUYWENLYEOYORK
|
|
Proposal # 781 Similarity: 3.16ppm ACDKKKWRXHVZTO
|
Proposal # 782 Similarity: 3.16ppm DWKIZNVBWYKFQQ
|
Proposal # 783 Similarity: 3.16ppm QENVKKZTGFBOGX
|
|
Proposal # 784 Similarity: 3.16ppm DVLUNGKQCMHFAA
|
Proposal # 785 Similarity: 3.17ppm WTKLUHATSDTGKA
|
Proposal # 786 Similarity: 3.17ppm RHSHRUIQMJYKLK
|
|
Proposal # 787 Similarity: 3.17ppm DFXRSLYAFBXGSZ
|
Proposal # 788 Similarity: 3.17ppm MMGLLDAAEZLPNI
|
Proposal # 789 Similarity: 3.17ppm OCWJMAKQDJRFQF
|
|
Proposal # 790 Similarity: 3.17ppm VNBWKDRRVCPBNM
|
Proposal # 791 Similarity: 3.17ppm LNNFXBOUMKSKJT
|
Proposal # 792 Similarity: 3.17ppm GIXLERMIMUCSNA
|
|
Proposal # 793 Similarity: 3.17ppm SLZBCVKMVODLBI
|
Proposal # 794 Similarity: 3.17ppm HXKYRZCCWAQVMP
|
Proposal # 795 Similarity: 3.17ppm BKYGIXNODISTIO
|
|
Proposal # 796 Similarity: 3.17ppm KHSZSNVWUPBWRD
|
Proposal # 797 Similarity: 3.17ppm TWTRBTBJDBOCCM
|
Proposal # 798 Similarity: 3.17ppm NPGMMYPPJRYWEN
|
|
Proposal # 799 Similarity: 3.17ppm QNFIWPHWGZJHPV
|
Proposal # 800 Similarity: 3.17ppm SPTJPOXOSWMCQT
|
Proposal # 801 Similarity: 3.17ppm NCWMOZDEXVWRHD
|
|
Proposal # 802 Similarity: 3.17ppm ABCGKXIYZDPNTF
|
Proposal # 803 Similarity: 3.17ppm ZTTYEUFQTVHVSR
|
Proposal # 804 Similarity: 3.17ppm OTMXVKQZFJVHOK
|
|
Proposal # 805 Similarity: 3.17ppm YEMIQAFVPQTMPQ
|
Proposal # 806 Similarity: 3.17ppm ZPMXTRIHOMVFTH
|
Proposal # 807 Similarity: 3.17ppm AUKJYBWPBSOOSI
|
|
Proposal # 808 Similarity: 3.17ppm RHJMJZPOLBXMJD
|
Proposal # 809 Similarity: 3.17ppm XIBDYWMYNJDLRV
|
Proposal # 810 Similarity: 3.17ppm YIYCUXBIEGTRIR
|
|
Proposal # 811 Similarity: 3.17ppm HZDLHPMPGNSFRA
|
Proposal # 812 Similarity: 3.18ppm OHZPLXQRFUGUIJ
|
Proposal # 813 Similarity: 3.18ppm IVWPKEZLQHVBSS
|
|
Proposal # 814 Similarity: 3.18ppm KUAXXCQUCKOJSP
|
Proposal # 815 Similarity: 3.18ppm UXMOOHSKVHYFLQ
|
Proposal # 816 Similarity: 3.18ppm HJYNEGTYAWDOGJ
|
|
Proposal # 817 Similarity: 3.18ppm OOCUTJMURSIROW
|
Proposal # 818 Similarity: 3.18ppm GRRCRLCVMDMNEG
|
Proposal # 819 Similarity: 3.18ppm QTPZIGUBTZCNMZ
|
|
Proposal # 820 Similarity: 3.18ppm YCKVWLSOIPSKQO
|
Proposal # 821 Similarity: 3.18ppm UWDHJPRQZSVRBM
|
Proposal # 822 Similarity: 3.18ppm FFESTXDDCDZORW
|
|
Proposal # 823 Similarity: 3.18ppm BORRYDBTIMVXDL
|
Proposal # 824 Similarity: 3.18ppm WMAUNWFCCUOLQI
|
Proposal # 825 Similarity: 3.18ppm JDYVFQDZGOUNBJ
|
|
Proposal # 826 Similarity: 3.18ppm XEQQHPIHRQJURL
|
Proposal # 827 Similarity: 3.18ppm JOAYSEWBJVDVEP
|
Proposal # 828 Similarity: 3.18ppm UHOXGVIPPADMOK
|
|
Proposal # 829 Similarity: 3.18ppm NJXMGCKEMBACHF
|
Proposal # 830 Similarity: 3.18ppm AYFQJFMOGPZHSP
|
Proposal # 831 Similarity: 3.18ppm FXWFQCHKIMUXJJ
|
|
Proposal # 832 Similarity: 3.18ppm DQYHXTWPFNUPEM
|
Proposal # 833 Similarity: 3.18ppm LXAADXSBCFTRBV
|
Proposal # 834 Similarity: 3.18ppm ZADUFIIJXRCIQL
|
|
Proposal # 835 Similarity: 3.18ppm UYTZEPWFYVVSEW
|
Proposal # 836 Similarity: 3.18ppm QYHZQVDFSGAULW
|
Proposal # 837 Similarity: 3.18ppm LIRJBHRCTZEZFV
|
|
Proposal # 838 Similarity: 3.18ppm AXWUOLLVWXUDRF
|
Proposal # 839 Similarity: 3.18ppm ZWEHSHPYRNKIHD
|
Proposal # 840 Similarity: 3.18ppm MHIDKHPILIUKJA
|
|
Proposal # 841 Similarity: 3.18ppm ZQUOWZOTUOQGJF
|
Proposal # 842 Similarity: 3.18ppm CVQWGXRFRMUIMF
|
Proposal # 843 Similarity: 3.18ppm IUERHMDJQKXCMU
|
|
Proposal # 844 Similarity: 3.18ppm XHQPDCMGRSPCPU
|
Proposal # 845 Similarity: 3.18ppm QZCNWFCZKQCGRN
|
Proposal # 846 Similarity: 3.18ppm FFBVGCDXBMPXDY
|
|
Proposal # 847 Similarity: 3.18ppm BTEZNZMURRJIPG
|
Proposal # 848 Similarity: 3.19ppm AHPJWSFJKTXSAN
|
Proposal # 849 Similarity: 3.19ppm JVEMAXGPQBAUQO
|
|
Proposal # 850 Similarity: 3.19ppm YJGROPDBXXOTQQ
|
Proposal # 851 Similarity: 3.19ppm WEUYWBCLXASBAG
|
Proposal # 852 Similarity: 3.19ppm COWFGRGKDVAUOS
|
|
Proposal # 853 Similarity: 3.19ppm ARASGFRSRLOESS
|
Proposal # 854 Similarity: 3.19ppm NOFDJXNUMNSOMH
|
Proposal # 855 Similarity: 3.19ppm HCOWSKJMDFSUBC
|
|
Proposal # 856 Similarity: 3.19ppm NSVCMCFERNANTP
|
Proposal # 857 Similarity: 3.19ppm RZVYASKLKXRZNP
|
Proposal # 858 Similarity: 3.19ppm VOHWSNPBCFVDNA
|
|
Proposal # 859 Similarity: 3.19ppm FZLVADVDHHAZNH
|
Proposal # 860 Similarity: 3.19ppm HDCHDURMZGBPCX
|
Proposal # 861 Similarity: 3.19ppm CUOIGJKBSVAOFK
|
|
Proposal # 862 Similarity: 3.19ppm VAHGPLSIWCWYBJ
|
Proposal # 863 Similarity: 3.19ppm BYKICWLSUINTJV
|
Proposal # 864 Similarity: 3.19ppm XHUXCIJBYHZCSN
|
|
Proposal # 865 Similarity: 3.19ppm YAOKESNLIPOAJC
|
Proposal # 866 Similarity: 3.19ppm LXDCSOPZFDDQKP
|
Proposal # 867 Similarity: 3.19ppm OUUPVMDVRRAGGE
|
|
Proposal # 868 Similarity: 3.19ppm KRJYKBPMZIURBK
|
Proposal # 869 Similarity: 3.19ppm QGQNFVKUSGXSGA
|
Proposal # 870 Similarity: 3.19ppm LQYDWOORPMXKAK
|
|
Proposal # 871 Similarity: 3.19ppm PYTNCRNCNZJICC
|
Proposal # 872 Similarity: 3.19ppm UCGVZQMKFUWKJI
|
Proposal # 873 Similarity: 3.19ppm ZWAXQTCFIOQFQV
|
|
Proposal # 874 Similarity: 3.19ppm OVAYQPNEEXESQP
|
Proposal # 875 Similarity: 3.19ppm RFOQDXHDICBKHC
|
Proposal # 876 Similarity: 3.19ppm AAGMUEFGFQEGTP
|
|
Proposal # 877 Similarity: 3.19ppm JWWIBWVNXGAEIS
|
Proposal # 878 Similarity: 3.19ppm LDCUGSBJDBQAHK
|
Proposal # 879 Similarity: 3.19ppm KJXDQIHXMHBLFR
|
|
Proposal # 880 Similarity: 3.19ppm TWMROPYBPMHVEN
|
Proposal # 881 Similarity: 3.19ppm AYMDFTWXCVFGQJ
|
Proposal # 882 Similarity: 3.20ppm RMFVNUDYJZXKNB
|
|
Proposal # 883 Similarity: 3.20ppm JDNCVWFLRUXGQW
|
Proposal # 884 Similarity: 3.20ppm CKHQCKNXHUNGSO
|
Proposal # 885 Similarity: 3.20ppm HUCRMCOTCAAPDY
|
|
Proposal # 886 Similarity: 3.20ppm WAKYBYPCFYXOQA
|
Proposal # 887 Similarity: 3.20ppm CRRFUTDGNNIGRA
|
Proposal # 888 Similarity: 3.20ppm DVDLEDKBRBMZDW
|
|
Proposal # 889 Similarity: 3.20ppm IAQUNOMSQSDOGG
|
Proposal # 890 Similarity: 3.20ppm LHHOHRDBPWIDCL
|
Proposal # 891 Similarity: 3.20ppm NZNCUMDJEHOILJ
|
|
Proposal # 892 Similarity: 3.20ppm MXEIUEDPUMMJCI
|
Proposal # 893 Similarity: 3.20ppm FXWYICITOVBJHO
|
Proposal # 894 Similarity: 3.20ppm FOEWJMBVOSDDIT
|
|
Proposal # 895 Similarity: 3.20ppm DMOURVKBSGNTND
|
Proposal # 896 Similarity: 3.20ppm AEEOGCCFNDIREI
|
Proposal # 897 Similarity: 3.20ppm IIEAIBIDPKYSHP
|
|
Proposal # 898 Similarity: 3.20ppm DJCYXLDFRNQQLW
|
Proposal # 899 Similarity: 3.20ppm PVBLWTVKOULRMC
|
Proposal # 900 Similarity: 3.20ppm KFRIUPLOQPUPFF
|
|
Proposal # 901 Similarity: 3.20ppm KQYCNOKIDBOKOO
|
Proposal # 902 Similarity: 3.20ppm CUKBOCARZNMADH
|
Proposal # 903 Similarity: 3.20ppm LHSJBXYBQHKHHW
|
|
Proposal # 904 Similarity: 3.20ppm IFYGBXCEWBOGEA
|
Proposal # 905 Similarity: 3.20ppm DFJDMRCIKQLUSX
|
Proposal # 906 Similarity: 3.20ppm MPOABPAYSRRMNA
|
|
Proposal # 907 Similarity: 3.20ppm DYYLUCFTLFBLIN
|
Proposal # 908 Similarity: 3.20ppm BTNYTTWKSGJUIV
|
Proposal # 909 Similarity: 3.20ppm DMOZMXDZMXDGCN
|
|
Proposal # 910 Similarity: 3.20ppm MHYBMBHYGWIYND
|
Proposal # 911 Similarity: 3.20ppm KEXUZUKCULTDSD
|
Proposal # 912 Similarity: 3.20ppm RPAANXDKDCZCMV
|
|
Proposal # 913 Similarity: 3.20ppm RDOIHSVUPFQPSR
|
Proposal # 914 Similarity: 3.20ppm TZPJIIXBVZXTEQ
|
Proposal # 915 Similarity: 3.20ppm CKSIRHULAVULPU
|
|
Proposal # 916 Similarity: 3.20ppm RFKZXDHDMSHPEA
|
Proposal # 917 Similarity: 3.20ppm CZWDQEANWOKGAL
|
Proposal # 918 Similarity: 3.21ppm MKQNWOAHIQXDTL
|
|
Proposal # 919 Similarity: 3.21ppm RLHLARZXRVRWSS
|
Proposal # 920 Similarity: 3.21ppm PVWBEESFQMSEFS
|
Proposal # 921 Similarity: 3.21ppm IOJCLZNEROXFHL
|
|
Proposal # 922 Similarity: 3.21ppm OIPFICNTXGZTDA
|
Proposal # 923 Similarity: 3.21ppm LFQFYQLFZREYNK
|
Proposal # 924 Similarity: 3.21ppm ZFXVWSODFQNCTD
|
|
Proposal # 925 Similarity: 3.21ppm XNJCJNQFQICOAC
|
Proposal # 926 Similarity: 3.21ppm INZXMECLTNUHIU
|
Proposal # 927 Similarity: 3.21ppm VFLPEYFBSJXERE
|
|
Proposal # 928 Similarity: 3.21ppm WYJGLWUQOBTHRI
|
Proposal # 929 Similarity: 3.21ppm NFUTUYFJQBEPTO
|
Proposal # 930 Similarity: 3.21ppm BPJRGPOQSAFOJI
|
|
Proposal # 931 Similarity: 3.21ppm HYYDSSFBFVMWBX
|
Proposal # 932 Similarity: 3.21ppm JJBHOXJFIBZQRW
|
Proposal # 933 Similarity: 3.21ppm ISEHIYDLJGKDAS
|
|
Proposal # 934 Similarity: 3.21ppm QWTXYXPBQZAINN
|
Proposal # 935 Similarity: 3.21ppm VMNCTABTZUKHLX
|
Proposal # 936 Similarity: 3.21ppm BQIBQWHLPWIDMM
|
|
Proposal # 937 Similarity: 3.21ppm PIIDQNOIHGCEIL
|
Proposal # 938 Similarity: 3.21ppm XSZAPKZXEHFJST
|
Proposal # 939 Similarity: 3.21ppm CPCOPYMNVYUZTB
|
|
Proposal # 940 Similarity: 3.21ppm SDQVHYSJZZHERA
|
Proposal # 941 Similarity: 3.21ppm PZRWERMSDPEBMQ
|
Proposal # 942 Similarity: 3.21ppm WRXFTTJKTQSDAT
|
|
Proposal # 943 Similarity: 3.21ppm BAPCPQJGRMCWDO
|
Proposal # 944 Similarity: 3.21ppm JVIFXFLDPMNMTL
|
Proposal # 945 Similarity: 3.21ppm TYOZVTMSYFZEJO
|
|
Proposal # 946 Similarity: 3.21ppm YJCYDPHHVPSNDB
|
Proposal # 947 Similarity: 3.21ppm VBVXOSUNMBOMHG
|
Proposal # 948 Similarity: 3.21ppm KYNGZSVFUHFNHH
|
|
Proposal # 949 Similarity: 3.21ppm QGIKJFBFBYSDIV
|
Proposal # 950 Similarity: 3.21ppm CPPYVJSYPDAVSI
|
Proposal # 951 Similarity: 3.22ppm LRPCETLZJICVKS
|
|
Proposal # 952 Similarity: 3.22ppm VWYRHLOOLFFEHR
|
Proposal # 953 Similarity: 3.22ppm NHNJNVJBSJJFEF
|
Proposal # 954 Similarity: 3.22ppm JLZJZEKVKQCOGS
|
|
Proposal # 955 Similarity: 3.22ppm XXUJONARDNOWGO
|
Proposal # 956 Similarity: 3.22ppm XHPYSBDUICXTDX
|
Proposal # 957 Similarity: 3.22ppm MCKHGWWECMBMBL
|
|
Proposal # 958 Similarity: 3.22ppm XIVNQYQQWXNMNL
|
Proposal # 959 Similarity: 3.22ppm YVYANSLJLJAFFF
|
Proposal # 960 Similarity: 3.22ppm MJBWHWXWNLPCSS
|
|
Proposal # 961 Similarity: 3.22ppm PPHBNWOITIIRJO
|
Proposal # 962 Similarity: 3.22ppm QCPMYUSYLXWKIE
|
Proposal # 963 Similarity: 3.22ppm FTVDEZDWNRKIQY
|
|
Proposal # 964 Similarity: 3.22ppm TZWWGUFJZUJIEV
|
Proposal # 965 Similarity: 3.22ppm NOZTTZCTRIGDKB
|
Proposal # 966 Similarity: 3.22ppm MFMMHVLJRLVGRM
|
|
Proposal # 967 Similarity: 3.22ppm WHYWFIATAUVCBD
|
Proposal # 968 Similarity: 3.22ppm ACXWAQPXVPPPRI
|
Proposal # 969 Similarity: 3.22ppm HOAHUIGMIMFMCI
|
|
Proposal # 970 Similarity: 3.22ppm SQTYOZTXLFNDOJ
|
Proposal # 971 Similarity: 3.22ppm GEYWWNNZPSXSST
|
Proposal # 972 Similarity: 3.22ppm HNILIBZDCUJIRJ
|
|
Proposal # 973 Similarity: 3.22ppm RYAXXBUJHWCIKI
|
Proposal # 974 Similarity: 3.22ppm LGIHUXAHBZNGKM
|
Proposal # 975 Similarity: 3.22ppm WOKRBZJNRSVLNW
|
|
Proposal # 976 Similarity: 3.22ppm HGUYFTLXPYULFJ
|
Proposal # 977 Similarity: 3.22ppm RRSQTUPBGHKYOD
|
Proposal # 978 Similarity: 3.22ppm TUICHNAXEWWZSS
|
|
Proposal # 979 Similarity: 3.22ppm PAQWJNSOWSPMSM
|
Proposal # 980 Similarity: 3.22ppm VWDBPJATZROABW
|
Proposal # 981 Similarity: 3.22ppm YMHLUTDPOFYQKY
|
|
Proposal # 982 Similarity: 3.23ppm IXMNXWAJMQTCGB
|
Proposal # 983 Similarity: 3.23ppm OPMJBMWFJMVBHK
|
Proposal # 984 Similarity: 3.23ppm KJRICORVJVXIAN
|
|
Proposal # 985 Similarity: 3.23ppm RXOLMQLXIRTHFM
|
Proposal # 986 Similarity: 3.23ppm WBOPORLLIQJAQG
|
Proposal # 987 Similarity: 3.23ppm CNWRYQFSNVJLTA
|
|
Proposal # 988 Similarity: 3.23ppm SNOPFNVBEOHBPB
|
Proposal # 989 Similarity: 3.23ppm XIGWMXVZNZKQMR
|
Proposal # 990 Similarity: 3.23ppm ZDYZXCFCQTZZIL
|
|
Proposal # 991 Similarity: 3.23ppm HNWBTXPNUPNMFT
|
Proposal # 992 Similarity: 3.23ppm FAUOXNYRFDGESJ
|
Proposal # 993 Similarity: 3.23ppm CBMKYCWSNNKQSC
|
|
Proposal # 994 Similarity: 3.23ppm BFUMJSIOMAHNOM
|
Proposal # 995 Similarity: 3.23ppm AJDFKNOSRPQVLQ
|
Proposal # 996 Similarity: 3.23ppm MNUSKNFYCMUEJQ
|
|
Proposal # 997 Similarity: 3.23ppm QZSLEGSWTXMQDC
|
Proposal # 998 Similarity: 3.23ppm UNOKEAXRMMBBTM
|
Proposal # 999 Similarity: 3.23ppm RLBWQVNBHKNAIV
|
|
Proposal # 1000 Similarity: 3.23ppm LLJIQWIOWAYMAP
|
Proposal # 1001 Similarity: 3.23ppm LZTTUMAVXXJMGY
|
Proposal # 1002 Similarity: 3.23ppm UCUHXBUSWPLJOC
|
|
Proposal # 1003 Similarity: 3.23ppm SPKUHQAXKXGLKA
|
Proposal # 1004 Similarity: 3.23ppm GSZDSMDAKPSUJS
|
Proposal # 1005 Similarity: 3.23ppm GWYOZOONXVNVPQ
|
|
Proposal # 1006 Similarity: 3.23ppm PGAUHPHEYDNJBM
|
Proposal # 1007 Similarity: 3.23ppm HEZBYMOTWOZKIO
|
Proposal # 1008 Similarity: 3.23ppm PYNVWKIGVSSWMR
|
|
Proposal # 1009 Similarity: 3.23ppm UIIQHUKMCXSDNF
|
Proposal # 1010 Similarity: 3.23ppm HBQXLTGLDASNCJ
|
Proposal # 1011 Similarity: 3.23ppm SVHGIRCFEGAJSM
|
|
Proposal # 1012 Similarity: 3.23ppm MJNFGYRZNZSVQC
|
Proposal # 1013 Similarity: 3.23ppm NXFPRHSRXVQERT
|
Proposal # 1014 Similarity: 3.24ppm AQPRHEBHLPPUGB
|
|
Proposal # 1015 Similarity: 3.24ppm OQZUCBBXZXVIDG
|
Proposal # 1016 Similarity: 3.24ppm HRQDVJQGCVRCPV
|
Proposal # 1017 Similarity: 3.24ppm CFYLIBHHBFQNGR
|
|
Proposal # 1018 Similarity: 3.24ppm CKEDNIMZIIFTDR
|
Proposal # 1019 Similarity: 3.24ppm XWIWIILSQCSIPX
|
Proposal # 1020 Similarity: 3.24ppm MKNZFYTXKQBOBB
|
|
Proposal # 1021 Similarity: 3.24ppm YVEFCDFLGUVITH
|
Proposal # 1022 Similarity: 3.24ppm DJNZSMMFOQEHHJ
|
Proposal # 1023 Similarity: 3.24ppm WZXSFZHKLWNLJE
|
|
Proposal # 1024 Similarity: 3.24ppm HBHOHRIPVUXBIL
|
Proposal # 1025 Similarity: 3.24ppm SYRMLYUNMSLTGQ
|
Proposal # 1026 Similarity: 3.24ppm JFYTXHGTTSQYAD
|
|
Proposal # 1027 Similarity: 3.24ppm MOCJQMRRJRWOCD
|
Proposal # 1028 Similarity: 3.24ppm VRLORURYEHVTCN
|
Proposal # 1029 Similarity: 3.24ppm CMYWTGFPJRWGCH
|
|
Proposal # 1030 Similarity: 3.24ppm NNBSPOYUPSXQLJ
|
Proposal # 1031 Similarity: 3.24ppm SOTXCJBQNYLIBS
|
Proposal # 1032 Similarity: 3.24ppm SKOOIWFQQBMBOI
|
|
Proposal # 1033 Similarity: 3.24ppm ZEWXBTHIZRFSED
|
Proposal # 1034 Similarity: 3.24ppm FXDNWTPTLDERSH
|
Proposal # 1035 Similarity: 3.24ppm WPTHEWJLLPOSGN
|
|
Proposal # 1036 Similarity: 3.24ppm MAPHLQLGRKXGIP
|
Proposal # 1037 Similarity: 3.24ppm CDAAKUKJPVWGAL
|
Proposal # 1038 Similarity: 3.24ppm QKEVFHQEIQVJGN
|
|
Proposal # 1039 Similarity: 3.24ppm LONRNVMRWRJRAS
|
Proposal # 1040 Similarity: 3.24ppm GKVMGJWCOUPLKI
|
Proposal # 1041 Similarity: 3.24ppm KBDMUIIODYZPHR
|
|
Proposal # 1042 Similarity: 3.24ppm TUYNKKRAEMRYPP
|
Proposal # 1043 Similarity: 3.24ppm VSFAORBDPSLFTJ
|
Proposal # 1044 Similarity: 3.24ppm NSRYEZZCMHEGNB
|
|
Proposal # 1045 Similarity: 3.24ppm NXUMXOBKQMIBSQ
|
Proposal # 1046 Similarity: 3.24ppm GLBBRVOMGMGFNZ
|
Proposal # 1047 Similarity: 3.24ppm NZCCDEQTRIGLJO
|
|
Proposal # 1048 Similarity: 3.24ppm PENKTGAWSGSEFA
|
Proposal # 1049 Similarity: 3.24ppm XVIWTALGRNSLSE
|
Proposal # 1050 Similarity: 3.24ppm UPQROJCSQMMTNO
|
|
Proposal # 1051 Similarity: 3.25ppm VXXSDQLAFRLGHL
|
Proposal # 1052 Similarity: 3.25ppm ODLAORPWNFBZCK
|
Proposal # 1053 Similarity: 3.25ppm UGWUWDHCQXGCQI
|
|
Proposal # 1054 Similarity: 3.25ppm FKLNFTITBJQZIT
|
Proposal # 1055 Similarity: 3.25ppm UKEQAAGTOYUGRN
|
Proposal # 1056 Similarity: 3.25ppm AHEPKIABERMFID
|
|
Proposal # 1057 Similarity: 3.25ppm QLDGKQIDNKFNSV
|
Proposal # 1058 Similarity: 3.25ppm MIGQJRFMOYINCW
|
Proposal # 1059 Similarity: 3.25ppm YNVCELYPNPMZHB
|
|
Proposal # 1060 Similarity: 3.25ppm JECTUFVURCVEQU
|
Proposal # 1061 Similarity: 3.25ppm ZENZWEKPQXYNOE
|
Proposal # 1062 Similarity: 3.25ppm ROSVDHFGDBXGFK
|
|
Proposal # 1063 Similarity: 3.25ppm IYMVTCVQFAIEHS
|
Proposal # 1064 Similarity: 3.25ppm LAYOUWDXZHDFDS
|
Proposal # 1065 Similarity: 3.25ppm NZKVPUWZQVJLOB
|
|
Proposal # 1066 Similarity: 3.25ppm LGEQCEKMMFNDQN
|
Proposal # 1067 Similarity: 3.25ppm YHLFCEVFUVYJKR
|
Proposal # 1068 Similarity: 3.25ppm FJQMFNAKSYIYLS
|
|
Proposal # 1069 Similarity: 3.25ppm NBMOTFZTTCZVMM
|
Proposal # 1070 Similarity: 3.25ppm XZMCNOKUWMVLPD
|
Proposal # 1071 Similarity: 3.25ppm PGCYQQSHMHYINZ
|
|
Proposal # 1072 Similarity: 3.25ppm YKZZTKHPJZFDDE
|
Proposal # 1073 Similarity: 3.25ppm BJDYIRGVGJYYJR
|
Proposal # 1074 Similarity: 3.25ppm DYLGIWCSUNQQHK
|
|
Proposal # 1075 Similarity: 3.25ppm ORZREZWVZIBAQH
|
Proposal # 1076 Similarity: 3.25ppm GQWZRRIKZMTGGL
|
Proposal # 1077 Similarity: 3.25ppm SWESDJCYFPESIQ
|
|
Proposal # 1078 Similarity: 3.25ppm PFFMWFLUOMOMQF
|
Proposal # 1079 Similarity: 3.25ppm CAZSSTKGRCGEAW
|
Proposal # 1080 Similarity: 3.25ppm LWXCHMINQOUZFJ
|
|
Proposal # 1081 Similarity: 3.25ppm NUGOEQOCPZIEMA
|
Proposal # 1082 Similarity: 3.25ppm AXROYRUQGAVZAI
|
Proposal # 1083 Similarity: 3.25ppm IEIYJBDDKHPEOM
|
|
Proposal # 1084 Similarity: 3.25ppm GDEXWWOYKHESMY
|
Proposal # 1085 Similarity: 3.26ppm ULKWOGGJQUZEGT
|
Proposal # 1086 Similarity: 3.26ppm PRHKRZJWRINZFF
|
|
Proposal # 1087 Similarity: 3.26ppm TWOVEUSRTOSOBA
|
Proposal # 1088 Similarity: 3.26ppm CUZOCSFXGIVRMG
|
Proposal # 1089 Similarity: 3.26ppm MQOAAMRZFTWVNF
|
|
Proposal # 1090 Similarity: 3.26ppm MFRFCMAFKZJBKC
|
Proposal # 1091 Similarity: 3.26ppm AJBRVDBBTJQOTR
|
Proposal # 1092 Similarity: 3.26ppm SKLWXXSCDZFUBD
|
|
Proposal # 1093 Similarity: 3.26ppm LQGRCWWTBXRBOU
|
Proposal # 1094 Similarity: 3.26ppm GHTXAKCBLCOYFL
|
Proposal # 1095 Similarity: 3.26ppm NBQOXZFIGKISDC
|
|
Proposal # 1096 Similarity: 3.26ppm UXMKNEFHDKCKEL
|
Proposal # 1097 Similarity: 3.26ppm ZLNOYSYUULHJSH
|
Proposal # 1098 Similarity: 3.26ppm IOAIKOALKFVBJY
|
|
Proposal # 1099 Similarity: 3.26ppm KGWWDVXCKOXYJV
|
Proposal # 1100 Similarity: 3.26ppm QVJPPERGMKCSEP
|
Proposal # 1101 Similarity: 3.26ppm CLDDGCXVQYMUPI
|
|
Proposal # 1102 Similarity: 3.26ppm CBEZOMWLXZJGQM
|
Proposal # 1103 Similarity: 3.26ppm UCQVYOFHYHHTGX
|
Proposal # 1104 Similarity: 3.26ppm FBOMGOWTUYYPPV
|
|
Proposal # 1105 Similarity: 3.26ppm FUCLXNPRHVZSTO
|
Proposal # 1106 Similarity: 3.26ppm HOYOWLMRFCQSOB
|
Proposal # 1107 Similarity: 3.26ppm FMPCGYSTSDJODR
|
|
Proposal # 1108 Similarity: 3.26ppm CCSFCCUJDDNIBJ
|
Proposal # 1109 Similarity: 3.26ppm SMNAWSMPRSQAPT
|
Proposal # 1110 Similarity: 3.26ppm KDNGQMDEUJZRME
|
|
Proposal # 1111 Similarity: 3.26ppm MPARTJVAQCLISY
|
Proposal # 1112 Similarity: 3.26ppm KTXHYZMWDZANCW
|
Proposal # 1113 Similarity: 3.26ppm YPTXEDKGCLCVRZ
|
|
Proposal # 1114 Similarity: 3.26ppm WTNZHQKAVUAGLX
|
Proposal # 1115 Similarity: 3.26ppm HZBBHGXINKEKOM
|
Proposal # 1116 Similarity: 3.26ppm GOZNXJSTTABABT
|
|
Proposal # 1117 Similarity: 3.26ppm OBJONMYLORFDII
|
Proposal # 1118 Similarity: 3.26ppm QFGNDDHYFHXLBZ
|
Proposal # 1119 Similarity: 3.26ppm USNQWWUPROMIJH
|
|
Proposal # 1120 Similarity: 3.26ppm FVDTVRNHMAELIM
|
Proposal # 1121 Similarity: 3.26ppm CKNRURMRSLAONH
|
Proposal # 1122 Similarity: 3.26ppm IXLHILUIUBALPC
|
|
Proposal # 1123 Similarity: 3.26ppm AHQAPYCICQKDIX
|
Proposal # 1124 Similarity: 3.26ppm UVCNXUXEXRLTJZ
|
Proposal # 1125 Similarity: 3.26ppm QPHRXTZHHNCNTB
|
|
Proposal # 1126 Similarity: 3.27ppm UCQYCIUCOBMMGT
|
Proposal # 1127 Similarity: 3.27ppm GFZYGODUISNBDZ
|
Proposal # 1128 Similarity: 3.27ppm HQMUWCXJALQTQI
|
|
Proposal # 1129 Similarity: 3.27ppm DBKHSTFDJALWCT
|
Proposal # 1130 Similarity: 3.27ppm RQASVOJLNZEELH
|
Proposal # 1131 Similarity: 3.27ppm ZJMWKZQSJLTVOR
|
|
Proposal # 1132 Similarity: 3.27ppm CTXHQNIOXWLHSY
|
Proposal # 1133 Similarity: 3.27ppm WMUPIZNSINVXBS
|
Proposal # 1134 Similarity: 3.27ppm VPYWPTTYXDBYIQ
|
|
Proposal # 1135 Similarity: 3.27ppm ZSNNSMQONHDAPX
|
Proposal # 1136 Similarity: 3.27ppm LYDMQDAPJFYPTE
|
Proposal # 1137 Similarity: 3.27ppm VKNVLPLKYTZUGK
|
|
Proposal # 1138 Similarity: 3.27ppm YZASFRREIBCSEC
|
Proposal # 1139 Similarity: 3.27ppm OBKQWYMARNGTRE
|
Proposal # 1140 Similarity: 3.27ppm WLQKBLIAPZKQNH
|
|
Proposal # 1141 Similarity: 3.27ppm FFYLCZPJVILRPI
|
Proposal # 1142 Similarity: 3.27ppm JNRIWCOHYKCDJZ
|
Proposal # 1143 Similarity: 3.27ppm KDOCNGIQGLDXPT
|
|
Proposal # 1144 Similarity: 3.27ppm CVADMCABIQOPLE
|
Proposal # 1145 Similarity: 3.27ppm UQBUODFNJXXSLV
|
Proposal # 1146 Similarity: 3.27ppm LCSDJHTYZAYYKH
|
|
Proposal # 1147 Similarity: 3.27ppm KDFXTDLRKDTLIL
|
Proposal # 1148 Similarity: 3.27ppm VTKIVYNWVHJIBE
|
Proposal # 1149 Similarity: 3.27ppm WQPKKCVSAZMXLB
|
|
Proposal # 1150 Similarity: 3.27ppm PHNSUFIVDYUXPD
|
Proposal # 1151 Similarity: 3.27ppm RXDODBCQGCWEQD
|
Proposal # 1152 Similarity: 3.27ppm ODJTXTJIYJDAEN
|
|
Proposal # 1153 Similarity: 3.27ppm LVNAJCSXQIQBDN
|
Proposal # 1154 Similarity: 3.27ppm IOFVAKGLUBWAKZ
|
Proposal # 1155 Similarity: 3.27ppm SEFVSXSVWPZJDC
|
|
Proposal # 1156 Similarity: 3.27ppm DKADGQQBFNPZAQ
|
Proposal # 1157 Similarity: 3.27ppm SFFRLVZXOGKRHU
|
Proposal # 1158 Similarity: 3.27ppm UZFJOMIXWLMWBJ
|
|
Proposal # 1159 Similarity: 3.27ppm BHELVOVTKFZYLO
|
Proposal # 1160 Similarity: 3.27ppm ABOICGMKUGMNRP
|
Proposal # 1161 Similarity: 3.27ppm MBLMTTDXOOSTDG
|
|
Proposal # 1162 Similarity: 3.28ppm DZQFRLLNAVTEIG
|
Proposal # 1163 Similarity: 3.28ppm KWBCSZVWEPCXTA
|
Proposal # 1164 Similarity: 3.28ppm AAEIHEICPOSAJH
|
|
Proposal # 1165 Similarity: 3.28ppm ZGUUOPRWLIQOCE
|
Proposal # 1166 Similarity: 3.28ppm SQVPQMJMAWDYOH
|
Proposal # 1167 Similarity: 3.28ppm NPOVXKBXILGLQD
|
|
Proposal # 1168 Similarity: 3.28ppm KMCUYVVUZOYKQO
|
Proposal # 1169 Similarity: 3.28ppm MSSNOZYEHFJEEB
|
Proposal # 1170 Similarity: 3.28ppm FXOUCUYDTSYEEE
|
|
Proposal # 1171 Similarity: 3.28ppm LZSSRCPXFATWCF
|
Proposal # 1172 Similarity: 3.28ppm CLJXDJCZGZVEPT
|
Proposal # 1173 Similarity: 3.28ppm FOZYYWYVCBXIKF
|
|
Proposal # 1174 Similarity: 3.28ppm LVCHZXRUFPUMHV
|
Proposal # 1175 Similarity: 3.28ppm OMYZATCTXIFOIS
|
Proposal # 1176 Similarity: 3.28ppm BHJAYBRRWUFUIA
|
|
Proposal # 1177 Similarity: 3.28ppm WPKAKPNCJADOIE
|
Proposal # 1178 Similarity: 3.28ppm GRWVVTOXTMGKEQ
|
Proposal # 1179 Similarity: 3.28ppm RMWUCMZLXWTZCS
|
|
Proposal # 1180 Similarity: 3.28ppm LRNSEIFREVUCJQ
|
Proposal # 1181 Similarity: 3.28ppm MTJFEEYBZIKXOX
|
Proposal # 1182 Similarity: 3.28ppm GTKULESMPGIPJQ
|
|
Proposal # 1183 Similarity: 3.28ppm FFJHNPLWIGUOSL
|
Proposal # 1184 Similarity: 3.28ppm IMSDAIOPZOXJKU
|
Proposal # 1185 Similarity: 3.28ppm YJUZUOVRZBDERI
|
|
Proposal # 1186 Similarity: 3.28ppm HFLDWVSSDXBKPU
|
Proposal # 1187 Similarity: 3.28ppm SRBHIGOKEWYHKP
|
Proposal # 1188 Similarity: 3.28ppm PNFBQQIZUVWVJC
|
|
Proposal # 1189 Similarity: 3.28ppm JDDRGPAHBCPTHP
|
Proposal # 1190 Similarity: 3.28ppm XVLOKAQFOWPNJU
|
Proposal # 1191 Similarity: 3.28ppm XAYAVBKTZIDDCZ
|
|
Proposal # 1192 Similarity: 3.28ppm CIIPKEZRZNLNRQ
|
Proposal # 1193 Similarity: 3.28ppm NVWLGBFBYFUXEG
|
Proposal # 1194 Similarity: 3.28ppm CULFTWCYSPHQCO
|
|
Proposal # 1195 Similarity: 3.28ppm VPPFXIKCBBORJW
|
Proposal # 1196 Similarity: 3.28ppm MTKGNWFBLMGVHQ
|
Proposal # 1197 Similarity: 3.28ppm YJQOYTHCVNZZGB
|
|
Proposal # 1198 Similarity: 3.28ppm DCTTWZDVMWMNMT
|
Proposal # 1199 Similarity: 3.28ppm QWYMPUMJCCDUJS
|
Proposal # 1200 Similarity: 3.28ppm XENCESZVZMDODZ
|
|
Proposal # 1201 Similarity: 3.28ppm SZYXDZYHHLXELS
|
Proposal # 1202 Similarity: 3.28ppm AGPBBZMHVDWSGC
|
Proposal # 1203 Similarity: 3.28ppm UGCRDZBCANVHRY
|
|
Proposal # 1204 Similarity: 3.29ppm HVPMTIOOTGIZKV
|
Proposal # 1205 Similarity: 3.29ppm KSFYSTGENZICGO
|
Proposal # 1206 Similarity: 3.29ppm UJULGHDXRDLHOP
|
|
Proposal # 1207 Similarity: 3.29ppm WLGHUGUOLJMZMV
|
Proposal # 1208 Similarity: 3.29ppm APZJSLUHEXOZOD
|
Proposal # 1209 Similarity: 3.29ppm DOMHKCRZQGXYFB
|
|
Proposal # 1210 Similarity: 3.29ppm JDLKKKOYUBYORV
|
Proposal # 1211 Similarity: 3.29ppm RJNRVUJUKADXQF
|
Proposal # 1212 Similarity: 3.29ppm RBYCSWYFOIJWCB
|
|
Proposal # 1213 Similarity: 3.29ppm XSPMFILZFWQUQW
|
Proposal # 1214 Similarity: 3.29ppm LGQCQLKBXNGCPN
|
Proposal # 1215 Similarity: 3.29ppm GUJRNQLFFJSOAK
|
|
Proposal # 1216 Similarity: 3.29ppm ZHWXDUVTKMHDLS
|
Proposal # 1217 Similarity: 3.29ppm GXKAOROXKAKXJN
|
Proposal # 1218 Similarity: 3.29ppm ADQMJOYRKFSDGA
|
|
Proposal # 1219 Similarity: 3.29ppm WJFYDHKSNVZHCK
|
Proposal # 1220 Similarity: 3.29ppm XPWFLFQQCVINPK
|
Proposal # 1221 Similarity: 3.29ppm BGCZQAJIXIZOPB
|
|
Proposal # 1222 Similarity: 3.29ppm JUHTXKOZTHPBDY
|
Proposal # 1223 Similarity: 3.29ppm AXYQPSQMHVLYMK
|
Proposal # 1224 Similarity: 3.29ppm XOWWOHWHFSWNNX
|
|
Proposal # 1225 Similarity: 3.29ppm WKUBEFHXYJRGAG
|
Proposal # 1226 Similarity: 3.29ppm FLYCWAFTVYNXIM
|
Proposal # 1227 Similarity: 3.29ppm VNVOLWRRIGWJRT
|
|
Proposal # 1228 Similarity: 3.29ppm GSQBXEVRLGALRP
|
Proposal # 1229 Similarity: 3.29ppm KPAHRJPCTWFUMC
|
Proposal # 1230 Similarity: 3.29ppm SJXHBZJXOLPOAN
|
|
Proposal # 1231 Similarity: 3.29ppm GIQSZLVISSGWLW
|
Proposal # 1232 Similarity: 3.29ppm OGHXDEVWCLMTEZ
|
Proposal # 1233 Similarity: 3.29ppm DTWDUSGQQIXIQU
|
|
Proposal # 1234 Similarity: 3.29ppm NPUWUKMAVVFKBM
|
Proposal # 1235 Similarity: 3.29ppm WJFAXXMEYMEUJG
|
Proposal # 1236 Similarity: 3.29ppm HMLBBXLAHXCYFX
|
|
Proposal # 1237 Similarity: 3.29ppm OZEWBPRRKGQVJX
|
Proposal # 1238 Similarity: 3.29ppm XDCWVBRBDWMXNC
|
Proposal # 1239 Similarity: 3.29ppm VBSNIWVNZPRVBW
|
|
Proposal # 1240 Similarity: 3.29ppm GMUUYXSIPGZEPD
|
Proposal # 1241 Similarity: 3.29ppm YRYHNDSKLAHRTD
|
Proposal # 1242 Similarity: 3.30ppm WWYNSGQQOQPKAM
|
|
Proposal # 1243 Similarity: 3.30ppm DGQXMPIEXFQCMT
|
Proposal # 1244 Similarity: 3.30ppm LBAPYMFKRVARMI
|
Proposal # 1245 Similarity: 3.30ppm VIXLTYCDQXWXMY
|
|
Proposal # 1246 Similarity: 3.30ppm KNEKAMROPBSYIC
|
Proposal # 1247 Similarity: 3.30ppm GWPQYPSDUSZGSA
|
Proposal # 1248 Similarity: 3.30ppm HPSBMUUKTFRCFE
|
|
Proposal # 1249 Similarity: 3.30ppm AHWCUAIIMGLRJE
|
Proposal # 1250 Similarity: 3.30ppm DZCQJGSCYWTYBR
|
Proposal # 1251 Similarity: 3.30ppm RRJTZOAVHOBHCD
|
|
Proposal # 1252 Similarity: 3.30ppm GCBVKUJLKIYINZ
|
Proposal # 1253 Similarity: 3.30ppm QHRZCTKTYLJFIB
|
Proposal # 1254 Similarity: 3.30ppm YINWQKAWAFSYNX
|
|
Proposal # 1255 Similarity: 3.30ppm TXYXVVPPJWGYNC
|
Proposal # 1256 Similarity: 3.30ppm LNVSLILAKXEFKO
|
Proposal # 1257 Similarity: 3.30ppm CWYUFYABJXJIJC
|
|
Proposal # 1258 Similarity: 3.30ppm LYYBERFYSRKEOO
|
Proposal # 1259 Similarity: 3.30ppm SZTBVTIEQYDZRQ
|
Proposal # 1260 Similarity: 3.30ppm YIEHMHLWWYGUSY
|
|
Proposal # 1261 Similarity: 3.30ppm KDENXWJIMIBPEG
|
Proposal # 1262 Similarity: 3.30ppm VEHWYHVWOJPKDY
|
Proposal # 1263 Similarity: 3.30ppm NVFNXGIQJOJGJS
|
|
Proposal # 1264 Similarity: 3.30ppm YUMDTDXTQRTAOY
|
Proposal # 1265 Similarity: 3.30ppm KZDNAHZDWUDRSB
|
Proposal # 1266 Similarity: 3.30ppm VVDVSCXDWOWUKP
|
|
Proposal # 1267 Similarity: 3.30ppm UIXNWOWWFDQKQJ
|
Proposal # 1268 Similarity: 3.30ppm AGJBXQVQJQVPBJ
|
Proposal # 1269 Similarity: 3.30ppm MXIBEOMLKHJCHA
|
|
Proposal # 1270 Similarity: 3.30ppm CCRWCDZLBHFLLL
|
Proposal # 1271 Similarity: 3.30ppm XFBABTCGYHOENL
|
Proposal # 1272 Similarity: 3.30ppm DQVZTMGTMLZGQS
|
|
Proposal # 1273 Similarity: 3.31ppm GEILEUORYBZUCG
|
Proposal # 1274 Similarity: 3.31ppm ITIVRHNOHVSFGS
|
Proposal # 1275 Similarity: 3.31ppm IFLVZRUAQCPTBG
|
|
Proposal # 1276 Similarity: 3.31ppm UJYYKXZKTULSES
|
Proposal # 1277 Similarity: 3.31ppm PUDNKZZBVHJLQO
|
Proposal # 1278 Similarity: 3.31ppm LNUDQJNOLRTAEE
|
|
Proposal # 1279 Similarity: 3.31ppm BLENCZMJWRZMIV
|
Proposal # 1280 Similarity: 3.31ppm DVWVMAXBSDCKBG
|
Proposal # 1281 Similarity: 3.31ppm FXLOVAMDVLSOEK
|
|
Proposal # 1282 Similarity: 3.31ppm QFCKQWZTFAZVLC
|
Proposal # 1283 Similarity: 3.31ppm BADMHZGUBOEESU
|
Proposal # 1284 Similarity: 3.31ppm YHESGGKNGVNCQB
|
|
Proposal # 1285 Similarity: 3.31ppm PSVRPTSQTRSEDT
|
