
Citation, Compound and Link to Publication |
Published Data as given in the Literature |
Deviation between Prediction and Experiment |
CSEARCH-Robot-Referee recommends |
Comment |
||
Unpublished material - not contained in Molecules,26,11,3413(2021) | ||||||
| Molecules,6,253(2001) Compound 2 |
![]() |
|
|
|||
| Molecules,6,253(2001) Compound 3 |
![]() |
|
|
|||
| Molecules,6,253(2001) Compound 4 |
![]() |
|
|
|||
Unpublished material - not contained in Molecules,26,11,3413(2021) | ||||||
| Molecules,11,959(2006) Compound 6 |
![]() |
|
|
|||
Unpublished material - not contained in Molecules,26,11,3413(2021) | ||||||
| Molecules,12,328(2007) Compound KSR1 |
![]() |
|
|
|||
Unpublished material - not contained in Molecules,26,11,3413(2021) | ||||||
| Molecules,12,1101(2007) Compound 13 |
![]() |
|
|
|||
Unpublished material - not contained in Molecules,26,11,3413(2021) | ||||||
| Molecules,12,2193(2007) Compound 5c |
![]() |
|
|
|||
| Molecules,12,2193(2007) Compound 5h |
![]() |
|
|
|||
Data for Figure 10 in Molecules,26,11,3413(2021) | ||||||
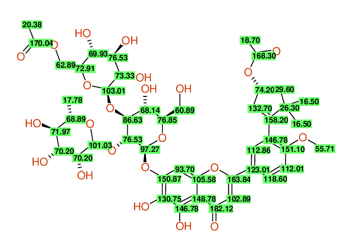
| Molecules,15,7106(2010) Compound 3 |
![]() |
|
![]() |
|||
Data for Figure 8 in Molecules,26,11,3413(2021) | ||||||
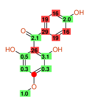
| Molecules,16,5062(2011) Compound 11 |
![]() |
|
|
|||
Data for Figure 5/middle in Molecules,26,11,3413(2021) | ||||||
| Molecules,17,14449(2012) Compound |
![]() |
|
|
|||
Data for Figure 12 in Molecules,26,11,3413(2021) | ||||||
| Molecules,18,7436(2013) Compound 8 |
![]() |
|
|
|||
Data for Figure 5/left in Molecules,26,11,3413(2021) | ||||||
| Molecules,18,15064(2013) Compound 13 |
![]() |
|
|
|||
Data for Figure 1 in Molecules,26,11,3413(2021) | ||||||
| Molecules,19,507(2014) Compound 4 |
![]() |
|
|
|||
| Molecules,19,507(2014) Compound 5 |
![]() |
|
|
|||
Data for Figure 5/right in Molecules,26,11,3413(2021) | ||||||
| Molecules,19,3973(2014) Compound 5 |
![]() |
|
|
|||
Data for Figure 13 in Molecules,26,11,3413(2021) | ||||||
| Molecules,19,13147(2014) Compound 7 |
![]() |
|
Revised structure
|
|||
Data for Figure 6 in Molecules,26,11,3413(2021) | ||||||
| Molecules,19,13147(2014) Compound 4 |
![]() |
|
![]() |
|||
Data for Figure 7 in Molecules,26,11,3413(2021) | ||||||
| Molecules,20,127(2015) Compound 1 |
![]() |
|
|
|||
Data for Figure 2 in Molecules,26,11,3413(2021) | ||||||
| Molecules,20,1968(2015) Compound 4a |
![]() |
|
|
|||
| Molecules,20,1968(2015) Compound 4d |
![]() |
|
|
|||
| Molecules,20,1968(2015) Compound 4i |
![]() |
|
|
|||
Data for Figure 11 in Molecules,26,11,3413(2021) | ||||||
| Molecules,20,4410(2015) Benzophenone-Derivative |
![]() |
|
Proposed assignment using text-book based knowledge
|
|||
Data for Figure 9 in Molecules,26,11,3413(2021) | ||||||
| Molecules,20,5438(2015) Compound OH-1 |
![]() |
|
|
|||
Data for Figure 3 in Molecules,26,11,3413(2021) | ||||||
| Molecules,20,9309(2015) Compound L1 |
![]() |
|
|
|||
Data for Figure 4 in Molecules,26,11,3413(2021) | ||||||
| Molecules,20,15206(2015) Compound 51 |
![]() |
|
|
|||
| Molecules,20,15206(2015) Compound 26 |
![]() |
|
|
|||
| Molecules,20,15206(2015) Compound 34 |
![]() |
|
|
|||
| Molecules,20,15206(2015) Compound 37 |
![]() |
|
|
|||
Contained in Molecules,26,11,3413(2021) - see text | ||||||
| Molecules,20,17309(2015) Compound 3 |
![]() |
|
|
|||
Unpublished material - not contained in Molecules,26,11,3413(2021) | ||||||
| Molecules,20,17309(2015) Compound 9 |
![]() |
|
|
|||