Proposal # 1286 Similarity: 3.31ppm ORMALSRZATVHPE
|
Proposal # 1287 Similarity: 3.31ppm DXRBPMYGALHBPL
|
|
Proposal # 1288 Similarity: 3.31ppm GGQOLEUOTHRMSH
|
Proposal # 1289 Similarity: 3.31ppm JHIGLSXZGJNJLR
|
Proposal # 1290 Similarity: 3.31ppm JDRIPSZWRFEGKL
|
|
Proposal # 1291 Similarity: 3.31ppm IBOPLTBTBLKQQZ
|
Proposal # 1292 Similarity: 3.31ppm LLSWHPWRLNQQRC
|
Proposal # 1293 Similarity: 3.31ppm MGKAOSCMGUSTNF
|
|
Proposal # 1294 Similarity: 3.31ppm ZWCPFRTXUVCBLH
|
Proposal # 1295 Similarity: 3.31ppm RAZYXWGJRCXQDJ
|
Proposal # 1296 Similarity: 3.31ppm VGNTXUDOQIFATO
|
|
Proposal # 1297 Similarity: 3.31ppm SJNUPMRJVXMVGQ
|
Proposal # 1298 Similarity: 3.31ppm HEDILQOJFPBKIY
|
Proposal # 1299 Similarity: 3.31ppm ZDQHRTSOYQBGHC
|
|
Proposal # 1300 Similarity: 3.31ppm DSKUSOQBFMPAAK
|
Proposal # 1301 Similarity: 3.31ppm YYCPMSFADFXTJM
|
Proposal # 1302 Similarity: 3.31ppm WHBLREBMUVEJAM
|
|
Proposal # 1303 Similarity: 3.31ppm OWEWRUSUYPLPDV
|
Proposal # 1304 Similarity: 3.31ppm YQPWCTHIKIOWRQ
|
Proposal # 1305 Similarity: 3.31ppm LJNNPJVYFKRCKV
|
|
Proposal # 1306 Similarity: 3.31ppm MTRGPQZGEVYIEZ
|
Proposal # 1307 Similarity: 3.31ppm KUVZKRORUDDRKY
|
Proposal # 1308 Similarity: 3.31ppm BFEKEIZZJOPGHK
|
|
Proposal # 1309 Similarity: 3.31ppm TXIPXDYCDOCSAK
|
Proposal # 1310 Similarity: 3.31ppm BYKQPHOPNBTZPD
|
Proposal # 1311 Similarity: 3.31ppm BEEHQZUJVHNLIF
|
|
Proposal # 1312 Similarity: 3.31ppm AQQMHQMBQNHQJU
|
Proposal # 1313 Similarity: 3.31ppm FODFEGQJDXLYHJ
|
Proposal # 1314 Similarity: 3.31ppm AKPXEOSDIUXJDD
|
|
Proposal # 1315 Similarity: 3.31ppm TWXTVUWJEULTGR
|
Proposal # 1316 Similarity: 3.31ppm STEDOEPCXZGTJL
|
Proposal # 1317 Similarity: 3.31ppm WEZRFRUESLIEJQ
|
|
Proposal # 1318 Similarity: 3.32ppm QBVHWHFOMBYFKM
|
Proposal # 1319 Similarity: 3.32ppm SNCHJLLDMSLCJN
|
Proposal # 1320 Similarity: 3.32ppm NVFXKZJGWBKMFV
|
|
Proposal # 1321 Similarity: 3.32ppm DVROMCLVRMNTNL
|
Proposal # 1322 Similarity: 3.32ppm DDZSKEMWXUZVFZ
|
Proposal # 1323 Similarity: 3.32ppm VPGOWBTXYWDTJI
|
|
Proposal # 1324 Similarity: 3.32ppm KEEAWRIRBXHDLK
|
Proposal # 1325 Similarity: 3.32ppm IQNNOWMYTWNJBM
|
Proposal # 1326 Similarity: 3.32ppm KJCDMDZWISZGIZ
|
|
Proposal # 1327 Similarity: 3.32ppm CIWRQWADPDDRKL
|
Proposal # 1328 Similarity: 3.32ppm JTFJTOFPVQWGQW
|
Proposal # 1329 Similarity: 3.32ppm ORSUGXVNJOXQMO
|
|
Proposal # 1330 Similarity: 3.32ppm CBQIIWLVKOLCOC
|
Proposal # 1331 Similarity: 3.32ppm JTCZJGPUUHJUCS
|
Proposal # 1332 Similarity: 3.32ppm YCXWPEYPIBQLAQ
|
|
Proposal # 1333 Similarity: 3.32ppm XRQORDTTXDSNOJ
|
Proposal # 1334 Similarity: 3.32ppm MHUVEKJKPGJCRT
|
Proposal # 1335 Similarity: 3.32ppm QCGMAHBIIZWZKL
|
|
Proposal # 1336 Similarity: 3.32ppm BJJYECIHJKZFFP
|
Proposal # 1337 Similarity: 3.32ppm HLAWHVGRGOVZHT
|
Proposal # 1338 Similarity: 3.32ppm QLZHZVIWGJYRKP
|
|
Proposal # 1339 Similarity: 3.32ppm PCPXEEBEQBIBTO
|
Proposal # 1340 Similarity: 3.32ppm FJJGUDUCSXJDBF
|
Proposal # 1341 Similarity: 3.32ppm ISCBWSBJTDZBEC
|
|
Proposal # 1342 Similarity: 3.32ppm CRXPUABZRVBDHA
|
Proposal # 1343 Similarity: 3.33ppm WAACVIHCWDOBMY
|
Proposal # 1344 Similarity: 3.33ppm DMCMKIFJIVVECZ
|
|
Proposal # 1345 Similarity: 3.33ppm VKMGXBUIRKATAV
|
Proposal # 1346 Similarity: 3.33ppm IUHVMOSAARKDCC
|
Proposal # 1347 Similarity: 3.33ppm DRDKUFJNRUHWIR
|
|
Proposal # 1348 Similarity: 3.33ppm MDPJBUFWUVCNGZ
|
Proposal # 1349 Similarity: 3.33ppm DQDRCTNLQQIXDF
|
Proposal # 1350 Similarity: 3.33ppm XJSVVHXHAZBPSV
|
|
Proposal # 1351 Similarity: 3.33ppm KPVUAUQHIABESH
|
Proposal # 1352 Similarity: 3.33ppm PEUYRADBKBCDHC
|
Proposal # 1353 Similarity: 3.33ppm FQJHUIXGWVMPTD
|
|
Proposal # 1354 Similarity: 3.33ppm WRBXXTLPMYLEQC
|
Proposal # 1355 Similarity: 3.33ppm SJHOQMJOSFGYSM
|
Proposal # 1356 Similarity: 3.33ppm ZFSQYUVBLYCELI
|
|
Proposal # 1357 Similarity: 3.33ppm AQIFFWQCBCSQSE
|
Proposal # 1358 Similarity: 3.33ppm MPWPFDAUJAJLGQ
|
Proposal # 1359 Similarity: 3.33ppm RKGWYNVIWIFPRW
|
|
Proposal # 1360 Similarity: 3.33ppm JRYSKUWVCKYECX
|
Proposal # 1361 Similarity: 3.33ppm LJWAZKUICFNJMM
|
Proposal # 1362 Similarity: 3.33ppm ULKXOXXLYKUXNF
|
|
Proposal # 1363 Similarity: 3.33ppm IWXFDDYACQJGSU
|
Proposal # 1364 Similarity: 3.33ppm FMJVDDYVRDDRSQ
|
Proposal # 1365 Similarity: 3.33ppm CJZQVUQWVNRWQX
|
|
Proposal # 1366 Similarity: 3.33ppm QDRWTVBSSHSPIC
|
Proposal # 1367 Similarity: 3.33ppm HPKMNQYTAYYNOQ
|
Proposal # 1368 Similarity: 3.33ppm WPXKYMAYNSMXFL
|
|
Proposal # 1369 Similarity: 3.33ppm JELKRVGFNJKILE
|
Proposal # 1370 Similarity: 3.33ppm JRRWHXBVDFNAAU
|
Proposal # 1371 Similarity: 3.33ppm NGZLBLRFLVEFAB
|
|
Proposal # 1372 Similarity: 3.33ppm OKGJRZKXVJJPKW
|
Proposal # 1373 Similarity: 3.33ppm PYDMLLDEKSLYHP
|
Proposal # 1374 Similarity: 3.33ppm HFDUTBRHUZOOIO
|
|
Proposal # 1375 Similarity: 3.33ppm SBBBCPMNNLNSBM
|
Proposal # 1376 Similarity: 3.33ppm UTBHWIOGYIKBAV
|
Proposal # 1377 Similarity: 3.33ppm IRLZCACTUYROMV
|
|
Proposal # 1378 Similarity: 3.33ppm IGLHZDVFBPJYLS
|
Proposal # 1379 Similarity: 3.33ppm BJRYNFXVWCJFMQ
|
Proposal # 1380 Similarity: 3.33ppm LKSODEIWDXEDQW
|
|
Proposal # 1381 Similarity: 3.33ppm VGKDJKQFBXXLMD
|
Proposal # 1382 Similarity: 3.33ppm QCZHPQJMNMHGMI
|
Proposal # 1383 Similarity: 3.33ppm UXYFEAHBSRPIGC
|
|
Proposal # 1384 Similarity: 3.33ppm GOCIVVDQYHLALH
|
Proposal # 1385 Similarity: 3.33ppm LDWMDCIVTXCVEY
|
Proposal # 1386 Similarity: 3.33ppm SVOBPWICYJUUSM
|
|
Proposal # 1387 Similarity: 3.33ppm VFXVVZDZIJRODE
|
Proposal # 1388 Similarity: 3.33ppm QVBUUAXTYKRALT
|
Proposal # 1389 Similarity: 3.33ppm RWGOLVYJIVLCAR
|
|
Proposal # 1390 Similarity: 3.34ppm ZJAHPMZOUSLCOL
|
Proposal # 1391 Similarity: 3.34ppm SSSMSNPVGDCGIS
|
Proposal # 1392 Similarity: 3.34ppm KBNMRLLNMDCSGD
|
|
Proposal # 1393 Similarity: 3.34ppm VTXWRGPNRVZHMM
|
Proposal # 1394 Similarity: 3.34ppm PLINWCNGQJNUTD
|
Proposal # 1395 Similarity: 3.34ppm DRKLCGYYDIRKIC
|
|
Proposal # 1396 Similarity: 3.34ppm FDMXZNWTPYBWNF
|
Proposal # 1397 Similarity: 3.34ppm AMXYYOVKKYHBMC
|
Proposal # 1398 Similarity: 3.34ppm BOYSGLHLYLGHAZ
|
|
Proposal # 1399 Similarity: 3.34ppm OSBPEZAVUUHFFX
|
Proposal # 1400 Similarity: 3.34ppm CKWFPLDWMBEBAL
|
Proposal # 1401 Similarity: 3.34ppm JBHTZCYMPDOUKJ
|
|
Proposal # 1402 Similarity: 3.34ppm ZVBZIOZPERRYED
|
Proposal # 1403 Similarity: 3.34ppm TUWULBLYWMITDP
|
Proposal # 1404 Similarity: 3.34ppm XMJYOWVMVKPIQG
|
|
Proposal # 1405 Similarity: 3.34ppm DDXXHSCHJSLPMX
|
Proposal # 1406 Similarity: 3.34ppm AKMFMLCGQWPZIV
|
Proposal # 1407 Similarity: 3.34ppm VVXWAWGRTWJKPI
|
|
Proposal # 1408 Similarity: 3.34ppm DSESCBTWOYIHMJ
|
Proposal # 1409 Similarity: 3.34ppm PKHGGJPEKPHXLK
|
Proposal # 1410 Similarity: 3.34ppm VSVUDNADISQDFV
|
|
Proposal # 1411 Similarity: 3.34ppm MJEDBWVMCIAAQQ
|
Proposal # 1412 Similarity: 3.34ppm NGVOJXMGTOVSMM
|
Proposal # 1413 Similarity: 3.34ppm WBFICCZCYQJHOF
|
|
Proposal # 1414 Similarity: 3.34ppm FJXPEJBUQCZYCU
|
Proposal # 1415 Similarity: 3.34ppm OCKVOWUWXPOKJZ
|
Proposal # 1416 Similarity: 3.34ppm PKLPWIABIMWRDY
|
|
Proposal # 1417 Similarity: 3.34ppm AQUNVLXCMHIHJS
|
Proposal # 1418 Similarity: 3.34ppm HYSHXBQBZMWYGF
|
Proposal # 1419 Similarity: 3.34ppm WQAQFFKLBJMHII
|
|
Proposal # 1420 Similarity: 3.34ppm BGBIWYDMBRWACW
|
Proposal # 1421 Similarity: 3.35ppm RPQMVPWBVBWDMW
|
Proposal # 1422 Similarity: 3.35ppm SPJUADBSLSCQSQ
|
|
Proposal # 1423 Similarity: 3.35ppm MWOABFXOJSABDA
|
Proposal # 1424 Similarity: 3.35ppm NJZCZVVKTPUNQS
|
Proposal # 1425 Similarity: 3.35ppm SVCNRKDYFGAMDI
|
|
Proposal # 1426 Similarity: 3.35ppm IHPQQEMVDMMJEQ
|
Proposal # 1427 Similarity: 3.35ppm DNRIMSLRAMAWFV
|
Proposal # 1428 Similarity: 3.35ppm HLBZRJYEDBNQEJ
|
|
Proposal # 1429 Similarity: 3.35ppm TXGORNMELSPCSU
|
Proposal # 1430 Similarity: 3.35ppm OJUHHJHAHHCLMJ
|
Proposal # 1431 Similarity: 3.35ppm YHOLZDUDNJMZNW
|
|
Proposal # 1432 Similarity: 3.35ppm HCSNACRJQPSFQC
|
Proposal # 1433 Similarity: 3.35ppm FEONAAOVDZDWKN
|
Proposal # 1434 Similarity: 3.35ppm MLZIAAAAZCDBNF
|
|
Proposal # 1435 Similarity: 3.35ppm DKCNWQDEBMQUIC
|
Proposal # 1436 Similarity: 3.35ppm CBUWVOJZLMXWLQ
|
Proposal # 1437 Similarity: 3.35ppm KKQDCFKOAILKRL
|
|
Proposal # 1438 Similarity: 3.35ppm NHKLVIGDVLGATQ
|
Proposal # 1439 Similarity: 3.35ppm WWOVCOSGHSBJAV
|
Proposal # 1440 Similarity: 3.35ppm JNSDGODLOZBHLW
|
|
Proposal # 1441 Similarity: 3.35ppm RPSVMTBNACMMAM
|
Proposal # 1442 Similarity: 3.35ppm QYCHJXIZGZJOHO
|
Proposal # 1443 Similarity: 3.35ppm LHSIZFBUEBBBHM
|
|
Proposal # 1444 Similarity: 3.35ppm JTEADKDXFZNDLL
|
Proposal # 1445 Similarity: 3.35ppm ILTDWNBLQVGPHN
|
Proposal # 1446 Similarity: 3.35ppm OZLJDMPRICEFGK
|
|
Proposal # 1447 Similarity: 3.35ppm QBIRPZZHEKOGBK
|
Proposal # 1448 Similarity: 3.35ppm ITFGXVMPXLLVNK
|
Proposal # 1449 Similarity: 3.35ppm XQJZPXNDEZWXAF
|
|
Proposal # 1450 Similarity: 3.35ppm JVUSMLVPKZRLDW
|
Proposal # 1451 Similarity: 3.35ppm GJOQTNABWGIHNI
|
Proposal # 1452 Similarity: 3.35ppm DMVVVJNEFAZZGY
|
|
Proposal # 1453 Similarity: 3.35ppm FEQGJRRIUOCLHA
|
Proposal # 1454 Similarity: 3.35ppm RCSCIOAHQHSHLM
|
Proposal # 1455 Similarity: 3.35ppm KLVCXNALYWPKHC
|
|
Proposal # 1456 Similarity: 3.36ppm ILQRKHZLVHYYMR
|
Proposal # 1457 Similarity: 3.36ppm MNFJNDBQMRKCIJ
|
Proposal # 1458 Similarity: 3.36ppm CZFWSDMZONEZBB
|
|
Proposal # 1459 Similarity: 3.36ppm BIUDHYGMZUBDKY
|
Proposal # 1460 Similarity: 3.36ppm DYOYZKPGFBIWAJ
|
Proposal # 1461 Similarity: 3.36ppm JCDUREXZRAZZAI
|
|
Proposal # 1462 Similarity: 3.36ppm GWVIQIAYGFGVEU
|
Proposal # 1463 Similarity: 3.36ppm SLQFCZHAVPTZJD
|
Proposal # 1464 Similarity: 3.36ppm FQJXGTIAKPDDCB
|
|
Proposal # 1465 Similarity: 3.36ppm VYNARPFJKNVONR
|
Proposal # 1466 Similarity: 3.36ppm RMNRPRDVGDHARB
|
Proposal # 1467 Similarity: 3.36ppm MEMIAKOXYVCNOW
|
|
Proposal # 1468 Similarity: 3.36ppm BWQLKILRXBVLAU
|
Proposal # 1469 Similarity: 3.36ppm MYGROMBCTUBRAE
|
Proposal # 1470 Similarity: 3.36ppm YCNHIRFCTIXMCH
|
|
Proposal # 1471 Similarity: 3.36ppm NULBMYBWTTWDSF
|
Proposal # 1472 Similarity: 3.36ppm XCEAHTPSHMUISC
|
Proposal # 1473 Similarity: 3.36ppm HBRPVFOEAFJUAO
|
|
Proposal # 1474 Similarity: 3.36ppm YXLNKDUXGSNYMD
|
Proposal # 1475 Similarity: 3.36ppm QWYMDRZTFJIJOV
|
Proposal # 1476 Similarity: 3.36ppm IDEFBNRBFPTHLQ
|
|
Proposal # 1477 Similarity: 3.36ppm NZTAOOMEYAZTGG
|
Proposal # 1478 Similarity: 3.36ppm OGJRCEVCZPLKIP
|
Proposal # 1479 Similarity: 3.36ppm HTGOZGDYOLIRET
|
|
Proposal # 1480 Similarity: 3.36ppm LZLKMUGAHUBXGS
|
Proposal # 1481 Similarity: 3.36ppm RRXRZOPWGYHRES
|
Proposal # 1482 Similarity: 3.36ppm UXXNFEGDFWXACT
|
|
Proposal # 1483 Similarity: 3.36ppm IEYXSNVTGLWDTA
|
Proposal # 1484 Similarity: 3.36ppm AZAFRTPCVISXRD
|
Proposal # 1485 Similarity: 3.36ppm PHEATYREWMVDTP
|
|
Proposal # 1486 Similarity: 3.36ppm OTNSSLJNZLICBC
|
Proposal # 1487 Similarity: 3.36ppm QYJIZMCSAVFMPA
|
Proposal # 1488 Similarity: 3.36ppm RGFUGKQCUMIOOR
|
|
Proposal # 1489 Similarity: 3.36ppm BVOLFMGNMDRSCD
|
Proposal # 1490 Similarity: 3.36ppm UJQUCMDTTWHTRI
|
Proposal # 1491 Similarity: 3.36ppm RAZGLKGRWGYVGZ
|
|
Proposal # 1492 Similarity: 3.36ppm DWOWLUHPQWCEBQ
|
Proposal # 1493 Similarity: 3.36ppm RASSCAUXJLFVGE
|
Proposal # 1494 Similarity: 3.36ppm DLMNYBJMRJEONJ
|
|
Proposal # 1495 Similarity: 3.36ppm ZUENNTAYXWZHEJ
|
Proposal # 1496 Similarity: 3.36ppm SMJDOICUTRRHIH
|
Proposal # 1497 Similarity: 3.36ppm GULKFMQTSLXPAC
|
|
Proposal # 1498 Similarity: 3.37ppm DTBHESLZXJFBPP
|
Proposal # 1499 Similarity: 3.37ppm HVDUZUBGGQGYQX
|
Proposal # 1500 Similarity: 3.37ppm XHYXIVVQIXGXCU
|
|
Proposal # 1501 Similarity: 3.37ppm KGSQXHOOUFZJPX
|
Proposal # 1502 Similarity: 3.37ppm VRFAVERBHWJFAM
|
Proposal # 1503 Similarity: 3.37ppm LKLAVHKCVYFFKT
|
|
Proposal # 1504 Similarity: 3.37ppm NARVQAHDPAANNU
|
Proposal # 1505 Similarity: 3.37ppm DGJBIMOFSPGEJN
|
Proposal # 1506 Similarity: 3.37ppm XNYDZSRVEJFTLS
|
|
Proposal # 1507 Similarity: 3.37ppm YTXWISJLBBPZKH
|
Proposal # 1508 Similarity: 3.37ppm YLEUTKPGXNXZBA
|
Proposal # 1509 Similarity: 3.37ppm GVSUBXXSDOPLDA
|
|
Proposal # 1510 Similarity: 3.37ppm KIGOKWMEDSIKLH
|
Proposal # 1511 Similarity: 3.37ppm POLXORTWZXHZID
|
Proposal # 1512 Similarity: 3.37ppm UAUBTIIEDZCOEL
|
|
Proposal # 1513 Similarity: 3.37ppm FQTCQJJRWZUDLU
|
Proposal # 1514 Similarity: 3.37ppm ZYXIWXLVSZBGDJ
|
Proposal # 1515 Similarity: 3.37ppm RZPYPYIOVFWSLZ
|
|
Proposal # 1516 Similarity: 3.37ppm UHKHPVQCWBRWQB
|
Proposal # 1517 Similarity: 3.37ppm MBNAZOCGNNBGRW
|
Proposal # 1518 Similarity: 3.37ppm MCCCZRBCPHHAJM
|
|
Proposal # 1519 Similarity: 3.37ppm MKESLUHARIFSNU
|
Proposal # 1520 Similarity: 3.37ppm JBEORPZTDNRTDE
|
Proposal # 1521 Similarity: 3.37ppm JBJJVZZAWWJAKN
|
|
Proposal # 1522 Similarity: 3.37ppm ZULHMRDSWXVSHA
|
Proposal # 1523 Similarity: 3.37ppm RLPQCAIGEOTFJU
|
Proposal # 1524 Similarity: 3.37ppm HRSAXZAMVSYYSO
|
|
Proposal # 1525 Similarity: 3.37ppm JHDPUORIXGGNNV
|
Proposal # 1526 Similarity: 3.37ppm AVQZNZVRLFLDEK
|
Proposal # 1527 Similarity: 3.37ppm FXYKHWGBKHUPGS
|
|
Proposal # 1528 Similarity: 3.37ppm OCQRGQHTJNGXLI
|
Proposal # 1529 Similarity: 3.37ppm WWCXZCRVMLUKCC
|
Proposal # 1530 Similarity: 3.37ppm RJKRQDMMCUOBKM
|
|
Proposal # 1531 Similarity: 3.37ppm PGMRVJRBVRWWAB
|
Proposal # 1532 Similarity: 3.37ppm KFJYSUGIHKQKTA
|
Proposal # 1533 Similarity: 3.37ppm VWJIRTZFUYPJBA
|
|
Proposal # 1534 Similarity: 3.37ppm GZTAFIRFTNVZFY
|
Proposal # 1535 Similarity: 3.37ppm BNPPYTJVAWDNOV
|
Proposal # 1536 Similarity: 3.37ppm WNZQVZBGPQETMA
|
|
Proposal # 1537 Similarity: 3.37ppm NKFSXXYORIGHGN
|
Proposal # 1538 Similarity: 3.37ppm CSANIQISQSSYMJ
|
Proposal # 1539 Similarity: 3.37ppm NZUZKSSKBCPCNB
|
|
Proposal # 1540 Similarity: 3.37ppm KEGFNPBREFIJIK
|
Proposal # 1541 Similarity: 3.37ppm FXKTZJLOPDFWMA
|
Proposal # 1542 Similarity: 3.37ppm KXLILPGRUSXZAA
|
|
Proposal # 1543 Similarity: 3.37ppm YCHZPQWXKJTJTB
|
Proposal # 1544 Similarity: 3.37ppm OMXDTWRUGIPJBZ
|
Proposal # 1545 Similarity: 3.37ppm ICVQTRFHWHUYBL
|
|
Proposal # 1546 Similarity: 3.38ppm VBIMUNGOSDSZMJ
|
Proposal # 1547 Similarity: 3.38ppm CBOUCHGSJREDJT
|
Proposal # 1548 Similarity: 3.38ppm SQEQHKKBGDNGOE
|
|
Proposal # 1549 Similarity: 3.38ppm HSOAJHMHMPSZJM
|
Proposal # 1550 Similarity: 3.38ppm PRISOHLAQPHHTM
|
Proposal # 1551 Similarity: 3.38ppm WDGUFWSAMXLJNT
|
|
Proposal # 1552 Similarity: 3.38ppm PFWFXJMWECGFJD
|
Proposal # 1553 Similarity: 3.38ppm NXFCUQIBDLTWJQ
|
Proposal # 1554 Similarity: 3.38ppm VVVOGDAKIQPINQ
|
|
Proposal # 1555 Similarity: 3.38ppm SCWBHPSDRXESSQ
|
Proposal # 1556 Similarity: 3.38ppm GHOZMBIKYSCTFP
|
Proposal # 1557 Similarity: 3.38ppm LJXNKJSRGGJOML
|
|
Proposal # 1558 Similarity: 3.38ppm BHSXATGNJKWRKB
|
Proposal # 1559 Similarity: 3.38ppm UHYLYPHHZVAGAK
|
Proposal # 1560 Similarity: 3.38ppm WVESSLGPGLNNLF
|
|
Proposal # 1561 Similarity: 3.38ppm HZSAULRASAMLRE
|
Proposal # 1562 Similarity: 3.38ppm HJRVJQZZWJYMNF
|
Proposal # 1563 Similarity: 3.38ppm BRFVGOUHWBYSSF
|
|
Proposal # 1564 Similarity: 3.38ppm YBYSQAANKCWQRR
|
Proposal # 1565 Similarity: 3.38ppm GJVJFNCLXRPJIV
|
Proposal # 1566 Similarity: 3.38ppm PQGRZIYDWCPQPE
|
|
Proposal # 1567 Similarity: 3.38ppm NJKGASWQMUTYRL
|
Proposal # 1568 Similarity: 3.38ppm SXBUVDAWFPWSJO
|
Proposal # 1569 Similarity: 3.38ppm KFWWSNQKNPLSKL
|
|
Proposal # 1570 Similarity: 3.38ppm BTBNSJLAHASPFG
|
Proposal # 1571 Similarity: 3.38ppm RTTZPQPEAGDDOS
|
Proposal # 1572 Similarity: 3.38ppm XOCBZVHNEFQETH
|
|
Proposal # 1573 Similarity: 3.38ppm ZQQGQINRIXRSAI
|
Proposal # 1574 Similarity: 3.38ppm INOAVHVATMLFKT
|
Proposal # 1575 Similarity: 3.39ppm KFYREKNWKGWGRH
|
|
Proposal # 1576 Similarity: 3.39ppm DXEBOVUXUBGURF
|
Proposal # 1577 Similarity: 3.39ppm KLODDUBJLNPMFR
|
Proposal # 1578 Similarity: 3.39ppm DFJDTIYJBLRUTK
|
|
Proposal # 1579 Similarity: 3.39ppm COYWDJWWDQIXPG
|
Proposal # 1580 Similarity: 3.39ppm FPBXKAKGRDOKHJ
|
Proposal # 1581 Similarity: 3.39ppm FMIFFPZKLWGBAI
|
|
Proposal # 1582 Similarity: 3.39ppm CMQFLZXWPCRGDD
|
Proposal # 1583 Similarity: 3.39ppm QHYMCUIWUWCXML
|
Proposal # 1584 Similarity: 3.39ppm AIGSSSDBQMXZKH
|
|
Proposal # 1585 Similarity: 3.39ppm XIADPLMKACBTHR
|
Proposal # 1586 Similarity: 3.39ppm SZOYIKXORUGJPK
|
Proposal # 1587 Similarity: 3.39ppm JFOWKLWLIXJYGI
|
|
Proposal # 1588 Similarity: 3.39ppm WCKVNLIRPOWGDS
|
Proposal # 1589 Similarity: 3.39ppm PJOFESDJBQEQBR
|
Proposal # 1590 Similarity: 3.39ppm BZIAVVKUBAJOSO
|
|
Proposal # 1591 Similarity: 3.39ppm JLIYJBVLIOFDSC
|
Proposal # 1592 Similarity: 3.39ppm CBJKMERXYMPOKS
|
Proposal # 1593 Similarity: 3.39ppm LWXYRAXTMLHMJD
|
|
Proposal # 1594 Similarity: 3.39ppm HLPZXFGEAAAMPS
|
Proposal # 1595 Similarity: 3.39ppm XUGUBVIMOBYUGL
|
Proposal # 1596 Similarity: 3.39ppm WVBYTFLUEDLXJM
|
|
Proposal # 1597 Similarity: 3.39ppm QDZTYLMVMUFJQR
|
Proposal # 1598 Similarity: 3.39ppm ZPMSYRQHTNGJEO
|
Proposal # 1599 Similarity: 3.39ppm RLNYQPMDWCPTNU
|
|
Proposal # 1600 Similarity: 3.39ppm HEFFFJOOTKQMSX
|
Proposal # 1601 Similarity: 3.39ppm CCRZUOHAQGWNDN
|
Proposal # 1602 Similarity: 3.39ppm DHOVLNXYLKKELT
|
|
Proposal # 1603 Similarity: 3.39ppm FPDGEATXKFILRM
|
Proposal # 1604 Similarity: 3.39ppm CETZZNNHQWEERP
|
Proposal # 1605 Similarity: 3.40ppm MVXCNZVDUQAZAA
|
|
Proposal # 1606 Similarity: 3.40ppm DCLFGVWTFHBOBP
|
Proposal # 1607 Similarity: 3.40ppm IELJOKJNFDWHJD
|
Proposal # 1608 Similarity: 3.40ppm PCGOCBMPLDHUIG
|
|
Proposal # 1609 Similarity: 3.40ppm XJNQPCZVOVXLNO
|
Proposal # 1610 Similarity: 3.40ppm FNFWNJGXBGNLHX
|
Proposal # 1611 Similarity: 3.40ppm DNTWIZGCWNFFRR
|
|
Proposal # 1612 Similarity: 3.40ppm AETOMUZTNNAWKI
|
Proposal # 1613 Similarity: 3.40ppm INKFOLIVLULFSZ
|
Proposal # 1614 Similarity: 3.40ppm IVLSXGLOBCUFBU
|
|
Proposal # 1615 Similarity: 3.40ppm QMEORPBDZPYVHT
|
Proposal # 1616 Similarity: 3.40ppm NHGZLINEIZHPBX
|
Proposal # 1617 Similarity: 3.40ppm AMMRVJRNKFVTDV
|
|
Proposal # 1618 Similarity: 3.40ppm DBZIFMSRFIGJOL
|
Proposal # 1619 Similarity: 3.40ppm YVGXNZVYWIXFNI
|
Proposal # 1620 Similarity: 3.40ppm AIGRLOTVWKVVPY
|
|
Proposal # 1621 Similarity: 3.40ppm KSJPPVQFXQSXBK
|
Proposal # 1622 Similarity: 3.40ppm LXWDNRVOJCRIQQ
|
Proposal # 1623 Similarity: 3.40ppm BOUSHNKVCDJAJJ
|
|
Proposal # 1624 Similarity: 3.40ppm MLJULNLQMZPQSL
|
Proposal # 1625 Similarity: 3.40ppm WYQRUYCJWKZOEL
|
Proposal # 1626 Similarity: 3.40ppm YGWYQLVLIWEVRH
|
|
Proposal # 1627 Similarity: 3.40ppm NYCBJCSRYTZWOV
|
Proposal # 1628 Similarity: 3.40ppm MEJORMCIIYAUHU
|
Proposal # 1629 Similarity: 3.40ppm UJWNDURXICSGJG
|
|
Proposal # 1630 Similarity: 3.40ppm FHAPWCFZWRMAER
|
Proposal # 1631 Similarity: 3.40ppm QFPSFVQYWLWSGH
|
Proposal # 1632 Similarity: 3.40ppm YLEWYULNHHVGPW
|
|
Proposal # 1633 Similarity: 3.40ppm YJUSRWXJIJPLAS
|
Proposal # 1634 Similarity: 3.40ppm DNRNMLXGLOIGNA
|
Proposal # 1635 Similarity: 3.40ppm POVMEERHRZHBMF
|
|
Proposal # 1636 Similarity: 3.40ppm QAGIGRCRESYMDG
|
Proposal # 1637 Similarity: 3.40ppm AVGWEPUBZLKTFZ
|
Proposal # 1638 Similarity: 3.40ppm NRPJMZCEHHGIOW
|
|
Proposal # 1639 Similarity: 3.40ppm MWTHMPLXCJFJMQ
|
Proposal # 1640 Similarity: 3.40ppm MCGDBBXGCQOICV
|
Proposal # 1641 Similarity: 3.40ppm WKYNKJGNEUJTFR
|
|
Proposal # 1642 Similarity: 3.40ppm MNYLMKWEJGOQHM
|
Proposal # 1643 Similarity: 3.40ppm UXHOBTMLPRLWGW
|
Proposal # 1644 Similarity: 3.40ppm YGGRFLAABOVRPF
|
|
Proposal # 1645 Similarity: 3.40ppm IAKXPTNIEULDMA
|
Proposal # 1646 Similarity: 3.40ppm TZAJPUOYJXEMHT
|
Proposal # 1647 Similarity: 3.40ppm JLPBNXCFNIYUMZ
|
|
Proposal # 1648 Similarity: 3.40ppm KXXQSDOTVXAPHQ
|
Proposal # 1649 Similarity: 3.41ppm IORNEGLQMDOKJR
|
Proposal # 1650 Similarity: 3.41ppm VUOUZJPYNGSCDI
|
|
Proposal # 1651 Similarity: 3.41ppm HVPWSMUQKQHKNR
|
Proposal # 1652 Similarity: 3.41ppm JWXJMTSFMOLTKC
|
Proposal # 1653 Similarity: 3.41ppm PWRKFIGNZNXZHY
|
|
Proposal # 1654 Similarity: 3.41ppm TUXPTHMUSRRZAQ
|
Proposal # 1655 Similarity: 3.41ppm BPQKOYZIZJMDDO
|
Proposal # 1656 Similarity: 3.41ppm CUXISEXEMFXCQH
|
|
Proposal # 1657 Similarity: 3.41ppm IRWYSDUYKKSNBR
|
Proposal # 1658 Similarity: 3.41ppm LHXBIXPSQQMLDN
|
Proposal # 1659 Similarity: 3.41ppm LPWBENTYWUEDCD
|
|
Proposal # 1660 Similarity: 3.41ppm ZCUWNBSSNPILJP
|
Proposal # 1661 Similarity: 3.41ppm KAYVLKCZHKYBHA
|
Proposal # 1662 Similarity: 3.41ppm FWHAEPGWGJVBLX
|
|
Proposal # 1663 Similarity: 3.41ppm OJARHCXARSJAKH
|
Proposal # 1664 Similarity: 3.41ppm PQJMWSCYGBCUIW
|
Proposal # 1665 Similarity: 3.41ppm IGZARYHCBZQJQD
|
|
Proposal # 1666 Similarity: 3.41ppm YPCMBXHDVTXQSK
|
Proposal # 1667 Similarity: 3.41ppm KSGCRXMKDPXFMA
|
Proposal # 1668 Similarity: 3.41ppm UQVSJJSIJRBAHC
|
|
Proposal # 1669 Similarity: 3.41ppm GRCJZXBVPJYGPM
|
Proposal # 1670 Similarity: 3.41ppm XVTFRHOAAAANNL
|
Proposal # 1671 Similarity: 3.41ppm HBWNJLJUXBBQQH
|
|
Proposal # 1672 Similarity: 3.41ppm JYYIBOANSVLSEW
|
Proposal # 1673 Similarity: 3.41ppm POPSVQCARZVPQW
|
Proposal # 1674 Similarity: 3.41ppm WDXVSLIFZNBGKZ
|
|
Proposal # 1675 Similarity: 3.41ppm HMDOYRIEXFUQOE
|
Proposal # 1676 Similarity: 3.41ppm DZGIKLOXHJVLQR
|
Proposal # 1677 Similarity: 3.41ppm XSQZIDSMZWWCJR
|
|
Proposal # 1678 Similarity: 3.41ppm AGPUVCLKSPCJPC
|
Proposal # 1679 Similarity: 3.41ppm SXYCXRWYROCBFG
|
Proposal # 1680 Similarity: 3.41ppm ZIDLXHYRUZEYFJ
|
|
Proposal # 1681 Similarity: 3.41ppm APBQVWOXCWLNOF
|
Proposal # 1682 Similarity: 3.41ppm MTUYSVCUMVYVJR
|
Proposal # 1683 Similarity: 3.41ppm VQHUWBLERKWJGE
|
|
Proposal # 1684 Similarity: 3.41ppm JATYEPCQAIVDEF
|
Proposal # 1685 Similarity: 3.41ppm RGPSSXTWBFBWOG
|
Proposal # 1686 Similarity: 3.41ppm AMHUASCSUDBLMO
|
|
Proposal # 1687 Similarity: 3.41ppm FCVQJGZNHOLFNJ
|
Proposal # 1688 Similarity: 3.42ppm QPBDSYAVZHITRL
|
Proposal # 1689 Similarity: 3.42ppm NSLVDPSZYSHADJ
|
|
Proposal # 1690 Similarity: 3.42ppm MTBIJFDKMNXAOF
|
Proposal # 1691 Similarity: 3.42ppm COLGLMJUMZLBJB
|
Proposal # 1692 Similarity: 3.42ppm JPHZQELFMMQTJM
|
|
Proposal # 1693 Similarity: 3.42ppm LWOCZFAPZPDDKE
|
Proposal # 1694 Similarity: 3.42ppm GMEDSVKBMDJVCZ
|
Proposal # 1695 Similarity: 3.42ppm CMRHFDUADSZXLE
|
|
Proposal # 1696 Similarity: 3.42ppm NTCQBPQUKFMYOA
|
Proposal # 1697 Similarity: 3.42ppm KVPLHJJDNYCQTL
|
Proposal # 1698 Similarity: 3.42ppm PQOXGLWCOPZRDU
|
|
Proposal # 1699 Similarity: 3.42ppm HLODRJUKAFLNOO
|
Proposal # 1700 Similarity: 3.42ppm HHQAUAMHCXXDBP
|
Proposal # 1701 Similarity: 3.42ppm WLUJQLRVZYQCSG
|
|
Proposal # 1702 Similarity: 3.42ppm VAHJCVMLCUCHBF
|
Proposal # 1703 Similarity: 3.42ppm CXUXRRZNWSXRFC
|
Proposal # 1704 Similarity: 3.42ppm MAWFQYZRNZMYAI
|
|
Proposal # 1705 Similarity: 3.42ppm GBFZUZKBBIOAMF
|
Proposal # 1706 Similarity: 3.42ppm ZSECRDFWFXNZNQ
|
Proposal # 1707 Similarity: 3.42ppm RDHZGZHOCLBVIH
|
|
Proposal # 1708 Similarity: 3.42ppm ONSBZQMAKZZULX
|
Proposal # 1709 Similarity: 3.42ppm ZOYOWVNMOAOXGH
|
Proposal # 1710 Similarity: 3.42ppm OGVOUYMFVPEXEO
|
|
Proposal # 1711 Similarity: 3.42ppm XGGIEUGTAANEFO
|
Proposal # 1712 Similarity: 3.42ppm NXZCSSLTONANEE
|
Proposal # 1713 Similarity: 3.42ppm MUDSQJSNKKMDJG
|
|
Proposal # 1714 Similarity: 3.42ppm LSIHQLVPZCXBMG
|
Proposal # 1715 Similarity: 3.42ppm QWIMGIYAZOAQIQ
|
Proposal # 1716 Similarity: 3.42ppm AGMAAWSRSNFGRZ
|
|
Proposal # 1717 Similarity: 3.42ppm KEDSYDJWONGOOK
|
Proposal # 1718 Similarity: 3.42ppm LEHFNZOHENVZQE
|
Proposal # 1719 Similarity: 3.42ppm XYBKVWOWSZFCOX
|
|
Proposal # 1720 Similarity: 3.42ppm HNYMVUCJPHAHAX
|
Proposal # 1721 Similarity: 3.42ppm YENSPYWVKBSXDA
|
Proposal # 1722 Similarity: 3.42ppm UQZFMNJSVPMRKW
|
|
Proposal # 1723 Similarity: 3.42ppm GKVUDGXLIIISFX
|
Proposal # 1724 Similarity: 3.42ppm JLFXBIUIDKJMIJ
|
Proposal # 1725 Similarity: 3.42ppm AZJSWNPBGJZOFB
|
|
Proposal # 1726 Similarity: 3.42ppm DWULVAWXDIAVAI
|
Proposal # 1727 Similarity: 3.42ppm HJMHWJBBCLBQSF
|
Proposal # 1728 Similarity: 3.42ppm BPMPEKCNEVWBBD
|
|
Proposal # 1729 Similarity: 3.42ppm JWYKNJCLKVXRKX
|
Proposal # 1730 Similarity: 3.42ppm YQDVFSNZVURCDB
|
Proposal # 1731 Similarity: 3.43ppm VXCZOZGMOWLNHL
|
|
Proposal # 1732 Similarity: 3.43ppm LUFCEBOIFIIFJY
|
Proposal # 1733 Similarity: 3.43ppm OXIJBDMWTAUEBJ
|
Proposal # 1734 Similarity: 3.43ppm BKGFAXBUGRWXAF
|
|
Proposal # 1735 Similarity: 3.43ppm QRLNCIOYCNTTMG
|
Proposal # 1736 Similarity: 3.43ppm LNIXLIKQLVTJOI
|
Proposal # 1737 Similarity: 3.43ppm SVOKSXPTFSQKJI
|
|
Proposal # 1738 Similarity: 3.43ppm QCIVYRRVSQFAAV
|
Proposal # 1739 Similarity: 3.43ppm STAAUIQDDULWEJ
|
Proposal # 1740 Similarity: 3.43ppm PCOHHADDBGOCSM
|
|
Proposal # 1741 Similarity: 3.43ppm RUCHMYJEZQSPOC
|
Proposal # 1742 Similarity: 3.43ppm UQCSUGYZPHCPNS
|
Proposal # 1743 Similarity: 3.43ppm PEODUFNEEIRTFC
|
|
Proposal # 1744 Similarity: 3.43ppm YCTOHIUDRUKPJQ
|
Proposal # 1745 Similarity: 3.43ppm KGDJLTNUMUQDGD
|
Proposal # 1746 Similarity: 3.43ppm KIZYSJMSLACZQR
|
|
Proposal # 1747 Similarity: 3.43ppm RVIPUBVEANCFSF
|
Proposal # 1748 Similarity: 3.43ppm AOCRZTKOHLJCLK
|
Proposal # 1749 Similarity: 3.43ppm IQQDBBVJOOPDNH
|
|
Proposal # 1750 Similarity: 3.43ppm PKCYLWZLUPOTKY
|
Proposal # 1751 Similarity: 3.43ppm FPOYZFYVMZGHOF
|
Proposal # 1752 Similarity: 3.43ppm JYWIWHPNXAPSIL
|
|
Proposal # 1753 Similarity: 3.43ppm JBOYBZLJXFHXRP
|
Proposal # 1754 Similarity: 3.43ppm ZREDMQGNMGXPQM
|
Proposal # 1755 Similarity: 3.43ppm PDLUHLPHCMBNOT
|
|
Proposal # 1756 Similarity: 3.43ppm KQOUPIUDEBNRLH
|
Proposal # 1757 Similarity: 3.43ppm WIBPICCULWQHOA
|
Proposal # 1758 Similarity: 3.43ppm PAWVHRHLJLWCMC
|
|
Proposal # 1759 Similarity: 3.43ppm HYJXGMLLXCFWQX
|
Proposal # 1760 Similarity: 3.43ppm JHSMJGKOMQTNJK
|
Proposal # 1761 Similarity: 3.43ppm IQFNNAOHAAYLET
|
|
Proposal # 1762 Similarity: 3.43ppm CORGLSKZRGSLKW
|
Proposal # 1763 Similarity: 3.43ppm QGSXFDBETBSNEA
|
Proposal # 1764 Similarity: 3.43ppm NHBBPJJOEBKGGD
|
|
Proposal # 1765 Similarity: 3.43ppm BEOVYAQYIYWIMZ
|
Proposal # 1766 Similarity: 3.43ppm DJVBLBRYPSXEHL
|
Proposal # 1767 Similarity: 3.43ppm QHOJOEXLHWCCIH
|
|
Proposal # 1768 Similarity: 3.43ppm AFVDMYOBIUWZPR
|
Proposal # 1769 Similarity: 3.43ppm LPTFTBIYXNCGCN
|
Proposal # 1770 Similarity: 3.44ppm QVUUBQFTCNZOLG
|
|
Proposal # 1771 Similarity: 3.44ppm AEOITVXOYYBCQQ
|
Proposal # 1772 Similarity: 3.44ppm WKSBMENHXPCUCZ
|
Proposal # 1773 Similarity: 3.44ppm MPAQJCAGTRNOPP
|
|
Proposal # 1774 Similarity: 3.44ppm GMZFNWGXKZGXMT
|
Proposal # 1775 Similarity: 3.44ppm SRDQZJIRKZDAKU
|
Proposal # 1776 Similarity: 3.44ppm JSRWRCPWNBVAHD
|
|
Proposal # 1777 Similarity: 3.44ppm UXNMRDUKXNPWCS
|
Proposal # 1778 Similarity: 3.44ppm HEEPHQQPCSUXNY
|
Proposal # 1779 Similarity: 3.44ppm VNPUHEHLCLCUHW
|
|
Proposal # 1780 Similarity: 3.44ppm BZAHCPYNYNUJTF
|
Proposal # 1781 Similarity: 3.44ppm OPLDPCZSYCXJML
|
Proposal # 1782 Similarity: 3.44ppm IXYDNUUFCGZFAY
|
|
Proposal # 1783 Similarity: 3.44ppm UQZDPXZEDMMTAN
|
Proposal # 1784 Similarity: 3.44ppm FJGBXBLCYIJQDK
|
Proposal # 1785 Similarity: 3.44ppm AKECSMAHJLSFBB
|
|
Proposal # 1786 Similarity: 3.44ppm BHQBCGYPWMPFNO
|
Proposal # 1787 Similarity: 3.44ppm ZFDVLIDDLMCQTA
|
Proposal # 1788 Similarity: 3.44ppm PLYKJHSABNIVNH
|
|
Proposal # 1789 Similarity: 3.44ppm VAGUQSIEELWUHY
|
Proposal # 1790 Similarity: 3.44ppm GDUMWGWGEQKLLN
|
Proposal # 1791 Similarity: 3.44ppm CCHXNOHNJGBLFP
|
|
Proposal # 1792 Similarity: 3.44ppm XNJOGSPQYCKBIJ
|
Proposal # 1793 Similarity: 3.44ppm STSIPNDJSVKQLL
|
Proposal # 1794 Similarity: 3.44ppm XCOKKBMZTVCDBJ
|
|
Proposal # 1795 Similarity: 3.44ppm VZOMXHVYQQPYCH
|
Proposal # 1796 Similarity: 3.44ppm WCKQYOTVGGOABE
|
Proposal # 1797 Similarity: 3.45ppm ZJYKQTQXUJTVEK
|
|
Proposal # 1798 Similarity: 3.45ppm SVMUVZLCYZHVJM
|
Proposal # 1799 Similarity: 3.45ppm LUSAQHWKAVIJNW
|
Proposal # 1800 Similarity: 3.45ppm KUJLEKSLJKVTDE
|
|
Proposal # 1801 Similarity: 3.45ppm RGWAZSLKRZUVIA
|
Proposal # 1802 Similarity: 3.45ppm JLSZTDPCIJYHKX
|
Proposal # 1803 Similarity: 3.45ppm SOPLZDUSHYMAMX
|
|
Proposal # 1804 Similarity: 3.45ppm MCFREFMTFXSQBA
|
Proposal # 1805 Similarity: 3.45ppm BAWCULMNDLNLHP
|
Proposal # 1806 Similarity: 3.45ppm VFWNYCSDDOLBDD
|
|
Proposal # 1807 Similarity: 3.45ppm RKGFTYGSWLYFJU
|
Proposal # 1808 Similarity: 3.45ppm FXTJEKGNCJMYFI
|
Proposal # 1809 Similarity: 3.45ppm MPIKMIZFUCKGBB
|
|
Proposal # 1810 Similarity: 3.45ppm CSXYEFAJODODOM
|
Proposal # 1811 Similarity: 3.45ppm VZKZSEAJXVFAKV
|
Proposal # 1812 Similarity: 3.45ppm NWIZBFKEGQUZEM
|
|
Proposal # 1813 Similarity: 3.45ppm CLINNZJCXXDJHU
|
Proposal # 1814 Similarity: 3.45ppm RTSLZLOWEHJWFO
|
Proposal # 1815 Similarity: 3.45ppm VSXOZMOUOPIJIY
|
|
Proposal # 1816 Similarity: 3.45ppm WWFIYYUPBVFOHS
|
Proposal # 1817 Similarity: 3.45ppm LAPWCJUOCXPQQA
|
Proposal # 1818 Similarity: 3.45ppm XBCJMYZHCBYXGZ
|
|
Proposal # 1819 Similarity: 3.45ppm STUHZNIHYXSRDW
|
Proposal # 1820 Similarity: 3.45ppm UYLOIEHVUXSACA
|
Proposal # 1821 Similarity: 3.45ppm OSMRXBXRWRNCAL
|
|
Proposal # 1822 Similarity: 3.45ppm QOSIGWKZNULSAI
|
Proposal # 1823 Similarity: 3.45ppm BZXGXRYVSWHOCP
|
Proposal # 1824 Similarity: 3.45ppm BXHPIJJHSRCSEB
|
|
Proposal # 1825 Similarity: 3.45ppm IKPNZNYOXXUKRI
|
Proposal # 1826 Similarity: 3.45ppm LFIWVQBZJODWOC
|
Proposal # 1827 Similarity: 3.45ppm UQIXGPOJVSYESF
|
|
Proposal # 1828 Similarity: 3.46ppm GDPXMUXDDIOBGH
|
Proposal # 1829 Similarity: 3.46ppm VGTYVQKKEZMMMU
|
Proposal # 1830 Similarity: 3.46ppm CKGZOPVTAVNJBX
|
|
Proposal # 1831 Similarity: 3.46ppm GBKSYRGESOKXOB
|
Proposal # 1832 Similarity: 3.46ppm YUOTUJITTSXMET
|
Proposal # 1833 Similarity: 3.46ppm CMBJCKFLJHRJTC
|
|
Proposal # 1834 Similarity: 3.46ppm FGYLKTMTXYSWFM
|
Proposal # 1835 Similarity: 3.46ppm UYTWKHADVYXEIP
|
Proposal # 1836 Similarity: 3.46ppm DVAVSYTWNAYJKC
|
|
Proposal # 1837 Similarity: 3.46ppm KPDDBRSXJNMHAY
|
Proposal # 1838 Similarity: 3.46ppm QJIMSFLJRSFEHL
|
Proposal # 1839 Similarity: 3.46ppm BEHVTUSCEVDLLH
|
|
Proposal # 1840 Similarity: 3.46ppm BOCZLYSAMRVKJQ
|
Proposal # 1841 Similarity: 3.46ppm CYSDDGRPMWYYCE
|
Proposal # 1842 Similarity: 3.46ppm VXFYRHZNBFIZJB
|
|
Proposal # 1843 Similarity: 3.46ppm IODURFBVFBUZQC
|
Proposal # 1844 Similarity: 3.46ppm IOZFEQMMQKKMFU
|
Proposal # 1845 Similarity: 3.46ppm XIQPZKTZFQLNEZ
|
|
Proposal # 1846 Similarity: 3.46ppm FMDABASBKHQPND
|
Proposal # 1847 Similarity: 3.46ppm VUBSJZUYHKFVQD
|
Proposal # 1848 Similarity: 3.46ppm PEIGURUSENTMTI
|
|
Proposal # 1849 Similarity: 3.46ppm COPRNCIHAWMIDU
|
Proposal # 1850 Similarity: 3.46ppm REAGFOASJFQGGZ
|
Proposal # 1851 Similarity: 3.46ppm TUUORZMTCBGPKL
|
|
Proposal # 1852 Similarity: 3.46ppm ZHUTYPJTFQQXQN
|
Proposal # 1853 Similarity: 3.46ppm OFNGGYBHQGDJFQ
|
Proposal # 1854 Similarity: 3.46ppm YUCJKDNOTVDJIZ
|
|
Proposal # 1855 Similarity: 3.46ppm YVRHUSFCUXUBFG
|
Proposal # 1856 Similarity: 3.46ppm XXAMOTYRBXLJSR
|
Proposal # 1857 Similarity: 3.46ppm DSGKAOBDUFSXHW
|
|
Proposal # 1858 Similarity: 3.46ppm HTBWMKXXNYKCPE
|
Proposal # 1859 Similarity: 3.46ppm GDBXXICPPCYANV
|
Proposal # 1860 Similarity: 3.47ppm IGBCYFSDIGFLIG
|
|
Proposal # 1861 Similarity: 3.47ppm MTGOVQQPDFGMDW
|
Proposal # 1862 Similarity: 3.47ppm IBLXYTBNAHHPAB
|
Proposal # 1863 Similarity: 3.47ppm HVDSAQKCBUFFJL
|
|
Proposal # 1864 Similarity: 3.47ppm VPHJXQWSGOTGPN
|
Proposal # 1865 Similarity: 3.47ppm CWOGVHOWMCKSEP
|
Proposal # 1866 Similarity: 3.47ppm WBECRTJIYNYHDV
|
|
Proposal # 1867 Similarity: 3.47ppm QZLQQUJZDLMOCE
|
Proposal # 1868 Similarity: 3.47ppm PVOMGOIXMPZTOW
|
Proposal # 1869 Similarity: 3.47ppm DKYNWHASCDJHDL
|
|
Proposal # 1870 Similarity: 3.47ppm MERRDPOHXHLYMH
|
Proposal # 1871 Similarity: 3.47ppm TVLAQUYXAHHQOR
|
Proposal # 1872 Similarity: 3.47ppm IVMHPOVDVDLCLT
|
|
Proposal # 1873 Similarity: 3.47ppm IVZBDDMCWMAXJN
|
Proposal # 1874 Similarity: 3.47ppm GFZQUKQPCPWXKC
|
Proposal # 1875 Similarity: 3.47ppm GXACAQAKVXQBCL
|
|
Proposal # 1876 Similarity: 3.47ppm QAIUMCIFXKJOLC
|
Proposal # 1877 Similarity: 3.47ppm CARDPEQXAHGMBU
|
Proposal # 1878 Similarity: 3.47ppm VFMRWHCDFQEPPP
|
|
Proposal # 1879 Similarity: 3.47ppm VOFCQIDEXSGWOF
|
Proposal # 1880 Similarity: 3.47ppm XSXKUCGESFOAJA
|
Proposal # 1881 Similarity: 3.47ppm UKOMADIGPYUDRT
|
|
Proposal # 1882 Similarity: 3.47ppm IPRHKEILWLRQOL
|
Proposal # 1883 Similarity: 3.47ppm MSZNUDFGZDXUNX
|
Proposal # 1884 Similarity: 3.47ppm DYKDFPBJKQLLJA
|
|
Proposal # 1885 Similarity: 3.47ppm UGZSYTULAHMLIH
|
Proposal # 1886 Similarity: 3.47ppm NQAMQNCNCISTDK
|
Proposal # 1887 Similarity: 3.47ppm PUVHKBKIFJNRDV
|
|
Proposal # 1888 Similarity: 3.47ppm OYIBRSCJBBKPJN
|
Proposal # 1889 Similarity: 3.47ppm SYIAGYDXNDLEFI
|
Proposal # 1890 Similarity: 3.47ppm KAXILLAZSNHFID
|
|
Proposal # 1891 Similarity: 3.48ppm GGEFQAPNSPMLMT
|
Proposal # 1892 Similarity: 3.48ppm SPPIATSYCCAICD
|
Proposal # 1893 Similarity: 3.48ppm HQQPIKTXXPMRGO
|
|
Proposal # 1894 Similarity: 3.48ppm WXZNXSBFFIGIPE
|
Proposal # 1895 Similarity: 3.48ppm RBFFMOHYVCCYRN
|
Proposal # 1896 Similarity: 3.48ppm LHIYPVDRICXBLT
|
|
Proposal # 1897 Similarity: 3.48ppm OBHJCVQFWRALGX
|
Proposal # 1898 Similarity: 3.48ppm LRVBAODJKQQKIU
|
Proposal # 1899 Similarity: 3.48ppm KDVMVPMGABQTDL
|
|
Proposal # 1900 Similarity: 3.48ppm LVJMJJSQXUIHNR
|
Proposal # 1901 Similarity: 3.48ppm MBCACNTXXBNRLF
|
Proposal # 1902 Similarity: 3.48ppm LDSKYQQNSBFIOL
|
|
Proposal # 1903 Similarity: 3.48ppm YBJKDZHZISKHNQ
|
Proposal # 1904 Similarity: 3.48ppm DMCXAVKFLSWXBQ
|
Proposal # 1905 Similarity: 3.48ppm VVBRZJBVKSRNHA
|
|
Proposal # 1906 Similarity: 3.48ppm POGXGYRFBSJIEI
|
Proposal # 1907 Similarity: 3.48ppm WDEHYLZZGUUITC
|
Proposal # 1908 Similarity: 3.48ppm GIRKQQYHCBCCDF
|
|
Proposal # 1909 Similarity: 3.48ppm UHXZLFWOGSACIY
|
Proposal # 1910 Similarity: 3.48ppm JGYDNHBAJRFVRQ
|
Proposal # 1911 Similarity: 3.48ppm UYYBOQJFMBVFSC
|
|
Proposal # 1912 Similarity: 3.48ppm NSUYMWGUAVFRLB
|
Proposal # 1913 Similarity: 3.48ppm WCHIZIJIHKPOQO
|
Proposal # 1914 Similarity: 3.48ppm JXMQNCPJYMGNIF
|
|
Proposal # 1915 Similarity: 3.48ppm RFLKNCSXSIRNEG
|
Proposal # 1916 Similarity: 3.48ppm PULNMOQVGNHTQS
|
Proposal # 1917 Similarity: 3.48ppm YEMSWVQGAISNLN
|
|
Proposal # 1918 Similarity: 3.48ppm IOMAJXRJPYOKDB
|
Proposal # 1919 Similarity: 3.48ppm JFMSTMJLIGPDEV
|
Proposal # 1920 Similarity: 3.48ppm FLJMOYLCGDMFMF
|
|
Proposal # 1921 Similarity: 3.48ppm QQTSLPPWMFLYGE
|
Proposal # 1922 Similarity: 3.48ppm BDGAPWOWUBWOED
|
Proposal # 1923 Similarity: 3.48ppm ZTTQBCGSHAYBHV
|
|
Proposal # 1924 Similarity: 3.48ppm JZAQHHBCWYBSGH
|
Proposal # 1925 Similarity: 3.48ppm OCFFUXNYJISWQJ
|
Proposal # 1926 Similarity: 3.48ppm JTNAQZHMBFYZCL
|
|
Proposal # 1927 Similarity: 3.49ppm QTESDQLVLDVERD
|
Proposal # 1928 Similarity: 3.49ppm MXPOBCNBEJQFML
|
Proposal # 1929 Similarity: 3.49ppm ZEQUQFCTJKHJMG
|
|
Proposal # 1930 Similarity: 3.49ppm LBJJVOMNIONVNV
|
Proposal # 1931 Similarity: 3.49ppm SIAGZZIBWHMMGM
|
Proposal # 1932 Similarity: 3.49ppm SWSFHPQIFQBGHA
|
|
Proposal # 1933 Similarity: 3.49ppm YAXWBVMEUMYAMZ
|
Proposal # 1934 Similarity: 3.49ppm NAPWUYCEULSOKO
|
Proposal # 1935 Similarity: 3.49ppm QHMVOMJFMHZLEI
|
|
Proposal # 1936 Similarity: 3.49ppm HKLUMFGZTYGLAW
|
Proposal # 1937 Similarity: 3.49ppm RBUODMRMSLMPSJ
|
Proposal # 1938 Similarity: 3.49ppm HDQHLXWONIZGIQ
|
|
Proposal # 1939 Similarity: 3.49ppm CISRLQHBYCTNAI
|
Proposal # 1940 Similarity: 3.49ppm YEJQARRMUNVMBT
|
Proposal # 1941 Similarity: 3.49ppm UZKKHYZGEZMZPC
|
|
Proposal # 1942 Similarity: 3.49ppm RSRYBYWCTFQFIN
|
Proposal # 1943 Similarity: 3.49ppm PDULYURFVKIHGC
|
Proposal # 1944 Similarity: 3.49ppm SNLYXIDSYFAMPO
|
|
Proposal # 1945 Similarity: 3.49ppm IYHNCFBUINWTSK
|
Proposal # 1946 Similarity: 3.49ppm VEXYYUCRRODKJH
|
Proposal # 1947 Similarity: 3.49ppm LIJWMNUPPNXILH
|
|
Proposal # 1948 Similarity: 3.49ppm INOYTCWXAPLBPS
|
Proposal # 1949 Similarity: 3.49ppm GJHMZFDNFPFODD
|
Proposal # 1950 Similarity: 3.49ppm QICKNKFAKXYXKE
|
|
Proposal # 1951 Similarity: 3.49ppm HWMVSDPWFMPFLT
|
Proposal # 1952 Similarity: 3.49ppm OQKNVGUCXFIKIQ
|
Proposal # 1953 Similarity: 3.49ppm XBUHGGXFKOMCGA
|
|
Proposal # 1954 Similarity: 3.49ppm KTRIKFCHCSBJIL
|
Proposal # 1955 Similarity: 3.49ppm MTJNRALTMKOPIF
|
Proposal # 1956 Similarity: 3.49ppm WZZZTLAVGIRWHA
|
|
Proposal # 1957 Similarity: 3.49ppm APFAKJVZRQUGJL
|
Proposal # 1958 Similarity: 3.49ppm KWGUHJGGVRNROV
|
Proposal # 1959 Similarity: 3.49ppm CFJHTMMZRIACTR
|
|
Proposal # 1960 Similarity: 3.49ppm VBUWRZMUKIHNEM
|
Proposal # 1961 Similarity: 3.49ppm NRXLMWKREBVMHE
|
Proposal # 1962 Similarity: 3.49ppm JNZXFHFWPOTNOJ
|
|
Proposal # 1963 Similarity: 3.49ppm GGJSBODRASLXDA
|
Proposal # 1964 Similarity: 3.49ppm BTRSDFVMOAGBHW
|
Proposal # 1965 Similarity: 3.49ppm HRGAOXVBHJFGKO
|
|
Proposal # 1966 Similarity: 3.49ppm SJDLZJANOSGVPD
|
Proposal # 1967 Similarity: 3.49ppm BHLJMDRTYDATNW
|
Proposal # 1968 Similarity: 3.49ppm FVRNJSABJYZBJW
|
|
Proposal # 1969 Similarity: 3.49ppm MTMPGXSREOVNMB
|
Proposal # 1970 Similarity: 3.49ppm OWBPRQMNGBNJQC
|
Proposal # 1971 Similarity: 3.49ppm YFLHAHAZLJHYSO
|
|
Proposal # 1972 Similarity: 3.49ppm JYZWGPXYKVRBQQ
|
Proposal # 1973 Similarity: 3.49ppm UWEXCAHQFUBKOB
|
Proposal # 1974 Similarity: 3.50ppm IKCDOQTUDYKDTJ
|
|
Proposal # 1975 Similarity: 3.50ppm DWBJWHISCNEDEQ
|
Proposal # 1976 Similarity: 3.50ppm OWYQPIWLXKAPKL
|
Proposal # 1977 Similarity: 3.50ppm IUHLDMVIOZQIRN
|
|
Proposal # 1978 Similarity: 3.50ppm QDIQSXCBNJHUIH
|
Proposal # 1979 Similarity: 3.50ppm ZUBNKZLGFBEBJD
|
Proposal # 1980 Similarity: 3.50ppm KXHDTGMJTNCEBI
|
|
Proposal # 1981 Similarity: 3.50ppm MAXWVJTYXJVVPE
|
Proposal # 1982 Similarity: 3.50ppm PDTOGBIFVLEHQP
|
Proposal # 1983 Similarity: 3.50ppm BUXLALBYCOXWJN
|
|
Proposal # 1984 Similarity: 3.50ppm KVWCHKLVPCKCDR
|
Proposal # 1985 Similarity: 3.50ppm NRNRGTKQYJZRRJ
|
Proposal # 1986 Similarity: 3.50ppm OAYVMMHOYCASQT
|
|
Proposal # 1987 Similarity: 3.50ppm LMBHDLHVERIJDA
|
Proposal # 1988 Similarity: 3.50ppm NHNQKDIPRXIKPW
|
Proposal # 1989 Similarity: 3.50ppm HDCCCUZRXVRIEQ
|
|
Proposal # 1990 Similarity: 3.50ppm MDTGCMJLIGQOLR
|
Proposal # 1991 Similarity: 3.50ppm HWWYIGPBOAMSCB
|
Proposal # 1992 Similarity: 3.50ppm JXUDAIINQQXFRR
|
|
Proposal # 1993 Similarity: 3.50ppm VATAHNZNLSZTQF
|
Proposal # 1994 Similarity: 3.50ppm RDPIMNRLRPDRNB
|
Proposal # 1995 Similarity: 3.50ppm HRCJKJBOGLBHCX
|
|
Proposal # 1996 Similarity: 3.50ppm RYCBGYPIFQYYBK
|
Proposal # 1997 Similarity: 3.50ppm QSRSCKWYOQWMNU
|
Proposal # 1998 Similarity: 3.50ppm PKVVWWHRDZXUHK
|
|
Proposal # 1999 Similarity: 3.50ppm OFUPGVJCSXZILN
|
Proposal # 2000 Similarity: 3.50ppm BUJTVUNSVJSTTQ
|
Proposal # 2001 Similarity: 3.50ppm VOOPJJOZISEKSU
|
|
Proposal # 2002 Similarity: 3.50ppm CAUZPLOFKPSXAT
|
Proposal # 2003 Similarity: 3.50ppm YPUNFPBHRVINSK
|
Proposal # 2004 Similarity: 3.50ppm NBVBOCDAGUWFTQ
|
|
Proposal # 2005 Similarity: 3.51ppm NWFJHCQBICHVLU
|
Proposal # 2006 Similarity: 3.51ppm SMUIZOXTYVPONU
|
Proposal # 2007 Similarity: 3.51ppm NTIURXIKZKYBRE
|
|
Proposal # 2008 Similarity: 3.51ppm XSXBMDFITYISHY
|
Proposal # 2009 Similarity: 3.51ppm DGOGYZJTTBDUER
|
Proposal # 2010 Similarity: 3.51ppm DBRKWAGBKDFRIX
|
|
Proposal # 2011 Similarity: 3.51ppm SQCIEQMPBMOHQU
|
Proposal # 2012 Similarity: 3.51ppm ASUKINOCSRSSFC
|
Proposal # 2013 Similarity: 3.51ppm ZWKGOGSDTRIXTD
|
|
Proposal # 2014 Similarity: 3.51ppm ZCHKTLHQEHOTBB
|
Proposal # 2015 Similarity: 3.51ppm YJUUJAHAZCCEFN
|
Proposal # 2016 Similarity: 3.51ppm GMBIAABMTLJIMJ
|
|
Proposal # 2017 Similarity: 3.51ppm FOAUAXWNMCTGBW
|
Proposal # 2018 Similarity: 3.51ppm BNOJVHKHTJQQKS
|
Proposal # 2019 Similarity: 3.51ppm AEWAOWSUHUSCHB
|
|
Proposal # 2020 Similarity: 3.51ppm SUJKEXDETFERBU
|
Proposal # 2021 Similarity: 3.51ppm WQMKBUPTGYIDHQ
|
Proposal # 2022 Similarity: 3.51ppm HGHHAWZXMGLOKY
|
|
Proposal # 2023 Similarity: 3.51ppm LTSHAJFWNXYWCM
|
Proposal # 2024 Similarity: 3.51ppm MWRHQCITOROIQP
|
Proposal # 2025 Similarity: 3.51ppm GKZTZUABDGBPEG
|
|
Proposal # 2026 Similarity: 3.51ppm UNAUCVPJWSHHCH
|
Proposal # 2027 Similarity: 3.51ppm HBSZPWBCNQHNKF
|
Proposal # 2028 Similarity: 3.51ppm LJEZKEDRAKLVDR
|
|
Proposal # 2029 Similarity: 3.51ppm SCXRLRWZDPDDLZ
|
Proposal # 2030 Similarity: 3.51ppm FCGTTYJZSIVZLB
|
Proposal # 2031 Similarity: 3.51ppm UQHQTDDWUBDSTA
|
|
Proposal # 2032 Similarity: 3.51ppm PJMSFTPPTOWEHL
|
Proposal # 2033 Similarity: 3.51ppm DWSJDLKANTUPTH
|
Proposal # 2034 Similarity: 3.52ppm BCWJWQJUFOAERS
|
|
Proposal # 2035 Similarity: 3.52ppm HJEYGUVNHKSOFM
|
Proposal # 2036 Similarity: 3.52ppm MLTIJJSSAIZHIL
|
Proposal # 2037 Similarity: 3.52ppm LNGVUDOXYXMRLI
|
|
Proposal # 2038 Similarity: 3.52ppm LUVQPMTZGMBENH
|
Proposal # 2039 Similarity: 3.52ppm DPFXLVCUTINIJJ
|
Proposal # 2040 Similarity: 3.52ppm SHZDGPAIHWVVEW
|
|
Proposal # 2041 Similarity: 3.52ppm PCJLSFZTARBSSO
|
Proposal # 2042 Similarity: 3.52ppm PCCCPEHFPNYILE
|
Proposal # 2043 Similarity: 3.52ppm CDUHXUKELHCSFT
|
|
Proposal # 2044 Similarity: 3.52ppm JRWJRIGQVIXEJX
|
Proposal # 2045 Similarity: 3.52ppm WVLRHKQKCVZZHD
|
Proposal # 2046 Similarity: 3.52ppm VTWHGQCHGHUEFG
|
|
Proposal # 2047 Similarity: 3.52ppm KJNKIFSKOJLMHE
|
Proposal # 2048 Similarity: 3.52ppm DDMCMRRKHIVFHL
|
Proposal # 2049 Similarity: 3.52ppm VETOUZCPHZPNMT
|
|
Proposal # 2050 Similarity: 3.52ppm GBMQVTFTTCAJBQ
|
Proposal # 2051 Similarity: 3.52ppm RBNUXRXPBCJNKS
|
Proposal # 2052 Similarity: 3.52ppm XJYCOMJSMHYKFD
|
|
Proposal # 2053 Similarity: 3.52ppm WTXJEBSFLYGWMA
|
Proposal # 2054 Similarity: 3.52ppm SEGDBOMISBYIHG
|
Proposal # 2055 Similarity: 3.52ppm ODOBFOPTQFTCOW
|
|
Proposal # 2056 Similarity: 3.52ppm NQSVIOHJPXSCTG
|
Proposal # 2057 Similarity: 3.52ppm BQOGMGFDXHOONB
|
Proposal # 2058 Similarity: 3.52ppm BMEFHUDSYUWTCK
|
|
Proposal # 2059 Similarity: 3.52ppm XZNOQFBFRXPJBN
|
Proposal # 2060 Similarity: 3.52ppm QROBZNISMNLCOU
|
Proposal # 2061 Similarity: 3.52ppm FCXXWKFNISXEIQ
|
|
Proposal # 2062 Similarity: 3.52ppm FYPHJOKXQLSASM
|
Proposal # 2063 Similarity: 3.52ppm UKNCNLWKFHXVQX
|
Proposal # 2064 Similarity: 3.52ppm BIIPOUHSCHKQIU
|
|
Proposal # 2065 Similarity: 3.52ppm YKWGHLJHQALGJM
|
Proposal # 2066 Similarity: 3.52ppm LCCLUFPLZSCQKE
|
Proposal # 2067 Similarity: 3.52ppm PGYBVACUGSGYBN
|
|
Proposal # 2068 Similarity: 3.52ppm RRWDTCGZSDWCNO
|
Proposal # 2069 Similarity: 3.52ppm NDHBQNNUKLSIOG
|
Proposal # 2070 Similarity: 3.53ppm FZZTZDPEJBOZLW
|
|
Proposal # 2071 Similarity: 3.53ppm GUTQPEVZVZCJSM
|
Proposal # 2072 Similarity: 3.53ppm RTJKATNIKMQQGE
|
Proposal # 2073 Similarity: 3.53ppm HCWWEEGCIBCHSZ
|
|
Proposal # 2074 Similarity: 3.53ppm YBZIEMMZTWXERR
|
Proposal # 2075 Similarity: 3.53ppm XZSNDTVBDTTZIO
|
Proposal # 2076 Similarity: 3.53ppm IFSROVBCFFRLOK
|
|
Proposal # 2077 Similarity: 3.53ppm DFKCAKMBRRQEAJ
|
Proposal # 2078 Similarity: 3.53ppm AFYDDUGIPLWVAJ
|
Proposal # 2079 Similarity: 3.53ppm LVFAUXABHQJDSO
|
|
Proposal # 2080 Similarity: 3.53ppm ZEAXRIMOTMODNS
|
Proposal # 2081 Similarity: 3.53ppm MSAIOEOHMJTEMF
|
Proposal # 2082 Similarity: 3.53ppm ZOLYHCLAPDPSSF
|
|
Proposal # 2083 Similarity: 3.53ppm BNZWFUBVELRZJJ
|
Proposal # 2084 Similarity: 3.53ppm TWRROOXNIUDTKH
|
Proposal # 2085 Similarity: 3.53ppm UYJXZBGRGSZMJB
|
|
Proposal # 2086 Similarity: 3.53ppm DCERYTAWUQNPFA
|
Proposal # 2087 Similarity: 3.53ppm YMHTUFTZSTUXGD
|
Proposal # 2088 Similarity: 3.53ppm XJEGZPARZWDRHC
|
|
Proposal # 2089 Similarity: 3.53ppm NFVBHPDFROEGQS
|
Proposal # 2090 Similarity: 3.53ppm FKORMNVNFLKXDV
|
Proposal # 2091 Similarity: 3.53ppm CWQWAWMUNUTIRK
|
|
Proposal # 2092 Similarity: 3.53ppm VJEHBASFZLPXRB
|
Proposal # 2093 Similarity: 3.53ppm VALSSJNUADHRNR
|
Proposal # 2094 Similarity: 3.53ppm GWAXXJXWZHTAEK
|
|
Proposal # 2095 Similarity: 3.53ppm NHSOWFZMBKUADY
|
Proposal # 2096 Similarity: 3.53ppm HPYKJJHSIQMHIH
|
Proposal # 2097 Similarity: 3.53ppm JCBLHBQWNSGIJV
|
|
Proposal # 2098 Similarity: 3.54ppm KBXXRISKUBLSOI
|
Proposal # 2099 Similarity: 3.54ppm VOPJCNCCPRMOPR
|
Proposal # 2100 Similarity: 3.54ppm RGSBJMOHOBHZOW
|
|
Proposal # 2101 Similarity: 3.54ppm LWXRJWGGHZQSTI
|
Proposal # 2102 Similarity: 3.54ppm MMCOXZGNGILJNJ
|
Proposal # 2103 Similarity: 3.54ppm LUKXDJXXZFFYRJ
|
|
Proposal # 2104 Similarity: 3.54ppm IHBUSCBGMVXQIW
|
Proposal # 2105 Similarity: 3.54ppm OEPIZXJHNFAMLC
|
Proposal # 2106 Similarity: 3.54ppm ISHVNBCEZWMQCJ
|
|
Proposal # 2107 Similarity: 3.54ppm NSVVJUGBGRBWFZ
|
Proposal # 2108 Similarity: 3.54ppm WJGQTWIEMZVRFO
|
Proposal # 2109 Similarity: 3.54ppm JNFVNFZEMUOVIM
|
|
Proposal # 2110 Similarity: 3.54ppm BDSLENNCRUOLQC
|
Proposal # 2111 Similarity: 3.54ppm PYWKBEYRXJQTMH
|
Proposal # 2112 Similarity: 3.54ppm LZKITPAKFNSQAM
|
|
Proposal # 2113 Similarity: 3.54ppm FFJZJFLXIXMZJS
|
Proposal # 2114 Similarity: 3.54ppm RROGIQLKLHQTOM
|
Proposal # 2115 Similarity: 3.54ppm HOZZTKWSLBMZOD
|
|
Proposal # 2116 Similarity: 3.54ppm LQVZJJPQMIWROG
|
Proposal # 2117 Similarity: 3.54ppm QDPDTDMRKIEFDS
|
Proposal # 2118 Similarity: 3.54ppm SPDUBXBIOMHBCC
|
|
Proposal # 2119 Similarity: 3.54ppm AQVZYEJZSIXSEW
|
Proposal # 2120 Similarity: 3.54ppm PXZNQJCFHQDOJC
|
Proposal # 2121 Similarity: 3.54ppm AXPBEOTUMPICGI
|
|
Proposal # 2122 Similarity: 3.54ppm GVDIERGIOIEINL
|
Proposal # 2123 Similarity: 3.54ppm PYBIZWZWQAPNSI
|
Proposal # 2124 Similarity: 3.54ppm SZHWPZOBFQSXOE
|
|
Proposal # 2125 Similarity: 3.54ppm CKUSBXZATGVDHL
|
Proposal # 2126 Similarity: 3.54ppm RRVVUXFEBRITTC
|
Proposal # 2127 Similarity: 3.54ppm PPXUORXSYMYUJG
|
|
Proposal # 2128 Similarity: 3.54ppm KLTOJSQSRQAOID
|
Proposal # 2129 Similarity: 3.54ppm UUJJLWWUNJRUAS
|
Proposal # 2130 Similarity: 3.54ppm QLSPUWIANDUHRT
|
|
Proposal # 2131 Similarity: 3.54ppm XVMKPNNFKXDUMU
|
Proposal # 2132 Similarity: 3.54ppm GFJUDMGRJLYJCJ
|
Proposal # 2133 Similarity: 3.54ppm UQMRTPQHQSTLRZ
|
|
Proposal # 2134 Similarity: 3.55ppm OAMSKSFRKMDYSE
|
Proposal # 2135 Similarity: 3.55ppm KHWFCKDAIZJMPP
|
Proposal # 2136 Similarity: 3.55ppm GUUYPCQHAGVWSG
|
|
Proposal # 2137 Similarity: 3.55ppm JMPDJTYNAWDRHO
|
Proposal # 2138 Similarity: 3.55ppm OUHGCRNBHUPSOJ
|
Proposal # 2139 Similarity: 3.55ppm LNFIFANDRASUKK
|
|
Proposal # 2140 Similarity: 3.55ppm QSENGSZYPIHYNK
|
Proposal # 2141 Similarity: 3.55ppm RFSKSQBBGWWDPG
|
Proposal # 2142 Similarity: 3.55ppm UPRLHKBBVJGPJV
|
|
Proposal # 2143 Similarity: 3.55ppm XSNGDFDMYOBUAN
|
Proposal # 2144 Similarity: 3.55ppm UTWDAXFKCIMZLW
|
Proposal # 2145 Similarity: 3.55ppm KCRNVCDYBRGOGI
|
|
Proposal # 2146 Similarity: 3.55ppm ZMPQTNMQXBZYMW
|
Proposal # 2147 Similarity: 3.55ppm QPAOQASALLVXRF
|
Proposal # 2148 Similarity: 3.55ppm OZHJBOKEUGZDRZ
|
|
Proposal # 2149 Similarity: 3.55ppm FUTHOUFBLAFBST
|
Proposal # 2150 Similarity: 3.55ppm BPFKUWMPHVHGBZ
|
Proposal # 2151 Similarity: 3.55ppm KDDJISGQRQAHAQ
|
|
Proposal # 2152 Similarity: 3.55ppm VQCUVGGICJODMU
|
Proposal # 2153 Similarity: 3.55ppm ZNKQGEYOFGKRKB
|
Proposal # 2154 Similarity: 3.55ppm FLOYMCUVKIMOAO
|
|
Proposal # 2155 Similarity: 3.55ppm HCEWBNHXNFDYSL
|
Proposal # 2156 Similarity: 3.55ppm SNMHKZMNADJZBS
|
Proposal # 2157 Similarity: 3.55ppm WFYLDYHVOZHBOX
|
|
Proposal # 2158 Similarity: 3.55ppm SDFJHKDOWIKPDG
|
Proposal # 2159 Similarity: 3.55ppm YDLIUJLLJYQFPP
|
Proposal # 2160 Similarity: 3.55ppm SYXGPYGMNLULMA
|
|
Proposal # 2161 Similarity: 3.55ppm CLOACDDGZSBHPF
|
Proposal # 2162 Similarity: 3.56ppm BJQBJAIGEDACCV
|
Proposal # 2163 Similarity: 3.56ppm UUJXYFHTGUHQJT
|
|
Proposal # 2164 Similarity: 3.56ppm PAIOQTLAGDJFRI
|
Proposal # 2165 Similarity: 3.56ppm NNKJDQFQQTZACD
|
Proposal # 2166 Similarity: 3.56ppm AYYAGVWNWLZEGT
|
|
Proposal # 2167 Similarity: 3.56ppm NFSRCGISFUYZFI
|
Proposal # 2168 Similarity: 3.56ppm QBQCZNXZJMMYSM
|
Proposal # 2169 Similarity: 3.56ppm VDKSIPWHYNWFAP
|
|
Proposal # 2170 Similarity: 3.56ppm QPVBLDAPUUFVIL
|
Proposal # 2171 Similarity: 3.56ppm YIMWHHHOFDQIML
|
Proposal # 2172 Similarity: 3.56ppm QPMCDHUGIIGEGE
|
|
Proposal # 2173 Similarity: 3.56ppm JEDGWBAVJIEIQD
|
Proposal # 2174 Similarity: 3.56ppm VRAFMXWIGAEOOO
|
Proposal # 2175 Similarity: 3.56ppm UMMDFIRDLNOASX
|
|
Proposal # 2176 Similarity: 3.56ppm JBURUBKAXRIMMF
|
Proposal # 2177 Similarity: 3.56ppm ZFBGEOSFXOFXDV
|
Proposal # 2178 Similarity: 3.56ppm MHBFVZJYSTZWNS
|
|
Proposal # 2179 Similarity: 3.56ppm CPLCYZPTZCEXSY
|
Proposal # 2180 Similarity: 3.56ppm DLCUVKZRGYEPAB
|
Proposal # 2181 Similarity: 3.56ppm UCUYSFDUPCWISI
|
|
Proposal # 2182 Similarity: 3.56ppm CYVLGJFKFKUXPA
|
Proposal # 2183 Similarity: 3.56ppm NJLQDPXRJMBVQR
|
Proposal # 2184 Similarity: 3.56ppm OLFOANXQUDOLIQ
|
|
Proposal # 2185 Similarity: 3.56ppm FAEGBDWDJBJUFP
|
Proposal # 2186 Similarity: 3.56ppm XUOYOIGBPMVHFV
|
Proposal # 2187 Similarity: 3.56ppm MJSNWBQXUGAOGI
|
|
Proposal # 2188 Similarity: 3.56ppm ZUGLENRIANJHLK
|
Proposal # 2189 Similarity: 3.56ppm QRWFEUBJSLLIMB
|
Proposal # 2190 Similarity: 3.56ppm DKRNCUNMUNGQSC
|
|
Proposal # 2191 Similarity: 3.56ppm DKOIXPRHJONQCX
|
Proposal # 2192 Similarity: 3.56ppm LBIBZANNFULGQP
|
Proposal # 2193 Similarity: 3.56ppm YKBLGYOBHRXIMU
|
|
Proposal # 2194 Similarity: 3.56ppm IGAQVYVAORASND
|
Proposal # 2195 Similarity: 3.56ppm PWBCKAHRYBNJHW
|
Proposal # 2196 Similarity: 3.56ppm UZBKFTUOBFSSPT
|
|
Proposal # 2197 Similarity: 3.56ppm VYDJYKXYLILKSO
|
Proposal # 2198 Similarity: 3.56ppm OJCYEWKRKVTMIX
|
Proposal # 2199 Similarity: 3.57ppm VFDYYMSQUZHHEO
|
|
Proposal # 2200 Similarity: 3.57ppm YVXJADFFCOZWRZ
|
Proposal # 2201 Similarity: 3.57ppm RKWYPBGRKXTLBY
|
Proposal # 2202 Similarity: 3.57ppm MCEXZFUDVMZXCH
|
|
Proposal # 2203 Similarity: 3.57ppm QIJSKZBBMMGOFB
|
Proposal # 2204 Similarity: 3.57ppm HWUNLPKULBLNIP
|
Proposal # 2205 Similarity: 3.57ppm RVXBZVNXHWXAQN
|
|
Proposal # 2206 Similarity: 3.57ppm UBJOSVVHYXRIHO
|
Proposal # 2207 Similarity: 3.57ppm YNKDLDSXVLDUKL
|
Proposal # 2208 Similarity: 3.57ppm NQYSHEMNPANCAC
|
|
Proposal # 2209 Similarity: 3.57ppm PMOYDLGIWYCOEJ
|
Proposal # 2210 Similarity: 3.57ppm KVVOGSRGBMBANC
|
Proposal # 2211 Similarity: 3.57ppm RFFVQGIOLYOJKO
|
|
Proposal # 2212 Similarity: 3.57ppm BIUGTJSKOQLAET
|
Proposal # 2213 Similarity: 3.57ppm LDPSTXHHQSYZLN
|
Proposal # 2214 Similarity: 3.57ppm LYEFMZNKDWUGSC
|
|
Proposal # 2215 Similarity: 3.57ppm HYHUHPYVDNKHRC
|
Proposal # 2216 Similarity: 3.57ppm JMTUJWRAQZONSN
|
Proposal # 2217 Similarity: 3.57ppm XJXJQICJBIUMQV
|
|
Proposal # 2218 Similarity: 3.57ppm DECANLOYSXYQKV
|
Proposal # 2219 Similarity: 3.57ppm JGEDHZNBWNVKMA
|
Proposal # 2220 Similarity: 3.57ppm ZACAOBQPUBDODD
|
|
Proposal # 2221 Similarity: 3.57ppm BULDHHLJFAZBTC
|
Proposal # 2222 Similarity: 3.57ppm ZPDZONRBSRCRDH
|
Proposal # 2223 Similarity: 3.57ppm JNAFMTAQAGSJIU
|
|
Proposal # 2224 Similarity: 3.57ppm QRIPJBZLPHANCE
|
Proposal # 2225 Similarity: 3.57ppm TVYYCFHJDCNNAR
|
Proposal # 2226 Similarity: 3.57ppm XYQJVKMSFSWMKH
|
|
Proposal # 2227 Similarity: 3.57ppm ORUCCPUMZHIWAA
|
Proposal # 2228 Similarity: 3.57ppm AEVKTDWMCKFRMB
|
Proposal # 2229 Similarity: 3.57ppm MIGJWUWIUQFYNF
|
|
Proposal # 2230 Similarity: 3.57ppm LISLXIVGEAJABS
|
Proposal # 2231 Similarity: 3.57ppm OKMLHFSMDPYJPH
|
Proposal # 2232 Similarity: 3.57ppm VWSYQHYJELTECM
|
|
Proposal # 2233 Similarity: 3.57ppm SWMYHEMKGCKCPD
|
Proposal # 2234 Similarity: 3.57ppm XOSJMUOCKAXVMA
|
Proposal # 2235 Similarity: 3.57ppm JCXVZWILYWNYBX
|
|
Proposal # 2236 Similarity: 3.57ppm USLKJLYIOAZLHE
|
Proposal # 2237 Similarity: 3.57ppm LGGJYRNEBJZOJR
|
Proposal # 2238 Similarity: 3.57ppm OMEMVRMDTLMSTH
|
|
Proposal # 2239 Similarity: 3.58ppm GNTSJJGLSWFXGF
|
Proposal # 2240 Similarity: 3.58ppm VDMWNTZOSBFGDA
|
Proposal # 2241 Similarity: 3.58ppm WNPLZJORFAIZJS
|
|
Proposal # 2242 Similarity: 3.58ppm MVJJPLWBFJJIHQ
|
Proposal # 2243 Similarity: 3.58ppm PYQCKMHADGKTEC
|
Proposal # 2244 Similarity: 3.58ppm QSYVVXMCDFAGKC
|
|
Proposal # 2245 Similarity: 3.58ppm KYVZZCXUEMZCDY
|
Proposal # 2246 Similarity: 3.58ppm VKYFXOBTUUTCHA
|
Proposal # 2247 Similarity: 3.58ppm RQNJRNOGZRKFKS
|
|
Proposal # 2248 Similarity: 3.58ppm MSPSWNXNZMIICV
|
Proposal # 2249 Similarity: 3.58ppm ASVNZXYZKIQJAL
|
Proposal # 2250 Similarity: 3.58ppm RKZLBHWBDSHJMJ
|
|
Proposal # 2251 Similarity: 3.58ppm RCEJPJVFEGGQRP
|
Proposal # 2252 Similarity: 3.58ppm CCOBAJKALARBOX
|
Proposal # 2253 Similarity: 3.58ppm KLOSSGISXCDFCR
|
|
Proposal # 2254 Similarity: 3.58ppm LBBYRIPKTLWWEV
|
Proposal # 2255 Similarity: 3.58ppm GLMVZJJOFGOAAL
|
Proposal # 2256 Similarity: 3.58ppm HJZFQBPCYQUXEK
|
|
Proposal # 2257 Similarity: 3.58ppm VYGSVKZVBIDLCP
|
Proposal # 2258 Similarity: 3.58ppm SDWDXDHQUOHSIE
|
Proposal # 2259 Similarity: 3.58ppm UZGOVNHDGVWYKA
|
|
Proposal # 2260 Similarity: 3.58ppm BJLKEISOQRVLJY
|
Proposal # 2261 Similarity: 3.58ppm KEFYLQYYWCKTOR
|
Proposal # 2262 Similarity: 3.58ppm IPSSEOUJMFDVMF
|
|
Proposal # 2263 Similarity: 3.58ppm UCWDCCLZJUITRF
|
Proposal # 2264 Similarity: 3.58ppm YAWCUPZOJWHZIV
|
Proposal # 2265 Similarity: 3.58ppm BLZQSUKENLCMIW
|
|
Proposal # 2266 Similarity: 3.58ppm GAABNEQPUXPTGZ
|
Proposal # 2267 Similarity: 3.58ppm NWLQPHGJOXXHAR
|
Proposal # 2268 Similarity: 3.58ppm RTKXFPAWSGNVBL
|
|
Proposal # 2269 Similarity: 3.58ppm DTTSBTFUKKRMHU
|
Proposal # 2270 Similarity: 3.58ppm NVWGXEIBPKNXBA
|
Proposal # 2271 Similarity: 3.58ppm AIXWWFQAKGETRT
|
|
Proposal # 2272 Similarity: 3.58ppm UDWVNSBOSIPZLI
|
Proposal # 2273 Similarity: 3.58ppm CCFPPOQTDLNCJA
|
Proposal # 2274 Similarity: 3.59ppm FUZYYOQFMNWOFS
|
|
Proposal # 2275 Similarity: 3.59ppm RXUZUMSAGJWVEI
|
Proposal # 2276 Similarity: 3.59ppm KPMCCJLSKBKMPX
|
Proposal # 2277 Similarity: 3.59ppm CGDBZLXLCIWTCP
|
|
Proposal # 2278 Similarity: 3.59ppm MHQAPLWCGODYRQ
|
Proposal # 2279 Similarity: 3.59ppm CODZZMLJQYXMTB
|
Proposal # 2280 Similarity: 3.59ppm HASNEEHKSPNBAZ
|
|
Proposal # 2281 Similarity: 3.59ppm LMKZIELNJJKBFJ
|
Proposal # 2282 Similarity: 3.59ppm REQVBVRWEKZIKX
|
Proposal # 2283 Similarity: 3.59ppm JUAWEBFBXBEBCC
|
|
Proposal # 2284 Similarity: 3.59ppm KSUWGFRPVDGKIL
|
Proposal # 2285 Similarity: 3.59ppm QGKOUIGETBCOJI
|
Proposal # 2286 Similarity: 3.59ppm YUYCORNURTUFSQ
|
|
Proposal # 2287 Similarity: 3.59ppm XKWGIJDKFCVBPH
|
Proposal # 2288 Similarity: 3.59ppm OIRYNQHDKAXRJL
|
Proposal # 2289 Similarity: 3.59ppm UMCYAHAZBCBITQ
|
|
Proposal # 2290 Similarity: 3.59ppm ZLBYLIJUTVKGOO
|
Proposal # 2291 Similarity: 3.59ppm DFYJMEWGGNXUKP
|
Proposal # 2292 Similarity: 3.59ppm BNUNPYNPTPCZAR
|
|
Proposal # 2293 Similarity: 3.59ppm YHRPEQFBKUQPOC
|
Proposal # 2294 Similarity: 3.59ppm WLUZUIILENRWIT
|
Proposal # 2295 Similarity: 3.59ppm CRZHGDQOUXTZCE
|
|
Proposal # 2296 Similarity: 3.59ppm MAALAEFEKVICPS
|
Proposal # 2297 Similarity: 3.59ppm IMMBLVWJVDJNTG
|
Proposal # 2298 Similarity: 3.59ppm VNSJLXITWQWYHR
|
|
Proposal # 2299 Similarity: 3.59ppm VOTKMARVZAAJBS
|
Proposal # 2300 Similarity: 3.59ppm ZPTBCNACVKSOTK
|
Proposal # 2301 Similarity: 3.59ppm OEFDXNISULMKNT
|
|
Proposal # 2302 Similarity: 3.59ppm XPDWIUXYPFGNPG
|
Proposal # 2303 Similarity: 3.59ppm UWNCNIYQJSQWMY
|
Proposal # 2304 Similarity: 3.59ppm JXRTXFAWHQXTSE
|
|
Proposal # 2305 Similarity: 3.59ppm JAUFBNQWDXPQJD
|
Proposal # 2306 Similarity: 3.59ppm AQOSFDGNCKYLIF
|
Proposal # 2307 Similarity: 3.59ppm IAYMKXJJYYTQPS
|
|
Proposal # 2308 Similarity: 3.59ppm PDNREYVPVORPKR
|
Proposal # 2309 Similarity: 3.59ppm IXOBPQOLMUETCJ
|
Proposal # 2310 Similarity: 3.59ppm BGQREYVELQKSNJ
|
|
Proposal # 2311 Similarity: 3.59ppm MCRMBLRCCMMVEZ
|
Proposal # 2312 Similarity: 3.59ppm WQUARYQUUHLSMY
|
Proposal # 2313 Similarity: 3.59ppm KXYJNMKFOROVCZ
|
|
Proposal # 2314 Similarity: 3.59ppm CLBCCUPJQBWEAV
|
Proposal # 2315 Similarity: 3.59ppm WMKIRUUPSDMUNG
|
Proposal # 2316 Similarity: 3.59ppm ZJAYJXGPXKHPQQ
|
|
Proposal # 2317 Similarity: 3.60ppm LKIMHSPDSQMRCH
|
Proposal # 2318 Similarity: 3.60ppm VLGGHLBPVSJRSQ
|
Proposal # 2319 Similarity: 3.60ppm CWGPPJWMBZDOMJ
|
|
Proposal # 2320 Similarity: 3.60ppm VLDRPAVPIDQXOA
|
Proposal # 2321 Similarity: 3.60ppm VBKPMKQCVCXAFT
|
Proposal # 2322 Similarity: 3.60ppm FEMLWLIVHLOSHT
|
|
Proposal # 2323 Similarity: 3.60ppm UJMIHNLNKHTZNJ
|
Proposal # 2324 Similarity: 3.60ppm XGYQLLLDNKEVNX
|
Proposal # 2325 Similarity: 3.60ppm CHNYNRPFRBYICX
|
|
Proposal # 2326 Similarity: 3.60ppm RUJRTZRIIRBDFL
|
Proposal # 2327 Similarity: 3.60ppm NVQDSPZMPCKGFL
|
Proposal # 2328 Similarity: 3.60ppm AARXHQCBPQPTOZ
|
|
Proposal # 2329 Similarity: 3.60ppm XGTUKGRFPBLXDV
|
Proposal # 2330 Similarity: 3.60ppm SXUWMMKMIWPOKT
|
Proposal # 2331 Similarity: 3.60ppm FFFRIUCGGKCACF
|
|
Proposal # 2332 Similarity: 3.60ppm HBNKOJYIZTZLJN
|
Proposal # 2333 Similarity: 3.60ppm HCJLFPNHHNKVNN
|
Proposal # 2334 Similarity: 3.60ppm KHMYFOGOFXNOCQ
|
|
Proposal # 2335 Similarity: 3.60ppm JGNUTVUAKBSNCF
|
Proposal # 2336 Similarity: 3.60ppm YIOGBYORXNVIEE
|
Proposal # 2337 Similarity: 3.60ppm PFEZJBDDFXTIBW
|
|
Proposal # 2338 Similarity: 3.60ppm YGZSBJGAVAUKNN
|
Proposal # 2339 Similarity: 3.60ppm WLNIJUDHDJGPAF
|
Proposal # 2340 Similarity: 3.60ppm OWYARGGTFOIYCH
|
|
Proposal # 2341 Similarity: 3.60ppm PIRBZXRLGQWPDO
|
Proposal # 2342 Similarity: 3.60ppm GVIDYDJCUMDHOS
|
Proposal # 2343 Similarity: 3.60ppm VTOSSKBGGOOEBE
|
|
Proposal # 2344 Similarity: 3.60ppm GQHQOSGKGCVWMQ
|
Proposal # 2345 Similarity: 3.60ppm QPMKYRHTXGZANI
|
Proposal # 2346 Similarity: 3.60ppm WNGOXBQOWNJPOY
|
|
Proposal # 2347 Similarity: 3.60ppm PPUICRQDGQKLMQ
|
Proposal # 2348 Similarity: 3.60ppm AVXIIIHBIPNSIF
|
Proposal # 2349 Similarity: 3.61ppm KAENXABKAPKIRN
|
|
Proposal # 2350 Similarity: 3.61ppm YLFDSISASVYIAI
|
Proposal # 2351 Similarity: 3.61ppm VJXBOEGBBNGZBP
|
Proposal # 2352 Similarity: 3.61ppm VUBXISSBHBULNI
|
|
Proposal # 2353 Similarity: 3.61ppm CHFAQLWYMCULOB
|
Proposal # 2354 Similarity: 3.61ppm BHKBKPAOUQIENU
|
Proposal # 2355 Similarity: 3.61ppm OCMWZCVVEOJXSW
|
|
Proposal # 2356 Similarity: 3.61ppm NDYIOQGQVIVRJS
|
Proposal # 2357 Similarity: 3.61ppm KTYNKNBAHHQKBK
|
Proposal # 2358 Similarity: 3.61ppm ZGCFRSZOOPVLRM
|
|
Proposal # 2359 Similarity: 3.61ppm LQOCOUZAQDPXKC
|
Proposal # 2360 Similarity: 3.61ppm OYWYFPHFMJAIOX
|
Proposal # 2361 Similarity: 3.61ppm UNOLHDTZWNQSHY
|
|
Proposal # 2362 Similarity: 3.61ppm IKZYEEHZSSDLFX
|
Proposal # 2363 Similarity: 3.61ppm KAEHZHNTGHJVEG
|
Proposal # 2364 Similarity: 3.61ppm VXOWYIMKUZQXIS
|
|
Proposal # 2365 Similarity: 3.61ppm DETHQAGZLYTIBB
|
Proposal # 2366 Similarity: 3.61ppm MGTKLXBOIWCVMV
|
Proposal # 2367 Similarity: 3.61ppm AREKVMDSULLXCA
|
|
Proposal # 2368 Similarity: 3.61ppm GKKPGCZTJVBGFC
|
Proposal # 2369 Similarity: 3.61ppm NEOBDUOQZCHQFA
|
Proposal # 2370 Similarity: 3.61ppm HGOUTJLRZHOVBP
|
|
Proposal # 2371 Similarity: 3.61ppm JJLQECAVIGPIQU
|
Proposal # 2372 Similarity: 3.61ppm CINFUYYWQHGWQD
|
Proposal # 2373 Similarity: 3.61ppm BEIWFUAUOVEPJD
|
|
Proposal # 2374 Similarity: 3.61ppm HBQIUDPZNGTCID
|
Proposal # 2375 Similarity: 3.61ppm GQUKINCBBRQAKK
|
Proposal # 2376 Similarity: 3.61ppm LOFFSIGCCWASFE
|
|
Proposal # 2377 Similarity: 3.61ppm BZBQSLBCWVKWTM
|
Proposal # 2378 Similarity: 3.61ppm ADCGWFNXCWKRBY
|
Proposal # 2379 Similarity: 3.61ppm JSHDSQSAAKDSEA
|
|
Proposal # 2380 Similarity: 3.61ppm FVGRXDNGGCNMGK
|
Proposal # 2381 Similarity: 3.61ppm RDJXRZHFFUWLQG
|
Proposal # 2382 Similarity: 3.61ppm GUHHTOFMHUKGOR
|
|
Proposal # 2383 Similarity: 3.61ppm SJXXTXKOKBYZCZ
|
Proposal # 2384 Similarity: 3.61ppm LKHKBZFRUHETGZ
|
Proposal # 2385 Similarity: 3.61ppm QFLOEMRBYRYNMM
|
|
Proposal # 2386 Similarity: 3.61ppm UUJVRWLSPBBRMQ
|
Proposal # 2387 Similarity: 3.62ppm FQXFZNPQXLUJGF
|
Proposal # 2388 Similarity: 3.62ppm MLUSUMXJBVZIHE
|
|
Proposal # 2389 Similarity: 3.62ppm XHMKJTUKZCMWON
|
Proposal # 2390 Similarity: 3.62ppm XXAWEAPVMBYVQS
|
Proposal # 2391 Similarity: 3.62ppm NJNJZGFHKWKPNV
|
|
Proposal # 2392 Similarity: 3.62ppm CAKACLIWEDZHMB
|
Proposal # 2393 Similarity: 3.62ppm JIAUUUNSVOOHCT
|
Proposal # 2394 Similarity: 3.62ppm SPJCKMGKXZCXKB
|
|
Proposal # 2395 Similarity: 3.62ppm UMJADVOQJGMWET
|
Proposal # 2396 Similarity: 3.62ppm OBAXPWNSMRLFRJ
|
Proposal # 2397 Similarity: 3.62ppm CNEWEIDGTPVFAP
|
|
Proposal # 2398 Similarity: 3.62ppm WAHQRYJUNXPJKU
|
Proposal # 2399 Similarity: 3.62ppm AQQIOHBELYFHBX
|
Proposal # 2400 Similarity: 3.62ppm VEBXILCRQPVXPW
|
|
Proposal # 2401 Similarity: 3.62ppm OYGUCWSZDMMHFC
|
Proposal # 2402 Similarity: 3.62ppm LRHYJJRDIQEYMC
|
Proposal # 2403 Similarity: 3.62ppm GBSHEZWNZLBFHP
|
|
Proposal # 2404 Similarity: 3.62ppm QWMCUCAZCQXOCZ
|
Proposal # 2405 Similarity: 3.62ppm SACJLWXMZOSJIW
|
Proposal # 2406 Similarity: 3.62ppm DXZRYQUDQXYLOR
|
|
Proposal # 2407 Similarity: 3.62ppm RQHRCTYWMUWJEM
|
Proposal # 2408 Similarity: 3.62ppm CGOKYGWXMIQKPC
|
Proposal # 2409 Similarity: 3.62ppm VCFPMUNFJZAGBB
|
|
Proposal # 2410 Similarity: 3.62ppm QGYRHTRWEMQQKX
|
Proposal # 2411 Similarity: 3.62ppm VTKJXFYAEXEIPM
|
Proposal # 2412 Similarity: 3.62ppm QIQYNAVAWLWHRP
|
|
Proposal # 2413 Similarity: 3.62ppm FVSJLNSCPBLKDS
|
Proposal # 2414 Similarity: 3.62ppm ZGMOUFJUMIHXEQ
|
Proposal # 2415 Similarity: 3.62ppm HNCGOOKWGGOUKN
|
|
Proposal # 2416 Similarity: 3.62ppm ZGSNGSYUZUIBQJ
|
Proposal # 2417 Similarity: 3.62ppm SBTXOPHXVOUOPG
|
Proposal # 2418 Similarity: 3.62ppm MVCAAIDCAPFAQQ
|
|
Proposal # 2419 Similarity: 3.62ppm MIJPZLIKVGEHDF
|
Proposal # 2420 Similarity: 3.62ppm BHFXGAWUCZKBSK
|
Proposal # 2421 Similarity: 3.62ppm ZLYJLZPWMPJLDW
|
|
Proposal # 2422 Similarity: 3.62ppm XYVNFNGQBUEAEC
|
Proposal # 2423 Similarity: 3.62ppm VVVZRGNLCDLEAY
|
Proposal # 2424 Similarity: 3.62ppm QFXJMHGOFKYPTG
|
|
Proposal # 2425 Similarity: 3.62ppm OWIDREIPCNQILG
|
Proposal # 2426 Similarity: 3.62ppm OFMMATFJHAEMLM
|
Proposal # 2427 Similarity: 3.62ppm NAIIKVDWQPJWDN
|
|
Proposal # 2428 Similarity: 3.62ppm GFJBBTBLSLOYLA
|
Proposal # 2429 Similarity: 3.62ppm PPXCQBDFLBZZHJ
|
Proposal # 2430 Similarity: 3.62ppm MBBPDWRAGOQKNW
|
|
Proposal # 2431 Similarity: 3.62ppm GDCJKMFTIIHQTC
|
Proposal # 2432 Similarity: 3.62ppm ICYJDLMOQAWKED
|
Proposal # 2433 Similarity: 3.63ppm XXNIJLXLARKWNS
|
|
Proposal # 2434 Similarity: 3.63ppm JOUZYUPUJHPCJP
|
Proposal # 2435 Similarity: 3.63ppm WODZLRDSUKNVCZ
|
Proposal # 2436 Similarity: 3.63ppm LEJSTDOAGVGVLY
|
|
Proposal # 2437 Similarity: 3.63ppm QBLBXXUGIMOJQT
|
Proposal # 2438 Similarity: 3.63ppm CLURPTVGUJHLNW
|
Proposal # 2439 Similarity: 3.63ppm DUVUEVYKGLJAQT
|
|
Proposal # 2440 Similarity: 3.63ppm QDUNSMQNFNOMDD
|
Proposal # 2441 Similarity: 3.63ppm SHLOYQAHFBXRTI
|
Proposal # 2442 Similarity: 3.63ppm SGJAYIHNLSZKRS
|
|
Proposal # 2443 Similarity: 3.63ppm JEFLOQOBQOKWEE
|
Proposal # 2444 Similarity: 3.63ppm SABMCTPUWMHAFU
|
Proposal # 2445 Similarity: 3.63ppm LOUJFZQVCPQLDK
|
|
Proposal # 2446 Similarity: 3.63ppm YBTAWQHACDQQTL
|
Proposal # 2447 Similarity: 3.63ppm DSBRPGHDGXNEJQ
|
Proposal # 2448 Similarity: 3.63ppm NTPLSTXFRYDZQT
|
|
Proposal # 2449 Similarity: 3.63ppm RGPWSOMINDFRRF
|
Proposal # 2450 Similarity: 3.63ppm SJOGVLJNRAHFOX
|
Proposal # 2451 Similarity: 3.63ppm SMYOASWGCNFNFB
|
|
Proposal # 2452 Similarity: 3.63ppm GIAHKQMQQLKYSD
|
Proposal # 2453 Similarity: 3.63ppm DQFMGLSKKBTKEP
|
Proposal # 2454 Similarity: 3.63ppm NKPFOTOHCKBSMC
|
|
Proposal # 2455 Similarity: 3.63ppm CSOKVGTZIZBKJB
|
Proposal # 2456 Similarity: 3.63ppm LSNPQIGUQOKBMD
|
Proposal # 2457 Similarity: 3.63ppm HFAKQOFUEJXWMD
|
|
Proposal # 2458 Similarity: 3.63ppm HSXPWTWJGXEBIF
|
Proposal # 2459 Similarity: 3.63ppm HZLFHQTVSGFXCI
|
Proposal # 2460 Similarity: 3.63ppm KBCBPDBWQPPBBN
|
|
Proposal # 2461 Similarity: 3.63ppm WNFGVTHUSQDPGL
|
Proposal # 2462 Similarity: 3.63ppm GZGQFIPTMTVVNI
|
Proposal # 2463 Similarity: 3.63ppm KSLYPTNSSFSSLF
|
|
Proposal # 2464 Similarity: 3.63ppm OSEXWPZLCUZNKP
|
Proposal # 2465 Similarity: 3.63ppm QIGRGOWJHAEOSN
|
Proposal # 2466 Similarity: 3.63ppm HUQNJNAOIZDYGV
|
|
Proposal # 2467 Similarity: 3.63ppm LKKQXGOGXRNHRG
|
Proposal # 2468 Similarity: 3.63ppm UGTQFKUJSGHKAK
|
Proposal # 2469 Similarity: 3.63ppm DONQTKGTBUMLKB
|
|
Proposal # 2470 Similarity: 3.64ppm FZTDEDHCJVPIJP
|
Proposal # 2471 Similarity: 3.64ppm ZGAWDBUYXOJNGJ
|
Proposal # 2472 Similarity: 3.64ppm BAWNPCBBYSRNQE
|
|
Proposal # 2473 Similarity: 3.64ppm PQLYVDAXOGOAMX
|
Proposal # 2474 Similarity: 3.64ppm KPBSZFJQIHSWGE
|
Proposal # 2475 Similarity: 3.64ppm OTSSQDMOFZCAHM
|
|
Proposal # 2476 Similarity: 3.64ppm BCLRTIGJRBJKPD
|
Proposal # 2477 Similarity: 3.64ppm SCPSIGRVHJLOEF
|
Proposal # 2478 Similarity: 3.64ppm MBVYTEWFBLKHRR
|
|
Proposal # 2479 Similarity: 3.64ppm MCEJLKQBWQNTJB
|
Proposal # 2480 Similarity: 3.64ppm GQXRYJGIWGRGHC
|
Proposal # 2481 Similarity: 3.64ppm CTXOEEMKFHBCHW
|
|
Proposal # 2482 Similarity: 3.64ppm QMRXYZPOQJPPET
|
Proposal # 2483 Similarity: 3.64ppm CFJLCTPKDJLTOL
|
Proposal # 2484 Similarity: 3.64ppm YZXUDURHRCGWFL
|
|
Proposal # 2485 Similarity: 3.64ppm QNVSJQWWAGNQFW
|
Proposal # 2486 Similarity: 3.64ppm VQLCJMAZOVQQRC
|
Proposal # 2487 Similarity: 3.64ppm BQBFNLCUMDJCQW
|
|
Proposal # 2488 Similarity: 3.64ppm FFDUVQHVRYNKLO
|
Proposal # 2489 Similarity: 3.64ppm QGOXTVRLLODNHW
|
Proposal # 2490 Similarity: 3.64ppm RYIFCRRPGINFGQ
|
|
Proposal # 2491 Similarity: 3.64ppm SKNBQWADDNCCRJ
|
Proposal # 2492 Similarity: 3.64ppm QLNVGXGENRVSHQ
|
Proposal # 2493 Similarity: 3.64ppm YJDQSDDYUCAQNQ
|
|
Proposal # 2494 Similarity: 3.64ppm VOBYWLNCFFQZNY
|
Proposal # 2495 Similarity: 3.64ppm NNDUNRYLYALYAL
|
Proposal # 2496 Similarity: 3.64ppm WWGKBBHZHXMQCH
|
|
Proposal # 2497 Similarity: 3.64ppm JMKZMLXTUBFPSS
|
Proposal # 2498 Similarity: 3.64ppm MMFYSSNJWDQDJM
|
Proposal # 2499 Similarity: 3.64ppm RZFSJEVNLAZPNS
|
|
Proposal # 2500 Similarity: 3.64ppm UVQOUAZWGLSOJT
|
Proposal # 2501 Similarity: 3.64ppm DYGNWUOTAGECPX
|
Proposal # 2502 Similarity: 3.64ppm IKSYPPBFWKLHOK
|
|
Proposal # 2503 Similarity: 3.64ppm CXQABUFLTPALJV
|
Proposal # 2504 Similarity: 3.64ppm APRYUZXIFVLDLG
|
Proposal # 2505 Similarity: 3.64ppm WMZPGKKJCURQDA
|
|
Proposal # 2506 Similarity: 3.64ppm QXKAMAZGEINYOZ
|
Proposal # 2507 Similarity: 3.64ppm IHQQFOVRWZDMKT
|
Proposal # 2508 Similarity: 3.65ppm MMVSWISTSNKUJU
|
|
Proposal # 2509 Similarity: 3.65ppm NUJVKCKGQFBSFU
|
Proposal # 2510 Similarity: 3.65ppm JGFTVWSVTYGDGG
|
Proposal # 2511 Similarity: 3.65ppm DOPDJZHTHKRCJU
|
|
Proposal # 2512 Similarity: 3.65ppm YETFVFRDTNHRJS
|
Proposal # 2513 Similarity: 3.65ppm NYMFNBMZXITDBT
|
Proposal # 2514 Similarity: 3.65ppm PVLWYKIEFULHCU
|
|
Proposal # 2515 Similarity: 3.65ppm XBFJTUIUCYOKFI
|
Proposal # 2516 Similarity: 3.65ppm YQFRGCAXUPXXDH
|
Proposal # 2517 Similarity: 3.65ppm LETCHVSZWNSJMO
|
|
Proposal # 2518 Similarity: 3.65ppm BPMSDYPATDOSDO
|
Proposal # 2519 Similarity: 3.65ppm BVCJJGFPRMKBRR
|
Proposal # 2520 Similarity: 3.65ppm ZVNCQJDIVOONTM
|
|
Proposal # 2521 Similarity: 3.65ppm UZCFWTRBECOIRI
|
Proposal # 2522 Similarity: 3.65ppm BUCRFLNVMOJZHY
|
Proposal # 2523 Similarity: 3.65ppm AYCLKVMHMPPVOL
|
|
Proposal # 2524 Similarity: 3.65ppm ULGBNXJOIGFOTA
|
Proposal # 2525 Similarity: 3.65ppm OUJJAILAOBATLG
|
Proposal # 2526 Similarity: 3.65ppm VNOZVDIAYFDZKT
|
|
Proposal # 2527 Similarity: 3.65ppm HSKDBMIWRWMDFP
|
Proposal # 2528 Similarity: 3.65ppm YIARUSRREILYPN
|
Proposal # 2529 Similarity: 3.65ppm JGUGGYMDONDHQE
|
|
Proposal # 2530 Similarity: 3.65ppm LQABKTABPKMPHU
|
Proposal # 2531 Similarity: 3.65ppm BOIDZRQFJLITAR
|
Proposal # 2532 Similarity: 3.65ppm OQJUXDJHYQUAAJ
|
|
Proposal # 2533 Similarity: 3.65ppm CRSQLPXIQROINK
|
Proposal # 2534 Similarity: 3.65ppm MRJPLXZBIDCBGA
|
Proposal # 2535 Similarity: 3.65ppm NBSGGECIYRWZQF
|
|
Proposal # 2536 Similarity: 3.65ppm LPRWTBBQTHLZPX
|
Proposal # 2537 Similarity: 3.65ppm MSAQNFAOVBNHKE
|
Proposal # 2538 Similarity: 3.65ppm RSBLRRJBKVCDMF
|
|
Proposal # 2539 Similarity: 3.65ppm CMJIWDWDVZCTRG
|
Proposal # 2540 Similarity: 3.65ppm SKUHEJHWWGFQGF
|
Proposal # 2541 Similarity: 3.65ppm URABPIGMNBCEBO
|
|
Proposal # 2542 Similarity: 3.65ppm FNLRIJRIJYCQJX
|
Proposal # 2543 Similarity: 3.65ppm SXIISYDIWXGGPX
|
Proposal # 2544 Similarity: 3.65ppm NIPVVAKZUUHSMF
|
|
Proposal # 2545 Similarity: 3.65ppm JBHXTHWONDVDOQ
|
Proposal # 2546 Similarity: 3.65ppm VSVKVXSEMJHTIB
|
Proposal # 2547 Similarity: 3.66ppm PBOMMXDXXRHBCO
|
|
Proposal # 2548 Similarity: 3.66ppm VWMZQXPVTPDMRW
|
Proposal # 2549 Similarity: 3.66ppm UMINUWGOXQPNJQ
|
Proposal # 2550 Similarity: 3.66ppm LZYXNYGPPVGCPK
|
|
Proposal # 2551 Similarity: 3.66ppm HUQLVOCTFVUHBH
|
Proposal # 2552 Similarity: 3.66ppm FUCQJNXJCGYEBT
|
Proposal # 2553 Similarity: 3.66ppm BTLXZACGVOLQBT
|
|
Proposal # 2554 Similarity: 3.66ppm AVCGWZRUEYDBRL
|
Proposal # 2555 Similarity: 3.66ppm BVQVQCJYDXXXPX
|
Proposal # 2556 Similarity: 3.66ppm DXCRGXMMSIGFQV
|
|
Proposal # 2557 Similarity: 3.66ppm NWWAZPVQYRNIRM
|
Proposal # 2558 Similarity: 3.66ppm WJVIZLPVDGVUBY
|
Proposal # 2559 Similarity: 3.66ppm RQRGYADCUCDXAH
|
|
Proposal # 2560 Similarity: 3.66ppm HEAQFUUBOSIWGV
|
Proposal # 2561 Similarity: 3.66ppm JERLUVPSTFAQSO
|
Proposal # 2562 Similarity: 3.66ppm DMOUNXWKWBXXKY
|
|
Proposal # 2563 Similarity: 3.66ppm PCPRJKMZGZBVGQ
|
Proposal # 2564 Similarity: 3.66ppm HBMYOXWEGGSRIK
|
Proposal # 2565 Similarity: 3.66ppm UKALDVMYEIDVQM
|
|
Proposal # 2566 Similarity: 3.66ppm OGOBEQDHNWOPDR
|
Proposal # 2567 Similarity: 3.66ppm GTHVLZNLAWQVKA
|
Proposal # 2568 Similarity: 3.66ppm SBFGFDQGOZAGJJ
|
|
Proposal # 2569 Similarity: 3.66ppm CVAGMTJEYJHCJX
|
Proposal # 2570 Similarity: 3.66ppm TVKIVVHOLWXAJP
|
Proposal # 2571 Similarity: 3.66ppm UPWCUYAKFVQPDJ
|
|
Proposal # 2572 Similarity: 3.66ppm IGWXGKUBUIZHJM
|
Proposal # 2573 Similarity: 3.66ppm QAMZKQSYODHJRD
|
Proposal # 2574 Similarity: 3.66ppm IBKHNRYNOIPAKQ
|
|
Proposal # 2575 Similarity: 3.66ppm KHXGREWAIRIAJF
|
Proposal # 2576 Similarity: 3.66ppm AVXDLIPWTXHDHZ
|
Proposal # 2577 Similarity: 3.67ppm BJEGHFCBHJLARO
|
|
Proposal # 2578 Similarity: 3.67ppm UADHCVSMNDORMV
|
Proposal # 2579 Similarity: 3.67ppm CFTLDWDPDOYOHC
|
Proposal # 2580 Similarity: 3.67ppm INCHZDMJDWXVBX
|
|
Proposal # 2581 Similarity: 3.67ppm HDFJASJEHVOTSE
|
Proposal # 2582 Similarity: 3.67ppm BGPDZDLAQCGDOU
|
Proposal # 2583 Similarity: 3.67ppm CRVGZGWIPFTWKJ
|
|
Proposal # 2584 Similarity: 3.67ppm KFBOJSFGVHGAJH
|
Proposal # 2585 Similarity: 3.67ppm XYZJCXXQYRYAJS
|
Proposal # 2586 Similarity: 3.67ppm GKKLVQNLIKDWKH
|
|
Proposal # 2587 Similarity: 3.67ppm TUOVLQDAFYQSIN
|
Proposal # 2588 Similarity: 3.67ppm IESBCFHHYBVJHF
|
Proposal # 2589 Similarity: 3.67ppm AVNOYFXZVOPICJ
|
|
Proposal # 2590 Similarity: 3.67ppm ZMNGTSBYNBTCQE
|
Proposal # 2591 Similarity: 3.67ppm GVBDERUEOIBVFB
|
Proposal # 2592 Similarity: 3.67ppm FWELRKMGPSUDMZ
|
|
Proposal # 2593 Similarity: 3.67ppm QLUMWYPLHWLSEF
|
Proposal # 2594 Similarity: 3.67ppm CGFNJKWVWRVRTI
|
Proposal # 2595 Similarity: 3.67ppm KYAZIVGIZUQKKB
|
|
Proposal # 2596 Similarity: 3.67ppm BGVTTWZPXRPJJQ
|
Proposal # 2597 Similarity: 3.67ppm YUTVMWORFKGAJF
|
Proposal # 2598 Similarity: 3.67ppm YPCYBTAZPDVFSU
|
|
Proposal # 2599 Similarity: 3.67ppm MJSQXMKHDMTCKH
|
Proposal # 2600 Similarity: 3.67ppm PAJAFXMFHGRVPK
|
Proposal # 2601 Similarity: 3.67ppm ZLGYQRKBJBQTIX
|
|
Proposal # 2602 Similarity: 3.67ppm CRNLEVULGPWZNJ
|
Proposal # 2603 Similarity: 3.67ppm HFOJBCBPGQCBTH
|
Proposal # 2604 Similarity: 3.67ppm GJRZOQNMBFZDPX
|
|
Proposal # 2605 Similarity: 3.67ppm UJTNDURNGFBLAM
|
Proposal # 2606 Similarity: 3.67ppm KKCNLZWZJUNANL
|
Proposal # 2607 Similarity: 3.67ppm QJPWCKVGISTDJO
|
|
Proposal # 2608 Similarity: 3.67ppm KDSJNURSVOTUNA
|
Proposal # 2609 Similarity: 3.67ppm WTOGHCNDBJEYEO
|
Proposal # 2610 Similarity: 3.67ppm PYOFXTOACKWJLT
|
|
Proposal # 2611 Similarity: 3.67ppm ZOJYZVADKJCITB
|
Proposal # 2612 Similarity: 3.67ppm PETYHMMSWFMRGX
|
Proposal # 2613 Similarity: 3.68ppm SQRDFUKJUYTLLB
|
|
Proposal # 2614 Similarity: 3.68ppm FJDBTPWHGMQHRW
|
Proposal # 2615 Similarity: 3.68ppm GNNZALMKAWOAMF
|
Proposal # 2616 Similarity: 3.68ppm QLCHYFZHIFUHQO
|
|
Proposal # 2617 Similarity: 3.68ppm QDCVGAVVDJOGRC
|
Proposal # 2618 Similarity: 3.68ppm ADVRTVJSRULMAP
|
Proposal # 2619 Similarity: 3.68ppm ICDPUYJTKXQYKL
|
|
Proposal # 2620 Similarity: 3.68ppm BVAFWDWNVZBUCP
|
Proposal # 2621 Similarity: 3.68ppm OYBWDVZUWIEXLJ
|
Proposal # 2622 Similarity: 3.68ppm BAYRGIZFCJMRDA
|
|
Proposal # 2623 Similarity: 3.68ppm CVHUGIRVMFPPER
|
Proposal # 2624 Similarity: 3.68ppm WJHKUJFDOMRSJY
|
Proposal # 2625 Similarity: 3.68ppm QQOPAXIGYUMKIW
|
|
Proposal # 2626 Similarity: 3.68ppm SQYIZFFQFBGAJY
|
Proposal # 2627 Similarity: 3.68ppm ULQIUTSICFMROC
|
Proposal # 2628 Similarity: 3.68ppm CBGJIKFWUSXCFY
|
|
Proposal # 2629 Similarity: 3.68ppm ABAWNOUYRNWHEZ
|
Proposal # 2630 Similarity: 3.68ppm BXRHZARFBKSXPC
|
Proposal # 2631 Similarity: 3.68ppm VRMZNTFZCJNFFQ
|
|
Proposal # 2632 Similarity: 3.68ppm KLTAFACTJIRDHM
|
Proposal # 2633 Similarity: 3.68ppm ZIUFZMVMQVYNBC
|
Proposal # 2634 Similarity: 3.68ppm FOKVVJZKSSYWQI
|
|
Proposal # 2635 Similarity: 3.68ppm RIYWBEXNTYSSBH
|
Proposal # 2636 Similarity: 3.68ppm STTGILUEKBOFRK
|
Proposal # 2637 Similarity: 3.68ppm NJLSRCAXSMSNFU
|
|
Proposal # 2638 Similarity: 3.68ppm WYRSKVUXCSRVKU
|
Proposal # 2639 Similarity: 3.68ppm YUNXJZFZAMRWPJ
|
Proposal # 2640 Similarity: 3.68ppm VLTDFJXNJCBVQQ
|
|
Proposal # 2641 Similarity: 3.68ppm JLPKTZVRFGNRSG
|
Proposal # 2642 Similarity: 3.68ppm YTFHUQMGFMCNRM
|
Proposal # 2643 Similarity: 3.68ppm UEEKCFCRGJPNOY
|
|
Proposal # 2644 Similarity: 3.68ppm NFLUVBNXOCVCBX
|
Proposal # 2645 Similarity: 3.68ppm CDNYBINXYOWQGU
|
Proposal # 2646 Similarity: 3.68ppm AZEYMCSZWIPKFU
|
|
Proposal # 2647 Similarity: 3.68ppm XNPLLZCBMBSRAT
|
Proposal # 2648 Similarity: 3.68ppm MJGNECOBADJVFT
|
Proposal # 2649 Similarity: 3.68ppm VIPZQRIGHMZDRB
|
|
Proposal # 2650 Similarity: 3.68ppm JKXHLFRCUXTSOC
|
Proposal # 2651 Similarity: 3.69ppm UFNIFVYENYWWCJ
|
Proposal # 2652 Similarity: 3.69ppm ZAUYFSPOJCYLNS
|
|
Proposal # 2653 Similarity: 3.69ppm IFOVXSKGYZNHAY
|
Proposal # 2654 Similarity: 3.69ppm RDEZLHCGNRQGHB
|
Proposal # 2655 Similarity: 3.69ppm OJTLQFVBISFEOP
|
|
Proposal # 2656 Similarity: 3.69ppm SGTRLWFAGKAVGX
|
Proposal # 2657 Similarity: 3.69ppm LJWPDRGWECCSTO
|
Proposal # 2658 Similarity: 3.69ppm CLNONTOEIOVGDH
|
|
Proposal # 2659 Similarity: 3.69ppm LJPZOBBMKPEKGW
|
Proposal # 2660 Similarity: 3.69ppm AMDZIOHSDZNCAC
|
Proposal # 2661 Similarity: 3.69ppm ILMOHQMAGPHXIE
|
|
Proposal # 2662 Similarity: 3.69ppm WMXBPOWHXPLVBR
|
Proposal # 2663 Similarity: 3.69ppm GBSZCQQMNSEESZ
|
Proposal # 2664 Similarity: 3.69ppm RMNMUBVQXUHNFK
|
|
Proposal # 2665 Similarity: 3.69ppm DHFCLIWWWGOWCQ
|
Proposal # 2666 Similarity: 3.69ppm VRGBRGQAWLBXRX
|
Proposal # 2667 Similarity: 3.69ppm SGQRBOCIHIODLL
|
|
Proposal # 2668 Similarity: 3.69ppm RGPOECJBLCDVND
|
Proposal # 2669 Similarity: 3.69ppm SUTCDCJDACJEHQ
|
Proposal # 2670 Similarity: 3.69ppm UBDWIGJHUDHIAF
|
|
Proposal # 2671 Similarity: 3.69ppm NJUGHBMTVWKYCP
|
Proposal # 2672 Similarity: 3.69ppm IUTXZHRQBPXOSC
|
Proposal # 2673 Similarity: 3.69ppm MZFLJYXTHVQEIJ
|
|
Proposal # 2674 Similarity: 3.69ppm VSSYOGGFGFWNSA
|
Proposal # 2675 Similarity: 3.69ppm NKYRXIQRABMXTL
|
Proposal # 2676 Similarity: 3.69ppm SDEXNWKSBKBOBC
|
|
Proposal # 2677 Similarity: 3.69ppm PITRIABJMMCJGI
|
Proposal # 2678 Similarity: 3.69ppm KZFUSIMBQBDYQY
|
Proposal # 2679 Similarity: 3.69ppm HATXPIDHSNURKP
|
|
Proposal # 2680 Similarity: 3.69ppm UONPBDCQMVVAOB
|
Proposal # 2681 Similarity: 3.69ppm HAZSMRIEZAHCFG
|
Proposal # 2682 Similarity: 3.69ppm UECRNZZUPRTAHV
|
|
Proposal # 2683 Similarity: 3.69ppm PDZBLKAGXAIZBH
|
Proposal # 2684 Similarity: 3.69ppm BAPHBQYKGPCBRJ
|
Proposal # 2685 Similarity: 3.70ppm FMHKEGFRNISUCG
|
|
Proposal # 2686 Similarity: 3.70ppm OKPOVFDNCKONTI
|
Proposal # 2687 Similarity: 3.70ppm KFDIQGSHTCRNNJ
|
Proposal # 2688 Similarity: 3.70ppm QDUDETXMRASODB
|
|
Proposal # 2689 Similarity: 3.70ppm YMMSXPQHMLPZJH
|
Proposal # 2690 Similarity: 3.70ppm YJLVFOVJYTYOQH
|
Proposal # 2691 Similarity: 3.70ppm MLDIWAZTTHWLGC
|
|
Proposal # 2692 Similarity: 3.70ppm UVLKJAXHEPRFNL
|
Proposal # 2693 Similarity: 3.70ppm UHVYVYYQICGIMC
|
Proposal # 2694 Similarity: 3.70ppm BQJQQCNRDISKOK
|
|
Proposal # 2695 Similarity: 3.70ppm STODYMNOWDSKPD
|
Proposal # 2696 Similarity: 3.70ppm DGEVNVZOSXRLFW
|
Proposal # 2697 Similarity: 3.70ppm DIOVIVFWIRSZNQ
|
|
Proposal # 2698 Similarity: 3.70ppm XKEBFXIBVAGZSH
|
Proposal # 2699 Similarity: 3.70ppm VQHVNVPLZXOCTN
|
Proposal # 2700 Similarity: 3.70ppm NYUHYIHXVQTVGE
|
|
Proposal # 2701 Similarity: 3.70ppm WMSVQPAWEWMTJN
|
Proposal # 2702 Similarity: 3.70ppm KFMXLOUTLDTKHG
|
Proposal # 2703 Similarity: 3.70ppm MCMUCJBQRBFHKX
|
|
Proposal # 2704 Similarity: 3.70ppm DSJBYMWRKZAJEY
|
Proposal # 2705 Similarity: 3.70ppm UJNZISNANCFEJU
|
Proposal # 2706 Similarity: 3.70ppm KHODXGCVQLBMIW
|
|
Proposal # 2707 Similarity: 3.70ppm XQUQOFMOXDTYBC
|
Proposal # 2708 Similarity: 3.70ppm LEXJMAQIXXPYTC
|
Proposal # 2709 Similarity: 3.70ppm DJMQHGSCUOHOIO
|
|
Proposal # 2710 Similarity: 3.70ppm IZLCACKEMNETQJ
|
Proposal # 2711 Similarity: 3.70ppm LPWAGJBZMMPODN
|
Proposal # 2712 Similarity: 3.70ppm IIBVNHNIJVXRNT
|
|
Proposal # 2713 Similarity: 3.70ppm HYYIPVJRTBTNFM
|
Proposal # 2714 Similarity: 3.70ppm FAQUVIQIDHHYGT
|
Proposal # 2715 Similarity: 3.70ppm URFMMLRALKUTIZ
|
|
Proposal # 2716 Similarity: 3.70ppm LORJEDACDUCHTK
|
Proposal # 2717 Similarity: 3.70ppm MIVMZEQTLNVLEC
|
Proposal # 2718 Similarity: 3.70ppm FXHZXDFCUGNHOW
|
|
Proposal # 2719 Similarity: 3.70ppm NGLNBUMTUFEWEI
|
Proposal # 2720 Similarity: 3.70ppm FWVBOQYYRLLIAW
|
Proposal # 2721 Similarity: 3.71ppm OHIVBOQXNXLSSM
|
|
Proposal # 2722 Similarity: 3.71ppm DEGMTOHZFAGHKS
|
Proposal # 2723 Similarity: 3.71ppm CNXYDLSSGVRINX
|
Proposal # 2724 Similarity: 3.71ppm UFPBIPOQTWVPKC
|
|
Proposal # 2725 Similarity: 3.71ppm GYUNRRBPKVDPOZ
|
Proposal # 2726 Similarity: 3.71ppm FEYCQFHYEUJINZ
|
Proposal # 2727 Similarity: 3.71ppm ZLHGXWYNGOFRKJ
|
|
Proposal # 2728 Similarity: 3.71ppm GVVORLRIUPXOPF
|
Proposal # 2729 Similarity: 3.71ppm RDGKCNSIQLROCE
|
Proposal # 2730 Similarity: 3.71ppm QXQBNXHGPSQTLM
|
|
Proposal # 2731 Similarity: 3.71ppm BYURQSIALPEDJY
|
Proposal # 2732 Similarity: 3.71ppm QFMLEYXJKOAHAO
|
Proposal # 2733 Similarity: 3.71ppm WRNUYAZHCKMTRU
|
|
Proposal # 2734 Similarity: 3.71ppm CHODQJQDGFPSDK
|
Proposal # 2735 Similarity: 3.71ppm RVWWZDRMCRKRSX
|
Proposal # 2736 Similarity: 3.71ppm AKLXLCOWEKHAJF
|
|
Proposal # 2737 Similarity: 3.71ppm YVVRUYMBOGDUHU
|
Proposal # 2738 Similarity: 3.71ppm GNCBTHNJXHUMRH
|
Proposal # 2739 Similarity: 3.71ppm BUVARJZUSRQYAW
|
|
Proposal # 2740 Similarity: 3.71ppm NKMRLGJVGXDXPE
|
Proposal # 2741 Similarity: 3.71ppm WKGVKFCADBMRMS
|
Proposal # 2742 Similarity: 3.71ppm RWFMMRUPFHBJON
|
|
Proposal # 2743 Similarity: 3.71ppm PHDVBSUXMJWJJO
|
Proposal # 2744 Similarity: 3.71ppm VLAFEJREIMVBFP
|
Proposal # 2745 Similarity: 3.71ppm OASRSDKGGQUMAX
|
|
Proposal # 2746 Similarity: 3.71ppm NICYTDDCUDFJNV
|
Proposal # 2747 Similarity: 3.71ppm XJGRKLLUNKPPGQ
|
Proposal # 2748 Similarity: 3.71ppm OVHKRDMUVXNFEZ
|
|
Proposal # 2749 Similarity: 3.71ppm VVOJQYODEUHHKU
|
Proposal # 2750 Similarity: 3.72ppm DACNCWYUXXWGCA
|
Proposal # 2751 Similarity: 3.72ppm DAOIWJQBBVRTNB
|
|
Proposal # 2752 Similarity: 3.72ppm VAPUWFOVEQSKFK
|
Proposal # 2753 Similarity: 3.72ppm AXZMZQDZUYMUDX
|
Proposal # 2754 Similarity: 3.72ppm ALSBWDWJBWSRRQ
|
|
Proposal # 2755 Similarity: 3.72ppm YKJSKVCGTNSZQB
|
Proposal # 2756 Similarity: 3.72ppm AECFBFXWJVBVPI
|
Proposal # 2757 Similarity: 3.72ppm LIKOMCORKFKFPC
|
|
Proposal # 2758 Similarity: 3.72ppm ZYWMQPOGHQHGIH
|
Proposal # 2759 Similarity: 3.72ppm BSBDVGGHOJSBBK
|
Proposal # 2760 Similarity: 3.72ppm BRGUFSHCBVSNKD
|
|
Proposal # 2761 Similarity: 3.72ppm CTQWFMCGLCBKPK
|
Proposal # 2762 Similarity: 3.72ppm YATZHLILKQQWSG
|
Proposal # 2763 Similarity: 3.72ppm IXQUTDAKAVPFOH
|
|
Proposal # 2764 Similarity: 3.72ppm VIMIHHBTTARVAI
|
Proposal # 2765 Similarity: 3.72ppm WNOMTDBNARHKDK
|
Proposal # 2766 Similarity: 3.72ppm RELCWUFOLVYVCM
|
|
Proposal # 2767 Similarity: 3.72ppm NZCWFLZCTZWHGY
|
Proposal # 2768 Similarity: 3.72ppm RGZFIMOTTQTGLE
|
Proposal # 2769 Similarity: 3.72ppm NWZKELXSVLHGBQ
|
|
Proposal # 2770 Similarity: 3.72ppm FMPJYLYXKAIHOU
|
Proposal # 2771 Similarity: 3.72ppm JIAITUPFGYDDGG
|
Proposal # 2772 Similarity: 3.72ppm HUGLDXPTPJJZAB
|
|
Proposal # 2773 Similarity: 3.72ppm QEFXIWNDMCGAGJ
|
Proposal # 2774 Similarity: 3.72ppm WIBARAPEJAHPIW
|
Proposal # 2775 Similarity: 3.72ppm OMDJJBNOGZTIMT
|
|
Proposal # 2776 Similarity: 3.72ppm FWKIFCPEFCFLCR
|
Proposal # 2777 Similarity: 3.73ppm BUUWXXKHMIFMTJ
|
Proposal # 2778 Similarity: 3.73ppm BSMFYRDIIWKRCT
|
|
Proposal # 2779 Similarity: 3.73ppm JUOYLYUWBMIRGQ
|
Proposal # 2780 Similarity: 3.73ppm GWJFPDTXNRICPG
|
Proposal # 2781 Similarity: 3.73ppm KFJFRKAXOOQKKR
|
|
Proposal # 2782 Similarity: 3.73ppm XUPFYRKZYDTQOZ
|
Proposal # 2783 Similarity: 3.73ppm VHFDURYMZYKYCC
|
Proposal # 2784 Similarity: 3.73ppm VLAVHJJZWFKDTA
|
|
Proposal # 2785 Similarity: 3.73ppm RCIZJVSJNRFJJC
|
Proposal # 2786 Similarity: 3.73ppm JQBAEVHPUKJKQS
|
Proposal # 2787 Similarity: 3.73ppm FNXYFKVVHFQCJW
|
|
Proposal # 2788 Similarity: 3.73ppm WCLSIJUEBSHZEI
|
Proposal # 2789 Similarity: 3.73ppm NHVREJKPTSOIKR
|
Proposal # 2790 Similarity: 3.73ppm JYSOIQQWERQDTI
|
|
Proposal # 2791 Similarity: 3.73ppm HMSYKYOFALCKDY
|
Proposal # 2792 Similarity: 3.73ppm ZIFGFYWJEHCCGN
|
Proposal # 2793 Similarity: 3.73ppm VTUSNZFESBFISN
|
|
Proposal # 2794 Similarity: 3.73ppm MSKSFKMHMXHHRR
|
Proposal # 2795 Similarity: 3.73ppm MBCMQRNAYLOCOJ
|
Proposal # 2796 Similarity: 3.73ppm JRKGFDHEHTXHEI
|
|
Proposal # 2797 Similarity: 3.73ppm DGNKJDVYMZAJKG
|
Proposal # 2798 Similarity: 3.73ppm YKHMWFPSZKWZSQ
|
Proposal # 2799 Similarity: 3.73ppm CGBCPYIMIHPUFZ
|
|
Proposal # 2800 Similarity: 3.73ppm MRBDIHXNIZKNAQ
|
Proposal # 2801 Similarity: 3.73ppm QRFBSLVDVGYIEK
|
Proposal # 2802 Similarity: 3.73ppm HPHRZHLGPFWYRN
|
|
Proposal # 2803 Similarity: 3.73ppm XQUCCLWTXHDRHG
|
Proposal # 2804 Similarity: 3.73ppm ONIBDRGBIKQXOJ
|
Proposal # 2805 Similarity: 3.73ppm LCQISIJEVFDUFQ
|
|
Proposal # 2806 Similarity: 3.73ppm OCACHRNWTFPATG
|
Proposal # 2807 Similarity: 3.73ppm CJYBIFTWGCJQAK
|
Proposal # 2808 Similarity: 3.73ppm GZIUPKORBNRZHB
|
|
Proposal # 2809 Similarity: 3.73ppm RKUIDLMEYJNWQI
|
Proposal # 2810 Similarity: 3.73ppm HQKYNZSBYSNINQ
|
Proposal # 2811 Similarity: 3.73ppm BWARZEMVTIWZPE
|
|
Proposal # 2812 Similarity: 3.73ppm YPPOTQOZMALCBL
|
Proposal # 2813 Similarity: 3.73ppm PJTOECQUXCURIJ
|
Proposal # 2814 Similarity: 3.73ppm JGUCOWLUNIMWRI
|
|
Proposal # 2815 Similarity: 3.73ppm QLWXBSOSMWRACL
|
Proposal # 2816 Similarity: 3.73ppm NDPYYGIHNTYZFQ
|
Proposal # 2817 Similarity: 3.73ppm VNAAUYAQQXYPFZ
|
|
Proposal # 2818 Similarity: 3.73ppm DQBBVYLMHVDYST
|
Proposal # 2819 Similarity: 3.74ppm XDICZJPNVZBGNC
|
Proposal # 2820 Similarity: 3.74ppm FSHUNWCMPWGZEL
|
|
Proposal # 2821 Similarity: 3.74ppm TUQHNAXHNZIBKN
|
Proposal # 2822 Similarity: 3.74ppm DODJGBOSHRFZBE
|
Proposal # 2823 Similarity: 3.74ppm QQFSYNKDCZAFSR
|
|
Proposal # 2824 Similarity: 3.74ppm WXJRGWQFUDQHCA
|
Proposal # 2825 Similarity: 3.74ppm GOGOQMMNXBPTSH
|
Proposal # 2826 Similarity: 3.74ppm SAZFSROYDVJGOJ
|
|
Proposal # 2827 Similarity: 3.74ppm QFFDSSVPXSHUAT
|
Proposal # 2828 Similarity: 3.74ppm LJRWAXVTLOIRSY
|
Proposal # 2829 Similarity: 3.74ppm YHLGSAYDONBEEI
|
|
Proposal # 2830 Similarity: 3.74ppm LPAGQCOWXGAGSI
|
Proposal # 2831 Similarity: 3.74ppm PUCMANVWJAJCOM
|
Proposal # 2832 Similarity: 3.74ppm ZJYNOIYGAVKMEK
|
|
Proposal # 2833 Similarity: 3.74ppm HQZWQVXOZOESGQ
|
Proposal # 2834 Similarity: 3.74ppm XTVOVJICERKABF
|
Proposal # 2835 Similarity: 3.74ppm QAQACZWYQUIACF
|
|
Proposal # 2836 Similarity: 3.74ppm MIGMUFFQWMBWHR
|
Proposal # 2837 Similarity: 3.74ppm AFAMRXIEHUZCEZ
|
Proposal # 2838 Similarity: 3.74ppm RARJFIAVMRRPHR
|
|
Proposal # 2839 Similarity: 3.74ppm OLLXSAUDIVFSKQ
|
Proposal # 2840 Similarity: 3.74ppm WHIMBPRJUTXRBS
|
Proposal # 2841 Similarity: 3.74ppm BHOCNPQCFBBAPZ
|
|
Proposal # 2842 Similarity: 3.74ppm HMYIOWFZUWPQKV
|
Proposal # 2843 Similarity: 3.74ppm PENMQSLPCCWMJN
|
Proposal # 2844 Similarity: 3.74ppm JWQQKZLJJIYJDO
|
|
Proposal # 2845 Similarity: 3.74ppm RDMQCNAMJTUZSJ
|
Proposal # 2846 Similarity: 3.74ppm BEBPFEBMNPBXEJ
|
Proposal # 2847 Similarity: 3.74ppm NGGNVHJJPJJVEP
|
|
Proposal # 2848 Similarity: 3.74ppm HIOFVOUVGHGQDX
|
Proposal # 2849 Similarity: 3.74ppm RAWYAGCSNIWLPT
|
Proposal # 2850 Similarity: 3.74ppm CZVRKBYATQDEPY
|
|
Proposal # 2851 Similarity: 3.74ppm SYXBRIMLOUKHRZ
|
Proposal # 2852 Similarity: 3.74ppm QXQOPDQSNFYMMI
|
Proposal # 2853 Similarity: 3.74ppm ACIOOMVFDLHYGN
|
|
Proposal # 2854 Similarity: 3.74ppm ABXONTXFOYDDFG
|
Proposal # 2855 Similarity: 3.75ppm UIWUWHIAICWFHT
|
Proposal # 2856 Similarity: 3.75ppm XIZHKWLKKKAHHA
|
|
Proposal # 2857 Similarity: 3.75ppm WYPQORORCORITL
|
Proposal # 2858 Similarity: 3.75ppm BWDBOSAHFFKQOT
|
Proposal # 2859 Similarity: 3.75ppm XQQPPQNYYOJFJG
|
|
Proposal # 2860 Similarity: 3.75ppm SPWQEKGHMRJPOE
|
Proposal # 2861 Similarity: 3.75ppm DGPSTZZXCGHXQR
|
Proposal # 2862 Similarity: 3.75ppm RYFRSABTSXXARU
|
|
Proposal # 2863 Similarity: 3.75ppm VBFRKHVXMMCCQL
|
Proposal # 2864 Similarity: 3.75ppm NXJUMJSQMBILOZ
|
Proposal # 2865 Similarity: 3.75ppm ANCILMOHIZPXKI
|
|
Proposal # 2866 Similarity: 3.75ppm ZCVVFPJYUFGWGU
|
Proposal # 2867 Similarity: 3.75ppm HVPFGRNCCYJBMI
|
Proposal # 2868 Similarity: 3.75ppm AVDQDLGQBJAWKN
|
|
Proposal # 2869 Similarity: 3.75ppm JFHPLOSWDDVQRF
|
Proposal # 2870 Similarity: 3.75ppm BKAQZSVCPJWFMI
|
Proposal # 2871 Similarity: 3.75ppm ZBYDMDMZTLJOCH
|
|
Proposal # 2872 Similarity: 3.75ppm AIFRCCSKWKZPNY
|
Proposal # 2873 Similarity: 3.75ppm GJFDNAUGADIILB
|
Proposal # 2874 Similarity: 3.75ppm ZGAFHJNDOMHZHR
|
|
Proposal # 2875 Similarity: 3.75ppm BHIRDEKYKKISQU
|
Proposal # 2876 Similarity: 3.75ppm SJWVEMCVKZLPJB
|
Proposal # 2877 Similarity: 3.75ppm CJEJFLBYTBNMGQ
|
|
Proposal # 2878 Similarity: 3.75ppm JGESVLZECFIUSV
|
Proposal # 2879 Similarity: 3.75ppm KQWTXWIATJDGMA
|
Proposal # 2880 Similarity: 3.75ppm TYKFICSTNSJOMF
|
|
Proposal # 2881 Similarity: 3.75ppm RIENUCVUDOUVIE
|
Proposal # 2882 Similarity: 3.75ppm VTPXGJDZOOXEDL
|
Proposal # 2883 Similarity: 3.76ppm RSEHABGTRBUPIU
|
|
Proposal # 2884 Similarity: 3.76ppm YSPCKGMQBJSWPP
|
Proposal # 2885 Similarity: 3.76ppm GWIPBEYCDNZGLB
|
Proposal # 2886 Similarity: 3.76ppm SSHUCLBJEDYRON
|
|
Proposal # 2887 Similarity: 3.76ppm UXADFSQGNQGRCS
|
Proposal # 2888 Similarity: 3.76ppm HHKMNIKEBNUJRA
|
Proposal # 2889 Similarity: 3.76ppm GDCXJYHWICEFCM
|
|
Proposal # 2890 Similarity: 3.76ppm DPIIETGLYJFTCW
|
Proposal # 2891 Similarity: 3.76ppm SWULABMOOMOMOR
|
Proposal # 2892 Similarity: 3.76ppm STCOYBHWFCRZEV
|
|
Proposal # 2893 Similarity: 3.76ppm MQNPJVMWQJLYPZ
|
Proposal # 2894 Similarity: 3.76ppm UCNQAUYZQOFGJW
|
Proposal # 2895 Similarity: 3.76ppm BMYZIVPDKFCATK
|
|
Proposal # 2896 Similarity: 3.76ppm MKYBBBQFRXRYBO
|
Proposal # 2897 Similarity: 3.76ppm CAVYNTJGOMSSFN
|
Proposal # 2898 Similarity: 3.76ppm AKBPBUWBYPBORD
|
|
Proposal # 2899 Similarity: 3.76ppm JNEUCWHIIORHID
|
Proposal # 2900 Similarity: 3.76ppm PRTMQFUESBSGSZ
|
Proposal # 2901 Similarity: 3.76ppm WDMFVYACTZYLRX
|
|
Proposal # 2902 Similarity: 3.76ppm WOOSTWVIIUUDNM
|
Proposal # 2903 Similarity: 3.76ppm SSLSHFPQEJIMCT
|
Proposal # 2904 Similarity: 3.76ppm PPCIJCKWNNOMAS
|
|
Proposal # 2905 Similarity: 3.76ppm IXKPDJHSLOFVGK
|
Proposal # 2906 Similarity: 3.76ppm MMCYHGCEOOEQEU
|
Proposal # 2907 Similarity: 3.76ppm PTUCMJGYEZRBNV
|
|
Proposal # 2908 Similarity: 3.76ppm HVLIZZOSEDCGQU
|
Proposal # 2909 Similarity: 3.76ppm GLVHIUROWXPCKX
|
Proposal # 2910 Similarity: 3.76ppm VIEWDFDDCYFGKX
|
|
Proposal # 2911 Similarity: 3.76ppm BFXDTCFLMJQABL
|
Proposal # 2912 Similarity: 3.76ppm OOMSUXOAZGLBJN
|
Proposal # 2913 Similarity: 3.77ppm ARQLAJLXOOKAIT
|
|
Proposal # 2914 Similarity: 3.77ppm YOOAZHICSLPSAT
|
Proposal # 2915 Similarity: 3.77ppm ULBSEWVLSWGOLA
|
Proposal # 2916 Similarity: 3.77ppm XPANZMDYGZNDBJ
|
|
Proposal # 2917 Similarity: 3.77ppm MLXBFBZCTVZZCQ
|
Proposal # 2918 Similarity: 3.77ppm FSHCRBWEIONFAR
|
Proposal # 2919 Similarity: 3.77ppm UACGCJAKCOPWOD
|
|
Proposal # 2920 Similarity: 3.77ppm SOUWQLCJAIDUMV
|
Proposal # 2921 Similarity: 3.77ppm AAYOEPZJBYXULR
|
Proposal # 2922 Similarity: 3.77ppm JFJBDQQEOYFQQW
|
|
Proposal # 2923 Similarity: 3.77ppm QZYOURXNPUACNY
|
Proposal # 2924 Similarity: 3.77ppm QLTQCVJDOQRTEX
|
Proposal # 2925 Similarity: 3.77ppm GRCQWQJAMQAHNM
|
|
Proposal # 2926 Similarity: 3.77ppm CCMWSQVWVUQBEA
|
Proposal # 2927 Similarity: 3.77ppm HUDOTNDNFDDYEI
|
Proposal # 2928 Similarity: 3.77ppm SIYSAZIGWRMQRC
|
|
Proposal # 2929 Similarity: 3.77ppm CDSKFZOQWNWRTL
|
Proposal # 2930 Similarity: 3.77ppm LRNCTOLHBUKXKD
|
Proposal # 2931 Similarity: 3.77ppm HEPMFTBMJJBCHJ
|
|
Proposal # 2932 Similarity: 3.77ppm HUACIMSROBXSSY
|
Proposal # 2933 Similarity: 3.77ppm QMCIKTKUZROVRP
|
Proposal # 2934 Similarity: 3.77ppm XVHZJOHNQBBXCE
|
|
Proposal # 2935 Similarity: 3.77ppm MDURHQAEYXZIKI
|
Proposal # 2936 Similarity: 3.77ppm HIWMREQWCWWNLD
|
Proposal # 2937 Similarity: 3.77ppm SYEFFOAWFIEKFB
|
|
Proposal # 2938 Similarity: 3.77ppm MWDYGQCSUFAMEU
|
Proposal # 2939 Similarity: 3.77ppm JVLFHHRLGNKMQQ
|
Proposal # 2940 Similarity: 3.77ppm FYYBZSPZWINAOS
|
|
Proposal # 2941 Similarity: 3.77ppm UNTGCZYGHHBMFM
|
Proposal # 2942 Similarity: 3.77ppm ZUWQXUDCXGIEIU
|
Proposal # 2943 Similarity: 3.77ppm KVCAECKMLBLHTD
|
|
Proposal # 2944 Similarity: 3.77ppm OKDFWYBOTNHOGT
|
Proposal # 2945 Similarity: 3.77ppm VZXYIHMQUOCVQO
|
Proposal # 2946 Similarity: 3.77ppm JMLLMUQATSMXEY
|
|
Proposal # 2947 Similarity: 3.77ppm QHBAHTFMZVSQMI
|
Proposal # 2948 Similarity: 3.78ppm JPBVWUNYDHKLHO
|
Proposal # 2949 Similarity: 3.78ppm SRQVKAXDOKSOCX
|
|
Proposal # 2950 Similarity: 3.78ppm HDKMINFRBDCMRU
|
Proposal # 2951 Similarity: 3.78ppm CCPLJZAKKCIOQN
|
Proposal # 2952 Similarity: 3.78ppm KZBBVVFBWNDGCG
|
|
Proposal # 2953 Similarity: 3.78ppm VBUJQSZKIPBTJV
|
Proposal # 2954 Similarity: 3.78ppm BVJRDNYUGSSXBB
|
Proposal # 2955 Similarity: 3.78ppm GFLFPAKOXZLNLR
|
|
Proposal # 2956 Similarity: 3.78ppm HWJHDJNANLTWMB
|
Proposal # 2957 Similarity: 3.78ppm QIQYVBCEVSQBGD
|
Proposal # 2958 Similarity: 3.78ppm XRSOVUYDCRORFP
|
|
Proposal # 2959 Similarity: 3.78ppm HTORNACAQVCNCO
|
Proposal # 2960 Similarity: 3.78ppm TUBRBJRBHIHMRH
|
Proposal # 2961 Similarity: 3.78ppm FBUIDABEGYIHPL
|
|
Proposal # 2962 Similarity: 3.78ppm WKCZXHUYEZBIRW
|
Proposal # 2963 Similarity: 3.78ppm GONQQHKOVSHLOE
|
Proposal # 2964 Similarity: 3.78ppm FXESXGFBCKHQAF
|
|
Proposal # 2965 Similarity: 3.78ppm AJYKCGKAOKPDNJ
|
Proposal # 2966 Similarity: 3.78ppm GPVFCZVQYKGAGI
|
Proposal # 2967 Similarity: 3.78ppm VUWHWBYUXMJYEA
|
|
Proposal # 2968 Similarity: 3.78ppm KHDYHSZNEDNKMB
|
Proposal # 2969 Similarity: 3.78ppm TUYWJOZSEMZNHD
|
Proposal # 2970 Similarity: 3.78ppm RUAXUAXHRWWWQP
|
|
Proposal # 2971 Similarity: 3.78ppm SMAYCAKRYRLSOF
|
Proposal # 2972 Similarity: 3.79ppm ZYWAIOLADFJJJS
|
Proposal # 2973 Similarity: 3.79ppm GCDRSGFQBHHCBP
|
|
Proposal # 2974 Similarity: 3.79ppm KIKQBWDBMPQAFP
|
Proposal # 2975 Similarity: 3.79ppm MWBDKOGNUPEEKP
|
Proposal # 2976 Similarity: 3.79ppm UDMBKTLUTRBUJU
|
|
Proposal # 2977 Similarity: 3.79ppm GZNDCCICYOAUJB
|
Proposal # 2978 Similarity: 3.79ppm NBLLHSMMZNQTDD
|
Proposal # 2979 Similarity: 3.79ppm KHWWYLMIUSFXKP
|
|
Proposal # 2980 Similarity: 3.79ppm DSRGFNDLKFDWLE
|
Proposal # 2981 Similarity: 3.79ppm WGRUSPCZEXVDPL
|
Proposal # 2982 Similarity: 3.79ppm KHVFBHIFKZPPSP
|
|
Proposal # 2983 Similarity: 3.79ppm CSHBXGQKQDWLEN
|
Proposal # 2984 Similarity: 3.79ppm MQBAQSSNFJNEFD
|
Proposal # 2985 Similarity: 3.79ppm ODBZBEYNFJVDHZ
|
|
Proposal # 2986 Similarity: 3.79ppm XKYVNGNMJNJCIV
|
Proposal # 2987 Similarity: 3.79ppm SNQKGIMSLSQICE
|
Proposal # 2988 Similarity: 3.79ppm QADCUNCKIMENFD
|
|
Proposal # 2989 Similarity: 3.79ppm RHFDVXWKCCDILK
|
Proposal # 2990 Similarity: 3.79ppm XXXLSBFHJCLVJK
|
Proposal # 2991 Similarity: 3.79ppm WCFTWIFGHLFKBC
|
|
Proposal # 2992 Similarity: 3.79ppm INMGWEQDRLCOJJ
|
Proposal # 2993 Similarity: 3.79ppm RGHLNQJKXUIESD
|
Proposal # 2994 Similarity: 3.79ppm QJBVWDIKPPVTFS
|
|
Proposal # 2995 Similarity: 3.79ppm XVPUXOXPMCPGHP
|
Proposal # 2996 Similarity: 3.79ppm MPDWEUMGFRPPIQ
|
Proposal # 2997 Similarity: 3.80ppm KJYVANBZRSTDQE
|
|
Proposal # 2998 Similarity: 3.80ppm KRAXJHZVQQTOQD
|
Proposal # 2999 Similarity: 3.80ppm CTVJGISIPYVNDH
|
Proposal # 3000 Similarity: 3.80ppm KEZUGRKUJFBUNE
|
|
Proposal # 3001 Similarity: 3.80ppm BXONZFCTTGECCL
|
Proposal # 3002 Similarity: 3.80ppm DDJTYCOSNAOZCM
|
Proposal # 3003 Similarity: 3.80ppm UIZOQUUYCSNBNS
|
|
Proposal # 3004 Similarity: 3.80ppm MKKDYZNXDKBMLA
|
Proposal # 3005 Similarity: 3.80ppm GCKLRJZESSHMLW
|
Proposal # 3006 Similarity: 3.80ppm LRHPBIHVUBHIDK
|
|
Proposal # 3007 Similarity: 3.80ppm GIIAZNNPOLAPPV
|
Proposal # 3008 Similarity: 3.80ppm VMWKZQYFBSEQKX
|
Proposal # 3009 Similarity: 3.80ppm PEFVFFVYJNMJPX
|
|
Proposal # 3010 Similarity: 3.80ppm OHTJZBDBGQDZBZ
|
Proposal # 3011 Similarity: 3.80ppm FYWIPLKXBSLEMD
|
Proposal # 3012 Similarity: 3.80ppm LWACHBSKKNVDKG
|
|
Proposal # 3013 Similarity: 3.80ppm WDMGQJMXMRGTSH
|
Proposal # 3014 Similarity: 3.80ppm OXQQUAOZCGXNCE
|
Proposal # 3015 Similarity: 3.80ppm RIARGQXGSTYLPU
|
|
Proposal # 3016 Similarity: 3.80ppm AKPHYDVUNHJRMN
|
Proposal # 3017 Similarity: 3.80ppm AMKLVRYOECISTG
|
Proposal # 3018 Similarity: 3.80ppm BEMSEHRSOPWKAI
|
|
Proposal # 3019 Similarity: 3.80ppm WEQQRQNQWVFZRC
|
Proposal # 3020 Similarity: 3.80ppm MCARXLDQAYLRHC
|
Proposal # 3021 Similarity: 3.80ppm SZHOTMYQKIIXJS
|
|
Proposal # 3022 Similarity: 3.80ppm WYHOAWPGAGVGIW
|
Proposal # 3023 Similarity: 3.80ppm YXGHYPBSVLJQLE
|
Proposal # 3024 Similarity: 3.80ppm KAEBRVAITIOOBU
|
|
Proposal # 3025 Similarity: 3.80ppm MYUKQMTYVBNFTQ
|
Proposal # 3026 Similarity: 3.80ppm NPLXMOCXFWXPKT
|
Proposal # 3027 Similarity: 3.80ppm CEYYXVBIIJTXNT
|
|
Proposal # 3028 Similarity: 3.80ppm AHUOOSBPYMNACC
|
Proposal # 3029 Similarity: 3.80ppm HGGCKKCETAEFCW
|
Proposal # 3030 Similarity: 3.80ppm WPCRRRFSDZCGEE
|
|
Proposal # 3031 Similarity: 3.80ppm YVXFRHRDJXCJNL
|
Proposal # 3032 Similarity: 3.80ppm FUBRWNVCGDJURE
|
Proposal # 3033 Similarity: 3.80ppm WNYFZZNUSCQVRM
|
|
Proposal # 3034 Similarity: 3.80ppm GSRFYCVKZXEPCT
|
Proposal # 3035 Similarity: 3.81ppm MOPUIFYMLJJBPW
|
Proposal # 3036 Similarity: 3.81ppm UMKREXCNSMFRPL
|
|
Proposal # 3037 Similarity: 3.81ppm JXIBBZNKSKEGKO
|
Proposal # 3038 Similarity: 3.81ppm CYDPOSGHWNXPOQ
|
Proposal # 3039 Similarity: 3.81ppm NNPIOCMEUJNBAZ
|
|
Proposal # 3040 Similarity: 3.81ppm WOVATRVJUVWZNY
|
Proposal # 3041 Similarity: 3.81ppm WFTSZGLQNIFFGP
|
Proposal # 3042 Similarity: 3.81ppm BVEMVHHSKCZOJW
|
|
Proposal # 3043 Similarity: 3.81ppm WOKVXLPQHVCUJW
|
Proposal # 3044 Similarity: 3.81ppm KDXLUAYUGSVVFT
|
Proposal # 3045 Similarity: 3.81ppm PUJUQHMTJHHVAP
|
|
Proposal # 3046 Similarity: 3.81ppm YDULLWNTGQUMNS
|
Proposal # 3047 Similarity: 3.81ppm HGXJXDCVWOPLCO
|
Proposal # 3048 Similarity: 3.81ppm ZXJSDXUUEGIQJK
|
|
Proposal # 3049 Similarity: 3.81ppm IRKGMRRHLMVAOX
|
Proposal # 3050 Similarity: 3.81ppm LCRMTACFRHXUBR
|
Proposal # 3051 Similarity: 3.81ppm CVHGRXBTPZICFT
|
|
Proposal # 3052 Similarity: 3.81ppm FYIDFKJTOMLLJM
|
Proposal # 3053 Similarity: 3.81ppm KPSAOUASCMHQGY
|
Proposal # 3054 Similarity: 3.81ppm KHXHAAVEASMAJM
|
|
Proposal # 3055 Similarity: 3.81ppm FALGQBIXNFQSRY
|
Proposal # 3056 Similarity: 3.81ppm MJRNMDAXLVAQIH
|
Proposal # 3057 Similarity: 3.81ppm LFLQFOQGYWBSIX
|
|
Proposal # 3058 Similarity: 3.81ppm INNCXUNQXNBAAM
|
Proposal # 3059 Similarity: 3.81ppm FXBPLIMYHVRPCS
|
Proposal # 3060 Similarity: 3.81ppm QPNSKNKUJGHBCM
|
|
Proposal # 3061 Similarity: 3.81ppm ZBCLDDXLFHFOAQ
|
Proposal # 3062 Similarity: 3.81ppm GEKISCVBKXWTIJ
|
Proposal # 3063 Similarity: 3.81ppm IUYJGIPNFMKDJJ
|
|
Proposal # 3064 Similarity: 3.82ppm NXJYHWZTJFXPDB
|
Proposal # 3065 Similarity: 3.82ppm QZKDEMMLDSANBI
|
Proposal # 3066 Similarity: 3.82ppm NJWOCXUPCKDZGD
|
|
Proposal # 3067 Similarity: 3.82ppm ZXKNQBFUFNEICN
|
Proposal # 3068 Similarity: 3.82ppm OSSOOCLUGMIJJV
|
Proposal # 3069 Similarity: 3.82ppm ILEMFFRIWWGYQY
|
|
Proposal # 3070 Similarity: 3.82ppm FZLQUSAIYGUDHX
|
Proposal # 3071 Similarity: 3.82ppm LREAKVRDONRJSU
|
Proposal # 3072 Similarity: 3.82ppm NSLDWKCAXRUWBB
|
|
Proposal # 3073 Similarity: 3.82ppm TWUKTUZLEBTOPL
|
Proposal # 3074 Similarity: 3.82ppm NQADQKOMKYXMSX
|
Proposal # 3075 Similarity: 3.82ppm IQJKRBTUMRGCRC
|
|
Proposal # 3076 Similarity: 3.82ppm YNGLRGICILFBHV
|
Proposal # 3077 Similarity: 3.82ppm NDOIVRLBJJUCRU
|
Proposal # 3078 Similarity: 3.82ppm ZHYQANVEINIDKV
|
|
Proposal # 3079 Similarity: 3.82ppm NWPOSBGCWLKPAM
|
Proposal # 3080 Similarity: 3.82ppm QBSNVZCJNNAODJ
|
Proposal # 3081 Similarity: 3.82ppm MCXYBDVTOPWRHK
|
|
Proposal # 3082 Similarity: 3.82ppm LIFWWTGGRDYBAR
|
Proposal # 3083 Similarity: 3.82ppm XVNHBYFPYLIUNR
|
Proposal # 3084 Similarity: 3.82ppm UNOUQUOHESFREA
|
|
Proposal # 3085 Similarity: 3.82ppm GOPKHLAQIYNMHY
|
Proposal # 3086 Similarity: 3.82ppm OWWRGULNVHRSMF
|
Proposal # 3087 Similarity: 3.82ppm AJGMKMMYCKBYSR
|
|
Proposal # 3088 Similarity: 3.82ppm JUIPNDZMNPUYCA
|
Proposal # 3089 Similarity: 3.83ppm CZSAXWDBKPNGKR
|
Proposal # 3090 Similarity: 3.83ppm LKTKAABSAZKXPN
|
|
Proposal # 3091 Similarity: 3.83ppm JNFLIYFZPKBCCT
|
Proposal # 3092 Similarity: 3.83ppm AMCRHHJMASGVSV
|
Proposal # 3093 Similarity: 3.83ppm HHBINNPKYSUBSR
|
|
Proposal # 3094 Similarity: 3.83ppm ZYEFNMKFTKBIAC
|
Proposal # 3095 Similarity: 3.83ppm GRHBCFIYADOSTJ
|
Proposal # 3096 Similarity: 3.83ppm YVJCEWKPTVOQIV
|
|
Proposal # 3097 Similarity: 3.83ppm PQGDEMVDLHCBLN
|
Proposal # 3098 Similarity: 3.83ppm UWKMAXQMDNRKRQ
|
Proposal # 3099 Similarity: 3.83ppm QEIFSWZGHVPGPJ
|
|
Proposal # 3100 Similarity: 3.83ppm PZRIOGOEWDSZPO
|
Proposal # 3101 Similarity: 3.83ppm QYYAOYLRRWXWDC
|
Proposal # 3102 Similarity: 3.83ppm SXFYQSXRSHKMFX
|
|
Proposal # 3103 Similarity: 3.83ppm RRKOOIGQVZBJKE
|
Proposal # 3104 Similarity: 3.83ppm YZJOCKRVZVPAGC
|
Proposal # 3105 Similarity: 3.83ppm MCPMXPPUXZWMFD
|
|
Proposal # 3106 Similarity: 3.83ppm PANQPNZCDATHLD
|
Proposal # 3107 Similarity: 3.83ppm AEKYCRUMARJIBH
|
Proposal # 3108 Similarity: 3.83ppm XTKZZWLFTLLHMH
|
|
Proposal # 3109 Similarity: 3.83ppm OAGVZRKZLMTYHY
|
Proposal # 3110 Similarity: 3.83ppm JFFZKCLVAPPVJM
|
Proposal # 3111 Similarity: 3.83ppm HLGQDWOIYUMKBU
|
|
Proposal # 3112 Similarity: 3.83ppm HWCOINDRVFAQEH
|
Proposal # 3113 Similarity: 3.83ppm FAYZJVLNOYQPIC
|
Proposal # 3114 Similarity: 3.83ppm POPZXWIWUXIHOZ
|
|
Proposal # 3115 Similarity: 3.83ppm CFKPJOAEKGGXBF
|
Proposal # 3116 Similarity: 3.83ppm GIUATGYOOSBNGH
|
Proposal # 3117 Similarity: 3.83ppm KAAVXBPBHHHTQK
|
|
Proposal # 3118 Similarity: 3.83ppm PTEAFBNGLDAHNC
|
Proposal # 3119 Similarity: 3.83ppm OWCDPXBKDZZWHO
|
Proposal # 3120 Similarity: 3.83ppm JUTUAVKCCRXZSX
|
|
Proposal # 3121 Similarity: 3.83ppm INSCOYXMJMDORT
|
Proposal # 3122 Similarity: 3.83ppm LIIKFUPWATUUPE
|
Proposal # 3123 Similarity: 3.83ppm UKTUNUIQUZFLOU
|
|
Proposal # 3124 Similarity: 3.83ppm HMESHJKTQMQSHS
|
Proposal # 3125 Similarity: 3.83ppm MXBCCKYAKXYKJJ
|
Proposal # 3126 Similarity: 3.83ppm QXJJSEDNJNDBHA
|
|
Proposal # 3127 Similarity: 3.83ppm SEWADIJDGUPNEW
|
Proposal # 3128 Similarity: 3.83ppm RUBOWEPABYOBOS
|
Proposal # 3129 Similarity: 3.83ppm HEATYFKGZFIVDR
|
|
Proposal # 3130 Similarity: 3.83ppm LLEXYPLKJVEVMX
|
Proposal # 3131 Similarity: 3.83ppm FSYYBXWKMAPSGJ
|
Proposal # 3132 Similarity: 3.84ppm LQCLCLANXFGFKZ
|
|
Proposal # 3133 Similarity: 3.84ppm FHTDEWLEDRSLFZ
|
Proposal # 3134 Similarity: 3.84ppm BYILWMATFARGLP
|
Proposal # 3135 Similarity: 3.84ppm AJZWREOGZYTBMP
|
|
Proposal # 3136 Similarity: 3.84ppm YHVQJBVZSBMZGC
|
Proposal # 3137 Similarity: 3.84ppm IIDREFALZOWGGF
|
Proposal # 3138 Similarity: 3.84ppm SPOLBRFPELWRBI
|
|
Proposal # 3139 Similarity: 3.84ppm OYZDSYUMUJBTTC
|
Proposal # 3140 Similarity: 3.84ppm VSHXKLVVNNZKCD
|
Proposal # 3141 Similarity: 3.84ppm KINWVFDODBPFFU
|
|
Proposal # 3142 Similarity: 3.84ppm FBBVRADIJOJFGH
|
Proposal # 3143 Similarity: 3.84ppm HTHZWAIXKFTEPL
|
Proposal # 3144 Similarity: 3.84ppm BXZONAUMZSJSIN
|
|
Proposal # 3145 Similarity: 3.84ppm XLANCDSDZTVMSD
|
Proposal # 3146 Similarity: 3.84ppm IHRUOUMAQIJJPC
|
Proposal # 3147 Similarity: 3.84ppm PEQGNROTQIIFGM
|
|
Proposal # 3148 Similarity: 3.84ppm REVMIIOIDGHUSU
|
Proposal # 3149 Similarity: 3.84ppm JJAZMRDKLDZSOV
|
Proposal # 3150 Similarity: 3.84ppm GUTRONHUKZONRS
|
|
Proposal # 3151 Similarity: 3.84ppm DSMDUWMPOLGHFD
|
Proposal # 3152 Similarity: 3.84ppm KYDDHDKIRJJLLO
|
Proposal # 3153 Similarity: 3.84ppm CTHXPEGNMRXQMC
|
|
Proposal # 3154 Similarity: 3.84ppm ZXNYTPAIZGUBCG
|
Proposal # 3155 Similarity: 3.84ppm JKMFWEVUHXCWEW
|
Proposal # 3156 Similarity: 3.84ppm FTTITJXCKHMEGJ
|
|
Proposal # 3157 Similarity: 3.84ppm JAQXVYWOEGPGMW
|
Proposal # 3158 Similarity: 3.84ppm PYLONZIMHPGFPK
|
Proposal # 3159 Similarity: 3.84ppm FMMXFEAKEGIWAI
|
|
Proposal # 3160 Similarity: 3.84ppm ZIFBZQBKBHFIQN
|
Proposal # 3161 Similarity: 3.84ppm JWHRGUJALGROSZ
|
Proposal # 3162 Similarity: 3.84ppm PTLJXRDMKLWNRC
|
|
Proposal # 3163 Similarity: 3.85ppm IONBVQIVIDHRNP
|
Proposal # 3164 Similarity: 3.85ppm LJTAZTLGSZMKRV
|
Proposal # 3165 Similarity: 3.85ppm OZVHLSAUDAPPFX
|
|
Proposal # 3166 Similarity: 3.85ppm HTYDZIIRAIRSRQ
|
Proposal # 3167 Similarity: 3.85ppm BRQBGQYLVNMNLB
|
Proposal # 3168 Similarity: 3.85ppm KAOXQZBIXRFKMC
|
|
Proposal # 3169 Similarity: 3.85ppm XKIQRWGVEMNUEG
|
Proposal # 3170 Similarity: 3.85ppm OGTYJIDJSYGJNG
|
Proposal # 3171 Similarity: 3.85ppm MXISVGYXNWFZDG
|
|
Proposal # 3172 Similarity: 3.85ppm DOYCANDDWBZUHL
|
Proposal # 3173 Similarity: 3.85ppm WOJRSLIJUXLVDE
|
Proposal # 3174 Similarity: 3.85ppm FNFDOEFEKPUUQM
|
|
Proposal # 3175 Similarity: 3.85ppm DFUJOXWWFGQGFU
|
Proposal # 3176 Similarity: 3.85ppm KPRXVCKMAFCDGU
|
Proposal # 3177 Similarity: 3.85ppm MOEBLHZQDHKAIL
|
|
Proposal # 3178 Similarity: 3.85ppm QPZQGXDKPVMZTC
|
Proposal # 3179 Similarity: 3.85ppm PYNURMJOYFFXHH
|
Proposal # 3180 Similarity: 3.85ppm DHQWGLVCVXQKRJ
|
|
Proposal # 3181 Similarity: 3.85ppm JTZKDCYJIBVRNI
|
Proposal # 3182 Similarity: 3.85ppm ZAOJIHFPTSIMGO
|
Proposal # 3183 Similarity: 3.85ppm LAYGQIAZCBTPKM
|
|
Proposal # 3184 Similarity: 3.85ppm FCSOWRHQGCDZQG
|
Proposal # 3185 Similarity: 3.85ppm HCPNSECAKUHLRX
|
Proposal # 3186 Similarity: 3.85ppm NHCVVSQQTLDZJE
|
|
Proposal # 3187 Similarity: 3.85ppm WZZLZVRIWAVHOB
|
Proposal # 3188 Similarity: 3.86ppm GFKNSHIXSZOVRB
|
Proposal # 3189 Similarity: 3.86ppm WXWOAKASLDWRJN
|
|
Proposal # 3190 Similarity: 3.86ppm KBGPZLHXAHAEHQ
|
Proposal # 3191 Similarity: 3.86ppm NSWMPNRZFJJBEA
|
Proposal # 3192 Similarity: 3.86ppm OJCAGXGPZGLFET
|
|
Proposal # 3193 Similarity: 3.86ppm GDIFNCDNGATGCS
|
Proposal # 3194 Similarity: 3.86ppm RHWYUQMJEDOTND
|
Proposal # 3195 Similarity: 3.86ppm XMNNZBHHMOOFBY
|
|
Proposal # 3196 Similarity: 3.86ppm NLTWWZIYWMZVHM
|
Proposal # 3197 Similarity: 3.86ppm RILBKWIOSVYJLA
|
Proposal # 3198 Similarity: 3.86ppm KTHGTQCYYAUWQL
|
|
Proposal # 3199 Similarity: 3.86ppm CIBKCQSSALKBKX
|
Proposal # 3200 Similarity: 3.86ppm RMBWQEXNELYTQV
|
Proposal # 3201 Similarity: 3.86ppm MSHDSPUSTSGNGD
|
|
Proposal # 3202 Similarity: 3.86ppm PHRPZDHHOWITLU
|
Proposal # 3203 Similarity: 3.86ppm UTCURTZWTFCCSI
|
Proposal # 3204 Similarity: 3.86ppm SZHIPDHMQNVZMV
|
|
Proposal # 3205 Similarity: 3.86ppm OCAGHOVJWWVXAI
|
Proposal # 3206 Similarity: 3.86ppm WKTDDBVJDBRQMT
|
Proposal # 3207 Similarity: 3.86ppm LIYJEYOTWWCWLF
|
|
Proposal # 3208 Similarity: 3.86ppm HMACPKWOQLUWSU
|
Proposal # 3209 Similarity: 3.86ppm VYNKYXIGNSFTBX
|
Proposal # 3210 Similarity: 3.86ppm HFYFKQDLZDIXEN
|
|
Proposal # 3211 Similarity: 3.86ppm RJJAQHBBKLANKT
|
Proposal # 3212 Similarity: 3.86ppm SFNJXOWCJLAZFJ
|
Proposal # 3213 Similarity: 3.86ppm JVBYHQQISCTCDS
|
|
Proposal # 3214 Similarity: 3.86ppm DBNASPRXNDTXRR
|
Proposal # 3215 Similarity: 3.86ppm YDWDGAOTNMNPLN
|
Proposal # 3216 Similarity: 3.86ppm QKEJFXWQAMEYBC
|
|
Proposal # 3217 Similarity: 3.86ppm QEWLBTIJIYSVPF
|
Proposal # 3218 Similarity: 3.86ppm UFVVZJPMFGPEFF
|
Proposal # 3219 Similarity: 3.86ppm GYAUIJPICZLQLU
|
|
Proposal # 3220 Similarity: 3.87ppm AXXWKUDZVORWQG
|
Proposal # 3221 Similarity: 3.87ppm UJTWUSSHDPHNLY
|
Proposal # 3222 Similarity: 3.87ppm PYNISBDESAYCMG
|
|
Proposal # 3223 Similarity: 3.87ppm PGJWEZFILMEIMD
|
Proposal # 3224 Similarity: 3.87ppm CLRLBBZUAMBVQZ
|
Proposal # 3225 Similarity: 3.87ppm BDTSSEJDFYUPHF
|
|
Proposal # 3226 Similarity: 3.87ppm MHFCIPLRLWLDHE
|
Proposal # 3227 Similarity: 3.87ppm WUZWJVCDURXUIU
|
Proposal # 3228 Similarity: 3.87ppm SUOZSMYFGFLKMU
|
|
Proposal # 3229 Similarity: 3.87ppm AKZJIXJRUKJQQT
|
Proposal # 3230 Similarity: 3.87ppm PHLKLCJRINCPKX
|
Proposal # 3231 Similarity: 3.87ppm DMYKVZUAGRMVTL
|
|
Proposal # 3232 Similarity: 3.87ppm HZGBGGGAWBHPLB
|
Proposal # 3233 Similarity: 3.87ppm HUTLJBPBKWGDLY
|
Proposal # 3234 Similarity: 3.87ppm HCMATQMKYBKAAF
|
|
Proposal # 3235 Similarity: 3.87ppm TVBUVBNIIQPHSI
|
Proposal # 3236 Similarity: 3.87ppm AHZWAACVCFPIDA
|
Proposal # 3237 Similarity: 3.87ppm IKRPWLOIRQKJEV
|
|
Proposal # 3238 Similarity: 3.87ppm IMUJPCXCDSRPAK
|
Proposal # 3239 Similarity: 3.87ppm KZTNGBRMKJCBGP
|
Proposal # 3240 Similarity: 3.87ppm FPGQPAVVJMSNQB
|
|
Proposal # 3241 Similarity: 3.87ppm FNBZIGMPWUQPTQ
|
Proposal # 3242 Similarity: 3.87ppm XKKCAEJZKFLWBL
|
Proposal # 3243 Similarity: 3.87ppm TYLMCKKSRWAKIJ
|
|
Proposal # 3244 Similarity: 3.87ppm AKLIYJLNVHKLPQ
|
Proposal # 3245 Similarity: 3.87ppm GAKBTDSQZOUMLV
|
Proposal # 3246 Similarity: 3.87ppm BWJCUVMFXVRPRK
|
|
Proposal # 3247 Similarity: 3.87ppm YIEKLFNTLKAOTB
|
Proposal # 3248 Similarity: 3.87ppm ZXZVTLOLRIEHPN
|
Proposal # 3249 Similarity: 3.87ppm WWIKHDDJWNSLNP
|
|
Proposal # 3250 Similarity: 3.87ppm VCRKTQOTZWQAGE
|
Proposal # 3251 Similarity: 3.87ppm QMPSQEMIWBKXKH
|
Proposal # 3252 Similarity: 3.87ppm HXAZMEJITYXYNB
|
|
Proposal # 3253 Similarity: 3.87ppm CFTBOFFWXRSJOH
|
Proposal # 3254 Similarity: 3.88ppm SOHATPSGNNFJEN
|
Proposal # 3255 Similarity: 3.88ppm OJXCPVWOHROGCW
|
|
Proposal # 3256 Similarity: 3.88ppm QTHOQDIJLBNFKG
|
Proposal # 3257 Similarity: 3.88ppm VKKGLCFQOBZYHV
|
Proposal # 3258 Similarity: 3.88ppm ZWODZXGGZGKULZ
|
|
Proposal # 3259 Similarity: 3.88ppm NYXCJOYUERMAOX
|
Proposal # 3260 Similarity: 3.88ppm YTYGBSSFIGPYDK
|
Proposal # 3261 Similarity: 3.88ppm WYZULIUETHKVOS
|
|
Proposal # 3262 Similarity: 3.88ppm WHYFKQMPSRYOKC
|
Proposal # 3263 Similarity: 3.88ppm ZGWMSEDFSOOYHX
|
Proposal # 3264 Similarity: 3.88ppm JKFAUWGOBZSMEW
|
|
Proposal # 3265 Similarity: 3.88ppm DDFTWYFFNBBSRO
|
Proposal # 3266 Similarity: 3.88ppm KYPWXXIKMYHDPE
|
Proposal # 3267 Similarity: 3.88ppm BMKBNXFGHVLJDU
|
|
Proposal # 3268 Similarity: 3.88ppm RXRRFPSGIVICOI
|
Proposal # 3269 Similarity: 3.88ppm GYRPWAISDLJENK
|
Proposal # 3270 Similarity: 3.88ppm NDXYLZDAWARHEA
|
|
Proposal # 3271 Similarity: 3.88ppm ODZLAFGBOQHXBG
|
Proposal # 3272 Similarity: 3.88ppm UTYLBVQSVDIVMQ
|
Proposal # 3273 Similarity: 3.88ppm JHFIZDDMINGVBD
|
|
Proposal # 3274 Similarity: 3.88ppm KRLKMIHTNUWATA
|
Proposal # 3275 Similarity: 3.88ppm IDTQZQZEBITHLW
|
Proposal # 3276 Similarity: 3.88ppm LYCDQUDNPWTEKK
|
|
Proposal # 3277 Similarity: 3.88ppm BONOSIPAZLVFPC
|
Proposal # 3278 Similarity: 3.89ppm YAOSSHCCSBHXIW
|
Proposal # 3279 Similarity: 3.89ppm GHHZOBUQHBQQNI
|
|
Proposal # 3280 Similarity: 3.89ppm MEAAHTVHHSBAKD
|
Proposal # 3281 Similarity: 3.89ppm KXKAXMOYBSCECX
|
Proposal # 3282 Similarity: 3.89ppm VLBVDCSAFSCZMN
|
|
Proposal # 3283 Similarity: 3.89ppm CDFHXWDNNXHFFZ
|
Proposal # 3284 Similarity: 3.89ppm VLQUZXCRHHBWFI
|
Proposal # 3285 Similarity: 3.89ppm OEKUINHTAJKCFI
|
|
Proposal # 3286 Similarity: 3.89ppm HPTTUGRCIOKRMA
|
Proposal # 3287 Similarity: 3.89ppm TYJFAFUTVSAGPE
|
Proposal # 3288 Similarity: 3.89ppm CTRHWJQMBLSSIB
|
|
Proposal # 3289 Similarity: 3.89ppm OMCNFSZEDKAOMA
|
Proposal # 3290 Similarity: 3.89ppm UVAFYOZEIQATPF
|
Proposal # 3291 Similarity: 3.89ppm NIZSPZDBRJUPDX
|
|
Proposal # 3292 Similarity: 3.90ppm UXOSWSLIZGGMFZ
|
Proposal # 3293 Similarity: 3.90ppm GOEBCVWEBATDKZ
|
Proposal # 3294 Similarity: 3.90ppm KBASVSUJBZEJAW
|
|
Proposal # 3295 Similarity: 3.90ppm FGBKZHMLRMAWJG
|
Proposal # 3296 Similarity: 3.90ppm XEBUQYKWUHVGNJ
|
Proposal # 3297 Similarity: 3.90ppm UWORKSJFVRWBTQ
|
|
Proposal # 3298 Similarity: 3.90ppm PAYDZFOKHUWWDM
|
Proposal # 3299 Similarity: 3.90ppm IQQJAVGRNUVQRU
|
Proposal # 3300 Similarity: 3.90ppm FANOKTCRLHNKMA
|
|
Proposal # 3301 Similarity: 3.90ppm CXYZBCMACWDPHQ
|
Proposal # 3302 Similarity: 3.90ppm GBPLSWHRUINHHI
|
Proposal # 3303 Similarity: 3.90ppm LESHIRKWKFEACQ
|
|
Proposal # 3304 Similarity: 3.90ppm QONNGGWUTONLQC
|
Proposal # 3305 Similarity: 3.90ppm FTZNJVSQMLICER
|
Proposal # 3306 Similarity: 3.90ppm XNXKOVOCSPATHD
|
|
Proposal # 3307 Similarity: 3.90ppm MTWUDAAJXYUHLL
|
Proposal # 3308 Similarity: 3.90ppm SHLMSBPQEDBTTI
|
Proposal # 3309 Similarity: 3.90ppm XPUIGLXKBPFLEY
|
|
Proposal # 3310 Similarity: 3.90ppm HCPGODPWLQLPGJ
|
Proposal # 3311 Similarity: 3.90ppm VMHOEIGUZJBKMJ
|
Proposal # 3312 Similarity: 3.90ppm WSMQIRUZFPHQET
|
|
Proposal # 3313 Similarity: 3.90ppm ADOWJHYQNJQDGP
|
Proposal # 3314 Similarity: 3.90ppm WJYTYWJCKNGUKC
|
Proposal # 3315 Similarity: 3.90ppm YHIAGNJPNKFLSI
|
|
Proposal # 3316 Similarity: 3.90ppm AVOPXCVDUPUXQK
|
Proposal # 3317 Similarity: 3.90ppm PRVNCFRHFSNMCS
|
Proposal # 3318 Similarity: 3.90ppm QJOVAWICRIUJIC
|
|
Proposal # 3319 Similarity: 3.90ppm AJQVNJDLPQPPCC
|
Proposal # 3320 Similarity: 3.90ppm WKNFCJIFGLGKQQ
|
Proposal # 3321 Similarity: 3.90ppm SGOOMAVCWJZYSM
|
|
Proposal # 3322 Similarity: 3.90ppm HPJUEINWFFZZBS
|
Proposal # 3323 Similarity: 3.90ppm UUNPBCMHSKZXEF
|
Proposal # 3324 Similarity: 3.90ppm IEZZEJIWYAZQAI
|
|
Proposal # 3325 Similarity: 3.90ppm FUTDUAUBMSPHCH
|
Proposal # 3326 Similarity: 3.90ppm CYCNQEQGODIFSR
|
Proposal # 3327 Similarity: 3.90ppm QPJBJZHTOJXBMN
|
|
Proposal # 3328 Similarity: 3.90ppm BVLAZAHHLUSDDX
|
Proposal # 3329 Similarity: 3.90ppm NCQJTWIAOGKWIK
|
Proposal # 3330 Similarity: 3.90ppm WIAKFBLUNOKMOJ
|
|
Proposal # 3331 Similarity: 3.90ppm YNHDVTFYWICVEC
|
Proposal # 3332 Similarity: 3.91ppm VRRBJDXUEVRIBJ
|
Proposal # 3333 Similarity: 3.91ppm UYJJOIFGUWHGLV
|
|
Proposal # 3334 Similarity: 3.91ppm XXKTWYGLLRALQU
|
Proposal # 3335 Similarity: 3.91ppm INGACTRVFOOTCU
|
Proposal # 3336 Similarity: 3.91ppm DDJLEQYFJMVNBH
|
|
Proposal # 3337 Similarity: 3.91ppm UDJWXZKLCYTUTK
|
Proposal # 3338 Similarity: 3.91ppm UCALFDYPARXHRL
|
Proposal # 3339 Similarity: 3.91ppm WGYIMGDXBFBSNF
|
|
Proposal # 3340 Similarity: 3.91ppm HIQAFLCSUGLJPR
|
Proposal # 3341 Similarity: 3.91ppm ZJPXQKVYQNICBQ
|
Proposal # 3342 Similarity: 3.91ppm HGDMMVWBGQCUEO
|
|
Proposal # 3343 Similarity: 3.91ppm LCLGVHDFZNECAZ
|
Proposal # 3344 Similarity: 3.91ppm XSMMEHGAVMIOKE
|
Proposal # 3345 Similarity: 3.91ppm WIUGRJFCCVPUIM
|
|
Proposal # 3346 Similarity: 3.91ppm QHWRXKYRVONUJL
|
Proposal # 3347 Similarity: 3.91ppm AAYDDGHZVBRISI
|
Proposal # 3348 Similarity: 3.91ppm ASSSMMNHLSIBHP
|
|
Proposal # 3349 Similarity: 3.91ppm WUURIZBQGGVSPC
|
Proposal # 3350 Similarity: 3.91ppm KRPDRUNBWADMJC
|
Proposal # 3351 Similarity: 3.91ppm QLWBTODRTAYEGQ
|
|
Proposal # 3352 Similarity: 3.92ppm ARNCWLWAVLFONH
|
Proposal # 3353 Similarity: 3.92ppm ZBGZEZGGCYQVKT
|
Proposal # 3354 Similarity: 3.92ppm ICEGYTPYPWPNCB
|
|
Proposal # 3355 Similarity: 3.92ppm WCKVTOSWVMOKHN
|
Proposal # 3356 Similarity: 3.92ppm FKWQTBZGLOXWPP
|
Proposal # 3357 Similarity: 3.92ppm WSTUXRBQQWOXMN
|
|
Proposal # 3358 Similarity: 3.92ppm UMBZBXWHTSFOKL
|
Proposal # 3359 Similarity: 3.92ppm PDJIVNFKORPJQE
|
Proposal # 3360 Similarity: 3.92ppm KZRHZHGPZVKKOZ
|
|
Proposal # 3361 Similarity: 3.92ppm UYLSKWOOIHIKNT
|
Proposal # 3362 Similarity: 3.92ppm OOLDSIDYJRWUPE
|
Proposal # 3363 Similarity: 3.92ppm JCHCZISLUMKVFV
|
|
Proposal # 3364 Similarity: 3.92ppm WCFHPHSOCQYFJO
|
Proposal # 3365 Similarity: 3.92ppm MHLBKXJPAFBJHJ
|
Proposal # 3366 Similarity: 3.92ppm RJBKWBMVBGRTPD
|
|
Proposal # 3367 Similarity: 3.92ppm UYFZQEUHZADUQB
|
Proposal # 3368 Similarity: 3.92ppm QXNQJLUPPORVQX
|
Proposal # 3369 Similarity: 3.92ppm ZDWJJWIRSYSUQN
|
|
Proposal # 3370 Similarity: 3.92ppm JJGPNLVAGBFWRB
|
Proposal # 3371 Similarity: 3.92ppm VCTJNMMLBGXCAH
|
Proposal # 3372 Similarity: 3.92ppm JXBIRUNHNQSCDT
|
|
Proposal # 3373 Similarity: 3.92ppm ADKGNDPDSQNXJX
|
Proposal # 3374 Similarity: 3.92ppm OXVCAZFGGOIEMM
|
Proposal # 3375 Similarity: 3.92ppm RIBCZVPDOROMRP
|
|
Proposal # 3376 Similarity: 3.92ppm YPXZDDLUZJFLRU
|
Proposal # 3377 Similarity: 3.92ppm QSCDDSUNLFQPGY
|
Proposal # 3378 Similarity: 3.92ppm FXPSOFRNYJPBJZ
|
|
Proposal # 3379 Similarity: 3.92ppm QGKSTRGCNZBWRO
|
Proposal # 3380 Similarity: 3.92ppm LQPFPMDHHMHNLB
|
Proposal # 3381 Similarity: 3.93ppm HKWIMTAOXFLLJA
|
|
Proposal # 3382 Similarity: 3.93ppm KSDPGQMYCZOCMU
|
Proposal # 3383 Similarity: 3.93ppm SKGRQTTXUSPTAV
|
Proposal # 3384 Similarity: 3.93ppm RQCSMMDONGJKQR
|
|
Proposal # 3385 Similarity: 3.93ppm JYHKBRPOSNXMRJ
|
Proposal # 3386 Similarity: 3.93ppm KKDXZHPKGXGTFO
|
Proposal # 3387 Similarity: 3.93ppm IIKWLKQQTUIAFE
|
|
Proposal # 3388 Similarity: 3.93ppm NFCZNPAPURWEMV
|
Proposal # 3389 Similarity: 3.93ppm NRSRLMBDVAQQCV
|
Proposal # 3390 Similarity: 3.93ppm CMXNLBWVTYXAEX
|
|
Proposal # 3391 Similarity: 3.93ppm JLYILAPIJCTDMU
|
Proposal # 3392 Similarity: 3.93ppm XACWQUUSEAUNPY
|
Proposal # 3393 Similarity: 3.93ppm AQHNBGNSOSCVFY
|
|
Proposal # 3394 Similarity: 3.93ppm OKHUTEOJFRGBDS
|
Proposal # 3395 Similarity: 3.93ppm SDLHCIRTLHNHAI
|
Proposal # 3396 Similarity: 3.93ppm KQEWNOPJNSYCBR
|
|
Proposal # 3397 Similarity: 3.93ppm ZQAFKBPKWMCHAJ
|
Proposal # 3398 Similarity: 3.93ppm YFEKRAPTQSFENZ
|
Proposal # 3399 Similarity: 3.93ppm DULDOAOTHWFFLV
|
|
Proposal # 3400 Similarity: 3.93ppm ZWHOBWPGSTWGJL
|
Proposal # 3401 Similarity: 3.93ppm UFDWPNNOBHBNPL
|
Proposal # 3402 Similarity: 3.93ppm BGXLUZKRROZZBG
|
|
Proposal # 3403 Similarity: 3.94ppm HOSZCVSWVIMZSL
|
Proposal # 3404 Similarity: 3.94ppm RNPCZIRATSSTOZ
|
Proposal # 3405 Similarity: 3.94ppm GCVDJMLMCXCHKH
|
|
Proposal # 3406 Similarity: 3.94ppm WLGHBORQGWSCIB
|
Proposal # 3407 Similarity: 3.94ppm RCEXXRIDIWTPST
|
Proposal # 3408 Similarity: 3.94ppm VYLPOVYTYVJJCJ
|
|
Proposal # 3409 Similarity: 3.94ppm JITAGJLZWVMMMY
|
Proposal # 3410 Similarity: 3.94ppm FVSGLZGZKDPCHU
|
Proposal # 3411 Similarity: 3.94ppm HENWIFRICHIHKK
|
|
Proposal # 3412 Similarity: 3.94ppm FTPXOGQJZFSOIN
|
Proposal # 3413 Similarity: 3.94ppm WTGCWCCDOJYDAO
|
Proposal # 3414 Similarity: 3.94ppm AWFQAOGMQNHBSW
|
|
Proposal # 3415 Similarity: 3.94ppm DJUCUWSGMNVPEL
|
Proposal # 3416 Similarity: 3.94ppm CAEMSSHSLANEKK
|
Proposal # 3417 Similarity: 3.94ppm NGBDYGDJSUSWDK
|
|
Proposal # 3418 Similarity: 3.94ppm NVITXLRQQHKXEV
|
Proposal # 3419 Similarity: 3.94ppm DFBYCEPGRFFFOI
|
Proposal # 3420 Similarity: 3.94ppm OWAGXDZASVGMOS
|
|
Proposal # 3421 Similarity: 3.94ppm PRPRZCOATAGCPD
|
Proposal # 3422 Similarity: 3.94ppm PXNMCYVHVOXINA
|
Proposal # 3423 Similarity: 3.94ppm UDKIBZLXMWIWOX
|
|
Proposal # 3424 Similarity: 3.94ppm KDZAZRYOCVSEQP
|
Proposal # 3425 Similarity: 3.94ppm ISYNMOAXAHEWDP
|
Proposal # 3426 Similarity: 3.94ppm LQLPKQYBJYXXHF
|
|
Proposal # 3427 Similarity: 3.95ppm QSOJHGZOOYJPEA
|
Proposal # 3428 Similarity: 3.95ppm JDAUWFWIRARHQV
|
Proposal # 3429 Similarity: 3.95ppm HGHWXRBNSCJXLF
|
|
Proposal # 3430 Similarity: 3.95ppm DMLVUJFEZIPGKH
|
Proposal # 3431 Similarity: 3.95ppm PRDJOBIMKYXNGL
|
Proposal # 3432 Similarity: 3.95ppm LAMQIOCWFAALAU
|
|
Proposal # 3433 Similarity: 3.95ppm CLPHQUGNLNVVKW
|
Proposal # 3434 Similarity: 3.95ppm URSBDIXBGFEPRH
|
Proposal # 3435 Similarity: 3.95ppm IKARPPQSYURAHB
|
|
Proposal # 3436 Similarity: 3.95ppm OZNOFRVBTWQTNI
|
Proposal # 3437 Similarity: 3.95ppm CAOHCUIAJKYENU
|
Proposal # 3438 Similarity: 3.95ppm JCFPGPZQUIUASW
|
|
Proposal # 3439 Similarity: 3.95ppm CCDIIVRHUDEEJF
|
Proposal # 3440 Similarity: 3.95ppm BVGYRDNOMUJMAH
|
Proposal # 3441 Similarity: 3.95ppm BEXIQPQMOSAQIJ
|
|
Proposal # 3442 Similarity: 3.95ppm GZHDKTCXDNKSCV
|
Proposal # 3443 Similarity: 3.95ppm IAVWARIKKIXPRE
|
Proposal # 3444 Similarity: 3.95ppm SIRJXPKJJNRGCJ
|
|
Proposal # 3445 Similarity: 3.95ppm NGMQEICAKVXHNZ
|
Proposal # 3446 Similarity: 3.95ppm JDYXHKNNWRTTQJ
|
Proposal # 3447 Similarity: 3.95ppm BTBYHDMDKNQAJS
|
|
Proposal # 3448 Similarity: 3.96ppm TWPXZCFJXRXJSD
|
Proposal # 3449 Similarity: 3.96ppm MTGYUGMZQXIHOL
|
Proposal # 3450 Similarity: 3.96ppm RZVBHDXLMNXZRO
|
|
Proposal # 3451 Similarity: 3.96ppm MUGYQHJHHLNBHW
|
Proposal # 3452 Similarity: 3.96ppm FCGFVCPUJKBSHQ
|
Proposal # 3453 Similarity: 3.96ppm REMMGEHXJSJFJM
|
|
Proposal # 3454 Similarity: 3.96ppm WPDMIMSHVKVMAO
|
Proposal # 3455 Similarity: 3.96ppm FGZCZABBMNAARP
|
Proposal # 3456 Similarity: 3.96ppm CBGIEDIDBVCTFU
|
|
Proposal # 3457 Similarity: 3.96ppm JKWSBNMIRAKQPQ
|
Proposal # 3458 Similarity: 3.96ppm ULBFNNPSHPFYGE
|
Proposal # 3459 Similarity: 3.96ppm GFCWZSXNKCSDSB
|
|
Proposal # 3460 Similarity: 3.96ppm LEBYYIPOZNQXQK
|
Proposal # 3461 Similarity: 3.96ppm YWUODRZXXXMFTG
|
Proposal # 3462 Similarity: 3.96ppm IOLWXRXJVUUYCC
|
|
Proposal # 3463 Similarity: 3.96ppm SLMBBXUWXFJIEV
|
Proposal # 3464 Similarity: 3.96ppm CRKPGTFIXISSOG
|
Proposal # 3465 Similarity: 3.96ppm PHJWOZXHDOOURM
|
|
Proposal # 3466 Similarity: 3.96ppm RGWKTGHKGQQFDA
|
Proposal # 3467 Similarity: 3.96ppm MFPWXSWKDZRUSR
|
Proposal # 3468 Similarity: 3.96ppm MMNNWPGMGLERMQ
|
|
Proposal # 3469 Similarity: 3.96ppm XNFBEKBNAOTOCU
|
Proposal # 3470 Similarity: 3.96ppm XWUAWOOHEIBXSI
|
Proposal # 3471 Similarity: 3.97ppm GQPKFZXVVHDGQE
|
|
Proposal # 3472 Similarity: 3.97ppm ZVTMLPQUGQITNB
|
Proposal # 3473 Similarity: 3.97ppm HLUMLACDMGPSAU
|
Proposal # 3474 Similarity: 3.97ppm CBKAKEQAUHLBQK
|
|
Proposal # 3475 Similarity: 3.97ppm MRWQCPWZDNAOKC
|
Proposal # 3476 Similarity: 3.97ppm XXYMWVNEVKWUBF
|
Proposal # 3477 Similarity: 3.97ppm VKFUOZQRNJFFPQ
|
|
Proposal # 3478 Similarity: 3.97ppm AAHKVEYWFDCCSY
|
Proposal # 3479 Similarity: 3.97ppm IYYVBHADWWRXTA
|
Proposal # 3480 Similarity: 3.97ppm BFQFOUVWJMWBPL
|
|
Proposal # 3481 Similarity: 3.97ppm LPCOJQFBCLNWTM
|
Proposal # 3482 Similarity: 3.97ppm AYDWDEAFHFJJIK
|
Proposal # 3483 Similarity: 3.97ppm BONVQZZWCQKFID
|
|
Proposal # 3484 Similarity: 3.97ppm HBROWAFFYHGWKB
|
Proposal # 3485 Similarity: 3.97ppm SSCYEDPFJPTDDU
|
Proposal # 3486 Similarity: 3.97ppm KYDZPRCFPKUGHA
|
|
Proposal # 3487 Similarity: 3.97ppm WLYZLAYUGCAEHF
|
Proposal # 3488 Similarity: 3.97ppm USRPERRGXLQZIG
|
Proposal # 3489 Similarity: 3.97ppm PIGGTEYGWZCEBI
|
|
Proposal # 3490 Similarity: 3.97ppm IPICLGZMPMMAFP
|
Proposal # 3491 Similarity: 3.97ppm JVOZBNQQTRPGIP
|
Proposal # 3492 Similarity: 3.97ppm JSJRBTGCZBVRPT
|
|
Proposal # 3493 Similarity: 3.97ppm AXEQITGREVFAGO
|
Proposal # 3494 Similarity: 3.98ppm VDIUWIUKCMFAHG
|
Proposal # 3495 Similarity: 3.98ppm KVURYRLYUZZMAU
|
|
Proposal # 3496 Similarity: 3.98ppm VYILAAIACFFOGG
|
Proposal # 3497 Similarity: 3.98ppm NMOKPYYJGIJGKA
|
Proposal # 3498 Similarity: 3.98ppm BOBRGJJDWAFLSI
|
|
Proposal # 3499 Similarity: 3.98ppm XIIXTKIKJKRZAP
|
Proposal # 3500 Similarity: 3.98ppm BCXZBBZLMCAAPQ
|
Proposal # 3501 Similarity: 3.98ppm DMBROOQBDLETBN
|
|
Proposal # 3502 Similarity: 3.98ppm INDAWPMNIRWYOC
|
Proposal # 3503 Similarity: 3.98ppm KPQAOTJVFVIJCF
|
Proposal # 3504 Similarity: 3.98ppm DTFCHPXODCDEOZ
|
|
Proposal # 3505 Similarity: 3.98ppm XWZONYUJRUQCEZ
|
Proposal # 3506 Similarity: 3.98ppm PQARBVRVOUFRNK
|
Proposal # 3507 Similarity: 3.98ppm WOJRRIMSVSNEFX
|
|
Proposal # 3508 Similarity: 3.98ppm MKLLOZHUQSGMFC
|
Proposal # 3509 Similarity: 3.98ppm WAFZUOHAANWHOB
|
Proposal # 3510 Similarity: 3.98ppm WNWLDWKETCDONM
|
|
Proposal # 3511 Similarity: 3.98ppm XLLOTAWZXINNHW
|
Proposal # 3512 Similarity: 3.98ppm QTJFOODWXFVIBB
|
Proposal # 3513 Similarity: 3.98ppm WHBKXAIKFKCHKF
|
|
Proposal # 3514 Similarity: 3.98ppm IBIJWHYKVLKSAS
|
Proposal # 3515 Similarity: 3.98ppm SZNKNVAIMQRDFF
|
Proposal # 3516 Similarity: 3.99ppm XCWHSQNHTHHDRF
|
|
Proposal # 3517 Similarity: 3.99ppm WMMKFFUNJFBVEC
|
Proposal # 3518 Similarity: 3.99ppm YXDAELKMPGNJPX
|
Proposal # 3519 Similarity: 3.99ppm HJPOXXBQYBMUOT
|
|
Proposal # 3520 Similarity: 3.99ppm YGKRDGBBZOFXCK
|
Proposal # 3521 Similarity: 3.99ppm SMQZJLZSXQSHTH
|
Proposal # 3522 Similarity: 3.99ppm VXYUSGOEEAKPPG
|
|
Proposal # 3523 Similarity: 3.99ppm ZWNHVGXKYSBSGF
|
Proposal # 3524 Similarity: 3.99ppm ZJTPQEXKVGNCAF
|
Proposal # 3525 Similarity: 3.99ppm AZZNKTZJZRENEK
|
|
Proposal # 3526 Similarity: 3.99ppm VDOBQNRFYQTKAS
|
Proposal # 3527 Similarity: 3.99ppm DCYCLUMVFNMAOL
|
Proposal # 3528 Similarity: 3.99ppm DINDRQMVZNHXKV
|
|
Proposal # 3529 Similarity: 3.99ppm LJHLCOKDHPFHJZ
|
Proposal # 3530 Similarity: 3.99ppm VEJYFLVRZWQFDE
|
Proposal # 3531 Similarity: 3.99ppm BUWQNEHLUDEQJQ
|
|
Proposal # 3532 Similarity: 3.99ppm IFSHJNFZXWJTKZ
|
Proposal # 3533 Similarity: 3.99ppm JRFMDYOBLNTEED
|
Proposal # 3534 Similarity: 3.99ppm VBAOFKFGUNAKNE
|
|
Proposal # 3535 Similarity: 4.00ppm SXFLRRORUYCYJH
|
Proposal # 3536 Similarity: 4.00ppm UDZJPUYERBGXRN
|
Proposal # 3537 Similarity: 4.00ppm NSOCIIXQTBWMAX
|
|
Proposal # 3538 Similarity: 4.00ppm PYODGSSNKJSLBX
|
Proposal # 3539 Similarity: 4.00ppm VZIOKWBGYNABAE
|
Proposal # 3540 Similarity: 4.00ppm RHNARQRFRGTUKT
|
|
Proposal # 3541 Similarity: 4.00ppm PDHUBZZKILJUQY
|
Proposal # 3542 Similarity: 4.00ppm AKQRBNTZJDPMAX
|
Proposal # 3543 Similarity: 4.00ppm VSICFOHTCBTWOM
|
|
Proposal # 3544 Similarity: 4.00ppm VNTOTYAIHZRJEF
|
Proposal # 3545 Similarity: 4.00ppm FHRWLKTWXMSMIJ
|
Proposal # 3546 Similarity: 4.00ppm KLTVZMULVSCJAM
|
|
Proposal # 3547 Similarity: 4.00ppm NBQVXWXIQCFMHO
|
Proposal # 3548 Similarity: 4.00ppm DUFFEGGLOUPJPD
|
Proposal # 3549 Similarity: 4.00ppm BIKSAMJLECYKSV
|
|
Proposal # 3550 Similarity: 4.00ppm URTKNDBCSJZJAG
|
Proposal # 3551 Similarity: 4.00ppm PDFBHXSMEIIYRQ
|
Proposal # 3552 Similarity: 4.00ppm CSETUDOQHZMDRP
|
|
Proposal # 3553 Similarity: 4.00ppm OPPUJRWCFQSDAT
|
Proposal # 3554 Similarity: 4.00ppm ABLODEPJCBJBTF
|
Proposal # 3555 Similarity: 4.00ppm CFQSSMHWTKRBNL
|
|
Proposal # 3556 Similarity: 4.00ppm YVOPKOLAAPLUEC
|
Proposal # 3557 Similarity: 4.00ppm GWYVVMKCKGAJFV
|
Proposal # 3558 Similarity: 4.00ppm GFTJBYAFKXOJMV
|
|
Proposal # 3559 Similarity: 4.00ppm HNWJLFZVHKJHOE
|
Proposal # 3560 Similarity: 4.00ppm QNVJDETXTYPDTC
|
Proposal # 3561 Similarity: 4.00ppm WOUMGDBHMVYRSV
|
|
Proposal # 3562 Similarity: 4.00ppm ZYRIXHOEXMBALZ
|
Proposal # 3563 Similarity: 4.00ppm CKQVPQQAKRPYHS
|
Proposal # 3564 Similarity: 4.00ppm WYXAOLLZGVCKFV
|
|
Proposal # 3565 Similarity: 4.01ppm ZCSNULYXGFPPOT
|
Proposal # 3566 Similarity: 4.01ppm FCBAKAJSSHXUKX
|
Proposal # 3567 Similarity: 4.01ppm FDBTZDOQGIMVHU
|
|
Proposal # 3568 Similarity: 4.01ppm BGWJKHNTWXITEK
|
Proposal # 3569 Similarity: 4.01ppm VFOXGLPMDMMXOR
|
Proposal # 3570 Similarity: 4.01ppm HPFLVSPPURWVAF
|
|
Proposal # 3571 Similarity: 4.01ppm GPTBXRBPFHDSLA
|
Proposal # 3572 Similarity: 4.01ppm KFZVZQIWABVNKO
|
Proposal # 3573 Similarity: 4.01ppm BVWVKTJUJFSIHM
|
|
Proposal # 3574 Similarity: 4.01ppm BBRPFCNRKQPFOT
|
Proposal # 3575 Similarity: 4.01ppm JTCXSVNSIDZFTO
|
Proposal # 3576 Similarity: 4.01ppm IRGNCSXGTCDHPV
|
|
Proposal # 3577 Similarity: 4.01ppm LGMGIAHKZTWXEM
|
Proposal # 3578 Similarity: 4.01ppm DWXNNQBMMQZENZ
|
Proposal # 3579 Similarity: 4.01ppm SVDNKCXPBDCJRZ
|
|
Proposal # 3580 Similarity: 4.01ppm PZVLNWIRWQVWOE
|
Proposal # 3581 Similarity: 4.01ppm PLNQMYWUSCQKAV
|
Proposal # 3582 Similarity: 4.01ppm HSGKRFGALTZYTN
|
|
Proposal # 3583 Similarity: 4.01ppm AQNZAKAZSNYZLK
|
Proposal # 3584 Similarity: 4.01ppm IHJIBNTZWIBASX
|
Proposal # 3585 Similarity: 4.01ppm PSSFRXJJOCDNSM
|
|
Proposal # 3586 Similarity: 4.01ppm JYBGWWASNTYZOQ
|
Proposal # 3587 Similarity: 4.01ppm SCSJXIVJROFWSN
|
Proposal # 3588 Similarity: 4.01ppm BSNVSZBWSLLRHL
|
|
Proposal # 3589 Similarity: 4.01ppm ZHMLTTIGAKOAEM
|
Proposal # 3590 Similarity: 4.01ppm KZXCCPIUGTVGKP
|
Proposal # 3591 Similarity: 4.02ppm LNQPMFJZOYYELV
|
|
Proposal # 3592 Similarity: 4.02ppm PMDMZNHZXLAHIW
|
Proposal # 3593 Similarity: 4.02ppm UTPQWYBBBWKIEW
|
Proposal # 3594 Similarity: 4.02ppm AXWBHTFCZDDPAN
|
|
Proposal # 3595 Similarity: 4.02ppm DNRKKUOZNOSXOQ
|
Proposal # 3596 Similarity: 4.02ppm GLBNAVIMCZHRTN
|
Proposal # 3597 Similarity: 4.02ppm YZFDRVMHJJFKEK
|
|
Proposal # 3598 Similarity: 4.02ppm NNEZNKFCUDGRIR
|
Proposal # 3599 Similarity: 4.02ppm NJECMANBKIFIMF
|
Proposal # 3600 Similarity: 4.02ppm NTGSBTGWOOUSTE
|
|
Proposal # 3601 Similarity: 4.02ppm BUAXLIOFONTMBM
|
Proposal # 3602 Similarity: 4.02ppm RGROJSALKWMVPP
|
Proposal # 3603 Similarity: 4.02ppm XKVDTYOZCVEKCY
|
|
Proposal # 3604 Similarity: 4.02ppm BSEZKJYLNOPNKV
|
Proposal # 3605 Similarity: 4.02ppm YZQRVQZWQGKHNZ
|
Proposal # 3606 Similarity: 4.02ppm NTCFAHGFFXXKEQ
|
|
Proposal # 3607 Similarity: 4.02ppm AGYHRPDVJREGET
|
Proposal # 3608 Similarity: 4.02ppm ZQNINNUBECCSST
|
Proposal # 3609 Similarity: 4.02ppm LOPLIOLFJPWOLD
|
|
Proposal # 3610 Similarity: 4.02ppm XTXXSXNPRCOMEU
|
Proposal # 3611 Similarity: 4.02ppm WZDXATQCWAHNRI
|
Proposal # 3612 Similarity: 4.02ppm LBCFUKPYASFXBI
|
|
Proposal # 3613 Similarity: 4.02ppm JCMCVCGGKDGDCL
|
Proposal # 3614 Similarity: 4.02ppm ORAFMWLGESXQJY
|
Proposal # 3615 Similarity: 4.02ppm AUVBFFDJRWJUOH
|
|
Proposal # 3616 Similarity: 4.02ppm SKBZZXXCJHZBEC
|
Proposal # 3617 Similarity: 4.03ppm RGMUYMVFWUVLRX
|
Proposal # 3618 Similarity: 4.03ppm MBXHPILAHCQRRF
|
|
Proposal # 3619 Similarity: 4.03ppm IRHNEVAEXZOGGF
|
Proposal # 3620 Similarity: 4.03ppm HGUZFXKMQHXDOH
|
Proposal # 3621 Similarity: 4.03ppm DBTOEZIFSYALNT
|
|
Proposal # 3622 Similarity: 4.03ppm VLARDWCTCQKSIQ
|
Proposal # 3623 Similarity: 4.03ppm RBPDNWKNUHFSHQ
|
Proposal # 3624 Similarity: 4.03ppm HIVOTHSNBVKSHX
|
|
Proposal # 3625 Similarity: 4.03ppm DWUSRNOCGBXMRR
|
Proposal # 3626 Similarity: 4.03ppm MTPULECVPUOWMR
|
Proposal # 3627 Similarity: 4.03ppm NYZBBKGIVHSLGM
|
|
Proposal # 3628 Similarity: 4.03ppm GKOIIIZANDJJMA
|
Proposal # 3629 Similarity: 4.03ppm BFPGYMYDFMFJSA
|
Proposal # 3630 Similarity: 4.03ppm BIPCZTGKZQVOGD
|
|
Proposal # 3631 Similarity: 4.03ppm DRIXDAUILNTQDX
|
Proposal # 3632 Similarity: 4.03ppm KIQIKLKRAXAFNN
|
Proposal # 3633 Similarity: 4.03ppm MUUYRBIGMWLHFP
|
|
Proposal # 3634 Similarity: 4.03ppm KFSBGXHPBRIRLR
|
Proposal # 3635 Similarity: 4.03ppm PYFWFFWDMADRGJ
|
Proposal # 3636 Similarity: 4.03ppm KONRBKMHNIKOHK
|
|
Proposal # 3637 Similarity: 4.03ppm NQSZKAHCEHPNPJ
|
Proposal # 3638 Similarity: 4.03ppm KBFXHTLRABNRMK
|
Proposal # 3639 Similarity: 4.03ppm DOOCCBMIGMYBIU
|
|
Proposal # 3640 Similarity: 4.03ppm PQNPLCVMDOFQQW
|
Proposal # 3641 Similarity: 4.04ppm ZMFMUIRNGQRZGO
|
Proposal # 3642 Similarity: 4.04ppm HQNWQKMTRVGWHD
|
|
Proposal # 3643 Similarity: 4.04ppm QYQWXBYUQBJUID
|
Proposal # 3644 Similarity: 4.04ppm LLEVWSNIULAYQB
|
Proposal # 3645 Similarity: 4.04ppm UYFJKSQJPDDEQX
|
|
Proposal # 3646 Similarity: 4.04ppm WUAHLXDLDXVDBF
|
Proposal # 3647 Similarity: 4.04ppm YZZINNOLZNOJGJ
|
Proposal # 3648 Similarity: 4.04ppm UKSVYNWILGCBOM
|
|
Proposal # 3649 Similarity: 4.04ppm GWQRRDJSZGGOFV
|
Proposal # 3650 Similarity: 4.04ppm IQFGPRXZIUHMJT
|
Proposal # 3651 Similarity: 4.04ppm BXNWJFUABCJSTR
|
|
Proposal # 3652 Similarity: 4.04ppm VHJKVYXHTGHKKQ
|
Proposal # 3653 Similarity: 4.04ppm BCRAPGXHURSFBU
|
Proposal # 3654 Similarity: 4.04ppm RNAPWTDURFODJI
|
|
Proposal # 3655 Similarity: 4.04ppm CDGWFTGBZXKYOL
|
Proposal # 3656 Similarity: 4.04ppm FRFHLUWGDSGUEJ
|
Proposal # 3657 Similarity: 4.04ppm ZTPAMPZTJKCSON
|
|
Proposal # 3658 Similarity: 4.04ppm CRVPUAPESKUMGI
|
Proposal # 3659 Similarity: 4.04ppm KSIAECSYZJULMD
|
Proposal # 3660 Similarity: 4.04ppm AOXITLUJCLZYRP
|
|
Proposal # 3661 Similarity: 4.04ppm FHAFCRPKHQASDS
|
Proposal # 3662 Similarity: 4.04ppm XSBVXLPGZOOIKX
|
Proposal # 3663 Similarity: 4.04ppm VOYNAHHJRTWNST
|
|
Proposal # 3664 Similarity: 4.04ppm BABMJZQRBIVFQL
|
Proposal # 3665 Similarity: 4.04ppm UODDQSBTCFAPTH
|
Proposal # 3666 Similarity: 4.05ppm IISZJYSWYVJOHC
|
|
Proposal # 3667 Similarity: 4.05ppm KNXCTPRZVJANNL
|
Proposal # 3668 Similarity: 4.05ppm ICLFTGDPMKCENO
|
Proposal # 3669 Similarity: 4.05ppm YJPQSMUQMAFBHK
|
|
Proposal # 3670 Similarity: 4.05ppm MIDVOMQEZHEDQF
|
Proposal # 3671 Similarity: 4.05ppm SAKQYKIFUVCNJL
|
Proposal # 3672 Similarity: 4.05ppm MVMIHZSZIJOVKU
|
|
Proposal # 3673 Similarity: 4.05ppm RJMARBHPWZLJSK
|
Proposal # 3674 Similarity: 4.05ppm KXINOYLQIKHENO
|
Proposal # 3675 Similarity: 4.05ppm NAFDJELICQFVDG
|
|
Proposal # 3676 Similarity: 4.05ppm QFZMUSAYCWMDAW
|
Proposal # 3677 Similarity: 4.05ppm OCJOHOQBSAOYLH
|
Proposal # 3678 Similarity: 4.05ppm YQUCRPVQUOCQCQ
|
|
Proposal # 3679 Similarity: 4.05ppm JQWRHEBOJXVIAR
|
Proposal # 3680 Similarity: 4.05ppm ZKWYDIXELKUHTC
|
Proposal # 3681 Similarity: 4.05ppm OWGBAQIVQQZXBT
|
|
Proposal # 3682 Similarity: 4.05ppm XGEGMBYKSJKLAK
|
Proposal # 3683 Similarity: 4.05ppm DMRWJQJNATUIPW
|
Proposal # 3684 Similarity: 4.06ppm YPGXVUYHFJGPIP
|
|
Proposal # 3685 Similarity: 4.06ppm ZOBWUPMQLQHWGN
|
Proposal # 3686 Similarity: 4.06ppm WTLQFAZQGXDRQS
|
Proposal # 3687 Similarity: 4.06ppm MUOCQAPPCAKZRJ
|
|
Proposal # 3688 Similarity: 4.06ppm PLIIPTSJPJLYLG
|
Proposal # 3689 Similarity: 4.06ppm UODLCMALDLZOLQ
|
Proposal # 3690 Similarity: 4.06ppm UDLUAIOCXUEGBQ
|
|
Proposal # 3691 Similarity: 4.06ppm PMGGNTBFEVIVPU
|
Proposal # 3692 Similarity: 4.06ppm PZKFFAORYDMWJH
|
Proposal # 3693 Similarity: 4.06ppm GKKMFOWTBRPSHJ
|
|
Proposal # 3694 Similarity: 4.06ppm QHNSQTBFJKBJNE
|
Proposal # 3695 Similarity: 4.06ppm RSSHYEGXMBYPPV
|
Proposal # 3696 Similarity: 4.06ppm BSGLBULZSHXVHV
|
|
Proposal # 3697 Similarity: 4.06ppm VMGJZQNDXQHGCI
|
Proposal # 3698 Similarity: 4.06ppm OHOWCOWYMKQGQS
|
Proposal # 3699 Similarity: 4.06ppm HXQLIDDPQLTBHS
|
|
Proposal # 3700 Similarity: 4.06ppm NWBHQNMXUKCTQI
|
Proposal # 3701 Similarity: 4.07ppm DDYACILDNWJMRU
|
Proposal # 3702 Similarity: 4.07ppm OBRPNOJWHBCQKE
|
|
Proposal # 3703 Similarity: 4.07ppm BAFSKYDHEIFRFV
|
Proposal # 3704 Similarity: 4.07ppm URJRJUHDJORHQL
|
Proposal # 3705 Similarity: 4.07ppm CWLXDPSKQSQXEV
|
|
Proposal # 3706 Similarity: 4.07ppm PGLJSNQHWXIWCY
|
Proposal # 3707 Similarity: 4.07ppm FHMTZUSWGCAULM
|
Proposal # 3708 Similarity: 4.07ppm BWISRDMXSRCOBI
|
|
Proposal # 3709 Similarity: 4.07ppm JOBVHIGJMNUFAH
|
Proposal # 3710 Similarity: 4.07ppm HVHDSARCBFJAJD
|
Proposal # 3711 Similarity: 4.07ppm CTMHADISVSJOSM
|
|
Proposal # 3712 Similarity: 4.07ppm GBPUQQHRQMTFAN
|
Proposal # 3713 Similarity: 4.07ppm QDWVIJHCFNEVHD
|
Proposal # 3714 Similarity: 4.07ppm PTRCXRKAUDNWEY
|
|
Proposal # 3715 Similarity: 4.07ppm LGGRHCXVIWQUTQ
|
Proposal # 3716 Similarity: 4.07ppm MNFOQDCTNHNIIM
|
Proposal # 3717 Similarity: 4.07ppm NWXGVYSPHKYNSW
|
|
Proposal # 3718 Similarity: 4.07ppm GMQICHJCCKQCGD
|
Proposal # 3719 Similarity: 4.07ppm ZRFLFLPAZZKTLJ
|
Proposal # 3720 Similarity: 4.07ppm ACYWWDNHNFLXMS
|
|
Proposal # 3721 Similarity: 4.07ppm JQFIRNINYNDOBK
|
Proposal # 3722 Similarity: 4.07ppm CSASJZRKQLXZRZ
|
Proposal # 3723 Similarity: 4.07ppm BRPRZRNHPUJALU
|
|
Proposal # 3724 Similarity: 4.07ppm URUNCOCMSBSNPG
|
Proposal # 3725 Similarity: 4.07ppm BSZZIPSWRWSBGL
|
Proposal # 3726 Similarity: 4.07ppm HFBWJMUQJMHXAD
|
|
Proposal # 3727 Similarity: 4.07ppm DTLBIXGIOAEJLR
|
Proposal # 3728 Similarity: 4.07ppm YLOBCZHCJWZDGR
|
Proposal # 3729 Similarity: 4.08ppm NCGPNUFGOABVNC
|
|
Proposal # 3730 Similarity: 4.08ppm HLEULOBJWOLZSQ
|
Proposal # 3731 Similarity: 4.08ppm RVVWHDXAWHGDEV
|
Proposal # 3732 Similarity: 4.08ppm UEHXKXKRUVRIRP
|
|
Proposal # 3733 Similarity: 4.08ppm WNJYWQPRHOHQBQ
|
Proposal # 3734 Similarity: 4.08ppm WIGJBTPOYHQJGK
|
Proposal # 3735 Similarity: 4.08ppm HDYFJXYOYZVSNA
|
|
Proposal # 3736 Similarity: 4.08ppm RRVHWJXATFRBBS
|
Proposal # 3737 Similarity: 4.08ppm KTFGFWUZIXVCPE
|
Proposal # 3738 Similarity: 4.08ppm VLOPKCCKJSWKFL
|
|
Proposal # 3739 Similarity: 4.08ppm YPFVYGAGEHAFEV
|
Proposal # 3740 Similarity: 4.08ppm CJEHFNOGYLNFAB
|
Proposal # 3741 Similarity: 4.08ppm MATCMJMDMAOPMU
|
|
Proposal # 3742 Similarity: 4.08ppm OAVWRHRVHAVKFT
|
Proposal # 3743 Similarity: 4.08ppm JBENAJWGXGCTSC
|
Proposal # 3744 Similarity: 4.08ppm LSFMEDSQGHHYQN
|
|
Proposal # 3745 Similarity: 4.08ppm KFNREZZHLPTXKY
|
Proposal # 3746 Similarity: 4.08ppm DODVMFUUBGCXCJ
|
Proposal # 3747 Similarity: 4.08ppm PKQWJNPAIKTQCK
|
|
Proposal # 3748 Similarity: 4.08ppm HTQLPURQHRQWSL
|
Proposal # 3749 Similarity: 4.08ppm LJEDXUHTQPGGDL
|
Proposal # 3750 Similarity: 4.08ppm UEONNUOOGIHNQY
|
|
Proposal # 3751 Similarity: 4.08ppm OTLMIDQNTFGUOX
|
Proposal # 3752 Similarity: 4.08ppm XYYIUHXXAHOTEM
|
Proposal # 3753 Similarity: 4.09ppm PAFSIAQWNSWHQI
|
|
Proposal # 3754 Similarity: 4.09ppm AFGKCYWWVFJURT
|
Proposal # 3755 Similarity: 4.09ppm NLZPIOBSERXSEL
|
Proposal # 3756 Similarity: 4.09ppm XQCJJDMZSGQLIL
|
|
Proposal # 3757 Similarity: 4.09ppm WMRKDFGPYYVSSE
|
Proposal # 3758 Similarity: 4.09ppm YWNXUNNXWKMMLF
|
Proposal # 3759 Similarity: 4.09ppm LMEQGYLDBOXEQH
|
|
Proposal # 3760 Similarity: 4.09ppm CVCYKIMYVVWVBK
|
Proposal # 3761 Similarity: 4.09ppm UMUQXSDLPWEEJG
|
Proposal # 3762 Similarity: 4.09ppm MXZUUZNLCNPOCT
|
|
Proposal # 3763 Similarity: 4.09ppm HGVGEYWBNSODNA
|
Proposal # 3764 Similarity: 4.09ppm LDDAOAJHYWDXDI
|
Proposal # 3765 Similarity: 4.09ppm AEVIMCZGQYFEAS
|
|
Proposal # 3766 Similarity: 4.09ppm UCIYLDSOJWVRJP
|
Proposal # 3767 Similarity: 4.09ppm MYKKLKNPLBIJGV
|
Proposal # 3768 Similarity: 4.09ppm JTGBMWCDTBHMJB
|
|
Proposal # 3769 Similarity: 4.09ppm RBLOVVINUNXBOF
|
Proposal # 3770 Similarity: 4.10ppm MNKAUDSQJXWJNO
|
Proposal # 3771 Similarity: 4.10ppm OTWWHVIDZDYBBM
|
|
Proposal # 3772 Similarity: 4.10ppm PSNQYWQFIVIOCQ
|
Proposal # 3773 Similarity: 4.10ppm YEOKEDCVZXRPPN
|
Proposal # 3774 Similarity: 4.10ppm FQJUXYOIWHUKLJ
|
|
Proposal # 3775 Similarity: 4.10ppm PAVKLOYRLHUIRG
|
Proposal # 3776 Similarity: 4.10ppm AUYMMLDSOJLNSJ
|
Proposal # 3777 Similarity: 4.10ppm JJAZEPWBVAQSCX
|
|
Proposal # 3778 Similarity: 4.10ppm HHZWECFHVXYIAU
|
Proposal # 3779 Similarity: 4.10ppm SRPGBGGRUQCWHH
|
Proposal # 3780 Similarity: 4.10ppm GSCLRQSLULVOBU
|
|
Proposal # 3781 Similarity: 4.10ppm SMUXEWNIWUBZKD
|
Proposal # 3782 Similarity: 4.10ppm PDSSPEKTBZOING
|
Proposal # 3783 Similarity: 4.10ppm RVHAWPWBRIJNPA
|
|
Proposal # 3784 Similarity: 4.11ppm LUULIGRVFGTKII
|
Proposal # 3785 Similarity: 4.11ppm XAAOHRAFRVAHHI
|
Proposal # 3786 Similarity: 4.11ppm NUOHBHHICJFUCN
|
|
Proposal # 3787 Similarity: 4.11ppm RNHNOJPWXZRCGT
|
Proposal # 3788 Similarity: 4.11ppm MLDJSKDMTJBAKD
|
Proposal # 3789 Similarity: 4.11ppm FCJKWBRRDOQUGM
|
|
Proposal # 3790 Similarity: 4.11ppm RDVGEWKBVTWXQP
|
Proposal # 3791 Similarity: 4.11ppm PYYGBULCVGCWHA
|
Proposal # 3792 Similarity: 4.11ppm JFEUXBBOBGKSSI
|
|
Proposal # 3793 Similarity: 4.11ppm CYJNYNATFWQTSH
|
Proposal # 3794 Similarity: 4.11ppm UUAUXDGYXMAXIV
|
Proposal # 3795 Similarity: 4.11ppm QCDMYAIQFPAYAI
|
|
Proposal # 3796 Similarity: 4.11ppm IOFWPGKRHNKPDH
|
Proposal # 3797 Similarity: 4.11ppm BZSJSMAGZYQFMF
|
Proposal # 3798 Similarity: 4.11ppm ICLDXIHAKJETJE
|
|
Proposal # 3799 Similarity: 4.11ppm RTAKLLFQMHWDTG
|
Proposal # 3800 Similarity: 4.11ppm AMBJUZLCNFEFMR
|
Proposal # 3801 Similarity: 4.12ppm XAVOGBGFXYQWRO
|
|
Proposal # 3802 Similarity: 4.12ppm UIEMMNAIEMHNOU
|
Proposal # 3803 Similarity: 4.12ppm BEHLNUKDBMLLBC
|
Proposal # 3804 Similarity: 4.12ppm KWSVCIARBUGUHG
|
|
Proposal # 3805 Similarity: 4.12ppm LGVCQBWDYRXRIQ
|
Proposal # 3806 Similarity: 4.12ppm BCQVYGMRAOTFOF
|
Proposal # 3807 Similarity: 4.12ppm XATTUQMVSPKOCF
|
|
Proposal # 3808 Similarity: 4.12ppm KKRGGUKEVCXYQL
|
Proposal # 3809 Similarity: 4.12ppm FQBUCGBVHRCPAZ
|
Proposal # 3810 Similarity: 4.12ppm VYYSQHASOCRNCA
|
|
Proposal # 3811 Similarity: 4.12ppm YAQGCBLIEPQNCO
|
Proposal # 3812 Similarity: 4.12ppm HBGWKKYZHARGTB
|
Proposal # 3813 Similarity: 4.12ppm CLPTZPMGQMMFFN
|
|
Proposal # 3814 Similarity: 4.12ppm GBCCNHGAORTTGP
|
Proposal # 3815 Similarity: 4.12ppm VSCRRKILLBSPPA
|
Proposal # 3816 Similarity: 4.12ppm URFWGRZBPXEHEN
|
|
Proposal # 3817 Similarity: 4.12ppm FJQLRZBHLIDEHY
|
Proposal # 3818 Similarity: 4.12ppm SMUKVZWMBXTVIH
|
Proposal # 3819 Similarity: 4.12ppm AMUGRNXFWPUTPW
|
|
Proposal # 3820 Similarity: 4.12ppm UFVSXEUFRBBIOX
|
Proposal # 3821 Similarity: 4.12ppm SYODWSDLHYOLTR
|
Proposal # 3822 Similarity: 4.12ppm NAKQLLNJLNMUKO
|
|
Proposal # 3823 Similarity: 4.13ppm QQIRQIKTHZMNOY
|
Proposal # 3824 Similarity: 4.13ppm OSACLBZPZKZNSL
|
Proposal # 3825 Similarity: 4.13ppm WNJVIXVQDWKDIK
|
|
Proposal # 3826 Similarity: 4.13ppm DIEDHZVLTOSJJM
|
Proposal # 3827 Similarity: 4.13ppm DOMGKNSUVHDNLL
|
Proposal # 3828 Similarity: 4.13ppm ZCBQCLOMZHSANK
|
|
Proposal # 3829 Similarity: 4.13ppm SWAKMAHMSCFOCN
|
Proposal # 3830 Similarity: 4.13ppm AAHCTSOTDYTPDG
|
Proposal # 3831 Similarity: 4.13ppm OMLYANYYXRGJBY
|
|
Proposal # 3832 Similarity: 4.13ppm OOSNACYIUUYRCP
|
Proposal # 3833 Similarity: 4.13ppm MZEBOCMMFNEOAX
|
Proposal # 3834 Similarity: 4.13ppm WRKYYSZZYSYGLA
|
|
Proposal # 3835 Similarity: 4.13ppm BTWBCSMFRXBRJI
|
Proposal # 3836 Similarity: 4.13ppm CDLMNZPVKZDMKO
|
Proposal # 3837 Similarity: 4.13ppm UONUCDNJJWIUEI
|
|
Proposal # 3838 Similarity: 4.13ppm WZSFSJNDWXYMNR
|
Proposal # 3839 Similarity: 4.13ppm VZGIOFVBSCBJEQ
|
Proposal # 3840 Similarity: 4.13ppm LKEOBQMAOSXYGA
|
|
Proposal # 3841 Similarity: 4.13ppm KBYWUAFHLUACAD
|
Proposal # 3842 Similarity: 4.13ppm JQACHBJHAHKLOW
|
Proposal # 3843 Similarity: 4.14ppm XOZGMNZHLPJDIC
|
|
Proposal # 3844 Similarity: 4.14ppm SKCKWSYZMLDVNT
|
Proposal # 3845 Similarity: 4.14ppm WWUZIUYBLPBEQK
|
Proposal # 3846 Similarity: 4.14ppm UOTWTQYIBSDURW
|
|
Proposal # 3847 Similarity: 4.14ppm PXFXMOAYYGELPY
|
Proposal # 3848 Similarity: 4.14ppm CNIKHXSXADPPGF
|
Proposal # 3849 Similarity: 4.14ppm GCZNLJMVGZDGTI
|
|
Proposal # 3850 Similarity: 4.14ppm BOORPIORXDBKGE
|
Proposal # 3851 Similarity: 4.14ppm PYTIPEXXONPFMK
|
Proposal # 3852 Similarity: 4.14ppm QCQNAOUSDAJELW
|
|
Proposal # 3853 Similarity: 4.14ppm QVDGFFYZIQSSNB
|
Proposal # 3854 Similarity: 4.14ppm PIJRXLBRHFMQOG
|
Proposal # 3855 Similarity: 4.14ppm NNHRDROSLMTDOI
|
|
Proposal # 3856 Similarity: 4.14ppm QDGVTFCDUCTYLK
|
Proposal # 3857 Similarity: 4.14ppm MTNXKPYINKNVHD
|
Proposal # 3858 Similarity: 4.14ppm YMKGVXIKLWSQRC
|
|
Proposal # 3859 Similarity: 4.14ppm RABLYNMPTOLFNI
|
Proposal # 3860 Similarity: 4.14ppm VWJOBHILMFLKHB
|
Proposal # 3861 Similarity: 4.14ppm YZRUJTNILMHPRL
|
|
Proposal # 3862 Similarity: 4.14ppm MSFCFNRGCFLDML
|
Proposal # 3863 Similarity: 4.14ppm LIHPYXWYTJJNQH
|
Proposal # 3864 Similarity: 4.14ppm VUDXVXMEGGRNRV
|
|
Proposal # 3865 Similarity: 4.14ppm IZCVKEVTMILZGY
|
Proposal # 3866 Similarity: 4.14ppm ZZSBUOVPXDUESV
|
Proposal # 3867 Similarity: 4.15ppm VEAQXDXRAFZLBC
|
|
Proposal # 3868 Similarity: 4.15ppm TYXOFPZCUBQGDP
|
Proposal # 3869 Similarity: 4.15ppm UJXJNVSWGZOIBB
|
Proposal # 3870 Similarity: 4.15ppm XWQJEWPVZMIILO
|
|
Proposal # 3871 Similarity: 4.15ppm GMENAVARRJXRND
|
Proposal # 3872 Similarity: 4.15ppm RYZIMSSMMWOWAN
|
Proposal # 3873 Similarity: 4.15ppm CTQAFLPZPWSYBD
|
|
Proposal # 3874 Similarity: 4.15ppm NDMPAHIZHYWRJF
|
Proposal # 3875 Similarity: 4.15ppm AKOZLRDJXMBGMH
|
Proposal # 3876 Similarity: 4.15ppm PRNVDDCQCMEKMV
|
|
Proposal # 3877 Similarity: 4.15ppm VASYFCLOXMZVHR
|
Proposal # 3878 Similarity: 4.15ppm NRRFRKOTBZCVPM
|
Proposal # 3879 Similarity: 4.15ppm QUBYXAUWYARDAO
|
|
Proposal # 3880 Similarity: 4.15ppm UNBRZRJCXJEQKN
|
Proposal # 3881 Similarity: 4.15ppm DJRRIZZTTIJAJI
|
Proposal # 3882 Similarity: 4.15ppm HSWSXMZARWFFOY
|
|
Proposal # 3883 Similarity: 4.15ppm IDCGOOQVIMHRNA
|
Proposal # 3884 Similarity: 4.15ppm HQKKOCIICKCWJX
|
Proposal # 3885 Similarity: 4.15ppm MIKDBAQPMNLCKD
|
|
Proposal # 3886 Similarity: 4.15ppm AYRNMKUJAGNXSC
|
Proposal # 3887 Similarity: 4.16ppm FWRNNEHDTWLSFE
|
Proposal # 3888 Similarity: 4.16ppm DAVCQPUDPBBMLH
|
|
Proposal # 3889 Similarity: 4.16ppm JDEZXGWHSWPDKD
|
Proposal # 3890 Similarity: 4.16ppm FEUZKZLEAOGSOG
|
Proposal # 3891 Similarity: 4.16ppm CKAQTHFIAPOYCQ
|
|
Proposal # 3892 Similarity: 4.16ppm MXIMMRCKYBYGGK
|
Proposal # 3893 Similarity: 4.16ppm IGJAATXXBJIAEV
|
Proposal # 3894 Similarity: 4.16ppm OBLDBSBPECGKEY
|
|
Proposal # 3895 Similarity: 4.16ppm FDHUWORKFIOPDB
|
Proposal # 3896 Similarity: 4.16ppm IWRGGWKPTTVJPC
|
Proposal # 3897 Similarity: 4.16ppm UTZVAAFJSQTFSM
|
|
Proposal # 3898 Similarity: 4.16ppm XZJPAGNZNIIXDH
|
Proposal # 3899 Similarity: 4.16ppm JINYJFWCSPKFHR
|
Proposal # 3900 Similarity: 4.16ppm JWHYUGSEXYPCED
|
|
Proposal # 3901 Similarity: 4.16ppm MYLMBCJKYJLNGA
|
Proposal # 3902 Similarity: 4.16ppm IFZSVYOCRVAADW
|
Proposal # 3903 Similarity: 4.16ppm RFALKYUQDYGCFV
|
|
Proposal # 3904 Similarity: 4.16ppm JEDXPLVFADWYDE
|
Proposal # 3905 Similarity: 4.16ppm TVSGUVHGDIIZFC
|
Proposal # 3906 Similarity: 4.16ppm CGUJNDITOJCROG
|
|
Proposal # 3907 Similarity: 4.16ppm GDLBXORMQCWCTM
|
Proposal # 3908 Similarity: 4.17ppm QIWMJSZREJXMQU
|
Proposal # 3909 Similarity: 4.17ppm WRKYYMKTSLBPSZ
|
|
Proposal # 3910 Similarity: 4.17ppm PUGNBANAXBJUBP
|
Proposal # 3911 Similarity: 4.17ppm IAMQUSMNFGQZRY
|
Proposal # 3912 Similarity: 4.17ppm KTMIUIDBABMRKS
|
|
Proposal # 3913 Similarity: 4.17ppm LYADSUYPWDSUFK
|
Proposal # 3914 Similarity: 4.17ppm MCDNPRSRGIZSCD
|
Proposal # 3915 Similarity: 4.17ppm HFZJVBPPIAWNCU
|
|
Proposal # 3916 Similarity: 4.17ppm DWYNVUKAMYRJOW
|
Proposal # 3917 Similarity: 4.17ppm BMOJUMBPLISVFL
|
Proposal # 3918 Similarity: 4.17ppm LCGZLYTUKMMJAT
|
|
Proposal # 3919 Similarity: 4.17ppm KNRLKJQRVCCIFR
|
Proposal # 3920 Similarity: 4.17ppm ONYAPMUCMLJIIA
|
Proposal # 3921 Similarity: 4.17ppm PFFWHLLQIQCDQE
|
|
Proposal # 3922 Similarity: 4.17ppm ZIPGGBPGQPKAQS
|
Proposal # 3923 Similarity: 4.17ppm CJFLWDRQRCQBNE
|
Proposal # 3924 Similarity: 4.17ppm BFCPWOSSYUELNL
|
|
Proposal # 3925 Similarity: 4.17ppm QPPZPEMCIPTUGO
|
Proposal # 3926 Similarity: 4.17ppm MFYUEPMYNYJRHE
|
Proposal # 3927 Similarity: 4.18ppm ZUFXPTXSJKBQRA
|
|
Proposal # 3928 Similarity: 4.18ppm WKMWEYZEUFGECI
|
Proposal # 3929 Similarity: 4.18ppm XXFGGZGLWUGPRS
|
Proposal # 3930 Similarity: 4.18ppm VQNKMKIBIUHZKD
|
|
Proposal # 3931 Similarity: 4.18ppm YSBZCERJYCQNQY
|
Proposal # 3932 Similarity: 4.18ppm YNQAKPAYYTTYOK
|
Proposal # 3933 Similarity: 4.18ppm VTCIVYPTNAACGT
|
|
Proposal # 3934 Similarity: 4.18ppm NHBHCIONZVBNNZ
|
Proposal # 3935 Similarity: 4.18ppm JLMDLAFAVAREIK
|
Proposal # 3936 Similarity: 4.18ppm KAGAWAXMBFHBGE
|
|
Proposal # 3937 Similarity: 4.18ppm MRXKEAQUALEJMR
|
Proposal # 3938 Similarity: 4.18ppm ZAISJSQPIKMIHL
|
Proposal # 3939 Similarity: 4.18ppm HQJJZJYKCIHWQC
|
|
Proposal # 3940 Similarity: 4.18ppm LZYIYEQQWHSIJO
|
Proposal # 3941 Similarity: 4.18ppm VGNZONBSKDXWFE
|
Proposal # 3942 Similarity: 4.18ppm NORQMZMESSSKQG
|
|
Proposal # 3943 Similarity: 4.18ppm GSFGRCHDQTZFQN
|
Proposal # 3944 Similarity: 4.19ppm OQGPAQQDMUTNOY
|
Proposal # 3945 Similarity: 4.19ppm VASWQWLMWPDXET
|
|
Proposal # 3946 Similarity: 4.19ppm HMNHGFIRXYPNPQ
|
Proposal # 3947 Similarity: 4.19ppm IJQLTDKDDGWDAP
|
Proposal # 3948 Similarity: 4.19ppm JFVXBOWNEDBJOW
|
|
Proposal # 3949 Similarity: 4.19ppm YPHZQUKAJZMKPH
|
Proposal # 3950 Similarity: 4.19ppm JFXYFDMZCHEUQE
|
Proposal # 3951 Similarity: 4.19ppm IWQASCCHNOBCLP
|
|
Proposal # 3952 Similarity: 4.19ppm GSJKFAIXOIBXQK
|
Proposal # 3953 Similarity: 4.19ppm RLHFGHCINPINRA
|
Proposal # 3954 Similarity: 4.19ppm ONKNZNQLUSPXJB
|
|
Proposal # 3955 Similarity: 4.19ppm GMPULLWCRLGLEL
|
Proposal # 3956 Similarity: 4.19ppm CAVCHHRMMJMLBF
|
Proposal # 3957 Similarity: 4.19ppm WICANPWTFXKBOH
|
|
Proposal # 3958 Similarity: 4.19ppm BBBOYNSBRGNAKO
|
Proposal # 3959 Similarity: 4.19ppm CKGGVFNJTUTDMY
|
Proposal # 3960 Similarity: 4.19ppm RSRFFJCGKPXKNY
|
|
Proposal # 3961 Similarity: 4.19ppm KQHZCROVKMZIEN
|
Proposal # 3962 Similarity: 4.19ppm BWUYBICQIZPVLJ
|
Proposal # 3963 Similarity: 4.19ppm PTGZAXIKLPRSQU
|
|
Proposal # 3964 Similarity: 4.19ppm OBPAAGUQGFHRJR
|
Proposal # 3965 Similarity: 4.19ppm SYGQPYGGIYTXPP
|
Proposal # 3966 Similarity: 4.19ppm JRQIAPNBVLMGFW
|
|
Proposal # 3967 Similarity: 4.19ppm OVQQVUBGPUICFH
|
Proposal # 3968 Similarity: 4.19ppm KTPLKJAERZIZFK
|
Proposal # 3969 Similarity: 4.20ppm PTORRJDFBGQOKN
|
|
Proposal # 3970 Similarity: 4.20ppm GZENQXILSNVMMD
|
Proposal # 3971 Similarity: 4.20ppm FTMBFLKQSHMODD
|
Proposal # 3972 Similarity: 4.20ppm DVNCSJNPWMCPKY
|
|
Proposal # 3973 Similarity: 4.20ppm QMLFDLZHLWYAHR
|
Proposal # 3974 Similarity: 4.20ppm OLWTXLQWEXKHRT
|
Proposal # 3975 Similarity: 4.20ppm RVLMWYRVVRREDN
|
|
Proposal # 3976 Similarity: 4.20ppm CRDRQRFZAYEFTK
|
Proposal # 3977 Similarity: 4.20ppm DBLUODHTZWUYFX
|
Proposal # 3978 Similarity: 4.20ppm FAZBEFCGRHREDF
|
|
Proposal # 3979 Similarity: 4.20ppm QGZVOGNJVVSVOS
|
Proposal # 3980 Similarity: 4.20ppm ZSYXVHALVHSUBC
|
Proposal # 3981 Similarity: 4.20ppm IWHUINYRGMYRNR
|
|
Proposal # 3982 Similarity: 4.20ppm DDNHDBNOKRZPHF
|
Proposal # 3983 Similarity: 4.20ppm CVVCMIFSMALOLN
|
Proposal # 3984 Similarity: 4.21ppm QOPPPXRVHIVZLP
|
|
Proposal # 3985 Similarity: 4.21ppm KOIXMMZPYFQIAI
|
Proposal # 3986 Similarity: 4.21ppm VXTWGFWNJSWUNZ
|
Proposal # 3987 Similarity: 4.21ppm AWJFDBXJYOEUMH
|
|
Proposal # 3988 Similarity: 4.21ppm BRJKKQBOTVWBHG
|
Proposal # 3989 Similarity: 4.21ppm UPFSOYMPIOSDOG
|
Proposal # 3990 Similarity: 4.21ppm HLHXMYDUBWFQIQ
|
|
Proposal # 3991 Similarity: 4.21ppm PQIGIIZYBITTLP
|
Proposal # 3992 Similarity: 4.21ppm BDWZEDILSFYGSY
|
Proposal # 3993 Similarity: 4.21ppm DZMGKQQPTYBUOH
|
|
Proposal # 3994 Similarity: 4.21ppm APVJDTHJBRTVDY
|
Proposal # 3995 Similarity: 4.21ppm JVRRJTWKMUCYDK
|
Proposal # 3996 Similarity: 4.21ppm RSMBNGCFFARTIX
|
|
Proposal # 3997 Similarity: 4.21ppm RPPFZHOVZYUYSH
|
Proposal # 3998 Similarity: 4.21ppm PGVQVPRHHDJFEK
|
Proposal # 3999 Similarity: 4.21ppm LQEAIIZDAXPEOF
|
|
Proposal # 4000 Similarity: 4.21ppm CQXZNBWPLXSOKN
|
Proposal # 4001 Similarity: 4.21ppm KLCKGWWDMIFKOS
|
Proposal # 4002 Similarity: 4.21ppm YYQOHQHRRJPQHF
|
|
Proposal # 4003 Similarity: 4.21ppm UPPNLUDQKFFRSK
|
Proposal # 4004 Similarity: 4.21ppm LWGMCGIXWHACBH
|
Proposal # 4005 Similarity: 4.21ppm LWTDBZAGFVUIKT
|
|
Proposal # 4006 Similarity: 4.21ppm FZLGZWHPCMKFCO
|
Proposal # 4007 Similarity: 4.22ppm NUUHBTKRBTUCGE
|
Proposal # 4008 Similarity: 4.22ppm SMBAHEQQNLRXCZ
|
|
Proposal # 4009 Similarity: 4.22ppm RNGVWQXIJJCIMY
|
Proposal # 4010 Similarity: 4.22ppm GLVJSTTZUGCKLH
|
Proposal # 4011 Similarity: 4.22ppm QBDIPEJKTYLMRQ
|
|
Proposal # 4012 Similarity: 4.22ppm RRAZTGZYUGPTBB
|
Proposal # 4013 Similarity: 4.22ppm MVLFOTGTRDAUNZ
|
Proposal # 4014 Similarity: 4.22ppm VXOQQUCPFVITKK
|
|
Proposal # 4015 Similarity: 4.22ppm QBGKZQRHCOXIEZ
|
Proposal # 4016 Similarity: 4.22ppm ZKKSFGYFPIQQID
|
Proposal # 4017 Similarity: 4.22ppm LJBVLXVQHCLHPK
|
|
Proposal # 4018 Similarity: 4.22ppm ZYYDBKHKCOXEIH
|
Proposal # 4019 Similarity: 4.22ppm PKRIVLUXNSQZPF
|
Proposal # 4020 Similarity: 4.22ppm DPZMWOZTMKSZOL
|
|
Proposal # 4021 Similarity: 4.22ppm NGDCJDWEKXLXDU
|
Proposal # 4022 Similarity: 4.23ppm JELLDTXUYXVQII
|
Proposal # 4023 Similarity: 4.23ppm SJBCXKFEGABFEN
|
|
Proposal # 4024 Similarity: 4.23ppm CECYEBANGXYBQO
|
Proposal # 4025 Similarity: 4.23ppm PWNCHFPTSKYXIM
|
Proposal # 4026 Similarity: 4.23ppm NEGMHVRAXJYQCQ
|
|
Proposal # 4027 Similarity: 4.23ppm WRFYWEZJAMRWEP
|
Proposal # 4028 Similarity: 4.23ppm SIWZVSVDGSXATC
|
Proposal # 4029 Similarity: 4.23ppm MDFGUUNEJLTLER
|
|
Proposal # 4030 Similarity: 4.23ppm KBNAQNLVANBXAE
|
Proposal # 4031 Similarity: 4.23ppm SFOQTKQPUZFEDO
|
Proposal # 4032 Similarity: 4.23ppm CMNRUEBFFYMVNS
|
|
Proposal # 4033 Similarity: 4.23ppm QZTSEJUGGKYUDK
|
Proposal # 4034 Similarity: 4.23ppm MTLATBYATDPTPH
|
Proposal # 4035 Similarity: 4.23ppm QBBIWGFJDXOENP
|
|
Proposal # 4036 Similarity: 4.23ppm UBLUSKGIYFBRMJ
|
Proposal # 4037 Similarity: 4.23ppm VPSSQXVBGKKIIO
|
Proposal # 4038 Similarity: 4.23ppm JTPLUAQHUUAKCH
|
|
Proposal # 4039 Similarity: 4.23ppm OFABOSAZDRXUQK
|
Proposal # 4040 Similarity: 4.23ppm WPJLVENEFUIWBC
|
Proposal # 4041 Similarity: 4.23ppm SBNSEJUSIVZUGL
|
|
Proposal # 4042 Similarity: 4.24ppm PZLDUBZYWCOURI
|
Proposal # 4043 Similarity: 4.24ppm GDJQUBNUPQSJIU
|
Proposal # 4044 Similarity: 4.24ppm IORWNYPDCKZTMB
|
|
Proposal # 4045 Similarity: 4.24ppm KXYRPQBOCOOOJS
|
Proposal # 4046 Similarity: 4.24ppm PCPMQVXHTZYCDG
|
Proposal # 4047 Similarity: 4.24ppm XORWHSSVGREJGH
|
|
Proposal # 4048 Similarity: 4.24ppm OATJZKSVZHUNAX
|
Proposal # 4049 Similarity: 4.24ppm KAPPFYKLGGIDEU
|
Proposal # 4050 Similarity: 4.24ppm YKOHMEYTMCBTQL
|
|
Proposal # 4051 Similarity: 4.24ppm UNSRBJYMCJMGFG
|
Proposal # 4052 Similarity: 4.24ppm COXCLQDVHGYZEC
|
Proposal # 4053 Similarity: 4.24ppm BBCWUPWZWJWMIN
|
|
Proposal # 4054 Similarity: 4.24ppm GNSKIDPXKQEAAJ
|
Proposal # 4055 Similarity: 4.25ppm VESIECCQDMEVKV
|
Proposal # 4056 Similarity: 4.25ppm XOTAOBABJBPFCQ
|
|
Proposal # 4057 Similarity: 4.25ppm KHMGVVHHCOMTNV
|
Proposal # 4058 Similarity: 4.25ppm SOURXRUKMIQZRN
|
Proposal # 4059 Similarity: 4.25ppm PVSRYVSDRSJPHI
|
|
Proposal # 4060 Similarity: 4.25ppm JIPBJTPHPUVWHD
|
Proposal # 4061 Similarity: 4.25ppm RQTOVQRIFPSYBU
|
Proposal # 4062 Similarity: 4.25ppm GEGSWUUUTZHKTK
|
|
Proposal # 4063 Similarity: 4.25ppm HYIKCIDNLAYZLB
|
Proposal # 4064 Similarity: 4.25ppm QBANMUSTBBYIET
|
Proposal # 4065 Similarity: 4.25ppm ROAOSRXQNZPHOV
|
|
Proposal # 4066 Similarity: 4.25ppm LOLYXIAIPNYCOV
|
Proposal # 4067 Similarity: 4.25ppm MKMMMNYAVBFWFA
|
Proposal # 4068 Similarity: 4.26ppm SOGCOPURTJOUDH
|
|
Proposal # 4069 Similarity: 4.26ppm XTQCKYNUJCKXLV
|
Proposal # 4070 Similarity: 4.26ppm CZBINOSBPGIAQE
|
Proposal # 4071 Similarity: 4.26ppm APUTYFWZFBMGOV
|
|
Proposal # 4072 Similarity: 4.26ppm QYYQZGUWEMOVOQ
|
Proposal # 4073 Similarity: 4.26ppm BHZOOHRJSODGJM
|
Proposal # 4074 Similarity: 4.26ppm GVFGSHZWPYWDCS
|
|
Proposal # 4075 Similarity: 4.26ppm PDGBUOURQDDJPV
|
Proposal # 4076 Similarity: 4.26ppm OPCMSDCOOOJRHC
|
Proposal # 4077 Similarity: 4.26ppm DBKJUEDEFZTSTN
|
|
Proposal # 4078 Similarity: 4.26ppm MUZRCNBMRUFNHM
|
Proposal # 4079 Similarity: 4.27ppm PCONSCIZYUSJBA
|
Proposal # 4080 Similarity: 4.27ppm JUKXFRUMMFMOGY
|
|
Proposal # 4081 Similarity: 4.27ppm KXINNPWEWKVLRZ
|
Proposal # 4082 Similarity: 4.27ppm UXCYEMATLYJKLG
|
Proposal # 4083 Similarity: 4.27ppm GMCNWERYOGAVQA
|
|
Proposal # 4084 Similarity: 4.27ppm SEMKDIDUPLRTGM
|
Proposal # 4085 Similarity: 4.27ppm PBHTYDXWNJJZTM
|
Proposal # 4086 Similarity: 4.27ppm GQNDYTJBHGVOGM
|
|
Proposal # 4087 Similarity: 4.27ppm LETLGPQBOYJUPQ
|
Proposal # 4088 Similarity: 4.27ppm USNHLSHKWAJMSD
|
Proposal # 4089 Similarity: 4.27ppm PCVPQPZPUOETPE
|
|
Proposal # 4090 Similarity: 4.28ppm TVIOCDCJSGYFOO
|
Proposal # 4091 Similarity: 4.28ppm HKLYHPGOVBWWDW
|
Proposal # 4092 Similarity: 4.28ppm TWVUQPNAIATYIP
|
|
Proposal # 4093 Similarity: 4.28ppm PQQSJDLPDJINQO
|
Proposal # 4094 Similarity: 4.28ppm SRMJVWMQTZRZKY
|
Proposal # 4095 Similarity: 4.28ppm ZBZBNNWXZHAAAR
|
|
Proposal # 4096 Similarity: 4.28ppm XTKOTKYLKQRGPU
|
Proposal # 4097 Similarity: 4.28ppm RHKVYTOMCQPSTH
|
Proposal # 4098 Similarity: 4.28ppm VOPJLZLUKVIQCX
|
|
Proposal # 4099 Similarity: 4.28ppm LJWKKOMIYQDBFX
|
Proposal # 4100 Similarity: 4.28ppm ADPDUNRCFDHTPW
|
Proposal # 4101 Similarity: 4.28ppm CEIMGDGIHVXKRH
|
|
Proposal # 4102 Similarity: 4.28ppm LGHOPGYDIORRNX
|
Proposal # 4103 Similarity: 4.28ppm KDHBOJDYRLQTQY
|
Proposal # 4104 Similarity: 4.28ppm RJYFHAGPODRNBA
|
|
Proposal # 4105 Similarity: 4.28ppm AYYYZUWUCCEKHH
|
Proposal # 4106 Similarity: 4.28ppm OEMNYHOECAAISX
|
Proposal # 4107 Similarity: 4.28ppm SJCICPKIKVSDOR
|
|
Proposal # 4108 Similarity: 4.28ppm OADQBVMVEKSCOI
|
Proposal # 4109 Similarity: 4.28ppm UGEXFKMYXNDRNX
|
Proposal # 4110 Similarity: 4.28ppm ZZXOMZJAYFLLKD
|
|
Proposal # 4111 Similarity: 4.28ppm VIKKHTHHJKEMQT
|
Proposal # 4112 Similarity: 4.29ppm TZZOSHPAMONTSP
|
Proposal # 4113 Similarity: 4.29ppm BOLPRVAVDMFHAY
|
|
Proposal # 4114 Similarity: 4.29ppm QUWQIXHPVZUSJZ
|
Proposal # 4115 Similarity: 4.29ppm ZIYUAJLYQAVCBQ
|
Proposal # 4116 Similarity: 4.29ppm PELYVXXLZIBKNM
|
|
Proposal # 4117 Similarity: 4.29ppm NKYAZHZKRQMTEQ
|
Proposal # 4118 Similarity: 4.29ppm LPXPEEGUYKTUCD
|
Proposal # 4119 Similarity: 4.29ppm HKCXVXOBVMYBEC
|
|
Proposal # 4120 Similarity: 4.29ppm RHFVPKJVCWVTLG
|
Proposal # 4121 Similarity: 4.29ppm QEANAUMBJDPGKD
|
Proposal # 4122 Similarity: 4.29ppm JHKYHRIASNXXED
|
|
Proposal # 4123 Similarity: 4.29ppm OZPUUAAMFZCJLU
|
Proposal # 4124 Similarity: 4.30ppm UARGTPCHTISHFV
|
Proposal # 4125 Similarity: 4.30ppm KSUFFLILFXCWHU
|
|
Proposal # 4126 Similarity: 4.30ppm HBLBUVMWOHXSST
|
Proposal # 4127 Similarity: 4.30ppm PMWBFWUINPTWQR
|
Proposal # 4128 Similarity: 4.30ppm BGBQUVHYOMNFEN
|
|
Proposal # 4129 Similarity: 4.30ppm FCOSVHVGCCPWPH
|
Proposal # 4130 Similarity: 4.30ppm MLKYZPMJSHNVAS
|
Proposal # 4131 Similarity: 4.30ppm BAVCKQHPKFVXOI
|
|
Proposal # 4132 Similarity: 4.30ppm DANOJUOYRHITQC
|
Proposal # 4133 Similarity: 4.30ppm ADYXXPMCOMHTDH
|
Proposal # 4134 Similarity: 4.30ppm FXLHUPYAXBJFIY
|
|
Proposal # 4135 Similarity: 4.30ppm IITIYXUFLKQLIA
|
Proposal # 4136 Similarity: 4.30ppm KGDTXMIAELQPTR
|
Proposal # 4137 Similarity: 4.31ppm PDALFCCTVBIXEO
|
|
Proposal # 4138 Similarity: 4.31ppm ZPFXGQSPXPXZDE
|
Proposal # 4139 Similarity: 4.31ppm NHQYNBIDFLZEOO
|
Proposal # 4140 Similarity: 4.31ppm QKFJIYBZHNWQHW
|
|
Proposal # 4141 Similarity: 4.31ppm RVPXBTSDDYVNDE
|
Proposal # 4142 Similarity: 4.31ppm FXJXJISWHBHYBV
|
Proposal # 4143 Similarity: 4.31ppm OHSYWMVERZPCOW
|
|
Proposal # 4144 Similarity: 4.31ppm NNXZKGJARFVQHR
|
Proposal # 4145 Similarity: 4.31ppm DBPLWTGBJLYDNU
|
Proposal # 4146 Similarity: 4.31ppm BPUGWXXFQWPUOK
|
|
Proposal # 4147 Similarity: 4.31ppm ALSXBAUEXRRDJW
|
Proposal # 4148 Similarity: 4.31ppm FFXMQALPYKSFHS
|
Proposal # 4149 Similarity: 4.31ppm BTULVDIVCIXJLC
|
|
Proposal # 4150 Similarity: 4.31ppm BUZQEAZHGKLYTP
|
Proposal # 4151 Similarity: 4.32ppm RVHBVVUJMZBYQC
|
Proposal # 4152 Similarity: 4.32ppm UYZUMTQTOCNGLI
|
|
Proposal # 4153 Similarity: 4.32ppm DKMXWGQJQGTZPJ
|
Proposal # 4154 Similarity: 4.32ppm BXYWXFJMSPBOMK
|
Proposal # 4155 Similarity: 4.32ppm PDZZGZUHCVXKAG
|
|
Proposal # 4156 Similarity: 4.32ppm ABUPHTQSPRTIMO
|
Proposal # 4157 Similarity: 4.32ppm OBLRETANONXGAA
|
Proposal # 4158 Similarity: 4.32ppm PFUPFFKBPDIXJI
|
|
Proposal # 4159 Similarity: 4.32ppm NBAWVDXOBREUJJ
|
Proposal # 4160 Similarity: 4.32ppm JHWIALFKWRJRPP
|
Proposal # 4161 Similarity: 4.32ppm TVGHBGJAEOUZJR
|
|
Proposal # 4162 Similarity: 4.32ppm HUNVIXHEPNBWOP
|
Proposal # 4163 Similarity: 4.32ppm QFLUSHBQGXYJHA
|
Proposal # 4164 Similarity: 4.32ppm FOCLNIQTOOGBRB
|
|
Proposal # 4165 Similarity: 4.32ppm IRHUNGMQPVTSOB
|
Proposal # 4166 Similarity: 4.32ppm AKPWTRHPCDAHLL
|
Proposal # 4167 Similarity: 4.32ppm MPFHGGGQCDGTBS
|
|
Proposal # 4168 Similarity: 4.32ppm FDCIZMNQVNGUEY
|
Proposal # 4169 Similarity: 4.33ppm VQDLLHVADFEKMS
|
Proposal # 4170 Similarity: 4.33ppm JVWKPCYIQGYHNN
|
|
Proposal # 4171 Similarity: 4.33ppm HAVIJIVMEUHEFF
|
Proposal # 4172 Similarity: 4.33ppm TWYCZFZASKTDEC
|
Proposal # 4173 Similarity: 4.33ppm ZAPYAMRQQLUIOS
|
|
Proposal # 4174 Similarity: 4.33ppm DHGGAIMMDWOWFM
|
Proposal # 4175 Similarity: 4.33ppm XBXNUTHKTMKQGQ
|
Proposal # 4176 Similarity: 4.33ppm UIQVPQKBQFYEQG
|
|
Proposal # 4177 Similarity: 4.33ppm STNKEQCYYLIZBY
|
Proposal # 4178 Similarity: 4.33ppm LVNRATXYUNAUDU
|
Proposal # 4179 Similarity: 4.33ppm BRMFHMHLCVYCRZ
|
|
Proposal # 4180 Similarity: 4.33ppm YSBHEANJDPCMFJ
|
Proposal # 4181 Similarity: 4.33ppm KXJMLRWPNKLJQS
|
Proposal # 4182 Similarity: 4.33ppm NFMGICHTSUWDBB
|
|
Proposal # 4183 Similarity: 4.34ppm YHGBKAFRXIEHMI
|
Proposal # 4184 Similarity: 4.34ppm WLRMSRLITJEPGK
|
Proposal # 4185 Similarity: 4.34ppm SEQXCZKQYOUUOV
|
|
Proposal # 4186 Similarity: 4.34ppm LDBMUEYTLXSNPI
|
Proposal # 4187 Similarity: 4.34ppm YNCPBOPGJUUQRD
|
Proposal # 4188 Similarity: 4.34ppm ROJGQSIAMIVWGC
|
|
Proposal # 4189 Similarity: 4.34ppm XLIMGRHQTMSVBH
|
Proposal # 4190 Similarity: 4.34ppm LRNILRJODRFSSU
|
Proposal # 4191 Similarity: 4.34ppm IGIYGAIHWRNXCR
|
|
Proposal # 4192 Similarity: 4.34ppm QGLXHVLBTVBIJY
|
Proposal # 4193 Similarity: 4.34ppm FHXQNUHEOSSGSX
|
Proposal # 4194 Similarity: 4.34ppm YOMLCNQFFPWROC
|
|
Proposal # 4195 Similarity: 4.34ppm ZAWOZUOILNIDQI
|
Proposal # 4196 Similarity: 4.34ppm NLNLWKFPMBLIDT
|
Proposal # 4197 Similarity: 4.34ppm UISIEBHVTAIQAW
|
|
Proposal # 4198 Similarity: 4.35ppm BKINHFGZAMINPS
|
Proposal # 4199 Similarity: 4.35ppm PCGKOHACQZQGAN
|
Proposal # 4200 Similarity: 4.35ppm GNFBWNXTFKNRCU
|
|
Proposal # 4201 Similarity: 4.35ppm XRMJYTYXFZIOEW
|
Proposal # 4202 Similarity: 4.35ppm OZRJQWQRJNTESB
|
Proposal # 4203 Similarity: 4.35ppm MGGBBHRHUFQYBO
|
|
Proposal # 4204 Similarity: 4.35ppm ZAWBBBSRYPPGEZ
|
Proposal # 4205 Similarity: 4.35ppm UHNNFHXJXZKYHG
|
Proposal # 4206 Similarity: 4.35ppm LEIREQLPXLDHLJ
|
|
Proposal # 4207 Similarity: 4.35ppm JJHHUWRXLSFYDR
|
Proposal # 4208 Similarity: 4.35ppm UNTBBSOQGCXENL
|
Proposal # 4209 Similarity: 4.35ppm OLOKGBPXVSEVAI
|
|
Proposal # 4210 Similarity: 4.36ppm ILJNVEDNMSIDPH
|
Proposal # 4211 Similarity: 4.36ppm PPBKOWTWFPNRJU
|
Proposal # 4212 Similarity: 4.36ppm FETILGRNTDDRAG
|
|
Proposal # 4213 Similarity: 4.36ppm NHOQSWFOFKDKTM
|
Proposal # 4214 Similarity: 4.36ppm ZBPPSPOORBXFGK
|
Proposal # 4215 Similarity: 4.36ppm AQNATTSWGJNEDA
|
|
Proposal # 4216 Similarity: 4.36ppm AVROQDBUJYVDOE
|
Proposal # 4217 Similarity: 4.36ppm MHEOBTMONNXXNB
|
Proposal # 4218 Similarity: 4.36ppm WECIHCCYTNREKQ
|
|
Proposal # 4219 Similarity: 4.36ppm XXYTZFMHQJCIHE
|
Proposal # 4220 Similarity: 4.36ppm AOILSRIDOCRYGY
|
Proposal # 4221 Similarity: 4.36ppm FFIUEYNVFFAMNO
|
|
Proposal # 4222 Similarity: 4.37ppm AYWFYFOJFLQZMX
|
Proposal # 4223 Similarity: 4.37ppm ZXQHOMPDVRVQTK
|
Proposal # 4224 Similarity: 4.37ppm JDULDIRXZHPRAH
|
|
Proposal # 4225 Similarity: 4.37ppm CBYLPYQSTVWUID
|
Proposal # 4226 Similarity: 4.37ppm YFLVYFOCBZEHST
|
Proposal # 4227 Similarity: 4.37ppm HVZDOCNVYATCGC
|
|
Proposal # 4228 Similarity: 4.37ppm YUWTZGPAOZJMIM
|
Proposal # 4229 Similarity: 4.37ppm NXJHSTVBESEWPQ
|
Proposal # 4230 Similarity: 4.37ppm WXMUAFCTKQAZEK
|
|
Proposal # 4231 Similarity: 4.37ppm JVTYMIWGYMNZQL
|
Proposal # 4232 Similarity: 4.37ppm DYZPVNRFGLRUSZ
|
Proposal # 4233 Similarity: 4.37ppm NSIPUWGIKGCJHZ
|
|
Proposal # 4234 Similarity: 4.37ppm VPWBEHQCGSAWSX
|
Proposal # 4235 Similarity: 4.37ppm RHLWUTAIXMQQFV
|
Proposal # 4236 Similarity: 4.37ppm VZQSVOADWWJBEA
|
|
Proposal # 4237 Similarity: 4.38ppm KIBVWVNYPWZBSN
|
Proposal # 4238 Similarity: 4.38ppm CUGDQXJCVBVIIJ
|
Proposal # 4239 Similarity: 4.38ppm IAVXSEFLRVBCDV
|
|
Proposal # 4240 Similarity: 4.38ppm WUQOSHPMZVEWDK
|
Proposal # 4241 Similarity: 4.38ppm ZEKAKVDHKXGLFE
|
Proposal # 4242 Similarity: 4.38ppm MAIFUQHLKKAKNV
|
|
Proposal # 4243 Similarity: 4.38ppm HDZMIADGWWFBAY
|
Proposal # 4244 Similarity: 4.38ppm DUAMQSVIROEXDI
|
Proposal # 4245 Similarity: 4.38ppm XCBYTVLNAYUGSA
|
|
Proposal # 4246 Similarity: 4.38ppm UCPCDSGDTNTZBZ
|
Proposal # 4247 Similarity: 4.38ppm XMXJSUXTFFEMBC
|
Proposal # 4248 Similarity: 4.38ppm OYSCILYVQBCUAI
|
|
Proposal # 4249 Similarity: 4.38ppm AEKNVOTVWHJKNV
|
Proposal # 4250 Similarity: 4.38ppm XODLCXMYXPAFMA
|
Proposal # 4251 Similarity: 4.38ppm GYUNQKRNHYWJHN
|
|
Proposal # 4252 Similarity: 4.39ppm CVHAHPDUCWJYAU
|
Proposal # 4253 Similarity: 4.39ppm GPHUGYPNXNFUQL
|
Proposal # 4254 Similarity: 4.39ppm XXBMZICGVQKHNF
|
|
Proposal # 4255 Similarity: 4.39ppm LWQWEJACKDGAAX
|
Proposal # 4256 Similarity: 4.39ppm QLSSGTQGZDXIQE
|
Proposal # 4257 Similarity: 4.39ppm NTHUBYVLZOCVTP
|
|
Proposal # 4258 Similarity: 4.39ppm RKWJEJIUSJLMHH
|
Proposal # 4259 Similarity: 4.39ppm ZCQOBUUDEYTYNN
|
Proposal # 4260 Similarity: 4.39ppm KQYJDIZFPFWWAL
|
|
Proposal # 4261 Similarity: 4.39ppm HDDLTMSBZZGSOG
|
Proposal # 4262 Similarity: 4.39ppm KQUQLNUGOFHILO
|
Proposal # 4263 Similarity: 4.39ppm YTVHJYPSRKGVGS
|
|
Proposal # 4264 Similarity: 4.39ppm KXSGENWIXZYLGP
|
Proposal # 4265 Similarity: 4.39ppm VEKBSTYPPWYXGL
|
Proposal # 4266 Similarity: 4.40ppm JPNQRILXBVJEGF
|
|
Proposal # 4267 Similarity: 4.40ppm PPAGQCPMHQIFNM
|
Proposal # 4268 Similarity: 4.40ppm PIUOTHQSUQGIDE
|
Proposal # 4269 Similarity: 4.40ppm UQRHXCMHZHTJRV
|
|
Proposal # 4270 Similarity: 4.40ppm OPYNKRIGQLOTHE
|
Proposal # 4271 Similarity: 4.40ppm WKLHEIKASCBIEU
|
Proposal # 4272 Similarity: 4.40ppm LQZLNDWQLAPYPG
|
|
Proposal # 4273 Similarity: 4.40ppm HQSLXFMRHBYYGY
|
Proposal # 4274 Similarity: 4.40ppm NWEXHNXWTBLCJX
|
Proposal # 4275 Similarity: 4.40ppm ARLSWCOUMOHNEG
|
|
Proposal # 4276 Similarity: 4.40ppm BNHCVUKLAHHUDZ
|
Proposal # 4277 Similarity: 4.40ppm HVYIOYRWRJBHGE
|
Proposal # 4278 Similarity: 4.40ppm BGIHYDOPEYHOHP
|
|
Proposal # 4279 Similarity: 4.41ppm KXYQOTKUXIAZAV
|
Proposal # 4280 Similarity: 4.41ppm LRANMDNZDYTJSC
|
Proposal # 4281 Similarity: 4.41ppm VRODITSGIMPESO
|
|
Proposal # 4282 Similarity: 4.41ppm MYEOJOLYWQQNQO
|
Proposal # 4283 Similarity: 4.41ppm BKJCMMYLYIXPOS
|
Proposal # 4284 Similarity: 4.41ppm QFKSUSGEHTYXPI
|
|
Proposal # 4285 Similarity: 4.41ppm NHIYJZKHLBXHMD
|
Proposal # 4286 Similarity: 4.41ppm HDNLMAPOZLFZOO
|
Proposal # 4287 Similarity: 4.41ppm STWNNEUJLIMRMZ
|
|
Proposal # 4288 Similarity: 4.41ppm MUASAGJKHTVXRZ
|
Proposal # 4289 Similarity: 4.42ppm OMQJBUBDVJWOHS
|
Proposal # 4290 Similarity: 4.42ppm ZKGKTKISGUPVGF
|
|
Proposal # 4291 Similarity: 4.42ppm CTNRZOQXFCYNRL
|
Proposal # 4292 Similarity: 4.42ppm CNILDBVZTHSJKP
|
Proposal # 4293 Similarity: 4.42ppm MOMNUPUIWZCPNR
|
|
Proposal # 4294 Similarity: 4.42ppm GIZONNZEHQCVOS
|
Proposal # 4295 Similarity: 4.42ppm AUCCLNOAWIAKIB
|
Proposal # 4296 Similarity: 4.42ppm CDQBNZDKUJFDPS
|
|
Proposal # 4297 Similarity: 4.42ppm WJHDXNKQYKNLAV
|
Proposal # 4298 Similarity: 4.42ppm QTRBYZXCSJTEDN
|
Proposal # 4299 Similarity: 4.42ppm SNMBNPFYKPNSKZ
|
|
Proposal # 4300 Similarity: 4.42ppm UILUXIDGBXWEKE
|
Proposal # 4301 Similarity: 4.42ppm AFEIYJVEHJXRDU
|
Proposal # 4302 Similarity: 4.43ppm YIVVFORBJGPGAS
|
|
Proposal # 4303 Similarity: 4.43ppm SKHSUQXNDJDBAI
|
Proposal # 4304 Similarity: 4.43ppm SNQFCPDPFUILOU
|
Proposal # 4305 Similarity: 4.43ppm FFZXUIFJTFCPPE
|
|
Proposal # 4306 Similarity: 4.43ppm UWSUIIQZCLIZBN
|
Proposal # 4307 Similarity: 4.43ppm LXCBPEBMIDYCFI
|
Proposal # 4308 Similarity: 4.43ppm XJKFFGRIYTXPNI
|
|
Proposal # 4309 Similarity: 4.43ppm UDQQIRKJDYHCBV
|
Proposal # 4310 Similarity: 4.43ppm JKJSDDFIVKUXGT
|
Proposal # 4311 Similarity: 4.43ppm BJAISKHZNYPABJ
|
|
Proposal # 4312 Similarity: 4.43ppm OBHQHFWHFJKCDX
|
Proposal # 4313 Similarity: 4.43ppm NJFIFDCPFRPESI
|
Proposal # 4314 Similarity: 4.43ppm LVHYOQGGDHJMHO
|
|
Proposal # 4315 Similarity: 4.43ppm OYVVVXBKSDKGKK
|
Proposal # 4316 Similarity: 4.44ppm MWORIYDGFNBTQS
|
Proposal # 4317 Similarity: 4.44ppm LLJPQLZXPOZAHL
|
|
Proposal # 4318 Similarity: 4.44ppm PXEXKMRGFPETOF
|
Proposal # 4319 Similarity: 4.44ppm YTEIKINBQMTQHZ
|
Proposal # 4320 Similarity: 4.44ppm WIWSGTXJSKNUNH
|
|
Proposal # 4321 Similarity: 4.44ppm NULJGJKSRUOYBD
|
Proposal # 4322 Similarity: 4.44ppm QSEVSPLGNRISQP
|
Proposal # 4323 Similarity: 4.44ppm RKKFLVJLRICVTN
|
|
Proposal # 4324 Similarity: 4.44ppm LRQOVEXJIUXNBH
|
Proposal # 4325 Similarity: 4.44ppm LOBOANPHNCHELY
|
Proposal # 4326 Similarity: 4.44ppm UMYMEBCDYSNSBI
|
|
Proposal # 4327 Similarity: 4.44ppm PDQPZYILZBVLNG
|
Proposal # 4328 Similarity: 4.44ppm WJLFPTZBERVPOS
|
Proposal # 4329 Similarity: 4.45ppm VHMFHYZQKIIIIT
|
|
Proposal # 4330 Similarity: 4.45ppm XKALOOXDGHKXRW
|
Proposal # 4331 Similarity: 4.45ppm WUFJIBMMJVMUOU
|
Proposal # 4332 Similarity: 4.45ppm NFAZKICCAGRGQK
|
|
Proposal # 4333 Similarity: 4.45ppm SKOMFOMFHNNXIL
|
Proposal # 4334 Similarity: 4.45ppm GVFUYKXCRHJTHA
|
Proposal # 4335 Similarity: 4.45ppm RCECYPCVSGEATC
|
|
Proposal # 4336 Similarity: 4.45ppm MWILSKNFNDGMET
|
Proposal # 4337 Similarity: 4.45ppm LZMJMJBODMNJNP
|
Proposal # 4338 Similarity: 4.45ppm KQRVMNREOGHMHZ
|
|
Proposal # 4339 Similarity: 4.45ppm JIONLQUUSOCHTG
|
Proposal # 4340 Similarity: 4.45ppm CYDWQSYTVQFYJJ
|
Proposal # 4341 Similarity: 4.45ppm WKVLMDLEVGXWMO
|
|
Proposal # 4342 Similarity: 4.45ppm LQZYXKKMCRKFIZ
|
Proposal # 4343 Similarity: 4.45ppm VNIVBSVBKQVYDO
|
Proposal # 4344 Similarity: 4.45ppm AZONXPIJVKKTPU
|
|
Proposal # 4345 Similarity: 4.45ppm SSWLKIDEKUNYGS
|
Proposal # 4346 Similarity: 4.46ppm KHDFNLNTCDRACY
|
Proposal # 4347 Similarity: 4.46ppm IMCSYCFFIGYKCD
|
|
Proposal # 4348 Similarity: 4.46ppm SNLRGCDXKOOJNI
|
Proposal # 4349 Similarity: 4.46ppm CAIKVXUJLJCUEE
|
Proposal # 4350 Similarity: 4.46ppm WEFJIPRZWALEAI
|
|
Proposal # 4351 Similarity: 4.46ppm LHEYKGGHTYCYRL
|
Proposal # 4352 Similarity: 4.46ppm FCHSCYMYLHZUFB
|
Proposal # 4353 Similarity: 4.46ppm FRXJZFPDMTXXCM
|
|
Proposal # 4354 Similarity: 4.47ppm SJNVEOSQIZHNEP
|
Proposal # 4355 Similarity: 4.47ppm ITGBJEVAVWPTIY
|
Proposal # 4356 Similarity: 4.47ppm YFTPIAYQCQHLDC
|
|
Proposal # 4357 Similarity: 4.47ppm HTQBUFPVFFXFIX
|
Proposal # 4358 Similarity: 4.47ppm JGMIHVUQDQEPFB
|
Proposal # 4359 Similarity: 4.47ppm REPFFQMNGXISHZ
|
|
Proposal # 4360 Similarity: 4.47ppm SSQNUCACSIUKIB
|
Proposal # 4361 Similarity: 4.47ppm DPQHNYQVAGVHHG
|
Proposal # 4362 Similarity: 4.47ppm DMCLSTSGYZPFPW
|
|
Proposal # 4363 Similarity: 4.47ppm RQNIXVAWKFJLGZ
|
Proposal # 4364 Similarity: 4.47ppm KOMAQDOQRSALPT
|
Proposal # 4365 Similarity: 4.47ppm AIRJYUBOAQWCBU
|
|
Proposal # 4366 Similarity: 4.48ppm NSKUNAWFRNTJON
|
Proposal # 4367 Similarity: 4.48ppm FXIYEKIUHROWBA
|
Proposal # 4368 Similarity: 4.48ppm FFVXNEZEIFUQOS
|
|
Proposal # 4369 Similarity: 4.48ppm FJODVZRCQIKSPC
|
Proposal # 4370 Similarity: 4.48ppm UGZDSYFSYKCVGT
|
Proposal # 4371 Similarity: 4.48ppm XQRPKARUWSURTE
|
|
Proposal # 4372 Similarity: 4.48ppm FGEPOJNHNYZRDA
|
Proposal # 4373 Similarity: 4.48ppm LPQLTIKQBXLJLD
|
Proposal # 4374 Similarity: 4.48ppm UQZURHUJNZKNFX
|
|
Proposal # 4375 Similarity: 4.49ppm KOCSDWZGLYHHGX
|
Proposal # 4376 Similarity: 4.49ppm IJCNAHPPDKMUDX
|
Proposal # 4377 Similarity: 4.49ppm UHDADSWTQOOSDS
|
|
Proposal # 4378 Similarity: 4.49ppm NYWXCVBVMUQRTL
|
Proposal # 4379 Similarity: 4.49ppm VGVQCQUEXMOODI
|
Proposal # 4380 Similarity: 4.49ppm ZHJHRSWFABOHEI
|
|
Proposal # 4381 Similarity: 4.49ppm RCNPHODPRLIEPM
|
Proposal # 4382 Similarity: 4.49ppm PSRYPANURGPTAO
|
Proposal # 4383 Similarity: 4.49ppm YZSQTWVCRVDNOW
|
|
Proposal # 4384 Similarity: 4.49ppm ROFFPQAOTVENDQ
|
Proposal # 4385 Similarity: 4.49ppm FEBHZFNSGLUVHD
|
Proposal # 4386 Similarity: 4.50ppm NABICJJCYMCTCC
|
|
Proposal # 4387 Similarity: 4.50ppm ZAMJBBPZWZHGGV
|
Proposal # 4388 Similarity: 4.50ppm IPKAMCNTXGLNTP
|
Proposal # 4389 Similarity: 4.50ppm UVLILNKCNBWKIQ
|
|
Proposal # 4390 Similarity: 4.50ppm WCXFEVDZSZSNQO
|
Proposal # 4391 Similarity: 4.50ppm XWBJFHLZIJPYJJ
|
Proposal # 4392 Similarity: 4.50ppm XEQRKNRACUKYBL
|
|
Proposal # 4393 Similarity: 4.50ppm USVNPWYOQZTEEL
|
Proposal # 4394 Similarity: 4.50ppm CBEWULFCXVIKCC
|
Proposal # 4395 Similarity: 4.50ppm FSGGWBQERSZLQS
|
|
Proposal # 4396 Similarity: 4.50ppm JDAANEPDTBILDP
|
Proposal # 4397 Similarity: 4.50ppm WUFUQHVIVNXXGJ
|
Proposal # 4398 Similarity: 4.51ppm AIZPPLRFRLENFR
|
|
Proposal # 4399 Similarity: 4.51ppm BFXDNXZJYBZISN
|
Proposal # 4400 Similarity: 4.51ppm AMBDVYKPENMWJQ
|
Proposal # 4401 Similarity: 4.51ppm JLKVDVKUHVFJPD
|
|
Proposal # 4402 Similarity: 4.51ppm VCKMFKRVUNSPNA
|
Proposal # 4403 Similarity: 4.51ppm PNEIELGBXPLJEC
|
Proposal # 4404 Similarity: 4.51ppm CWWFEZNHQKBBOQ
|
|
Proposal # 4405 Similarity: 4.51ppm QFHCWLRVJMDPAO
|
Proposal # 4406 Similarity: 4.51ppm NQAIHJRBBJHLTH
|
Proposal # 4407 Similarity: 4.51ppm QCSJYRFEJLJHGI
|
|
Proposal # 4408 Similarity: 4.51ppm NOXLPFVUGNKFLS
|
Proposal # 4409 Similarity: 4.51ppm FXUJNDXMHMCQIH
|
Proposal # 4410 Similarity: 4.51ppm LDSCRORCNZHQKL
|
|
Proposal # 4411 Similarity: 4.51ppm MDEQVFCQSNJFLS
|
Proposal # 4412 Similarity: 4.52ppm BWGQKUZHIKGWOQ
|
Proposal # 4413 Similarity: 4.52ppm CGSYUNITHAMXAQ
|
|
Proposal # 4414 Similarity: 4.52ppm PZIMUBMMQFHHIX
|
Proposal # 4415 Similarity: 4.52ppm JUBIZUSSBDNSNY
|
Proposal # 4416 Similarity: 4.52ppm PLFGPHWXOWKSEQ
|
|
Proposal # 4417 Similarity: 4.52ppm HDNIXDFWUYVVKG
|
Proposal # 4418 Similarity: 4.52ppm VDDNQLLGMAAFOZ
|
Proposal # 4419 Similarity: 4.52ppm WHNXGXHZEKBSMI
|
|
Proposal # 4420 Similarity: 4.52ppm JKWZXADSOCFTPT
|
Proposal # 4421 Similarity: 4.53ppm WUTJIDDBJSYKCG
|
Proposal # 4422 Similarity: 4.53ppm VARZXTSNZPIPGU
|
|
Proposal # 4423 Similarity: 4.53ppm AXEHORHOBHFCSX
|
Proposal # 4424 Similarity: 4.53ppm ZMXFWTBOKPPIPA
|
Proposal # 4425 Similarity: 4.53ppm ZKANHNYXVIALAF
|
|
Proposal # 4426 Similarity: 4.53ppm UTAOPQHQWPACSE
|
Proposal # 4427 Similarity: 4.54ppm RZALOMDGQIXDKB
|
Proposal # 4428 Similarity: 4.54ppm DKANDGHTUBNDKN
|
|
Proposal # 4429 Similarity: 4.54ppm GSZHQMRTKSPDHL
|
Proposal # 4430 Similarity: 4.54ppm PFMXZYJVUUTHHM
|
Proposal # 4431 Similarity: 4.54ppm NFBXOAGLFSFLLM
|
|
Proposal # 4432 Similarity: 4.54ppm LZPRKGZBCMBHLS
|
Proposal # 4433 Similarity: 4.55ppm MAVIKPSLERWAPB
|
Proposal # 4434 Similarity: 4.55ppm FICQXKQHJIRGBO
|
|
Proposal # 4435 Similarity: 4.55ppm MQIZRPLHYKDUTM
|
Proposal # 4436 Similarity: 4.55ppm ARXBFXUCBYGBMW
|
Proposal # 4437 Similarity: 4.55ppm XVNHYPGWUPQDFD
|
|
Proposal # 4438 Similarity: 4.55ppm PIYUQVNEYRKGMM
|
Proposal # 4439 Similarity: 4.55ppm WTYPDROSRFNZHR
|
Proposal # 4440 Similarity: 4.55ppm CDUOJJNSCPEGAI
|
|
Proposal # 4441 Similarity: 4.55ppm NJXJWOPTKGTZGV
|
Proposal # 4442 Similarity: 4.55ppm XPGFFSAPIXRDIS
|
Proposal # 4443 Similarity: 4.56ppm NKMXZJSILRBEFB
|
|
Proposal # 4444 Similarity: 4.56ppm JVRIFXUYEQBMRW
|
Proposal # 4445 Similarity: 4.56ppm IXBFDPPJYNTLHC
|
Proposal # 4446 Similarity: 4.56ppm SMVJALYSOPBBHL
|
|
Proposal # 4447 Similarity: 4.56ppm NWALLXGPAJXECD
|
Proposal # 4448 Similarity: 4.56ppm YDVXGOZNWHPSBE
|
Proposal # 4449 Similarity: 4.56ppm NDKMZRVYTUBZRZ
|
|
Proposal # 4450 Similarity: 4.56ppm KUFUJULEQKYUGJ
|
Proposal # 4451 Similarity: 4.56ppm RDSOADYIINVYTQ
|
Proposal # 4452 Similarity: 4.56ppm MDSKDGVFBQXWCF
|
|
Proposal # 4453 Similarity: 4.56ppm DXQXLWWSYUMYAI
|
Proposal # 4454 Similarity: 4.56ppm GPNHYMAOGXKXFA
|
Proposal # 4455 Similarity: 4.56ppm VHQBBLPOCUNPNW
|
|
Proposal # 4456 Similarity: 4.56ppm ZVADIMYSVIRCJT
|
Proposal # 4457 Similarity: 4.56ppm XKPSGQBNBRFEAO
|
Proposal # 4458 Similarity: 4.57ppm CTJVCRSJGKPORU
|
|
Proposal # 4459 Similarity: 4.57ppm OXPPHWKINQXACG
|
Proposal # 4460 Similarity: 4.57ppm WHMHMWUUGZSBOI
|
Proposal # 4461 Similarity: 4.57ppm VYVXRKMXYWDRCX
|
|
Proposal # 4462 Similarity: 4.57ppm YKNOTWWHTGJUAM
|
Proposal # 4463 Similarity: 4.57ppm GBQOXXJNLVHOJE
|
Proposal # 4464 Similarity: 4.57ppm LWTJOGIFOJZCSX
|
|
Proposal # 4465 Similarity: 4.57ppm CYRSJFBYMDFTFC
|
Proposal # 4466 Similarity: 4.58ppm MWQAONSGRDZNGT
|
Proposal # 4467 Similarity: 4.58ppm XACMKVYDSCCQBO
|
|
Proposal # 4468 Similarity: 4.58ppm GFLVAZPQXANXEN
|
Proposal # 4469 Similarity: 4.58ppm FGJBWYTYQZJTCE
|
Proposal # 4470 Similarity: 4.58ppm SMHHYDMGUZNENK
|
|
Proposal # 4471 Similarity: 4.58ppm LCLFIGLUETUZEQ
|
Proposal # 4472 Similarity: 4.59ppm WAXKECSLWWHLEN
|
Proposal # 4473 Similarity: 4.59ppm HUJANMQZANIODW
|
|
Proposal # 4474 Similarity: 4.59ppm IDGDWMMENPIQMX
|
Proposal # 4475 Similarity: 4.59ppm MIQZFOTVRRQHQE
|
Proposal # 4476 Similarity: 4.59ppm KANXSNYKSTVKKA
|
|
Proposal # 4477 Similarity: 4.59ppm WFXMIIVMOCSGQR
|
Proposal # 4478 Similarity: 4.59ppm CKSDDLKKMGEQNY
|
Proposal # 4479 Similarity: 4.59ppm NBYPUCVFHPROJG
|
|
Proposal # 4480 Similarity: 4.60ppm NLIIDUXOCPGYDL
|
Proposal # 4481 Similarity: 4.60ppm SGNVWVGKBKWYDP
|
Proposal # 4482 Similarity: 4.60ppm WSJBDKRDIDMATB
|
|
Proposal # 4483 Similarity: 4.60ppm HIJAUFANFBZPOV
|
Proposal # 4484 Similarity: 4.60ppm FEGORZJYTVAOSI
|
Proposal # 4485 Similarity: 4.60ppm PBOPPNCWNWZWOZ
|
|
Proposal # 4486 Similarity: 4.60ppm XLKQKCRKPUPAOB
|
Proposal # 4487 Similarity: 4.60ppm NCBDOPCLFJIOKN
|
Proposal # 4488 Similarity: 4.60ppm HFSVIDXSZMQLNW
|
|
Proposal # 4489 Similarity: 4.60ppm ASNKHQKHBIMMLW
|
Proposal # 4490 Similarity: 4.61ppm FTUHXAUAAYTQDP
|
Proposal # 4491 Similarity: 4.61ppm BKEGQVBSCVXHHS
|
|
Proposal # 4492 Similarity: 4.61ppm GNROBZZRCAWVRB
|
Proposal # 4493 Similarity: 4.61ppm SRYTXOUBTDKFKN
|
Proposal # 4494 Similarity: 4.61ppm CMXPGUUZSNCAAW
|
|
Proposal # 4495 Similarity: 4.61ppm FAESOWYBDFHMPM
|
Proposal # 4496 Similarity: 4.61ppm YPLHFBPUNLFFAD
|
Proposal # 4497 Similarity: 4.61ppm XMMKEJHAMQILNS
|
|
Proposal # 4498 Similarity: 4.61ppm VOUGNYPLDMUICL
|
Proposal # 4499 Similarity: 4.62ppm HFFYFUPGCMJGCF
|
Proposal # 4500 Similarity: 4.62ppm UZLCHAWFAVBBQA
|
|
Proposal # 4501 Similarity: 4.62ppm GHFKNVYZAUEFIP
|
Proposal # 4502 Similarity: 4.62ppm HOCMUCMTNMOZMP
|
Proposal # 4503 Similarity: 4.62ppm MGNSHFAWOLFIDA
|
|
Proposal # 4504 Similarity: 4.63ppm XQMWAILWYAODDB
|
Proposal # 4505 Similarity: 4.63ppm KJHMFGWUJSRNMH
|
Proposal # 4506 Similarity: 4.63ppm AQDOWBVGWNFDLS
|
|
Proposal # 4507 Similarity: 4.63ppm UFZYBTLPMAUAPD
|
Proposal # 4508 Similarity: 4.63ppm KLPZKMIBHBTARG
|
Proposal # 4509 Similarity: 4.63ppm HCNHVNSGLGNMOG
|
|
Proposal # 4510 Similarity: 4.63ppm FOBXBUOXMYXBJE
|
Proposal # 4511 Similarity: 4.63ppm IFRZOFRAEFJNPV
|
Proposal # 4512 Similarity: 4.64ppm MQOVYEDDEBSRGS
|
|
Proposal # 4513 Similarity: 4.64ppm ZJNSGKVQCCMSRP
|
Proposal # 4514 Similarity: 4.64ppm SZMUBFLAUJYQII
|
Proposal # 4515 Similarity: 4.64ppm NQAVISVOGSRCCQ
|
|
Proposal # 4516 Similarity: 4.64ppm CAHALZVGASSMFE
|
Proposal # 4517 Similarity: 4.64ppm ZSOIJJSZGQTAHF
|
Proposal # 4518 Similarity: 4.65ppm NFZGRTVBXRDKFN
|
|
Proposal # 4519 Similarity: 4.65ppm RAZIFAUHWBHKFD
|
Proposal # 4520 Similarity: 4.65ppm ZQVUDHDWFZCQIU
|
Proposal # 4521 Similarity: 4.65ppm LKLRTRKBQZHFKW
|
|
Proposal # 4522 Similarity: 4.65ppm IBVGVCXEVUMYJJ
|
Proposal # 4523 Similarity: 4.65ppm MCGGLICXZSDGHL
|
Proposal # 4524 Similarity: 4.66ppm CJRZKSANPZIUCN
|
|
Proposal # 4525 Similarity: 4.66ppm DXTSNRVEDFGSLV
|
Proposal # 4526 Similarity: 4.66ppm QXDJVWDTSCYVBH
|
Proposal # 4527 Similarity: 4.66ppm PFZFBKCLTMWOQP
|
|
Proposal # 4528 Similarity: 4.66ppm OELJRDQBEXEMSR
|
Proposal # 4529 Similarity: 4.66ppm KPYKCQZQARYIPW
|
Proposal # 4530 Similarity: 4.66ppm DWJPFADKWFUQCD
|
|
Proposal # 4531 Similarity: 4.66ppm IDDRSBYWXZDHCU
|
Proposal # 4532 Similarity: 4.66ppm ZOTQVNJKTMPLHK
|
Proposal # 4533 Similarity: 4.66ppm BUYGOBZOSQWBNH
|
|
Proposal # 4534 Similarity: 4.66ppm PTVBXNOCRDQGEC
|
Proposal # 4535 Similarity: 4.66ppm BRTQMFZMERDAHR
|
Proposal # 4536 Similarity: 4.67ppm NYUUPBPFOIZAHY
|
|
Proposal # 4537 Similarity: 4.67ppm RBZMCHMJWBIERZ
|
Proposal # 4538 Similarity: 4.67ppm KTGOYUBZQDLODG
|
Proposal # 4539 Similarity: 4.67ppm MVAPWCCXCRKUDV
|
|
Proposal # 4540 Similarity: 4.68ppm URKNQLVOYMECCV
|
Proposal # 4541 Similarity: 4.68ppm WSGKJRFTSKTGTR
|
Proposal # 4542 Similarity: 4.68ppm ZOSURRKMPSGXFV
|
|
Proposal # 4543 Similarity: 4.68ppm KBPQEQPJRXQQEM
|
Proposal # 4544 Similarity: 4.68ppm IMGURIYEBNWXNK
|
Proposal # 4545 Similarity: 4.68ppm GPLFBGZHLDFYFF
|
|
Proposal # 4546 Similarity: 4.68ppm MTFNWOZINFOMGE
|
Proposal # 4547 Similarity: 4.68ppm WOFBHJLTULVDLK
|
Proposal # 4548 Similarity: 4.68ppm XMWMSZCLWDLIOJ
|
|
Proposal # 4549 Similarity: 4.69ppm BBGMABOYHCNGQF
|
Proposal # 4550 Similarity: 4.69ppm XVLUECAEHPVGSS
|
Proposal # 4551 Similarity: 4.69ppm ZBROCRGYYVKMSI
|
|
Proposal # 4552 Similarity: 4.70ppm ICQLTWYPROWNRZ
|
Proposal # 4553 Similarity: 4.70ppm AAPKPKKOBJHFSR
|
Proposal # 4554 Similarity: 4.70ppm KDEZYPWMDORWLV
|
|
Proposal # 4555 Similarity: 4.70ppm AXAJDVYTMPBSNB
|
Proposal # 4556 Similarity: 4.70ppm LVECJSOCPYGMEA
|
Proposal # 4557 Similarity: 4.70ppm JDQPBYUCKJUILF
|
|
Proposal # 4558 Similarity: 4.70ppm KBCOAYRWVKFHMJ
|
Proposal # 4559 Similarity: 4.70ppm HWUHNVKBUHZZGY
|
Proposal # 4560 Similarity: 4.70ppm JZODTIJOGQLYBB
|
|
Proposal # 4561 Similarity: 4.71ppm HGPDDNNQVQHRHL
|
Proposal # 4562 Similarity: 4.71ppm NHYQJJYRPCURQS
|
Proposal # 4563 Similarity: 4.71ppm PTYXMOBKTKHUJU
|
|
Proposal # 4564 Similarity: 4.71ppm UZPUTYLLAJSGLK
|
Proposal # 4565 Similarity: 4.71ppm VGHGFDSVSYNEQY
|
Proposal # 4566 Similarity: 4.71ppm VVIPCDOETKAMGV
|
|
Proposal # 4567 Similarity: 4.71ppm RSKHIKWOAQQWOG
|
Proposal # 4568 Similarity: 4.71ppm KUUGHCKBVTXQPC
|
Proposal # 4569 Similarity: 4.71ppm BARBLWBVPRFFTF
|
|
Proposal # 4570 Similarity: 4.72ppm AJJJCUXBLBRXAO
|
Proposal # 4571 Similarity: 4.72ppm UBMHQJJSEJFDIF
|
Proposal # 4572 Similarity: 4.72ppm CENNAFJZANKBSV
|
|
Proposal # 4573 Similarity: 4.72ppm GPABYMUKJWMNKY
|
Proposal # 4574 Similarity: 4.72ppm VLRGIVVQNFFUHA
|
Proposal # 4575 Similarity: 4.72ppm WNAGCEFTLFGZJC
|
|
Proposal # 4576 Similarity: 4.72ppm NJVXCFZFMJXPDS
|
Proposal # 4577 Similarity: 4.72ppm YJIWXVCOKMKFHN
|
Proposal # 4578 Similarity: 4.72ppm BYVUJSVGBOVJDM
|
|
Proposal # 4579 Similarity: 4.73ppm CXLLYESBNNMRMW
|
Proposal # 4580 Similarity: 4.73ppm PEOGLEXUSHVPFS
|
Proposal # 4581 Similarity: 4.73ppm UHUMTNPJFYSQHK
|
|
Proposal # 4582 Similarity: 4.73ppm BOFPBFOVXQGZAM
|
Proposal # 4583 Similarity: 4.73ppm OMKGHWTZJYNFLW
|
Proposal # 4584 Similarity: 4.73ppm ZMGUGBIVKLXLFC
|
|
Proposal # 4585 Similarity: 4.73ppm ODAVNDWNWYBHHX
|
Proposal # 4586 Similarity: 4.73ppm IGFOSSQZAACMMB
|
Proposal # 4587 Similarity: 4.73ppm RSOVBMYEVHIGEQ
|
|
Proposal # 4588 Similarity: 4.74ppm ATKRVKLXQHTUNO
|
Proposal # 4589 Similarity: 4.74ppm AMWBXBGVRWBLDB
|
Proposal # 4590 Similarity: 4.74ppm VGSNEOCMUBTGCN
|
|
Proposal # 4591 Similarity: 4.74ppm WTGJZZINLASXLN
|
Proposal # 4592 Similarity: 4.75ppm UTOJZGWDVDEMKU
|
Proposal # 4593 Similarity: 4.75ppm CQYLNFRLZQNLQH
|
|
Proposal # 4594 Similarity: 4.75ppm FLCYMZZCTCMRJJ
|
Proposal # 4595 Similarity: 4.76ppm SMAWVIVKAFDDJH
|
Proposal # 4596 Similarity: 4.76ppm JLOQQDKUABJMNF
|
|
Proposal # 4597 Similarity: 4.77ppm JPFKIYYNOBNIKE
|
Proposal # 4598 Similarity: 4.77ppm JEFKMYYMPNXYJJ
|
Proposal # 4599 Similarity: 4.77ppm BHKKZPRXGFJLDT
|
|
Proposal # 4600 Similarity: 4.77ppm QITYOZLSZMGFPX
|
Proposal # 4601 Similarity: 4.77ppm BDEKFTLUTJWARG
|
Proposal # 4602 Similarity: 4.78ppm HFVFUODPJVUJTP
|
|
Proposal # 4603 Similarity: 4.78ppm KRYRACUKXHQMHM
|
Proposal # 4604 Similarity: 4.78ppm PYWGOOSMIVMSGX
|
Proposal # 4605 Similarity: 4.79ppm BLDARQLAOKYTNC
|
|
Proposal # 4606 Similarity: 4.79ppm AQSWJAOTMRBVHB
|
Proposal # 4607 Similarity: 4.79ppm KQCZWUPUNGNPQX
|
Proposal # 4608 Similarity: 4.80ppm ANAKDQWIBZUIBL
|
|
Proposal # 4609 Similarity: 4.80ppm OAVTXWSUTYOLPT
|
Proposal # 4610 Similarity: 4.80ppm YTEPOMSIGMBXMM
|
Proposal # 4611 Similarity: 4.80ppm JLPMUJQYQXWYOK
|
|
Proposal # 4612 Similarity: 4.80ppm KUECEAWWHOBOLO
|
Proposal # 4613 Similarity: 4.81ppm IBXRNPMWPQWTMS
|
Proposal # 4614 Similarity: 4.81ppm BLWVNDXVTIXFAW
|
|
Proposal # 4615 Similarity: 4.81ppm IGMIROLAFNKUHT
|
Proposal # 4616 Similarity: 4.82ppm LVUJLVBUELNLKJ
|
Proposal # 4617 Similarity: 4.83ppm MDUNFAHYFJYDLM
|
|
Proposal # 4618 Similarity: 4.83ppm FITYFVNQIAXQJL
|
Proposal # 4619 Similarity: 4.83ppm INTDANPVNZSRTK
|
Proposal # 4620 Similarity: 4.83ppm FHPGQFDSCISVDC
|
|
Proposal # 4621 Similarity: 4.83ppm PTLACJAUAFCBGW
|
Proposal # 4622 Similarity: 4.83ppm VILUMXKAKCAEAZ
|
Proposal # 4623 Similarity: 4.83ppm UADYKOGSPSZVFJ
|
|
Proposal # 4624 Similarity: 4.83ppm GWMKKMBOVMFBBT
|
Proposal # 4625 Similarity: 4.84ppm PBUFARWIDVMMPE
|
Proposal # 4626 Similarity: 4.84ppm UJJGAKJKAAVOSY
|
|
Proposal # 4627 Similarity: 4.84ppm VHTOKSXXADYARR
|
Proposal # 4628 Similarity: 4.84ppm WJLGSQVOGDUUPM
|
Proposal # 4629 Similarity: 4.84ppm QHIBAAAGTISMRB
|
|
Proposal # 4630 Similarity: 4.84ppm PMRQZMOQGFYXQA
|
Proposal # 4631 Similarity: 4.84ppm IAPDBAUIXSHPOT
|
Proposal # 4632 Similarity: 4.84ppm ZDOMXJVIYIQNTI
|
|
Proposal # 4633 Similarity: 4.85ppm GSXQQWFGNDMJBD
|
Proposal # 4634 Similarity: 4.85ppm NKKKQBXCNTWBAT
|
Proposal # 4635 Similarity: 4.85ppm SRVKKQNGJJIZJC
|
|
Proposal # 4636 Similarity: 4.86ppm WZHPTGLTFQFPRS
|
Proposal # 4637 Similarity: 4.86ppm SYTZUUXZAPCMTE
|
Proposal # 4638 Similarity: 4.87ppm JXRNNXXFXYPQKW
|
|
Proposal # 4639 Similarity: 4.87ppm POSQREGSPRBVJP
|
Proposal # 4640 Similarity: 4.87ppm OIYPHVKONDYGOI
|
Proposal # 4641 Similarity: 4.87ppm YVZFQORNDGGRSS
|
|
Proposal # 4642 Similarity: 4.87ppm LNQITJBCFUWMJK
|
Proposal # 4643 Similarity: 4.88ppm XBLLGDJEADWBAN
|
Proposal # 4644 Similarity: 4.88ppm SWVCLCPKXWJRQE
|
|
Proposal # 4645 Similarity: 4.89ppm ZYJPPIQNCHKCNT
|
Proposal # 4646 Similarity: 4.89ppm NNAFCLZFWZJASG
|
Proposal # 4647 Similarity: 4.89ppm LANFGIUFXCISTH
|
|
Proposal # 4648 Similarity: 4.90ppm TVOXDKZZLFNQOP
|
Proposal # 4649 Similarity: 4.90ppm RYEUUMHQDKMXJQ
|
Proposal # 4650 Similarity: 4.90ppm VIHAQSYFBSRPPK
|
|
Proposal # 4651 Similarity: 4.90ppm GRJAPRWNQZXHBB
|
Proposal # 4652 Similarity: 4.90ppm IWASMYLGXAHNIH
|
Proposal # 4653 Similarity: 4.90ppm NZIFBSXLSAWZDJ
|
|
Proposal # 4654 Similarity: 4.91ppm USWJBHJUIHKLBF
|
Proposal # 4655 Similarity: 4.91ppm BQQGBCDZTGPSCK
|
Proposal # 4656 Similarity: 4.91ppm ZLOCKRUOKLIZRU
|
|
Proposal # 4657 Similarity: 4.91ppm MNJORRQUSDVWDT
|
Proposal # 4658 Similarity: 4.92ppm XFIYVIQYAAGQNB
|
Proposal # 4659 Similarity: 4.92ppm OVAQCKOSQLRVSC
|
|
Proposal # 4660 Similarity: 4.92ppm WWZQBYWVUVLIKH
|
Proposal # 4661 Similarity: 4.92ppm ZHRIFBYWJHPLHB
|
Proposal # 4662 Similarity: 4.92ppm CBYFQFSAARCKLG
|
|
Proposal # 4663 Similarity: 4.93ppm WPPDPZLZVXCFBT
|
Proposal # 4664 Similarity: 4.93ppm CUTBROUDPGRFRY
|
Proposal # 4665 Similarity: 4.93ppm OWBUOCISPBIHMU
|
|
Proposal # 4666 Similarity: 4.93ppm WMDONMWEURLQQJ
|
Proposal # 4667 Similarity: 4.93ppm TXPRLXHDXTUEOB
|
Proposal # 4668 Similarity: 4.94ppm GQDDPJMUBGEOHL
|
|
Proposal # 4669 Similarity: 4.94ppm UYXNBFHGTGWYEL
|
Proposal # 4670 Similarity: 4.94ppm MCOVSHAPXZMKBQ
|
Proposal # 4671 Similarity: 4.95ppm DDVOZLNPCDTYSY
|
|
Proposal # 4672 Similarity: 4.95ppm IAIGPRIRWYLWGR
|
Proposal # 4673 Similarity: 4.95ppm SQKQZIDHLWSYJG
|
Proposal # 4674 Similarity: 4.96ppm QIIARECSCPVZCI
|
|
Proposal # 4675 Similarity: 4.96ppm JFDGOLSDTIAFAB
|
Proposal # 4676 Similarity: 4.96ppm XYXFQGJLMCSCCY
|
Proposal # 4677 Similarity: 4.96ppm FTTUDOCNECANRY
|
|
Proposal # 4678 Similarity: 4.97ppm YHAKNLFTCSFANH
|
Proposal # 4679 Similarity: 4.97ppm BXQLGOKUGVVVGS
|
Proposal # 4680 Similarity: 4.98ppm CKSLAMRGDAFENP
|
|
Proposal # 4681 Similarity: 4.99ppm QJMIOUDFDKYJIX
|
Proposal # 4682 Similarity: 4.99ppm OKPOGPWCUWAFLW
|
Proposal # 4683 Similarity: 5.00ppm CXVGANWQKPZTIC
|
|
Proposal # 4684 Similarity: 5.00ppm GDTDOHJGCCWURH
|
Proposal # 4685 Similarity: 5.01ppm ZPVOLIFKCGDZLH
|
Proposal # 4686 Similarity: 5.02ppm ZNVFXDLUMYLTTQ
|
|
Proposal # 4687 Similarity: 5.02ppm UEQJJTNQOYSRPR
|
Proposal # 4688 Similarity: 5.03ppm IZEABKKGFFCHCP
|
Proposal # 4689 Similarity: 5.03ppm FKAJUKBQFJERLF
|
|
Proposal # 4690 Similarity: 5.03ppm ZYTZYOWMVKTIEA
|
Proposal # 4691 Similarity: 5.04ppm URZDPQPSWHQRRY
|
Proposal # 4692 Similarity: 5.04ppm UOSYEDRFVDRNTA
|
|
Proposal # 4693 Similarity: 5.05ppm BGPFPFZVMFHLGH
|
Proposal # 4694 Similarity: 5.05ppm AQUVBYJRPASSDC
|
Proposal # 4695 Similarity: 5.05ppm WDJRWZPHSUQPSH
|
|
Proposal # 4696 Similarity: 5.07ppm OQNDKKXADLIESG
|
Proposal # 4697 Similarity: 5.08ppm PTUGUSFAJKXXPI
|
Proposal # 4698 Similarity: 5.08ppm UJZCZRGFOUULOB
|
|
Proposal # 4699 Similarity: 5.08ppm QKYWFAWAFQTWFK
|
Proposal # 4700 Similarity: 5.08ppm HQFDPUHRGAMPLV
|
Proposal # 4701 Similarity: 5.08ppm PJVAMQLPRXVGOH
|
|
Proposal # 4702 Similarity: 5.08ppm NVIGDFHDTBXOGZ
|
Proposal # 4703 Similarity: 5.09ppm PPYIHHSJVIGIPW
|
Proposal # 4704 Similarity: 5.09ppm ALEVXEWRKCCKAE
|
|
Proposal # 4705 Similarity: 5.10ppm NGVWEPXFMFVCGB
|
Proposal # 4706 Similarity: 5.11ppm HFKFGYLECFIXSP
|
Proposal # 4707 Similarity: 5.11ppm OHSUIZBAGAKPBQ
|
|
Proposal # 4708 Similarity: 5.12ppm UNPNFCQFIRZOBX
|
Proposal # 4709 Similarity: 5.12ppm VWVUIGYIAHTGLZ
|
Proposal # 4710 Similarity: 5.12ppm MAPKTVZTCZSBPZ
|
|
Proposal # 4711 Similarity: 5.13ppm WOBFCXKZZVUMSH
|
Proposal # 4712 Similarity: 5.13ppm KGQZOXLCRUWTSD
|
Proposal # 4713 Similarity: 5.13ppm WCDYGCBSQXBZFF
|
|
Proposal # 4714 Similarity: 5.14ppm JXHHIGMQUJCJLZ
|
Proposal # 4715 Similarity: 5.15ppm NOZTUIQOLJKGLD
|
Proposal # 4716 Similarity: 5.15ppm MALYSYDGQCOEAP
|
|
Proposal # 4717 Similarity: 5.15ppm KQKDOQOOOLJFDO
|
Proposal # 4718 Similarity: 5.16ppm YAQJPADWZFWFEI
|
Proposal # 4719 Similarity: 5.17ppm UJKRCJXIVHFWHO
|
|
Proposal # 4720 Similarity: 5.18ppm DIFPJHBPYSFXBH
|
Proposal # 4721 Similarity: 5.18ppm FPISNXGMSUZXKK
|
Proposal # 4722 Similarity: 5.18ppm YCALZJNZOIVSAD
|
|
Proposal # 4723 Similarity: 5.19ppm YLBXHVRJVRSTBP
|
Proposal # 4724 Similarity: 5.20ppm BDKHKRJTAOWFDT
|
Proposal # 4725 Similarity: 5.20ppm RQNMJEKLTAQBPE
|
|
Proposal # 4726 Similarity: 5.21ppm QGQCLZCTQKZELQ
|
Proposal # 4727 Similarity: 5.21ppm NFIVIRCQHNOGRR
|
Proposal # 4728 Similarity: 5.22ppm MNHJSPXDLJWQBJ
|
|
Proposal # 4729 Similarity: 5.24ppm OEHNTWCZTNAYDU
|
Proposal # 4730 Similarity: 5.24ppm JQEGCOPWQRYRNV
|
Proposal # 4731 Similarity: 5.24ppm ONSHOUJNISWJOT
|
|
Proposal # 4732 Similarity: 5.25ppm CMSWASAZQXRMGN
|
Proposal # 4733 Similarity: 5.27ppm YGJGRDWZDVXRDA
|
Proposal # 4734 Similarity: 5.27ppm IQPSZLVYSPYAET
|
|
Proposal # 4735 Similarity: 5.27ppm WARQLBBLTYYJFL
|
Proposal # 4736 Similarity: 5.27ppm CYTDZLKEWQCKNT
|
Proposal # 4737 Similarity: 5.28ppm NDOKSNSJAHGMGB
|
|
Proposal # 4738 Similarity: 5.29ppm XBQUKBFKMHZWEM
|
Proposal # 4739 Similarity: 5.29ppm KMJOZFSGNMPRQF
|
Proposal # 4740 Similarity: 5.35ppm TYIGUBYUORUYNL
|
|
Proposal # 4741 Similarity: 5.35ppm JPDUMGSXXGQSJQ
|
Proposal # 4742 Similarity: 5.37ppm FHJBRFLOJAMFTM
|
Proposal # 4743 Similarity: 5.38ppm ACVQSRAMHYXIOR
|
|
Proposal # 4744 Similarity: 5.39ppm SOXGKNYUPQIXCJ
|
Proposal # 4745 Similarity: 5.41ppm YATRCQHWACIMFY
|
Proposal # 4746 Similarity: 5.47ppm GJBHYIMJXKJCOE
|
|
Proposal # 4747 Similarity: 5.52ppm KEFAYOTXQNLKQD
|
Proposal # 4748 Similarity: 5.55ppm FYVLIVINVOTDIC
|
Proposal # 4749 Similarity: 5.60ppm ZURPNJFJYXBETA
|
|
Proposal # 4750 Similarity: 5.61ppm PPBYLMUIMYMFBN
|
Proposal # 4751 Similarity: 5.62ppm FOFCANCRLOBJHN
|
Proposal # 4752 Similarity: 5.64ppm HCYUYHNWDCSIMX
|
|
Proposal # 4753 Similarity: 5.64ppm NFYPKJYTILLKGO
|
Proposal # 4754 Similarity: 5.65ppm GSZSDRAMLPWLES
|
Proposal # 4755 Similarity: 5.66ppm MQUUYJWQKRAOHM
|
|
Proposal # 4756 Similarity: 5.74ppm FDLYGPMHRAAUJV
|
Proposal # 4757 Similarity: 5.77ppm ICLWVCOQMUJTQE
|
Proposal # 4758 Similarity: 5.94ppm PJASJVKPXROVAI
|
|
Proposal # 4759 Similarity: 6.35ppm PJBPXTXCDNBTIW
|
Proposal # 4760 Similarity: 6.65ppm BZAMIWZSJNDCLY
|
Proposal # 4761 Similarity: 6.85ppm BOQFGEAZKXAUQA
|
|
Proposal # 4762 Similarity: 7.15ppm JRTQNSKWLBJGSL
|
Proposal # 4763 Similarity: 8.17ppm ZMQVZOYNKMDGLT
|
Proposal # 4764 Similarity: 10.27ppm DNBSVJQMGMJTKJ
|
|
Proposal # 4765 Similarity: 10.35ppm QFEKKQDYTTWKDC
|
Proposal # 4766 Similarity: 10.47ppm PFBWESYACUVBHB
|
Proposal # 4767 Similarity: 10.53ppm VCZLRQXVXYRBKL
|
|
Proposal # 4768 Similarity: 10.54ppm OQLFCTOGDMKIAX
|
Proposal # 4769 Similarity: 10.55ppm QYDDBTOAXOPWSI
|
Proposal # 4770 Similarity: 10.65ppm OIVPREWLTWCHPP
|
|
Proposal # 4771 Similarity: 11.74ppm NTRTVHRMPYUIFC
|
Proposal # 4772 Similarity: 12.65ppm YSXZCABXNKWOQM
|
Proposal # 4773 Similarity: 12.75ppm VRZXTAQWTOVJNL
|
|
Proposal # 4774 Similarity: 12.87ppm PDHADRKEYSQSAG
|
Proposal # 4775 Similarity: 12.98ppm DNQXTAWYKKVSGM
|
Proposal # 4776 Similarity: 12.98ppm NBJXKMHHKUIOPC
|
|
Proposal # 4777 Similarity: 13.14ppm NEGNNNLOFLXQNK
|
Proposal # 4778 Similarity: 13.53ppm ZUHFUERAIDBHJK
|
Proposal # 4779 Similarity: 13.67ppm FWNMSABGMTWYQX
|
|
Proposal # 4780 Similarity: 13.78ppm KPQOQOJOHRQVPP
|
|
Proposal # 307 Similarity: 2.92ppm JBLOIGZTRGQFTA PUBCHEM
|
Summary of searching for alternative Structures
Project: CHEM.PHARM.BULL.,62,937[2014]CSEARCH-NUMBER:UWBT013937-20150627 | ||||||||||||||||
| ||||||||||||||||
| Your proposal | Best proposal | Best proposal (out of 1) which exists either in CSEARCH or PUBCHEM |
||||||||||||||
|
Deviation = 2.92 ppm Position = 307 |
Deviation = 1.20 ppm |
Deviation = 2.92 ppm Position = 307 |
||||||||||||||
Number of reasonable alternative structures: 77 Project: CHEM.PHARM.BULL.,62,937[2014]CSEARCH-NUMBER:UWBT013937-20150627 Compound: KIUSIANIN-D_6-BETA-HYDROXY-CHOLEST-7,20-DIENE-3-ONE_COMPOUND-4 | ||||||||||||||||
![]() |
![]() |
![]() |
||||||||||||||
| ||||||||||||||||